Патент на изобретение №2152151
|
||||||||||||||||||||||||||
(54) ГЕРБИЦИДНАЯ ВОДОРАСТВОРИМАЯ ГРАНУЛИРОВАННАЯ КОМПОЗИЦИЯ
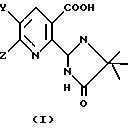
(57) Реферат: Описывается гербицидная водорастворимая твердая гранулированная композиция, включающая имидазолиноновый гербицид на основе пиридин- или хинолинкарбоновой кислоты или смесь с твердой солью замещенной бензойной или феноксикарбоновой кислоты, основание, инертный носитель и дисперсант. Технический результат – создание композиции, безопасной для окружающей среды, полностью растворимой в воде и стабильной при хранении. 9 з.п.ф-лы, 3 табл. Предпосылки изобретения. Разработки сельскохозяйственных составов все более и более направлены на твердые композиции для увеличения безопасности применения и благоприятного воздействия на окружающую среду. Жидкие концентраты на основе растворителей, концентраты водных суспензий и диспергирующиеся в воде порошки или гранулы, расфасованные в пластмассовые или металлические емкости, постоянно вызывают озабоченность с точки зрения охраны здоровья и окружающей среды. Производные имидазолинона являются классом высокоэффективных, безопасных для окружающей среды, избирательных в отношении урожайных культур гербицидов, которые содержат функциональную группу карбоновой кислоты пиридина или хинолина в ортоположении по отношению к имидазолиноновому кольцу. Однако известно, что имидазолиноновое кольцо является нестабильным и подвергается разложению в присутствии основания. Несмотря на то, что известны твердые водорастворимые гербицидные солевые композиции замещенных производных фенокси- и бензойной кислот и способы их получения известны, ни одно из указанных соединений не является очень чувствительным к щелочному разложению (патенты США NN 5266553 и 5328889). Таким образом, объектом данного изобретения является твердая имидазолиноновая композиция, которая, по существу, полностью растворима в воде и стабильна при хранении. Другим объектом настоящего изобретения является сельскохозяйственная композиция, обладающая экологически желаемыми характеристиками и безопасная и удобная для применения фермерами, операторами и пользователями. Эти и другие объекты и признаки изобретения станут более ясными из подробного описания, представленного далее. Настоящее изобретение относится к твердой водорастворимой гербицидной композиции, которая содержит имидазолиноновый гербицид сам по себе или в сочетании со вторым гербицидом и основанием, где основание предпочтительно присутствует в соотношении от около 0,9 до 2,0 мольных эквивалентов основания по отношению к мольным эквивалентам имидазолинонового гербицида. Указанная композиция пригодна для упаковки в водорастворимые материалы для экологически приемлемого и безопасного сельскохозяйственного продукта, которые при полном растворении приводят к равномерному нанесению по всей целевой поверхности. Подробное описание изобретения. Имидазолиноновые гербициды на основе пиридин- и хинолинкарбоновой кислоты являются цвиттерионными соединениями, которые имеют относительно низкую растворимость в воде. Растворимость возрастает с увеличением pH, поскольку карбоновая кислота становится ионизированной. Однако при pH > 7 имидазолиноновое кольцо может быть нестабильным. Следовательно, чтобы увеличить стабильность при хранении и избежать разложения продукта, составы этого очень ценного сельскохозяйственного продукта изготавливаются в виде жидких композиций, таких как гетерогенные суспензионные концентраты или кислые водные концентраты, которые являются чувствительными к заморозке и для которых требуются дорогостоящие упаковочные материалы, либо в виде твердых композиций, таких как диспергирующиеся в воде гранулы или смачивающиеся порошки, для которых могут потребоваться сложные процессы механического перемешивания и которые образуют гетерогенный продукт, который может оседать, неравномерно наноситься и потенциально засорять распылительные аппараты. В настоящее время обнаружено, что композиция, содержащая имидазолиноновый гербицид сам по себе или в сочетании со вторым гербицидом и основание, где основание предпочтительно берется в соотношении от около 0,9 до 2,0, более предпочтительно от около 1,1 до 1,7, мольных эквивалентов основания по отношению к мольным эквивалентам имидазолинонового гербицида, является стабильной при хранении, устойчивой к заморозке и, по существу, полностью растворимой в воде. Композиция по изобретению удобна для упаковки в водорастворимый, благоприятный для окружающей среды материал, безопасна и легка в применении и образует гомогенно наносимый продукт, который обеспечивает равномерное нанесение активного ингредиента на целевые поверхности. Имидазолиноновые гербициды могут представлять одно или более из соединений формулы I ![]() где Y и Z представляют, каждый независимо, водород, галоген, C1-C4 алкил, необязательно замещенный галогеном или C1-C4 алкокси, Y и Z и, взятые вместе, могут представлять структуру -CH=CH-CH=CH-. Предпочтительными имидазолиноновыми гербицидами являются такие соединения формулы I, где Z представляет водород, Y представляет водород, метил, этил или метоксиметил, или когда Y и Z, взятые вместе, представляют структуру -CH=CH-СН=CH-; например: 2- (4-изопропил-4-метил-5-оксо-2-имидазолин-2-ил) – никотиновая кислота; 2-(4-изопропил-4-метил-5-оксо-2-имидазолин- 2-ил)-5-метилникотиновая кислота; 5-этил-2-(4-изопропил-4-метил-5- оксо-2-имидазолин-2-ил)-никотиновая кислота; 2-(4-изопропил-4- метил-5-оксо-2-имидазолин-2-ил) -3-хинолинкарбоновая кислота или 2-(4-изопропил-4-метил-5-оксо-2-имидазолин-2-ил)-5-(метоксиметил) -никотиновая кислота. Основанием по изобретению является любой материал, который при добавлении к раствору повышает pH. Основаниями, пригодными для использования в композиции по изобретению, являются наиболее широко известные, такие как гидрооксиды щелочных металлов, т. е. NaOH, КОН и тому подобные, или соли щелочных металлов, такие как карбонаты или бикарбонаты, т.е. Na2CO3, NaHCO3, K2CO3, KHCO3 и тому подобные, фосфаты, т.е. Na3PO4, K3PO4 и так далее, предпочтительно карбонаты и бикарбонаты. Количество основания может изменяться в зависимости от растворимости в воде имидазолинонового гербицида, используемого в качестве активного ингредиента. Обычно предпочтительное количество основания определяется как соотношение мольных эквивалентов имидазолинонового гербицида от около 0,9 до 2,0, более предпочтительно от около 1,1 до 1,17. Конечно, необходимо учесть, что соотношение мольных эквивалентов большее, чем 2,0, будет также приводить к получению растворимой композиции, однако, избыток основания обычно нежелателен. Гербициды, предназначенные для использования в качестве второго гербицида в композиции по изобретению, являются любыми водорастворимыми гербицидно-активными соединениями, такими как соли замещенных фенокси- или бензойной кислоты, такие как (2,4-дихлорфенокси)ацетатная соль (2,4-D)); 4-(2,4-дихлорфенокси)бутаноатная соль (2,4-DB); 2-(4-хлор-2-метилфенокси)- пропаноатная соль (МСРР); 4-хлор-2-(метилфенокси) ацетатная соль (МСРА); 2-(2,4-дихлорфенокси)пропаноатная соль (дихлоропроп); 3,6- дихлор-2-метоксибензоатная соль (дикамба); 3-амино-2,5- дихлорбензоатная соль (хлорамбен) и тому подобные. Катионом соли может быть любой катион обычный карбоновой кислоты, такой как аммоний, органический аммоний, натрий, калий и тому подобные. Второй гербицид может составлять от 0% до 85% по весу. Композиция по изобретению может также содержать обычные добавки к составам, обычно используемым в твердых сельскохозяйственных композициях, такие как красители, диспергирующие агенты, инертные наполнители и тому подобные. Подходящими являются такие диспергирующие агенты, как алкилнафталиновый конденсат, лигносульфонат, полиэтиленоксид и тому подсобные, предпочтительно алкилнафталиновый конденсат. Предпочтительными являются инертные наполнители, которые растворяются в воде, такие как хлорид натрия, крахмал, сахар и тому подобные. Композиция по изобретению может быть получена обычными методами сухого прессования или экструзией. Обычно сухие ингредиенты механически размалываются или перемешиваются и затем либо загружаются в таблеточный пресс или уплотнитель, либо размолотый или перемешанный порошок увлажняется, экструдируется и высушивается. Затем гранулированный продукт просеивается и сортируется, обычными методами с получением сухих гранул с одинаковым размером однородных частиц. На практике все твердые ингредиенты, включая имидазолиноновый гербицид и основания, предпочтительно в соотношении от около 0,9 до 2,0, более предпочтительно от около 1,1 до 1,7, мольных эквивалентов имидазолинонов по отношению к основанию смешивают в течение около 30 минут в смесителе Munson, производства Munson Machinery Company, Utica, New York или на аналогичном оборудовании. Воду для обработки, от около 7 до 12% по весу, предпочтительно около 10% по весу, распыляют в смесителе около 15 минут пока продолжается перемешивание. Полученную увлажненную смесь помещают в корзиночный гранулятор и экструдируют. Продукт экструзии распределяют по лоткам и высушивают. Для более ясного понимания изобретения далее ниже приведены конкретные примеры. Эти примеры являются только иллюстративными и не должны рассматриваться, как ограничивающие каким-либо образом объем и основные положения изобретения. Несомненно, для специалиста станут ясны различные модификации изобретения в дополнение к приведенным и описанным здесь. Такие модификации также подпадают под объем прилагаемой формулы изобретения. Пример 1. Получение гербицидной водорастворимой гранулированной композиции Общая методика. Все твердые ингредиенты смешивали в течение около 30 минут. Воду для обработки, около 10% во весу, распыляли в смесь при работе смесителя и непрерывном перемешивании в течение 15 минут. Увлажненную смесь экструдировали, используя обычный настольный пресс-экструдер фирмы LCI Corporation (Charlotte, North Carolina). Экструдат сушили в сушке с проточным слоем и высушенный материал просеивали с получением частиц одного размера. Используя вышеописанный метод, были получены следующие композиции, представленные в таблице 1, и оценена их стабильность при хранении. Все композиции из таблицы 1 являются полностью растворимыми в воде при концентрациях, в 4 раза превышающих норму расхода для нанесения гербицида (0,2 г гранулированной композиции на 99,8 г воды). Как можно видеть из таблицы 1, все композиции стабильны при хранении. Пример 2. Получение гербицидной водорастворимой гранулированной композиции, содержащей смесь активных ингредиентов Используя, по существу, тот же метод, что описан в примере 1, за исключением того, что в воде для обработки растворен краситель, получали следующую композицию и оценивали ее (см. таблицу 2). Исследуемую композицию (2,0 г) добавляют к 98 г воды в градуированном цилиндре. Цилиндр закупоривают и переворачивают до получения визуально полностью прозрачного раствора. Исследуемая композиция растворяется после 9-13 переворачиваний. Пример 3. Получение гербицидных водорастворимых гранулированных композиций Общий способ. Все сухие ингредиенты размалывали, затем помещали в обычный настольный таблеточный пресс и прессовали под давлением около 500-1500 пси с получением сухих гранул. Используя вышеуказанный способ, получали следующие композиции, представленные в таблице 3. Все исследуемые композиции в таблице 3 являются растворимыми в воде в концентрациях в 4 раза выше, чем норма расхода гербицида. Формула изобретения
![]() где Y и Z являются каждый независимо водородом, галогеном, C1 – C4-алкилом, необязательно замещенным галогеном или C1 – C4алкокси, либо Y и Z, взятые вместе, могут образовывать структуру -СН=СН-СН=СН-. 4. Композиция по п. 1, отличающаяся тем, что содержит 0 – 85 вес.% твердой соли замещенной бензойной или феноксикарбоновой кислоты. 5. Композиция по п.1, отличающаяся тем, что содержит основание, выбранное из гидроксида, карбоната или фосфата щелочного металла. 6. Композиция по п.2, включающая гербицид формулы I, где Z представляет собой водород, Y представляет собой водород, метил, этил или метоксиметил, либо Y и Z могут быть взяты вместе с образованием -СН=СН-СН=СН-. 7. Композиция по п.3, где второй гербицид представляет натриевую соль дикамба. 8. Композиция по п.6, где основание присутствует в соотношении около 1,1 – 1,8 мольных эквивалентов основания к мольным эквивалентам имидазолиноновых гербицидов. 9. Композиция по п.7, где имидазолиноновым гербицидом является 5-этил-2-(4-изопропил-4-метил-5-оксо-2-имидазолин-2-ил)никотиновая кислота. 10. Композиция по п.9, где основанием является карбонат натрия. РИСУНКИ
|
||||||||||||||||||||||||||


