Патент на изобретение №2151773
|
||||||||||||||||||||||||||
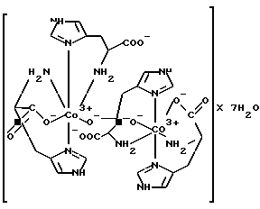
(54) ТЕТРАКИС-(L-ГИСТИДИНАТО)-
(57) Реферат: Изобретение относится к новому химическому соединению, а именно к тетракис-(L-гистидинато)- -пероксидикобальта (III) гептагидрату формулы Co2(His)4O2 7H2O. Целью изобретения является изыскание нового аминокислотного комплекса кобальта, обладающего антианемической, радиопротекторной и антиаритмической активностью. В ходе фармакотоксикологических испытаний установлено, что тетракис-(L-гистидинато)- -пероксидикобальта (III) гептагидрат является малотоксичным соединением, проявляет антианемическую, радиопротекторную и антиаритмическую активность и не стимулирует рост опухолей. 20 табл.
Изобретение относится к новому химическому соединению, а именно к тетракис-(L-гистидинато) -пероксодикобальта(III) гептагидрату формулы Co2(His)4O2 7H2O, проявляющему антианемическую, радиопротекторную и антиаритмическую активность и способному найти применение в медицинской практике.
2(His)4O2 7H2O. Соединения, аналогичные данному по составу и показаниям к применению, не описаны.
В доступной литературе отсутствуют сведения об аминокислотных комплексах кобальта, проявляющих одновременно антианемическое действие, противоаритмическую активность и радиопротекторные свойства, сопоставимые или превосходящие таковые свойства эталонных препаратов. Запатентован бис(2-этилгексаноато)бис(триэтилентетрамин)кобальт(II) (КЭТ-122) как стимулятор гемопоэза [Патент 2078767 (RU). МКИ5 6 С 07 F 15/06]. Бис(2-этилгексаноато)бис-(триэтилентетрамин)кобальт(II), проявляющий свойства стимулятор гемопоэза [Толстиков Г. А. , Муринов Ю.И., Конкина И.Г. и др. Опубл. 10.05.97, Бюл. N 13]. Описано умеренно позитивное влияние комплекса кобальта(II) с метионином на постлучевое восстановление гемопоэза у крыс [Салиходжаев 3., Атабеков Т. А. , Садыкова Н.Д., Рахимов Т.Т. Стимуляция постлучевого восстановления гемопоэза у крыс препаратом кобальта/ Радиобиология. – 1991. – Т.31, N 6. – С. 835-837]. Известны кобальтсодержащие лекарственные средства с антианемической активностью – коамид (дихлоробис(никотинамид)кобальт(II)) [Азизов М.А. О комплексных соединениях некоторых микроэлементов с биоактивными веществами. Изд. 2-е. – Ташкент: Медицина, 1969. – С. 127-187] и цианокобаламин (витамин B12) [Машковский М. Д. Лекарственные средства: Спр. Изд. 12-е. – М.: Медицина, 1993. – 4.2. – С. 18- 21]. Однако коамид является умеренно токсичным соединением, имеет малую терапевтическую широту и малоэффективен при лучевом поражении кроветворения. С другой стороны, цианкобаламин, являясь высокоэффективным противоанемическим препаратом, способен стимулировать рост опухолей [Острянина А.Д., Нейман И.М. Влияние витамина B12
Целью изобретения является изыскание нового аминокислотного комплекса кобальта, обладающего одновременно антианемической, радиопротекторной и противоаритмической активностью.
Цель достигается синтезом тетракис-(L-гистидинато) – пероксодикобальта(III) гептагидрата формулы Co2(His)4O2 7H2O, оказывающего антианемическое, радиопротекторное и антиаритмическое действие. Соединение получают по реакции кобальта (II) дихлорида с L-гистидином (HisH), кислородом воздуха и гидроксидом лития в водной среде2CoCl2 + 4HisH + O2 + 4LiOH = Co2(His)4O2 + 4LiCI + 4H2O с последующей кристаллизацией из водно-этанольного раствора при температуре ниже 0oC. Пример 1. В химический стакан приливают около 40 мл дистиллированной воды, помещают навески 3.10 г (0.02 моль) L-гистидина и 0.84 г (0.02 моль) моногидрата гидроксида лития. После растворения навесок добавляют раствор кобальта(II) дихлорида (0.01 моль) и общий объем раствора доводят до 50 мл. При длительном перемешивании значения pH среды поддерживают равным 7.0 добавками капель растворов HCl или LiOH. Затем к раствору при перемешивании добавляют 150 мл 96%-ного этанола. Полученный коричневый раствор помещают в морозильную камеру холодильника на 1 час. Выпавший осадок фильтруют через воронку Бюхнера и высушивают при температуре 40oC. Для перекристаллизации осадка 0.30 г его растворяют в 25 мл дистиллированной воды, а затем добавляют 100 мл 96%-ного этанола. Полученный раствор помещают в морозильную камеру холодильника на 3 суток. Образовавшиеся кристаллы отфильтровывают и высушивают. Полученное вещество представляет собой золотисто-коричневые мелкие игольчатые кристаллы, диамагнитные, хорошо растворимые в воде, растворимые в диметилсульфоксиде, не растворимые в этаноле, ацетоне, ацетонитриле. Выход продукта составляет 27% от теоретического. Найдено, %: С 31.69; H 5.27; N 19.22; Со 13.72. Вычислено для Co2(His)4O2 7H2O,%: С 32.30; H 5.19; N 18.83; Co 13.21.
Согласно результатам элементного анализа полученному веществу можно приписать формулу C24H46N12O17Co2. Структура соединения подтверждена методом термогравиметрии. На термогравиметрической кривой при 105oC обнаруживается первая площадка, отвечающая потере 14.8% веса или 7 гидратных молекул H2O (теорет. 14.13% веса), а при 150oC – вторая площадка, соответствующая потере еще 4.1% веса или одной молекулы O2 (теорет. 3.59% веса). Степень окисления Со(III) засвидетельствована диамагнетизмом растворов Co2(His)4O2 7H2O, а также характерной коричневой окраской их, обусловленной полосой переноса заряда с мостикового пероксид-иона (O22-2(His)4O2 7H2O весь содержащийся в нем кобальт переходит в раствор как парамагнитный ион Со2+, что подтверждает функционирование Co2(His)4O2 7H2O в качестве обратимого переносчика кислорода. Вещество претерпевает термическую деструкцию без плавления при температуре до 320oC.
В ходе фармако-токсикологических исследований определены параметры острой токсичности соединения Co2(His)4O2 7H2O для мышей и крыс, его антианемическая, радиопротекторная и антиаритмическая активность в опытах in vivo.
Пример 2. Параметры острой токсичности соединения Co2(His)4O2 (далее в расчетах гидратные молекулы H2O не учитываются) определяли при однократном внутрибрюшинном введении водных растворов препарата на линейных мышах Balb/С57 обоего пола средней массой 20 0.7 г и белых нелинейных крысах-самках средней массой 240 20.0 г. Наблюдение за животными вели в течение двух недель. Среднюю смертельную дозу (Dl50) определяли методом Беренса, ее среднюю ошибку – по формуле Геддама [Беленький М.А. Элементы количественной оценки фармакологического эффекта. – Л.: Медицина, 1963. – 116 с.].
Введение животным токсико-летальных доз препарата вызывало через 3-5 минут после инъекции непродолжительную гиперемию ушей и конечностей, общее угнетение, птоз, каталепсию, нарушение дыхания и судороги. Гибель животных наступала в течение суток от угнетения дыхания. Моча имела цвет препарата. На вскрытии – полнокровие легких, сердца, других видимых изменений не обнаружено.
Параметры острой токсичности препарата представлены в табл. 1. Средне-смертельная доза для мышей составляет 225 мг/кг, а для крыс – 300 мг/кг. Таким образом, оксигенированный гистидинат кобальта относится к малотоксичным веществам по классификации Сидорова [Измеров Н.Ф., Саноцкий И.В., Сидоров К. К. Параметры токсикометрии промышленных ядов при однократном воздействии. – М. : Медицина, 1977. – С. 196- 197] и проявляет видовую специфичность: мыши более чувствительны к нему, чем крысы. Предлагаемое соединение кобальта менее токсично, чем препараты сравнения – коамид [Патент 2078767 (RU). МКИ55 6 С 07 F 15/06. Бис(2-этилгексаноато)бис-(триэтилентетрамин)кобальт(II), проявляющий свойства стимулятор гемопоэза/ Толстиков Г.А., Муринов Ю.И., Конкина И.Г. и др. Опубл. 10.05.97, Бюл. N 13] (табл. 1).
Пример 3. Антианемическую активность препарата оценивали на 48 крысах обоего пола с гемолитической анемией, вызванной фенилгидразином. Анемию моделировали у крыс подкожным однократным ежедневным в течение 4-х дней введением 0.9 % раствора солянокислого фенилгидразина в дозе 30 мг/кг [Лазарев Н. В. Воспроизведение заболеваний у животных для экспериментально- терапевтических исследований. – Л.: Медгиз, 1957. – С.296-312].
На 6-е сутки эксперимента начинали 4-кратное через день внутрибрюшинное введение крысам оксигенированного гистидината кобальта в дозе 30 мг/кг, что соответствует 1/10 DL50 препарата. Препарат сравнения цианкобаламин вводили в дозе, соответствующей терапевтической 0.0015 мг/кг, в аналогичном режиме. Забор крови производили из хвостовой вены крыс до лечения, в конце курса лечения и через неделю после его завершения. Подсчет количества эритроцитов осуществляли по общепринятой методике, содержание гемоглобина определяли калориметрическим методом с использованием стандартных реактивов. Результаты эксперимента обработаны статистически методом непрямых разностей.
12 вводили внутрибрюшинно в дозе 30 мг/кг и 0.0015 мг/кг соответственно 8-кратно через день. Исследования периферической крови нелеченых (контрольных) и леченых (опытных) животных проводили сразу после окончания затравки, а также через 10, 15, 25 и 50 дней после последнего введения нитрата свинца. Некоторые результаты экспериментов представлены в табл. 5-7.
Сразу после окончания курсового введения животным азотнокислого свинца у контрольных крыс развивалась анемия, сопровождавшаяся достоверным уменьшением количества эритроцитов периферической крови на всех сроках наблюдения с восстановлением этого показателя к 25 суткам после затравки. Содержание гемоглобина снижалось лишь на 15 сутки, но оставалось ниже показателей здоровых животных даже на 50 сутки после окончания введения соли свинца. Изменения цветового показателя у контрольных крыс были разнонаправлены. Так, на 5 сутки после затравки он был выше показателя здоровых животных, а на 25 – ниже, что свидетельствовало о развитии гипохромной анемии на этом сроке. Курсовое введение животным исследуемого соединения кобальта способствовало нормализации количества эритроцитов периферической крови опытных крыс сразу по окончании лечения (15 сутки после затравки), а также содержания гемоглобина на 50 сутки после затравки, причем цветовой показатель на 25 день после затравки хотя и был ниже такового у интактных животных, но превосходил контрольный на 20.6%.
В группе животных, получавших препарат сравнения В12, лишь на 5 сутки отмечалось достоверное увеличение количества эритроцитов периферической крови, на остальных сроках наблюдения этот показатель не отличался от такового у нелеченых животных. Содержание гемоглобина было достоверно ниже, чем в группе здоровых крыс на протяжении всего эксперимента. Таким образом, новый препарат кобальта эффективен на модели гипопластической анемии, вызванной азотнокислым свинцом, на которой препарат сравнения цианокобаламин оказался менее активным.
Пример 5. Антианемическое действие исследуемого комплекса кобальта оценивалось в экспериментах на 60 белых беспородных крысах обоего пола массой 180 20 г по влиянию на систему кроветворения после лучевого воздействия. Для моделирования лучевой болезни животных контрольной и опытных групп подвергали однократному тотальному – облучению в дозе 4.5 Гр на аппарате Агат-М (60Со, мощность дозы -0.504 Гр/мин). Животным опытной группы с 3-его дня после облучения вводили исследуемый препарат внутрибрюшинно через день четырежды в дозе 15 мг/кг/сутки, что соответствует 1/20 DL50. Показатели периферической крови (количество эритроцитов, содержание гемоглобина, количество ретикулоцитов, гематокрит, цветовой показатель, среднее содержание гемоглобина в эритроците (ПГ/эр), средняя концентрация гемоглобина в эритроците (%), средний объем эритроцитов (мкм3)) и общую клеточность костного мозга животных оценивали в динамике общепринятыми методами. Результаты экспериментов представлены в табл. 8-14.
Как видно из табл. 8-14, на третьи сутки после облучения в контрольной группе животных регистрировалось снижение числа лейкоцитов периферической крови и общего числа клеток костного мозга, а на восьмые сутки развивалась пострадиационная анемия с последующим восстановлением клеточности костного мозга к 18-ому дню после облучения без полной нормализации картины периферической крови. Курс лечения новым соединением кобальта крыс, подвергнутых лучевому воздействию, приводил к нормализации исследуемых и определяемых расчетным путем показателей периферической крови через 4 дня после его завершения (табл. 8-14). Общая клеточность костного мозга леченых животных достоверно превышала таковую у контрольной группы на 40.6% (табл.9).
Пример 6. Оценку антианемической и радиопротекторной активности оксигенированного гистидината кобальта в сравнении с цианкобаламином проводили на модели пострадиационной анемии крыс. В экспериментах использовано 76 белых нелинейных крыс-самцов средней массой 155 20 г, у которых анемия вызывалась тотальным -облучением в дозе 4.5 Гр на аппарате Агат-М (60Co, мощность дозы – 0.444 Гр/мин). Параллельно оценивались радиопротекторные свойства препаратов. Животным, начиная с третьего дня после облучения, начинали вводить препараты однократно интраперитониально через сутки четырежды: оксигенированного гистидината кобальта в дозе 6 мг/кг (1/50 от DL503)) и общую клеточность костного мозга бедренной кости животных оценивали в динамике до и после лечения, через неделю и через две недели после его завершения по общепринятым методам, выживаемость крыс после облучения определяли методом Фишера. Сравнительная оценка радиозащитного действия соединения с эталонным препаратом цисамином не проводилась, так как для последнего было изучено не лечебное, а профилактическое защитное действие при облучении. Наиболее значимые результаты представлены в табл. 15-17.
После облучения у животных контрольной группы регистрировалось достоверное снижение количества эритроцитов на 45%, содержания гемоглобина – на 31.9% без изменения цветового показателя, уменьшение общей клеточности костного мозга на 79.9% с последующим восстановлением на 18 сутки после облучения без полной нормализации картины периферической крови (табл. 15-17). Курс лечения препаратом кобальта приводил к увеличению количества эритроцитов на 33.8% сразу по его завершению по сравнению с контролем, тогда как эффект препарата сравнения выявлялся лишь через 2 недели после его окончания. Изучаемое новое соединение кобальта в дозе, соответствующей 1/50 DL50, не влияло на содержание гемоглобина периферической крови по сравнению с нелечеными животными, но последнее было на 78.5 % выше, чем таковое сразу после курса лечения в группе животных, получавших цианкобаламин (табл. 15-17).
Таким образом, антианемическая активность оксигенированного гистидината кобальта проявлялась на более ранних сроках, чем у препарата сравнения В12, а именно непосредственно после окончания курса лечения.
Следует отметить, что в опытной группе животных, подвергнутых радиационному воздействию и леченных новым соединением кобальта, из 18 животных ни одно не погибло, а в группе животных, получавших цианкобаламин, погибли три из 18 крыс, в контрольной (облученной и нелеченой) группе – четыре из восемнадцати. Оценка выживаемости статистическим методом Фишера показала, что новый препарат кобальта в 1/50 DL50 достоверно защищает животных от гибели в результате тотального -облучения по сравнению с контролем (P=0.05), витамин B12 в дозе 0.0015 мг/кг не оказывает радиозащитного действия (P=0,11), а использованная доза облучения вызывает гибель 22.2% крыс-самцов массой 150 г (P=0.04).
Таким образом, оксигенированный гистидинат кобальта в дозе, соответствующей 1/50 DL50, проявляет антианемическое и радиопротекторное действие.
Пример 7. Влияние нового комплексного соединения кобальта на опухолевый рост изучалось на 40 беспородных крысах-самках с перевитой внутрибрюшинно опухолью яичника. Ежедневное внутрибрюшинное введение препарата в дозе 30 мг/кг в течение 7 дней начинали через сутки после перевивки асцитической жидкости, контрольные животные получали дистиллированную воду в эквиобъеме. По окончании эксперимента замеряли объем асцитической жидкости в брюшной полости крыс. Установлено, что препарат кобальта не влиял на опухолевый рост, так, средний объем асцитической жидкости у контрольных животных составил 19.6 1.7 мл, а в опытной группе – 16.9 0.9 мл (P>0.05).
Таким образом, в отличие от препарата сравнения – цианкобаламина, который не рекомендуется использовать для онкологических больных, так как он может стимулировать рост и метастазирование опухолей [Острянина А.Д., Нейман И.М.
Влияние витамина B12
Противоаритмическую активность оксигенированного гистидината кобальта и препарата сравнения анаприлина (обзидана) оценивали по их способности предупреждать появление преждевременных желудочковых комплексов или ослаблять их тяжесть, что выражалось в уменьшении частоты эктопических сокращений (ЧЭС). Кроме того, оценивалась способность исследуемых веществ предупреждать гибель мышей, вызванную введением адреналина гидрохлорида. Соединения вводили в хвостовую вену за 5 минут до инъекции анализатора, объем раствора которого не превышал 0.5 мл. Результаты представлены в табл. 18, из которой видно, что новое комплексное соединение кобальта в дозе 10 мг/кг полностью предупредило гибель животных и достоверно снизило риск возникновения адреналиновых аритмий, чем оно выгодно отличается от препарата сравнения.
В 100% случаев через 61 7 с после внутривенного введения строфантина К в дозе 10 мг/кг регистрировались нарушения ритма сердца, которые носили характер групповых и парных экстрасистол, желудочковой пароксизмальной тахикардии с ЧЭС 110 13 в минуту при общей ЧСС 456 23 в мин и продолжительностью 144 12 с. Все животные контрольной группы погибли. Предлагаемое соединение кобальта полностью предупреждало возникновение строфантиновых аритмий и летальность животных, превосходя по эффективности препараты сравнения обзидан и лидокаин (табл. 19).
Как видно из табл.20, новое соединение кобальта полностью предупреждало возникновение фибрилляции желудочков сердца и предотвращало гибель от нарастающей брадикардии 62% животных. По противофибрилляторной активности и способности предупреждать гибель подопытных животных новое соединение кобальта превосходило на данной модели препараты сравнения.
Следовательно, новое соединение кобальта в дозе 10 мг/кг проявляет выраженное противоаритмическое действие на моделях адреналиновых, строфантиновых и хлоридкальциевых аритмий и превосходит по эффективности все препараты сравнения.
Таким образом, оксигенированный гистидинат кобальта является малотоксичным соединением, проявляющим одновременно антианемическое, радиопротекторное и антиаритмическое действие. Новое соединение кобальта сопоставимо или превосходит по эффективности препараты сравнения.
Формула изобретения
-пероксидикобальта (III)гептагидрат формулы![]() проявляющий антианемическую, радиопротекторную и антиаритмическую активность. РИСУНКИ
|
||||||||||||||||||||||||||

-ПЕРОКСИДИКОБАЛЬТА (III) ГЕПТАГИДРАТ, ПРОЯВЛЯЮЩИЙ АНТИАНЕМИЧЕСКУЮ, РАДИОПРОТЕКТОРНУЮ И АНТИАРИТМИЧЕСКУЮ АКТИВНОСТЬ
7H2O. Целью изобретения является изыскание нового аминокислотного комплекса кобальта, обладающего антианемической, радиопротекторной и антиаритмической активностью. В ходе фармакотоксикологических испытаний установлено, что тетракис-(L-гистидинато)-
0.7 г и белых нелинейных крысах-самках средней массой 240
– облучению в дозе 4.5 Гр на аппарате Агат-М (60Со, мощность дозы -0.504 Гр/мин). Животным опытной группы с 3-его дня после облучения вводили исследуемый препарат внутрибрюшинно через день четырежды в дозе 15 мг/кг/сутки, что соответствует 1/20 DL50. Показатели периферической крови (количество эритроцитов, содержание гемоглобина, количество ретикулоцитов, гематокрит, цветовой показатель, среднее содержание гемоглобина в эритроците (ПГ/эр), средняя концентрация гемоглобина в эритроците (%), средний объем эритроцитов (мкм3)) и общую клеточность костного мозга животных оценивали в динамике общепринятыми методами. Результаты экспериментов представлены в табл. 8-14.
Как видно из табл. 8-14, на третьи сутки после облучения в контрольной группе животных регистрировалось снижение числа лейкоцитов периферической крови и общего числа клеток костного мозга, а на восьмые сутки развивалась пострадиационная анемия с последующим восстановлением клеточности костного мозга к 18-ому дню после облучения без полной нормализации картины периферической крови. Курс лечения новым соединением кобальта крыс, подвергнутых лучевому воздействию, приводил к нормализации исследуемых и определяемых расчетным путем показателей периферической крови через 4 дня после его завершения (табл. 8-14). Общая клеточность костного мозга леченых животных достоверно превышала таковую у контрольной группы на 40.6% (табл.9).
Пример 6. Оценку антианемической и радиопротекторной активности оксигенированного гистидината кобальта в сравнении с цианкобаламином проводили на модели пострадиационной анемии крыс. В экспериментах использовано 76 белых нелинейных крыс-самцов средней массой 155