Патент на изобретение №2239281
|
||||||||||||||||||||||||||
(54) ЦИФРОВОЙ СИНТЕЗАТОР ГАРМОНИЧЕСКИХ КОЛЕБАНИЙ
(57) Реферат:
Изобретение относится к технике радиосвязи и может быть использовано для формирования частоты гетеродина в радиоприемных устройствах. Достигаемый технический результат – расширение диапазона частот синтезируемых колебаний. Цифровой синтезатор гармонических колебаний содержит тактовый генератор, N кольцевых регистров сдвига, N табличных умножителей по модулю, N управляемых фазовращателей, генератор гармонического сигнала, фазовый детектор, устройство выборки и хранения и фильтр нижних частот. 1 ил.
Изобретение относится к технике радиосвязи и может быть использовано для формирования частоты гетеродина в радиоприемных устройствах. Известно устройство (аналог) [1, с.19, рис. 1], содержащее четыре генератора кодов, мультиплексор, цифроаналоговый преобразователь (ЦАП) и фильтр нижних частот (ФНЧ). Недостаток устройства – низкое значение максимальной частоты формируемых колебаний. Известно также устройство (аналог) [2, с.57, рис. 3], содержащее входной регистр данных и контроля, фазовый аккумулятор, регистр управления фазой, сумматор, постоянное запоминающее устройство и ЦАП. Недостаток устройства – низкое значение максимальной частоты формируемых колебаний. Наиболее близким по технической сущности (прототипом к предлагаемому изобретению) является устройство [3, с.76, рис. 3.12], содержащее тактовый генератор, накапливающий сумматор, постоянное запоминающее устройство, ЦАП и ФНЧ. Недостаток прототипа – низкое значение максимальной частоты формируемых колебаний вследствие ограниченного быстродействия входящих в его состав функциональных элементов. Задача, на решение которой направлено заявляемое устройство, состоит в расширении диапазона частот синтезируемых колебаний. Технический результат выражается в повышении быстродействия получения дискретных отсчетов формируемых гармонических колебаний, за счет чего увеличивается максимальное значение синтезируемой частоты. Технический результат достигается тем, что в устройство, содержащее тактовый генератор и фильтр нижних частот (ФНЧ), выход которого является выходом устройства, введены N кольцевых регистров сдвига (КРС), N табличных умножителей по модулю, N управляемых фазовращателей, генератор гармонического сигнала, фазовый детектор и устройство выборки и хранения, причем i-й КРС Сущность изобретения заключается в преобразовании цифрового кода числа А в аналоговый гармонический сигнала с частотой на основе применения свойства периодичности гармонической функции, аналогичного свойству арифметических операций по модулю в кольце целых чисел, где FT – частота тактового генератора; М – фиксированное целое положительное число. В заявляемом устройстве формирование гармонического колебания X(t)=Ucos(2 С учетом (1) дискретные отсчеты гармонического колебания с амплитудой U описываются выражением: где Произвольное целое неотрицательное число А может быть представлено в коде системы остаточных классов [4, с.12]. Система остаточных классов (СОК) относится к числу непозиционных систем счисления, в которой целое число А в диапазоне где Пусть в выражениях (1) и (2) Код в СОК результата произведения C чисел A и k определяется путем вычисления отдельных произведений остатков по каждому основанию [4, с.13] где Код произведения (4) из СОК может быть преобразован в позиционную систему счисления на основании китайской теоремы об остатках [4, с.36] где Представим (2) в виде Дискретный отсчет, равный по величине Например, если в управляемых фазовращателях а на выходе второй группы Соответственно на основании (7) и (8) получаем Таким образом, если на входы ФД поступают гармонические колебания со сдвигами фазы Ф1 и Ф2, то на его выходе после окончания переходных процессов сформируется напряжение, прямо пропорциональное Время формирования напряжения, прямо пропорционального Таким образом, для формирования по формуле (2) k-гo дискретного отсчета гармонического колебания с частотой fвых (1) необходимо в соответствии с текущим значением кода числа k в СОК (k=( Суммарное время выполнения указанных процедур будет равно где tk – время формирования в коде СОК текущего значения номера отсчета k, tУМН – время умножения двух чисел в СОК; Т – период частоты ГГС. Пусть остаток При формировании гармонического колебания в заявляемом устройстве последовательно получают дискретные отсчеты Например, для m1=2 и m2=3 (М=m1m2=6) получим коды СОК: k=010=(0,0); k=110=(1,1); k=210=(0,2); k=310=(1,0); k=410=(0,1); k=510=(1,2); k=610=(0,0). Видно, что для данной совокупности оснований m1 период повторения равен m1m2=6, и при увеличении k на 1 остатки по каждому основанию СОК возрастают до значения mi-1, а затем возвращаются в нуль, то есть сформировать возрастающую на 1 последовательность можно получить с помощью кольцевого регистра сдвига. При включении схемы в первый триггер КРС по каждому основанию mi должна записываться логическая “1”, а в остальные – “0”. С приходом тактирующих импульсов от тактового генератора логическая “1” будет продвигаться по кольцу триггеров, тем самым имитируя возрастание на единицу кода числа k в СОК. Отсюда следует, что время tk в (8) будет равно максимально возможной частоте переключения триггеров КРС (более 400 МГц [3, с.39, табл. 2.1]), то есть tK Как уже отмечалось, умножение чисел А и k в СОК производится отдельно по каждому основанию, то есть параллельно. Если остаток числа А-аi и остаток числа k- Таким образом, в предлагаемом устройстве время получения дискретного отсчета гармонического колебания на его выходе будет равно Например, при N=6 и Т=10-11 с=0,01 нс, t Для восстановления гармонического колебания по дискретным отсчетам необходимо иметь не менее двух отсчетов на его периоде. Таким образом, максимальное значение синтезируемой частоты в предлагаемом устройстве может достигать 162 МГц. В прототипе время получения дискретного отсчета гармонического колебания будет складываться из времени сложения двух чисел в позиционном коде в накапливающем сумматоре (tНС), времени выборки числа из постоянного запоминающего устройства (tПЗУ) и времени преобразования числа в напряжение в ЦАП (tЦАП). По данным [3, с.45; с.56; с.51]: tЦАП Отсюда суммарное время формирования отсчета в прототипе: tПР На чертеже представлена структурная схема синтезатора частоты, где 1 – тактовый генератор, 2.1-2.N – кольцевые регистры сдвига, 3.1-3.N – табличные умножители по модулю, 4 – генератор гармонического сигнала, 5.1-5.N – управляемые фазовращатели, 6 – фазовый детектор, 7 – устройство выборки и хранения, 8 – фильтр нижних частот, 9 – выход устройства. Выход тактового генератора l соединен с тактовыми входами кольцевых регистров сдвига 2.1.-2.N и входом 2 устройства выборки и хранения 7, выходы кольцевых регистров сдвига Рассмотрим работу устройства. При включении синтезатора частоты в первый триггер КРС На вторые входы табличных умножителей по модулю В табличных умножителях по модулю Этим же тактирующим сигналом логическая “1” продвигается в следующие триггеры КРС Последовательность дискретных отсчетов с выхода устройства выборки и хранения 7 поступает на вход ФНЧ 8, в котором выделяется первая гармоника, частота которой равна fвых(1). И, наконец, сформированное из последовательных дискретных отсчетов гармоническое колебание поступает на выход 9 синтезатора. Пример: Пусть m1=2; m2=3; m3=5 и m4=7; А=3; FT=210 МГц. Получаем М=m1 a1=(A)mod m1=1; а2=0; a3=3; а4=3;
При включении синтезатора частоты в КРС 2.1-2.4 записывается номер отсчета k=010 в унитарном коде СОК k=(0, 0, 0, 0). Остатки числа k по основаниям m1, m2, m3 и m4 умножаются на соответствующие остатки a1, a2, a3 и а4 в умножителях 3.1-3.4. Получаем число в коде СОК С[0]=(0, 0, 0, 0). В управляемых фазовращателях 5.1-5.4 устанавливаются сдвиги фазы Это число перемножается по соответствующим основаниям в умножителях 3.1-3.4 с остатками числа А=(1, 0, 3, 3). Получаем: C[1]=(1, 0, 3, 3). В УФ 5.7-5.4 устанавливаются сдвиги фазы Разность фазы гармонических сигналов на входе ФД 6 будет равна Источники информации 3. Цифровые радиоприемные системы: Справочник /М.И.Жодзишский, Р.Б.Мазепа, Е.П.Овсянников и др./Под ред. М.И.Жодзишского. М.: Радио и связь, 1990, – 208 с. 4. Акушский И.Я., Юдицкий Д.И. Машинная арифметика в остаточных классах. – М.: Сов. радио, 1968, – 440 с. 6. Долгов А.И. Диагностика устройств, функционирующих в системе остаточных классов. – М.: Радио и связь, 1982, – 64 с. Формула изобретения
Цифровой синтезатор гармонических колебаний, содержащий тактовый генератор и фильтр нижних частот, выход которого является выходом устройства, отличающийся тем, что в него введены N кольцевых регистров сдвига, N табличных умножителей по модулю, N управляемых фазовращателей, генератор гармонического сигнала, фазовый детектор и устройство выборки и хранения, причем i-й кольцевой регистр сдвига, где i = 1, 2,…, N, содержит mi разрядов, где m1, m2,…, mN – взаимно простые целые положительные числа, при этом выход j-го разряда, где j = 0, l,…, mi – 1, i-го кольцевого регистра сдвига соединен с j-м разрядом унитарного кода первого операнда i-го табличного умножителя по модулю, к соответствующим разрядам второго операнда которого подключен унитарный код остатка по модулю i значения частоты синтезатора, причем выход i-го табличного умножителя по модулю подключен к первому входу i-го управляемого фазовращателя, при этом выход генератора гармонического сигнала соединен со вторыми входами первого, а также подключены соответственно ко вторым входам (р+1)-го и (q+l)-гo управляемых фазовращателей, а выходы РИСУНКИ
MM4A – Досрочное прекращение действия патента СССР или патента Российской Федерации на изобретение из-за неуплаты в установленный срок пошлины за поддержание патента в силе
Дата прекращения действия патента: 05.01.2007
Извещение опубликовано: 20.02.2008 БИ: 05/2008
|
||||||||||||||||||||||||||

содержит mi разрядов (m1, m2,…, mN – взаимно простые целые положительные числа), выход j-го разряда
i-го КРС соединен с j-м разрядом унитарного кода первого операнда i-го
табличного умножителя по модулю, к соответствующим разрядам второго операнда которого подключен унитарный код остатка по модулю mi значения частоты синтезатора, выходы k-го и l-го табличных умножителей по модулю (
[
] – целая часть числа) соответственно подключены к первым входам k-го и l-го управляемых фазовращателей, при этом выход генератора гармонического сигнала соединен со вторыми входами первого (р=1) и
-го управляемых фазовращателей, выходы р-го
и q-го
управляемых фазовращателей подключены соответственно к вторым входам (р+1)-го и (q+1)-го управляемых фазовращателей, а выходы
-го и N-го управляемых фазовращателей – к первому и второму входам фазового детектора соответственно, выход которого соединен с первым входом устройства выборки и хранения, причем выход тактового генератора подключен к тактовым входам кольцевых регистров сдвига и второму входу устройства выборки и хранения, выход которого соединен с входом ФНЧ.
fвыхt) осуществляется путем получения его отсчетов в моменты времени t=
t
k, кратные тактовой частоте FT=1/
. Так как косинус – функция периодическая, то
. Следовательно, k можно формировать в пределах периода
.
, однозначно кодируется своими остатками аi по основаниям mi
[
.
;
;
.
1 – константа, определяемая из решения сравнения: (М1
1; Мi=М/mi.
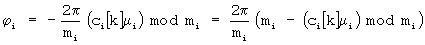
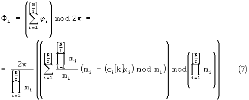
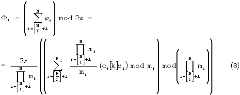
, может быть получен в фазовом детекторе (ФД), на входы которого поступают гармонические сигналы с разностью фаз, прямо пропорциональной (5) [5, с.51-53]. Требуемые значения сдвига фазы могут быть сформированы с помощью N управляемых фазовращателей УФ1…УФN.
соответственно установить сдвиги фазы на угол 
, а в управляемых фазовращателях
– на угол 
, то суммарный набег фазы гармонического сигнала на выходе первой группы фазовращателей будет равен


.
, будет определяться частотой ГГС. При использовании ГГС миллиметрового диапазона длин волн с периодом частоты Т
10-11С, указанное время будет равно сумме времени задержки в
(или в
– при нечетном N) управляемых фазовращателях
и длительности переходного процесса в ФД (
1,…,
.
числа k по основанию mi
представлен унитарным кодом. В данном коде применяются mi шин данных, причем, если
для k=0, 1, 2, 3,…, М-1. Последовательность чисел k в коде СОК будет циклически повторяться по каждому основанию i.
двухвходовых элементов “И” [6, с.16-17], а сигнал при получении результата умножения будет распространяться через два логических элемента. Отсюда следует, что tУМН в (8) будет равно удвоенному времени задержки tЛЭ логическом элементе: tУМН=2
1/t
и
подключены соответственно к входам l (входам первого операнда) табличных умножителей по модулю
и
, входы 2 (входы второго операнда) которых соединены с унитарными кодами остатков значения частоты синтезатора, выход генератора гармоничного сигнала 4 соединен с входами 2 управляемых фазовращателей 5.1 и
, выходы управляемых фазовращателей
и
– соответственно с входом 2 управляемых фазовращателей 5.(i+1) и 5.[j+1), выход управляемого фазовращателя
подключен к входу 1 фазового детектора 6, а выход управляемого фазовращателя 5.N – к входу 2, причем к входам l управляемых фазовращателей 5.1.-5.N подключены выходы соответствующих табличных умножителей 3.1.-3.N, при этом выход фазового детектора 6 соединен со входом 1 устройства выборки и хранения 7, выход которого подключен к входу ФНЧ 8, а выход ФНЧ является выходом 9 устройства.
записывается логическая “1”, а в остальные триггеры – “0”. Это соответствует числу k=0 в коде СОК.
(входы второго операнда) поступает унитарный код остатка номинала синтезируемой частоты по модулю mi-аi=(A)mod mi
. Данный код остатка формируется с учетом значений разрядов позиционного представления значения номинала синтезируемой частоты [4, с.34]:
, где
p – значения р-го разряда позиционного кода; qp – вес р-го разряда n-разрядного позиционного кода, по следующей формуле
осуществляется умножение кодов остатков
в управляемых фазовращателях
и
устанавливаются сдвиги фазы 
и 
. После прохождения гармонического сигнала с выхода генератора гармонического сигнала 4 через управляемые фазовращатели
и
на выходе фазовращателей
и 5.N будет набег фазы Ф1 (7) и Ф2 (8). В результате обработки сигналов с этим набегом фазы в фазовом детекторе 6 на его выходе образуется напряжение, прямо пропорциональное
. Уровень, равный этому напряжению, с приходом следующего тактирующего сигнала с выхода тактового генератора 1 запоминается в устройстве выборки и хранения 7. (Примеры практической реализации устройства выборки и хранения приведены в [3, с.39-41]).
, тем самым число k в коде СОК увеличивается на 1, и процесс формирования дискретных отсчетов синтезируемого гармонического колебания повторяется аналогично изложенному выше.
1=0; 


. Соответственно с приходом следующего тактирующего сигнала с выхода тактового генератора 1 в устройство выборки и хранения запишется напряжение, прямо пропорциональное
. Процесс формирования отсчетов будет продолжаться до k=209, а затем повторяться вновь с k=0. Из этой последовательности дискретных отсчетов в ФНЧ 8 формируется гармоническое колебание с частотой fвых=3 МГц.
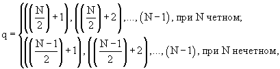
-го – при N – четном, или
-го – при N – нечетном, управляемых фазовращателей, выходы р-го и q-го управляемыхфазовращателей, где

-го – при N – четном, или
-го – при N – нечетном, и N-го управляемых фазовращателей соединены соответственно с первым и вторым входом фазового детектора, выход которого подключен к первому входу устройства выборки и хранения, причем выход тактового генератора соединен с тактовыми входами кольцевых регистров сдвига и вторым входом устройства выборки и хранения, выход которого подключен ко входу фильтра нижних частот.