Патент на изобретение №2239648
|
||||||||||||||||||||||||||
(54) БИОЦИДНО-СМАЗОЧНЫЙ РЕАГЕНТ ДЛЯ БУРОВЫХ ТЕХНОЛОГИЧЕСКИХ ЖИДКОСТЕЙ “КЕМФОР-БС”
(57) Реферат:
Изобретение относится к нефтегазодобывающей промышленности и может быть использовано при бурении нефтяных и газовых скважин для повышения эффективности защиты химических реагентов и стабилизации во времени свойств буровых технологических жидкостей. Технический результат заключается в оптимизации и стабилизации во времени биостойкости при воздействии широкого спектра микроорганизмов на буровые технологические жидкости, повышении термостойкости, смазочных, противоприхватных, противофильтрационных и поверхностно-активных свойств буровых растворов. Биоцидно-смазочный реагент для буровых технологических жидкостей, включающий жирные кислоты и гидроксид натрия, в качестве источника жирных кислот и гидроксида натрия содержит сульфатное мыло и дополнительно – соль меди и гексаметилентетрамин – уротропин при следующем соотношении ингредиентов, мас.%: соль меди 10,0-20,0; уротропин 0-5,0; сульфатное мыло – остальное. 4 табл.
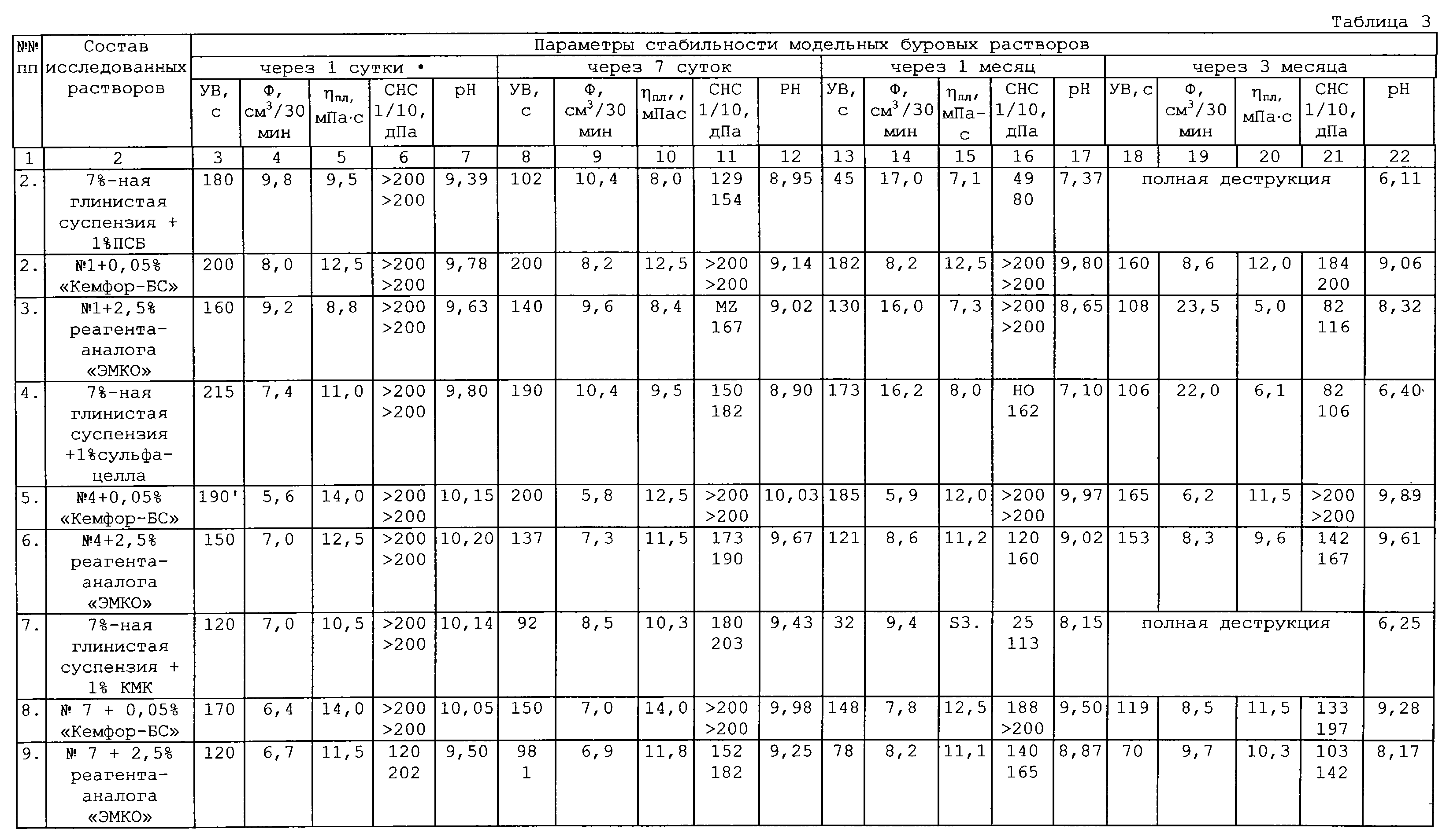
Изобретение относится к нефтегазодобывающей промышленности и может быть использовано при бурении нефтяных и газовых скважин для повышения эффективности защиты химических реагентов и стабилизации во времени свойств буровых технологических жидкостей. Высокомолекулярные реагенты-стабилизаторы буровых растворов, смазочные добавки, нефть и другие органические материалы, в т.ч. на основе природных веществ, в процессе бурения и эксплуатации скважин подвергаются биологической деструкции. В результате ферментативной активности микроорганизмов буровые растворы утрачивают стабильность, ухудшаются их технологические параметры. Возникает необходимость повторных обработок химическими реагентами и их повышенных расходов. Вследствие возникновения осложнений и аварийных ситуаций увеличиваются непроизводительные затраты времени, реально заражение пластов сульфатвосстанавливающими бактериями, обусловливающими падение углеводородоотдачи, образование биогенного сероводорода и активную коррозию промыслового оборудования. Перечисленные последствия биодеградации реагентов и материалов резко удорожают стоимость буровых работ и увеличивают экологические нагрузки на окружающую среду. Разработка и применение в буровых технологических жидкостях специальных биоцидных и фунгицидных добавок рациональны и актуальны. Одним из первых решений и приемов борьбы с биологической деструкцией буровых растворов было получение и использование органических аминов и их производных различной сложности строения [1-4]. Однако применение этих веществ для предотвращения или ингибирования биологической деструкции оказалось малоперспективно, поскольку они имеют низкую антимикробную активность, легко испаряются, обладают узким спектром антимикробного действия и резким запахом. Известно использование солей меди для снижения коррозионного воздействия буровых сред на промысловое оборудование [5] и в качестве фунгицидов [6]. Но высокая водная растворимость медных солей уксусно-мышьяковистой и мышьяковистой обусловливает быстрое вымывание этих веществ, поэтому их действие имеет временный характер. На основе хлористого металлилгексаметилентерамина разработан бактерицид ЛПЭ-11 [7]. Недостатком этого технического решения является низкая технологичность 45-55%-ного раствора, сравнительно низкие смазочные свойства и термостойкость. Для защиты химических реагентов, применяемых при бурении нефтяных и газовых скважин от микробиологической деструкции и стабилизации параметров бурового раствора во времени, эффективен продукт взаимодействия отходов производства эпихлоргидрина и гексаметилен-тетрамина (уротропина) [8]. Но применяемые для подавления роста микроорганизмов концентрации этого реагента неэкономично высоки: в 2-10 раз превышают количество необходимых добавок заявляемого бактерицидно-смазочного реагента. Известно использование для обработки буровых технологических жидкостей продукта конденсации кубовых остатков синтетических жирных кислот с моноэтаноламином и оксиэтилированными алкилфенолами – реагента ИКБ-4. Недостаток этого решения – высокий расход реагента, до 1% от объема обрабатываемой промывочной жидкости [9]. Техническое решение, выбранное нами в качестве наиболее близкого аналога, – реагент для обработки буровых растворов, который в числе других ингредиентов содержит гидрооксид натрия и продукт на основе омыленных кубовых остатков от производства синтетических жирных кислот “ЭМКО” [10]. Результатом применения реагента-прототипа является повышение стабильности технологических свойств буровых растворов при термовоздействии и увеличение их ферментативной (микробиологической) устойчивости. Однако недостатком реагента-прототипа является его высокие расходы для обработки буровых растворов (10-40%) и нетехнологичная для отрицательных температур товарная форма – эмульсионный концентрат. Компонент “ЭМКО” не фиксируется в глинистой корке, легко вымывается, что обусловливает временный характер его действия. Решаемая данным изобретением задача – повышение эффективности и многофункциональности реагента для предотвращения микробиологической деструкции (ферментации) буровых реагентов и материалов, в том числе придания ему оптимальной товарной формы и пролонгированного действия. Технический результат, который может быть получен при использовании предлагаемого реагента, заключается в оптимизации и стабилизации во времени биостойкости при воздействии широкого спектра микроорганизмов на буровые технологические жидкости, повышении термостойкости, смазочных, противоприхватных, противофильтрационных и поверхностно-активных свойств буровых растворов. Заявленный биоцидно-смазочный реагент для буровых технологических жидкостей, включающий жирные кислоты и гидроксид натрия, в качестве источника жирных кислот и гидроксида натрия содержит сульфатное мыло и дополнительно – соль меди и гексаметилентетрамин – уротропин при следующем соотношении ингредиентов, мас.%: соль меди 10,0-20,0; уротропин 0-5,0; сульфатное мыло – остальное. Сульфатное мыло представляет собой мазеобразный продукт, снимаемый с поверхности черных щелоков сульфат-целлюлозного производства при их отстаивании. По химической природе сульфатное мыло является сбалансированным концентратом анионоактивных ПАВ – жирных кислот и их натриевых солей, содержит до 8% щелочи, гидроксида натрия. Свойства и состав сульфатного мыла приведены в табл. 1. Исследованные составы биоцидно-смазывающего реагента отличались видом сульфатного мыла (хвойным, лиственным или смешанным) и анионом солей меди (ацетат, сульфат, хлорид). Пример. Для приготовления биоцидно-смазывающего реагента берем, мас.%: сульфат меди 10; уротропин 2,5; сульфатное мыло 87,5. Приготовление биоцидно-смазывающего реагента заключалось в смешивании ингредиентов, последующем экструдировании и высушивании. Товарная форма – твердое гранулированное вещество. У буровых технологических жидкостей, обработанных составами биоцидно-смазочного реагента с содержанием компонентов ниже или выше заявляемых значений, не решается задача, поставленная изобретением в области пролонгированной защиты от биодеструкции, вызываемой широким спектром микроорганизмов, и повышения термостойкости, смазочных, противоприхватных, противофильтрационных и поверхностно-активных свойств буровых растворов. Биоцидную эффективность заявляемого реагента оценивали в лабораторных условиях по его способности подавлять рост различных физиологических групп бактерий и микроскопических грибов. Количественный учет микроорганизмов осуществляют методом посева на агаризированные питательные среды и среду Постгейта Б. (для сульфаторедуцирующих бактерий), обработанные и необработанные биоцидно-смазочным реагентом после 24-часовой инкубации в термостате при 28-30°С. В табл. 2 представлены сравнительные результаты контроля степени подавления роста и развития микроорганизмов заявляемым реагентом и реагентом, являющимся наиболее близким аналогом. Из приведенных данных видно, что добавки заявляемого реагента в пределах 0,01-0,05 мас.% обеспечивают полное подавление численности бактерий и микроскопических грибов. Микробиологический анализ выявил, что при обработке бактерицидом-прототипом его необходимая эффективная дозировка в 2-10 раз выше. Предлагаемый реагент также обусловливает значительно более высокие стабилизирующие свойства буровых растворов, содержащих компоненты, подверженные микробной деструкции, по сравнению с прототипом (по данным табл. 3). Введение заявляемого реагента в состав буровых растворов, содержащих в качестве реагентов-стабилизаторов полисахаридные реагенты, эфиры целлюлозы и крахмала, лигносульфонатный реагент “Лигназ” и нефть, неустойчивые к воздействию микроорганизмов, обеспечивает полное подавление микрофлоры и предотвращает микробиологическую деструкцию реагентов-стабилизаторов и нефти. Таким образом, после введения заявляемого бактерицидно-смазочного реагента в буровые технологические жидкости, как следствие, сокращается расход дорогостоящих высокомолекулярных реагентов и устраняется опасность внесения микроорганизмов в продуктивные пласты. Экспериментально было установлено, что сравнимая общеулучшающая технологическая и стабилизирующая эффективность для буровых растворов проявляется у заявляемого реагента с концентрацией 0,05%, а для реагента-прототипа – с 0,25% (табл. 3 и 4). Особенностью, предопределяющей пролонгированное действие реагента, является его закрепление в глинистой корке. Этот эффект проявляется в продолжительной вымываемости и, как следствие, в количественно высоких смазочных и противоприхватных параметрах. В табл. 4 проиллюстрированы технологические преимущества применения заявляемого реагента в буровых растворах в сравнении с прототипом: фильтрация снижается в 2,1 раза, коэффициенты трения и прихватоопасности – в 3,4 раза соответственно, поверхностное натяжение – в 1,3 раза, повышается термостойкость. Улучшение вышеперечисленных показателей качества буровых растворов имеет большое значение при бурении высокотемпературных и глубоких скважин. Предлагаемое изобретение характеризуется новизной, т.к. в заявляемом бактерицидно-смазочном реагенте впервые получено биологически и технологически активное соединение – комплекс медных солей жирных кислот сульфатного мыла (олеиновой, линолевой, линоленовой) и его щелочной составляющей. Сопоставительный анализ позволяет сделать вывод, что биоцидно-смазочный реагент отличается от известного источником, качественным и количественным составом жирных кислот и щелочи и введением новых компонентов, а именно солей меди и гексаметилентетрамина. Ходатайствуем о присвоении заявляемому биоцидно-смазочному реагенту для буровых технологических жидкостей названия “Кемфор-БС”. Источники информации 1. SU, авторское свидетельство № 960217, кл. С 09 К 7/02, 1980 (аналог). 2. SU, авторское свидетельство № 971860, кл. С 09 К 7/02, 1979 (аналог). 3. SU, авторское свидетельство № 988850, кл. С 09 К 7/02, 1981 (аналог). 4. SU, авторское свидетельство № 985018, кл. С 09 К 7/02, 1981 (аналог). 5. SU, авторское свидетельство № 800179, кл. С 09 К 7/02, 1981 (аналог). 6. Robinson R.F. and Austin R.C. Effect of Copper Bearing Concrete of Molds. Industrial and Engineering Chemistry 43, 9, 2077-2082 (1951) (аналог). 7. RU, патент №2148149, кл. Е 21 В 33/138, 2000 (аналог). 8. RU, патент №2160760, кл. 7 С 09 К 7/00, 1999 (аналог). 9. SU, авторское свидетельство №1044625, кл. С 09 К 7/02, 1982 (аналог). 10. RU, патент №2154084, кл. С 09 К 7/02, 1999 (наиболее близкий аналог).
Формула изобретения
Биоцидно-смазочный реагент для буровых технологических жидкостей, включающий жирные кислоты и гидроксид натрия, отличающийся тем, что в качестве источника жирных кислот и гидроксида натрия он содержит сульфатное мыло и дополнительно – соль меди и гексаметилентетрамин – уротропин при следующем соотношении ингредиентов, мас.%: Соль меди 10,0 – 20,0 Уротропин 0 – 5,0 Сульфатное мыло Остальное
|
||||||||||||||||||||||||||





