Патент на изобретение №2239284
|
||||||||||||||||||||||||||
(54) СПОСОБ ПОДСТРОЙКИ ЧАСТОТНЫХ КОЭФФИЦИЕНТОВ ПЕРЕДАЧИ КАНАЛОВ МНОГОКАНАЛЬНОГО ПРИЕМНИКА
(57) Реферат:
Изобретение относится к области адаптивных антенн и системам радионавигации. Сущность изобретения состоит в том, что способ содержащего эталонный канал и подстраиваемый канал с фильтром, заключающийся в том, что по входному сигналу в подстраиваемом канале вычисляют коэффициенты фильтра и подстраивают ЧКП под требуемый ЧКП, отличающийся тем, что в эталонном и подстраиваемом каналах используют первоначально одинаковые цифровые фильтры с конечной импульсной характеристикой (КИХ), на входы эталонного и подстраиваемого каналов подают входной сигнал в виде испытательного фазоманипулированного сигнала со скачком фазы на
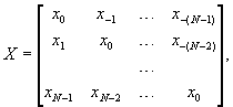
1. Область техники, к которой относится изобретение Адаптивные антенны, радионавигационные системы. 2. Уровень техники Уровень техники можно определить по следующим источникам. 1. Карташевский В. Г. Обработка пространственно-временных сигналов в каналах с памятью. – М.: Радио и связь, 2000. – 272 с. [1]. Рассмотрены задачи оценивания импульсной реакции в канале с памятью в системах передачи дискретных сообщений. Предложены алгоритмы оценивания импульсной реакции по идеально классифицированной выборке и по условно классифицированной выборке, в том числе методом регуляризации. Совпадающий существенный признак состоит в том, что определяется реакция канала по испытательному или рабочему сигналу. Отличие – у источника [1] оценивается импульсная характеристика, а в нашем случае, измеряется переходная характеристика. Недостаток у источника [1] – сложно определить импульсную характеристику, СКО оценок импульсной характеристики зависит от задержки относительно такта в моменты определения импульсной реакции. Используется сложный алгоритм демодуляции. 2. Монзинго Р.А., Миллер Т.У. Адаптивные антенные решетки. Введение в теорию /Пер.с англ. под ред. В.А. Лексаченко. – М.: Радио и связь, 1986. – 448 с. [2]. Содержит описание адаптивного компенсатора помех на многоотводной линии задержки (МЛЗ), предложенного для использования в широкополосной линии связи. Совпадающие существенные признаки: многоканальный адаптивный компенсатор помех на МЛЗ позволяет компенсировать межканальное рассогласование при правильном выборе числа отводов линии задержки; вычисляются вещественные весовые коэффициенты для трансверсального фильтра. Отличие – подстройка частотных коэффициентов передачи (ЧКП) каналов источника [2] осуществляется в результате адаптации по алгоритму минимальной среднеквадратической ошибки на промежуточной частоте непосредственно, т.е. в аналоговом виде. Недостатки: работает только по адаптивной процедуре, поэтому время установления неизвестно; число отводов фильтра вычисляется приближенно; сложно изготовить реальное устройство на аналоговых элементах задержки и требуется большое время настройки и отладки. Наиболее близким аналогом (прототипом) автор считает трансверсальный фильтр в составе этого компенсатора помех. 3. Сущность изобретения Рассмотрим М-канальную приемную систему спутниковой связи с пространственно разнесенным приемом (см. фиг.1). Основными элементами приемного тракта являются антенна (1); сверхвысокочастотный тракт (СВЧ-тракт, 2); тракт промежуточной частоты (ПЧ, 3); ограничивающий полосу пропускания для дискретизации аналоговый фильтр (АФ, 4); аналого-цифровой преобразователь (АЦП, 5); цифровой фильтр (ЦФ, 6); цифровой процессор (ЦП, 7). Частота дискретизации в АЦП и фильтрации в ЦФ на порядок и более превышает верхнюю интересующую частоту. В теории, каналы связи описываются импульсной характеристикой (во временной области) или частотным коэффициентом передачи (в частотной). Если на вход канала подать ступенчатое воздействие, то на его выходе получим переходную характеристику (ПХ). Импульсная характеристика является производной от переходной характеристики, т.е. однозначно ею определяется. Следовательно, каналы будут идентичны при равенстве любой из этих характеристик. Eсли подстройка осуществляется с целью получения идентичных каналов в многоканальном приемнике, то из имеющихся каналов выбирается один, назовем его эталонный, по которому подстраиваются все остальные. Возможны и другие варианты подстройки, когда по произвольно выбранному эталонному каналу подстраивается хотя бы один канал в многоканальном приемнике. Подстройка частотных коэффициентов передачи каналов производится с помощью подстройки коэффициентов ЦФ таким образом, чтобы в подстраиваемом канале получить ПХ, равную ПХ эталонного канала. Синтез ЦФ выполним на основе расчета трансверсальных фильтров с конечной импульсной характеристикой (КИХ-фильтров). При использовании квадратурных каналов коэффициенты ЦФ рассчитываются для каждого квадратурного канала отдельно (как это определено далее для одного канала). Структурная схема цифрового КИХ-фильтра показана на фиг.2. КИХ-фильтр состоит из элементов задержки на регистрах (8), умножителей на коэффициенты (9) и сумматора (10). Введем обозначения: х(n) – оцифрованный сигнал на выходе АЦП, n – номер отсчета в дискретном времени; h(n) – дискретная импульсная характеристика (ДИХ) цифрового фильтра; где w(n) – весовые множители; y(n) – выходной процесс на выходе цифрового фильтра. Известно, что процесс на выходе цифрового фильтра является дискретной сверткой входного процесса с ДИХ: N – порядок КИХ-фильтра. Порядок КИХ-фильтра выбирается таким, чтобы суммарное время задержки в его элементах задержки было не меньше длительности ПХ (на выходе этого фильтра), определяющей приемлемый уровень остаточного рассогласования каналов. В способе подстройки частотных коэффициентов передачи каналов для получения переходной характеристики на входы этих каналов подают испытательное воздействие в виде скачка фазы на где Н – диагональная матрица коэффициентов исходного КИХ-фильтра. где X – матрица отсчетов на выходе АЦП (в подстраиваемом канале). где W – вектор-столбец искомых весовых множителей, ( ХН – матричный эквивалент дискретной свертки. После решения уравнения (2) искомые коэффициенты КИХ-фильтра определяются по формуле: По ПХ Y эталонного канала и ПХ Х подстраиваемого канала возможно непосредственное нахождение коэффициентов КИХ-фильтра: Запись уравнений (2) и (3) возможна и в эквивалентной форме для транспонированных векторов и матриц. Решение матричного уравнения (2) относительно W производится любым известным способом, например по методу обращения матрицы ХН с регуляризацией. Решение матричного уравнения (3) относительно После установки найденных таким способом коэффициентов в ЦФ подстраиваемого канала, автоматически происходит приближение частотного коэффициента передачи подстраиваемого канала к частотному коэффициенту передачи эталонного канала. Способ подстройки ЧКП каналов состоит в использовании на выходе АЦП каналов первоначально одинаковых ЦФ, непосредственно осуществляющих фильтрацию, и цифрового процессора, осуществляющего измерение ПХ каналов и вычисление коэффициентов ЦФ подстраиваемых каналов. Технический результат. Способ подстройки позволяет получать каналы с уменьшенными взаимными различиями в ЧКП каналов, что снижает требования по точности изготовления предшествующих аналоговых фильтров и других устройств. Тем самым достигается экономия средств и улучшение характеристик приемной системы. Уменьшение неидентичности каналов, достигаемое в результате подстройки, обеспечивает увеличение глубины подавления помех в адаптивных антенных решетках и компенсаторах помех. Использование каналов с одинаковыми АЧХ и ФЧХ позволяет более точно определять местонахождение объектов в системах радионавигации. Реализация ЦФ для фильтрации сигнала с более высокой центральной частотой спектра позволяет снижать требования к устройствам синхронизации. Если в качестве эталонного канала взять канал без межсимвольных искажений (МСИ), то данным методом также возможно уменьшить МСИ в подстраиваемых по эталонному каналу каналах. 4. Перечень фигур Фиг.1. Структурная схема М-канального приемного тракта системы спутниковой связи с пространственным разнесенным приемом. Изображены основные узлы приемной станции спутиковой связи. Показано месторасположение цифрового фильтра (6) и цифрового процессора (7). Фиг.2. Структурная схема цифрового КИХ-фильтра. Изображена трансверсальная структура с элементами задержки (обозначены Т), умножителями сигналов с выходов элементов задержки на коэффициенты Фиг.3. Схема модели М-каналыюго приемного тракта. Эквивалентная модель схемы, показанной на фиг.1. Показана схема, на основе которой создана математическая модель в среде Matlab ф. “MathWorks, Inc”. Фиг.4. АЧХ 0-го канала. Подстройка на НЧ. Отношение сигнал/шум на входе АФ 30 дБ. Фиг.5. ФЧХ 0-го канала. Подстройка на НЧ. Отношение сигнал/шум на входе АФ 30 дБ. Фиг.6. Исходная АЧХ М-го канала. Подстройка на НЧ. Отношение сигнал/шум на входе АФ 30 дБ. Фиг.7. Исходная ФЧХ М-го канала Подстройка на НЧ. Отношение сигнал/шум на входе АФ 30 дБ. Фиг.8. Подстроенная АЧХ М-го канала. Подстройка ЦФ нижних частот. Отношение сигнал/шум на входе АФ 30 дБ. Фиг.9. Подстроенная ФЧХ М-го канала. Подстройка ЦФ нижних частот. Отношение сигнал/шум на входе АФ 30 дБ. Фиг.10. АЧХ 0-го канала. Подстройка на ПЧ. Отношение сигнал/шум на входе АФ 40 дБ. Фиг.11. ФЧХ 0-го какала. Подстройка на ПЧ. Отношение сигнал/шум на входе АФ 40 дБ. Фиг.12. Исходная АЧХ М-го канала. Подстройка на ПЧ. Отношение сигнал/шум на входе АФ 40 дБ. Фиг.13. Исходная ФЧХ М-го канала Подстройка на ПЧ. Отношение сигнал/шум на входе АФ 40 дБ. Фиг.14. Подстроенная АЧХ М-го канала. Подстройка полосового ЦФ. Отношение сигнал/шум на входе АФ 40 дБ. Фиг.15. Подстроенная ФЧХ М-го канала. Подстройка полосового ЦФ. Отношение сигнал/шум на входе АФ 40 дБ. Фиг.16. Структурная схема практической реализации цифрового КИХ-фильтра. Показана ресурсосберегающая схема для реализации на ПЛИС. 5. Сведения, подтверждающие возможность осуществления изобретения В Маtlab моделировалась эквивалентная часть приемной системы, показанной на фиг.1, начиная от аналогового фильтра АФ (4) и до выхода ЦФ (6). Шум на входе ЦФ моделировался аддитивным дискретным белым гауссовым шумом (АДБГШ). Схема модели показана на фиг.3. Через антенну (1) сигнал принимается, поступает в СВЧ (2) и ПЧ (3) тракты, где переносится на промежуточную частоту. Приемный аналоговый фильтр (4) ограничивает спектр входного сигнала для дискретизации в АЦП (5). В АЦП сигнал подвергается дискретизации и квантованию, также возможен перенос на видеочастоту. После АЦП сигнал проходит через ЦФ (6), с подстраиваемыми коэффициентами для уменьшения неидентичности каналов 0 и M. ПХ на входе ЦФ измеряется ЦП (7). В Matlab ступенчатое воздействие моделировалось скачком фазы на Результаты моделирования. 1. Подстройка на НЧ. ЦФ в вида КИХ-фильтра нижних частот 24 порядка, частота среза Fс по уровню -3 дБ составляет 1,2 МГц, частота Fз начала области задержания по уровню -40 дБ – 2,1 МГц. Неравномерность в полосе – 0.1 дБ. Разрядность коэффициентов – 12 бит. АФ моделируется фильтром Чебышева-1 нижних частот 3 порядка, Fс равна 2,4 МГц, Fз – 4.35 МГц для канала 0 и Fс равна 1,25 МГц, Fз – 3.0 МГц для М-то канала при неравномерности в полосе 3 дБ для обоих каналов. Разрядность АЦП – 10 бит. Параметр регуляризации Результаты моделирования представлены на фиг.4-9 для отношения сигнал/шум на входе АФ 30 дБ. АЧХ и ФЧХ находятся с помощью дискретного преобразования Фурье. 2. Подстройка на ПЧ (3,5 МГц). ЦФ в виде полосового КИХ-фильтра 48 порядка, частоты среза Fc по уровню -3 дБ составляют 2,0 и 4,9 МГц, частоты Fз области задержания по уровню -37 дБ – 1,65 и 5,3 МГц. Неравномерность в полосе – 0.1 дБ. Разрядность коэффициентов – 14 бит. АФ моделируется полосовым фильтром Чебышева-1 6 порядка, Fс составляют 2 и 5 МГц при неравномерности в полосе – 0.1 дБ для канала 0 и 2,25 и 4,75 МГц при неравномерности 3 дБ для М-го канала. Разрядность АЦП – 12 бит. Параметр регуляризации Результаты моделирования представлены на фиг.10-15 для отношения сигнал/шум на входе АФ 40 дБ. АЧХ и ФЧХ находятся с помощью дискретного преобразования Фурье. Выводы по моделированию. Для обращения матриц X и XH, составленных из отсчетов x-(N-1)..x0..xN-1, необходимо, чтобы реакция на испытательный сигнал в Х присутствовала примерно в половине отсчетов: x0..xN-1. Дня наилучшего результата измерения для вычисления коэффициентов ЦФ рекомендуется производить при минимальном шуме. Практическая реализация КИХ-фильтров. На фиг.16 показана структурная схема цифрового КИХ-фильтра 24 порядка для ее реализации на ПЛИС. Эта схема позволяет использовать меньшее число умножителей, что экономит ресурсы ПЛИС. Центральная часть схемы состоит из умножителей (9), сумматора (10) и сумматора со сбросом (11), составляющих быстродействующее арифметико-логическое устройство (АЛУ). Исходные данные для АЛУ поступают из ОЗУ 1-4 (12). Данные в ОЗУ 1-2 циклически обновляются. На ОЗУ 2 данные приходят с задержкой на время задержки в ОЗУ 1, что отображено элементом задержки (13). В ОЗУ 3-4 размещаются коэффициенты фильтра, их можно обновлять в реальном времени. Для генерации адресов считывания ОЗУ 3-4 необходим счетчик 1 (14). Для генерации адресов считывания ОЗУ 1-2 необходим счетчик 2 (15). Счетчик 3 (16) обеспечивает адрес начальной загрузки для счетчика 2. Если ОЗУ 1-2 заполняются информационными данными с возрастанием номеров адресов, а в ОЗУ 3-4 содержатся и считываются коэффициенты Для реализации КИХ-фильтров больших порядков схему на фиг.14 можно обобщить. Для этого необходимо повторить элементы (12, 13, 9, 10) требуемым числом раз, что зависит от порядка фильтра и частоты вычислений, и объединить общим сумматором (11). Формула изобретения
Способ подстройки частотных коэффициентов передачи (ЧКП) каналов многоканального приемника, содержащего эталонный канал и подстраиваемый канал с фильтром, заключающийся в том, что по входному сигналу в подстраиваемом канале вычисляют коэффициенты фильтра и подстраивают ЧКП под требуемый ЧКП, отличающийся тем, что в эталонном и подстраиваемом каналах используют первоначально одинаковые цифровые фильтры с конечной импульсной характеристикой (КИХ), на входы эталонного и подстраиваемого каналов подают входной сигнал в виде испытательного фазоманипулированного сигнала со скачком фазы на W=(XH)-lY, где W – вектор-столбец искомых весовых множителей для нахождения вектора-столбца коэффициентов ЦФ КИХ Н – диагональная матрица коэффициентов исходного ЦФ КИХ; Х – матрица отсчетов на входе ЦФ КИХ подстраиваемого канала; Y – вектор-столбец отсчетов ПХ на выходе ЦФ КИХ эталонного канала. РИСУНКИ
|
||||||||||||||||||||||||||

радиан, по которому измеряют переходную характеристику (ПХ) на выходе ЦФ эталонного канала и ПХ на входе ЦФ подстраиваемого канала, и по измеренным ПХ вычисляют коэффициенты ЦФ КИХ подстраиваемого канала по следующим формулам: W=(XH)-1Y,
или
где W – вектор-столбец искомых весовых множителей для нахождения вектора-столбца коэффициентов ЦФ КИХ
, Н – диагональная матрица коэффициентов исходного ЦФ КИХ, Х – матрица отсчетов на входе ЦФ КИХ подстраиваемого канала, Y – вектор-столбец отсчетов ПХ на выходе ЦФ КИХ эталонного канала. Технический результат, достигаемый при реализации способа, состоит в увеличении глубины подавления помех. 16 ил.
– взвешенная ДИХ цифрового фильтра, так что

), генераторов частоты FД дискретизации сигналов на видеочастоте или с переносом на видеочастоту точно по фазе (до 5
ЦФ с КИХ. В матричной форме уравнение (1) записывается следующим образом:
– вектор-столбец требуемой переходной характеристики (ПХ эталонного канала), T – символ транспонирования вектора;


определяется аналогично).



производится любым известным способом, например по методу обращения матрицы Х с регуляризацией. Устройством, решающим уравнения (2) или (3), является цифровой процессор (фиг.1, 7), способный выполнить необходимые вычисления.
и сумматором.
в формуле для обращения матрицы (ХН+
также с возрастающими адресами, то счетчик 2 – вычитающий.
или
;