Патент на изобретение №2237953
|
||||||||||||||||||||||||||
(54) ЛИНЕЙНЫЙ ИЗЛУЧАТЕЛЬ НА Ш-ОБРАЗНОМ ВОЛНОВОДЕ
(57) Реферат:
Изобретение относится к области техники СВЧ, в частности, к антенно-фидерным устройствам, и может быть использовано при конструировании линейных излучателей на Ш-образном волноводе. Техническим результатом является расширение полосы рабочих частот линейного излучателя путем улучшения согласования элемента излучающей структуры с Ш-образным волноводом. Устройство содержит отрезок Ш-образного волновода, возбудитель, согласованную нагрузку, излучающие элементы, длина l и высота d которых выбрана из соответствующих соотношений, излучающие элементы расположены по оси отрезка Ш-образного волновода попеременно по разные стороны от его центрального ребра, торцевые поверхности ихлучающих элементов выполнена в виде полуокружностей, вогнутых к центру излучающего элемента с радиусом, выбираемым из соотношения R=2a-t/4, где 2в – ширина дна отрезка Ш-образного волновода, t – толщина центрального ребра. 5 ил.
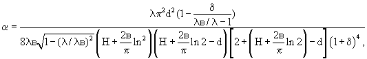
Предлагаемое изобретение относится к области техники СВЧ, в частности, к антенно-фидерным устройствам, и может быть использовано при конструировании линейных излучателей на Ш-образном волноводе. Известные линейные излучатели на Ш-образных (желобковых) волноводах, содержащие отрезок Ш-образного волновода, устройство возбуждения, поглощающую нагрузку и излучающую структуру, можно рассматривать в качестве аналогов (патент США №2957173, 1957 г; патент США №3015100, 1961 г). Параметры этих линейных излучателей не отвечают требованиям, предъявляемым к современным решеткам линейных излучателей. Известный линейный излучатель на Ш-образном волноводе (авторское свидетельство №248669, СССР, 1987 г.) является наиболее близким по техническому решению к предлагаемому и берется в качестве прототипа. Прототип представляет собой (см. фиг.1) отрезок Ш-образного волновода 1, на одном конце которого установлено устройство возбуждения 2, представляющее собой коаксиально-волноводный переход, а на другом – согласованная нагрузка 3 из клинообразных брусков поглощающего материала. Элементы излучающей структуры 4 выполнены в виде металлических прямоугольных брусков, установленных на дне отрезка Ш-образного волновода 1, вдоль его оси, попеременно по обе стороны центрального ребра, длиной “l” и высотой “d”, определяемых: где H – высота центрального ребра;
где 2в – ширина дна Ш-образного волновода; t – толщина центрального ребра. В известном линейном излучателе элементы излучения, выполненные в виде металлических брусков с плоскими прямоугольными поверхностями торцевой части элемента, согласуются с Ш-образном волноводом в довольно узкой полосе частот, что объясняется резкими скачками волнового сопротивления на передней и задней торцевой части прямоугольного бруска и не позволяет добиться хорошего согласования на входе линейного излучателя в широком диапазоне частот. Таким образом, целью изобретения является расширение полосы рабочих частот линейного излучателя путем улучшения согласования элемента излучающей структуры о Ш-образным волноводом. Указанная цель достигается тем, что в устройстве, содержащем отрезок Ш-образного волновода, один конец которого присоединен к возбудителю, а другой – к согласованной нагрузке, при этом вдоль оси отрезка Ш-образного волновода, на его дне, попеременно по разные стороны от его центрального ребра размещена излучающая структура из элементов излучения длиной “l” и высотой “d”, определяемых соотношениями где Н – высота центрального ребра;
где 2в – ширина дна Ш-образного волновода; t – толщина центрального ребра, согласно изобретению передняя и задняя торцевые поверхности элементов излучения выполнены в виде полуцилиндрических (вогнутых) поверхностей радиусом; Выполненные таким образом элементы излучающей структуры обеспечивают плавный переход от волнового сопротивления пустого Ш-образного волновода к волновому сопротивлению Ш-образного волновода, нагруженного излучающей структурой, за счет образования полуцилиндрических (вогнутых) торцевых поверхностей элементов излучения, вследствие чего произошло улучшение согласования элемента с Ш-образным волноводом и расширение полосы рабочих частот линейного излучателя. На фиг.1 представлен линейный излучатель-прототип. На фиг.2 изображен предлагаемый линейный излучатель. На фиг.3 приведена кривая согласования элемента излучения прототипа 1 и кривая согласования элемента излучения предлагаемого линейного излучателя 2. Предлагаемое устройство (фиг.2) содержит отрезок Ш-образного волновода 1, устройство возбуждения 2, согласованную нагрузку 3, элементы излучающей структуры 4, расположенные по обе стороны от центра ребра Ш-образного волновода, причем радиус полуцилиндрической (вогнутой) торцевой поверхности элемента равен Устройство работает следующим образом: электромагнитная волна энергии СВЧ через устройство возбуждения 2 поступает на вход отрезка Ш-образного волновода 1 и распространяется вдоль него. Если в Ш-образном волноводе имеется неоднородность (элемент излучающей структуры 4), расположенная несимметрично относительно центрального ребра, то часть энергии распространяющейся вдоль оси волновода электромагнитной волны излучается в пространство. Распределение интенсивности излучения по длине отрезка определяется размерами излучающей структуры, а степень согласования элемента излучения с Ш-образным волноводом – конфигурацией элемента. Остаток неизлученной энергии поглощается в нагрузке 3. Выполнение элемента излучающей структуры не в виде прямоугольного бруска с плоскими поверхностями передней и задней торцевых сторон, а с полуцилиндрическими (вогнутыми) торцевыми поверхностями, позволило осуществить плавный переход от волнового сопротивления пустого Ш-образного волновода к волновому сопротивлению нагруженного излучающей структурой линейного излучателя и обеспечить высокую степень согласования элементов излучающей структуры, что привело к расширению полосы рабочих частот. По предлагаемому техническому решению изготовлены опытные образцы линейных излучателей. Сравнение их с излучателями-прототипами показало, что полоса рабочих частот предлагаемого линейного излучателя увеличена в 1,5-1,7 раза. Формула изобретения
Линейный излучатель на Ш-образном волноводе, содержащий отрезок Ш-образного волновода, один конец которого соединен с возбудителем, а другой – с согласованной нагрузкой, при этом вдоль оси отрезка Ш-образного волновода на его дне попеременно по разные стороны от его центрального ребра расположены излучающие элементы, длина l и высота d которых выбраны из соотношений: l= где Н – высота центрального ребра Ш-образного отрезка волновода;
где 2в – ширина дна отрезка Ш-образного волновода; t – толщина центрального ребра, отличающийся тем, что, с целью расширения полосы рабочих частот путем улучшения согласования излучающих элементов с отрезком Ш-образного волновода, первая и вторая торцевые поверхности излучающих элементов выполнены в виде полуокружностей, вогнутых к центру излучающего элемента с радиусом, выбираемым из соотношения R=2a – t/4. РИСУНКИ
QA4A – Сведения о заявлении обладателя патента Российской Федерации на изобретение о предоставлении любому лицу права на использование изобретения (открытая лицензия)
(54) Линейный излучатель на Ш-образном волноводе
Номер и год публикации бюллетеня: 28-2004
(73) Патентообладатель:
Адрес для переписки:
Извещение опубликовано: 20.03.2005 БИ: 08/2005
|
||||||||||||||||||||||||||



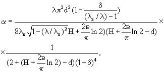
в – длина волны в волноводе;
– коэффициент связи элемента излучения, определяемый до формуле






.
sin2[
/2

