Патент на изобретение №2239637
|
||||||||||||||||||||||||||
(54) УЛУЧШЕННЫЙ СПОСОБ ПОЛУЧЕНИЯ 5-[2-ЭТОКСИ-5-(4-МЕТИЛПИПЕРАЗИН-1-ИЛСУЛЬФОНИЛ)ФЕНИЛ]-1 МЕТИЛ-3-Н-ПРОПИЛ-1,6-ДИГИДРО-7H-ПИРАЗОЛ [4,3-D] ПИРИМИДИН-7-ОНА
(57) Реферат:
Изобретение относится к улучшенному способу получения 5-[2-этокси-5-(4-метилпиперазин-1-илсульфонил)-фенил]-1-метил-3-н-пропил-1,6-дигидро-7Н-пиразол[4,3-d]пиримидин-7-она формулы (I) и его фармацевтически приемлемых солей путем взаимодействием соединения формулы (II), где R1 и R2 означает водород или R1 означает водород и R2 означает метил, со смесью муравьиной кислоты и формальдегида в присутствии тетрабутиламмоний бромида, причем соотношение тетрабутиламмоний бромида к исходному соединению составляет от 1:60 до 1:130, предпочтительно 1:100. Предложен также способ получения 5-[2-этокси-5-(4-метилпиперазин-1-илсульфонил)-фенил]-1-метил-3-н-пропил-1,6-дигидро-7Н-пиразол[4,3-d]пиримидин-7-она формулы (I) и его фармацевтически приемлемых солей путем взаимодействия соединения формулы (II), где R1 означает метил, a R2 означает водород, с муравьиной кислотой и формальдегидом или диметилсульфатом в присутствии тетрабутиламмоний бромида, причем соотношение тетрабутиламмоний бромида к исходному соединению составляет от 1:60 до 1:130, предпочтительно 1:100, при необходимости, в присутствии основания, такого как гидроксид натрия, гидроксид калия и карбонат калия. Технический результат – повышение чистоты целевого продукта. 2 с. и 4 з.п. ф-лы.
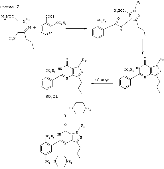
Настоящее изобретение относится к улучшенному и экономичному способу получения 5-[2-этокси-5-(4-метилпиперазин-1-илсульфонил)-фенил]-1-метил-3-н-пропил-1,6-дигидро-7Н-пиразол[4,3-d]пиримидин-7-она и его фармацевтически приемлемых солей. 5-[2-Этокси-5-(4-метилпиперазин-1-илсульфонил)-фенил]-1-метил-3-н-пропил-1,6-дигидро-7Н-пиразол[4,3-d]пиримидин-7-он раскрыт в патенте США US 5250534. Описанный в этом патенте способ включает несколько стадий, и конечный продукт получается с очень низким выходом и низкой степенью чистоты. 5-[2-Этокси-5-(4-метилпиперазин-1-илсульфонил)-фенил]-1-метил-3-н-пропил-1,6-дигидро-7Н-пиразол[4,3-d]пиримидин-7-он и родственные соединения описаны в европейской заявке на патент ЕР 0463756 А1. В указанной заявке раскрыто использование этих соединений при лечении сердечно-сосудистых заболеваний. Такая активность приписана селективному ингибированию циклической гуанозин-3′,5′-монофосфат фосфодиэстеразы (цГМФ ФДЭ), а не циклических аденозин-3′,5′-монофосфат фосфодиэстераз (цАМФ ФДЭ), что приводит к увеличению концентраций цГМФ. Таким образом, эти соединения используют при лечении ряда заболеваний, включая стабильную, нестабильную и вариантную (Принцметала) стенокардию, гипертензию, застойную сердечную недостаточность, атеросклероз, состояния с уменьшенными диаметрами кровеносных сосудов, например после чрескожной внутрипросветной коронарной ангиопластики (пост-ЧВКА), заболевания периферических сосудов, удара, бронхита, хронической астмы, аллергической астмы, аллергического ринита, глаукомы и заболеваний, характеризующихся нарушениями перистальтики кишечника, например синдром раздраженной толстой кишки. Способ получения 5-[2-этокси-5-(4-метилпиперазин-1-илсульфонил)фенил]-1-метил-3-н-пропил-1,6-дигидро-7Н-пиразол[4,3-d]пиримидин-7-она, раскрытый в европейской заявке на патент ЕР-А-0463756, заключается во взаимодействии соединения формулы: с N-метилпиперазином. В европейской заявке на патент ЕР 0463756 А1 описано получение 5-[2-этокси-5-(4-метилпиперазин-1-илсульфонил)-фенил]-1-метил-3-н-пропил-1,6-дигидро-7Н-пиразол[4,3-d]пиримидин-7-она путем O-алкилирования соединения формулы: В более поздней европейской заявке на патент ЕР 08128454 А2 раскрыто получение 5-[2-этокси-5-(4-метилпиперазин-1-илсульфонил)-фенил]-1-метил-3-н-пропил-1,6-дигидро-7Н-пиразол[4,3-d]пиримидин-7-она путем циклизации соединения формулы: в присутствии основания и пероксида. Настоящее изобретение относится к улучшенному способу получения 5-[2-этокси-5-(4-метилпиперазин-1-илсульфонил)-фенил]-1-метил-3-н-пропил-1,6-дигидро-7Н-пиразол[4,3-d]пиримидин-7-она и его предшественника. Способ, соответствующий настоящему изобретению, является экономичным и коммерчески пригодным способом получения 5-[2-этокси-5-(4-метилпиперазин-1-илсульфонил)-фенил]-1-метил-3-н-пропил-1,6-дигидро-7Н-пиразол[4,3-d]пиримидин-7-она повышенной чистоты и с высоким выходом. Настоящее изобретение относится к способу получения 5-[2-этокси-5-(4-метилпиперазин-1-илсульфонил)-фенил]-1-метил-3-н-пропил-1,6-дигидро-7Н-пиразол[4,3-d]пиримидин-7-она путем каталитического метилирования соединения формулы: где R1 и R2 означают водород или R1 означает водород и R2 означает метил, с использованием смеси муравьиной кислоты и формальдегида в присутствии катализатора, такого как тетрабутиламмоний бромид, с получением соединения формулы: Использование тетрабутиламмоний бромида в соответствующих количествах обеспечивает высокий выход готового продукта с наиболее высокой скоростью. Согласно настоящему изобретению соотношение тетрабутиламмоний бромида к исходному соединению составляет от 1:60 до 1:130. В предпочтительном варианте осуществления изобретения соотношение катализатора к исходному соединению составляет 1:100. В соответствии с другим воплощением настоящего изобретения соединение формулы: где R1 означает метил, a R2 означает водород, превращают в соединение формулы: путем взаимодействия с диметилсульфатом, которое можно проводить в присутствии основания и каталитического количества тетрабутиламмоний бромида. Соединение формулы: получают взаимодействием 4-амино-3-н-пропилпиразол-5-карбоксамида с 2-этокси-5-(пиперазин-1-илсульфонил)-бензоилхлоридом с получением промежуточного продукта 4-[2-этокси-5-(пиперазин-1-илсульфонил)-бензамидо]-3-н-пропилпиразол-5-карбоксамида, который циклизуют с использованием основания, выбранного из группы, включающей гидроксид натрия, гидроксид калия или алкоксиды щелочных металлов или смесь любого из указанных выше оснований с пероксидом водорода. Альтернативно его можно получить взаимодействием 4-амино-3-н-пропилпиразол-5-карбоксамида с 2-этоксибензоилхлоридом с получением 4-(2-этоксибензамидо)-3-н-пропилпиразол-5-карбоксамида, который циклизуют, а затем последовательно обрабатывают хлорсульфоновой кислотой, а затем безводным пиперазином. Поэтому путем выбора подходящего пиразола и пиперазина можно получить соединение формулы: Соединение приведенной ниже формулы: где R1 и R2 означают водород или R1 означает водород и R2 означает метил, можно превратить в 5-[2-этокси-5-(4-метилпиперазин-1-илсульфонил)-фенил]-1-метил-3-н-пропил-1,6-дигидро-7Н-пиразол[4,3-d]пиримидин-7-он, т.е. в соединение формулы: взаимодействием со смесью муравьиной кислоты и формальдегида в присутствии катализатора, такого как тетрабутиламминий бромид. Соединение формулы: где R1 означает метил, a R2 означает Н, можно с легкостью превратить в 5-[2-этокси-5-(4-метилпиперазин-1-илсульфонил)-фенил]-1-метил-3-н-пропил-1,6-дигидро-7Н-пиразол[4,3-d]пиримидин-7-он, т.е. в соединение приведенной ниже формулы: или с помощью муравьиной кислоты и формальдегида, или путем метилирования с использованием метилирующего реагента, такого как диметилсульфат, в присутствии катализатора, такого как тетрабутиламминий бромид. С помощью настоящего изобретения можно предоставить коммерчески пригодный способ получения 5-[2-этокси-5-(4-метилпиперазин-1-илсульфонил)-фенил]-1-метил-3-н-пропил-1,6-дигидро-7Н-пиразол[4,3-d]пиримидин-7-она и его предшественника с высоким выходом и высокой чистоты экономически более эффективным способом, чем в предшествующем уровне техники. Соединение формулы: синтезируют с помощью 2 методик, охарактеризованных на приведенных ниже схемах 1 и 2: где R1 и R2 означают водород или R1 означает Н и R2 означает метил, и наоборот. В соответствии с предпочтительным вариантом осуществления настоящего изобретения соединения формулы: получают взаимодействием 4-амино-3-н-пропилпиразол-5-карбоксамида с 2-этокси-5-(пиперазин-1-илсульфокил)-бензоилхлоридом с получением промежуточного продукта, 4-[2-этокси-5-(пиперазин-1-илсульфонил)-бензамидо]-3-н-пропилпиразол-5-карбоксамида, который циклизуют с использованием основания, выбранного из группы, включающей гидроксид натрия, гидроксид калия или алкоксиды щелочных металлов или смесь любого из указанных выше оснований с пероксидом водорода. В соответствии с предпочтительным вариантом осуществления настоящего изобретения соединения формулы: можно получить взаимодействием соединения формулы: со смесью муравьиной кислоты с формальдегидом в присутствии катализатора, такого как тетрабутиламминий бромид. Способ, соответствующий настоящему изобретению, без ограничения его объема описан с помощью приведенных ниже примеров: Пример 1 9,0 г 5-[2-Этокси-5-(пиперазин-1-илсульфонил)-фенил]-3-н-пропил-1,6-дигидро-7Н-пиразоло[4,3-d]пиримидин-7-она медленно прибавляют к смеси 18,4 г муравьиной кислоты с 32,4 г 37% формальдегида. Раствор 15 часов перемешивают при 40-45°С. Для остановки реакции реакционную массу выливают в примерно 2000 мл воды и фильтруют, получая 5,76 г 5-[2-этокси-5-(4-метилпиперазин-1-илсульфонил)-фенил]-1-метил-3-н-пропил-1,6-дигидро-7Н-пиразол[4,3-d]пиримидин-7-она. Чистота 96,5%. Пример 2 Проводят взаимодействие, как в примере 1, в присутствии тетрабутиламмоний бромида в качестве катализатора при сохранении всех других параметров процесса. Концентрация катализатора была, однако, изменена следующим образом. 1. 9,0 г 5-[2-Этокси-5-(пиперазин-1-илсульфонил)-фенил]-3-н-пропил-1,6-дигидро-7Н-пиразоло[4,3-d]пиримидин-7-она медленно прибавляют к смеси 18,4 г муравьиной кислоты с 32,4 г 37% формальдегида и 150 мг тетрабутиламмоний бромида. Раствор 5 часов перемешивают при 40-45°С. Для остановки реакции реакционную массу выливают в примерно 2000 мл воды и фильтруют, получая 6,96 г 5-[2-этокси-5-(4-метилпиперазин-1-илсульфонил)-фенил]-1-метил-3-н-пропил-1,6-дигидро-7Н-пиразол[4,3-d]пиримидин-7-она. Чистота 98,85%. 2. 5-[2-Этокси-5-(пиперазин-1-илсульфонил)-фенил]-3-н-пропил-1,6-дигидро-7Н-пиразоло[4,3-d]пиримидин-7-он (9,0 г) медленно прибавляют к смеси 18,4 г муравьиной кислоты с 32,4 г 37% формальдегида. К полученной реакционной массе затем добавляют тетрабутиламмоний бромид (112,5 мг) и раствор 5 часов перемешивают при 40-45°С. Для остановки реакции реакционную массу выливают в примерно 2000 мл воды и фильтруют, получая 6,96 г 5-[2-этокси-5-(4-метилпиперазин-1-илсульфонил)-фенил]-1-метил-3-н-пропил-1,6-дигидро-7Н-пиразол[4,3-d]пиримидин-7-она. Чистота 99,50%. 3. 9,0 г исходного соединения, 5-[2-этокси-5-(пиперазин-1-илсульфонил)-фенил]-3-н-пропил-1,6-дигидро-7Н-пиразоло[4,3-d]-пиримидин-7-она, постепенно прибавляют к смеси 18,4 г муравьиной кислоты с 32,4 г 37% формальдегида в присутствии 90 мг тетрабутиламмоний бромида. Раствор 5 часов перемешивают, поддерживая температуру между 40-45°С. Для остановки реакции реакционную массу выливают в примерно 2000 мл воды и фильтруют, получая 7,2 г 5-[2-этокси-5-(4-метилпиперазин-1-илсульфонил)-фенил]-1-метил-3-н-пропил-1,6-дигидро-7Н-пиразол[4,3-d]пиримидин-7-она. Чистота 99,69%. 4. 9,0 г 5-[2-Этокси-5-(пиперазин-1-илсульфонил)-фенил]-3-н-пропил-1,6-дигидро-7Н-пиразоло[4,3-d]пиримидин-7-она медленно прибавляют к смеси 18,4 г муравьиной кислоты с 32,4 г 37% формальдегида и 75 мг тетрабутиламмоний бромида. Раствор 5 часов перемешивают при 40-45°С. Для остановки реакции реакционную массу выливают в примерно 2000 мл воды и фильтруют, получая 6,92 г 5-[2-этокси-5-(4-метилпиперазин-1-илсульфонил)-фенил]-1-метил-3-н-пропил-1,6-дигидро-7Н-пиразол[4,3-d]пиримидин-7-она. Чистота 99,52%. 5. 9,0 г 5-[2-Этокси-5-(пиперазин-1-илсульфонил)-фенил]-3-н-пропил-1,6-дигидро-7Н-пиразоло[4,3-d]пиримидин-7-она медленно прибавляют к смеси 18,4 г муравьиной кислоты с 32,4 г 37% формальдегида в присутствии тетрабутиламмоний бромида (64,28 мг). Раствор 5 часов перемешивают при 40-45°С. Для остановки реакции реакционную массу выливают в примерно 2000 мл воды и фильтруют, получая 6,90 г 5-[2-этокси-5-(4-метилпиперазин-1-илсульфонил)-фенил]-1-метил-3-н-пропил-1,6-дигидро-7Н-пиразол[4,3-d]пиримидин-7-она. Чистота 99,50%. Полученный выход был максимален, когда соотношение катализатора к исходному соединению составляло 1:100. Пример 3 5,5 г 5-[2-Этокси-5-(пиперазин-1-илсульфонил)-фенил]-1-метил-3-н-пропил-1,6-дигидро-7Н-пиразоло[4,3-d]пиримидин-7-она при перемешивании медленно прибавляют к смеси 11,04 г муравьиной кислоты с 19,44 г 37% формальдегида. Реакционную массу 20 часов перемешивают при 35-40°С. После завершения реакции для остановки реакции реакционную массу выливают в примерно 2000 мл воды и фильтруют, получая 3,94 г 5-[2-этокси-5-(4-метилпиперазин-1-илсульфонил)-фенил]-1-метил-3-н-пропил-1,6-дигидро-7Н-пиразол[4,3-d]пиримидин-7-она. Чистота 96,75%. Пример 4 Проводят взаимодействие, как в примере 4, в присутствии тетрабутиламмоний бромида в качестве катализатора при сохранении всех других параметров процесса. Соотношение катализатора к исходному соединению варьировалось от 1:90 до 1:150. Обнаружено, что реакция дала оптимальный выход при соотношении 1:100. При уменьшении соотношения от 1:100 до 1:130 выход постепенно уменьшался. Было обнаружено, что ниже этого соотношения (то есть ниже 1:130) катализатора к исходному соединению не происходит какое-либо существенное увеличение выхода. Чистота 99,54%. Пример 5 Суспензию 6,9 г 5-[2-этокси-5-(4-метилпиперазин-1-илсульфонил)-фенил]-3-н-пропил-1,6-дигидро-7Н-пиразоло[4,3-d]пиримидин-7-она и 75 мл ацетона перемешивают при комнатной температуре. Затем медленно прибавляют при комнатной температуре 2,25 г диметилсульфата. Реакционную массу нагревают до 35-40°С и выдерживают 8 часов. После завершения реакции растворитель удаляют отгонкой и остаток для остановки реакции выливают в воду и фильтруют, получая 4,68 г 5-[2-этокси-5-(4-метилпиперазин-1-илсульфонил)-фенил]-1-метил-3-н-пропил-1,6-дигидро-7Н-пиразол[4,3-d]пиримидин-7-она. Чистота 96,58%. Пример 6 Суспензию 6,9 г 5-[2-этокси-5-(4-метилпиперазин-1-илсульфонил)-фенил]-3-н-пропил-1,6-дигидро-7Н-пиразоло[4,3-d]пиримидин-7-она, 75 мл ацетона и 69 мг тетрабутиламмоний бромида перемешивают при комнатной температуре. Затем медленно прибавляют при комнатной температуре 2,25 г диметилсульфата. Реакционную массу нагревают до 35-40°С и выдерживают 2 часов. После завершения реакции растворитель удаляют отгонкой и остаток для остановки реакции выливают в воду и фильтруют, получая 5,85 г 5-[2-этокси-5-(4-метилпиперазин-1-илсульфонил)-фенил]-1-метил-3-н-пропил-1,6-дигидро-7Н-пиразол[4,3-d]пиримидин-7-она. Чистота 99,56%. Пример 7 Реакцию, как в примере 6, проводили при различных соотношениях катализатора к исходному соединению при сохранении всех других параметров процесса. Отобранные соотношения были – 1:110, 1:100, 1:80, 1:60 и 1:40. Выход конечного продукта был соответственно 5,75; 5,85; 5,79; 5,78 и 5,78. Средняя чистота полученного конечного продукта 99,58%.
Формула изобретения
1. Способ получения 5-[2-этокси-5-(4-метилпиперазин-1-илсульфонил)-фенил]-1-метил-3-н-пропил-1,6-дигидро-7Н-пиразол[4,3-d]пиримидин-7-она формулы (I) и его фармацевтически приемлемых солей путем взаимодействия соединения формулы (II) где R1 и R2 означают водород или R1 означает водород и R2 означает метил, со смесью муравьиной кислоты и формальдегида в присутствии тетрабутиламмоний бромида, причем соотношение тетрабутиламмоний бромида к исходному соединению составляет от 1:60 до 1:130. 2. Способ по п.1, в котором соотношение тетрабутиламмоний бромида к исходному соединению составляет 1:100. 3. Способ получения 5-[2-этокси-5-(4-метилпиперазин-1-илсульфонил)-фенил]-1-метил-3-н-пропил-1,6-дигидро-7Н-пиразол[4,3-d]пиримидин-7-она формулы (I) и его фармацевтически приемлемых солей путем взаимодействия соединения формулы (II) где R1 означает метил; R2 означает водород, с муравьиной кислотой и формальдегидом или диметилсульфатом в присутствии тетрабутиламмоний бромида, причем соотношение тетрабутиламмоний бромида к исходному соединению составляет от 1:60 до 1:130. 4. Способ по п.3, в котором соотношение тетрабутиламмоний бромида к исходному соединению составляет 1:100. 5. Способ по п.4, в котором используют диметилсульфат, и реакцию проводят в присутствии основания. 6. Способ по п.5, в котором указанное основание выбирают из группы, включающей гидроксид натрия, гидроксид калия и карбонат калия.
|
||||||||||||||||||||||||||























