Патент на изобретение №2239165
|
||||||||||||||||||||||||||
(54) СПОСОБ ОПРЕДЕЛЕНИЯ МЕХАНИЧЕСКИХ ПАРАМЕТРОВ И ПАРАМЕТРОВ РЕЗОНАНСНЫХ КОЛЕБАНИЙ
(57) Реферат:
Группа изобретений относится к машиностроению, а именно к способам определения механических параметров и параметров колебаний механической колебательной системы. Первый способ заключается в том, что выявляют резонансную область частот (fн; fв), при увеличении частоты возбуждающей силы объекта f после прохождения fн измеряют и регистрируют скорость изменения частоты vf1, регистрируют амплитуды колебаний объекта A1(f), определяют частоту fнв как частоту возбуждающей силы, выше которой наблюдается уменьшение амплитуды колебаний, из A1(f) определяют значение амплитуды Анв и соответствующее значение скорости изменения частоты vf1 на частоте fнв. При уменьшении частоты возбуждающей силы объекта f производят аналогичные действия с точностью до наоборот. По полученным значениям амплитуд Анв и Авн, соответствующим им частотам fнв и fвн и скоростям изменения частоты vf1 и vf2 судят о значениях параметров колебаний при резонансе, а именно амплитуды Ар, частоты fp, а также добротности Q механической колебательной системы объекта. Отличие второго способа состоит в том, что определяют допустимые уровни возбуждающей силы и скорости изменения частоты при прохождении резонансной области, устанавливают возбуждающую силу не более допустимого уровня, частоту f увеличивают со скоростью vf1 не ниже допустимого уровня, для возбуждающей силы устанавливают верхнее значение частоты fв, выдерживают режим работы объекта до наступления стационарных колебаний, уменьшают частоту f со скоростью vf2 не ниже допустимого уровня. Технический результат данной группы изобретений – отсутствие влияния на режим работы объекта; отсутствие остановок и задержек на резонансных частотах, уменьшение вероятности поломок объекта; возможность автоматизации операций способа. 2 с.п. ф-лы, 2 ил.
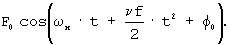
Изобретение относится к машиностроению, а именно к способам определения механических параметров и параметров колебаний. Известен способ (патент РФ №2086943, G 01 M 7/02, Бюл. №22, 1997 г.), согласно которому выявляют резонансную область частот (fн; fв), устанавливают возбуждающую силу фиксированного уровня на нижней границе частоты резонансной области fн, увеличивают частоту f возбуждающей силы со скоростью vf1, в процессе увеличения частоты f регистрируют амплитуды колебаний объекта как функцию частоты возбуждения f, определяют частоту fнв как частоту возбуждающей силы, выше которой наблюдается уменьшение амплитуды колебаний, прекращают увеличение частоты возбуждающей силы f; затем уменьшают частоту возбуждающей силы f со скоростью vf2, в процессе уменьшения частоты f регистрируют амплитуды колебаний объекта как функцию частоты возбуждения f и определяют частоту fвн как частоту возбуждающей силы, ниже которой наблюдается уменьшение амплитуды колебаний, прекращают уменьшение частоты f, повторяют операции 3-10 до нахождения резонансной частоты fp с требуемой точностью, регистрируют амплитуду резонансных колебаний Ар объекта на частоте fp, затем производят расстройку резонанса путем изменения частоты возбуждающей силы до некоторой случайно выбранной величины fp+ Недостатком известного способа является относительная сложность нахождения резонансной частоты fp с требуемой точностью, другим недостатком является сложность поддержания постоянной амплитуды вынуждающей силы. При случайной расстройке частоты f в области малых Поставлена задача расширения возможностей использования способа, а именно определения механических параметров и параметров резонансных колебаний объекта в процессе эксплуатации без влияния на режим работы объекта для проведения измерений, без остановок и задержек на резонансных частотах, что уменьшит вероятность поломок объекта. Поставленная задача достигается за счет того, что в способе определения механических параметров и параметров резонансных колебаний выявляют резонансную область частот (fн; fв), в процессе работы при увеличении частоты возбуждающей силы объекта f после прохождения fн измеряют и регистрируют скорость изменения частоты vf1, регистрируют амплитуды колебаний объекта A1(f) как функцию частоты f возбуждающей силы, определяют частоту fнв как частоту возбуждающей силы, выше которой наблюдается уменьшение амплитуды колебаний, из А1(f) определяют значение амплитуды Анв и соответствующее значение скорости изменения частоты vf1 на частоте fнв, в процессе работы при уменьшении частоты возбуждающей силы объекта f после прохождения fв измеряют и регистрируют скорость изменения частоты vf2, регистрируют амплитуды колебаний объекта А2(f) как функцию частоты f возбуждающей силы, определяют частоту fвн как частоту возбуждающей силы, ниже которой наблюдается уменьшение амплитуды колебаний, из А2(f) определяют значение амплитуды Авн и соответствующее значение скорости изменения частоты vf2 на частоте fвн и по полученным значениям амплитуд Анв и Авн, соответствующим им частотам fвн и fвн и скоростям изменения частоты vf1 и vf2 судят о значениях параметров колебаний при резонансе, а именно амплитуды Ар, частоты fp, а также добротности Q механической колебательной системы объекта. При наличии возможности управления объектом, а именно возможности задавать уровень возбуждающей силы и ее частоту, для уменьшения времени определения механических параметров и параметров резонансных колебаний предлагается механические параметры и параметры резонансных колебаний определять следующим образом выявляют резонансную область частот (fн; fв), допустимые уровни возбуждающей силы и скорости изменения частоты при прохождении резонансной области, устанавливают возбуждающую силу не более допустимого уровня и нижнее значение частоты fн возбуждающей силы, частоту f возбуждающей силы увеличивают со скоростью vf1 не ниже допустимого уровня, регистрируют амплитуды колебаний объекта A1(f) как функцию частоты f, определяют частоту fнв как частоту возбуждающей силы, выше которой наблюдается уменьшение амплитуды колебаний, из A1(f) определяют значение амплитуды Анв на частоте fнв, затем для возбуждающей силы устанавливают верхнее значение частоты fв, выдерживают режим работы объекта до наступления стационарных колебаний, уменьшают частоту f возбуждающей силы со скоростью vf2 не ниже допустимого уровня, регистрируют амплитуды колебаний объекта A2(f) как функцию частоты f возбуждающей силы, определяют частоту fвн как частоту возбуждающей силы, ниже которой наблюдается уменьшение амплитуды колебаний, из A2(f) определяют значение амплитуды Авн на частоте fвн и по полученным значениям амплитуд Анв и Авн, соответствующим им частотам fнв и fвн и скоростям изменения частоты vf1 и vf2 судят о значениях параметров колебаний при резонансе, а именно амплитуды Ар, частоты fp, а также добротности Q механической колебательной системы объекта. Сущность способа поясняется схемами, представленными на фигурах 1-2: на фиг.1 показана взаимосвязь относительного уноса резонансной частоты на фиг.2 показана взаимосвязь нормированного значения амплитуды колебаний Определение механических параметров и параметров резонансных колебаний предлагаемым способом осуществляется следующим образом: выявляют резонансную область частот (fн; fв), в процессе работы при увеличении частоты возбуждающей силы объекта f после прохождения fн измеряют и регистрируют скорость изменения частоты vf1, регистрируют амплитуды колебаний объекта A1(f) как функцию частоты f возбуждающей силы, определяют частоту fнв как частоту возбуждающей силы, выше которой наблюдается уменьшение амплитуды колебаний, из A1(f) определяют значение амплитуды Анв и соответствующее значение скорости изменения частоты vf1 на частоте fнв, в процессе работы при уменьшении частоты возбуждающей силы объекта f после прохождения fв измеряют и регистрируют скорость изменения частоты vf2, регистрируют амплитуды колебаний объекта А2(f) как функцию частоты f возбуждающей силы, определяют частоту fвн как частоту возбуждающей силы, ниже которой наблюдается уменьшение амплитуды колебаний, из A2(f) определяют значение амплитуды Авн и соответствующее значение скорости изменения частоты vf2 на частоте fвн. Судят о значениях параметров колебаний при резонансе, а именно амплитуды Ар, частоты fp, а также добротности Q механической колебательной системы объекта, например, следующим образом. Решением системы уравнений находят добротность Q механической колебательной системы объекта и значение резонансной частоты колебаний объекта fp, где используя значение резонансной амплитуды колебаний объекта Ар определяют путем деления наибольшей наблюдаемой амплитуды колебаний объекта Анв на значение коэффициента нормирования значения амплитуды колебаний объекта. Предлагаемый вариант выполнения способа позволяет расширить возможности его использования, а именно определять механические параметры и параметры резонансных колебаний объекта в процессе эксплуатации без влияния на режим работы объекта для проведения измерений. Предлагаемый вариант выполнения способа также позволяет определять механические параметры и параметры резонансных колебаний объекта без остановок и задержек на резонансных частотах, что уменьшит вероятность поломок объекта. Предлагаемый вариант выполнения способа также позволяет определять механические параметры и параметры резонансных колебаний объекта в процессе его запуска и остановки. При наличии возможности управления объектом, а именно возможности задавать уровень возбуждающей силы и ее частоту, для уменьшения времени определения механических параметров и параметров резонансных колебаний предлагается механические параметры и параметры резонансных колебаний определять следующим образом: выявляют резонансную область частот (fн; fв), допустимые уровни возбуждающей силы и скорости изменения частоты при прохождении резонансной области, устанавливают возбуждающую силу не более допустимого уровня и нижнее значение частоты fн возбуждающей силы, частоту f возбуждающей силы увеличивают со скоростью vf1 не ниже допустимого уровня, регистрируют амплитуды колебаний объекта A1(f) как функцию частоты f, определяют частоту fнв как частоту возбуждающей силы, выше которой наблюдается уменьшение амплитуды колебаний, из A1(f) определяют значение амплитуды Анв на частоте fнв, затем для возбуждающей силы устанавливают верхнее значение частоты fв, выдерживают режим работы объекта до наступления стационарных колебаний, уменьшают частоту f возбуждающей силы со скоростью vf2 не ниже допустимого уровня, регистрируют амплитуды колебаний объекта A2(f) как функцию частоты f возбуждающей силы, определяют частоту fвн как частоту возбуждающей силы, ниже которой наблюдается уменьшение амплитуды колебаний, из А2(f) определяют значение амплитуды Авн на частоте fвн. Судят о значениях параметров колебаний при резонансе, а именно: амплитуды Ар, частоты fp, а также добротности Q механической колебательной системы объекта, например, следующим образом. Решением системы уравнений: находят добротность Q механической колебательной системы объекта и значение резонансной частоты колебаний объекта fp, где используя Предлагаемый вариант выполнения способа позволяет расширить возможности его использования, а именно определять механические параметры и параметры резонансных колебаний объекта без остановок и задержек на резонансных частотах, что уменьшит вероятность поломок объекта, а также уменьшить время проведения измерений для определения механических параметров и параметров резонансных колебаний. Зависимости, показанные на фиг.1 и 2 получены из исследования колебательной системы, которые, как известно, описываются линейным неоднородным дифференциальным уравнением (л.н.д.у.) второго порядка. Считая, что внешняя возмущающая сила действует на колебательную систему с линейно изменяющейся во времени частотой С учетом сказанного уравнение колебаний объекта можно будет записать в виде: где x(t) – уравнение (функция) колебания объекта от времени;
А0 – значение амплитуды ускорения, вызванного действующей на объект возбуждающей силой;
vf – скорость изменения частоты действующей на объект возбуждающей силы; t – время;
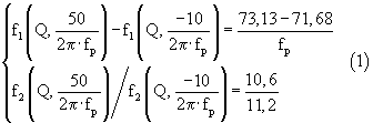
Зависимости значений относительного уноса резонансной частоты Пример выполнения способа. В качестве объекта для определения механических параметров и параметров резонансных колебаний рассматривалась механическая колебательная система (консольно закрепленная балка) с резонансной частотой fp=72 Гц и добротностью Q=23. Задались амплитудой ускорения, вызываемой действующей на объект возбуждающей силой, А0=100 м/с2, постоянной частотой действующей на объект возбуждающей силы f=fp=72 Гц, получили значение резонансной амплитуды колебаний объекта Ар=11,24 мм. Значение резонансной амплитуды колебаний объекта получено подстановкой в (2) значений А0=100 м/с2; и решения л.н.д.у (2). Произвольно задались скоростью изменения частоты возбуждающей силы f при увеличении частоты возбуждающей силы, например, vf1 = 50 Гц/с и при уменьшении частоты возбуждающей силы, например, vf2=-10 Гц/с. Ширину резонансной области частот (fн; fв) определяли из условия затухания собственных колебаний системы до вхождения в резонансную область за время t=3 Для случая увеличения частоты возбуждающей силы объекта f со скоростью vf1=50 Гц/с подстановкой в (2) значений А0=100 м/с2; Для нахождения значений параметров колебаний при резонансе, а именно: амплитуды Ар, частоты fp, а также добротности Q механической колебательной системы объекта подставляем значения амплитуд колебаний Анв=10,6 мм и Авн=11,2 мм, соответствующие им частоты fнв=73,13 Гц и fвн=71,68 Гц и скорости изменения частоты vf1=50 Гц/с и vf2=-10 Гц/с в систему уравнений (1): Решают систему уравнений (1) относительно добротности Q и значения резонансной частоты колебаний объекта fp: находят добротность Q механической колебательной системы объекта и значение резонансной частоты колебаний объекта fp:Q=22,7; fp=72,5 Гц. Используя зависимость нормированного значения амплитуды колебаний Предлагаемый способ позволяет определять механические параметры и параметры резонансных колебаний объекта без остановок и задержек на резонансных частотах, что уменьшит вероятность поломок объекта в процессе эксплуатации; операции предлагаемого способа могут быть легко автоматизированы для проведения измерений, что во многих случаях позволит уменьшить время и квалификацию исследователя для определения необходимых параметров. Формула изобретения
1. Способ определения механических параметров и параметров резонансных колебаний механической колебательной системы, заключающийся в том, что выявляют резонансную область частот (fн; fв), регистрируют амплитуды колебаний объекта A1(f) как функцию частоты f возбуждающей силы, определяют частоту fнв как частоту возбуждающей силы, выше которой наблюдается уменьшение амплитуды колебаний, регистрируют амплитуды колебаний объекта А2(f) как функцию частоты f, определяют частоту fвн как частоту возбуждающей силы, ниже которой наблюдается уменьшение амплитуды колебаний, отличающийся тем, что при увеличении частоты возбуждающей силы объекта f после прохождения fн измеряют и регистрируют скорость изменения частоты vf1, из A1(f) определяют значение амплитуды Анв и соответствующее значение скорости изменения частоты vf1 на частоте fнв, при уменьшении частоты возбуждающей силы объекта f после прохождения fв измеряют и регистрируют скорость изменения частоты vf2, из А2(f) определяют значение амплитуды Авн и соответствующее значение скорости изменения частоты vf2 на частоте fвн, по полученным значениям амплитуд Анв и Авн, соответствующих им частотам fнв и fвн и скоростям изменения частоты vt1 и vf2 судят о значениях параметров колебаний при резонансе, а именно амплитуды Ар, частоты fp, а также добротности Q механической колебательной системы объекта. 2. Способ определения механических параметров и параметров резонансных колебаний механической колебательной системы, заключающийся в том, что выявляют резонансную область частот (fн; fв), устанавливают нижнее значение частоты fн возбуждающей силы, частоту f возбуждающей силы увеличивают со скоростью vf1, регистрируют амплитуды колебаний объекта A1(f) как функцию частоты f, определяют частоту fнв как частоту возбуждающей силы, выше которой наблюдается уменьшение амплитуды колебаний, уменьшают частоту f возбуждающей силы со скоростью vf2, регистрируют амплитуды колебаний объекта A2(f) как функцию частоты f возбуждающей силы, определяют частоту fвн как частоту возбуждающей силы, ниже которой наблюдается уменьшение амплитуды колебаний, отличающийся тем, что определяют допустимые уровни возбуждающей силы и скорости изменения частоты при прохождении резонансной области, устанавливают возбуждающую силу не более допустимого уровня, частоту f возбуждающей силы увеличивают со скоростью vf1 не ниже допустимого уровня, из A1(f) определяют значение амплитуды Анв на частоте fнв, для возбуждающей силы устанавливают верхнее значение частоты fв, выдерживают режим работы объекта до наступления стационарных колебаний, уменьшают частоту f возбуждающей силы со скоростью vf2 не ниже допустимого уровня, из A2(f) определяют значение амплитуды Авн на частоте fвн, по полученным значениям амплитуд Анв и Авн, соответствующих им частотам fнв и fвн и скоростям изменения частоты vf1 и vf2 судят о значениях параметров колебаний при резонансе, а именно амплитуды Ар, частоты fp, а также добротности Q механической колебательной системы объекта. РИСУНКИ
MM4A Досрочное прекращение действия патента Российской Федерации на изобретение из-за неуплаты в установленный срок пошлины за поддержание патента в силе
Дата прекращения действия патента: 06.05.2005
Извещение опубликовано: 10.12.2006 БИ: 34/2006
|
||||||||||||||||||||||||||

f, регистрируют амплитуду колебаний Ад объекта на частоте fp+
от добротности Q и относительной скорости
изменения частоты возбуждающей силы:
от добротности Q и относительной скорости
изменения частоты возбуждающей силы:

– зависимости значений относительного уноса резонансной частоты
при различных значениях добротности Q и различных значениях относительной скорости
изменения частоты f возбуждающей силы, fнв и fвн – наблюдаемые резонансные частоты колебаний (при которых наблюдалась наибольшая амплитуда колебаний),
– зависимости нормированного значения амплитуды колебаний
при различных значениях добротности Q и различных значениях относительной скорости
изменения частоты f возбуждающей силы, Анв и Авн – амплитуды колебаний объекта на соответствующих им частотах fнв и fвн и скоростях изменения частоты vf1 и vf2;
– зависимости нормированного значения амплитуды колебаний
при различных значениях добротности Q и различных значениях относительной скорости
изменения частоты f возбуждающей силы и используя значения скорости изменения частоты возбуждающей силы vf1 и добротности колебательной системы Q, определяют значение коэффициента нормирования значения амплитуды колебаний объекта;
– зависимости значений относительного уноса резонансной частоты
при различных значениях добротности Q и различных значениях относительной скорости
изменения частотх f возбуждающей силы, fнв и fвн – наблюдаемые резонансные частоты колебаний (при которых наблюдалась наибольшая амплитуда колебаний),
– зависимости нормированного значения амплитуды колебаний
при различных значениях добротности Q и различных значениях относительной скорости
изменения частоты f возбуждающей силы, Анв и Авн – амплитуды колебаний объекта на соответствующих им частотам fнв и fвн и скоростях изменения частоты vf1 и vf2;
– зависимости нормированного значения амплитуды колебаний
при различных значениях добротности Q и различных значениях относительной скорости
изменения частоты f возбуждающей силы и используя значения скорости изменения частоты возбуждающей силы vf1 и добротности колебательной системы Q, определяют значение коэффициента нормирования значения амплитуды колебаний объекта; значение резонансной амплитуды колебаний объекта Ар определяют путем деления наибольшей наблюдаемой амплитуды колебаний объекта Анв на значение коэффициента нормирования значения амплитуды колебаний объекта.
=
t, свободный член дифференциального уравнения запишется в виде 

– коэффициент затухания колебательной системы;
0 – начальная фаза в уравнении колебаний объекта.
при различных значениях добротности Q и различных значениях относительной скорости
изменения частоты f возбуждающей силы
и зависимости нормированного значения амплитуды колебаний
при различных значениях добротности Q и различных значениях относительной скорости
изменения частоты f возбуждающей силы
, получены на основе аппроксимации множеств значенй наблюдаемой амплитуды колебаний и
уноса
изменения частоты f возбуждающей силы.
vf=0; 
, где
. Тогда нижнее значение частоты возбуждающей силы определили из соотношения
соответственно верхнее значение частоты возбуждающей силы определили из соотношения
В результате получили fн=55,17 Гц, fв=76,62 Гц.
p=452,2; 
при добротности Q=22,7 и относительной скорости изменения частоты f возбуждающей силы
находят значение коэффициента нормирования значения амплитуды колебаний объекта, который равен 0,94. Делят наибольшее наблюдаемое значение амплитуды колебаний объекта нв=10,6 мм на значение коэффициента нормирования значения амплитуды колебаний объекта, равное 0,94, и получают значение резонансной амплитуды колебаний объекта Ар, которое равно 11,28 мм.