Патент на изобретение №2239432
|
||||||||||||||||||||||||||
(54) СТАБИЛИЗИРОВАННАЯ ФАРМАЦЕВТИЧЕСКАЯ КОМПОЗИЦИЯ, СОДЕРЖАЩАЯ БЛОКАТОР КАЛЬЦИЯ
(57) Реферат:
Изобретение относится к медицине, в частности к фармацевтической композиции, содержащей блокатор кальция и фармакологически приемлемый щелочной материал, который добавляют в таком количестве, чтобы водный раствор или дисперсионный раствор указанной фармацевтической композиции, содержащей блокатор кальция, имел бы рН, по меньшей мере, 8. Композиция имеют превосходную стабильность при хранении, быстро абсорбируется в желудочно-кишечном тракте и композицию можно легко получать способом влажной грануляции. 26 з.п. ф-лы, 4 табл.
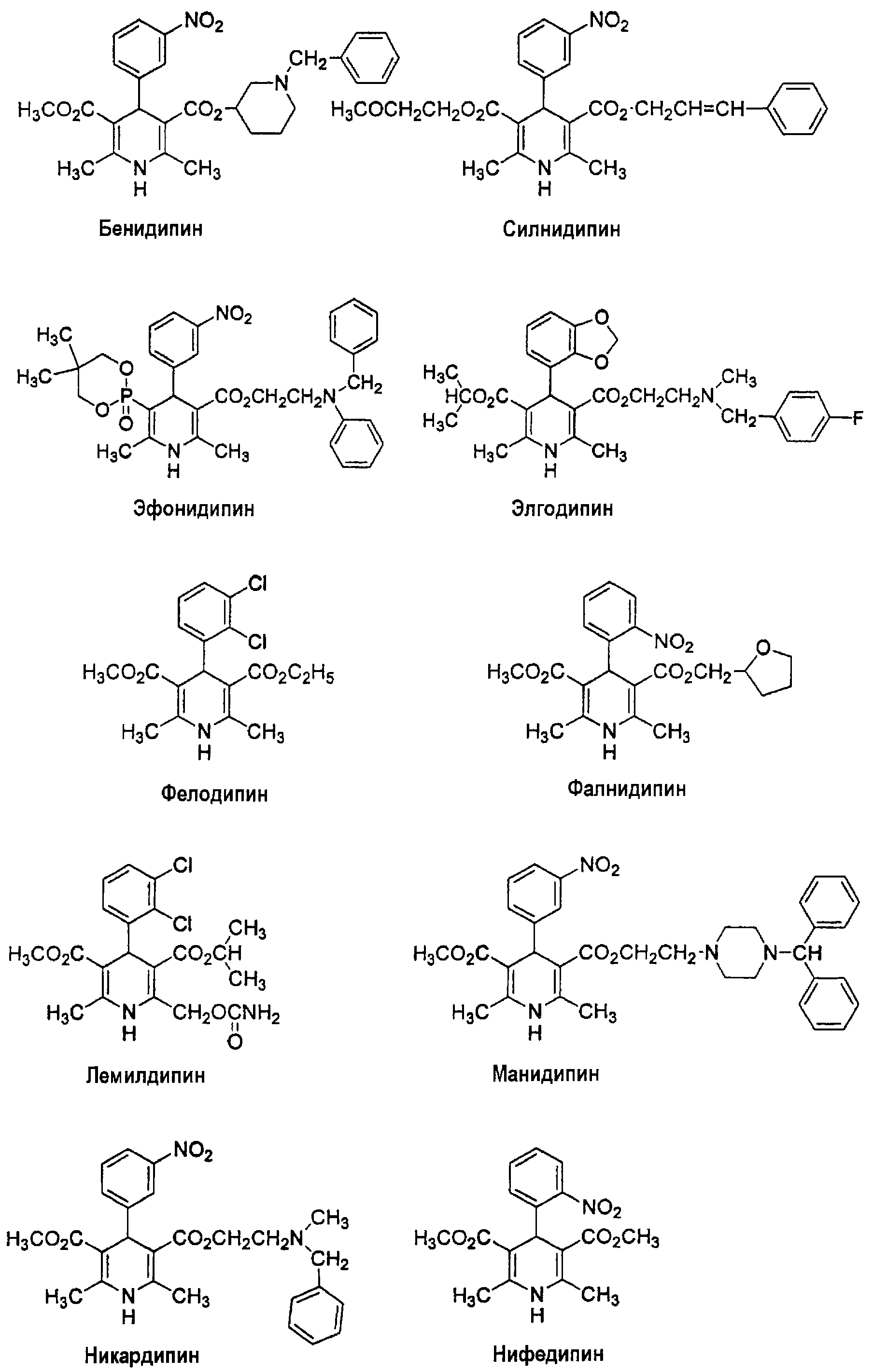
Область изобретения Изобретение относится к стабилизированной фармацевтической композиции, содержащей блокатор кальция. Предпосылки изобретения Блокаторы кальция хорошо известны как антигипертензивные агенты, которые могут существовать в виде многочисленных композиций, которые имеются в продаже (см., например, патенты США 3485847, 3985758, 4572909 и т.п.). Однако эти композиции не всегда бывают удовлетворительны с точки зрения их стабильности, например стабильность при хранении. Поэтому желательны фармацевтические композиции, отличающиеся высокой стабильностью, такой как стабильность при хранении. Авторы предприняли широкие исследования фармацевтических композиций, содержащих блокаторы кальция, в течение длительного времени. Они обнаружили, что при добавлении фармакологически приемлемого щелочного материала к блокаторам кальция можно получить фармацевтическую композицию, обладающую высокой стабильностью, такой как стабильность при хранении. Настоящее изобретение относится к стабилизированным фармацевтическим композициям, содержащим блокатор кальция. Описание изобретения Настоящее изобретение относится к фармацевтической композиции, содержащей блокатор кальция приведенной далее формулы, или его фармакологически приемлемую соль, и фармакологически приемлемый щелочной материал, который добавляют в таком количестве, чтобы водный раствор или дисперсионный раствор указанной фармацевтической композиции, содержащей блокатор кальция, имел бы рН, по меньшей мере, 8: [где R1 представляет C1-C4 алкильную группу, необязательно замещенную карбамоилокси или 2-аминоэтокси, аминогруппу или цианогруппу, R2 представляет C1-C4 алкильную группу, необязательно замещенную ацетилом, N-метил-N-(фенилметил, необязательно замещенный фтором)амино, N-(фенил, необязательно замешенный фтором)-N-(фенилметил, необязательно замещенный фтором)амино, 2-тетрагидрофурилом, или 4-[фенилметил, необязательно замещенный фтором или ди-(фенил, необязательно замещенный фтором)метил]-1-пиперазинилом, С3-С4 алкенильную группу, замещенную фенилом, в которой указанная фенильная группа необязательно замещена фтором, или 4-6-членную циклическую аминогруппу, в которой атом азота замещен фенилметилом, необязательно замещенным фтором, или ди-(фенил, необязательно замещенный фтором)метилом, R3 представляет фенильную группу, замещенную 1 или 2 заместителями, выбранными из группы, состоящей из галогена, нитро и 1,2-метилендиокси, R4 представляет C1-C4 алкоксикарбонильную группу, необязательно замещенную метокси, 1,3,2-фосфоринан-2-ильную группу, или 5,5-диметил-1,3,2-фосфоринан-2-ильную группу, R5 представляет C1-C4 алкильную группу]. В формуле (I): C1-C4 алкильный фрагмент C1-С4 алкильной группы, необязательно замещенной карбамоилокси или 2-аминоэтокси в определении R1, C1-C4 алкильный фрагмент C1-C4 алкильной группы, необязательно замещенной ацетилом, N-метил-N-(фенилметил, необязательно замещенный фтором)амино, N-(фенил, необязательно замещенный фтором)-N-(фенилметил, необязательно замещенный фтором)амино, 2-тетрагидрофурилом, или 4-[фенилметил, необязательно замещенный фтором или ди-(фенил, необязательно замещенный фтором) метил]-1-пиперазинилом в определении R2, C1-C4 алкильный фрагмент C1-C4 алкоксикарбонильной группы, необязательно замещенной метокси в определении R4, и C1-C4 алкильный фрагмент в определении R5, каждый, представляет, например, метил, этил, пропил, изопропил, бутил, изобутил, втор-бутил или трет-бутил. R1 и R5, каждый, представляет предпочтительно метильную или этильную группу, более предпочтительно метильную группу. R2 представляет предпочтительно метильную, этильную, изопропильную. или изобутильную группу. R4 представляет предпочтительно метильную, этильную или изопропильную группу. С3-С4 алкенильная группа, замещенная фенилом, в которой указанная фенильная группа необязательно замещена фтором, в определении R2 может быть, например, 3-фенил-2-пропенильной группой, 3-(4-фторфенил)-2-пропенильной группой, 4-фенил-3-бутенильной группой, или 2-метил-3-фенил-2-пропенильной группой, и предпочтительно 3-фенил-2-пропенильной группой. 4-6-членная циклическая аминогруппа, в которой атом азота замещен фенилметилом, необязательно замещенным фтором, или ди-(фенил, необязательно замешенный фтором)метилом, в определении R2, может представлять, например, 1-бензил-3-азетидинильную, 1-дифенилметил-3-азетидинильную, 1-(ди-4-фторфенилметил)-3-азетидинильную, 1-бензил-3-пирролидинильную, 1-(4-фторфенилметил)-3-пирролидинильную, 1-дифенилметил-3-пирролидинильную, 1-бензил-3-пиперидинильную, 1-(4-фторфенилметил)-3-пиперидинильную, или 1-дифенилметил-3-пиперидинильную группу, предпочтительно 1-бензил-3-азетидинильную, 1-дифенилметил-3-азетидинильную, 1-бензил-3-пирролидинильную или 1-бензил-3-пиперидинильную группу, и более предпочтительно 1-дифенилметил-3-азетидинильную группу. Атом галогена в определении R3 может представлять, например, атом фтора, атом хлора, атом брома, или атом йода, предпочтительно атом фтора или атом хлора, и более предпочтительно атом хлора. Предпочтительно, чтобы R1 представлял метильную группу, карбамоилоксиметильную группу, 2-аминоэтоксиметильную группу, этильную группу, 2-карбамоилоксиэтильную группу, 2-(2-аминоэтокси)этильную группу, аминогруппу или цианогруппу. Более предпочтительно, чтобы R1 представлял метильную группу, карбамоилоксиметильную группу, 2-аминоэтоксиметильную группу, аминогруппу или цианогруппу. Еще более предпочтительно, чтобы R1 представлял метильную группу или аминогруппу. Наиболее предпочтительна в качестве R1 аминогруппа. Предпочтительно, чтобы R2 представлял метильную группу, ацетилметильную группу, 2-тетрагидрофурилметильную группу, этильную группу, 2-ацетилэтильную группу, 2-(N-метил-N-бензиламино)этильную группу, 2-[N-метил-N-(4-фторфенилметил) амино]этильную группу, 2-(N-фенил-N-бензиламино)этильную группу, 2-[N-(4-фторфенил)-N-бензиламино]этильную группу, 2- [N-(4-фторфенил)-N-(4-фторфенилметил)амино]этильную группу, 2-(4-бензил-1-пиперазинил)этильную группу, 2-[4-(4-фторфенилметил)-1-пиперазинил]этильную группу, 2-(4-дифенилметил-1-пиперазинил)этильную группу, 2-[4-(ди-4-фторфенилметил)-1-пиперазинил]этильную группу, изопропильную группу, изобутильную группу, 3-фенил-2-пропенильную группу, 3-(4-фторфенил)-2-пропенильную группу, 4-фенил-3-бутенильную группу, 2-метил-3-фенил-2-пропенильную группу, 1-бензил-3-азетидинильную группу, 1-дифенилметил-3-азетидинильную группу, 1-(ди-4-фторфенилметил)-3-азетидинильную группу, 1-бензил-3-пирролидинильную группу, 1-(4-фторфенилметил)-3-пирролидинильную группу, 1-дифенилметил-3-пирролидинильную группу, 1-бензил-3-пиперидинильную группу, 1-(4-фторфенилметил)-3-пиперидинильную группу, или 1-дифенилметил-3-пиперидинильную группу. Более предпочтительно, чтобы R2 представлял метильную группу, ацетилметильную группу, 2-тетрагидрофурилметильную группу, этильную группу, 2- (N-метил-N-бензиламино) этильную группу, 2-[N-метил-N- (4-фторфенилметил)амино]этильную группу, 2-(N-фенил-N-бензиламино)этильную группу, 2-(4-дифенилметил-1-пиперазинил) этильную группу, изопропильную группу, изобутильную группу, 3-фенил-2-пропенильную группу, 1-бензил-3-азетидинильную группу, 1-дифенилметил-3-азетидинильную группу, 1-(ди-4-фторфенилметил)-3-азетидинильную группу, 1-бензил-3-пирролидинильную группу, или 1-бензил-3-пиперидинильную группу. Еще более предпочтительно, чтобы R2 представлял метильную группу, этильную группу, 2-(4-дифенилметил-1-пиперазинил)этильную группу, изобутильную группу, 3-фенил-2-пропенильную группу, 1-бензил-3-азетидинильную группу, 1-дифенилметил-3-азетидинильную группу, 1-бензил-3-пирролидинильную группу, или 1-бензил-3-пкперидинильную группу. Наиболее предпочтительно, чтобы R2 представлял 1-дифенилметил-3-азетидинильную группу. Предпочтительно, чтобы R3 представлял 2-хлорфенилькую группу, 2,3-дихлорфенильную группу, 2-нитрофенильную группу, 3-нитрофенильную группу, или 2,3-метилендиоксифенильную группу. Более предпочтительно, чтобы R3 представлял 3-нитрофенильную группу. Предпочтительно, чтобы R4 представлял метоксикарбонильную группу, этоксикарбонильную группу, 2-метоксиэтоксикарбонильную группу, изопропоксикарбонильную группу, или 5,5-диметил-1,3,2-фосфоринан-2-ильную группу. Более предпочтительно, чтобы R4 представлял метоксикарбонильную группу, или изопропоксикарбонильную группу, и наиболее предпочтительно, чтобы R4 представлял изопропоксикарбонильную группу. Предпочтительными блокаторами кальция формулы (I) являются: (1) соединение, в котором R1 представляет метильную группу, карбамоилоксиметильную группу, 2-аминоэтоксиметильную группу, аминогруппу или цианогруппу; (2) соединение, в котором R1 представляет метильную группу, или аминогруппу; (3) соединение, в котором R1 представляет аминогруппу; (4) соединение, в котором R2 представляет метильную группу, ацетилметильную группу, 2-тетрагидрофурилметильную группу, этильную группу, 2-ацетилэтильную группу, 2-(N-метил-N-бензиламино)этильную группу, 2-[N-метил-N-(4-фторфенилметил)амино]этильную группу, 2- (N-фенил-N-бензиламино)этильную группу, 2-[N-(4-фторфенил)-N-бензиламино]этильную группу, 2-[N-(4-фторфенил)-N-(4-фторфенилметил)амино]этильную группу, 2-(4-бензил-1-пиперазинил)этильную группу, 2-[4-(4-фторфенилметил)-1-пиперазинил]этильную группу, 2-(4-дифенилметил-1-пиперазинил)этильную группу, 2-[4-(ди-4-фторфенилметил)-1-пиперазинил]этильную группу, изопропильную группу, изобутильную группу, 3-фенил-2-пропенильную группу, 3-(4-фторфенил)-2-пропенильную группу, 4-фенил-3-бутенильную группу, 2-метил-3-фенил-2-пропенильную группу, 1-бензил-3-азетидинильную группу, 1-дифенилметил-3-азетидинильную группу, 1-(ди-4-фторфенилметил)-3-азетидинильную группу, 1-бензил-3-пирролидинильную группу, 1-(4-фторфенилметил)-3-пирролидинильную группу, 1-дифенилметил-3-пирролидинильную группу, 1-бензил-3-пиперидинильную группу, 1-(4-фторфенилметил)-3-пиперидинильную группу, или 1-дифенилметил-3-пиперидинильную группу; (5) соединение, в котором R2 представляет метилькую группу, ацетилметильную группу, 2-тетрагидрофурилметильную группу, этильную группу, 2-(N-метил-N-бензиламино)этильную группу, 2-[N-метил-N-(4-фторфенилметил)амино]этильную группу, 2-(N-фенил-N-бензиламино)этильную группу, 2-(4-дифенилметил-1-пиперазинил)этильную группу, изопропильную группу, изобутильную группу, 3-фенил-2-препенильную группу, 1-бензил-3-азетидинильную группу, 1-дифенилметил-3-азетидинильную группу, 1-(ди-4-фторфенилметил)-3-азетидинильную группу, 1-бензил-3-пирролидинильную группу, или 1-бензил-3-пиперидинильную группу; (6) соединение, в котором R2 представляет метильную группу, этильную группу, 2-(4-дифенилметил-1-пиперазинил)этильную группу, изобутильную группу, 3-фенил-2-пропенильную группу, 1-бензил-3-азетидинильную группу, 1-дифенилметил-3-азетидинильную группу, 1-бензил-3-пирролидинильную группу, или 1-бензил-3-пиперидинильную группу; (7) соединение, в котором R2 представляет 1-дифенилметил-3-азетидинильную группу; (8) соединение, в котором R3 представляет 2-хлорфенильную группу, 2,3-дихлорфенильную группу, 2-нитрофенильную группу, 3-нитрофенильную группу, или 2,3-метилендиоксифенильную группу; (9) соединение, в котором R3 представляет 3-нитрофенильную группу; (10) соединение, в котором R4 представляет метоксикарбонильную группу, этоксикарбонильную группу, 2-метоксиэтоксикарбонильную группу, изопропоксикарбонильную группу, или 5,5-диметил-1,3,2-фосфоринан-2-ильную группу; (11) соединение, в котором R4 представляет метоксикарбонильную группу, или изопропоксикарбонильную группу; (12) соединение, в котором R4 представляет изопропоксикарбонильную группу; (13) соединение, в котором R5 представляет метильную группу или этильную группу; и (14) соединение, в котором R5 представляет метильную группу. Представительные блокаторы кальция формулы (I) включают амлодипин, аранидипин, азелнидипин, барнидипин, бенидипин, силнидипин, эфонидипин, элгодипин, фелодипин, фалнидипин, лемилдипин, манидипин, никардипин, нифедипин, нилвадипин, низолдипин, нитрендипин, или пранидипин, предпочтительно, амлодипин, азелнидипин, барнидипин, бенидипин, силнидипин, фелодипин, лемилдипин, манидипин, никардипин, нифедипин, нилвадипин, низолдипин, нитрендипин или пранидипин; более предпочтительно амлодипин, азелнидипин, барнидипин, бенидипин, манидипин, никардипин, низолдипин, нитрендипин или пранидипин; еще более предпочтительно азелнидипин, барнидипин, бенидипин, манидипин или никардипин; и наиболее предпочтительно азелнидипин. Эти блокаторы кальция формулы (I) раскрыты в патентах США 4572909, 4446325, 4772596, 4220649, 4501748, 4672068, 4885284, 4952592, 4264611, в японской патентной публикации (kohyo) № Sho 60-500255, в японской патентной публикации № Sho 59-152373, в патентах США 4892875, 3985758, 3485847, 4338322, 4154839, 3799934, в японской патентной публикации № Sho 60-120861 и т.п. Химические структуры блокаторов кальция формулы (I) представлены в конце описания. Амлодипин представляет 2-(2-аминоэтоксиметил)-4-(2-хлорфенил)-3-этоксикарбонил-5-метоксикарбонил-6-метил-1,4-дигидропиридин, раскрытый в патенте США 4572909, в японской патентной публикации № Sho 58-167569 и т.п. Аранидипин представляет 3-(2-оксопропоксикарбонил)-2,6-диметил-5-метоксикарбонил-4-(2-нитрофенил)-1, 4-дигидропиридин раскрыт в патенте США 4446325 и т.п. Азелнидипин представляет 2-амино-3-(3-дифенилметил-3-азетидинилоксикарбонил)-5-изопропоксикарбонил-6-метил-4-(3-нитрофенил)-1,4-дигидропиридин, который раскрыт в патенте США 4772596, в японской патентной публикации № Sho 63-253082 и т.п. Барнидипин представляет 3-(1-бензил-3-пирролидинилоксикарбонил)-2, 6-диметил-5-метоксикарбонил-4-(3-нитрофенил)-1,4-дигидропиридин, который раскрыт в патенте США 4220649, в японской патентной публикации № Sho 55-301 и т.п. Бенидипин представляет 3-(1-бензил-3-пиперидинилоксикарбонил)-2,6-диметил-5-метоксикарбонил-4-(3-нитрофенил)-1,4-дигидропиридин, который раскрыт в описании патента США № 4501748, в японской патентной публикации № Sho 59-70667 и т.п. Силнидипин представляет 2,6-диметил-5-(2-метоксиэтоксикарбонил)-4-(3-нитрофенил)-3-(3-фенил-2-пропенилоксикарбонил)-1,4-дигидропиридин, который раскрыт в патенте США 4672068, в японской патентной публикации № Sho 60-233058 и т.п. Эфонидипин представляет 3-[2-(N-бензил-N-фениламино) этоксикарбонил]-2,6-диметил-5-(5,5-диметил-1,3,2-диокса-2-фосфонил)-4-(3-нитрофенил)-1,4-дигидропиридин, который раскрыт в патенте США 4885284, в японской патентной публикации № Sho 60-69089 и т.п. Элгодипин представляет 2,6-диметил-5-изопропоксикарбонил-4-(2, 3-метилендиоксифенил)-3-[2-[N-метил-N-(4-фторфенилметил) амино]этоксикарбонил]-1,4-дигидропиридин, который раскрыт в патенте США 4952592, в японской патентной публикации № Hei 1-294675 и т.п. Фелодипин представляет 3-этоксикарбонил-4-(2,3-дихлорфенил)-2,6-диметил-5-метоксикарбонил-1,4-дигидропиридин, который раскрыт в патенте США 4264611, в японской патентной публикации № Sho 55-9083 и т.п. Фалнидипин представляет 2,6-диметил-5-метоксикарбонил-4-(2-нитрофенил)-3-(2-тетрагидрофурилметоксикарбонил)-1,4-дигидропиридин, который раскрыт в патенте США 4656181, в японской патентной публикации (kohyo) № Sho 60-500255 и т.п. Лемилдипин представляет 2-карбамоилоксиметил-4-(2,3-дихлорфенил)-3-изопропоксикарбонил-5-метоксикарбонил-6-метил-1,4-дигидропиридин, который раскрыт в японской патентной публикации № Sho 59-152373 и т.п. Манидипин представляет 2,6-диметил-3-[2-(4-дифенилметил-1-пиперазинил) этоксикарбонил]-5-метоксикарбонил-4-(3-нитрофенил)-1,4-дигидропиридин, который раскрыт в патенте США 4892875, в японской патентной публикации № Sho 58-201765 и т.п. Никардипин представляет 2,6-диметил-3-[2-(N-бензил-N-метиламино)этоксикарбонил]-5-метоксикарбонил-4-(3-нитрофенил)-1,4-дигидропиридин, который раскрыт в патенте США 3985758, в японской патентной публикации № Sho 49-108082 и т.п. Нифедипин представляет 2,6-диметил-3,5-диметоксикарбонил-4-(2-нитрофенил)-1,4-дигидропиридин, который раскрыт в патенте США 3485847 и т.п. Нилвадипин представляет 2-циано~5-изопропоксикарбонил-3-метоксикарбонил-6-метил-4-(3-нитрофенил)-1,4-дигидропиридин, который раскрыт в патенте США 4338322, в японской патентной публикации № Sho 52-5777 и т.п. Низолдипин представляет 2,6-диметил-3-изобутоксикарбонил-5-метоксикарбонил-4-(3-нитрофенил)-1,4-дигидропиридин, который раскрыт в патенте США 4154839, в японской патентной публикации № Sho 52-59161 и т.п. Нитрендипин представляет 3-этсксикарбонил-2,6-диметил-5-метоксикарбонил-4-(3-нитрофенил)-1,4-дигидропиридин, который раскрыт в патенте США 3799934, в японской патентной публикации (после экспертизы) № Sho 55-27054 и т.п. Пранидипин представляет 2,6-диметил-5-метоксикарбонил-4-(3-нитрофенил)-3-(3-фенил-2-пропен-1-илоксикарбонил)-1,4-дигидропиридин, который раскрыт в патенте США 5034395, в японской патентной публикации № Sho 60-120861 и т.п. Если в структуре блокатора кальция формулы (I) имеется асимметричный атом (асимметричные атомы) углерода и/или двойная связь (связи), они могут существовать как оптически активные изомеры, геометрические изомеры и/или изомеры кольцевых структур. Настоящее изобретение охватывает отдельные оптические, геометрические и структурные изомеры и их смеси. Фармакологически приемлемыми солями блокаторов кальция формулы (I) являются соли присоединения кислот, например соли галогенводородных кислот, такие как гидрофторид, гидрохлорид, гидробромид и гидроиодид; нитрат; перхлорат; сульфат; фосфат; карбонат; алкилсульфонаты, содержащие от 1 до 6 атомов углерода, необязательно замещенные атомом (атомами) фтора, такие как метансульфонат, трифторметансульфонат, этансульфонат, пентафторэтансульфонат, пропансульфонат, бутансульфонат, пентансульфонат и гексансульфонат; арилсульфонаты, содержащие от 6 до 10 атомов углерода, такие как бензолсульфонат и пара-толуолсульфонат; соли карбоновых кислот, такие как ацетат, пропионат, бутират, бензоат, фумарат, малеат, сукцинат, цитрат, тартрат, оксалат и малонат; или соли аминокислот, такие как глутамат и аспартат. Предпочтительными солями являются гидрохлориды. Блокаторы кальция формулы (I) или их соли могут существовать в виде гидратов, и такие гидраты попадают в объем настоящего изобретения. Фармацевтические композиции настоящего изобретения содержат от 0,5 до 60 вес. частей блокатора кальция формулы (I) в расчете на 100 частей указанной композиции, предпочтительно от 1 до 30 вес. частей. Используемые в настоящем изобретении фармакологически приемлемые щелочные материалы, с помощью которых величину рН водных растворов или дисперсионных растворов указанных фармацевтических композиций можно довести до, по меньшей мере, 8, являются фармацевтически приемлемыми щелочными материалами, известными специалистам, и включают щелочные материалы, которые растворимы, слаборастворимы или практически нерастворимы в воде. Примерами таких щелочных материалов являются гидроксиды щелочных металлов, такие как гидроксид лития, гидроксид натрия и гидроксид калия; гидрсксиды щелочноземельных металлов, такие как гидроксид магния, гидроксид кальция и гидроксид бария; гидроксид алюминия; карбонаты щелочных металлов, такие как карбонат лития, карбонат натрия и карбонат калия; карбонаты щелочноземельных металлов, такие как карбонат магния, карбонат кальция и карбонат бария; бикарбонаты щелочных металлов, такие как бикарбонат лития, бикарбонат натрия и бикарбонат калия; дифосфаты щелочных металлов, такие как динатрийфосфат и дикалийфосфат; дифосфаты щелочноземельных металлов, такие как димагнийфосфат, дикальцийфосфат и дибарийфосфат; трифосфаты щелочных металлов, такие как тринатрийфосфат и трикалийфосфат; оксиды щелочных металлов, такие как оксид магния и оксид кальция; оксид алюминия; силикаты щелочных металлов, такие как силикат натрия и силикат калия; силикаты щелочноземельных металлов, такие как силикат магния и силикат кальция; комплексные соединения кремневой кислоты-алюминия, такие как кремневая кислота-окись алюминия; комплексные соединения алюминия-магния, такие как магнийалюмосиликаты и магнийалюмометасиликаты; или их смеси. Предпочтительными щелочными материалами являются карбонаты щелочных металлов, карбонаты щелочноземельных металлов, бикарбонаты щелочных металлов, оксиды щелочных металлов, силикаты щелочных металлов, комплексные соединения алюминия-магния, или их смеси. Более предпочтительными щелочными материалами являются карбонат натрия, карбонат магния, карбонат кальция, бикарбонат натрия, оксид магния, оксид кальция, силикат магния, силикат кальция, алюмосиликат магния и алюмометасиликат магния; или их смеси. Наиболее предпочтительными щелочными материалами являются карбонат натрия, бикарбонат натрия, силикат кальция, алюмосиликат магния и алюмометасиликат магния; или их.смеси (в частности, смесь карбоната натрия и алюмината алюмометасиликата магния или бикарбоната натрия и алюмометасиликата магния (в отношении от 1/20 до 1/2)). Количество щелочного материала конкретно не ограничено при условии, что рН водного раствора или дисперсионного раствора указанной фармацевтической композиции можно довести до, по меньшей мере, 8, используя указанный щелочной материал. Предпочтительное количество щелочного материала составляет от 1 до 70 вес. частей в расчете на 100 вес. частей указанной композиции, предпочтительно от 5 до 50 вес. частей. Предпочтительная величина рН водного раствора или дисперсионного раствора указанной фармацевтической композиции составляет от 8 до 12, и более предпочтительно от 9 до 11. рН водного раствора или дисперсионного раствора указанной фармацевтической композиции определяется путем измерения рН раствора с помощью рН-метра, причем указанный раствор получают, осуществляя: 1) растворение или диспергирование десятикратного количества единичной дозы указанной фармацевтической композиции (например, одной таблетки, одной капсулы) в 100 мл дистиллированной воды по способу, раскрытому в Japanese Phannacopoiea, 2) центрифугирование смеси, и 3) фильтрацию надосадочной жидкости. Когда указанная фармацевтическая композиция абсорбирует воду, или когда небольшое количество воды добавляют к указанной фармацевтической композиции, рН (микро-рН) окружения частиц указанной фармацевтической композиции можно довести до, по меньшей мере, 8, добавляя фармакологически приемлемый щелочной материал, который является одним из компонентов настоящего изобретения. Фармацевтическая композиция настоящего изобретения может содержать фармацевтически приемлемые добавки. Примерами таких добавок являются эксципиенты (например, производные сахаров, такие как лактоза, сахароза, глюкоза, маннит и сорбит; производные крахмала, такие как кукурузный крахмал, картофельный крахмал, Используемые в настоящем изобретении добавки и количества указанных добавок будут меняться в зависимости от используемых таблеток, капсул и других дозированных форм, и их могут определить специалисты, используя известные методики. Таблетки могут обычно содержать связующее (связующие) в количестве от 1 до 10 вес. частей (предпочтительно от 3 до 5 вес. частей), разрыхлитель (разрыхлители) в количестве от 1 до 40 вес. частей (предпочтительно от 5 до 30 вес. частей), смазывающий агент (агенты) в количестве, от 0,1 до 10 вес. частей (предпочтительно от 0,5 до 3 вес. частей), придающий свойства текучести агент (агенты) в количестве от 1 до 10 вес. частей (предпочтительно от 2 до 5 вес. частей) в расчете на 100 вес. частей указанной фармацевтической композиции. Блокаторы кальция формулы (I), которые являются активными ингредиентами настоящего изобретения, являются известными соединениями, или их можно легко получить известными специалистам способами (например, патент США 4572909, патент США 4446325, патент США 4772596, Японская патентная публикация № Sho 63-253082, патент США 4220649, патент США 4501748, патент США 4672068, патент США 48S5284, патент США 4952592, патент США 4264611, японская патентная публикация (kohyo) № Sho 60-500255, японская патентная публикация № Sho 59-152373, патент США. 4892875, патент США. 3985758, патент США 3435847, патент США 4338322, патент США 4154839, патент США 3799934, японская патентная публикация № Sho 60-120861, и т.п.). Фармацевтические композиции настоящего изобретения можно легко получить обычными способами, используя блокаторы кальция формулы (I) или их соли, щелочные материалы и фармацевтически приемлемые добавки (например, такими процедурами, как смешивание и замес с водой и влажное гранулирование и. т.д.). Такие формы, как таблетки, капсулы и гранулы, можно, например, получить следующим образом. К щелочному материалу, помещенному в гранулятор с высоким сдвиговым усилием, добавляют поверхностно-активный агент (агенты) при необходимости, а затем блокатор кальция формулы (I) или его соль, кроме того, при перемешивании добавляют наполнители, связующие и разрыхлители. В некоторых случаях добавляют также другие типы щелочных материалов при необходимости. Затем к полученной смеси добавляют водный раствор связующего (связующих) для получения влажной массы в грануляторе с высоким сдвиговым усилием. При получении таблеток и капсул полученную влажную массу сушат в сушилке с псевдоожиженным слоем, а затем полученную сухую массу нарезают в режущем устройстве и пропускают через сито. Нужные таблетки или капсулы можно получить, смешивая просеянные гранулы и смазывающий агент (агенты) в V-образном смесителе, а затем таблетируя или заполняя полученной смесью капсулы, соответственно. С другой стороны, при получении гранул полученную выше влажную массу экструдируют, используя экструзионный гранулятор для получения влажных гранул, которые затем сушат, используя сушку в виде продуваемого воздухом лотка. Нужные гранулы можно получить, нарезая полученные высушенные гранулы, используя устройство для нарезания, а затем пропуская гранулы через сито. Далее настоящее изобретение будет описано более подробно с помощью примеров, но настоящее изобретение этими примерами не ограничивается. Предпочтительный вариант осуществления изобретения Пример 1. Таблетки 1 Нужные таблетки получают следующим образом, используя компоненты, причем количество каждого из них в составе указано в таблице 1. К легкому алюмометасиликату магния (качества FL2), помещенному в гранулятор с высоким сдвиговым усилием, добавляют полисорбат 80 при перемешивании, и затем добавляют последовательно при перемешивании азелнидипин, кристаллическую целлюлозу, D-маннит, гидроксипропилцеллюлоэу с низкой степенью замещения и бикарбонат натрия. Затем добавляют водный раствор гидроксипрспилцеллюлозы для получения влажной массы, которую сушат в сушилке с псевдоожиженным слоем, в которую непрерывно подают воздух при температуре 90°С, до тех пор, пока температура выходящего воздуха не поднимается до 55°С. Полученную высушенную массу нарезают с помощью режущего устройства и пропускают через сито с размером ячеек 1,0 мм. Нужные таблетки получают, перемешивая просеянные гранулы и стеарат магния в течение 10 минут, используя V-образный смеситель, и затем прессуют полученную смесь, используя установку для таблетирования с пуансоном диаметром 8,0 мм. В каждом из примеров 1-5 и в сравнительном примере 1 используют 8 мг азелнидипина. Необходимое количество этой композиции измельчают в агатовой ступке и пропускают через сито с размером ячеек 20 мешей. Затем 1000 мг полученного порошка (что соответствует 5 таблеткам) помещают в центрифужную пробирку и после добавления 50 мл очищенной воды, как указано в Фармокопее Японии, полученную смесь встряхивают в шейкере в течение 20 минут. После встряхивания полученную суспензию центрифугируют при 3000 об/мин в течение 10 минут и полученную надосадочную жидкость пропускают через фильтр с размерами пор 0,45 мкм, затем величину рН фильтрата измеряют с помощью рН-метра. Величина рН полученного раствора составляет 9,5. Если эту композицию хранить при 25°С в сухих условиях и без света, 98% активного ингредиента этой композиции при исследовании оказываются неизмененными даже после хранения в течение 36 месяцев. Пример 2. Таблетки 2 Нужные таблетки получают следующим образом, используя компоненты, причем количество каждого из них в композиции указано в таблице 2. К смеси легкого алюмометасиликата магния (качества FL2) и светлого ангидрида кремневой кислоты в грануляторе с высоким сдвиговым усилием добавляют полисорбат 80 при перемешивании, и затем добавляют последовательно при перемешивании азелнидипин, кристаллическую целлюлозу, D-маннит, гидрсксипропилцеллюлозу с низкой степенью замещения, кальцийкарбоксиметилцеллюлозу (кармеллоза кальция) и бикарбонат натрия. Затем к смеси добавляют водный раствор гидроксипропилцеллюлозы для получения влажной массы, которую затем сушат в сушилке с псевдоожиженным слоем, в которую непрерывно подают воздух при температуре 90°С, до тех пор, пока температура выходящего воздуха не поднимается до 55°С. Полученную высушенную массу нарезают с помощью режущего устройства и пропускают через сито с размером ячеек 1,0 мм. Нужные таблетки получают, перемешивая просеянные гранулы и стеарат магния в течение 10 минут, используя V-образный смеситель, и затем прессуют полученную смесь, используя установку для таблетирования с пуансоном диаметром 8,0 мм. Величину рН этой композиции определяют по способу примера 1. Величина рН полученного раствора составляет 10,0. Если эту композицию хранить при 25°С в сухих условиях и без света, 99% активного ингредиента этой композиции при исследовании оказываются неизмененными даже после хранения в течение 36 месяцев. Пример 3. Капсулы 1 Нужные капсулы получают, приготавливая смесь компонентов, причем количество каждого из них в композиции приведено в таблице 2, по способу примера 2, а затем заполняя определенным количеством полученной смеси каждую капсулу № 3. Величину рН этой композиции определяют способом, описанным в примере 1. Величина рН полученного раствора составляет 10,0. Если эту композицию хранить при 25°С в сухих условиях и без света, 98% активного ингредиента этой композиции при исследовании оказываются неизмененными даже после хранения в течение 36 месяцев. Пример 4. Таблетки 3 Нужные таблетки получают способом, описанным в примере 2, используя карбонат натрия вместо бикарбоната натрия, указанного в составе композиции в таблице 2. Величину рН этой композиции определяют по способу примера 1. Величина рН полученного раствора составляет 11,0. Если эту композицию хранить при 25°С в сухих условиях и без света, 95% активного ингредиента этой композиции при исследовании оказываются неизмененными даже после хранения в течение 36 месяцев. Пример 5. Таблетки 4 Нужные таблетки получают следующим образом, используя компоненты, причем количество каждого из них в составе указано в таблице 3. К силикату кальция, помещенному в гранулятор с высоким сдвиговым усилием, добавляют полисорбат 80 при перемешивании, и затем добавляют последовательно при перемешивании азелнидипин, D-маннит, гидроксипропилцеллюлозу с низкой степенью замещения. Затем к смеси добавляют водный раствор гидроксипропилцеллюлозы для получения влажной массы, которую сушат в сушилке с псевдосжиженным слоем, в которую непрерывно подают воздух при температуре 90°С, до тех пор, пока температура выходящего воздуха не поднимается до 55°С. Полученную высушенную массу нарезают с помощью режущего устройства и пропускают через сито с размером ячеек 1,0 мм. Нужные таблетки получают, перемешивая просеянные гранулы и стеарат магния в течение 10 минут, используя V-образный смеситель, и затем прессуют полученную смесь, используя установку для таолетирования с пуансоном диаметром 8,0 мм. Величину рН этой композиции определяют способом, описанным в примере 1. Величина рН полученного раствора составляет 9,3. Если эту композицию хранить при 25°С в сухих условиях и без света, 97% активного ингредиента этой композиции при исследовании оказываются неизмененными даже после хранения в течение 36 месяцев. Сравнительный пример А. Таблетки А Нужные таблетки получают следующим образом, используя компоненты, причем количество каждого из них в составе указано в таблице 4. Азелнидипин, D-маннит и гидроксипропилцеллюлозу с низкой степенью замещения смешивают в грануляторе с высоким сдвиговым усилием, а затем при перемешивании добавляют полисорбат 80. Затем к смеси добавляют водный раствор гидроксипропилцеллюлозы для получения влажной массы, которую сушат в сушилке с псевдоожиженным слоем, в которую непрерывно подают воздух при температуре 90°С, до тех пор, пока температура выходящего воздуха не поднимается до 55°С. Полученную высушенную массу нарезают с помощью режущего устройства и пропускают через сито с размером ячеек 1,0 мм. Нужные таблетки получают, перемешивая просеянные гранулы и стеарат магния в течение 10 минут, используя V-образный смеситель, и затем прессуют полученную смесь, используя установку для таблетирования с пуансоном диаметром 8,0 мм. Величину рН этой композиции определяют способом, описанным в примере 1. Величина рН полученного раствора составляет 7,4. Если эту композицию хранить при 25°С в сухих условиях и без света, 70% активного ингредиента этой композиции при исследовании сказываются неизмененными даже после хранения в течение 36 месяцев. Возможность промышленного использования Фармацевтические композиции настоящего изобретения демонстрируют превосходную стабильность при хранении, быстро абсорбируются в желудочно-кишечном тракте, и их можно легко получать способом влажной грануляции. Эти фармацевтические композиции являются полезными композициями в качестве медицинских рецептур.
Формула изобретения
1. Фармацевтическая композиция, содержащая блокатор кальция или его фармакологически приемлемую соль, фармакологически приемлемый щелочной материал в количестве, достаточном для того, чтобы водный раствор или дисперсионный раствор указанной фармацевтической композиции имел значение рН, равное по меньшей мере 8, и необязательно фармакологически приемлемые добавки, где указанный блокатор кальция имеет формулу где R1 представляет С1-С4 алкильную группу, необязательно замещенную карбамоилокси или 2-аминоэтокси, аминогруппу или цианогруппу; R2 представляет С1-С4 алкильную группу, необязательно замещенную ацетилом, N-метил-N-(фенилметил, необязательно замещенный фтором) амино, N-(фенил, необязательно замещенный фтором)-N-(фенилметил, необязательно замещенный фтором)амино, 2-тетрагидрофурилом, или 4-[фенилметил, необязательно замещенный фтором или ди-(фенил, необязательно замещенный фтором)метил]-1-пиперазинилом, С3-С4 алкенильную группу, замещенную фенилом, в которой указанная фенильная группа необязательно замещена фтором, или 4-6-членную циклическую аминогруппу, в которой атом азота замещен фенилметилом, необязательно замещенным фтором, или ди-(фенил, необязательно замещенный фтором)метилом); R3 представляет фенильную группу, замещенную 1 или 2 заместителями, выбранными из группы, состоящей из галогена, нитро и 1,2-метилендиокси, R4 представляет С1-С4 алкоксикарбонильную группу, необязательно замещенную метокси, 1,3,2-фосфоринан-2-ильную группу, или 5,5-диметил-1,3,2-фосфоринан-2-ильную группу, R5 представляет С1-С4 алкильную группу. 2. Фармацевтическая композиция по п.1, в которой R1 представляет метильную группу, карбамоилоксиметильную группу, 2-аминоэтоксиметильную группу, аминогруппу или цианогруппу. 3. Фармацевтическая композиция по п.1, в которой R1 представляет метильную группу или аминогруппу. 4. Фармацевтическая композиция по п.1, в которой R1 представляет аминогруппу. 5. Фармацевтическая композиция по пп.1-4, в которой R2 представляет метильную группу, ацетилметильную группу, 2-тетрагидрофурилметильную группу, этильную группу, 2-ацетилэтильную группу, 2-(N-метил-N-бензиламино)этильную группу, 2-[N-метил-N-(4-фторфенилметил)амино]этильную группу, 2-(N-фенил-N-бензиламино этильную группу, 2-[N-(4-фторфенил)-N-бензиламино]этильную группу, 2-[N-(4-фторфенил)-N-(4-фторфенилметил)амино]этильную группу, 2-(4-бензил-1-пиперазинил)этильную группу, 2-[4-(4-фторфенилметил)-1-пиперазинил]этильную группу, 2-(4-дифенилметил-1-пиперазинил)этильную группу, 2-[4-(ди-4-фторфенилметил)-1-пиперазинил]этильную группу, изопропильную группу, изобутильную группу, 3-фенил-2-пропенильную группу, 3-(4-фторфенил)-2-пропенильную группу, 4-фенил-3-бутенильную группу, 2-метил-3-фенил-2-пропенильную группу, 1-бензил-3-азетидинильную группу, 1-дифенилметил-3-азетидинильную группу, 1-(ди-4-фторфенилметил)-3-азетидинильную группу, 1-бензил-3-пирролидинильную группу, 1-(4-фторфенилметил)-3-пирролидинильную группу, 1-дифенилметил-3- пирролидинильную группу, 1-бензил-3-пиперидинильную группу, 1-(4-фторфенилметил)-3-пиперидинильную группу, или 1-дифенилметил-3-пиперидинильную группу. 6. Фармацевтическая композиция по пп.1-4, в которой R2 представляет метильную группу, ацетилметильную группу, 2-тетрагидрофурилметильную группу, этильную группу 2-(N-метил-N-бензиламино)этильную группу, 2-[N-метил-N-(4-фторфенилметил)амино]этильную группу, 2-(N-фенил-N-бензиламино)этильную группу, 2-(4-дифенилметил-1-пиперазинил)этильную группу, изопропильную группу, изобутильную группу, 3-фенил-2-пропенильную группу, 1-бензил-3-азетидинильную группу, 1-дифенилметил-3-азетидинильную группу, 1-(ди-4-фторфенилметил)-3-азетидинильную группу, 1-бензил-3-пирролидинильную группу, или 1-бензил-3-пиперидинильную группу. 7. Фармацевтическая композиция по пп.1-4, в которой R2 представляет метильную группу, этильную группу, 2-(4-дифенилметил-1-пиперазинил)этильную группу, изобутильную группу, 3-фенил-2-пропенильную группу, 1-бензил-3-азетидинильную группу, 1-дифенилметил-3-азетидинильную группу, 1-бензил-3-пирролидинильную группу или 1-бензил-3-пиперидинильную группу. 8. Фармацевтическая композиция по пп.1-4, в которой R2 представляет 1-дифенилметил-3-азетидинильную группу. 9. Фармацевтическая композиция по пп.1-8, в которой R3 представляет 2-хлорфенильную группу, 2,3-дихлорфенильную группу, 2-нитрофенильную группу, 3-нитрофенильную группу или 2,3-метилендиоксифенильную группу. 10. Фармацевтическая композиция по пп.1-8, в которой R3 представляет 3-нитрофенильную группу. 11. Фармацевтическая композиция по пп.1-10, в которой R4 представляет метоксикарбонильную группу, этоксикарбонильную группу, 2-метоксиэтоксикарбонильную группу, изопропоксикарбонильную группу или 5,5-диметил-1,3,2-фосфоринан-2-ильную группу. 12. Фармацевтическая композиция по пп.1-10, в которой R4 представляет метоксикарбонильную группу или изопропоксикарбонильную группу. 13. Фармацевтическая композиция по пп.1-10, в которой R4 представляет изопропоксикарбонильную группу. 14. Фармацевтическая композиция по пп.1-13, в которой R5 представляет метильную или этильную группу. 15. Фармацевтическая композиция по пп.1-13, в которой R5 представляет метильную группу. 16. Фармацевтическая композиция по п.1, в которой блокатор кальция формулы (I) представляет амлодипин, аранидипин, азелнидипин, барнидипин, бенидипин, силнидипин, эфонидипин, элгодипин, фелодипин, фалнидипин, лемилдипин, манидипин, никардипин, нифедипин, нилвадипин, низолдипин, нитрендипин или пранидипин. 17. Фармацевтическая композиция по п.1, в которой блокатор кальция формулы (I) представляет амлодипин, азелнидипин, барнидипин, бенидипин, силнидипин, фелодипин, лемилдипин, манидипин, никардипин, нифедипин, нилвадипин, низолдипин, нитрендипин или пранидипин. 18. Фармацевтическая композиция по п.1, в которой блокатор кальция формулы (I) представляет амлодипин, азелнидипин, барнидипин, бенидипин, манидипин, никардипин, низолдипин, нитрендипин или пранидипин. 19. Фармацевтическая композиция по п.1, в которой блокатор кальция формулы (I) представляет азелнидипин, барнидипин, бенидипин, манидипин или никардипин. 20. Фармацевтическая композиция по п.1, в которой блокатор кальция формулы (I) представляет азелнидипин. 21. Фармацевтическая композиция по пп.1-20, в которой щелочным материалом является гидроксид щелочного металла, гидроксид щелочноземельного металла, гидроксид алюминия, карбонат щелочного металла, карбонат щелочноземельного металла, бикарбонат щелочного металла, дифосфат щелочного металла, дифосфат щелочноземельного металла, трифосфат щелочного металла, оксид щелочноземельного металла, оксид алюминия, силикат щелочного металла, силикат щелочноземельного металла, комплексное соединение кремневой кислоты-алюминия, комплексное соединение алюминия-магния или их смеси. 22. Фармацевтическая композиция по пп.1-20, в которой щелочным материалом является карбонат щелочного металла, карбонат щелочноземельного металла, бикарбонат щелочного металла, оксид щелочноземельного металла, силикат щелочного металла, силикат щелочноземельного металла, комплексное соединение алюминия-магния или их смеси. 23. Фармацевтическая композиция по пп.1-20, в которой щелочным материалом является карбонат натрия, карбонат магния, карбонат кальция, бикарбонат натрия, оксид магния, оксид кальция, силикат магния, силикат кальция, алюмосиликат магния, алюмометасиликат магния или их смеси. 24. Фармацевтическая композиция по пп.1-20, в которой щелочным материалом является карбонат натрия, бикарбонат натрия, силикат кальция, алюмосиликат магния и алюмометасиликат магния или их смеси. 25. Фармацевтическая композиция по пп.1-20, в которой щелочным материалом является смесь карбоната натрия и алюмометасиликата магния или смесь бикарбоната натрия или алюмометасиликата магния. 26. Фармацевтическая композиция по пп.1-25, в которой величина рН водного раствора или дисперсионного раствора указанной фармацевтической композиции составляет 8 – 12. 27. Фармацевтическая композиция по пп.1-25, в которой величина рН водного раствора или дисперсионного раствора указанной фармацевтической композиции составляет 9 – 11.
|
||||||||||||||||||||||||||


-крахмал, декстрин, карбоксиметилкрахмал, и натрийкарбоксиметилкрахмал; желатинизированный крахмал; производные целлюлозы, такие как кристаллическая целлюлоза, метилцеллюлоза, гидросипропилцеллюлоза, гидроксипропилцеллюлоза с низкой степенью замещения, гидроксипропилметилцеллюлоза, карбоксиметилцеллюлоза, кальцийкарбоксиметилцеллюлоза, сшитая карбоксиметилцеллюлоза и сшитая натрийкарбоксиметилцеллюлоза; акация, декстран; пуллулан; силикатные производные, такие как легкий ангидрид кремневой кислоты, гидрат кремневой кислоты, синтетический алюмосиликат и магнийалюмометасиликат; фосфатные производные, такие как дикальцийфосфат; производные хлоридов, такие как хлорид натрия; производные карбонатов, такие как карбонат кальция; производные сульфатов, такие как сульфат кальция; или их смеси; предпочтительно производные сахаров, производные целлюлозы, или их смеси, более предпочтительно маннит, кристаллическая целлюлоза или их смеси), связующие агенты (например, проиллюстрированные выше в качестве эксципиентов соединения, желатин, поливинилпирролидон, макроголь, или их смеси; предпочтительно производные целлюлозы или их смеси; более предпочтительно гидроксипропилметилцеллюлоза), разрыхляющие агенты (например, проиллюстрированные выше в качестве эксципиентов соединения; сшитый поливинилпирролидон; или их смеси; предпочтительно производные целлюлозы или их смеси; более предпочтительно гидроксипропилметилцеллюлоза с низкой степенью замещения, кальцийкарбоксиметилцеллюлоза или их смеси), смазывающие агенты (например, стеариновая кислота; стеараты металлов, такие как стеарат кальция и стеарат магния; бензоаты металлов, такие как бензоат натрия; воски, такие как пчелиный воск и спермацет; борная кислота; гликоль; карбоновые кислоты, такие как фумаровая кислота и адипиновая кислота; сульфаты металлов, такие как сульфат натрия; лейцин; металлаурилсульфаты, такие как лаурилсульфат натрия и лаурилсульфат магния; производные силикатов, такие, которые проиллюстрированы выше в качестве эксципиентов; производные целлюлозы, проиллюстрированные выше в качестве эксципиектов; гидрированные растительные масла; карнаубский воск; сложные эфиры жирных кислот и сахарозы или их смеси; предпочтительно стеараты металлов, производные силикатов, или их смеси, и более предпочтительно, стеарат кальция, стеарат магния, ангидрид кремневой кислоты или их смеси), стабилизирующие агенты (например, бензойная кислота, бензоаты металлов, такие как бензоат натрия; параоксибензоаты, такие как метилпарабен и пропилпарабен; спирты, такие как хлорбутанол, бензиловый спирт и фенилэтиловый спирт; бензалконийхлорид; производные фенола, такие как фенол или крезол; тимеросал; уксусный ангидрид; сорбиновая кислота или их смеси; предпочтительно бензоаты металлов, параоксибензоаты металлов или их смеси; более предпочтительно бензоат натрия, метилпарабен, пропилпарабен или их смеси), агенты, придающие свойства текучести (например, производные силикатов, проиллюстрированные выше в качестве эксципиентов; тальк или их смеси; предпочтительно, легкий ангидрид кремневой кислоты, тальк или их смеси), поверхностно-активные агенты (например, полисорбаты, такие как полисорбат 80; полиоксиэтиленовые гидрированные касторовые масла, такие как полиоксиэтиленовое гидрированное касторовое масло 60; сложные эфиры жирных кислот сорбитана, сложные эфиры жирных кислот сахарозы; полиоксиэтиленполиоксипропиленгликоли; полиоксиэтиленовые эфиры жирных кислот; полиоксистеараты или их смеси; предпочтительно полисорбат 80, полиоксиэтиленовое гидрированное касторовое масло 60, или их смеси), окрашивающие агенты, антиокислительные агенты, корригирующие агенты (например, обычно используемые подслащивающие, подкисляющие и вкусовые агенты) или разбавители.






