Патент на изобретение №2239428
|
||||||||||||||||||||||||||
(54) ДИСПЕРСИОННЫЕ КОМПОЗИЦИИ, СОДЕРЖАЩИЕ ИНГИБИТОРЫ ЛИПАЗ
(57) Реферат:
Фармацевтическая композиция для лечения или предупреждения ожирения включает по меньшей мере один ингибитор липаз, предпочтительно ингибитор желудочно-кишечных и панкреатических липаз, например орлистат, по меньшей мере одно поверхностно-активное вещество и по меньшей мере один диспергатор. Поверхностно-активное вещество представляет собой неионогенное поверхностно-активное вещество или цвиттерионное поверхностно-активное вещество или их смеси. Описан способ приготовления фармацевтической композиции и способ лечения или предупреждения ожирения. Настоящее изобретение позволяет значительно уменьшить количество действующего вещества в композиции, сохраняя при этом такой же уровень ингибирования липаз и минимизируя тем самым нежелательные побочные действия. 3 н. и 22 з.п. ф-лы, 1 табл.
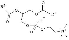
Настоящее изобретение относится к фармацевтическим композициям, содержащим ингибиторы липаз. Примерами таких ингибиторов липаз являются липстатин и орлистат. Последний также известен как тетрагидролипстатин или ТГЛ, и он является производным природного продукта, выделяемого Streptomyces toxytricini. Установлено, что этот класс соединений проявляет как in vitro, так и in vivo активность в отношении различных липаз, таких как лингвальная липаза, панкреатическая липаза, желудочная липаза и карбоксилэфир-липаза. Применение этого соединения для лечения или предупреждения ожирения и гиперлипидемии описано, например, в патенте US 4598089. Орлистат обычно применяют в дозах 120 мг за один прием пищи, и эта доза не зависит от веса тела пациента. Орлистат оказывает локальное действие в желудочно-кишечном тракте (ЖК) и предупреждает расщепление липазой триглицеридов и вследствие этого ингибирует образование абсорбируемых продуктов расщепления липидов. Для этой цели не требуется наличие системной доступности ингибиторов липаз, наоборот, предпочтительным является их локальное присутствие в желудочно-кишечном тракте. Общепринятые включающие ингибиторы липаз композиции примерно на 30% ингибируют абсорбцию жира после поглощения смешанной пищи; увеличение концентрации ингибиторов липаз в фармацевтической композиции не повышает ее клиническую эффективность, в то время как интенсивность местных побочных действий увеличивается. Анальное истечение масла (маслянистые пятна) является побочным действием, которое иногда наблюдается у пациентов при лечении ингибиторами липаз. Это явление отражает физическое отделение некоторой части жидкого неабсорбированного поглощенного с пищей жира из массы твердых веществ в нижнем отделе толстой кишки. Таким образом, задачей настоящего изобретения является создание содержащих ингибиторы липаз композиций, способствующих повышению клинической эффективности и/или активности самого ингибитора, и/или в которых минимизированы или которые полностью лишены вышеуказанных недостатков. Эта задача решается с помощью фармацевтической композиции, включающей по меньшей мере один ингибитор липаз, по меньшей мере одно поверхностно-активное вещество и по меньшей мере один диспергатор. Понятия “диспергаторы” или “диспергирующие агенты” обозначают продукты, которые облегчают первоначальное диспергирование соединений и усиливают дальнейшее однородное распределение в окружающей среде. Понятие ПАВ (поверхностно-активное вещество) обозначает вещество, такое как детергент, которое при добавлении в жидкость снижает поверхностное натяжение между липофильной и гидрофильной фазой. Поверхностно-активная молекула должна быть частично гидрофильной (водорастворимой) и частично липофильной (растворимой в липидах или маслах). Она концентрируется на поверхностях раздела между водой и маслом или липидами, действуя в качестве эмульгирующего агента или пенообразователя. Предпочтительными поверхностно-активными веществами являются анионогенные, неионогенные и цвиттерионные поверхностно-активные вещества. В контексте настоящего описания понятие “ингибитор липаз” и “липазный ингибитор” относится к соединениям, которые обладают способностью ингибировать действие липаз, например желудочных и панкреатических липаз. Например, орлистат и липстатин, описанные в патенте US 4598089, являются эффективными ингибиторами липаз. Липстатин представляет собой природный продукт микробного происхождения, а орлистат получают путем гидрирования липстатина. Другие ингибиторы липаз включают класс соединений – аналогов орлистата, которые обычно называют панклицинами (Mutoh и др., 1994). Понятие “ингибитор липаз” также относится к полимеру, связанному с ингибиторами липаз, например, описанному в международной заявке на патент WO 99/34786 (на имя фирмы Geltex Pharmaceuticals Inc.). Эти полимеры отличаются тем, что они замещены по меньшей мере одной или несколькими группами, ингибирующими липазы. Понятие “ингибитор липаз” также включает фармацевтически приемлемые соли этих соединений. Предпочтительно понятие “ингибитор липаз” относится к орлистату. Орлистат представляет собой известное соединение, которое применяют для лечения или предупреждения ожирения и гиперлипидемии (см. патент US 4598089, выданный 1 июля 1986 г., в котором также описаны методы получения орлистата, и патент US 6004996, в котором описаны соответствующие фармацевтические композиции). Другие приемлемые фармацевтические композиции описаны, например, в международных заявках на патент WO 00/09122 и WO 00/09123. Дополнительные методы получения орлистата описаны в публикациях европейских заявок на патент 185359, 189577, 443449 и 524495. Орлистат вводят предпочтительно пероральным путем в количестве от 60 до 720 мг в день в виде разделенных доз 2-3 раза в день. Предпочтительно вводить пациенту от 180 до 360 мг, наиболее предпочтительно 360 мг в день ингибитора липаз предпочтительно в виде разделенных доз 2, или особенно предпочтительно 3 раза в день. Пациент предпочтительно представляет собой человека, который страдает ожирением или избыточным весом, т.е. человека, у которого индекс веса тела составляет 25 или более. Как правило, предпочтительно применять ингибитор липаз в процессе поглощения пищи, содержащей жир. Как правило, ингибитор липаз, как он определен выше, предпочтительно применяют для лечения человека, имеющего тяжелый семейный анамнез с точки зрения ожирения и имеющего индекс веса тела 25 или более. При создании изобретения неожиданно было установлено, что введение ингибитора липаз в композицию, которая включает по меньшей мере одно поверхностно-активное вещество и по меньшей мере один диспергатор, в значительной степени повышает эффективность и/или активность самого ингибитора липаз. Кроме того, снижается вариабельность эффективности и/или активности между пациентами, а также частота встречаемости и серьезность побочных действий. Было установлено, что фармацевтические композиции по изобретению оказывают наиболее благоприятное действие при пероральном введении во время принятия пищи человеком. При создании изобретения неожиданно было установлено, что их эффективность и/или активность выше, чем у уже существующих композиций. Кроме того, композиции по изобретению при оценке с использованием одного пробного завтрака снижают неприятные побочные действия по сравнению с уже существующими композициями (см. пример 1), несмотря на то, что большее количество жира остается неабсорбированным. В опытах на людях с использованием одного пробного завтрака было установлено, что в стуле, полученном после поглощения композиций по изобретению, обнаружено меньшая степень отделения масла от основной массы стула по сравнению с традиционными композициями. Это является неожиданным, поскольку в собранных образцах стула присутствует такое же или больше количество жира. Согласно настоящему изобретению ингибитор липаз, предпочтительно ингибитор желудочно-кишечной и панкреатической липаз, наиболее предпочтительно орлистат, присутствует в количестве от 1 до 50%, предпочтительно от 5 до 30% в пересчете на общую массу композиции. Присутствие по меньшей мере одного поверхностно-активного вещества является важным для достижения оптимального распределения частиц в желудке. Согласно предпочтительному варианту осуществления изобретения поверхностно-активное вещество выбирают из группы, включающей анионогенные поверхностно-активные вещества, неионогенные поверхностно-активные вещества, цвиттерионные поверхностно-активные вещества и их смеси. Наиболее предпочтительными являются поверхностно-активные вещества, выбранные из группы, включающей полиэтиленгликоль(1000)сукцинат витамина Е (TPGS), эфиры жирных кислот и поли(оксиэтилен)сорбитана, поли(оксиэтилен)стеараты, простые поли(оксиэтилен)алкиловые эфиры, полигликолизированные глицериды, поли(оксиэтиленированные) касторовые масла, эфиры жирных кислот и сорбитана, полоксамеры, соли жирных кислот, соли желчных кислот, алкилсульфаты, лецитины, смешанные мицеллы солей желчных кислот и лецитинов, сложные эфиры сахаров и их смеси. “Эфиры жирных кислот и поли(оксиэтилен)сорбитана” имеются в поодаже и обозначают моно-, ди-или триэфиры сорбитана и жирных кислот (C8-C18), например ПОЭ(20)сорбитанмонолаурат (полисорбат 20), ПОЭ(20)сорбитанмонопальмитат (полисорбат 40), ПОЭ(20)сорбитанмоностеарат (полисорбат 60), ПОЭ(20)сорбитантристеарат (полисорбат 65), ПОЭ(6)сорбитантмоностеарат(ПЭГ(6)сорбитанстеарат), ПОЭ(20)сорбитанмоноолеат (полисорбат 80), ПОЭ(20)сорбитантриолеат (полисорбат 85), ПОЭ(6)сорбитантмоноолеат (ПЭГ(6)сорбитанолеат) и ПОЭ(20)сорбитанмоноизостеарат (ПЭГ(20)сорбитанизостеарат). Понятие “поли(оксиэтилен)стеараты” обозначает эфиры полиоксиэтиленгликоля и стеариновой кислоты, например, ПЭГ(22)стеарат, ПЭГ(32)стеарат и ПЭГ(40)стеарат. Эти соединения известны в данной области и поступают в продажу, например, как класс соединений, имеющих товарный знак Myrj. Понятие простые поли(оксиэтилен)алкиловые эфиры обозначает эфиры, состоящие из полиоксиэтилена и алкильных групп, например, ПОЭ(7)-C12-С14алкиловый эфир, ПОЭ(9)-С12-С14алкиловый эфир, ПОЭ(3)-С12-С14алкиловый эфир и ПОЭ(9)-С12-С14алкиловый эфир, например, относящиеся к классу соединений, имеющих товарный знак Brij. Понятие “полигликолизированные глицериды” обозначает поверхностно-активные вещества, получаемые а) омылением масел и б) переэтерификацией жирных кислот с полиэтиленгликолем (ПЭГ), например, относящиеся к классу соединений, имеющих товарный знак Gelucire; или смеси глицеридов с эфирами поли(оксиэтилена) и жирных кислот. Понятие “поли(оксиэтиленированные) касторовые масла” обозначает касторовое масло, подвергнутое взаимодействию с полиэтиленгликолем, например, полиоксил(35)касторовое масло (Cremophor EL), ПЭГ(30)касторовое масло, ПЭГ(40)касторовое масло, ПЭГ(25)-гидрогенизированное касторовое масло и ПЭГ(40)-гидрогенизированное касторовое масло (Cremophor RH). Понятие “соли жирных кислот” обозначает фармацевтически приемлемые соли жирных С12-С18кислот, предпочтительно встречающихся в естественных условиях жирных кислот, например, Na-олеат. Понятие “алксилсульфаты” обозначает С12-С18алкилсульфаты, например, додецилсульфат натрия. Понятие “эфиры жирных кислот и сорбитана” обозначает эфиры жирных С12-С18Кислот, предпочтительно встречающихся в естественных условиях жирных кислот, типа сорбитанлаурата, сорбитанолеата, сорбитанпальмитата, сорбитанстеарата, сорбитантристеарата, сорбитантриолеата и т.д. Понятие “лецитин” относится к природному или синтетическому лецитину. Лецитин имеет следующую структуру: где R1-COOH и R2-COOH обозначают жирные кислоты R1-COOH и R2-COOH, как они определены выше (см. определение для солей жирных кислот). Лецитины могут быть выбраны из группы, включающей природный лецитин, синтетический лецитин, соевый лецитин, яичный лецитин, синтетический дипальмитинлецитин, частично или полностью гидрогенизированный лецитин и их смеси. Понятие “соли желчных кислот” обозначает фармацевтически приемлемые соли, например, натриевые соли желчных кислот, например холат, а также конъюгированных желчных кислот, например Na-гликохолат. Понятие “сложные эфиры сахаров” обозначает сложные эфиры сахаров и жирных кислот, например жирных С12-С18кислот, например жирных кислот и сахарозы, типа стеарата сахарозы или пальмитата сахарозы. Понятие “полоксамер” обозначает блоксополимер поли(оксиэтиленгликолей) и поли(оксипропиленгликолей), например, который имеет общую формулу где а обозначает 2-130, b обозначает 15-67. Вышеописанные соединения известны в данной области и имеются в продаже. Понятие “фармацевтически приемлемый” в контексте настоящего описания обозначает, что эксципиенты является приемлемыми с точки зрения их токсичности. Предпочтительные поверхностно-активные вещества могут выбраны из группы, включающей полиэтиленгликоль(1000)сукцинат витамина Е, например TPGS, фирма Eastman Chemicals; поли(этоксилированное) касторовое масло, например Cremophor EL, фирма BASF, и полиэтиленгликоль(40)стеарат, Myrj 52, фирма Serva; Crodet S40, фирма Croda. Поверхностно-активные вещества присутствуют в количестве по меньшей мере 0,1% в пересчете на общую массу композиции, предпочтительно в количестве 0,1-90%, более предпочтительно в количестве 1-20%. Присутствие по меньшей мере одного диспергатора важно для ускорения первоначального диспергирования продуктов в физиологических средах, в которых ингибитор липаз должен действовать. Диспергаторы могут быть выбраны из группы, включающей водо- и жирорастворимые вещества. Они, как правило, присутствуют в количестве по меньшей мере 5% в пересчете на общую массу композиции, предпочтительно в количестве от 5 до 70% в пересчете на общую массу композиции. В одном из вариантов осуществления изобретения применяют водорастворимые диспергаторы. Приемлемые водорастворимые диспергаторы выбирают из группы, включающей сахара, сахарные спирты, спирты, шипучие смеси, разрыхлители и их смеси. Более предпочтительные диспергаторы могут быть выбраны из группы, включающей глюкозу, сорбит, маннит, мальтодекстрин, лактозу, сахарозу, полиэтиленгликоль, глицерин, триацетин, гликофурол, шипучие смеси, например смеси NаНСО3/кислота, например NаНСО3/лимонная кислота, и их смеси. Наиболее предпочтительными водорастворимыми диспергаторами являются сорбит, маннит, мальтодекстрин, лактоза, сахароза, полиэтиленгликоль, например полиэтиленгликоль 100-10000, наиболее предпочтительно полиэтиленгликоль 400-6000, например полиэтиленгликоль 400, глицерин, триацетин, гликофурол и их смеси. С помощью гаммасцинтиграфии установлено, что шипучие смеси (NаНСО3/лимонная кислота) оказывают выраженное воздействие на диспергирование содержимого гидроксипропилметилцеллюлозных (ГПМЦ) капсул в желудке. Некоторые композиции по изобретению, включающие жирорастворимые соединения в качестве диспергирующих агентов, известны как самоэмульгирующиеся системы для введения лекарственных средств (Self-Emulsifying Drug Delivery Systems (SEDDS)). SEDDS обладают определенными характеристиками эмульгирования масляных компонентов в условиях осторожного перемешивания и приводят к образованию микро- или субмикроэмульсий. Описание составов SEDDS можно обнаружить, например, у C.W.Pouton, Advanced Drug Delivery Reviews, 25, 47-58 (1997). Было установлено, что после диспергирования в водной среде SEDDS могут разделяться на прозрачную мицеллярную фазу и состоящую из капелек липидов эмульсию, причем ингибитор липаз, если он присутствует, находится в обеих фазах. Таким образом, еще одним объектом изобретения являются описанные выше фармацевтические композиции, включающие по меньшей мере один диспергатор, который представляет собой жирорастворимое соединение и является жидким при температуре тела. Согласно изобретению жирорастворимый диспергирующий агент предпочтительно применяют в количестве от 20 до 90% в пересчете на общую массу композиций, и он должен быть жидким при температуре тела (т.е. >37°С). Диспергаторы могут быть выбраны из группы, включающей триглицериды, диглицериды, моноглицериды, смеси ди/моно/триглицеридов, витамин Е, токоферолацетат, терпены, сквален и их смеси, более предпочтительно жирорастворимое вещество выбирают из группы, включающей триглицериды, диглицериды, моноглицериды, смеси ди/моно/триглицеридов, витамин Е, токоферолацетат и их смеси. Предпочтительными примерами являются триглицериды со средней цепью (со средней длиной цепи) или смеси триглицеридов со средней длиной цепи, например фракционированное кокосовое масло (триглицериды со средней длиной цепи, МСТ, Miglyol 812, фирма Понятие “глицерид” обозначает эфир глицерина и жирных кислот, имеющих 2-7 (короткая цепь; триглицериды с короткой цепью), 8-12 (средняя цепь; триглицериды со средней длиной цепи) и >12 (длинная цепь; триглицериды с длинной цепью) атомов углерода. Их примеры включают глицерилтрилаурат, глицерилтристеарат и т.д. Примеры диглицеридов включают глицерилдилаурат, глицерилдистеарат и т.д. Примеры моноглицеридов включают глицерилмонолаурат и глицерилмоностеарат. Согласно изобретению также можно применять соответствующие смеси моно-, ди- и триглицеридов. Композиции по изобретению можно вводить с помощью общепринятых дозируемых форм, таких как гидроксипропилметилцеллюлозные (ГПМЦ) капсулы, мягкие желатиновые капсулы, твердые желатиновые капсулы, крахмальные капсулы, таблетки, жевательные таблетки и капсулы, сиропы и т.д. Согласно изобретению можно применять любой ингибитор липаз, но наиболее предпочтительными действующими веществами являются ингибиторы желудочной и панкреатической липаз, и в частности орлистат. Предпочтительная композиция по настоящему изобретению включает: а) от 1 до 50% ингибитора липаз в пересчете на общую массу композиции; б) от 5 до 70% по меньшей мере одного диспергатора в пересчете на общую массу композиции; в) от 0,1 до 90% по меньшей мере одного поверхностно-активного вещества в пересчете на общую массу композиции, и необязательно г) один или несколько фармацевтически приемлемых эксципиентов. Более предпочтительно ингибитор липаз, например орлистат, присутствует в количестве 3-30%, а поверхностно-активное вещество в количестве 1-20%. Настоящее изобретение также относится к способу приготовления описанных выше фармацевтических композиций, который предусматривает смешение по меньшей мере одного ингибитора липаз по меньшей мере с одним поверхностно-активным веществом и по меньшей мере с одним диспергатором. Еще одним объектом изобретения является способ лечения или предупреждения ожирения, включающий стадию введения пациенту описанной выше фармацевтической композиции. Изобретение также относится к применению описанной выше композиции для приготовления лекарственного средства, предназначенного для предупреждения и лечения ожирения. Ниже изобретение более подробно проиллюстрировано с помощью примеров. Данные об эффективности в отношении экскреции жиров композиций на основе орлистата из примеров 1-7 и Xenical® в качестве эталона приведены в таблице. ПРИМЕРЫ Пример 1 150 мг МСТ (триглицериды со средней длиной цепи. Medium Chain Triglycerides, фракционированное кокосовое масло (триглицериды со средней длиной цепи, МСТ, Miglyol 812, фирма Капсулы, содержащие полученную выше композицию, включающую 60 мг орлистата, давали добровольцам во время одного пробного завтрака. Люди получали пищу, состоящую из 130 г говяжьего фарша, 10 г масла и 100 г картофеля-фри (жаренного в арахисовом масле), общее содержание жира в которой составляло примерно 35 г. Собирали образцы стула, начиная с дня – 1 (за день до начала эксперимента) до пятого дня после пробного завтрака. Первый и последний образцы стула использовали для оценки фонового уровня экскреции жира. Образцы стула хранили в замороженном состоянии и осуществляли экстракцию общих липидов согласно методу Bligh и Dyer (Bligh E.G. и Dyer W.J., Can. J. Biochem. Physiol., 37, 911 (1959)). Вычитали величину фонового уровня экскреции, получая количество жира, которое экскретировалось при лечении орлистатом. Количество экскретированного жира оценивали гравиметрически и выражали в виде процента от содержания жира в пробном завтраке. Пример 2 С помощью процесса, описанного в примере 1, получали композицию, включающую 180 мг Cremophor EL (полиэтоксилированное) касторовое масло, фирма BASF), 60 мг МСТ, 60 мг орлистата и 200 мг тонкоизмельченных шипучих таблеток витамина С. Гидроксипропилметилцеллюлозные капсулы, содержащие полученную выше композицию, включающую 60 мг орлистата, испытывали на добровольцах согласно методу, описанному в примере 1. Пример 3 С помощью процесса, описанного в примере 1, получали композицию, включающую 450 мг Gelucire 44/14 (глицериды лауроилмакроголя-32, фирма Гидроксипропилметилцеллюлозные капсулы, содержащие полученную выше композицию, включающую 60 мг орлистата, испытывали на добровольцах согласно методу, описанному в примере 1. Пример 4 Получали композицию, описанную в примере 1, в которой вместо шипучей смеси в качестве дополнительного эксципиента использовали 200 мг тонкоизмельченной глюкозы. Гидроксипропилметилцеллюлозные капсулы, содержащие полученную выше композицию, включающую 30 мг орлистата, испытывали на добровольцах согласно методу, описанному в примере 1. Пример 5 Композицию, содержащую 1700 мг TPGS и 300 мг орлистата вносили в планетарную мешалку, в которой металлический химический стакан нагревали до 60°С. После расплавления смесь перемешивали и добавляли 10 г твердого сорбита, продолжая перемешивание при 150 об/мин. Перемешивание продолжали в течение 30 мин, в течение этого времени состав охлаждался до комнатной температуры. После чего твердую смесь просеивали через сита с размером отверстий 2 мм. Гидроксипропилметилцеллюлозные капсулы, содержащие полученную выше композицию, включающую 30 мг орлистата, испытывали на добровольцах согласно методу, описанному в примере 1. Пример 6 210 мг полиэтиленгликоля 400 (ПЭГ 400, фирма Clariant) смешивали с 300 мг глицерина. Добавляли 30 мг полиэтиленгликоль(40)стеарата (Myrj 52, фирма Serva, Германия; Crodet S40, фирма Croda, Великобритания). Смесь нагревали до 60°С и затем при перемешивании охлаждали до комнатной температуры. Затем в полученную суспензию добавляли 60 мг орлистата и перемешивали до гомогенного состояния. Полученной композицией заполняли гидроксипропилметилцеллюлозные капсулы. Капсулы, содержащие полученную выше композицию, включающую 60 мг орлистата, испытывали на добровольцах согласно методу, описанному в примере 1. Пример 7 340 мг глицерина смешивали с 30 мг полиэтиленгликоль(40)стеарата. Смесь нагревали до 60°С, а затем охлаждали при перемешивании до комнатной температуры. Затем в полученный раствор добавляли 30 мг орлистата, 100 мг полиэтиленгликоля 400 (ПЭГ 400) и 100 мг глюкозы и перемешивали до гомогенного состояния. Полученной композицией заполняли гидроксипропилметилцеллюлозные капсулы. Капсулы, содержащие полученную выше композицию, включающую 30 мг орлистата, испытывали на добровольцах согласно методу, описанному в примере 1. Как видно из таблицы, эффективность и/или активность композиций по изобретению существенно выше, чем у традиционных композиций. Композиции по изобретению, содержащие только половину или даже четверть того количества ингибитора липаз, которое применяется в известных композициях, обладали существенно более высокой эффективностью и/или активностью. С помощью настоящего изобретения можно, сохраняя такой же уровень ингибирования липаз, заметно снизить количество действующего вещества в композиции, минимизируя тем самым нежелательные побочные действия. В таблице для каждой из описанных выше композиций также указано количество образцов стула, которые включали свободное масло. В образцах стула, полученных после поглощения композиций по изобретению, обнаружено очень редко или не обнаружено совсем отделение масла от основной массы стула. Таким образом, композиции по изобретению обладают способностью минимизировать или полностью подавлять анальное истечение масла, что является одним из наиболее нежелательных побочных действий известных в данной области композиций.
Формула изобретения
1. Фармацевтическая композиция для лечения или предупреждения ожирения, включающая по меньшей мере один ингибитор липаз, по меньшей мере одно поверхностно-активное вещество, выбранное из группы, включающей неионогенные поверхностно-активные вещества, цвиттерионные поверхностно-активные вещества и их смеси и по меньшей мере один диспергатор при следующем соотношении компонентов, мас.%: 1-50 ингибитора липаз, 0,1-90 поверхностно-активного вещества, 5-70 диспергатора. 2. Фармацевтическая композиция по п.1, где поверхностно-активное вещество выбирают из группы, включающей полиэтиленгликоль (1000) сукцинат витамина Е (TPGS), эфиры жирных кислот и поли(оксиэтилен)сорбитана, поли(оксиэтилен)стеараты, простые поли(оксиэтилен)алкиловые эфиры, поли(оксиэтиленированные) касторовые масла, полигликолизированные глицериды, эфиры жирных кислот и сорбитана, полоксамеры, соли жирных кислот, соли желчных кислот, алкилсульфаты, лецитины, смешанные мицеллы солей желчных кислот и лецитинов, сложные эфиры сахаров и их смеси. 3. Фармацевтическая композиция по п.2, где поверхностно-активное вещество выбирают из группы, включающей полиэтиленгликоль (1000) сукцинат витамина Е (TPGS), поли(этоксилированное) касторовое масло и полиэтиленгликоль (40) стеарат. 4. Фармацевтическая композиция по любому из пп.1-3, где поверхностно-активное вещество присутствует в количестве по меньшей мере 0,1% в пересчете на общую массу композиции. 5. Фармацевтическая композиция по п.4, где поверхностно-активное вещество присутствует в количестве 0,1 – 90% в пересчете на общую массу композиции. 6. Фармацевтическая композиция по любому из пп.1-5, включающая водорастворимый диспергатор. 7. Фармацевтическая композиция по п.6, где диспергатор выбирают из группы, включающей сахара, сахарные спирты, спирты, шипучие смеси, разрыхлители и их смеси. 8. Фармацевтическая композиция по п.7, где диспергатор выбирают из группы, включающей глюкозу, сорбит, маннит, мальтодекстрин, лактозу, сахарозу, полиэтиленгликоль, глицерин, триацетин, гликофурол, шипучие смеси и их смеси. 9. Фармацевтическая композиция по п.7 или 8, где диспергатор выбирают из группы, включающей сорбит, маннит, мальтодекстрин, лактозу, сахарозу, полиэтиленгликоль, глицерин, триацетин, гликофурол и их смеси. 10. Фармацевтическая композиция по любому из пп.1-9, которая дополнительно включает по меньшей мере один диспергатор, представляющий собой жирорастворимое соединение, которое является жидким при температуре тела. 11. Фармацевтическая композиция по п.10, где жирорастворимое соединение выбирают из группы, включающей триглицериды, диглицериды, моноглицериды, смеси ди/моно/триглицеридов, витамин Е, токоферолацетат, терпены, сквален и их смеси. 12. Фармацевтическая композиция по п.11, где жирорастворимое соединение выбирают из группы, включающей триглицериды, диглицериды, моноглицериды, смеси ди/моно/триглицеридов, витамин Е, токоферолацетат, и их смеси. 13. Фармацевтическая композиция по п.12, где жирорастворимое соединение представляет собой триглицерид со средней длиной цепи С8-С12 или смесь триглицеридов со средней длиной цепи. 14. Фармацевтическая композиция по любому из пп.1-13, где диспергатор присутствует в количестве по меньшей мере 5% в пересчете на общую массу композиции. 15. Фармацевтическая композиция по п.14, где диспергатор присутствует в количестве 5 – 70% в пересчете на общую массу композиции. 16. Фармацевтическая композиция по любому из пп.1-15, где жирорастворимый диспергатор присутствует в количестве 20 – 90% в пересчете на общую массу композиции. 17. Фармацевтическая композиция по любому из пп.1-16, дополнительно включающая вторичное поверхностно-активное вещество. 18. Фармацевтическая композиция по любому из пп.1-17, где ингибитор липаз представляет собой ингибитор желудочно-кишечных и панкреатических липаз. 19. Фармацевтическая композиция по п.18, где ингибитор желудочно-кишечных липаз представляет собой орлистат. 20. Фармацевтическая композиция по любому из пп.1-19, где ингибитор липаз присутствует в количестве 1 – 50% в пересчете на общую массу композиции. 21. Фармацевтическая композиция по п.20, где ингибитор липаз присутствует в количестве 5 – 30% в пересчете на общую массу композиции. 22. Фармацевтическая композиция по любому из пп.1-20, содержащая фармацевтически приемлемые эксципиенты, выбранные из группы, включающей углеводы, антиоксиданты, сорастворители, а также загустители, консерванты и замасливатели. 23. Фармацевтическая композиция по любому из пп.1-22, включающая, мас.%: 1-50 ингибитора липаз; 5-70 по меньшей мере одного диспергатора; 0,1-90 по меньшей мере одного поверхностно-активного вещества, и один или несколько фармацевтически приемлемых эксципиентов. 24. Способ приготовления фармацевтической композиции по любому из пп.1-21, предусматривающий смешение по меньшей мере одного ингибитора липаз по меньшей мере с одним поверхностно-активным веществом, выбранным из группы, включающей неионогенные поверхностно-активные вещества, цвиттерионные поверхностно-активные вещества и их смеси и по меньшей мере с одним диспергатором. 25. Способ лечения или предупреждения ожирения, предусматривающий стадию введения пациенту фармацевтической композиции по любому из пп.1-23.
|
||||||||||||||||||||||||||



AG, Neobee M-5, фирма Stepan, Captex 355, фирма Abitec). Предпочтительно композиции по изобретению могут также включать дополнительное поверхностно-активное вещество (вторичное поверхностно-активное вещество).
AG, Neobee M-5, фирма Stepan, Captex 355, фирма Abitec) и 120 мг полиэтиленгликоль(1000)сукцината витамина Е (TPGS, фирма Eastman Chemicals) вносили в стеклянный сосуд и смешивали путем нагревания/перемешивания при 45°С. Затем в полученной прозрачной жидкости растворяли 30 г орлистата и перемешивали до гомогенного состояния. 200 мг тонкоизмельченных шипучих таблеток витамина С добавляли при перемешивании, охлаждали до комнатной температуры (25°С), при этом происходило затвердевание смеси. Полученной таким образом композицией заполняли гидроксипропилметилцеллюлозные капсулы.
Франция), 90 мг МСТ, 60 мг орлистата и 200 мг тонкоизмельченных шипучих таблеток витамина С.