Патент на изобретение №2151782
|
||||||||||||||||||||||||||
(54) МАЛОПЫЛЯЩИЕ ГРАНУЛЫ ДОБАВОК К ПЛАСТМАССЕ, СПОСОБ ИХ ПОЛУЧЕНИЯ И ПРИМЕНЕНИЕ
(57) Реферат: Группа изобретений относится к малопылящим гранулированным добавкам к пластмассе, содержащим стеарат кальция, а также к их получению и применению. Малопылящая гранула добавок к пластмассе содержит соединение, выбранное из группы, состоящей из пространственно затрудненного амина, пространственно затрудненного фенола, фосфита или фосфонита, гидроталькита, оксида или карбоната металла, вспомогательного металлического мыла, антистатика, антиадгезива (агента, препятствующего слипанию), антипирена-тиоэфира, внутреннего или внешнего замасливателя, пигмента, УФ-абсорбера и вспомогательного светостабилизатора, а также она содержит по меньшей мере 10 мас.% стеарата кальция от общего состава, содержание воды в котором составляет менее 2%, и имеет гранулометрический состав 1-10 мм, определенный по методике согласно стандарту ISO 3435, объемную насыпную массу более 400 г/л и текучесть менее 15 с (tR25), определенную согласно стандарту DIN 53492. Способ получения гранул включает нагревание смеси добавок к пластмассе, содержащей по меньшей мере 10 – 100 мас. % стеарата кальция до тех пор, пока не расплавится по меньшей мере 80 мас.% стеарата кальция, экструзию полученного расплава смеси через диск, снабженный соплами или отверстиями, причем диаметр сопла или отверстия составляет 1 – 10 мм и формование гранул из полученного экструдата пока он находится в пластическом состоянии. Описано также применение указанных гранул для стабилизации органического полимера. Достигается уменьшение пылимости полученных гранул, уменьшение их склонности к дезинтеграции при хранении и транспортировке, а также облегчение их дозировки. 6 с. и 22 з.п. ф-лы, 3 табл. Данное изобретение относится к малопылящим гранулированным добавкам к пластмассе, содержащим стеарат кальция, способу получения гранул и их применению для стабилизации полимерного материала. В процессе переработки органических полимеров (пластмасс), в частности полиолефинов, для улучшения их перерабатываемости и сохранения эксплуатационных свойств в течение продолжительного периода времени необходимо введение различных добавок. Деструктивное влияние на органические полимеры, кроме светового и термического старения, оказывают остатки катализаторов, используемые в технологии получения полимерных материалов. Известно широкое множество различных классов веществ, которые можно использовать в качестве добавок и стабилизаторов. Вследствие очень большого разнообразия процессов, вызывающих деструкцию органических полимеров, не все из которых понятны полностью специалистам, используют смеси из нескольких добавок. Обычно добавки получают в виде порошка. Однако порошковые аддитивные смеси имеют ряд недостатков, например высокую запыленность, взрывоопасность, склонность к расслоению и трудности дозирования. Поэтому существует потребность получения добавок в формах, которые не имеют вышеуказанных недостатков. Для этих целей известно, например, использование способов агломерации (водной с применением при необходимости диспергатора), способов смешивания добавок вместе со связующими или прессования порошковой смеси с использованием гранулятора. В большинстве случаев, однако, получаемые вышеуказанными способами, формы все еще не имеют соответствующих механических характеристик. Кроме того, такие промышленные формы часто содержат воду или другие связующие, что может создать проблемы при последующем введении добавок в органический полимер, или их необходимо вводить в соответствующих количествах. Таким образом, существует потребность получения гранулированных аддитивных смесей с продолжительным сроком их годности при хранении и, не содержащих никаких связующих. Кроме того, необходимо, чтобы такой гранулированный продукт удовлетворял бы также экологическим требованиям (низкий показатель пыления, снижение себестоимости материала за счет исключения связующего). С этой целью, в патенте США N 5240642 раскрывается способ получения гранулированных добавок из смеси, состоящей из органической кислоты и неорганического противоокислителя и тетракис [3-(3,5- ди-трет-бутил-4-гидроксифенил)-пропионилоксиметил] метана, заключающийся в том, что процесс проводят в присутствии последнего компонента в расплавленном состоянии с равномерным распределением его по всей массе указанного порошкового антиоксиданта с последующей экструзией расплавленной массы, охлаждением экструдированных прядей и формованием гранул. К сожалению, полученные в соответствии с вышеуказанным способом гранулы имеют ряд недостатков, в частности, такие гранулы все еще выделяют значительное количество пыли, которая вредна для здоровья рабочих, занятых в производстве данной продукции; имеют склонность к дезинтеграции в процессе хранения и транспортировки, а также трудности, связанные с их дозировкой. В ходе создания настоящего изобретения было установлено, что гранулированные добавки к пластмассе, которые удовлетворяли бы требованиям промышленного производства, можно получить путем нагревания смеси, состоящей из полимерных добавок и стеарата кальция, до тех пор, пока в смеси не расплавится по меньшей мере 80% стеарата кальция и последующего формования гранул в пластическом состоянии. Новые гранулированные полимерные добавки однородны по гранулометрическому составу и обладают превосходными характеристиками сыпучего материала, в частности не содержат пыли, обладают текучестью и устойчивостью к абразивному износу, а также высокой стабильностью при хранении. Такие гранулы можно легко вводить в требуемом количестве в стабилизируемые органические полимеры, при этом он имеют лучшие характеристики текучести расплава при термическом воздействии по сравнению с традиционными стеаратами кальция или их порошковыми смесями. Настоящее изобретение предлагает также способ, раскрываемый далее в описании, для получения гранулированных добавок к пластмассе, содержащих по крайней мере 10 мас.% стеарата кальция, содержание воды в котором составляет менее 2% и имеющих гранулометрический состав от 1 до 10 мм, определенный по методике согласно стандарту ISO 3435, объемный вес в рыхлом состоянии более 400 г/л и текучесть менее 15 с (tR15), определенную согласно стандарту DIN 53492. В соответствии с целями предлагаемого изобретения термин “малопылящие гранулы” означает в описании гранулы, показатель пыления которых, определенный по методике испытания Heubach, составляет менее 0.15 мас.% (через 5 минут после начала испытания). В остальной части описания изобретения термин “новые гранулы” означает малопылящие гранулы с характеристиками, указанными выше. В предлагаемом изобретении стеарат кальция означает продукт взаимодействия имеющихся в продаже смесей жирных кислот и кальцийсодержащего соединения. Имеющиеся в продаже смеси жирных кислот включают в свой состав смесь C14-C20 жирных кислот с большим содержанием в ней стеариновой кислоты и часто также пальмитиновой кислоты, например около 67% стеариновой кислоты и 33% пальмитиновой кислоты. В соответствии с предлагаемым изобретением стеарат кальция имеет низкое содержание кристаллизационной воды, то есть является по существу аморфным веществом. В зависимости от воздействия окружающей среды (например, условий хранения) и режима предварительной термообработки общее содержание кристаллизационной воды в стеарате кальция или в компоненте на его основе предпочтительно составляет менее 1%. В предпочтительном варианте осуществления настоящего изобретения новые гранулы содержат не менее 20 мас.% и особенно предпочтительно не менее 30 мас.% или 100 мас.% стеарата кальция. Гранулометрический состав новых гранулированных добавок, определенный в соответствии со стандартом ISO 3435, в предпочтительном варианте составляет от 1 до 6 мм и особенно предпочтительно от 2 до 6 мм. Объемная насыпная масса составляет более 500 г/л, но он может меняться в зависимости от плотности всей смеси и может быть выше или ниже в смесях, плотность которых отличается от плотности стеарата кальция. Указанные величины, таким образом, относятся к смесям, плотность которых отличается от насыпной плотности стеарата кальция не более чем на 10%. Если плотность смеси превышает вышеуказанное значение, то объемный вес необходимо скорректировать по коэффициенту, выраженному через соотношение между плотностью стеарата кальция и плотностью этой смеси. В соответствии с настоящим изобретением показатель текучести, определенный согласно стандарту DIN 53492, в предпочтительном варианте составляет менее 15 с (tR15), наиболее предпочтительно менее 10 с (tR15). Показатель пыления определяют в соответствии с испытанием по методике Heubach в экспериментальной установке с обеспечением условий, аналогичных производственным, где испытуемый материал приводят в движение для определения степени его пыления при абразивном истирании. Аппарат, используемый для испытания, производит фирма Heubach Engineering GmbH, Langelsheim, Германия. Более подробно испытуемый гранулят (50 г навеска) подвергают вращению со скоростью 30 об/мин (что соответствует наружной скорости 19 см/с) в течение 5 мин в пылегенераторе емкостью 2,5 л с тремя дисками, расположенными в направлении вращения под углом 45o относительно стенки корпуса, а поток воздуха, подаваемый со скоростью 0,32 л/с осаждает на фильтре пылевидный компонент. В соответствии с предлагаемым изобретением содержание пылеобразующего компонента, определенное по указанной методике в предпочтительном варианте, не превышает 0,1 мас.%. Другие добавки к пластмассе, которые можно использовать в составе гранул настоящего изобретения как в чистом виде, так и в различных смесях, общеизвестны специалистам. Большинство упоминаемых далее в описании полимерных добавок можно получить известными методами и в стандартных режимах в виде твердых веществ (например, порошков или гранул), расплавов (например, непосредственно из синтеза) или жидкостей. Предлагаемое изобретение также относится к способу получения гранул полимерных добавок, заключающийся в том, что осуществляют нагревание смеси полимерных добавок, содержащей по меньшей мере от 10 до 100 мас.% стеарата кальция до расплавления по меньшей мере 80 мас.% стеарата кальция, пропускание полученного расплава смеси через диск, снабженный соплами или отверстиями, диаметр которых составляет от 1 до 10 мм, и измельчение полученного экструдата в пластическом состоянии с получением гранул. Термин “пластическое состояние” в данном описании означает еще не затвердевшие пряди; причем указанные пряди имеют нежесткую структуру, а их пластическая вязкость варьирует обычно в диапазоне от 1 до 500000 Па с, предпочтительно от 1 до 100000 Па с.
Размер сопла или выходного отверстия в диаметре составляет от 2 до 6 мм.
Добавки к пластмассе (или стеарат кальция) в предпочтительном варианте расплавляют в одно- или двучервячном экструдере. Указанные экструдеры хорошо известны в области технологии переработки пластиков и поставляются на рынок, например, фирмами Buss (Чехословакия), Brabender (Германия), Werner und Pfleiderer (Германия) и Buhler (Чехословакия). Добавки к пластмассе в рамках данного изобретения обычно используют в виде твердых веществ (например, порошков или гранул), однако возможно также их использование в виде расплавов, водных суспензий или введение их в небольших количествах в жидких формах. После или в альтернативном варианте во время измельчения экструдируемых заготовок, которые все еще находятся в пластическом состоянии, и последующего пропускания рубленой массы через диск, снабженный соплами или отверстиями, получают гранулированный продукт, который затем охлаждают. Охлаждение гранулята можно осуществлять мокрым методом, используя воду (например, в воде, под водяной подушкой, типа водяной завесы и тому подобное), либо в предпочтительном варианте методом воздушного охлаждения (например, с использованием воздушной подушки, с помощью вихревой воздушной трубы и т.д.), либо их комбинацией. В случае использования водяного охлаждения необходимо затем проводить обезвоживание и сушку (предпочтительно в сушилке с псевдоожиженным слоем) полученных гранул. Указанные методы охлаждения известны специалистам в данной области промышленности. Существенной особенностью предлагаемого способа является то, что процесс грануляции происходит в пластическом состоянии до выполнения операции охлаждения гранул, в противоположность общепринятым в промышленности методам экструзионного гранулирования и дробления.
Получение расплава смеси, содержащей стеарат кальция, обычно не проводят при температуре установившегося процесса, наоборот, исходный материал проходит через температурный профиль непрерывного процесса. Целесообразно, чтобы предельная максимальная температура была выше 130oC, предпочтительно выше 150oC, в зависимости от других ингредиентов состава смеси, причем обычно подходят предельные максимальные температуры до 220oC. Указанные температуры относятся к температуре материала.
В предпочтительным варианте предлагаемый способ включает дополнительно стадию дегазации. При осуществлении этой стадии дегазатор предпочтительно размещают в зоне расплавления стеарата кальция или в следующей за ней зоне.
В предпочтительном варианте гранулы предлагаемого изобретения получают с использованием экструдера, причем температура материала должна превышать 130oC по меньшей мере в одной зоне экструдера.
Гранулированные добавки, полученные в соответствии с предлагаемым способом, также входят в объем настоящего изобретения. Аналогичным образом в объем предлагаемого изобретения также входят предпочтительные варианты их состава, раскрываемые в описании.
К другим добавкам к пластмассе, которые могут быть включены в состав предлагаемых гранул, предпочтительно относятся соединения, выбранные из группы, состоящей из пространственно затрудненных аминов (HALS), пространственно затрудненных фенолов, фосфитов или фосфонитов, гидроталькитов, оксидов металла, карбонатов металла, а также металлические мыла, антистатики, антиадгезивы, антипирены, сложные тиоэфиры, внутренние и наружные смазки, пигменты, поглотители УФ-излучения и светостабилизаторы.
Кроме того, гранулы могут также содержать совместные стабилизаторы, например термопластические полимеры (например, полиолефины или полиолефиновые воски).
К особенно предпочтительному варианту осуществления настоящего изобретения относится смесь, состоящая из стеарата кальция и по меньшей мере одного антиоксиданта на основе соединения типа стерически затрудненного фенола и по меньшей мере одного фосфита или фосфонита.
Более предпочтительно использование смеси стеарата кальция с по меньшей мере одним соединением из группы пространственно затрудненных аминов, содержащих хотя бы один 2,2,6,6-тетраметилпиперидиновый радикал.
К наиболее предпочтительному варианту осуществления настоящего изобретения относится смесь, состоящая из стеарата кальция и по меньшей мере одного антиоксиданта на основе соединения типа стерически затрудненного фенола и по меньшей мере одного фосфита или фосфонита, и по меньшей мере одного соединения из группы пространственно затрудненных аминов, содержащих хотя бы один 2,2,6,6-тетраметилпиперидиновый радикал.
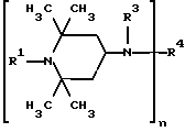
Пространственно затрудненные амины, предпочтительно производные пиперидина, используют, как известно, главным образом в качестве светостабилизаторов. Указанные соединения содержат одну или несколько групп формулы I![]() В эту группу могут входить как соединения с относительно небольшим молекулярным весом (< 700), так и высокомолекулярные соединения. В последнем случае они могут также включать олигомерные или полимерные продукты. К особенно предпочтительным стабилизаторам относятся следующие классы производных тетраметилпиперидина. a) Соединения формулы II ![]() где n означает целое число от 1 до 4, предпочтительно 1 или 2; R1 означает водород, оксигруппу, C1-C12 алкил, C3-C8 алкенил, C3-C8 алкинил, C7-C12 аралкил, C1-C8 алканоил, C3-C5 алкеноил, глицидил, или группу – CH2CH(OH)-Z, где Z означает водород, метил или фенил, причем R1 предпочтительно означает C1-C4 алкил, аллил, бензил, ацетил или акрилоил, а R2, если n равно 1, означает C1-C18 алкил, который не содержит или содержит один или несколько атомов кислорода, цианоэтил, бензил, глицидил, одновалентный радикал алифатической, циклоалифатической, арилзамещенной алифатической, ненасыщенной или ароматической карбоновой кислоты, карбаминовой кислоты или фосфорсодержащей кислоты или одновалентный силильный радикал, предпочтительно радикал карбоновой кислоты алифатического ряда с 2-18 атомами углерода, циклоалифатической карбоновой кислоты с 7-15 атомами углерода, , -ненасыщенной карбоновой кислоты с 3-5 атомами углерода или ароматической карбоновой кислоты с 7-15 атомами углерода; если n имеет значение 2, то R2 означает C1-C12 алкилен, C4-C12 алкенилен, ксилилен, двухвалентный радикал алифатической, циклоалифатической, арилзамещенной алифатической или ароматической дикарбоновой кислоты, дикарбаминовой кислоты или фосфорсодержащей кислоты или двухвалентный силильный радикал, предпочтительно радикал дикарбоновой кислоты алифатического ряда с 2-36 атомами углерода, циклоалифатической или ароматической дикарбоновой кислоты с 8-14 атомами углерода или алифатической циклоалифатической или ароматической дикарбаминовой кислоты с 8 – 14 атомами углерода; если n имеет значение 3, то R2 означает трехвалентный радикал алифатической, циклоалифатической или ароматической трикарбоновой кислоты, ароматической трикарбаминовой кислоты или фосфорсодержащей кислоты или трехвалентный силильный радикал, и если n имеет значение 4, то R2 означает четырехвалентный радикал алифатической, циклоалифатической или ароматической тетракарбоновой кислоты.
В качестве любого из C1-C12 алкильных заместителей может быть, например, метил, этил, н-пропил, н-бутил, втор-бутил, трет-бутил, н-гексил, н-октил, 2-этилгексил, н-нонил, н-децил, н-ундецил или н-додецил.
В качестве C1-C18 алкильной группы R2 могут выступать, например, вышеуказанные группы, а также н-тридецил, н-тетрадецил, н-гексадецил или н-октадецил.
В качестве C3-C8 алкенильной группы R1 может быть, например, 1-пропенил, аллил, металлил, 2-бутенил, 2-пентенил, 2-гексенил,2-октенил или 4-трет-бутил-2-бутенил.
К C3-C8 алкинильной группы R1 предпочтительно относится пропаргил.
В качестве C7-C12 аралкильной группы R1 может быть, например, фенетил и предпочтительно бензил.
В качестве C1-C8 алканоильной группы R1 может быть, например, формил, пропионил, бутирил, октаноил, но предпочтительно ацетил, а в качестве C3-C5 алкеноильной группы может выступать, в частности, акрилоил.
Если R2 означает одновалентный радикал карбоновой кислоты, то он может быть представлен, например, ацетилом, капроилом, стеароилом, акрилоилом, метакрилоилом, бензоилом или -(3,5-ди-трет-бутил-4-гидроксифенил) пропионилом.
Если R2 означает двухвалентный радикал дикарбоновой кислоты, то он может быть представлен, например, малонилом, сукцинилом, глутарилом, адипоилом, субероилом, себакоилом, малеоилом, фталоилом, дибутилмалонилом, дибензилмалонилом, бутил (3,5-ди- трет-бутил-4-гидроксибензил) малонилом или бициклогептендикарбонилом.
Если R2 означает трехвалентный радикал трикарбоновой кислоты, то он может быть представлен, например, тримеллитильной или нитрилтриацетильной группой.
Если R2 означает четырехвалентный радикал тетракарбоновой кислоты, то он может быть, например, четырехвалентный радикал бутан-1,2,3,4-тетракарбоновой или пиромеллитовой кислоты.
Если R2 означает двухвалентный радикал дикарбаминовой кислоты, то он может быть, например, гексаметилендикарбамоильная или 2,4-толилендикарбамоильная группа.
В качестве примеров полиалкилпиперидиновых производных этого класса можно привести следующие соединения.
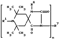
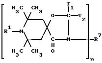
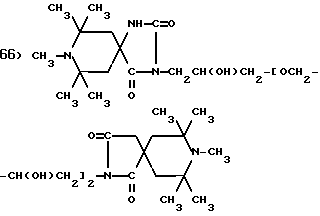
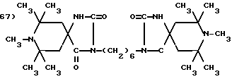
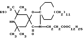
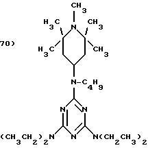
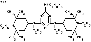
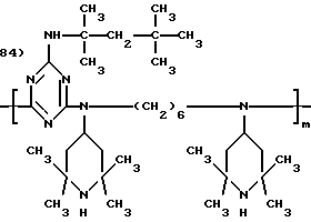
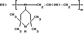
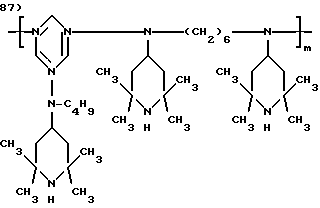
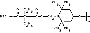
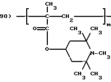
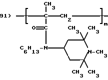
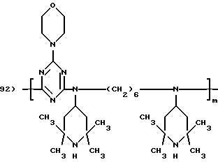
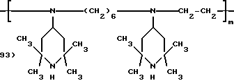
1) 4-гидрокси-2,2,6,6-тетраметилпиперидин2) 1-аллил-4-гидрокси-2,2,6,6-тетраметилпиперидин 3) 1-бензил-4-гидрокси-2,2,6,6-тетраметилпиперидин 4) 1-(4-трет-бутил-2-бутенил)-4-гидрокси-2,2,6,6- тетраметилпиперидин 5) 4-стеароилокси-2,2,6,6-тетраметилпиперидин 6) 1-этил-4-салицилоилокси-2,2,6,6-тетраметилпиперидин 7) 4-метакрилоилокси-1,2,2,6,6-пентаметилпиперидин 8) 1,2,2,6,6-пентаметилпиперидин-4-ил -(3,5-ди-трет-бутил-4- гидроксифенил)пропионат9) ди(1-бензил-2,2,6,6-тетраметилпиперидин-4-ил)малеат 10) ди(2,2,6,6-тетраметилпиперидин-4-ил)сукцинат 11) ди(2,2,6,6-тетраметилпиперидин-4-ил)глутарат 12) ди(2,2,6,6-тетраметилпиперидин-4-ил)адипат 13) ди(2,2,6,6-тетраметилпиперидин-4-ил)себацинат 14) ди(1,2,2,6,6-пентаметилпиперидин-4-ил)себацинат 15) ди(1,2,3,6-тетраметил-2,6-диэтилпиперидин-4-ил)себацинат 16) ди(1-аллил-2,2,6,6-тетраметилпиперидин-4-ил)фталат 17) 1-пропаргил-4- -цианоэтилокси-2,2,6,6-тетраметилпиперидин18) 1-ацетил-2,2,6,6-тетраметилпиперидин-4-ил-ацетат 19) три(2,2,6,6-тетраметилпиперидин-4-ил)тримеллитат 20) 1-акрилоил-4-бензилокси-2,2,6,6-тетраметилпиперидин 21) ди(2,2,6,6-тетраметилпиперидин-4-ил)диэтилмалонат 22) ди(1,2,2,6,6-пентаметилпиперидин-4-ил)дибутилмалонат 23) ди(1,2,2,6,6-пентаметилпиперидин-4-ил)бутил(3,5-ди-трет-бутил- 4-гидроксибензил)малонат 24) ди(1,2,2,6,6-пентаметилпиперидин-4-ил)дибензилмалонат 25) ди(1,2,3,6-тетраметил-2,6-диэтилпиперидин-4-ил)дибензилмалонат 26) гексан-1′, 6′-бис(4-карбамоилокси-1-н-бутил-2,2,6,6- тетраметилпиперидин) 27) толуол-2′, 4′-бис(4-карбамоилокси-1-н-пропил-2,2,6,6- тетраметилпиперидин) 28) диметилбис(2,2,6,6-тетраметилпиперидин-4-окси)силан 29) фенилтрис(2,2,6,6-тетраметилпиперидин-4-окси)силан 30) трис(1-пропил-2,2,6,6-тетраметилпиперидин-4-ил)фосфит 31) трис(1-пропил-2,2,6,6-тетраметилпиперидин-4-ил)фосфат 32) фенилбис-(1,2,2,6,6-пентаметилпиперидин-4-ил)фосфонат 33) 4-гидрокси-1,2,2,6,6-пентаметилпиперидин 34) 4-гидрокси-N-гидроксиэтил-2,2,6,6-тетраметилпиперидин 35) 4-гидрокси-N-(2-гидроксипропил)-2,2,6,6-тетраметилпиперидин 36) 1-глицидил-4-гидрокси-2,2,6,6-тетраметилпиперидин и) Соединения формулы (III) ![]() где n равно 1 или 2 R1 имеет значения, указанные в пункте а), R3 означает водород, C1-C12 алкил, C2-C5 гидроксиалкил, C5-C7 циклоалкил, C7-C8 аралкил, C2-C18 алканоил, C3-C5 алкеноил или бензоил, а R4, если n равно 1, означает водород, C1-C18 алкил, C3-C8 алкенил, C5-C7 циклоалкил, C1-C4алкил, замещенный гидроксильной, циано- алкоксикарбонильной или карбамидной группой, глицидил, группу формулы -CH2-CH(OH)-Z или – CONH-Z, где Z означает водород, метил или фенил; если n имеет значение 2, то R4 означает C2-C12 алкилен, C6-C12 арилен, ксилилен, группу – CH2-CH(OH)-CH2-, или группу -CH2-CH(OH)-CH2-O-D-O, где D означает C2-C10алкилен, C6-C15 арилен или C6-C12 циклоалкилен, или при условии, что R3 означает алканоил, алкеноил или бензоил, R4 может представлять либо двухвалентный радикал алифатической, циклоалифатической или ароматической дикарбоновой кислоты или дикарбаминовой кислоты, либо группу -CO-, или если n равно 1, то R3 и R4 в комбинации друг с другом могут означать двухвалентный радикал алифатической, циклоалифатической или ароматической 1,2- или 1,3-дикарбоновой кислоты. Любой из C1-C12– или C1-C18 алкильных заместителей имеет значения, указанные выше в пункте а). В качестве любого из C5-C7 циклоакильных заместителей может быть, предпочтительно, циклогексил. В качестве C7-C8 аралкильной группы R3 может быть, в частности, фенилэтил или предпочтительно бензил. В качестве C2-C5 гидроксиалкильной группы R3 может быть, например, 2-гидроксиэтил или 2-гидроксипропил. В качестве C2-C18 алканоильной группы R3 может быть, например, пропионил, бутирил, октаноил, додеканоил, гексадеканоил, октадеканоил, но предпочтительно ацетил, а в качестве C3-C5 алкеноильной группы можно указать, в частности, акрилоил. В качестве C2-C8 алкенильной группы R4 может быть, например, аллил, металлил, 2-бутенил-2-пентенил, 2-гексенил или 2-октенил. В качестве гидроксил-, циано-, алкоксикарбонил- или карбамидзамещенной C1-C4 алкильной группы R4 может быть, например, 2-гидроксиэтил, 2-гидроксипропил, 2-цианоэтил, метоксикарбонилметил, 2-этоксикарбонилэтил, 2-аминокарбонилпропил или 2-(диметиламинокарбонил) этил. В качестве любого из C2-C12 алкиленовых заместителей может быть, например, этилен, пропилен, 2,2-диметилпропилен, тетраметилен, гексаметилен, октаметилен, декаметилен или додекаметилен. В качестве любого из C6-C15 ариленовых заместителей может быть, например, орто-мета- или пара-фенилен, 1,4-нафтилен или 4,4′-дифенилен. В качестве C6-C12 циклоалкиленовой группы радикала D можно указать, в частности, циклогексилен. В качестве примера полиалкилпиперидиновых производных этого класса можно указать следующие соединения. 37) N,N’-бис(2,2,6,6-тетраметилпиперидин-4-ил)-гексаметилен-1, 6-диамин 38) N,N’-бис(2,2,6,6-тетраметилпиперидин-4-ил)-гексаметилен-1, 6-диацетамид 39) 1-ацетил-4(N-циклогексилацетамидо)-2,2,6,6-тетраметилпиперидин 40) 4-бензоиламино-2,2,6,6-тетраметилпиперидин 41) N,N’-бис(2,2,6,6-тетраметилпиперидин-4-ил)-N,N’-дибутиладипамид 42) N, N’-бис(2,2,6,6-тетраметилпиперидин-4-ил)-N,N’- дициклогексил-2-гидроксипропилен-1,3-диамин 43) N,N’-бис(2,2,6,6-тетраметилпиперидин-4-ил)-пара-ксилилендиамин 44) N,N’-бис(2,2,6,6-тетраметилпиперидин-4-ил)сукцинамид 45) ди(2,2,6,6-тетраметилпиперидин-4-ил)N-(2,2,6,6- тeтpaмeтилпипepидин-4-ил) – – аминoпpoпиoнaт46) соединение формулы ![]() 47) 4-(бис-2-гидроксиэтиламино)-1,2,2,6,6-пентаметилпиперидин 48) 4-(3-метил-4-гидрокси-5-трет-бутилбензамидо)-2,2,6,6- тетраметилпиперидин 49) 4-метакриламидо-1,2,2,6,6-пентаметилпиперидин c) Соединения формулы (IV) ![]() где n равно 1 или 2, R1 имеет значения, указанные в пункте a), R5, если n равно 1, означает C2-C8 алкилен, C2-C8 гидроксиалкилен, C4-C22 ацилоксиалкилен, а если n равно 2, R5 означает группу (-CH2)2C(CH2-)2. В качестве C2-C8 алкилена или -гидроксиалкилена R5 может быть, например, этилен, 1-метилэтилен, пропилен, 2-этилпропилен или 2-этил-2-гидроксиметилпропилен. В качестве C4-C22 ацилоксиалкилена R5 может быть, например, 2-этил-2-ацетоксиметилпропилен. В качестве примера полиалкилпиперидиновых производных этого класса можно привести следующие соединения: 50) 9-аза-8,8,10,10-тетраметил-1,5-диоксаспиро[5.5]ундекан 51) 9-аза-8,8,10,10-тетраметил-3-этил-1,5-диоксаспиро[5.5]ундекан 52) 8-аза-2,7,7,8,9,9-гексаметил-1,4-диоксаспиро[4.5]декан 53) 9-аза-3-гидроксиметил-3-этил-8, 8,9,10,10-пентаметил-1,5- диоксаспиро [5.5] ундекан 54) 9-аза-3-этил-3-ацетоксиметил-9-ацетил-8,8,10,10-тетраметил- 1,5-диоксаспиро[5.5]ундекан 55) 2,2,6,6-тетраметилпиперидин-4-спиро-2′-(1′-3′-диоксан) -5′-спиро-5”-(1”, 3”-диоксан)-2”-спиро-4”’-(2”’, 2, ”’,6”’, 6”’-тетраметилпиперидин). d) Соединения формул VA,VB и VC ![]() ![]() ![]() где n равно 1 или 2 R1 имеет значения, указанные в пункте а), R6 означает водород, C1-C12 алкил, аллил, бензил, глицидил или C2-C6 алкоксиалкил, a R7, если n равно 1, означает водород C1-C12 алкил, C3-C5 алкенил, C7-C9 аралкил, C5-C7 циклоалкил, C2-C4 гироксиалкил, C2-C6 алкоксиалкил, C6-C10 арил, глицидил или группу формулы -(CH2)p-COO-Q или – (CH2)p-O-CO-Q, где p равно 1 или 2, a Q означает C1-C4 алкил или фенил; если n равно 2, R7 означает C2-C12 алкилен, C4-C12 алкенилен, C6-C12 арилен, группу формулы -CH2-CH(OH)-CH2O-D-O-CH2– CH(OH)-CH2, где D означает C2-C10 алкилен, C6-C15 арилен, C6-C12 циклоалкилен или группу -CH2– CH(OZ’)-CH2-(OCH2-CH(OZ’) (CH2)2-, где Z’ означает водород, C1-C18 алкил, аллил, бензил, C2-C12 алканоил или бензоил, T1 и T2 каждый по отдельности означает водород, C1-C18 алкил, или незамещенный, либо галоген- или C1-C4-алкилзамещенный C6-C10 арил или C7-C9 аралкил, или T1 и T2 вместе с углеродной связью между ними образует C5-C12 циклоалкановое кольцо. В качестве любого из C1-C12 алкильных заместителей могут быть, например, метил, этил, н-пропил, н-бутил, втор-бутил, трет-бутил, н-гексил, н-октил, 2-этилгексил, н-нонил, н-децил, н-ундецил или н-додецил. В качестве любого из C1-C18 алкильных заместителей могут быть, например, вышеуказанные группы, а также, например, н-тридецил, н-тетрадецил, н-гексадецил или н-октадецил. В качестве любого из C2-C6 алкоксиалкильных заместителей могут быть, например, метоксиметил, этоксиметил, пропоксиметил, трет-бутоксиметил, этоксиэтил, этоксипропил, н- этоксипропил, н-бутоксиэтил, трет-бутоксиэтил, изопропоксиэтил или пропоксипропил. В качестве C3-C5 алкенильной группы R7 может быть, например, 1-пропенил, аллил, металлил, 2-бутенил или 2-пентенил. В качестве C7-C9 аралкильной группы радикалов R7, T1 и T2 могут быть, в частности, фенетил или предпочтительно бензил. Если T1 и T2 вместе с атомом углерода образуют циклоалкановое кольцо, то в качестве примера можно указать циклопентановое, циклогексановое, циклооктановое или циклододекановое кольцо. В качестве C2-C4 гидроксиалкильной группы R7 может быть, например, 2-гидроксиэтил, 2-гидроксипропил, 2-гидроксибутил или 4-гидроксибутил. В качестве C6-C10 арильной группы радикалов R7,T1 и T2 могут быть, например, фенил, незамещенный или галоген- или C1-C4 алкилзамещенный или – нафтил.
В качестве C2-C12 алкилена R7 может быть, например, этилен, пропилен, 2,2-диметилпропилен, тетраметилен, гексаметилен, октаметилен, декаметилен или додекаметилен.
В качестве C4-C12 алкенилена R7 может быть, в частности, 2-бутенилен, 2-пентенилен или З-гексенилен.
В качестве C6-C12 арилена R7 можно указать, например, орто-, мета или пара-фенилен, 1,4-нафтилен или 4,4′-дифенилен.
В качестве C2-C12 алканоила радикала Z’ может быть, например, пропионил, бутирил, окатаноил, додеканоил, предпочтительно ацетил.
C2-C10 алкилен, C6-C15 арилен или C6-C12 циклоалкилен радикала D имеют значения, указанные в пункте b).
В качестве полиалкилпиперидиновых производных этого класса можно указать следующие соединения.
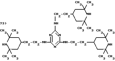
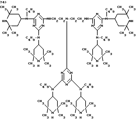
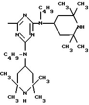
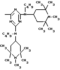
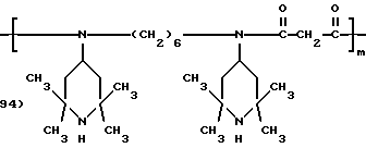
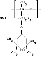
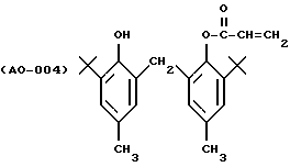
56) 3-бензил-1,3,8-триаза-7,7,9,9-тетраметилспиро[4.5]-декан-2,4- дион57) 3-н-октил-1,3,8-триаза-7,7,9,9-тетраметилспиро[4.5]-декан-2,4- дион 58) 3-аллил-1,3,8-триаза-1,7,7,9,9-пентаметилспиро[4.5]-декан-2,4- дион 59) 3-глицидил-1,3,8-триаза-7,7,8,9,9-пентаметилспиро[4.5]-декан- 2,4-дион 60) 1,3,7,7,8,9,9-гептаметил-1,3,8-триазаспиро[4.5]-Декан-2,4-дион 61) 2-изопропил-7,7,9,9-тетраметил-1-окса-3,8-диаза-4-оксоспиро [4.5]-декан 62) 2,2-дибутил-7,7,9,9-тетраметил-1-окса-3,8-диаза-4-оксоспиро [4.5]-декан 63) 2,2,4,4-тетраметил-7-окса-3,20-диаза-21-оксодиспиро [5.1.11.2]-генейкозан 64) 2-бутил-7,7,9,9-тетраметил-1-окса-4,8-диаза-3-оксоспиро [4.5]-декан 65) 8-ацетил-3-додецил-1,3,8-триаза-7,7,9,9-тетраметилспиро [4.5]-декан-2,4-дион или соединения, представленные следующими формулами: ![]() ![]() ![]() ![]() е) Соединения формулы VI ![]() где n равно 1 или 2, a R8 означает группу формулы ![]() где R1 имеет значения, указанные в пункте a), E означает -О- или – NR11-, A означает C2-C6 алкилен или -(CH2)3-O- и x равно 0 или 1, R9 имеет значения, указанные для R8, или означает группы – NR11R12,-OR13, -NHCH2OR13, -NHCH2OR13 и -N(CH2OR13)2, R10, если n= 1, имеет значения, указанные для R8 или R9, а если n=2, означают группу -E-B-E, где B означает C2-C6 алкилен, не содержащий или содержащий в цепи группу -N(R11)-, R11 означает C1-C12 алкил, циклогексил, бензил или C1-C4 гидроксиалкил или группу формулы ![]() R12 означает C1-C12 алкил, циклогексил, бензил или C1-C4 гидроксиалкил и R13 означает водород, C1-C12 алкил или фенил, или R11 и R12, взятые вместе, означают C4-C5 алкилен или – оксаалкилен, например, или группу формулы, ![]() или в альтернативном варианте R11 и R12, каждый по отдельности, означает группу формулы ![]() В качестве любого из C1-C12 алкильного заместителя могут быть, например, метил, этил, н-пропил, н-бутил, втор-бутил, трет-бутил, н-гексил, н-октил, 2-этилгексил, н-нонил, н-децил, н-ундецил или н-додецил. В качестве любого из C1-C4 гидроксиалкильного заместителя могут быть, например, 2-гидроксиэтил, 2-гидроксипропил, 3-гидрокспропил, 2-гидроксибутил или 4-гидроксибутил. В качестве C2-C6 алкилена радикала A могут быть, например, этилен, пропилен, 2,2-диметилпропилен, тетраметилен или гексаметилен. В качестве C4-C5 алкилена или – оксаалкилена R11 и R12, взятых вместе, могут быть, например, тетраметилен, пентаметилен или 3-оксапентаметилен. К примерам полиакрилпиперидиновых производных этого класса относятся соединения, представленные следующими формулами ![]() ![]() ![]() ![]() ![]() ![]() где R = ![]() ![]() где R = ![]() ![]() где R = ![]() ![]() ![]() ![]() f) Олигомерные или полимерные соединения, повторяющиеся звенья макромолекулы которых содержат один или несколько 2,2,6,6- тетраалкилпиперидиновых радикалов формулы (I), в частности сложные полиэфиры, простые полиэфиры, полиамиды, полиамины, полиуретаны, полимочевины, полиаминотриазины, полиметакрилаты и полиакрилаты, полисилоксаны, полиметакриламиды и полиакриламиды и их сополимеры, содержащие такие радикалы. В качестве примеров светостабилизаторов на основе 2,2,6,6-тетраалкилпиперидиновых производных этого класса можно указать соединения следующих формул, где m равно от 2 до примерно 200. ![]() ![]() ![]() ![]() ![]() ![]() ![]() ![]() ![]() ![]() ![]() ![]() ![]() ![]() ![]() ![]() где R = ![]() где R’ = ![]() из этих классов наиболее пригодны по пунктам e) и f), в частности, тетраалкилпиперидины, содержащие s-триазиновые группы. Соединения 74, 76, 84, 87, 92 и 95 также подходят более всего. Используемое количество пространственно затрудненного амина, предпочтительно тетраметилпиперидинового соединения, меняется в зависимости от предназначаемой цели использования гранулированных добавок к пластмассе; целесообразно, чтобы содержание пространственно затрудненного амина в грануляте составляло от 0 до 90 мас.%, предпочтительно от 20 до 70 мас.%. Антиоксиданты на основе соединений типа пространственно затрудненных фенолов общеизвестны как противоокислители органических материалов и их часто используют для стабилизации полимеров. Предпочтительно, чтобы эти соединения содержали по меньшей мере одну группу формулы (X) ![]() где R’ означает водород, метил или трет-бутил; а R” означает незамещенный или замещенный алкил или замещенный алкилтиоалкил. Особое предпочтение отдают соединениям, содержащим по меньшей мере одну группу формулы ![]() где R’ означает метил или трет-бутил, а R” означает незамещенный или замещенный алкил или замещенный алкилтиоалкил. К примерам таких антиоксидантов на основе фенолов относятся следующие соединения: 1. Алкилированные монофенолы, например 2,6-ди-трет-бутил-4- метилфенол, 2-бутил-4,6-диметилфенол, 2,6-ди-трет-бутил-4- этилфенол, 2,6-ди-трет-бутил-4-н-бутилфенол, 2,6-ди-трет-бутил-4- изобутилфенол, 2,6-дициклопентил-4-метилфенол, 2-(а- метилциклогексил)-4,6-диметилфенол, 2,6-диоктадецил-4- метилфенол, 2,4,6-трициклогексилфенол, 2,6-ди-трет-бутил-4- метоксиметилфенол, 2,6-динонил-4-метилфенол, 2,4-диметил-6-(1′ -метилундец-1′-ил) фенол, 2,4-диметил-6-(1′- метилгептадец-1′-ил) фенол, 2,4-диметил-6-(1′-метилтридец-1′ -ил)фенол и их смеси. 2. Алкилтиометилфенолы, например 2,4-диоктилтиометил-6-трет- бутилфенол, 2,4-диоктилтиометил-6-метилфенол, 2,4-диоктилтиометил-6- этилфенол, 2,6-ди-додецилтиометил-4-нонилфенол. 3. Гидрохиноны и алкилированные гидрохиноны, например 2,6-ди-трет-бутил-4-метоксифенол, 2,5, -ди-трет-бутил-гидрохинон, 2,5-ди-трет-амилгидрохинон, 2,6-дифенил-4-октадецилоксифенол, 2,6-ди-трет-бутилгидрохинон, 2,5-ди-трет-бутил-4-гидроксианизол, 3,5-ди-трет-бутил-4-гидроксианизол, 3,5-ди-трет-бутил-4- гидроксифенилстеарат, бис-(3,5-ди-трет-бутил-4-гидроксифенил) адипат. 4. Токоферолы, например – токоферол, – токоферол, – токоферол, – токоферол и их смеси (витамин E)5. Гидроксилированные тиодифениловые простые эфиры, например 2,2′-тиобис(6-трет-бутил-4-метилфенол), 2,2′-тиобис (4-октилфенол), 4,4′-тиобис-(6-трет-бутил-3-метилфенол), 4,4′ -тиобис-(6-трет-бутил-2-метилфенол), 4,4′-тиобис-(3,6-ди- втор-амилфенол), 4,4′-бис-(2,6-диметил-4-гидроксифенил)дисульфид. 6. Алкилиденбисфенолы, например 2,2′-метиленбис(6-трет- бутил-4-метилфенол), 2,2′-метиленбис(6-трет-бутил-4-этилфенол), 2,2′-метиленбис[4-метил-6-( -метилциклогексил)фенол] , 2,2′- метиленбис(4-метил-6-циклогексилфенол), 2,2′-метилен-бис(6- нонил-4-метилфенол), 2,2′-метиленбис(4,6-дитрет-бутилфенол), 2,2′-этилиден-бис-(4,6-дитрет-бутилфенол), 2,2′-этилиденбис(6- трет-бутил-4-изобутилфенол), 2,2′-метиленбис[6 -( – метилбензил)-4-нонилфенол] , 2,2′-метиленбис[6 -( , ,- диметилбензил)-4-нонилфенол], 4,4′-метиленбис(2,6-ди-трет- бутилфенол), 4,4′-метиленбис(6-трет-бутил-2-метилфенол), 1,1-бис (5-трет-бутил-4-гидрокси-2-метилфенил) бутан, 2,6-бис (3-трет- бутил-5-метил-2-гидроксибензил)-4-метилфенол, 1,1,3-трис(5- трет-бутил-4-гидрокси-2-метилфенил)бутан, 1,1-бис(5-трет-бутил- 4-гидрокси-2-метилфенил) З-н-додецилмеркаптобутан, этиленгликоль- бис-[3,3-бис (3′-трет-бутил-4′-гидроксифенил)бутират] , бис (3-трет-бутил-4-гидрокси-5-метилфенил)дициклопентадиен, бис [2- (3′-трет-бутил-2′-гидрокси-5′-метилбензил-6-трет-бутил-4- метилфенил] терефталат, 1,1-бис-(3,5-диметил-2-гидроксифенил) бутан, 2,2-бис-(3,5-ди-трет-бутил-4-гидроксифенил)пропан, 2,2-бис-(5-трет-бутил-4-гидрокси-2-метилфенил)-4-н- додецилмеркаптобутан, 1,1,5,5-тетра-(5-трет-бутил-4-гидрокси- 2-метилфенил)пентан.
7. О-, N- и S-содержащие бензильные соединения, например 3,5, 3′,5′-тетра-трет-бутил-4,4′-дигидроксидибензиловый эфир, октадецил-4-гидрокси-3,5-диметилбензилмеркаптоацетат, трис(3, 5-ди-трет-бутил-4-гидроксибензил) амин, бис- (4-трет-бутил-3-гидрокси-2,6-диметилбензил)дитиотерефталат, бис (3,5-ди-трет-бутил-4-гидроксибензил)сульфид, изооктил-3,5-ди-трет-бутил-4-гидроксибензилмеркаптоацетат.
8. Гидроксибензилированные малонаты, например диоктадецил- 2,2-бис-(3,5-ди-трет-бутил-2-гидроксибензил)малонат, диоктадецил-2-(3-трет-бутил-4-гидрокси-5-метилбензил)малонат, дидодецилмеркаптоэтил-2,2-бис-(3,5-ди-трет-бутил-4- гидроксибензил)малонат, ди-[4-(1,1,3,3,-тетраметилбутил)фенил] -2,2-бис(3,5-ди-трет-бутил-4-гидроксибензил)малонат.
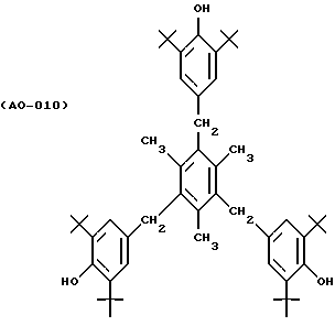
9. Ароматические гидроксибензильные соединения, например 1,3, 5-трис-(3,5-ди-трет-бутил-4-гидроксибензил)-2,4,6- триметилбензол, 1,4-бис(3,5-ди-трет-бутил-4-гидроксибензил)-2, 3,5,6-тетраметилбензол, 2,4,6-трис-(3,5-ди-трет-бутил-4- гидроксибензил) фенол.
10. Триазиновые соединения, например 2,4-бисоктилмеркапто-6- (3,5-ди-трет-бутил-4-гидроксианилино)-1,3,5-триазин, 2-октилмеркапто-4,6-бис(3,5-ди-трет-бутил-4-гидроксианилино)-1, 3,5-триазин, 2-октилмеркапто-4,6-бис(3,5- ди-трет-бутил-4-гидроксифенокси)-1,3,5-триазин, 2,4,6-трис- (3,5-ди-трет-бутил-4-гидроксифенокси)-1,2,3-триазин, 1,3,5- трис-(3,5-ди-трет-бутил-4-гидроксибензил)изоцианурат, 1,3,5- трис-(4-трет-бутил-3-гидрокси-2,6-диметилбензил)изоцианурат, 2,4,6-трис(3,5-ди-трет-бутил-4-гидроксифенилэтил)-1,3,5- триазин, 1,3,5-трис-(3,5-ди-трет-бутил-4- гидроксифенилпропионил)-гексагидро-1,3,5-триазин, 1,3,5-трис (3,5-дициклогексил-4-гидроксибензил)изоцианурат.
11. Бензилфосфонаты, например диметил-2,5-ди-трет-бутил-4- гидроксибензилфосфонат, диэтил-3,5-ди-трет-бутил-4- гидроксибензилфосфонат, диоктадецил-3,5-ди-трет-бутил-4- гидроксибензилфосфонат, диоктадецил-5-трет-бутил-4-гидрокси-3- метилбензилфосфонат, кальциевая соль сложного моноэтилового эфира 3,5-ди-трет-бутил-4-гидроксибензилфосфоновой кислоты.
12. Ациламинофенолы, например 4-гидроксилауранилид, 4-гидроксистеаранилид, октил-N-[3,5-ди-трет-бутил-4-гидроксифенил) карбамат.
13. Сложные эфиры – (3,5-ди-трет-бутил-4-гидроксифенил)- пропионовой кислоты с одно или многоатомными спиртами, например с метанолом, этанолом, октанолом, октадеканолом, 1,6- гександиолом, 1,9-нонандиолом, этиленгликолем, 1,2-пропандиолом, неопентилгликолем, тиодиэтиленгликолем, диэтиленгликолем, триэтиленгликолем, пентаэритритолом, трис (гидроксиэтил)изоциануратом, N, N’-бис-(гидроксиэтил)оксамидом, 3-тиаундеканолом, 3-тиапентадеканолом, триметилгександиолом, триметилолпропаном, 4-гидроксиметил-1-фосфа-2,6,7-триоксабицикло [2.2.2]-октаном.
14. Сложные эфиры -(5-трет-бутил-4-гидрокси-3) метилфенилпропионовой кислоты с одноатомными или многоатомными спиртами, например с метанолом, этанолом, октанолом, октадеканолом, 1,6-гександиолом, 1,9-нонандиолом, этиленгликолем, 1,2-пропандиолом, неопентилгликолем, тиодиэтиленгликолем, диэтиленгликолем, триэтиленгликолем, пентаэритритолом, трис (гидроксиэтил)изоциануратом, N,N’-бис(гидроксиэтил)оксаламилом, 3-тиаундеканолом, 3-тиапентадеканолом, триметилгександиолом, триметилолпропаном, 4-гидроксиметил-1-фосфа-2,6,7-триоксабицикло [2.2.2]октаном.
15. Сложные эфиры – (3, 5-дициклогексил-4-гидроксифенил) пропионовой кислоты с одно- или многоатомными спиртами, например с метанолом, этанолом, октанолом, октадеканолом, 1,6-гександиолом, 1,9-нонандиолом, этиленгликолем, 1,2-пропандиолом, неопентилгликолем, тиодиэтиленгликолем, диэтиленгликолем, триэтиленгликолем, пентаэритритом, трис(гидроксиэтил)-изоциануратом, N,N’-бис(гидроксиэтил)оксаламидом, З-тиаундеканолом, 3-тиапентадеканолом, триметилгександиолом, триметилолпропаном, 4-гидроксиметил-1-фосфа-2,6,7-триоксабицикло[2.2.2.]октаном.
16. Сложные эфиры 3,5-ди-трет-бутил-4-гидроксифенилуксусной кислоты с одно- или многоатомными спиртами, например с метанолом, этанолом, октанолом, октадеканолом, 1,6-гександиолом, 1,9-нонандиолом, этиленгликолем, 1,2-пропандиолом, неопентилгликолем, тиодиэтиленгликолем, диэтиленгликолем, триэтиленгликолем, пентаэритритом, трис(гидроксиэтил)изоциануратом, N, N’- бис(гидроксиэтил)оксаламидом, 3-тиаундеканолом, 3-тиапентадеканолом, триметилгександиолом, триметилолпропаном, 4-гидроксиметил-1-фосфа-2,6,7-триоксабицикло[2.2.2]октаном.
17. Амиды альфа-(3,5-ди-трет-бутил-4-гидроксифенил) пропионовой кислоты, например N,N’-бис-(3,5-ди-трет-бутил-4-гидроксифенилпропионил) гексаметилендиамин, N, N’-бис(3,5-ди-трет-бутил-4-гидроксифенилпропионил) триметилендиамин, N,N’-бис(3,5-ди-тpeт-бутил-4-гидроксифенилпропионил) гидразин.
Предпочтительно использование антиоксидантов, приведенным выше в пунктах 7, 9, 10, 13, 14, 15 и 17, особенно по пунктам 7, 9, 10 и 13; наиболее предпочтительны сложные эфиры – (3,5-ди- трет-бутил-4-гидроксифенил) пропионовой кислоты октанола и октадеканола, а также тетракис[3-(3,5-ди-трет-бутил-4- гидроксифенил)пропионилоксиметил] метан. Наибольшее предпочтение отдают тетракис[3-(3,5-ди-трет-бутил-4-гидроксифенил) пропионилоксиметил] метану.
К другим особенно предпочтительным антиоксидантам относятся следующие соединения:![]() { 2-(1,1-диметилэтил)-6[[3-(1,1-диметилэтил)-2-гидрокси-5- метилфенил] метил] -4-метилфенил 2-пропеонат}; ![]() {1,6-гександиил 3,5-бис(1,1-диметилэтил)-4- гидроксифенилпропаноат}; ![]() { 1,2-этандиилбис(окси-2,1-этандиил) 3-(1,1-диметилэтил) -4-гидрокси-5-метилфенилпропаноат}; ![]() {2-метил-4,6-ди[(октилтио)метил]фенол}; ![]() {2,2′-этилиденбис(4,6-ди-трет-бутилфенол}; ![]() {тиоди-2,1-этандиил бис-3,5-ди(1,1-диметил)-4-гидроксифенилпропаноат}; ![]() { 4,4′, 4”-[(2,4,6-триметил-1,3,5-фенилтриил)трис)метилен)] трис[2,6-бис(1,1-диметилэтил)фенол}; ![]() (1,3,5-трис[[3,5-бис(1,1-диметилэтил)-4-гидроксифенил] метил] -1,3,5-триазин-2,4,6(1H,ЗH,5H)-трион}. Используемое количество антиоксидантов типа пространственно затрудненного фенола меняется в зависимости от предназначаемой цели использования гранулированных добавок к пластмассе; гранулы могут содержать в своем составе от 0 до 90 мас.%, предпочтительно от 3 до 60 мас.% антиоксиданта типа пространственно затрудненного фенола. Синфосфиты и фосфониты также общеизвестны специалистам как стабилизаторы пластмасс. Их используют, в частности, в качестве стабилизаторов технологических свойств полиолефинов. С этой целью преимущественно используют ароматические фосфиты и фосфониты, например трифенилфосфит, дифенилалкилфосфиты, фенилдиалкилфосфиты, трис(дифенилалкилфосфит)амины, трис(нонилфенил)фосфит, трилаурилфосфит, триоктадецилфосфит, дистеарилпентаэритритилдифосфит, трис(2,4-ди-трет-бутилфенил) фосфит, дистеарипентаэритритилдифосфит, бис(2,4-ди-трет- бутилфенил)-пентаэритритилдифосфит, тристеарилсорбитилтрифосфит, тетракис (2,4-ди-трет-бутилфенил)-4,4′-дифенилендифосфонит, 3,9-бис(2,4-ди-трет-бутил-4-метилфенокси-2,4,8,10-тетраокса- 3,9-дифосфаспиро[5.5] ундекан, 3,9-трис(2,4,6-трис-трет- бутилфенокси)-2,4,8,10-тетраокса-3,9-дифосфаспиро[5.5] ундекан и 2,2′-этиленбис(4,6-ди-трет-бутилфенил) фторофосфит. Особенно предпочтительны следующие фосфиты: (P-001) трис (2,4-ди-трет-бутилфенил)фосфит; ![]() ![]() ![]() ![]() ![]() ![]() ![]() ![]() Наибольшее предпочтение отдают трис(2,4-ди-трет-бутилфенил) фосфиту. Используемое количество фосфитов и фосфонитов меняется в зависимости от предназначаемой цели использования гранулированных добавок к пластмассе; гранулы могут содержать в своем составе от 0 до 90 мас.%, предпочтительно от 3 до 70 мас.% фосфитов и фосфонитов. Кроме пространственно затрудненного фенола в состав гранулированных комбинированных добавок входят также любой органический фосфит или фосфонит. Предпочтительно, чтобы в состав смесей входили предпочтительные соединения из класса пространственно затрудненного фенола и органического фосфита или фосфонита, о которых говорилось выше; например, смесь октанола или октадеканола – (3,5- ди-трет-бутил-4-гидроксифенил)пропионовой кислоты или тетракис[3-(3,5- ди-трет-бутил-4-гидроксифенил)пропионилоксиметил]метана с трис(2,4- ди-трет-бутилфенил) фосфитом. Наибольшее предпочтение отдают смеси из тетракис[3-(3,5-ди-трет-бутил-4-гидроксифенил)пропионилоксиметил] метана и трис(2,4-ди-трет-бутилфенил) фосфита. Весовое соотношение в смеси пространственно затрудненного фенола и фосфита и фосфонита предпочтительно составляет от 20:1 до 1:20, особенно предпочтительно от 10:1 до 1:10 и наиболее предпочтительно от 4:1 до 1:4.
К соединениям из группы, состоящей из гидроталькитов, карбонатов металла и оксидов металла, которые можно использовать в соответствии с предлагаемым изобретением, относятся как природные минералы, так и синтетические соединения.
Соединения группы талькитов могут быть представлены следующей общей формулой (X)M1-x2+ Mx3+ (OH)2 (An-)x/n mH2Oгде M2+ = Mg2+, Ca2+, Sr2+, Ba2+, Zn2+, Cd2+, Sn2+ и/или Ni2+, M3+ = Al3+, B3+ или Bi3+, An- означает анион с валентностью n, n = 1-4, x = 0-0,5 и m = 0-2. An- означает OH, Cl–, Br–, ClO4–, HCO3–, CH3COO–, C6H5COO–, CO32-, SO42-, , (CHOHCOO)22-, (CHOH)4CH2OHCOO–, C2H4(COO)22-, (CH2COO)22-,CH3CHOHCOO-, SiO32-, SiO44-, Fe(CN)63-, Fe(CN)64- или HPO42-. К другим гидроталькитам, которые можно использовать в предлагаемом способе, относятся соединения общей формулы (Xa) Mx2+Al2(OH)2x+6nz(An-)2 mH2Oгде Xa, M2+ означает по меньшей мере один металл, выбранный из группы элементов Mg и Zn, предпочтительно Mg2+, An- означает анион, например, из группы, состоящей из анион-радикала CO32-, , OH– и S2-,где n – валентность аниона, m – положительное число, предпочтительно от 0,5 до 5, a x и z – положительные числа, предпочтительно от 2 до 6, причем z < 2. Предпочтительно использование имеющихся в продаже гидроталькитов DHT-4A и DHT-4C, которые производит фирма Kyowa Company, Япония. Предпочтение отдают соединениям из группы гидроталькитов общей формулы (X) M1-x2+ Mx3+ (OH)2 (An-)x/n mH2Oгде Mg2+ означает Mg2+ или твердый раствор Mg и Zn, An- означает CO32-, x=0-0,5, m=0-2. Наиболее предпочтительны для использования гидроталькиты, представленные следующими формулами Al2O36MgO CO2 12H2O,Mg4,5Al2(OH)13 CO3 3,5H2O,4MgO Al2O3 CO2 9H2O,4MgO Al2O3 CO2 6H2O,ZnO 3MgO Al2O3 CO2 8-9H2O илиZnO 3MgO Al2O3 CO2 5-6H2OИспользуемое количество гидроталькитов меняется в зависимости от предназначаемой цели использования гранулированных добавок к пластмассе; гранулы могут содержать в своем составе от 0 до 50 мас.%, предпочтительно от 3 до 40 мас.% гидроталькита. В качестве оксидов металла предпочтительно использование оксидов двухвалентных металлов. Особенно предпочтительны оксиды металлов, выбранные из второй главной группы или подгруппы Периодической системы элементов, и предпочтение отдают больше всего оксиду цинка или магния. Используемое количество оксидов металла меняется в зависимости от предназначаемой цели использования гранулированных добавок к пластмассе; гранулы могут содержать в своем составе от 0 до 90 мас.%, предпочтительно от 5 до 60 мас.% оксида металла. В качестве карбонатов металла предпочтительно использование карбонатов двухвалентных металлов. Особенно предпочтительны карбонаты металлов, выбранные из второй главной группы или подгруппы Периодической системы элементов, и предпочтение отдают больше всего карбонату кальция. Используемое количество карбонатов металла меняется в зависимости от предназначаемой цели использования гранулированных добавок к пластмассе; гранулы могут содержать в своем составе от 0 до 90 мас.%, предпочтительно от 5 до 60 мас.% карбоната металла. К металлическому мылу, пригодному для целей предлагаемого изобретения, относится металлическая соль жирной кислоты (за исключением стеарата кальция), где в качестве металла можно использовать, например, элемент, выбранный из главной группы или подгруппы II или олова Периодической системы. В качестве примера можно указать, например, магниевые, оловянные или цинковые соли жирных кислот, выбранные из группы алифатических насыщенных C2-C22 карбоксилатов, алифатических C3-C22 карбоксилатов олефинового ряда, алифатических C2-C22 карбоксилатов, замещенных по меньшей мере одной группой OH, циклических или бициклических C5-C22 карбоксилатов, ароматических C7-C22 карбоксилатов, ароматических C7-C22 карбоксилатов, замещенных по меньшей мере одной группой OH, C1-C16 алкилзамещенных фенилкарбоксилатов и фенилзамещенных C1-C16 алкилкарбоксилатов, при этом предпочтение отдают стеаратам, и лауратам, и бегенатам. К другим металлическим мылам, наиболее предпочтительным для использования, относятся стеарат цинка или стеарат магния. Используемое количество металлического мыла меняется в зависимости от предназначаемой цели использования гранулированных добавок к пластмассе; гранулы могут содержать в своем составе от 0 до 90 мас.%, предпочтительно от 5 до 60 мас.% металлического мыла. К предпочтительным сложным тиоэфирам относятся эфиры – тиодипропионовой кислоты, например сложные лауриловый, миристиловый или тридециловый эфиры, меркаптобензимидазол, цинковая соль 2-меркаптобензимидазола, цинковая соль дибутилдитиокарбаминовой кислоты, диоктадецилдисульфид, пентаэритрит-тетракис ( – додецилмеркапто)пропионат или этиленгликоля бисмеркаптоацетат.
В качестве примеров подходящих замасливателей можно указать монтанный воск, сложные эфиры жирных кислот, воски, содержащие ПЭ, амидные воски, хлоропарафины, сложные эфиры глицерина или мыла щелочноземельных металлов. Предпочтительно также использование смазок, приведенные в справочнике “Plastics additives”, выпущенном под редакцией H.Gachter и H.Muller, Hanser Verlag, 3 издание, 1990, стр.423-480.
Гранулированные добавки могут также содержать в своем составе соединения, выбранные из классов 2-10, которые приводятся ниже.
2. УФ-поглотители и светостабилизаторы2.1. 2-(2′-Гидроксифенил)бензотриазолы, например 2-(2′-гидрокси- 5′-метилфенил)бензотриазол, 2-(3′, 5′-ди-трет-бутил-2′-гидроксифенил) бензотриазол, 2-(5′-трет-бутил-2′-гидроксифенил) бензотриазол, 2-(2′- гидрокси-5′-(1,1,3,3- тетраметилбутил)фенил)бензотриазол, 2-(3′,5′-ди-трет- бутил-2′-гидроксифенил)-5-хлорбензотриазол, 2-(3′-трет- бутил-2′-гидрокси-5′-метилфенил)-5-хлорбензотриазол, 2-(3′ -вторбутил-5′-трет-бутил-2′-гидроксифенил)-бензотриазол, 2- (2′-гидрокси-4′-октилоксифенил)-бензотриазол, 2-(3′, 5′-дитретамил- 2′-гидроксифенил)бензотриазол, 2-(3′,5′-бис -( , – диметилбензил- 2′-гидроксифенил)бензотриазол, смесь 2-(3′-трет-бутил-2′- гидрокси-5′-(2-октилоксикарбонилэтил)фенил)-5- хлорбензотриазол, 2-(3′-трет-бутил-5′-[2-(2- этилгексилокси)-карбонилэтил)] -2′-гидроксифенил-5- хлорбензотриазол, 2-(3′-трет-бутил-2′-гидрокси-5′- (2- метоксикарбонилэтил)фенил)-5-хлорбензотриазол, 2-(3′-трет- бутил-2′-гидрокси-5′-(2-метоксикарбонилэтил)фенил) бензотриазол, 2-(3′-трет-бутил-2′-гидрокси-5′- (2- октилоксикарбонилэтил)фенил)бензотриазол, 2-(3′-трет-бутил-5′ -[2-(2-этилгексилокси)карбонилэтил] -2′-гидроксифенил) бензотриазол, 2-(3′-додецил-2′-гидрокси-5′-метилфенил) бензотриазол и 2-(3′-трет-бутил-2′-гидрокси-5′-(2- изооктилоксикарбонилэтил)фенилбензотриазол, 2,2′-метилен-бис [4-(1,1,3,3-тетраметилбутил)-6-бензотриазол-2-ил)фенол] ; продукт переэтерификации 2-[3′-трет-бутил-5′-(2- метоксикарбонилэтил)-2′-гидроксифенил]-2Н-бензотриазола с полиэтиленгликолем 300; [R-CH2CH2-COO(CH2)3] 2, где R=3′- трет-бутил-4′-гидрокси-5′-2Н-бензотриазол-2-илфенил.
2.2. 2- Гидроксибензофеноны, например 4-гидрокси-, 4-метокси-, 4-октилокси-; 4-децилокси-, 4-додециклокси-, 4-бензилокси-, 4,2′,4′-тригидрокси- и 2′-гидрокси-4, 4-диметоксибензофеноны.
2.3. Сложные эфиры замещенных и незамещенных бензойных кислот, например 4-трет-бутилфенилсалицилат, фенилсалицилат, октилфенилсалицилат, дибензоилрезорцин, бис(4-трет- бутилбензоил)резорцин, бензоилрезорцин, 2,4-ди-трет-бутилфенил- 3,5-ди-трет-бутил-4-гидроксибензоат, гексадецил-3,5-ди-трет-бутил- 4-гидроксибензоат, октадецил-3,5-ди-трет-бутил-4-гидроксибензоат, 2-метил-4,6-ди-трет-бутилфенил-3,5-ди-трет-бутил-4-гидроксибензоат.
2.4. Акрилаты, например этил и изооктил – -циано- , – дифенилакрилат, метил – – карбометоксициннамат, метил- и бутил -циано- – метил-пара- метоксициннамат, метил – – карбометокси-пара-метоксициннамат и N (- -карбометокси- – циановинил)-2-метилиндолин.
2.5. Никельсодержащие соединения, например никелевые комплексы 2, 2′-тио-бис-[4-(1,1,3, З-тетраметилбутил)фенола] , например комплекс никеля, 1:1 или 1:2, с использованием при желании дополнительных лигандов, например как н-бутиламин, триэтаноламин или N-циклогексилдиэтаноламин или без них, дибутилдитиокарбамат никеля, никелевые соли моноалкиловых эфиров, например метилового или этилового эфира 4-гидрокси-3,5-ди-трет-бутилбензилфосфоновой кислоты, никелевые комплексы кетоксимов, например 2-гидрокси-4- метилфенилундецилкетоксима, никелевые комплексы 1-фенил-4-лауроил- 5-гидроксипиразола с дополнительными лигандами или без них.
2.6. Оксамиды, например 4,4′-диоктилоксиоксанилид, 2,2′- диэтоксиоксанилид, 2,2′-диоктилокси-5,5′-ди-трет- бутоксанилид, 2,2′-дидоцецилокси-5,5′-ди-трет-бутоксанилид, 2-этокси-2′-этоксанилид, N,N’-бис(3-диметиламинопропил)оксамид, 2-этокси-5-трет-бутил-2′-этоксанилид и его смесь с 2-этокси-2′- этил-5,4′-ди-трет-бутоксанилидом, смеси, состоящие из орто- и пара-метокси-, а также орто- и пара-этоксидизамещенных оксанилидов.
2.7. 2- (2-Гидроксифенил) -1, 3, 5-триазины, например2,4,6-трис(2-гидрокси-4-октилоксифенил)-1,3,5-триазин, 2-(2-гидрокси-4-октилоксифенил)-4,6-бис(2,4-диметилфенил)- 1,3,5-триазин, 2-(2, 4-дигидроксифенил)-4,6-бис(2,4-диметилфенил)- 1,3,5-триазин, 2,4-бис(2-гидрокси-4-пропилоксифенил)-6-(2,4-диметилфенил)- 1,3,5-триазин, 2-(2-гидрокси-4-октилоксифенил)-4,6-бис(4-метил-фенил)-1,3,5- триазин, 2-(2-гидрокси-4-додецилоксифенил)-4,6-бис(2,4-диметилфенил)- 1,3,5-триазин, 2-[2-гидрокси-4-(2-гидрокси-3-бутилоксипропокси)фенил] -4,6- бис(2,4-диметил)-1,3,5-триазин, 2-[2-гидрокси-4-(2-гидрокси-З-октилоксипропилокси)-фенил] -4,6-бис (2,4-диметил)-1,3,5-триазин. 3. Дезактиваторы металлов, например N,N’-дифенилоксамид, N-салицилаль-N’-салицилоилгидразин, N, N’-бис(салицилоил) -гидразин, N,N’-бис(3,5-ди-трет-бутил-4-гидроксифенилпропионил) -гидразин, 3-салицилоиламино-1,2,4-триазол, бис(бензилиден)-оксалилдигидразид, оксанилид, изофталоилдигидразид, себакоилбисфенилгидразид, N,N’-диацетиладипоилдигидразид, N,N’-бис(салицилоил)оксалилдигидразид, N,N’-бис(салицилоил)- тиопропионилдигидразид. 4. Пероксидные поглотители, например сложные эфиры – тиодипропионовой кислоты, например сложный лауриловый, стеариловый, миристиловый или тридециловый эфиры, меркаптобензимидазол или цинковая соль 2-меркаптобензимидазола, дибутилдитиокарбамат цинка, диоктадецилдисульфид, пентаэритрит- тетракис ( – додецилмеркапто)пропионат.
5. Стабилизаторы полиамидов, например соли меди в комбинации с иодидами и/или соединениями фосфора и солями двухвалентного марганца.
6. Основные совместные стабилизаторы, например меламин, поливинилпирролидон, дициандиамид, триаллилцианурат, производные мочевины, производные гидразина, амины, полиамиды, полиуретаны, соли щелочных и щелочноземельных металлов высших жирных кислот, например стеарат кальция, стеарат цинка, бегенат магния, стеарат магния, рицинолеат натрия и пальмитат калия, пирокатехолят сурьмы или олова.
7. Зародышеобразователи, например 4-трет-бутилбензойная кислота, адипиновая кислота, дифенилуксусная кислота.
8. Наполнители и армирующие агенты, например карбонат кальция, силикаты, стекловолокно, асбест, тальк, каолин, слюда, сульфат бария, окиси и гидроокиси металлов, сажа, графит.
9. Другие добавки, например пластификаторы, замасливатели, эмульгаторы, пигменты, оптические отбеливатели, антипирены, антистатики и вспенивающие агенты.
10. Бензофураноны и индолиноны, например, раскрытые в описании к патенту США US N 4325863, 4338244, 5175312, 5216052,5252643, Германии DE N 4316611, 4316622, 4316876, Европатенту EP N 0589839 или 0591102, или 3-[4-(2-ацетоксиэтокси)фенил] -5,7-ди- трет-бутилбензофуран-2-он, 5,7-ди-трет-бутил-3-[4-(2- стеароилоксиэтокси)фенил]бензофуран-2-он, 3,3′-бис[5,7-ди- трет-бутил-3-[4-[2-гидроксиэтокси] фенил)-бензофуран-2-он] , 5,7-ди-трет-бутил-3-(4-этоксифенил)бензофуран-2-он, 3-(4- ацетокси-3З,5-диметилфенил)-5,7-ди-трет- бутилбензо-фуран-2-он, 3-(3,5-диметил-4-пивалоилоксифенил) -5,7-ди-трет-бутилбeнзoфуpaн-2-oн.
Предлагаемые гранулы пригодны для стабилизации органических полимеров или пластмасс, чувствительных к термической, окислительной или индуцированной светом деструкции. Ниже приведены примеры таких полимеров, однако изобретение не ограничивается этими примерами.
1. Полимеры моноолефинов и диолефинов, например полипропилен, полиизобутилен, полибут-1-ен, поли-4-метилпент-1-ен, полиизопрен или полибутадиен, а также полимеры циклоолефинов, например циклопентена или норборнена, полиэтилен (который может быть сшит), например полиэтилен низкого давления (HDPE), полиэтилен высокого давления (LDPE), линейный полиэтилен высокого давления (LLDPE), разветвленный полиэтилен высокого давления (BLDPE).
Полиолефины, то есть полимеры моноолефинов, приведенные в качестве примера в предыдущем абзаце, предпочтительно полиэтилен и полипропилен, можно получить различными способами и, в частности:a) радикальной полимеризацией (обычно при высоком давлении и повышенных температурах); b) каталитической полимеризацией с использованием катализатора, который обычно содержит один или несколько металлов, выбранных из группы IVb, Vb, Vlb или VIII Периодической системы элементов. Эти металлы, как правило, содержат один или несколько лигандов, в качестве которых выступают обычно оксиды, галогениды, алкоголяты, сложные и простые эфиры, амины, алкилы, алкенилы и/или арилы и которые могут быть как -, так и – координированы. Эти комплексные соединения металлов могут находится как в свободном состоянии, так и нанесены на носители, обычно на носители из активированного хлорида магния, хлорида титана (III), оксида алюминия или оксида кремния. Эти катализаторы могут быть растворимыми или нерастворимыми в полимеризационной среде. Указанные катализаторы можно использовать самостоятельно в реакции полимеризации или их можно использовать вместе с активаторами, обычно металлалкилами, гидридами металлов, металлгалоидалкилами, алкоксидами металлов или алкилоксаны металлов, причем указанные металлы являются элементами групп Ia, IIa и/или IIIa Периодической системы элементов. Указанные активаторы могут быть модифицированы общепринятыми методами с использованием сложноэфирной группы, простой эфирной группы, аминогруппы или силилэфирной группы. Эти каталитические системы общеизвестны как катализаторы фирмы Phillips, фирмы Standard Oil Indiana, Циглера-Натта, TNZ (фирмы Du Font), металлоценовые катализаторы или катализаторы с одним активным центром (SSC).
2. Смеси полимеров, упомянутых в пункте 1.), например смеси полипропилена с полиизобутиленом, полипропилена с полиэтиленом (например, смеси полипропилена с разветвленным полиэтиленом низкого давления (PP/BHDPE), полипропилена с разветвленным полиэтиленом высокого давления (PP/BLDPE) и смеси различных видов полиэтилена, например смеси полиэтилена высокого давления с полиэтиленом низкого давления (LDPE/HDPE).
3. Сополимеры моноолефинов и диолефинов друг с другом или моноолефинов или диолефинов с другими винильными мономерами, например сополимеры этилена и пропилена, линейного полиэтилена высокого давления (LLDPE) и его смесей с полиэтиленом высокого давления (LDPE), сополимеры пропилена и бутена-1, сополимеры пропилена и изобутилена, сополимеры этилена и бутена-1, сополимеры этилена и гексена, сополимеры этилена и метилпентена, сополимеры этилена и гептена, сополимеры этилена и октена, сополимеры пропилена и бутадиена, сополимеры изобутилена и изопрена, сополимеры этилена и алкилакрилата, сополимеры этилена и алкилметакрилата, сополимеры этилена и винилацета, и продукты их сополимеризации с моноокисью углерода, или сополимеры этилена и акриловой кислотой и их солями (иономеры), а также тройные сополимеры этилена-пропилена-диена, например гексадиена, дициклопентадиена, или сополимеры этилена с норборненом; и смеси указанных сополимеров друг с другом и с полимерами, вышеуказанными в пункте 1), например смеси полипропилена с этилен-пропиленовыми сополимерами, этилена высокого давления (LDPE) с этилен- винилацетатными сополимерами (EVA), этилена высокого давления (LDPE) с сополимерами этилена и акриловой кислоты (EAA), LLDPE с EVA, LLDPE с EAA и чередующиеся или статистические сополимеры полиалкилена с моноокисью углерода и их смеси с другими полимерами, например полиамидами.
4. Углеводородные смолы (например, C5-C9), включая их гидрогенизированные модификации (например, вещества для повышения клейкости) и смеси полиалкиленов с крахмалом.
5. Полистирол, поли-(пара-метилстирол), поли -( – метилстирол).
6. Сополимеры стирола или – метилстирола с диенами или производными акриловой кислоты, например сополимеры стирола и бутадиена, стирола и акрилонитрила, стирола и алкилметакрилата, стирола-бутадиена-алкилакрилата, стирола-бутадиена- алкилметакрилата, стирола с малеиновым ангидридом, стирола- акрилонитрила-метилакрилата, смеси ударопрочных сополимеров стирола с другим полимером, например полиакрилата, полидиена или тройного сополимера этилена-пропилена-диена; блок-сополимеры стирола, например стирол-бутадиен-стирольный блок-сополимер, стирол-изопрен-стирольный блок-сополимер, стирол-этилен-бутилен- стирольный блок-сополимер или стирол-этилен-пропилен-стирольный блок-сополимер.
7. Привитые сополимеры стирола или – метилстирола, например сополимеры стирола на полибутадиене, стирола на сополимерах полибутадиена-стирола или полибутадиена-акрилонитрила; стирола и акрилонитрила(или метакрилонитрила) на полибутадиене; стирола, акрилонитрила и метилметакрилата на полибутадиене; стирола и малеинового ангидрида на полибутадиене; стирола, акрилонитрила и малеинового ангидрида или малеинимида на полибутадиене; стирола и малеинимида на полибутадиене; стирола и алкилакрилатов или алкилметакрилатов на полибутадиене; стирола и акрилонитрила на тройных сополимерах этилена-пропилена-диена; стирола и акрилонитрила на полиалкилакрилатах или полиалкилметакрилатах; стирола и акрилонитрила на акрилат-бутадиеновых сополимерах, а также их смеси с сополимерами, перечисленными в пункте (6), например, сополимерные композиции, известные под названием акрилонитрильный бутадиен-стирольный каучук (ABS), метилметакрилат-бутадиен-стирол (MBS), акрилонитрил-стирол- акрилатный каучук (ASA) или акрилонитрил-этилен-стирольный каучук (AES).
8. Галогенсодержащие полимеры, например полихлоропрен, хлорирированные каучуки, хлор- и бромсодержащий сополимер изобутилена и изопрена (галоидбутилкаучук), хлорированный или сульфохлорированный полиэтилен, сополимеры этилена и хлорированного этилена, эпихлоргидриновые гомополимеры и сополимеры, предпочтительно полимеры галогенсодержащих виниловых соединений, например поливинилхлорид, поливинилиденхлорид, поливинилфторид, поливинилиденфторид, а также сополимеры этих соединений, например сополимеры винилхлорида и винилиденхлорида, винилхлорида и винилацетата или винилиденхлорида и винилацетата.
9. Полимеры на основе , – ненасыщенных кислот и их производных, например полиакрилаты и полиметакрилаты, эластофицированные бутилакрилатом полиметилметакрилаты, полиакриламиды и полиакрилонитрилы.
10. Сополимеры мономеров, упомянутых в пункте (9) в комбинации друг с другом и с другими ненасыщенными мономерами, например сополимеры акрилонитрила и бутадиена, сополимеры акрилонитрила и алкилакрилата, сополимеры акрилонитрила и алкоксиалкилакрилата или акрилонитрила и галогенпроизводного винила или тройные сополимеры акрилонитрила-алкилметакрилата и бутадиена.
11. Полимеры на основе ненасыщенных спиртов и аминов или ацильных производных или их ацеталей, например поливиниловый спирт, поливинилацетат, поливинилстеарат, поливинилбензоат, поливинилмалеат, поливинилбутираль, полиаллилфталат или полиаллилмеламин, а также сополимеры этих соединений с олефинами, вышеупомянутыми в пункте 1).
12. Гомополимеры и сополимеры циклических простых эфиров, например полиалкиленгликоли, полиэтиленоксид, полипропиленоксид, или продукты их сополимеризации с бисглицидиловыми простыми эфирами.
13. Полиацетали, например полиоксиметилен и полиоксиметилены, содержащие этиленоксид в качестве сомономера; полиацетали, модифицированные термопластичными полиуретанами, акрилатами или тройным сополимером метилметакрилата-бутадиена и стирола (MBS).
14. Полифениленоксиды и полифениленсульфиды и смеси полифениленоксидов с полистиролом или полиамидами.
15. Полиуретаны, полученные на основе простых полиэфиров с концевыми гидроксильными группами, сложных полиэфиров или полибутадиенов, с одной стороны, и алифатических или ароматических полиизоцианатов, с другой стороны, а также и их предшественники.
16. Полиамиды и сополимеры полиамида, полученные на основе диаминов и дикарбоновых кислот и/или на основе аминокарбоновых кислот или соответствующих лактамов, например полиамид 4, найлон 4, найлон 6, 6/6, 6/10, 6/9, 6/12, 4/6 и 12/12, найлон 11, найлон 12, ароматические полиамиды, образованные из метаксилола, диамина и адипиновой кислоты; полиамиды, полученные на основе гексаметилендиамина и изофталевой и/или терефталевой кислоты с введением эластомера в качестве модификатора или без него, например поли-2,4,4-триметилгексаметилентерефталамид или полиметафениленизофталамид. Блок-сополимеры вышеупомянутых полиамидов с полиолефинами, сополимерами олефинов, иономерами и химически связанными или привитыми эластомерами; или с простыми полиэфирами, например полиэтиленгликолем, полипропиленгликолем или политетраметиленгликолем. Более того полиамиды или сополиамиды, модифицированные тройным этилен-пропиленовым каучуком с диеновым сомономером (EPDM) или акрилонитрильным бутадиен-стирольным каучуком (ABS); и полиамиды, конденсированные в процессе переработки (полиамидные системы RIM).
17. Полимочевины, полиимиды, полиамидоимиды и полибензимидазолы.
18. Сложные полиэфиры на основе дикарбоновых кислот и диолов и/или оксикарбоновых кислот или соответствующих лактонов, например полиэтилентерефталат, полибутилентерефталат, поли-1,4-диметилолциклогексантерефталат и полиоксибензоаты, а также продукты блок-сополимеризации сложных эфиров и простых полиэфироспиртов; и сложные полиэфиры, модифицированные поликарбонатами или тройным сополимером метилметакрилата, бутадиена и стирола (MBS).
19. Поликарбонаты и полиэфирокабонаты.
20. Полисульфоны, полиэфиросульфоны и полиэфирокетоны.
21. Сетчатые полимеры на основе альдегидов, с одной стороны, и фенолов, мочевин и меламинов, с другой стороны, например фенолоформальдегидные, мочевинноформальдегидные и меламиноформальдегидные смолы.
22. Высыхающие и невысыхающие алкидные смолы.
23. Ненасыщенные полиэфиры на основе сополиэфиров насыщенных и ненасыщенных дикарбоновых кислот и многоатомных спиртов и винильных соединений в качестве сшивающих агентов, а также их галоидсодержащие производные с низкой воспламеняемостью.
24. Сшиваемые полиакрилаты, полученные из замещенных акрилатов, например эпоксиакрилатов, уретанакрилатов или полиэфиракрилатов.
25. Алкидные смолы, полиэфирные смолы и акрилатные смолы, сшитые с меламиновыми смолами, мочевинными смолами, полиизоцианатами или эпоксидными смолами.
26. Сшитые эпоксиды, полученные из полиэпоксидов, например из простых бисглицидиловых эфиров или циклоалифатических диэпоксидных соединений.
27. Природные полимеры, например целлюлоза, каучук, желатина и химически модифицированные их гомологи, например ацетаты целлюлозы, пропионаты целлюлозы и бутираты целлюлозы или простые эфиры целлюлозы, например метилцеллюлоза, а также природные канифоли и их производные.
28. Смеси вышеуказанных полимеров (полимерные смеси), например смеси PP и EPDM, полиамида и EPDM, или ABS, PVC и EVA, PVC и ABS, PVC и MBS, PC и ABS, PBTP и ABS, PC и ASA, PC и PBT, PVC и CPE, PVC и акрилатами, POM и термопластичного PUR, PC и термопластичного PUR, POM и акрилата, POM и MBS, PPO и HIPS, PPO с PA 6.6.и сополимерами, PA и HDPE, PA и PP, PA и PPO.
29. Природные и синтетические органические материалы, представляющие собой чистые мономерные соединения или смеси таких соединений, например минеральных масел, животных жиров и твердых растительных масел, растительных масел и восков, или масел, жиров и восков на основе синтетических сложных эфиров (например, фталатов, адипатов, фосфатов или сложных эфиров тримеллитовой кислоты), а также смеси синтетических сложных эфиров с минеральными маслами в любых весовых соотношениях, обычно таких, которые используют в формовочных композициях для получения волокон, а также водные эмульсии таких материалов.
30. Водные эмульсии натурального или синтетического каучука, например натурального латекса или латексов карбоксилсодержащих сополимеров стирола и бутадиена.
Предлагаемое изобретение также относится к композициям, содержащим органический полимер, чувствительный к окислительной, термической или инициируемой светом деструкции, и гранулированные стабилизирующие добавки, полученные в соответствии с настоящим изобретением. Неожиданно было обнаружено, что полимеры, стабилизированные при использовании предлагаемых гранулированных добавок, обладают большей устойчивостью к воздействию вышеуказанных факторов по сравнению с полимерными материалами, стабилизируемыми традиционными аддитивными смесями. Полимеры, содержащие гранулированные стабилизаторы предлагаемого изобретения, могут также включать в свой состав одну или несколько общепринятых дополнительных добавок к пластмассе; предпочтительно такие добавки выбирают из группы, состоящей из пространственно затрудненных аминов (HALS), пространственно затрудненных фенолов, фосфитов или фосфонитов, гидроталькитов, оксидов металла, карбонатов металла, а также металлические мыла, антистатики, антиадгезивы, антипирены, сложные тиоэфиры, внутренние и наружные смазки, пигменты, поглотители УФ-излучения и светостабилизаторы. К предпочтительным соединениям (и раскрытых подробно в описании) относятся соединения, упоминаемые выше для получения малопылящего гранулята. Вспомогательные добавки или аддитивные смеси к пластмассе можно использовать в любой удобной физической форме, например в виде кристаллов, порошка, окатышей, гранул дисперсий или жидкостей. Полимер может также содержать более одного гранулята предлагаемого изобретения.
К предпочтительным органическим полимерам относятся синтетические полимеры и, в частности, выбранные из группы 1, особенно полиэтилен и полипропилен.
Гранулы целесообразно добавлять к стабилизируемым органическим полимерам в количестве от 0.01 до 10%, предпочтительно от 0,01 до 5% в расчете на общую массу стабилизируемого полимера.
Гранулы предлагаемого изобретения и любые другие добавки можно вводить в органический полимер известными методами, например до или во время формования или путем нанесения растворенных или диспергированных гранул на полимерный материал с последующим медленным выпариванием, если необходимо, растворителя. Гранулы предлагаемого изобретения можно также использовать для приготовления так называемых маточных смесей.
Другой целью настоящего изобретения является способ стабилизации органического полимера, заключающийся в том, что в указанный полимер вводят эффективно стабилизирующее количество, указанное выше, малопылящих гранул. Предпочтительные варианты состава малопылящих гранул и полимера также входят в объем предлагаемого изобретения.
Из любого полимерного материала, стабилизируемого в соответствии с вышеуказанным методом, можно получить общеизвестными способами большое разнообразие продуктов, например пленок, волокон, лент, формовочных композиций или профильных изделий.
Настоящее изобретение более подробно иллюстрируется нижеследующими примерами, которые ни в коем случае не должны ограничивать предлагаемое изобретение. В этих примерах, как и в остальной части описания, все количества компонентов выражены в вес. частях и мас.%, а означает радикал трет-бутил.
Пример 1: Порошок стеарата кальция ( Radiastar 1060; FINA, DE) загружают самотеком с помощью дозатора со скоростью 20 кг/час в двучервячный экструдер (модель DNDL44; фирма Buhler, Чехословакия). Экструдер работает в режиме термостатирования и имеет следующий температурный профиль: 18oC/18oC/200oC/200oC/230oC/230oC/230oC/ 175oC/175oC/175oC. Температура сопла составляет 180oC. Дегазация (опускание пара) происходит в 5 зоне. Продукт экструдируют через 8 сопел с диаметром 2 мм при скорости вращения шнека 135 об/мин. Сразу после прохождения массы через сопла полученный экструдат в пластическом состоянии (10,000-100,000 Па с) разрезают, а затем охлаждают до температуры 30oC в конденсаторе с псевдоожиженном слоем с подачей воздуха при температуре 21oC.
Гранулы предлагаемого изобретения, полученные таким методом, имеют округлую и совершенно правильную форму, а также демонстрирует прекрасные объемные свойства сыпучего материала (таблица 1), в частности, по сравнению с используемым порошком.
Пример 2: 70 частей порошка стеарата кальция ( Radiastar 1060; FINA, DE) и 30 частей Irganox 1076 (октадецил – – (3,5-ди-трет-бутил-4- гидроксифенил)-пропионат, фирма Ciba, Чехословакия) перемешивают до гомогенного состояния в смесителе Loedige. Полученная смесь поступает самотеком из дозатора со скоростью 100 кг/час в двушнековый экструдер (модель DNDL93; фирма Buhler, Чехословакия). Экструдер работает в режиме термостатирования и имеет следующий температурный профиль: 21oC/205oC/205oC/205oC/80oC/80oC/ 30oC/15oC/15oC/15oC. Температура сопла составляет 180oC. Продукт экструдируют через 30 сопел с диаметром 2 мм при скорости вращения шнека 45 об/мин. Сразу после прохождения массы через сопла полученный экструдат в пластическом состоянии разрезают, а затем охлаждают до температуры 30oC в конденсаторе с псевдоожиженном слоем с подачей воздуха при температуре 21oC.
Гранулы предлагаемого изобретения, полученные таким методом, имеют округлую и почти правильную форму, а также демонстрирует прекрасные объемные свойства сыпучего материала (таблица 2: Гранулы 2).
Пример 3: 40 частей порошка стеарата кальция ( Radiastar 1060, FINA, DE) и 30 частей Irganox 1010 (пентаэритрит – – (3,5-ди-трет-бутил-4- гидроксифенил)-пропионат, фирма Ciba, Чехословакия) и 30 частей Irgafos 168 (трис-2,4-дитрет-бутилфенил)фосфит, фирма Ciba, Чехословакия) перемешивают до гомогенного состояния в смесителе Loedige. Полученная смесь поступает самотеком из дозатора со скоростью 100 кг/час в двушнековый экструдер (модель DNDL93; фирма Buhler, Чехословакия). Экструдер работает в режиме термостатирования и имеет следующий температурный профиль: 21oC/240oC/240oC/240oC/220 oC/220oC/200oC/15oC/15oC/15oC. Температура сопла составляет 150oC. Продукт экструдируют через 8 сопел с диаметром 2 мм при скорости вращения шнека 91 об/мин. Сразу после прохождения массы через сопла полученный экструдат в пластическом состоянии разрезают, а затем охлаждают до температуры 30oC в конденсаторе с псевдоожиженном слоем с подачей воздуха при температуре 21oC.
Гранулы предлагаемого изобретения, полученные таким методом, имеют округлую и почти правильную форму, а также демонстрирует прекрасные объемные свойства сыпучего материала (таблица 2: Гранулы 3).
Пример 4: 1,5 г Irganox В 215 (смесь пентаэритрит – – (3,5-ди-трет-бутил-4-гидроксифенил)-пропионата и трис-2,4-дитрет-бутилфенил)фосфита, 1:2, фирма Ciba, Чехословакия) смешивают с 0,75 г гранулированного стеарата кальция (полученного по методике Примера 1) и 1500 г порошкового полипропилена в течение 2 мин в смесителе с охлаждением водяной струей. Контрольную смесь получают аналогичным образом за исключением того, что она содержат 0,75 г порошкового стеарата кальция (Radiastar 1060; FINA, DE).
Каждую из полученных смесей экструдируют 5 раз в шнековом экструдере с номинальным внутренним диаметром корпуса 20 мм при температуре 260oC. После 1, 3, и 5 экструзии определяют индекс текучести расплава (MFI) (230oC; 2,15 кг; в соответствии с методикой стандарта IS01133), а после 5 экструзии определяют показатель пожелтения (VI) на образцах отпрессованных листов толщиной 2 мм.
Более низкие показатели текучести расплава и пожелтения ясно свидетельствуют о том, что лучшая стабилизация полимера достигается при использовании гранул предлагаемого изобретения по сравнению с общеизвестным порошковым стеаратом кальция.
Пример 5: 2,25 г гранул, полученных экструзией при 180oC смеси, содержащей 22,2 частей Irganox 1010 (пентаэритрит – – (3,5-ди-трет-бутил-4-гидроксифенил)-пропионат, фирма Ciba, Чехословакия); 44,5 частей Irgafos 168 (трис-2,4-дитрет- бутилфенил)фосфит, фирма Ciba, Чехословакия) и 33,3 частей стеарата кальция, перемешивают с 1500 г порошкового полипропилена в течение 2 мин в смесителе с охлаждением водяной струей.
Полученную смесь экструдируют 5 раз в шнековом экструдере с номинальным внутренним диаметром корпуса 20 при максимальной температуре 260oC. После 5 экструзии определяют показатель пожелтения (VI) на образцах отпрессованных листов толщиной 2 мм, который составляет 3,3.
Пример 6: 0,75 г гранул, полученных экструзией при 180oC смеси, содержащей 66,7 частей Irganox 1010 (пентаэритрит – – (3,5-ди-трет-бутил-4-гидроксифенил)-пропионат, фирма Ciba, Чехословакия), и 33,3 частей стеарата кальция, и 1, 5 г гранул предлагаемого изобретения, полученных экструзией при 180oC смеси, содержащей 66,7 частей Irgafos 168 (трис-2,4-дитрет- бутилфенил)фосфит, фирма Ciba, Чехословакия) и 33,3 частей стеарата кальция, перемешивают с 1500 г порошкового полипропилена в течение 2 мин в смесителе с охлаждением водяной струей.
Полученную смесь экструдируют 5 раз в шнековом экструдере с номинальным внутренним диаметром корпуса 20 при максимальной температуре 260oC. После 5 экструзии определяют показатель пожелтения (VI) на образцах отпрессованных листов толщиной 2 мм, который составляет 4,6.
Пример 7; 1,125 г гранул, полученных экструзией при 180oC смеси, содержащей 66,7 частей Irganox 1010 (пентаэритрит – – (3,5-ди-трет-бутил-4-гидроксифенил)-пропионат, фирма Ciba, Чехословакия), и 33,3 частей стеарата кальция, и 1,125 г гранул предлагаемого изобретения, полученных экструзией при 180oC смеси, содержащей 66,7 частей Irgafos 168 (трис-2,4-дитрет- бутилфенил)фосфит, фирма Ciba, Чехословакия) и 33,3 частей стеарата кальция, перемешивают с 1500 г порошкового полипропилена в течение 2 мин в смесителе с охлаждением водяной струей.
Полученную смесь экструдируют 5 раз в шнековом экструдере с номинальным внутренним диаметром корпуса 20 при максимальной температуре 260oC. После 5 экструзии определяют показатель пожелтения (VI) на образцах отпрессованных листов толщиной 2 мм, который составляет 4,8.
Пример 8: 1,5 г гранул Irganox B 215 (смесь 1:2, состоящая из пентаэритрит – (3,5-ди-трет-бутил-4-гидроксифенил)-пропионата и трис-2,4-дитрет-бутилфенил)фосфита, фирма Ciba, Чехословакия, экструдированная в виде гранул) перемешивают с 0,75 г гранул стеарата кальция (полученных по методике Примера 1) и 1500 г порошкового полипропилена в течение 2 мин в смесителе с охлаждением водяной струей.
Полученную смесь экструдируют 5 раз в шнековом экструдере с номинальным внутренним диаметром корпуса 20 при максимальной температуре 260oC. После 5 экструзии определяют показатель пожелтения (VI) на образцах отпрессованных листов толщиной 2 мм, который составляет 4,7.
Формула изобретения
РИСУНКИ
MM4A Досрочное прекращение действия патента Российской Федерации на изобретение из-за неуплаты в установленный срок пошлины за поддержание патента в силе
Дата прекращения действия патента: 29.12.2004
Извещение опубликовано: 10.03.2006 БИ: 07/2006
|
||||||||||||||||||||||||||

с, предпочтительно от 1 до 100000 Па

,
-ненасыщенной карбоновой кислоты с 3-5 атомами углерода или ароматической карбоновой кислоты с 7-15 атомами углерода; если n имеет значение 2, то R2 означает C1-C12 алкилен, C4-C12 алкенилен, ксилилен, двухвалентный радикал алифатической, циклоалифатической, арилзамещенной алифатической или ароматической дикарбоновой кислоты, дикарбаминовой кислоты или фосфорсодержащей кислоты или двухвалентный силильный радикал, предпочтительно радикал дикарбоновой кислоты алифатического ряда с 2-36 атомами углерода, циклоалифатической или ароматической дикарбоновой кислоты с 8-14 атомами углерода или алифатической циклоалифатической или ароматической дикарбаминовой кислоты с 8 – 14 атомами углерода; если n имеет значение 3, то R2 означает трехвалентный радикал алифатической, циклоалифатической или ароматической трикарбоновой кислоты, ароматической трикарбаминовой кислоты или фосфорсодержащей кислоты или трехвалентный силильный радикал, и если n имеет значение 4, то R2 означает четырехвалентный радикал алифатической, циклоалифатической или ароматической тетракарбоновой кислоты.
В качестве любого из C1-C12 алкильных заместителей может быть, например, метил, этил, н-пропил, н-бутил, втор-бутил, трет-бутил, н-гексил, н-октил, 2-этилгексил, н-нонил, н-децил, н-ундецил или н-додецил.
В качестве C1-C18 алкильной группы R2 могут выступать, например, вышеуказанные группы, а также н-тридецил, н-тетрадецил, н-гексадецил или н-октадецил.
В качестве C3-C8 алкенильной группы R1 может быть, например, 1-пропенил, аллил, металлил, 2-бутенил, 2-пентенил, 2-гексенил,2-октенил или 4-трет-бутил-2-бутенил.
К C3-C8 алкинильной группы R1 предпочтительно относится пропаргил.
В качестве C7-C12 аралкильной группы R1 может быть, например, фенетил и предпочтительно бензил.
В качестве C1-C8 алканоильной группы R1 может быть, например, формил, пропионил, бутирил, октаноил, но предпочтительно ацетил, а в качестве C3-C5 алкеноильной группы может выступать, в частности, акрилоил.
Если R2 означает одновалентный радикал карбоновой кислоты, то он может быть представлен, например, ацетилом, капроилом, стеароилом, акрилоилом, метакрилоилом, бензоилом или 












или группу формулы, 



































– токоферол,
– токоферол и их смеси (витамин E)















, (CHOHCOO)22-, (CHOH)4CH2OHCOO–, C2H4(COO)22-, (CH2COO)22-,
, OH– и S2-,
-, так и
– координированы. Эти комплексные соединения металлов могут находится как в свободном состоянии, так и нанесены на носители, обычно на носители из активированного хлорида магния, хлорида титана (III), оксида алюминия или оксида кремния. Эти катализаторы могут быть растворимыми или нерастворимыми в полимеризационной среде. Указанные катализаторы можно использовать самостоятельно в реакции полимеризации или их можно использовать вместе с активаторами, обычно металлалкилами, гидридами металлов, металлгалоидалкилами, алкоксидами металлов или алкилоксаны металлов, причем указанные металлы являются элементами групп Ia, IIa и/или IIIa Периодической системы элементов. Указанные активаторы могут быть модифицированы общепринятыми методами с использованием сложноэфирной группы, простой эфирной группы, аминогруппы или силилэфирной группы. Эти каталитические системы общеизвестны как катализаторы фирмы Phillips, фирмы Standard Oil Indiana, Циглера-Натта, TNZ (фирмы Du Font), металлоценовые катализаторы или катализаторы с одним активным центром (SSC).
2. Смеси полимеров, упомянутых в пункте 1.), например смеси полипропилена с полиизобутиленом, полипропилена с полиэтиленом (например, смеси полипропилена с разветвленным полиэтиленом низкого давления (PP/BHDPE), полипропилена с разветвленным полиэтиленом высокого давления (PP/BLDPE) и смеси различных видов полиэтилена, например смеси полиэтилена высокого давления с полиэтиленом низкого давления (LDPE/HDPE).
3. Сополимеры моноолефинов и диолефинов друг с другом или моноолефинов или диолефинов с другими винильными мономерами, например сополимеры этилена и пропилена, линейного полиэтилена высокого давления (LLDPE) и его смесей с полиэтиленом высокого давления (LDPE), сополимеры пропилена и бутена-1, сополимеры пропилена и изобутилена, сополимеры этилена и бутена-1, сополимеры этилена и гексена, сополимеры этилена и метилпентена, сополимеры этилена и гептена, сополимеры этилена и октена, сополимеры пропилена и бутадиена, сополимеры изобутилена и изопрена, сополимеры этилена и алкилакрилата, сополимеры этилена и алкилметакрилата, сополимеры этилена и винилацета, и продукты их сополимеризации с моноокисью углерода, или сополимеры этилена и акриловой кислотой и их солями (иономеры), а также тройные сополимеры этилена-пропилена-диена, например гексадиена, дициклопентадиена, или сополимеры этилена с норборненом; и смеси указанных сополимеров друг с другом и с полимерами, вышеуказанными в пункте 1), например смеси полипропилена с этилен-пропиленовыми сополимерами, этилена высокого давления (LDPE) с этилен- винилацетатными сополимерами (EVA), этилена высокого давления (LDPE) с сополимерами этилена и акриловой кислоты (EAA), LLDPE с EVA, LLDPE с EAA и чередующиеся или статистические сополимеры полиалкилена с моноокисью углерода и их смеси с другими полимерами, например полиамидами.
4. Углеводородные смолы (например, C5-C9), включая их гидрогенизированные модификации (например, вещества для повышения клейкости) и смеси полиалкиленов с крахмалом.
5. Полистирол, поли-(пара-метилстирол), поли -(
означает радикал трет-бутил.
Пример 1: Порошок стеарата кальция ( Radiastar
1060; FINA, DE) загружают самотеком с помощью дозатора со скоростью 20 кг/час в двучервячный экструдер (модель DNDL44; фирма Buhler, Чехословакия). Экструдер работает в режиме термостатирования и имеет следующий температурный профиль: 18oC/18oC/200oC/200oC/230oC/230oC/230oC/ 175oC/175oC/175oC. Температура сопла составляет 180oC. Дегазация (опускание пара) происходит в 5 зоне. Продукт экструдируют через 8 сопел с диаметром 2 мм при скорости вращения шнека 135 об/мин. Сразу после прохождения массы через сопла полученный экструдат в пластическом состоянии (10,000-100,000 Па