|
(21), (22) Заявка: 2002125168/28, 19.09.2002
(24) Дата начала отсчета срока действия патента:
19.09.2002
(43) Дата публикации заявки: 27.03.2004
(45) Опубликовано: 10.11.2004
(56) Список документов, цитированных в отчете о поиске:
ROY S. TILBURY, MERRIT L. MALLORY. Charged particle beam energies measured by twisting an aluminum foil. International Journal of Radiation Applicational and Instrumentation. Pt. A, Applied radiation and isotopes. Vol.42, №9, p.888-889, 1991. SU 550884 А, 05.01.1978. FR 2268273 А, 14.11.1975. US 4122345 А, 24.10.1978. US 4472728 А, 18.09.1984.
Адрес для переписки:
188300, Ленинградская обл., г. Гатчина, Орлова Роща, ПИЯФ РАН, патентный отдел
|
(72) Автор(ы):
Ермаков К.Н. (RU), Олейник В.С. (RU), Олейник М.В. (RU)
(73) Патентообладатель(и):
Петербургский институт ядерной физики им. Б.П. Константинова РАН (RU), Ермаков Константин Николаевич (RU), Олейник Василий Семенович (RU), Олейник Марк Васильевич (RU)
|
(54) СПОСОБ ИЗМЕРЕНИЯ РАСПРЕДЕЛЕНИЯ ОСТАНОВОК ЗАРЯЖЕННЫХ ЧАСТИЦ ПУЧКА В ПОГЛОТИТЕЛЕ
(57) Реферат:
Использование: для создания установок, определяющих параметры пучка, а также в ускорительной технике, экспериментальной ядерной физике, радиационной технике, ядерной медицине. Сущность: в способе пучок заряженных частиц пропускают через последовательно наращиваемую толщину поглотителя. В качестве поглотителя используют электропроводящую жидкость, заключенную в камеру из диэлектрического материала. Поглотитель в камере разделен на два объема диэлектрической перегородкой, которая подвижна. Перегородка состоит из двух параллельных диэлектрических пластин и проводящего слоя между ними. Указанные объемы и проводящий слой перегородки обеспечены измерительными цепями. Во всех трех цепях измеряют токи, обусловленные остановившимися заряженными частицами. Технический результат: повышение эффективности выполнения измерений, упрощение способа, расширение номенклатуры обмеряемых материалов. 2 ил.

Изобретение относится к экспериментальным областям ядерной физики и медицины, радиационной и ускорительной техники и может быть использовано для определения энергетических характеристик пучка, тормозных характеристик поглотителя, для изучения динамики формирования и накопления радиационного объемного заряда в диэлектриках, распределения остановок заряженных частиц в тканеэквивалентном фантоме.
Известен способ определения энергии пучка по распределению остановок заряженных частиц при прохождении материала, заключающийся в следующем /1/. Поглотитель из твердого прозрачного материала (диэлектрика) облучают исследуемым пучком заряженных частиц (ЗЧ) до момента возникновения в диэлектрике электрического пробоя, обусловленного накоплением объемного заряда, вносимого пучком ЗЧ. След пробоя имеет вид ветвистых древовидных каналов, визуализирующих объемное распределение заряда (остановок ЗЧ). По расстоянию между местом входа в диэлектрик и границей видимого следа электрического пробоя судят об энергии ЗЧ. Это расстояние зависит от свойств диэлектрика и энергии ЗЧ. Такой способ позволяет значительно сократить время измерения энергии ЗЧ и упростить сам процесс измерения, например, по сравнению со способом, использующим измерение тока ЗЧ после прохождения ими поглотителей. Однако у этого способа имеется ряд очевидных недостатков:
– способ применим только для прозрачных диэлектриков и пучков ЗЧ низких энергий;
– способ имеет “индикаторный оттенок”. Определять распределение ЗЧ в диэлектрике, параметры пучка (в особенности для пучков со значительной энергетической дисперсией) по расположению древовидных каналов можно только с определенным приближением.
Наиболее близким по техническому решению является способ измерения распределения остановок ЗЧ, описанный в /2/. В основе способа используется последовательное наращивание толщины поглотителя пучка ЗЧ (до его полного поглощения) с одновременным измерением тока прошедшего пучка при помощи, например, цилиндра Фарадея. Наиболее трудоемким процесс измерения становится при низких энергиях частиц (в конце их пробега), когда для получения требуемого разрешения поглотитель необходимо наращивать шагами в несколько микрон. В данном способе процедура измерений состоит из двух частей. “Ручным” способом наращивается толщина поглотителя, понижающего энергию прошедшего пучка (измерения осуществлялись в пучке протонов 10-45 МэВ) до 2-4 МэВ. Затем, по ходу пучка, дополнительно размещается алюминиевая пластинка толщиной 0,76 мм, которая совместно с цилиндром Фарадея, расположенным за ней в одном каркасе, при помощи шагового двигателя с шагом 0,9° может поворачиваться по отношению к оси пучка на угол 45° , изменяя при этом свою толщину поглощения до полного поглощения оставшейся энергии. На цилиндре Фарадея ток пучка измеряется как функция угла поворота. Интегральное распределение остановок строится в координатах: толщина поглотителя – ток пучка.
Недостатки способа:
1. Наличие в измерениях ручных операций и необходимость перестраивать измерительную систему при каждом изменении энергии пучка усложняют задачу дистанционного управления экспериментом и автоматизации измерений. В условиях работы на ускорителе и при выполнении большого количества измерений это может привести к большим временным затратам.
2. Возникающие трудности при необходимости термостатировать измерительную систему. Такая задача может возникнуть, если измерения выполнять при сравнительно высоких интенсивностях пучка и на материалах с низкой температурой плавления.
3. Отсутствие реальной возможности выполнять соответствующие измерения для материалов, представляющих определенную опасность, например для токсичных или взрывоопасных.
Задачей настоящего изобретения является повышение эффективности выполнения измерений, упрощение способа с точки зрения автоматизации измерений, расширение номенклатуры обмеряемых материалов.
Это достигается тем, что в способе измерения распределения остановок заряженных частиц пучка в поглотителе, основанном на пропускании пучка заряженных частиц через последовательно наращиваемую толщину поглотителя и регистрации за поглотителем тока прошедших частиц, в соответствии с предлагаемым изобретением в качестве поглотителя используют электропроводящую жидкость (ЭЖ) с исходной толщиной, превышающей толщину полного поглощения пучка. Электропроводящую жидкость заключают в камеру из диэлектрического материала и подвижной перегородкой, состоящей из двух параллельных диэлектрических пластин и слоя проводящего материала между ними, делят ее в камере на два переменной толщины изолированные друг от друга объема. Указанные объемы и проводящий слой перегородки обеспечивают измерительными цепями тока, а токи, обусловленные остановившимися заряженными частицами, измеряют во всех трех цепях в зависимости от координаты перегородки. При этом электрические сопротивления измерительных цепей тока во всех трех случаях должны быть намного меньше сопротивлений радиационных каналов, образующихся в диэлектрических пластинах вследствие прохождения пучка.
Авторам неизвестен из источников патентной и другой научно-технической информации подобный способ измерения распределения остановок заряженных частиц пучка в поглотителе, содержащий заявляемую совокупность признаков.
Положительный эффект предлагаемого способа достигается за счет следующих обстоятельств.
1. Использование в качестве поглотителя электропроводящей жидкости и разделение ее в диэлектрической камере диэлектрической перегородкой на два изолированных объема, каждый из которых за счет перемещения перегородки может изменяться практически от нуля и до объема самой камеры, наличие в подвижной перегородке проводящего слоя между диэлектрическими пластинами приводят к повышению эффективности способа и его упрощению. По существу при таком подходе к решению задачи обеспечивается совмещение в одной измерительной камере (с одним рабочим телом) поглотителя (весь объем ЭЖ), цилиндра Фарадея (весь объем ЭЖ) и датчиков ЗЧ (входной и выходной объемы ЭЖ, проводящий слой перегородки) и к возможности создания, в этой связи, компактной и легкоуправляемой системы для измерения интегрального и дифференциального распределений остановок ЗЧ в поглотителе по всей длине прохождения пучка.
Податливость (поглотитель-жидкость) и непрерывность измерительной среды позволяют и непрерывно перемещать диэлектрическую перегородку, т.е. осуществлять измерения в любой точке поглотителя без каких-либо перестроек измерительной системы, Это обстоятельство позволяет без труда выполнить автоматизацию измерительной системы и обеспечить дистанционное управление. Так как глубина камеры (толщина поглотителя) никакими технологическими ограничениями не лимитируется, изначально ее можно выбрать такой, чтобы обеспечить проведение измерений в пучках в необходимом диапазоне энергий.
2. Использование в качестве поглотителя жидкости позволяет без принципиальных трудностей организовать в ней при различных интенсивностях проходящих пучков стабильный температурный режим, прогоняя жидкость через соответствующую петлю “на стороне”.
Таким образом, согласно пунктам 1 и 2, в предлагаемом способе как по энергии, так и по интенсивности обеспечивается возможность расширить диапазон обмеряемых пучков на неперестраиваемой установке. В этой связи установка, реализующая способ, может приобрести статус прибора.
3. За счет использования в качестве поглотителя электропроводящей жидкости, электролита, например, появляется возможность расширить номенклатуру исследуемых диэлектриков. Для этого путем подбора для данного диэлектрика “тканеэквивалентного” раствора электролита (в зависимости от поставленной задачи “тканеэквивалентность” может быть обеспечена не только по тормозной способности, но и по ядерным реакциям) в последнем моделируются условия прохождения пучка в диэлектрике и распределение остановок ЗЧ. Примеры подбора электролитов, “тканеэквивалентных” некоторым диэлектрикам из полимерных материалов, описаны в /3/. Вся совокупность признаков, приводящая к решению поставленной задачи, по мнению авторов, нетривиальным путем свидетельствуют об определенном изобретательском уровне.
Изобретение иллюстрируется фиг.1 и 2. Реализация способа может быть выполнена на устройстве, схема которого изображена на фиг.1, где:
1 – пучок заряженных частиц;
2 – коллиматор;
3 – камера из диэлектрического материала;
4 – окно камеры;
5 – входной объем ЭЖ;
6 – контактный электрод входного объема ЭЖ;
7, 14 – отверстия для перетекания ЭЖ на входе и выходе камеры соответственно;
8 – изолирующее уплотнение;
9 – диэлектрические пластины П1 и П2;
10 – проводящий слой;
11 – выходной объем ЭЖ;
12 – контактный электрод выходного объема ЭЖ;
13 – задняя стенка камеры;
R1, R2, R3 – полные сопротивления электрических измерительных цепей для входного и выходного объемов ЭЖ и проводящего слоя соответственно;
A1, A2, A3 – измерители тока в электрических цепях входного и выходного объемов ЭЖ и проводящего слоя соответственно.
Пучок заряженных частиц 1 попадает в камеру 3 через коллиматор 2 и окно камеры 4. Камера изготовляется из любого диэлектрического материала и заполняется рабочей электропроводящей жидкостью. Глубина камеры выбирается из экспериментальных требований, но всегда превышает пробег ЗЧ в жидкости. В камере монтируется подвижная перегородка, состоящая из двух параллельных диэлектрических пластин 9 (П1 и П2) и проводящего слоя 10 между ними, которая делит электропроводящую жидкость в камере на два переменной толщины изолированные друг от друга объема: входной 5 и выходной 11. Электрическая изоляция между входным объемом ЭЖ, выходным объемом ЭЖ и проводящим слоем обеспечивается за счет изолирующего уплотнения 8 и диэлектрических пластин. Для того чтобы совместить указанные требования по электрической изоляции с подвижностью перегородки, как одним из альтернативных можно воспользоваться решением, описанным в /3/. Для этого диэлектрическая перегородка монтируется на торце полого цилиндра, заполненного такой же электропроводящей жидкостью, что и камера, и выполняющего роль выходного объема ЭЖ. При этом толщина ЭЖ в цилиндре должна превышать толщину полного поглощения пучка ЗЧ. Цилиндр может перемещаться по всей камере. Шток цилиндра выводится через заднюю стенку камеры 13 и связан с механизмом, обеспечивающим цилиндру (перегородке) поступательное, реверсивное движение. Через контактные электроды 6 и 12 к входному и выходному объемам ЭЖ, в том числе и к проводящему слою, подсоединяются измерительные цепи тока, включающие в себя полные нагрузочные сопротивления R1, R2, R3 и измерители тока А1, A2, A3 соответственно. Для перетекания ЭЖ, обусловленного изменением входного и выходного объемов вследствие перемещения перегородки, в камере предусмотрены два отверстия 7 и 14, связанных со специальными резервуарами. Эти же отверстия можно использовать и для термостатирования камеры.
Таким образом, пучок заряженных частиц, который попал в камеру, не выйдет за ее пределы и полностью термализуется в поглотителе (проводящем материале). За счет появления в камере заряженных частиц в электрических цепях камеры возникнут токи нейтрализации. Так как входной объем ЭЖ, выходной объем ЭЖ и проводящий слой перегородки изолированы друг от друга, появившиеся там токи будут распределены в соответствии с распределением остановок ЗЧ в поглотителе. Чтобы не нарушать перегородкой тормозной характеристики поглотителя, материалы перегородки (диэлектрические пластины и проводящий слой) должны быть “тканеэквивалентными” поглотителю. Для проводящего слоя выполнить это требование не составляет труда, так как в его качестве может быть использован сам материал поглотителя. Подбор же диэлектрических пластин можно выполнить в соответствии с /3/. Измеряя токи в цепях проводящего слоя перегородки, входного и выходного объемов ЭЖ в зависимости от координаты перегородки, можно снять кривые распределения ЗЧ в поглотителе: дифференциальную и две интегральных соответственно. Для непрерывного пучка и при равновесии (электрическое равновесие при относительно низких сопротивлениях указанных электрических цепей наступает очень быстро) соотношение между измеряемыми токами будет иметь следующий вид:

где IП – ток пучка, проникающего в камеру;
IВХ – ток в цепи входного объема ЭЖ;
IВЫХ – ток в цепи выходного объема ЭЖ;
IС – ток в цепи проводящего слоя перегородки.
В силу независимости измерительных каналов (измерительные цепи изолированы друг от друга) это соотношение может использоваться, например, для контроля одних каналов над другими, контроля пучка, выявления систематических ошибок.
Для примера определим условия реализации способа при следующих обстоятельствах.
1. В качестве пучка частиц используется пучок протонов с энергией до 50 МэВ. В таком диапазоне энергий ядерных реакций, обусловленных взаимодействием протонов с ядрами поглотителя, в расчет можно не принимать (с определенным приближением) и полагать, что распределение остановок протонов формируется только за счет их ионизационных взаимодействий.
2. В качестве рабочей электропроводящей жидкости (в том числе и проводящего слоя перегородки) используется электролит – 44% водный раствор NH4NO3; в качестве рабочих диэлектрических пластин, “тканеэквивалентных” электролиту, согласно /3/ применяются пластины из полиметилметакрилата (ПММА).
3. Интенсивность пучка протонов ограничивается сверху величиной ~100 nА см-2. В таком диапазоне интенсивностей изменения в электропроводности ЭЖ и электропроводности радиационных каналов пластин, обусловленные незначительным нагревом и пластины, и ЭЖ вследствие прохождения пучка (<1-2К· с-1), также незначительны. Значения же электропроводности радиационных каналов диэлектрических пластин и электропроводности ЭЖ определяются лишь природой диэлектрика и интенсивностью пучка протонов в первом случае, и природой и концентрацией электролита – во втором.
Очевидно, что успешная работа измерительной системы будет обеспечена, если диэлектрические пластины перегородки будут сохранять свои изолирующие свойства в любой точке поглотителя (ЭЖ) на уровне

где RРП1, RРП2 – электрические сопротивления радиационных каналов, образующихся в диэлектрических пластинах П1 и П2 соответственно вследствие прохождения через них пучка протонов.
Только в этом случае электрические измерительные цепи входного и выходного объемов камеры, а также проводящего слоя перегородки не шунтируют друг друга и токи в них отображают распределение остановок протонов по соответствующим объемам камеры и проводящему слою перегородки.
Для определения RРП1 и RРП2 можно воспользоваться известным выражением для объемной радиационной электрической проводимости материала /4/:

где Р – мощность дозы в канале;
A и – параметры материала. Для ПММА /4/ а =0,84.
При интенсивности пучка протонов (Е<50 МэВ)~100 nА см-2 минимальное значение удельного линейного сопротивления канала в ПММА (в области брегговского максимума) будет находиться на уровне ~7· 1012 Ом· см-1. Даже в пластинах из ПММА, имеющих толщину всего лишь в 10-3 или 10-2 см, радиационные каналы имеют все еще высокие электрические сопротивления ~7 и 70 ГОм соответственно.
Высокие электрические сопротивления радиационных каналов пластин П1 и П2 обеспечивают возможность без труда выполнить требование (2), так как электрические сопротивления элементов измерительных цепей (входа, выхода и проводящего слоя перегородки) относительно малы. Сопротивление используемого электролита по всей длине камеры, например, не превышает 200 Ом. Такой же приблизительно величины и внутренние сопротивления измерителей тока.
Таким образом, при перемещении перегородки в электролите от окна в глубину камеры ток (обусловленный останавливающимися протонами) во входной цепи, например, будет отсутствовать до тех пор, пока пластина П1 не пересечет координаты первых остановок протонов. При дальнейшем продвижении перегородки и увеличении входного объема электролита все большее число термализовавшихся протонов будет принимать участие в образовании тока, увеличивая его во входной цепи до максимального, когда пластина П1 достигнет координаты последних остановок протонов. В выходном объеме электролита описанный процесс будет повторяться “в противофазе” со смещением, равным толщине перегородки. Проводящий слой перегородки изолирован от входа и выхода и “реагирует” только на те остановки протонов, которые в него попадают. Измеряя токи в цепи проводящего слоя перегородки в зависимости от ее координаты, можно получить дифференциальное распределение остановок.
Так как в предлагаемом варианте измерений
– контролируется весь внесенный в камеру заряд (толщина поглотителя превышает пробег протонов);
– диэлектрические пластины подвижной перегородки П1 и П2 надежно изолируют друг от друга проводящий слой перегородки, входной и выходной объемы электролита (сопротивления радиационных каналов пластин П1 и П2 на несколько порядков выше сопротивлений измерительных электрических цепей, которые, в связи с этим, не шунтируют друг друга);
– обеспечивается “тканеэквивалентность” пластин П1, П2 и электролита (в результате этого не нарушается распределение остановок протонов в электролите);
– доля неконтролируемых протонов, останавливающихся непосредственно в диэлектрических пластинах П1 и П2, не вносит существенных ошибок в измеряемые токи (ввиду малой толщины пластин);
– в процессе выполнения измерений никаких существенных, необратимых изменений ни с электролитом, ни с диэлектрическими пластинами не происходит (вследствие низкой интенсивности пучка протонов в выбранном диапазоне), токи в измерительных цепях входа, выхода и проводящего слоя перегородки зависят только от трех параметров: тока, прошедшего в камеру пучка, распределения остановок протонов и координаты перегородки. В этой связи токи в измерительных цепях входа, выхода и проводящего слоя перегородки нетрудно рассчитать.
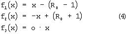
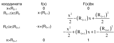
Для расчета принято, что ток пучка, попадающего в камеру, равен 100 nA; толщина пластин П1 и П2 выбрана равной 5· 10-3 см. При такой толщине пластин погрешность в измерении токов, обусловленная неопределенностью в поведении заряда, который поглощается диэлектрической пластиной, непосредственно, не превышает 1-2%. За средний пробег протонов R0 принята точка (координата), в которой ток пучка протонов в поглотителе сокращается в два раза. В качестве исходного распределения остановок протонов принято треугольное распределение в виде равнобедренного треугольника, образованного пересечением трех прямых:

Так как площадь этого треугольника равна единице (основание = 2; высота = 1), он представляет собой не что иное, как функцию плотности вероятности f(x). Интегрируя функцию f(x) можно найти и интегральную функцию распределения F(x). В зависимости от координаты П1 плотность вероятности f(x) и интегральная функция распределения для входного объема F(x)bx описываются следующим образом:

Аналогичные образом определяется и интегральная функция распределения для выходного объема F(x)ВХ· F(x)ВЫХ находится в “противофазе” к F(x)ВХ и смещена к окну камеры на ширину перегородки. Дифференциальное распределение вероятности можно найти, интегрируя поэтапно, шагами функцию f(x) или используя выражение (I). На фиг.2 представлены расчетные распределения токов в электрических цепях входного (IВХ), выходного (IВЫХ) объемов электролита и проводящего слоя перегородки (IСЛ) в зависимости от координаты П1. Исходные данные: ток пучка, попадающего в камеру, ~100 nA; толщина проводящего слоя перегородки – 0,1 см; средний пробег протонов – R0; распределение остановок протонов треугольное.
Традиционное применение способа – это область ускорительной техники (определение параметров пучка) и экспериментальная ядерная физика.
Предлагаемое изобретение также может быть использовано специалистами в области радиационной техники, где необходимы знания о распределении объемного заряда в материале, динамике накопления и рассеяния с целью прогнозирования поведения материала в ридиационных полях частиц разной природы.
Кроме того, изобретение может найти применение и в ядерной медицине для моделирования условий облучения в тканеэквивалентном фантоме.
Литература
1. Авторское свидетельство СССР №906299, кл. H 01 J 39/00, 1985 г.
2. International Journal ef Radiation Applicational and Instrumentation. Pf, A, Applied Radiation and Isetopes. Vol 42, N9, p.p.888-889, 1991 (прототип).
3. Патент на изобретение Р №2148819 C1, кл.7 G 01 N 27/02, 1999 г.
4. В.К. Милинчук и др. “Радиационная стойкость органических материалов.” Справочник. М.: Энергоатомиздат, 1986 г.
Формула изобретения
Способ измерения распределения остановок заряженных частиц пучка в поглотителе, основанный на пропускании пучка заряженных частиц через последовательно наращиваемую толщину поглотителя и регистрации за поглотителем тока прошедших частиц, отличающийся тем, что в качестве поглотителя используют электропроводящую жидкость с толщиной слоя, превышающей толщину полного поглотителя пучка, жидкость заключают в камеру из диэлектрического материала, а подвижной перегородкой, состоящей из двух параллельных диэлектрических пластин и проводящего слоя между ними, делят ее в камере на два объема переменной толщины и изолированные друг от друга, указанные объемы и проводящий слой перегородки обеспечивают измерительными цепями тока, а токи, обусловленные останавливающимися заряженными частицами, измеряют во всех трех цепях в зависимости от координаты перегородки, при этом электрические сопротивления измерительных цепей тока для всех трех случаев намного меньше сопротивления радиационных каналов, образующихся в диэлектрических пластинах вследствие прохождения пучка.
РИСУНКИ
MM4A – Досрочное прекращение действия патента СССР или патента Российской Федерации на изобретение из-за неуплаты в установленный срок пошлины за поддержание патента в силе
Дата прекращения действия патента: 20.09.2005
Извещение опубликовано: 20.02.2007 БИ: 05/2007
|