|
(21), (22) Заявка: 2002101414/28, 11.01.2002
(24) Дата начала отсчета срока действия патента:
11.01.2002
(43) Дата публикации заявки: 10.10.2003
(45) Опубликовано: 10.11.2004
(56) Список документов, цитированных в отчете о поиске:
US 4443107 A, 17.04.1984. GB 2174494 A,05.11.1986. US 4571083 A, 18.02.1986. Нагибина И.М.. Интерференция и дифракция света. Основы теории и применения. – Л.: Машиностроение, 1995. Калитиевский. Н.И. Волновая оптика. – М.: Высшая школа, 1995.
Адрес для переписки:
660036, г.Красноярск, Академгородок, Институт физики им. Л.В. Киренского СО РАН, патентный отдел
|
(72) Автор(ы):
Шестаков Н.П. (RU), Иваненко А.А. (RU), Сысоев А.М. (RU)
(73) Патентообладатель(и):
Институт физики им. Л.В. Киренского СО РАН (RU)
|
(54) ФОТОПРИЕМНИК
(57) Реферат:
Фотоприемник для измерения пространственно-временного распределения амплитуд и фаз интерференционного поля, проходящих через фотоприемник встречных световых потоков, без искажения их волнового фронта, содержит подложку, интерференционно-чувствительные фотоэлектрические элементы и электроды. Подложка выполнена в виде стеклянной плоскопараллельной пластины, на половину одной поверхности которой нанесен слой MgF2, в центре подложки нанесены интерференционно-чувствительные фотоэлектрические элементы PbS. Технический результат – получение квадратурных сигналов для реверсивного измерения пространственно-временного распределения амплитуд и фаз интерференционного поля встречных световых потоков. 4 ил.

Изобретение относится к оптоэлектронике, голографии, интерферометрии, спектроскопии Фурье и предназначено для электронного измерения пространственного распределения амплитуд и фаз световых волн.
Известны фотоприемники на основе внешнего и внутреннего фотоэффекта. Вакуумные фотоэлементы, фотоумножители, фотодиоды, фотосопротивления, пироэлектрические фотоприемники. Аксененко М.Д. Бараночников М.Л. Приемники оптического излучения. Справочник. – М.: Радио и связь, 1987. – 296 с.
Однако известные фотоприемники обладают следующими недостатками: не пропускают совсем, либо пропускают световые потоки со значительными искажениями волнового фронта и ослаблением интенсивности. Известные фотоприемники не позволяют получать квадратурные сигналы интерференционного поля, образованного встречными световыми потоками, не искажая пространственного распределения интерференционного поля.
Известен фотоэлектронный прибор Ф-10 [А.Г.Берковский, В.А.Гаванин, И.Н.Зайдель. Вакуумные фотоэлектронные приборы. – М.: Радио и связь, 1988. – 272 с., с.31]. Фотоэлемент имеет полупрозрачный фотокатод, нанесенный на плоское прозрачное окно вакуумированного баллона. Фотоэлектрический слой фотокатода имеет оптическую толщину меньшую половины минимальной длины волны измеряемого оптического излучения, поэтому он обладает интерференционной чувствительностью.
Это устройство является прототипом изобретения. Однако Ф10 обладает следующими недостатками. Анод и, противоположная рабочей площади фотокатода, часть задней стенки баллона, непрозрачны для измеряемого светового потока. Часть задней стенки баллона, прозрачная для оптического излучения, находится напротив малочувствительной области фотокатода и искривлена. Кроме того, Ф-10 имеет один фотоэлектрический слой. Поэтому в этом фотоприемнике невозможна регистрация квадратурных сигналов пространственно-временного распределения интерференционного поля встречных световых потоков.
Техническим результатом изобретения является получение квадратурных сигналов для реверсивного измерения пространственно-временного распределения амплитуд и фаз интерференционного поля встречных световых потоков.
Технический результат достигается тем, что фотоприемник для измерения пространственно-временного распределения амплитуд и фаз интерференционного поля, проходящих через фотоприемник встречных световых потоков, без искажения их волнового фронта, содержащий интерференционно-чувствительный фотоэлектрический слой, новым является то, что содержит второй интерференционно-чувствительный фотоэлектрический слой параллельный первому, а разность оптических расстояний от первого фотоэлектрического слоя до параллельной плоскости, ограничивающей оптически дальнюю для первого фотоэлектрического слоя поверхность фотоприемника и от второго фотоэлектрического слоя до этой плоскости равна
lopt=k1 /2+k2 /4+ /8,
а отклонение от равномерного изменения оптической толщины фотоприемника по рабочей площади и по рабочей длине фотоприемника в пределах каждого фотоэлектрического слоя меньше min/2, где
– длина волны регистрируемого излучения;
k1, k2 – любые целые неотрицательные числа;
min – длина волны коротковолновой границы рабочего спектрального диапазона фотоприемника.
Изобретение поясняется чертежами, где на фиг.1 представлена схема фотоприемника. Фиг.2 поясняет работу фотоприемника. На фиг.3 представлен эскизный чертеж фотоприемника, на котором производилась экспериментальная проверка. На фиг.4 приведены квадратурные сигналы на выходах фотоэлектрических слоев при равномерном движении фотоприемника в интерференционном поле встречных световых потоков He-Ne лазера.
Фотоэлектрические слои 1 и 2 фотоприемника 3 (фиг.1), расположены параллельно. Первый фотоэлектрический слой находится на оптическом расстоянии до параллельной плоскости, ограничивающей оптически дальнюю для этого слоя поверхность фотоприемника, равном lopt+ lopt, а второй фотоэлектрический слой на оптическом расстоянии до этой плоскости, равном lopt. При этом
lopt=k1 /2+k2 /4+ /8.
Отклонение от равномерного изменения оптической толщины фотоприемника по рабочей площади и по рабочей длине фотоприемника в пределах каждого фотоэлектрического слоя меньше min/2.
Фотоприемник работает следующим образом. Фотоприемник (фиг.2) находится в интерференционном поле, образованном встречными световыми потоками S1 и S2 с плоскими волновыми фронтами, параллельными фоточувствительным слоям 1 и 2 в точке с оптической координатой хорt соответствующей первому фотоэлектрическому слою. Световым потоком S2 является световой поток S1, прошедший через фотоприемник 3 и отраженный от плоскости 4. Плоскость имеет оптическую координату xopt+ xopt. По оси Х отсчитывается оптическое расстояние, учитывающее показатель преломления среды распространения световых потоков:

где х – геометрическое расстояние, отсчитываемое от начала координат;
n(x) – показатель преломления среды на пути распространения световых потоков вдоль оси X.
Площадь светового пятна перекрывающихся световых потоков равна рабочей площади фотоприемника. Для упрощения рассмотрения приняты следующие условия: амплитуды и длины волн S1 и S2 равны; начало координат выбрано при нулевых фазах этих сигналов; фоточувствительность электрических слоев 1 и 2 постоянна по всему их объему; в пределах рабочей площади фотоприемника оптическая толщина фотоэлектрических слоев много меньше половины длины волны и равна dopt, площадь светового пятна перекрывающихся световых потоков одинакова для обоих фотоэлектрических слоев, а отклонение оптической толщины всех элементов фотоприемника и их поглощение пренебрежимо малы.
Волновые уравнения световых потоков в месте нахождения фотоэлектрического слоя 1 имеют вид:
,

где – волновое поле светового потока S1 в месте нахождения первого фотоэлектрического слоя;
– волновое поле светового потока S2 в месте нахождения первого фотоэлектрического слоя;
– амплитуда колебаний электрического вектора;
– длина волны;
с – скорость света;
t – время;
xopt – оптическая координата положения фотоэлектрического слоя 1.
Результирующая интенсивность интерференционного поля в месте нахождения фотоэлектрического слоя пропорциональна:
.
Волновые уравнения световых потоков в месте нахождения фотоэлектрического слоя 2 имеют вид:
,
,
где – волновое поле светового потока S1 в месте нахождения второго фотоэлектрического слоя;
– волновое поле светового потока S2 в месте нахождения второго фотоэлектрического слоя. Результирующая интенсивность интерференционного поля в месте нахождения фотоэлектрического слоя 2 пропорциональна:

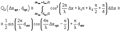
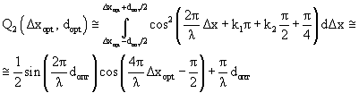
Отклик фотоэлектрического слоя 1 пропорционален
,
а отклик фотоэлектрического слоя 2 пропорционален
.
Таким образом, отклики фотоэлектрических слоев фотоприемника являются квадратурными, так как имеют взаимный фазовый сдвиг равный четверти периода.
Интерференционная чувствительность фотоэлектрических слоев падает до нулевых значений, если их оптическая толщина кратна половине длины волны регистрируемого излучения.
При отклонении оптической толщины фотоприемника от равномерного изменения ее среднего значения по рабочей площади и по рабочей длине фотоэлектрического слоя на /2 и более, в суммарном отклике фотоприемника появляются противофазные составляющие, снижающие интерференционную чувствительность фотоприемника. Это отклонение должно быть меньше min/2 в пределах пересечения регистрируемых излучений каждым фотоэлектрическим слоем, где min – длина волны коротковолновой границы рабочего спектрального диапазона фотоприемника. При этом равенство lopt=k1 /2+k2 /4+ /8 выполняется для среднего значения lopt.
На фиг.3 представлен эскизный чертеж фотоприемника, на котором производилась экспериментальная проверка.
В качестве подложки 3 была изготовлена стеклянная плоскопараллельная пластинка толщиной около 2 мм. Отклонение плоскостности поверхностей 0,15 мкм на 30 мм, контролировалось на интерферометре ИТ-100. Нанесение остальных элементов фотоприемника производилось методом термического напыления. Непараллельность контролировалась по интерференционной картинке 0,15 мкм на 30 мм. На половину одной поверхности подложки напылялся слой 4 MgF2 толщиной 800 , что соответствует /8 для длины волны He-Ne лазера в воздухе. В центре подложки напылялись, примыкающие с небольшим зазором друг к другу, площадки 1 и 2 PbS толщиной 100 . Затем напылялись металлические подводящие электроды 5. Следующая операция – активация площадок PbS в кислороде. Из-за малой толщины, слои PbS приобретают фоточувствительные свойства практически по всей глубине. В данной реализации квадратурного фотоприемника, роль интерференционно-чувствительных фотоэлектрических слоев выполняют части слоев PbS, которые приобрели свойства фотосопротивления в результате активации кислородом.
Для регистрации квадратурных сигналов фотоприемник устанавливается перпендикулярно встречным световым потокам таким образом, что их перекрывающееся световое пятно делится осью симметрии фотоприемника пополам. Фотоприемник был обращен поверхностью без напыления к He-Ne лазеру, а поверхностью с напылением к зеркалу.
Разность оптических расстояний (фиг.2) от первого фотоэлектрического слоя 1 до параллельной плоскости, ограничивающей оптически дальнюю для первого фотоэлектрического слоя поверхность фотоприемника, и от второго фотоэлектрического слоя 2 до этой плоскости равна lopt= /8.
В данном фотоприемнике коэффициенты k1, k2 равны нулю. Толщина фотоэлектрических слоев не принимается в расчет, поскольку много меньше /2 и одинакова для обоих слоев.
При испытании фотоприемника фоторезисторные слои подключались через подводящие электроды к схемам преобразователей сопротивления в напряжение, а затем сигналы вводились с помощью двухканального аналого-цифрового преобразователя (АЦП) в микроЭВМ. На фиг.4 приведены преобразованные квадратурные сигналы фотоприемника при равномерном его движении в интерференционном поле встречных световых потоков He-Ne лазера. По оси абсцисс отложено время в микросекундах, по оси ординат отклик фотоэлектрических слоев 1,2 в относительных единицах – дискретах АЦП.
Применение фотоприемника, содержащего два фотоэлектрических слоя, позволяет сформировать квадратурные сигналы сдвига полос интерференционного поля. Оба сигнала формируются в фотоэлектрических слоях одного фотоприемника, что позволяет упростить оптические схемы и уменьшить габариты оптических приборов.
Формула изобретения
Фотоприемник для измерения пространственно-временного распределения амплитуд и фаз интерференционного поля, проходящих через фотоприемник встречных световых потоков, без искажения их волнового фронта, содержащий подложку, интерференционно-чувствительные фотоэлектрические элементы и электроды, отличающийся тем, что подложка выполнена в виде стеклянной плоскопараллельной пластины, на половину одной поверхности которой нанесен слой MgF2, в центре подложки нанесены интерференционно-чувствительные фотоэлектрические элементы PbS, при этом разность оптических расстояний от первого интерференционно-чувствительного фотоэлектрического элемента до второй поверхности подложки, перпендикулярной измеряемому световому потоку, и от второго фотоэлектрического элемента до этой поверхности равна
lopt=k1 /2+k2 /4+ /8,
а отклонение от равномерного изменения оптической толщины фотоприемника по рабочей площади и по рабочей длине фотоприемника меньше min/2,
где – длина волны регистрируемого излучения;
k1, k2 – целое положительное число;
min/2 – длина волны коротковолновой границы рабочего спектрального диапазона фотоприемника.
РИСУНКИ
MM4A Досрочное прекращение действия патента Российской Федерации на изобретение из-за неуплаты в установленный срок пошлины за поддержание патента в силе
Дата прекращения действия патента: 12.01.2004
Извещение опубликовано: 10.10.2005 БИ: 28/2005
|