Патент на изобретение №2239454
|
||||||||||||||||||||||||||
(54) ФАРМАЦЕВТИЧЕСКАЯ КОМПОЗИЦИЯ ДЛЯ ПРЕДОТВРАЩЕНИЯ, ЛЕЧЕНИЯ ИЛИ ИНГИБИРОВАНИЯ РАЗВИТИЯ ПРОСТОЙ РЕТИНОПАТИИ И ПРЕПРОЛИФЕРИРУЮЩЕЙ РЕТИНОПАТИИ
(57) Реферат:
Изобретение относится к химико-фармацевтической промышленности и касается фармацевтической композиции, содержащей 2-этокси-1-[[2′-(1Н-тетразол-5-ил)бифенил-4-ил]метил]бензимидазол-7-карбоновую кислоту или 2-этокси-1-[[2′-(1Н-тетразол-5-ил)бифенил-4-ил]метил]бензимидазол-7-карбоксилат, для предотвращения, лечения или ингибирования развития простой ретинопатии или препролиферативной ретинопатии; способа предотвращения, лечения или ингибирования развития простой ретинопатии или препролиферативной ретинопатии; а также применения 2-этокси-1-[[2′-(1 Н-тетразол-5-ил)бифенил-4-ил]метил]бензимидазол-7-карбоновой кислоты или 2-этокси-1-[[2′-(1Н-тетразол-5-ил)бифенил-4-ил]метил]бензимидазол-7-карбоксилата. Фармацевтическая композиция обладает повышенной эффективностью и биодоступностью. 3 н.п. ф-лы, 1 табл.
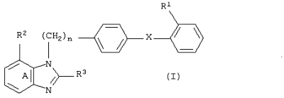
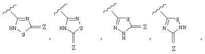
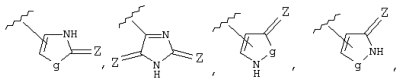
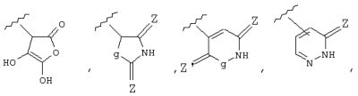
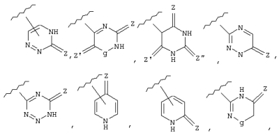
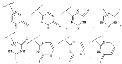
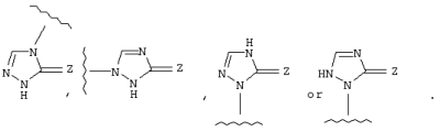
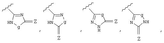
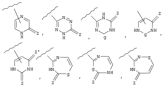
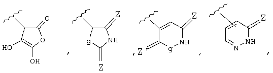
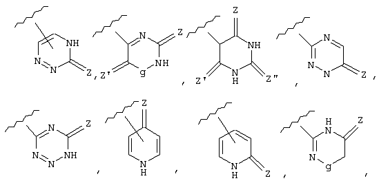
Область изобретения Настоящее изобретение относится к фармацевтической композиции для предотвращения, лечения или ингибирования развития простой ретинопатии и препролиферирующей ретинопатии, которая включает в качестве активного ингредиента соединение, обладающее антагонистической активностью в отношении ангиотензина II, или его соль. Известный уровень техники Диабетическая ретинопатия представляет собой осложнение диабета, которое вызвано микроангиопатией, связанной с гипергликемией, и длительность диабета пациентов с осложненной диабетической ретинопатией становится все больше и больше. Сообщается, что не менее 80% страдающих диабетом пациентов будут страдать от ретинопатии, сопровождающей диабет, до истечения двух десятилетий с момента развития диабета. Диабетическая ретинопатия развивается в простую ретинопатию, препролиферирующую ретинопатию и пролиферирующую ретинопатию. При простой ретинопатии наблюдаются увеличение проницаемости сосудов, отек сетчатки, уплотнение основания мембран, нарушения в сосудистых эндотелиальных клетках, исчезновение перицитов и т.д. Если наблюдается ухудшение потенциала сетчатки (зрительная функция) с последующей закупоркой сосудов, тогда диагностируется препролиферирующая ретинопатия, которая в итоге развивается в пролиферирующую ретинопатию, при которой наблюдаются гиперплазия мембран соединительной ткани и неоваскуляризация. В некоторых случаях пролиферирующая ретинопатия сопровождается отторжением сетчатки. Пациенты не чувствуют субъективных симптомов пролиферирующей ретинопатии. Поэтому, когда они чувствуют, что с глазами что-то не в порядке, во многих случаях оказывается слишком поздно. Поэтому очень важно предотвратить, или вылечить ретинопатию, или ингибировать ее развитие на ранней стадии. Кроме того, диабетическая ретинопатия является основной причиной слепоты у взрослых, и это вызывает серьезные социальные проблемы в плане комфортной общественной жизни. Основными способами лечения ретинопатии в настоящее время являются лазерная фотокоагуляция, когда неоваскуляризация наблюдается в глазном дне, или витрэктомию проводят на стекловидном теле, когда диабет уже развился, и наблюдаются гиперплазия мембран соединительной ткани и отторжение сетчатки. Однако лечение с помощью фотокоагуляции или операции на стекловидном теле в некоторых случая оказываются невозможными в зависимости от участка, затронутого болезнью, и в других случаях, четкость зрения не восстанавливается даже, если операция прошла успешно. С учетом этих обстоятельств весьма желательно создание фармацевтической композиции, способной лечить диабетическую ретинопатию на ранних стадиях. Соединения, обладающие антагонистической активностью в отношении ангиотензина II, известны как агенты для лечения циркуляторных заболеваний, таких как гипертония, болезни сердца сердца и т.д.), церебральное кровотечение, нефрит и т.д. (см. японскую патентную публикацию без экспертизы №4-364171/1992 и т.д.). Считается, что механизм действия такого соединения осуществляется в результате ингибирования связывания ангиотензина II (сильного вазоконстриктора) с рецептором ангиотензина II. Пациенты, страдающие диабетом, имеют осложненную гипертонию гораздо чаще, чем пациенты без диабета, и гипертония является одним из основных критических факторов, вызывающих возникновение и развитие ретинопатии. У пациентов, страдающих диабетом с осложненной ретинопатией, имеют в крови более высокие уровни ангиотензин-трансформирующих ферментов, способных продуцировать ангиотензин II, обладающий сильным вазоконстрикторным действием, нежели у пациентов без диабета, и из пациентов, страдающих диабетом, пациенты с пролиферирующей ретинопатией, имеют тенденцию к более высоким уровням в крови таких ферментов, нежели пациенты без пролиферирующей ретинопатии. В последнее время были предприняты исследования для выяснения патологии диабетической ретинопатии, и считают, что сосудистый эндотелиальный фактор роста (VEGF), который оказывает потенциальное действие на рост эндотелиальных клеток, и стеническое действие на проницаемость сосудов, будет индуцировать пролиферирующую ретинопатию, которая является конечным симптомом диабетической ретинопатии, благодаря физиологическому действию VEGF, вызовет повышение уровня VEGF в стекловидном теле у пациентов с пролиферирующей ретинопатией и возникновение экспрессии VEGF на сетчатке в модельных опытах на животных. VEGF обладает также потенциальным стеническим действием на проницаемость сосудов, и считают, что VEGF вызывает отек сетчатки, наблюдающийся при простой ретинопатии или препролиферирующей ретинопатии. Сообщают, что в сетчатке была обнаружена индивидуальная система ренин-ангиотензин, и становится очевидным, что ангиотензин II ускоряет продуцирование VEGF в тканях сетчатки. Эти факты дают возможность предположить, что система ренин-ангиотензин принимает участие в диабетической ретинопатии. Описание изобретение В настоящем изобретении предложена фармацевтическая композиция, которую можно использовать для предотвращения, лечения или ингибирования развития простой ретинопатии или препролиферирующей ретинопатии. Учитывая вышеизложенные обстоятельства, авторы настоящего изобретения предприняли интенсивные исследования фармацевтических композиций, пригодных для предотвращения, лечения или ингибирования развития ретинопатии или препролиферирующей ретинопатии, и в результате обнаружили, что использование соединения, обладающего антагонистической активностью в отношении ангиотензина II, особенно соединения, обладающего антагонистической активностью в отношении ангиотензина II, конкретной формулы очень эффективно не только в отношении улучшения потенциала сетчатки (зрительной функции) и уменьшения отека сетчатки (нарушения в тканях), но также предотвращает, лечит или ингибирует развитие простой ретинопатии или препролиферирующей ретинопатии. Они провели дальнейшие исследования на основании этих открытий и выполнили настоящее изобретение. Таким образом, настоящее изображение относится к следующему. (1) Фармацевтическая композиция для предотвращения, лечения или ингибирования развития простой ретинопатии или препролиферирующей ретинопатии, которая включает соединение, обладающее антагонистической активностью в отношении ангиотензина II (соединение, обладающее антагонистической активностью в отношении рецептора ангиотензина II), или его пролекарственную форму, или его соль; (2) композиция по вышеуказанному (1), где соединение, обладающее антагонистической активностью в отношении ангиотензина II, является непептидным соединением; (3) композиция по вышеуказанному (1), где соединение, обладающее антагонистической активностью в отношении ангиотензина II, имеет в молекуле атом кислорода; (4) композиция по вышеуказанному (1), где соединение, обладающее антагонистической активностью в отношении ангиотензина II, представляет соединение, содержащее простую эфирную связь или карбонильную группу; (5) композиция по вышеуказанному (1), где соединение, обладающее антагонистической активностью в отношении ангиотензина II, является соединением формулы (I): где R1 представляет группу, способную образовывать анион, или группу, способную превращаться в него, Х указывает, что фениленовая группа и фенильная группа связаны друг с другом непосредственно или через спейсер, содержащий в цепи два атома или менее, n является целым числом 1 или 2, кольцо А представляет бензольное кольцо, необязательно содержащее заместитель, в дополнении к группе R2, R2 представляет группу, способную образовывать анион, или группу, способную в него превращаться, и R3 представляет необязательно замещенный углеводородный остаток, который может связываться через гетероатом. (6) композиция по вышеуказанному (1), где соединение, обладающее антагонистической активностью в отношении ангиотензина II, является Losartan, Eprosartan, Candesartan, Candesartan cilexetil, Valsartan, Telmisartan, Irbesartan или Tasosartan; (7) композиция по вышеуказанному (1), где соединение, обладающее антагонистической активностью в отношении ангиотензина II, является 2-этокси-1-[[2′-(1Н-тетразол-5-ил)бифенил-4-ил]метил]бензимидазол-7-карбоновой кислотой; (8) композиция по вышеуказанному (1), где соединение, обладающее антагонистической активностью в отношении ангиотензина II, является 1-(циклогексилоксикарбонилокси)этил 2-этокси-1-[[2′-(1Н-тетразол-5-ил)бифенил-4-ил]метил]бензимидазол-7-карбоксилатом; (9) Композиция по вышеуказанному (1), где соединение, обладающее антагонистической активностью в отношении ангиотензина II, является 2-этокси-1-[[2′-(2,5-дигидро-5-оксо-1,2,4-оксадиазол-3-ил)-бифенил-4-ил]метил]бензимидазол-7-карбоновой кислотой; и (10) композиция по вышеуказанному (1), где соединение, обладающее антагонистической активностью в отношении ангиотензина II, является композицией по (1), которая является агентом для улучшения потенциала сетчатки или уменьшения отека сетчатки. В настоящем описании антагонистическая активность ангиотензина II состоит в полном или неполном ингибировании связывания ангиотензина II с рецепторами ангиотензина II на клеточных мембранах с тем, чтобы ослабить потенциальное вазоконстрикторное действие или пролиферативное действие сосудов гладкой мускулатуры, вызванное ангиотензином II, и ослабить симптомы гипертонии. Соединение, обладающее антагонистической активностью в отношении ангиотензина II, пригодное для использования в настоящем изобретении, может быть либо пептидным, либо непептидным соединением. С учетом преимуществ пролонгированного действия предпочтительны непептидные соединения. обладающие антагонистической активностью в отношении ангиотензина II. В качестве соединения, обладающего антагонистической активностью в отношении ангиотензина II, предпочтительны соединения, содержащие в молекуле атом кислорода, более предпочтительны соединения содержащие простую эфирную связь или карбонильную группу (указанная карбонильная группа может образовывать гидроксильную группу при резонансе), еще более предпочтительны соединения, содержащие простую эфирную связь или производное кетона, и особенно предпочтительны эфирные соединения. Для целей настоящего изобретения можно использовать любое непептидное соединение, обладающее антагонистической активностью в отношении ангиотензина II. Примеры указанных соединений включают производные имидазола, раскрытые в японской патентной публикации без экспертизы No. 71073/1981, в японской патентной публикации без экспертизы No. 71074/1981, в японской патентной публикации без экспертизы No. 98270/1982, в японской патентной публикации без экспертизы No. 157768/1983, в патенте США 4355040, в патенте США 4340598 и т.д.; модифицированные производные имидазола, раскрытые в ЕР-253310, ЕР-291969, ЕР-324377, ЕР-403158, МО-9100277, в японской патентной публикации без экспертизы No.23868/1988, в японской патентной публикации без экспертизы No.117876/1989 и т.д.; производные пиррола, пиразола и триазола, раскрытые в патенте США 5183899, в ЕР-323841, в ЕР-409332, в японской патентной публикации без экспертизы No.287071/1989 и т.д.; производные бензимидазола, раскрытые в патенте США 4880804, в ЕР-0392317, в ЕР-0399732, в ЕР-0400835, в ЕР-425921, в ЕР-459136, в японской патентной публикации без экспертизы No.63264/1991 и т.д.; производные азаиндена, раскрытые в ЕР-399731, и.т.д.; производные пиримидона, раскрытые в ЕР-407342, и т.д.; производные хиназолина, раскрытые в ЕР-411766, и т.д.; производные ксантина, раскрытые в ЕР-430300, и т. д.; конденсированные производные имидазола, раскрытые в ЕР-434038, и т.д..; производные пиримидиндиона, раскрытые в ЕР-442473, и т.д.; производные тиенопиридона, раскрытые в ЕР-443568, и т.д.; гетероциклические соединения, раскрытые в ЕР-445811, в ЕР-483683, в ЕР-518033, в ЕР-520423, в ЕР-588299, в ЕР-603712, и т.д. Кроме того, их представительные соединения раскрыты в Journal of Medicinal Chemistry, Vol.39, No.3, pages 625-656 (1996). В качестве непептидных соединений, обладающих антагонистической активностью в отношении ангиотензина II, можно использовать любые соединения в дополнении к соединениям, указанным в вышеприведенных ссылках, если только они обладают антагонистической активностью в отношении ангиотензина II. Наряду с другими предпочтительны Losartan (DuP753), Eprosartan (SK&F108566), Candesartan cilexetil (TCV-116), Valsartan (CGP-48933), Telmisartan (BIBR277), Irbesartan (SR47436), Tasosartan (ANA-756), их активные метаболиты (Candesartan и т.д.). Предпочтительные примеры непептидных соединений, обладающих антагонистической активностью в отношении ангиотензина II, включают, например, производные бензимидазола формулы (I): где R1 представляет группу, способную образовывать анион, или группу, способную в него превращаться, Х указывает, что фениленовая группа и фенильная группа связаны друг с другом непосредственно или через спейсер, цепочка которого состоит из 2 или менее атомов, n представляет целое число 1 или 2, кольцо А представляет бензольное кольцо, необязательно содержащее заместитель в дополнение к группе R2, R2 представляет группу, способную образовывать анион, или группу, способную в него превращаться, и R3 представляет необязательно замещенный углеводородный остаток, который может быть связан через гетероатом (предпочтительно необязательно замещенный углеводородный остаток, который связывается через атом кислорода), и т.д., или его соль. В вышеприведенной формуле (I) группа, способная образовывать анион (группа, содержащая атом водорода, способный отщепляться в виде протона) в качестве R1 включает, например, (1) карбоксильную группу, (2) тетразолильную группу, (3) амидогруппу трифторметансульфоновой кислоты (-NHSO2CF3), (4) фосфоногруппу, (5) сульфогруппу, (6) остаток необязательно замещенного 5- до 7-членного (предпочтительно 5- или 6-членного) моноциклического гетероциклического кольца, которое содержит один или более из N, S и О, и т.д. Примеры вышеуказанного “остатка необязательно замещенного 5- до 7-членного (предпочтительно 5- или 6-членного) моноциклического гетероциклического кольца, которое содержит один или более из N, S и О” включают и т.д. Химическая связь между остатком гетероциклического кольца, представленного R1, и фенильной группой, с которой связан указанный остаток гетероциклического кольца, может быть углерод-углеродной связью, как представлено выше, или азот-углеродной связью через один из нескольких атомов азота, если символом g обозначен -NH-, и т.д. в вышеуказанных формулах. Например, если R1 представлен формулой его конкретными вариантами являются Другие примеры связывания R1 через атом азота включают и т.д. в вышеуказанных формулах g представляет -СН2-, -NH-, -О- или S(O)m; >=Z, >=Z’ и >=Z” независимо представляют карбонильную группу, тиокарбонильную группу или необязательно окисленный атом серы (например, S, S(O), S(O)2 и т.д.) (предпочтительно карбонильную группу или тиокарбонильную группу, более предпочтительно карбонильную группу); и m представляет целое число 0, 1 или 2. Предпочтительные примеры остатка гетероциклического кольца, представленного R1, включают остаток гетероциклического кольца, одновременно содержащий -NH- или -ОН группу в качестве донора протонов, и карбонильную группу, тиокарбонильную группу, сульфинильную группу, и т.д. в качестве акцептора протонов, такой, как остаток оксадиазолонового кольца, оксадиазолотионового кольца, или тиадиазолонового кольца, и т.д. Хотя остаток гетероциклического кольца, представленный R1, может образовывать конденсированное кольцо, соединяясь с заместителями у гетероциклического кольца, он предпочтительно является остатком 5- или 6-членного кольца, более предпочтительно остатком 5-членного кольца. Предпочтительные примеры остатка гетероциклического кольца, представленного R1, включают группу формулы где i представляет -O- или -S-, j представляет >=O, >=S или >=S(O)m, и m принимает указанные выше значения (предпочтительно 2,5-дигидро-5-оксо-1,2,4-оксадиазол-3-ил, 2,5-дигидро-5-тиоксо-1,2,4-оксадиазол-3-ил, 2,5-дигидро-5-оксо-1,2,4-тиадиазол-3-ил; более предпочтительно 2,5-дигидро-5-оксо-1,2,4-оксадиазол-3-ил). Вышеуказанный остаток гетероциклического кольца (R1) имеет следующие таутомерные изомеры. Например, в если Z представляет О и g представляет О, существуют три таутомерных изомера а’, b’ и с’, и группа формулы включает все вышеуказанные а’, b’ и с’. Группа, способная образовывать анион в качестве R1, может быть защищена необязательно замещенной низшей (C1-4) алкильной группой, ацильной группой (например, низшим (С2-5)алканоилом, бензоилом и т.д.), и т.д., в ее возможных положениях. Примеры необязательно замещенной низшей (C1-4) алкильной группы включают (1) низшую (C1-4) алкильную группу, необязательно замещенную одной-тремя фенильными группами, которые могут содержать атом галогена, нитро, низший (С1-4) алкил, низшую (C1-4)-алкокси, и т.д. (например, метил, трифенилметил, р–метоксибензил, р-нитробензил, и т.д.); (2) низшую (C1-4) алкокси-низшую (C1-4) алкильную группу (например, метоксиметил, этоксиметил и т.д.); (3) группу формулы -CH(R4) -OCOR5, где R4 представляет (а) водород, (b) неразветвленную или разветвленную низшую (С1-6) алкильную группу (например, метил, этил, н-пропил, изопропил, н-бутил, изобутил, трет-бутил, н-пентил, изопентил, неопентил и т.д.), (с) неразветвленную или разветвленную низшую С2-6 алкенильную группу или (d) С3-8 циклоалкильную группу (например, циклопентил, циклогексил, циклогептил и т.д.), и R5 представляет (а) неразветвленную или разветвленную низшую C1-6 алкильную группу (например, метил, этил, н-пропил, изопропил, н-бутил, изобутил, втор-бутил, трет-бутил, н-пентил, изопентил, неопентил и т.д.), (b) неразветвленную или разветвленную низшую С2-6 алкенильную группу, (с) низшую С1-3 алкильную группу, замещенную С3-8 циклоалкильной группой (например, циклопентилом, циклогексилом, циклогептилом и т.д.), или необязательно замещенную арильную группу (например, фенильную группой, нафтильную группой и т.д., необязательно содержащую атом галогена, нитро, низший (С1-4)алкил, низшую (C1-4) алкокси и т.д.) такую как бензил, р-хлорбензил, фенэтил, циклопентилметил, циклогексилметил, и т.д., (d) низшую С2-3 алкенильную группу, замещенную С3-8 ациклоалкилом, или необязательно замещенную арильную группу (например, фенильную группу, нафтильную группу и т.д., необязательно содержащую атом галогена, нитро, низший (С1-4) алкил, низшую (C1-4) алкокси и т.д.) такую как циннамил, и т.д., содержащую алкенильный фрагмент, такую как винил, пропенил, аллил, изопропенил, и т.д., (е) необязательно замещенную арильную группу (например, фенильную группу, нафтильную группу и т.д., необязательно содержащую атом галогена, нитро, низший (C1-4) алкил, низшую (C1-4) алкокси и т.д.), такую как фенил, р-толил, нафтил, и т.д., (f) неразветвленную или разветвленную низшую C1-6 алкоксигруппу (например, метокси, этокси, н-пропокси, изопропокси, н-бутокси, изобутокси, втор-бутокси, трет-бутокси, н-пентилокси, изопентилокси, неопентилокси и т.д.), (g) неразветвленную или разветвленную низшую C2-8 алкенилоксигруппу (например, аллилокси, изобутенилокси и т.д.), (h) С3-8 циклоалкилоксигруппу (например, циклопентилокси, циклогексилокси, циклогептилокси и т.д.), (i) низшую C1-3 алкоксигруппу, замещенную С3-8 циклоалкилом (например, циклопентилом, циклогексилом, циклогептилом и т.д.) или необязательно замещенную арильную группу (например, фенильную группу, нафтильную группу и т.д., необязательно содержащую атом галогена, нитро, низший (С1-4)алкил, низшую (C1-4) алкокси и т.д.), такую как бензилокси, фенэтилокси, циклопентилметокси, циклогексилметокси и т.д., содержащую алкокси фрагмент, такой как метокси, этокси н-пропокси, изопропокси, и т.д.), (j) низшую С2-3 алкенилоксигруппу, замещенную С3-8 циклоалкилом (например, циклопентилом, циклогексилом, циклогептилом и т.д.), или необязательно замещенную арильную группу (например, фенильную группу, нафтильную группу и т.д., необязательно содержащую атом галогена, нитро, низший (C1-4) алкил, низшую (C1-4) алкокси и т.д.), такую как циннамилокси и т.д., содержащую алкенилокси фрагмент, такой как винилокси, пропенилокси, аллилокси, изопропенилокси, и т.д. или (k) необязательно замещенную арилоксигруппу (например, феноксигруппу, нафтоксигруппу и т.д., необязательно содержащую атом галогена, нитро, низший (C1-4)алкил, низшую (C1-4) алкокси и т.д.), такую как фенокси р – нитрофенокси, нафтокси, и т.д.; Группа, способная образовывать анион, в качестве R1 может быть замещенной, в дополнении к вышеуказанной защитной группе, такой как необязательно замещенная низшая (С1-4) алкильная группа, или ацильная группа (например, низший (С2-5) алканоил, бензоил и т.д.), и т.д., необязательно замещенной низшей (C1-5) алкильной группой (например, необязательно замещенной низшей (C1-4) алкильной группой, аналогичной “необязательно замещенной низшей (C1-4) алкильной группе”, примеры которой представлены в качестве защитной группы для вышеуказанной группы, способной образовывать анион в качестве R1), атомом галогена, нитро, циано, низшей (C1-4) алкокси, амино, необязательно замещенной 1-2 низшими (C1-4)алкильными группами и т.д., в ее возможных положениях. В вышеуказанной формуле группа, превращаемая в группу, способную образовывать анион (группа, содержащая атом водорода, способный отщепляться в виде протона), в качестве R’ может быть группой, превращаемой в группу, способную образовывать анион в биологических или физиологических условиях (например, в in vivo реакциях и т.д., таких как окисление, восстановление, гидролиз и т.д. за счет in vivo ферментов, и т.д.) [так называемые пролекарства], или группа, превращаемая в группу, способную образовывать анион, представленная R1, может быть группой, химическим путем превращаемой в группу, способную образовывать анион, такой как циано, N-гидроксикарбамимидоилгруппа (-С(=N-OH)-NH2), группой, выбранной из класса, состоящего из (1) карбоксильной группы, (2) тетразолильной группы, (3) амидогруппы трифторметансульфоновой кислоты (-NHSO2СF3), (4) фосфоногруппы, (5) сульфогруппы и (6) необязательно замещенного остатка моноциклического 5- до 7-членного (предпочтительно 5- или 6-членного) гетероциклического кольца, которое содержит один или более из N, S и O, каждый из которых защищен необязательно замещенной низшей (C1-4) алкильной группой или ацильной группой, и т.д. [так называемое синтетическое промежуточное]. В качестве группы R1 предпочтительны карбоксил, тетразолил или 4,5-дигидро-5-оксо-1,2,4-оксадиазол-3-ил (предпочтительно тетразолил), каждый из которых может быть защищен необязательно замещенным низшим (C1-4) алкилом (например, метилом, трифенилметилом, метоксиметилом, этоксиметилом, р-метоксибензилом, р-нитробензилом и т.д.) или ацильной группой (например, низшим (С2-5) алканоилом, бензоилом и т.д.); или циано, или N-гидроксикарбамимидоил (предпочтительно циано). Среди других предпочтительно циано. В вышеуказанной формуле Х указывает, что фениленовая группа связана с соседней фенильной группой непосредственно или через промежуточную цепочку, состоящую из 2 или менее атомов (предпочтительно непосредственно). Примеры промежуточной цепочки, содержащей 2 или менее атомов, включают любую двухвалентную цепочку, в которой число атомов, составляющих неразветвленную цепочку, составляет 1 или 2, и которая может иметь боковую цепочку, и конкретно низший (С1-4) алкилен, в котором число атомов, составляющих неразветвленную цепочку, равно 1 или 2, -СО-, -О-, -S-, -NH-, -CO-NH-, -O-СН2-, -S-CH2-, -СН=СН-, и т.д. В вышеуказанной формуле n представляет целое число 1 или 2 (предпочтительно 1). В вышеуказанной формуле кольцо А может содержать, помимо группы R2, другой заместитель, например (1) галоген (например, F, Cl, Вr и т.д.), (2) циано, (3) нитро, (4) необязательно замещенный низший (C1-4) алкил, (5) низшую (C1-4) алкокси, (6) необязательно замещенную аминогруппу (например, амино, N-низшую (C1-4)алкиламино (например, метиламино и т.д.), N,N-ди-низшую (C1-4) алкиламино (например, диметиламино, и т.д.), N-ариламино (например, фениламино и т.д.), адлициклическую аминогруппу (например, морфолино, пиперидино, пиперазино, N-фенилпиперазино и т.д.), и т.д.), (7) группу формулы -CO-D’, где D’ представляет гидроксильную группу, или низшую (C1-4) алкокси, алкильный фрагмент которой может быть замещен гидроксильной группой, низшей (C1-4) алкокси, низшей (С2-6) алканоилокси (например, ацетокси, пивалоилокси и т.д.), низшей (C1-6) алкоксикарбонилокси (например, метоксикарбонилокси, этоксикарбонилокси и т.д.), или низшей (C1-4) циклоалкоксикарбонилокси (например, циклогексилоксикарбонилокси и т.д.), или (8) тетразолил, амидную группу трифторметансульфоновой кислоты, фосфоногруппу или сульфогруппу, каждая из которых может быть защищена необязательно замещенным низшим (C1-4) алкилом (“необязательно замещенная низшая (C1-4) алкильная группа” аналогична той, примеры которой приведены в качестве защитной группы для вышеуказанной группы, способной образовывать анион, представленной R1, и т.д.) или ацилом (например, низшим (С2-5) алканоилом, бензоилом и т.д.), и т.д. Из этих заместителей один или два могут одновременно присутствовать в любом возможном положении бензольного кольца, помимо группы R2, и предпочтительные примеры заместителей у бензольного кольца, представленного А, включают необязательно замещенный низший (С1-4)алкил (например, низший (C1-4) алкил, и т.д., необязательно замещенный гидроксильной группой, карбоксильной группой, галогеном и т.д.), галоген и т.д. В качестве кольца А предпочтительно бензольное кольцо, у которого нет заместителей, кроме группы R2 . В вышеуказанной формуле примеры группы, способной образовывать анион (группы, содержащей атом водорода, способный отщепляться в виде протона), в качестве R2, включают (1) необязательно эстерифицированную или амидированную карбоксильную группу (2) тетразолильную группу, (3) амидогруппу трифторметансульфоновой кислоты (-NHSО2СF3), (4) фосфоногруппу, (5) сульфогруппу, и т.д., каждая из которых может быть защищена необязательно замещенной низшей (C1-4) алкильной группой (например, необязательно замещенной низшей (C1-4) алкильной группой, аналогичной “необязательно замещенной низшей (C1-4) алкильной группе”, примеры которой приведены в качестве защитной группы для вышеуказанной группы, способной образовывать анион, в качестве R1), или ацильной группой (например, низшим (С2-5) алканоилом, бензоилом и т.д.), или любую из групп, способных в нее превращаться в биологических или физиологических условиях (например, в in vivo реакциях и т.д., таких как окисление, восстановление, гидролиз и т.д. под действием in vivo ферментов, и т.д.), или химическим способом. Примеры необязательно эстерифицированного или амидированного карбоксила в качестве R2 включают группу формулы -CO-D, где D представляет (1) гидроксильную группу, (2) необязательно замещенную амино (например, амино, N-низшую (C1-4) алкиламино, N, N-ди-низшую (С1-4) алкиламино и т.д.) или (3) необязательно замещенную алкокси [например, (1) низшую (C1-6) алкоксигруппу, алкильный фрагмент которой необязательно замещен гидроксильной группой, необязательно замещенной амино (например, амино, N-низшей (C1-4) алкиламино, N,N-ди-низшей (C1-4) алкиламино, пиперидино, морфолино и т.д.), галогеном, низшей (C1-6) алкокси, низшей (C1-6) алкилтио, низшей (С3-8) циклоалкокси или необязательно замещенным диоксоленилом (например, 5-метил-2-оксо-1,3-диоксолен-4-ил и т.д.), или (ii) группу формулы -O-СН(R6)-OCOR7, где R6 представляет (а) а водород, (b) неразветвленную или разветвленную C1-6 низшую алкильную группу (например, метил, этил, н-пропил, изопропил, н-бутил, изобутил, трет-бутил, н-пентил, изопентил, неопентил, и т.д.), (с) неразветвленную или разветвленную C1-6 низшую алкенильную группу или (d) С3-8 циклоалкильную группу (например, циклопентил, циклогексил, циклогептил и т.д.), и R7 представляет (а) неразветвленную или разветвленную C1-6 низшую алкильную группу (например, метил, этил, н-пропил, изопропил, н-бутил, изобутил, втор-бутил, трет-бутил, н-пентил, изопентил, неопентил и т.д.), (b) неразветвленную или разветвленную С2-6 низшую алкенильную группу (с) низшую C1-3алкильную группу, замещенную C3-8 циклоалкильной группой (например, циклопентилом, циклогексилом, циклогептилом и т.д.) или необязательно замещенной арильной группой (например, фенильной группой, нафтильной группой и т.д., необязательно содержащей атом галогена, нитро, низший (C1-4) алкил, низшую (C1-4) алкокси, и т.д.), такой как бензил, р-хлорбензил, фенэтил, циклопентилметил, циклогексилметил, и т.д., (d) низшую С2-3 алкенильную группу, замещенную С3-8 циклоалкилом или необязательно замещенной арильной группой (например, фенильной группой, нафтильной группой и т.д., необязательно содержащей атом галогена, нитро, низший (С1-4)алкил, низшую (C1-4) алкокси и т.д.), такой как циннамил, и т.д., содержащей алкенильный фрагмент, такой как винил, пропенил, аллил, изопропенил, и т.д., (е) необязательно замещенную арильную группу (например, фенильную группу, нафтильную группу и т.д., необязательно содержащую атом галогена, нитро, низший (С1-4)алкил, низшую (C1-4) алкокси и т.д.), такую как фенил, р-толил, нафтил, и т.д., (f) неразветвленную или разветвленную низшую С1-6 алкоксигруппу (например, метокси, этокси, н-пропокси, изопропокси, н-бутокси, изобутокси, втор-бутокси, трет-бутилокси, н-пентилокси, изопентилокси, неопентилокси и т.д.), (g) неразветвленную или разветвленную низшую С2-8 алкенилоксигруппу (например, аллилокси, изобутенилокси и т.д.), (h) C3-8 циклоалкилоксигруппу (например, циклопентилокси, циклогексилокси, циклогептилокси и т.д.), (h) низшую C1-3 группу, замещенную С3-8 циклоалкилом (например, циклопентилом, циклогексилом, циклогептилом и т.д.), или необязательно замещенной арильной группой (например, фенильной группой, нафтильной группой и т.д., необязательно содержащей атом галогена, нитро, низший (С1-4)алкил, низшую (С1-4) алкокси и т.д.), такой как бензилокси, фенэтокси, циклопентилметокси, циклогексилметокси и т.д., содержащей алкокси фрагмент, такой как метокси, этокси, н-пропокси, изопропокси, и т.д., и т.д.), (j) низшую С2-3 алкенилоксигруппу, замещенную C3-8 циклоалкилом (например, циклопентилом, циклогексилом, циклогептилом, и т.д.), или необязательно замещенную арильную группу (например, фенильную группу, или нафтильную группу, и т.д., необязательно содержащую атом галогена, нитро, низший (C1-4) алкил, низшую (C1-4) алкокси и т.д.), такую как циннамилокси и т.д., содержащую алкенилокси фрагмент, такой как винилокси, пропенилокси, аллилокси, изопропенилокси, и т.д. или (k) необязательно замещенную арилоксигруппу (например, феноксигруппу, нафтоксигруппу и т.д., необязательно содержащую атом галогена, нитро, низший (С1-4)алкил, низшую (C1-4) алкокси и т.д.), такую как фенокси, р-нитрофенокси, нафтокси, и т.д.], и т.д. В качестве R2 предпочтительна необязательно эстерифицированная карбокси, и ее конкретные примеры включают -СООН и ее соли, -СООМе, -COOEt, -COOtBu, -COOPr, пивалоилоксиметоксикарбонил, 1-(циклогексилоксикарбонилокси)этоксикарбонил, 5-метил-2-оксо-1,3-диоксолен-4-илметоксикарбонил, ацетоксиметоксикарбонил, пропионилоксиметоксикарбонил, н–бутирилоксиметоксикарбонил, изобутирилоксиметоксикарбонил, 1-(этоксикарбонилокси)этоксикарбонил, 1-(ацетокси)этоксикарбонил, 1-(изобутирилокси)этоксикарбонил, циклогексилкарбонилоксиметоксикарбонил, бензоилоксиметоксикарбонил, циннамилоксикарбонил, циклопентилкарбонилоксиметоксикарбонил и т.д. Группа R2 может быть любой из групп, способных образовывать анион в биологических или физиологических условиях (например, в in vivo реакциях и т.д, таких как окисление, восстановление, гидролиз и т.д. in vivo под действием ферментов и т.д.), из групп, способных химическим путем образовывать анион (например, СОО-, ее производных и т.д.), или из групп, способных в них превращаться. Группа R2 может быть карбоксильной группой или ее пролекарственной формой. Предпочтительные примеры группы R2 включают группу формулы -CO-D, где D представляет (1) гидроксильную группу, или (2) низшую (C1-4) алкокси, алкильный фрагмент которой необязательно замещен гидроксильной группой, амино, галогеном, низшей (С2-6) алканоилокси (например, ацетокси, пивалоилокси и т.д.), низшей (С3-8) циклоалканоилокси, низшей (C1-6) алкоксикарбонилокси (например, метоксикарбонилокси, этоксикарбонилокси и т.д.), низшей (С3-8) циклоалкоксикарбонилокси (например, циклогексилоксикарбонилокси и т.д.), низшей (C1-4) алкокси или низшей (С3-8) циклоалкокси. Наряду с другими предпочтителен эстерифицированный карбоксил с низшим (C1-4) алкилом (предпочтительно метилом или этилом). В вышеуказанной формуле примеры “углеводородных остатков” в выражении “необязательно замещенный углеводородный остаток, который может быть связан через гетероатом”, представленных R3, включают (1) алкильную группу, (2) алкенильную группу, (3) алкинильную группу, (4) циклоалкильную группу, (5) арильную группу, (6) аралкильную группу, и т.д. Наряду с другими предпочтительны алкильная группа, алкенильная группа и циклоалкильная группа. Примеры алкильных групп в вышеуказанном п.(1) включают неразветвленные или разветвленные низшие алкильные группы, содержащие от 1 до 8 атомов углерода, такие как метил, этил, пропил, изопропил, бутил, изобутил, втор-бутил, трет-бутил, пентил, изопентил, гексил, гептил, октил и т.д. Примеры алкенильных групп в вышеуказанном п.(2) включают неразветвленные или разветвленные низшие алкенильные группы, содержащие от 2 до 8 атомов углерода, такие как винил, пропенил, 2-бутенил, 3-бутенил, изобутенил, 2-октенил, и т.д. Примеры алкинильных групп в вышеуказанном п.(3) включают неразветвленные или разветвленные низшие алкинильные группы, содержащие от 2 до 8 атомов углерода, такие как этинил, 2-пропинил, 2-бутинил, 2-пентинил, 2-октинил, и т.д. Примеры циклоалкильных групп в вышеуказанном п.(4) включают низшие циклоалкильные группы, содержащие от 3 до 6 атомов углерода, такие как циклопропил, циклобутил, циклопентил, циклогексил, и т.д. Каждая из вышеуказанных алкильных групп, алкенильных групп, алкинильных групп и циклоалкильных групп может быть замещена гидроксильной группой, необязательно замещенной аминогруппой (например, амино, N-низшей (C1-4) алкиламино, N,N-ди-низшей (C1-4) алкиламино и т.д.), галогеном, низшей (C1-4) алкоксигруппой, низшей (C1-4) алкилтиогруппой и т.д. Примеры аралкильных групп в вышеуказанном п.(5) включают фенил – низший (С1-4)алкил и т.д., такой как бензил, фенэтил и т.д. Примеры арильных групп в вышеуказанном п.(6) включают фенил и т.д. Каждая из вышеуказанных аралкильных групп и арильных групп может быть замещена в любом возможном положении бензольного кольца галогеном (например, F, Cl, Вr и т.д.), нитро, необязательно замещенной аминогруппой (например, амино, N-низшей (C1-4) алкиламино, N,N-ди-низшей (C1-4) алкиламино и т.д.), низшей (C1-4) алкокси (например, метокси, этокси и т.д.), низшей (C1-4) алкилтио (например, метилтио, этилтио и т.д.), низшим (C1-4) алкилом (например, метилом, этилом и т.д.), и т.д. Предпочтительные примеры “необязательно замещенного углеводородного остатка” в выражении “необязательно замещенный углеводородный остаток, который может быть связан через гетероатом”, представленного R3, включает необязательно замещенную алкильную или алкенильную группу (например, низшую (C1-5) алкильную или низшую (С2-5) алкенильную группу, каждая из которых может быть замещена гидроксильной группой, аминогруппой, галогеном, низшей (C1-4) алкоксигруппой, и т.д.). Среди других предпочтителен низший (C1-5) алкил (более предпочтителен этил). Предпочтительные примеры “гетероатомов” в выражении “необязательно замещенный углеводородный остаток, который может быть связан через гетероатом”, представленных R3, включают -О-, -S(O)m– [m представляет целое число 0-2], -NR’- [R’ представляет атом водорода или низший (C1-4) алкил], и т.д. Среди других предпочтительно значение -O-. Среди других в качестве R3 предпочтительны низшая (С1-5) алкильная или низшая (С2-5) алкенильная группы, каждая из которых может быть замещена заместителем, выбранным из класса, состоящего из гидроксильной группы, аминогруппы, галогена, низшей (C1-4) алкоксигруппы, и которые могут быть связаны через -O-, -S(O)m– [m представляет целое число 0-2], или -NR’- [R’ представляет атом водорода или низший (C1-4) алкил], и т.д., и более предпочтительны низший (C1-5) алкил или низшая (C1-5) алкокси (особенно этокси). Среди соединений, обладающих антагонистической активностью в отношении ангиотензина II и представленных формулой (I) предпочтительны производные бензимидазол-7-карбоновой кислоты формулы (I’): где R1 представляет (1) карбоксильную группу (2), тетразолильную группу или (3) группу формулы где i представляет -O- или -S-, j представляет >=O, >=S или >=S(O)m, и m принимает указанные выше значения; кольцо А представляет бензольное кольцо, у которого необязательно есть заместитель, выбранный из класса, состоящего из необязательно замещенного низшего алкила (например, низшего (C1-4) алкила, необязательно замещенного гидроксильной группой, карбоксильной группой, галогеном, и т.д.) и галогена в дополнении к группе R2 (предпочтительно бензольное кольцо, не имеющее других заместителей, кроме группы R2); R2 представляет группу формулы -CO-D, где D представляет (1) гидроксильную группу или (2) низшую (C1-4) алкокси, алкильный фрагмент которой может быть замещен гидроксильной группой, амино, галогеном, низшей (С2-6) алканоилокси (например, ацетокси, пивалоилокси и т.д.), низшей (С3-8) циклоалканоилокси, низшей (C1-6) алкоксикарбонилокси (например, метоксикарбонилокси, этоксикарбонилокси и т.д.), низшей (С3-8) циклоалкоксикарбонилокси (например, циклогексилоксикарбонилокси и т.д.), низшей (С1-4) алкокси или низшей (C3-8) циклоалкокси; R3 представляет низшую (C1-4) алкильную или низшую (С2-5) алкенильную группу, каждая из которых может быть связана через -O-, -S(O)m– [m представляет целое число 0-2] или -NR’-[R’ представляет атом водорода или низший (C1-4) алкил], и которые могут быть замещены заместителем, выбранным из класса, состоящего из гидроксильной группы, аминогруппы, атома галогена и низшей (C1-4) алкоксигруппы (предпочтительно низшего (C1-4) алкила или низшей (C1-5) алкокси; более предпочтительно этокси), и т.д. или их фармацевтически приемлемые соли. Среди других предпочтительны 2-этокси-1-[[2′-(1H-тетразол-5-ил)бифенил-4-ил]метил]бензимидазол-7-карбоновая кислота [Candesartan], 1-(циклогексилоксикарбонилокси)этил 2-этокси-1-[[2′-(1Н-тетразол-5-ил)бифенил-4-ил]метил]-бензимидазол-7-карбоксилат [Candesartan cilexetil], пивалоилоксиметил 2-этокси-1-[[2′-(1Н -тетразол-5-ил)бифенил-4-ил]метил]бензимида-зол-7-карбоксилат, 2-этокси-1-[[2′-(2,5-дигидро-5-оксо-1,2,4-оксадиазол-3-ил) бифенил-4-ил]метил] бензимидазол-7-карбоновая кислота и т.д. или их соли. Вышеуказанные производные бензимидазола можно получить известными способами, раскрытыми, например, в ЕР-425921, ЕР-459136, ЕР-553879, ЕР-578125, ЕP-520423, ЕР-668272, и т.д., или аналогичными способами. Если в настоящем изобретении используют Candesartan cilexetil, тогда предпочтительно используют стабильный С-типа кристалл, раскрытый в ЕР-459136. Соединения, обладающие антагонистической активностью в отношении ангиотензина II, или их пролекарства могут быть в их естественном виде или в форме любой из их возможных фармацевтически приемлемых солей. Примеры указанных солей включают соли с неорганическими основаниями (например, щелочными металлами, такими как натрий, калий и т.д.; щелочноземельными металлами, такими как кальций, магний и т.д.; переходными металлами, такими как цинк, железо, медь и т.д.; и т.д.); органическими основаниями (например, органическими аминами, такими как триметиламин, триэтиламин, пиридин, пиколин, этаноламин, диэтаноламин, триэтаноламин, дициклогексиламин, N,N’-дибензилэтилендиамин, и т.д.; основными аминокислотами, такими как аргинин, лизин, орнитин и т.д.; и т.д.); и т.д., если указанное соединение, обладающее антагонистической активностью в отношении ангиотензина II, содержит кислотную группу, такую как карбоксильная группа, и т.д.; и соли с неорганическими кислотами или органическими кислотами (например, хлористоводородной кислотой, азотной кислотой, серной кислотой, фосфорной кислотой, угольной кислотой, bicarbonic кислотой, муравьиной кислотой, уксусной кислотой, пропионовой кислотой, трифторуксусной кислотой, фумаровой кислотой, щавелевой кислотой, винной кислотой, малеиновой кислотой, лимонной кислотой, янтарной кислотой, яблочной кислотой, метансульфоновой кислотой, бензолсульфоновой кислотой, р-толуолсульфоновой кислотой и т.д.); кислые аминокислоты, такие как аспарагиновая кислота, глутаминовая кислота, и т.д.; и т.д., если указанное соединение, обладающее антагонистической активностью в отношении ангиотензина II, содержит основную группу, такую как аминогруппа, и т.д. Пролекарство соединения, обладающего антагонистической активностью в отношении ангиотензина II [здесь и далее обозначаемого как АII антагонист] означает соединение, которое превращается в АII антагонист в физиологических условиях или в результате реакции, связанной с ферментами, желудочным соком и т.д. в живом организме, то есть соединение, которое превращается в АII антагонист в результате окисления, восстановления, гидролиза, под действием ферментов и т.д.; соединение, которое превращается в АII антагонист под действием желудочного сока, и т.д.; и т.д. Примеры пролекарственных форм АII антагонистов включают соединения, где аминогруппа АII антагониста замещена ацилом, алкилом, фосфорной кислотой и т.д. (например, соединения, где аминогруппа АII антагониста замещена эйкозаноилом, аланилом, пентиламинокарбонилом (5-метил-2-оксо-1,3-диоксолен-4-ил)метоксикарбонилом, тетрагидрофуранилом, пирролидилметилом, пивалоилоксиметилом, трет-бутилом, и т.д.); соединения, в которых гидроксильная группа АII антагониста замещена ацилом, алкилом, фосфорной кислотой, борной кислотой и т.д. (например, соединения, в которых гидроксильная группа АII антагониста замещена ацетилом, пальмитоилом, пропаноилом, пивалоилом, сукцинилом, фумарилом, аланилом, диметиламинометилкарбонилом, и т.д.); соединения, в которых карбоксильная группа АII антагониста модифицирована сложным эфиром, амидом и т.д. (например, соединения, в которых карбоксильная группа АII антагониста модифицирована сложным этиловым эфиром, фениловым сложным эфиром, карбоксиметиловым сложным эфиром диметиламинометиловым сложным эфиром, пивалоилоксиметиловым сложным эфиром, этоксикарбонилоксиэтиловым сложным эфиром, фталидиловым сложным эфиром(5-метил-2-оксо-1,3-диоксолен-4-ил)метиловым сложным эфиром, циклогексилоксикарбонилэтиловым сложным эфиром, метиламидом и т.д.); и т.д. Эти пролекарственные формы можно получить известными специалистам способами из АII антагониста. Пролекарством АII антагониста может быть соединение, которое превращается в АII антагонист в физиологических условиях, как описано в “Pharmaceutical Research and Development” Vol.7 (Drug Design) pages 163-198 published in 1990 by Hirokava Publishing Co. (Tokyo, Japan). Кроме того, АII антагонист может быть гидратирован. Соединения, обладающие антагонистической активностью в отношении ангиотензина II, или их пролекарства, или их соли (предпочтительно соединения формулы (I) и их фармацевтически приемлемые соли) обладают низкой токсичностью и их можно вводить как они есть или в виде фармацевтических композиций с фармацевтически приемлемыми носителями млекопитающим, например людям, мышам, крысам, кроликам, собакам, кошками, коровам, свиньям, обезьянам и т.д. для предотвращения, лечения или ингибирования развития простой ретинопатии или препролиферирующей ретинопатии. Примеры носителей включают различные органические или неорганические носители, которые обычно используют в этой области. Например, эксципиенты, смазывающие, связующие и разрыхляющие агенты используют для получения твердых форм, и растворители, агенты, способствующие растворимости, суспендирующие агенты и агенты, придающие изотоничность, буферы, умягчители и т.д. используют для приготовления жидких форм. Кроме того, при желании в вышеуказанных композициях можно использовать соответствующие добавки, такие как консерванты, антиоксиданты, красители, подслащивающие агенты и т.д. Примеры эксципиентов включают лактозу, сахарозу, D-маннит, D-сорбит, крахмал, Примеры смазывающих агентов включают стеарат магния, стеарат кальция, тальк, коллоидную двуокись кремния и т.д. Примеры связующих включают Примеры разрыхляющих агентов включают лактозу, сахарозу, крахмал карбоксиметилцеллюлозу, кальцийкарбоксиметилцеллюлозу, натрийкроскарамеллозу, натрийкарбоксиметилкрахмал, ангидрид кремневой кислоты, гидроксипропилцеллюлозу с низкой степенью замещения и т.д. Примеры растворителей включают воду для инъекций, раствор Рингера, спирт, пропиленгликоль, полиэтиленгликоль, кунжутное масло, кукурузное масло, оливковое масло, хлопковое масло и т.д. Примеры агентов, способствующих растворимости, включают полиэтиленгликоль, пропиленгликоль, D-маннит, трегалозу, бензилбензоат, этанол, трисаминометан, холестерин, триэтаноламин, карбонат натрия, цитрат натрия, салицилат натрия, ацетат натрия и т.д. Примеры суспендирующих агентов включают поверхностно-активные агенты, такие как стеарилтриэтаноламин, натрийлаурилсульфат, лауриламинопропионовую кислоту, лецитин, бензалконийхлорид, бензэтонийхлорид, глицеринмоностеарат и т.д.; гидрофильные полимеры, такие как поливиниловый спирт, поливинилпирролидон, натрийкарбоксиметилцеллюлоза, метилцеллюлоза, гидроксиметилцеллюлоза, гидроксиэтилцеллюлоза, гидроксипропилцеллюлоза, и т.д.; полисорбаты, модифицированное полиоксиэтиленом касторовое масло, и т.д.; и т.д. Примеры агентов, придающих изотоничность, включают хлорид натрия, глицерин, D-маннит, D-сорбит, глюкозу и т.д. Примеры буферов включают буферный раствор фосфата, ацетата, карбоната, цитрата и т.д. Примеры умягчителей включают бензиловый спирт и т.д. Примеры консервантов включают сложные эфиры параоксибензойной кислоты, хлорбутанол, бензиловый спирт, фенэтиловый спирт, дегидроксиусную кислоту, сорбиновую кислоту и т.д. Примеры антиоксидантов включают сульфиты, аскорбиновую кислоту и т.д. Предпочтительные примеры красителей включают водорастворимые синтетические органические пищевые добавки (например, пищевые красители, такие как пищевые красные красители №2 и 3, пищевые желтые красители №4 и 5 и пищевые синие красители №1 и 2), водонерастворимые lake красители (например, алюминиевые соли вышеуказанных водорастворимых синтетических органических пищевых красителей и т.д.), природные пигменты (например, бета-каротин, хлорофилл, оксид железа красный и т.д.). Предпочтительные примеры подслащивающих веществ включают натрий сахарат, дикалий глицирризин, аспартам, Stevia и т.д. Фармацевтические композиции вводят перорально или парэнтерально в безопасной форме, например перорально вводят такие композиции, как таблетки, капсулы (включая мягкие капсулы и микрокапсулы), гранулы, порошки, сиропы, эмульсии, суспензии и т.д.; а парентерально вводят такие композиции, как препараты для инъекций (например, для подкожных инъекций, внутривенных инъекций, внутримышечных инъекций, внутрибрюшинных инъекций, инъекций внутрь стекловидного тела, инъекций в глазное яблоко, инъекций в сетчатку и т.д.), капли, лекарства для внешнего использования (например, соединения для введения через нос или трахею, композиции для чрезкожного введения, мази и т.д.), суппозитории (например, ректальные суппозитории, вагинальные суппозитории и т.д.), пластинки (например, пластинки для постоянного помещения на сетчатку и т.д.), капли, офтальмические композиции для поверхностного нанесения (например, глазные капли, офтальмические мази и т.д.), и тому подобное. Фармацевтические композиции можно приготовить любым из обычных способов, используемых для получения фармацевтических композиций, например, в соответствии с процедурой, описанной в японской фармакопее (Japanese Pharmacopoeia). Далее конкретный способ получения фармацевтических композиций будет раскрыт подробно. Например, фармацевтические композиции для перорального введения приготавливают, добавляя к активному ингредиенту эксципиент (например, лактозу, сахарозу, крахмал, D-маннит и т.д.), дезинтегрирующий агент (например, карбоксиметилцеллюлозу, кальций и т.д.), связующее (например, Примеры материала для покрытия включают сахарный материал, материал, образующий водорастворимую пленку, материал, образующий энтеросомобильную пленку, материал, обеспечивающий замедленное выделение, и т.д. В качестве сахарного материала используют сахарозу, которую наносят в комбинации с, по крайней мере, одним агентом, выбранным из талька, осажденного карбоната кальция, желатина, гуммиарабика, пуллулана, воска карнауба, и т.д. Примеры материала, образующего водорастворимую пленку, включают полимеры целлюлозы, такие как гидроксипропилцеллюлоза, гидроксипропилметилцеллюлоза, гидроксиэтилцеллюлоза и метилгидроксиэтилцеллюлоза; синтетические полимеры, такие как поливинилацеталь диэтиламиноацетат, сополимер Е аминоалкилметакрилата [Eudragit Е (товарный знак), Rhom Pharma], поливинилпирролидон и т.д.; полисахариды, такие как пуллулан, и т.д. Примеры материала, образующего энтеросомобильную пленку, включают полимеры целлюлозы, такие как фталат гидроксипропилметилцеллюлозы, ацетат сукцинат гидроксипропилметилцеллюлозы, карбоксиметилцеллюлозу, ацетат фталат целлюлозы и т.д.; акриловые полимеры, такие как метакрилатный сополимер LD [Eudragit L-30D55 (товарный знак), Rhom Pharma], метакриловый сополимер S [Eudragit S (торговый знак), Rhom Pharma], и природные вещества, такие как шеллак, и т.д. Примеры материалов, обеспечивающих пролонгированное выделение, включают полимеры целлюлозы, такие как этилцеллюлоза; и акрилатные полимеры, такие как аминоалкилметакрилатный сополимер RS [Eudragit RS (товарный знак), Rhom Pharma], суспензию сополимера этилакрилата-метакрилата NE [Eudragit NE (товарный знак), Rhom Pharma], и т.д. Каждый из вышеуказанных материалов для нанесения покрытия можно использовать в виде смеси из, по крайней мере, двух из них в нужном соотношении. Кроме того, при нанесении покрытия можно использовать светозащитный материал, такой как оксид титана, полуторная окись железа и т.п. Препараты для инъекций получают, растворяя, суспендируя или эмульгируя активный ингредиент в водном растворителе (например, в дистиллированной воде, физиологическом солевом растворе, растворе Рингера и т.д.), в масляном растворителе (например, в растительных маслах, таких как оливковое масло, кунжутное масло, хлопковое масло, кукурузное масло и пропиленгликоль, и т.д.), или тому подобном в присутствии диспергирующего агента (например, полисорбата 80, модифицированного полиоксиэтиленом касторового масла 60, и т.д.), полиэтиленгликоля, карбоксиметилцеллюлозы, альгината натрия и т.д.), консерванта (например, метилпарабена, пропипарабена, бензилового спирта, хлорбутанола, фенола и т.д.), агента, обеспечивающего изотоничность (например, хлорида натрия, глицерина, D-маннита, D-сорбита, глюкозы и т.д.) или тому подобного. В этих препаратах при необходимости можно использовать добавки, такие как агенты, способствующие растворимости (например, салицилат натрия, ацетат натрия и т.д.), стабилизаторы (например, альбумин человеческой сыворотки и т.д.), умягчители (например, бензиловый спирт и т.д.), и тому подобное. Предпочтительные примеры офтальмических поверхностных агентов включают глазные капли, офтальмические мази и т.д., и глазные капли могут быть водными или неводными и могут быть в форме растворов или суспензий. Далее, соединение может быть диспергировано в или адсорбировано на офтальмической мази, геле или полимере с пролонгированным выделением для использования в композициях. Водные глазные капли могут содержать обычные добавки, такие как агент, обеспечивающий изотоничность, буфер, агент, регулирующий рН, консервант, хелатирующий агент и тому подобное. Примеры агентов, обеспечивающих изотоничность, включают хлорид натрия, маннит, сорбит, глицерин и т.д.; примеры буферов включают фосфат, борат, ацетат, цитрат и т.д.; примеры агентов, регулирующих рН, включают хлористоводородную кислоту, уксусную кислоту, гидроксид натрия и т.д.; примеры консервантов включают сложные эфиры параоксибензойной кислоты, бензалконийхлорид, хлоргексидин, бензиловый спирт, сорбиновую кислоту или их соли, тиомеросал, хлорбутанол и т.д.; и примеры хелатирующих агентов включают натриевую соль этилендиаминтетрауксусной кислоты, цитрат натрия, конденсированный фосфат натрия и т.д. Водные глазные капли могут, кроме того, содержать загуститель и/или суспендирующий агент, примеры которых включают метилцеллюлозу, кармеллозу или их соли, гидроксиэтилцеллюлозу, альгинат натрия, карбоксильный виниловый полимер, поливиниловый спирт, поливинилпирролидон, и т.д. Кроме того, водные глазные капли могут содержать поверхностно-активные агенты (например, полиэтиленгликоль, пропиленгликоль, модифицированное полиоксиэтиленом касторовое масло, полисорбат 80 и т.д.), и т.д. Если соединение вводят в форме водных суспензионных глазных капель, вышеуказанные полимерный загуститель, поверхностно-активный агент и т.п. можно соответствующим образом выбрать для использования в конкретной композиции. Если соединение вводят в форме неводных глазных капель, его растворитель соответствующим образом выбирают из растительных масел, таких как касторовое масло, кунжутное масло, соевое масло и оливковое масло, и жидкого парафина, пропиленгликоля, Если соединение вводят в форме неводных суспензионных глазных капель, растворитель для использования в композиции выбирают из тиксотропных коллоидов, таких как моностеарат алюминия и т. п. Значение рН вышеуказанных глазных капель устанавливают в интервале обычных значений для глазных капель, обычно от 4,0 до 9,0, предпочтительно от 5,0 до 8,0. Если соединение вводят в форме офтальмической мази, материал ее основы для использования в композиции выбирают из вазелина, пластибаза, жидкого парафина и т.п. Материал основы в качестве желирующего агента для использования в композиции для глазных капель выбирают из, например, карбоксильного винилового полимера, метилцеллюлозы, альгината натрия, гидроксипропилцеллюлозы, полимера малеинового ангидрида, модифицированного этиленом, и т.п. Соединение, обладающее антагонистической активностью в отношении ангиотензина II, или его пролекарство, или его соль (предпочтительно соединения формулы (I) и их фармацевтически приемлемые соли) можно использовать в качестве агента для предотвращения, лечения или ингибирования развития простой ретинопатии или препролиферирующей ретинопатии у млекопитающих (например, людей, мышей, крыс, кроликов, собак, кошек, коров, свиней, обезьян и т.д.). Соединение, обладающее антагонистической активностью в отношении ангиотензина II, или его пролекарство, или его соль (предпочтительно соединения формулы (I) и их фармацевтически приемлемые соли) можно использовать для предотвращения, лечения или ингибирования развития ретинопатии, таких как ангиопатическая ретинопатия, атеросклеротическая ретинопатия, гипертоническая ретинопатия, диабетическая ретинопатия, юношеская ретинопатия, почечная ретинопатия, для венозных окклюзий сетчатки, возрастного разрушения роговицы, а также можно использовать для предотвращения, лечения или ингибирования развития простой ретинопатии или препролиферирующей ретинопатии, на ранних стадиях, когда еще не наблюдается неоваскуляризация, благодаря прекрасному улучшающему потенциал сетчатки (зрительная функция) действию и эффекту уменьшения отека сетчатки (нарушения в тканях). Доза соединения, обладающего антагонистической активностью в отношении ангиотензина II, или его пролекарства, или его соли (предпочтительно соединений формулы (I) и их фармацевтически приемлемых солей) меняется в зависимости от субъекта, способа введения, подлежащего лечению заболевания или степени заболевания. Например, в случае перорального введения млекопитающим, в частности взрослому мужчине (весом 50 кг), обычно от около 0,001 до около 500 мг, предпочтительно от 1 до 50 мг вышеуказанного соединения или его соли в качестве активного ингредиента вводят одной дозой, и предпочтительно вводить эту дозу соединения или его соли 1-3 раза в день. В том случае, если соединение или его соль вводят в форме глазных капель, его концентрация обычно составляет от 0,001 до 10 вес./об.%, предпочтительно от 0,01 до 5 вес./об.%, более предпочтительно от 0,1 до 2 вес./об.%, и желательно, чтобы от 1 до нескольких капель, предпочтительно 1-2 капли таких глазных капель (количество в одной капле составляет около 50 мкл) вводить взрослому мужчине за один раз, и эту дозу глазных капель вводить 3-6 раз, предпочтительно 4-5 раз в день. С другой стороны, в случае, когда соединение или его соль вводят в форме офтальмической мази, концентрация соединения составляет обычно от 0,001 до 10 вес./об.%, предпочтительно от 0,01 до 5 вес./об.%, более предпочтительно от 0,1 до 2 вес./об.%, и предпочтительно эту мазь вводить в мешочек конъюнктивы в дозе от около 0,1 до около 0,2 г/раз, и вводить эту дозу 1-4 раза в день. Предпочтительный способ осуществления изобретения Далее настоящее изобретение раскрывается более подробно с помощью следующих примеров и тестовых примеров, которые не следует рассматривать как ограничивающие. Примеры Тестовый пример 1 Ингибирующее действие на продуцирование VEGF сетчатки и действия, улучшающее потенциал сетчатки у страдающих диабетом крыс Соединение 1:(±)-1-(циклогексилоксикарбонилокси)этил-2-этокси-1-[[2′-(1Н-тетразол-5-ил)бифенил-4-ил]метил]-1Н-бензимидазол-7-карсилат (Соединение 1) Способ: Стрептозотоцин (Streptozotocin) (STZ) в дозе 30 мг/кг вводят внутривенно 10-недельным самцам крыс (Stroke-Prone Spontaneously Hypertensive Rat:SHRSP). Когда после инъекции STZ проходит 9 недель, измеряют показатель сахара в крови у крыс. Крыс делят на 3 группы, а именно группу до введения, контрольную группу, которой вводят растворитель, и группу, которой вводят соединение 1 (3 мг/кг/день перорально). Через 4 недели измеряют показатель сахара в крови и измеряют потенциалы сетчатки, а затем крыс умерщвляют, выпуская кровь из рассеченной аорты abdominalis под глубокой анестезией эфиром с тем, чтобы удалить глазные яблоки. Суспензию соединения 1 в физиологическом солевом растворе, содержащем 0,5% метилцеллюлозы, перорально вводят крысам раз в день в течение 4 недель. С другой стороны, в качестве необработанной группы используют 23-недельных SHRSP крыс. Показатель сахара в крови измеряют следующим способом. Кровь отбирают из хвостовых вен, используя гепарин, и центрифугируют для того, чтобы собрать плазму крови. Количество глюкозы в плазме измеряют, используя автоанализатор (Model 7070, производитель Hitachi Seisakusho). Потенциал сетчатки измеряют следующим способом. Подопытное животное подвергают адаптации к темноте в темной комнате в течение 90-120 минут, и затем анестезируют кетамингидрохлоридом (50 мг/кг, внутримышечно), и иммобилизуют ксилазином (2 мг/кг внутримышечно). Лимб и голову подопытного животного фиксируют проволокой. На левое глазное яблоко капают Mydriatic, чтобы расширить зрачок, и на роговицу помещают электрод типа контактной линзы, используя вспомогательное устройство для носителей контактных линз. Ксеноновую лампу (1/2 Джоуля) помещают на расстоянии 10 см в прямом направлении от тестируемого глаза (левого глаза) и световой стимул контролируют стимулятором света (SLS-3100 производитель Nippon Koden К.К.). Потенциал сетчатки, создаваемый световым стимулом (0,5 Гц, 16 раз), усиливают с помощью нейронного устройства (МЕВ-5100 изготовитель Nippon Koden К.К., нижняя отсечка 0,5 Гц, и время свипирования: 200 мсек). Результаты складывают и усредняют. Латентность колебательных пиков потенциала (01, 02 и 03) рассчитывают из полученных форм волн. VEGF мРНК в сетчатке количественно определяют следующим образом. РНК экстрагируют из удаленных глазных яблок, используя ISOGEN (Nippon Gene). Количество VEGF мРНК измеряют из экстрагированных РНК с помощью полуколичественной RT-PCR реакции (ABI PRISM 7700: Perkin Elmer), используя два типа флуоресцентных зондов (FAM: VEGF и VIC: Тест Dunett’s используют для теста статистической значимости различий. Оценка: представлена в таблице. Концентрация глюкозы в плазме свидетельствует о заметной гипергликемии в группе до введения, в контрольной группе и в группе, которой вводят соединение 1, и таким образом не обнаруживается разницы в концентрациях между всеми 3 группами. Латентность колебательных пиков потенциала была пролонгирована в каждой из 01, 02 и 03 в группе перед введением и в контрольной группе по сравнению с необработанной группой. Латентность оказалась пониженной в каждой из 01, 02 и 03 для группы, которой вводили соединение 1, и значительное улучшение наблюдалось особенно для 01 по сравнению с контрольной группой. Количества VEGF мРНК в ткани сетчатки для группы перед введением и для контрольной группы были заметно повышены по сравнению с нормальным значением (количество VEGF мРНК в ткани сетчатки у SD крыс было принято за 1). Количество VEGF мРНК в ткани сетчатки в группе, которой вводили соединение 1, было значительно понижено, и оно вернулось к нормальному уровню. Значения рассчитывали по уравнению среднее ± стандартное отклонение. Тест значимости разницы от значения, эквивалентного каждой из величин для контрольной группы: *Р<0.05 ** Р<0.01 Фармацевтическую композицию для предотвращения, лечения или ингибирования развития простой ретинопатии или препролиферирующей ретинопатии, включающую соединение, обладающее антагонистической активностью в отношении ангиотензина II, или его пролекарство, или его соль (предпочтительно соединение формулы (I) или его фармацевтически приемлемую соль) в качестве активного ингредиента, приготавливают, например, следующим образом. Пример 1 Капсулы, мг: (1) Соединение 1 30 (2) Лактоза 90 (3) Тонкая кристаллическая целлюлоза 70 (4) Стеарат магния 10 1 капсула 200 Ингредиенты (1), (2) и (3) и половину ингредиента (4) смешивают и эту смесь гранулируют. Остаток ингредиента (4) добавляют к гранулам и всю гранулированную смесь помещают в желатиновые капсулы. Пример 2 Таблетки, мг: (1) Соединение 1 30 (2) Лактоза 35 (3) Кукурузный крахмал 150 (4) Тонкая кристаллическая целлюлоза 30 (5) Стеарат магния 5 1 таблетка 250 Ингредиенты (1), (2) и (3) и две трети ингредиента (4) и половину ингредиента (5) смешивают и смесь гранулируют. Остатки ингредиентов (4) и (5) добавляют к гранулам и гранулированную смесь формуют под давлением, формируя таблетки. Пример 3 Глазные капли в виде суспензии, г: (1) Соединение 1 1,0 (2) Дигидрофосфат натрия 0,2 (3) Хлорид натрия 0,9 (4) Полисорбат 80 0,1 (5) Бензалконийхлорид 0,005 (6) Натриевая соль этилендиаминтетрауксусной кислоты 0,01 (7) 1 н. гидроксид натрия в нужном количестве (8) Стерилизованная дистиллированная вода до 100 мл Ингредиенты (2), (3), (4), (5) и (6) растворяют в примерно 80 мл стерилизованной очищенной воды (8) и рН раствора доводят до 7, добавляя 1 н. гидроксид натрия (7). К раствору добавляют остальную стерилизованную очищенную воду (8). Раствор фильтруют через мембранный фильтр 0,2 мкм. Предварительно стерилизованное соединение (1) суспендируют в этом растворе для получения глазных капель в виде суспензии. Промышленная применимость Фармацевтическая композиция настоящего изобретения оказывает прекрасный улучшающий эффект на потенциал сетчатки (зрительная функция) и отек сетчатки (нарушение ткани) и может быть с успехом использована для предотвращения, лечения или ингибирования развития простой ретинопатии или препролиферируюшей ретинопатии.
Формула изобретения
1. Фармацевтическая композиция для предотвращения, лечения или ингибирования развития простой ретинопатии или препролиферативной ретинопатии, включающая 2-этокси-1-[[2′-(1Н-тетразол-5-ил) бифенил-4-ил]метил]бензимидазол-7-карбоновую кислоту или 1-(циклогексилоксикарбонилокси)этил 2-этокси-1-[[2′-(1Н-тетразол-5-ил)бифенил-4-ил]метил]бензимидазол-7-карбоксилат. 2. Способ предотвращения, лечения или ингибирования развития ретинопатии или препролиферативной ретинопатии у млекопитающих, в котором млекопитающему вводят эффективное количество 2-этокси-1-[[2′-(1Н-тетразол-5-ил)бифенил-4-ил]метил]бензимидазол-7-карбоновой кислоты или 1-(циклогексилоксикарбонилокси)этил 2-этокси-1-[[2′-(1Н-тетразол-5-ил)бифенил-4-ил]метил]бензимидазол-7-карбоксилата. 3. Применение 2-этокси-1-[[2′-(1Н-тетразол-5-ил)бифенил-4-ил]метил]бензимидазол-7-карбоновой кислоты или 1-(циклогексилоксикарбонилокси)этил 2-этокси-1-[[2′-(1Н-тетразол-5-ил) бифенил-4-ил]метил]бензимидазол-7-карбоксилата для предотвращения, лечения или ингибирования развития простой ретинопатии или препролиферативной ретинопатии.
PD4A – Изменение наименования обладателя патента Российской Федерации на изобретение
(73) Новое наименование патентообладателя:
Извещение опубликовано: 10.04.2005 БИ: 10/2005
MM4A – Досрочное прекращение действия патента СССР или патента Российской Федерации на изобретение из-за неуплаты в установленный срок пошлины за поддержание патента в силе
Дата прекращения действия патента: 28.04.2008
Извещение опубликовано: 10.06.2009 БИ: 16/2009
NF4A Восстановление действия патента СССР или патента Российской Федерации на изобретение
Дата, с которой действие патента восстановлено: 20.06.2009
Извещение опубликовано: 20.06.2009 БИ: 17/2009
|
||||||||||||||||||||||||||


















-крахмал, декстрин, кристаллическую целлюлозу, гидроксипропилцеллюлозу с низкой степенью замещения, натрийкарбоксиметилцеллюлозу, гуммиарабик, пуллулан, ангидрид кремневой кислоты, синтетический алюмосиликат, магний алюминат метасиликат и т.д.
-октилдодеканола и тому подобного для использования в композиции.