Патент на изобретение №2151768
|
||||||||||||||||||||||||||
(54) ПРОИЗВОДНЫЕ УКСУСНОЙ КИСЛОТЫ
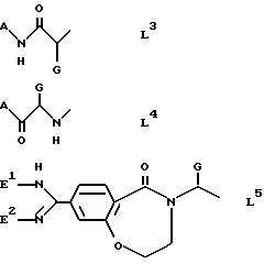
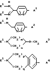
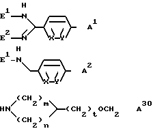
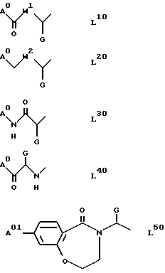
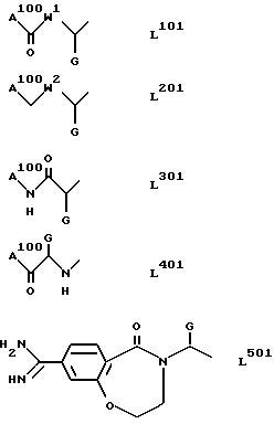
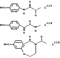
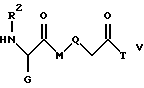
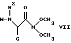
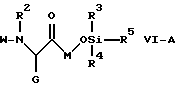
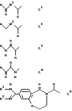
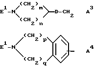
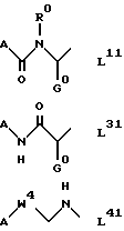
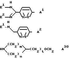
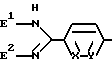
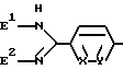
(57) Реферат: Предложены производные уксусной кислоты формулы ![]() где значения L, M, Q и T указаны в п.1 формулы. Соединения могут найти применение при лечении или профилактике заболеваний, обусловленных связыванием адгезивных протеинов с тромбоцитами, а также агрегацией тромбоцитов и адгезией клетка-клетка. Соединения получают отщеплением защитных групп в соответствующих защищенных соединениях или переводом циановой группы в амидиновую группу в соответствующих нитрилах. 21 з.п.ф-лы, 1 табл. Изобретение относится к новым производным уксусной кислоты, способу их получения, фармацевтическим препаратам, содержащим такие соединения, и к применению этих соединений при изготовлении фармацевтических препаратов. Изобретение относится в частности к производным уксусной кислоты формулы ![]() где L представляет собой группу формул L1-L5: ![]() ![]() причем содержащаяся в группе L и/или в диапазоне групп L-M связанная не по амидному типу карбонильная группа может быть представлена также в виде оксима, A представляет собой группу формул A1-A4: ![]() E1 и E2 обозначают H, низший алкил, OH, низший алкокси, низший алкокси-низший алкил, карбокси-низший алкил, P(O) (O – низший алкил)2, C(O)OR1, OC(O)R1, OC(O)OR1 или C(O)SR1, причем по крайней мере один из E1 и E2 является H или E1 и E2 вместе с N-атомами, по которым они связаны, представляют собой (5,5-диметил- или 5-оксо)-4,5- дигидро-1,2,4-оксадиазол-3-ил-группу, R1 обозначает низший алкокси-низший алкил, низший алкил, замещенный на OH, COOH, низший алкоксикарбонил, низший алканоилокси, низший алкеноилокси, замещенный при определенных условиях на бензоилокси либо замещенный на низший алкил-CONH низший алкил, или при определенных условиях замещенный и при определенных условиях связанный через низший алкилен фенил, или при определенных условиях разорванный O циклоалкил, один из X и Y обозначает CH, а другой обозначает CH, C-низший алкил, C-низший алкокси либо N, D представляет собой группу (CH2)s или (CH2)tO, s = 1-4, m и n = 0-5 и t = 0-3, однако m+n = 1-5 и каждая из m+t и n+t равна по крайней мере 1, p и q = 0-5, однако p + q = 2-5, W1 представляет собой CH2, низший алкил-CH, низший алкил-OC(O)CH, NH, низший алкил-N или низший алкокси-низший алкил-N, W2 обозначает O, NH, ацил-N или низший алкил-OC(O)-N, G представляет собой H или характеризующую группу – аминокарбоновой кислоты,M обозначает связанный через N-атом с кетогруппой 1,4-пиперидинилен или при определенных условиях замещенный на низший алкил, низший алкокси, OCH2COOH либо OCH2COO-низший алкил 1,4-фенилен, Q – кислород, CH2, NH, ацил-N или низший алкил-OC(O)N, T представляет собой NH2, NH-низший алкил, NH-низший алкил (COOH либо COO-низший алкил), замещенный на низший алкокси, COOH, COO-низший алкил, низший алкил-COO либо низший алкил-OCOO низший алкилокси или низший алкенилокси или же группу OT’, T’ обозначает H, низший алкил, при определенных условиях связанный через низший алкилен фенил либо пиридил или при определенных условиях связанный через низший алкилен и при определенных условиях разорванный O, NH либо NCOO-низшим алкилом циклоалкил, при условии, что а) T’ имеет значение, отличное от H, низшего алкила и фенил-низшего алкила, если L представляет собой группу формулы ![]() A представляет собой группу формулы ![]() один из E1 и E2 обозначает водород, а другой обозначает водород, трет-бутоксикарбонил или бензилоксикарбонил, один из X и Y обозначает CH, а другой обозначает CH или N и W1 представляет собой NH, низший алкил-N либо низший алкокси-низший алкил-N, G имеет указанное выше значение, M представляет собой связанный через N-атом с кетогруппой 1,4-пиперидинилен, и Q – кислород, и что б) T’ имеет значение, отличное от H, низшего алкила, фенила и фенил-низшего алкила, если L представляет собой группу формулы L11, L31 или L41: ![]() ![]() A представляет собой группу формулы A1 ![]() один из E1 и E2 обозначает водород, а другой обозначает водород, трет-бутоксикарбонил или бензилоксикарбонил, один из X и Y обозначает CH, а другой обозначает CH, C-низший алкил, C-низший алкокси или N, R0 и G0 обозначают H или низший алкил, W4 обозначает C=O или C=NOH, M представляет собой при определенных условиях замещенный на низший алкил, низший алкокси, OCH2COOH либо OCH2COO-низший алкил 1,4-фенилен и Q – кислород, CH2 или NH, а также к гидратам или сольватам и их физиологически приемлемым солям. В рамках настоящего изобретения определение “низший” обозначает линейные либо разветвленные группы с числом C-атомов 1-6, предпочтительно 1-4. Так, метил, этил, пропил, изопропил, n-бутил, втор-бутил, трет-бутил и гексил являются примерами низшего алкила; метокси и этокси представляют низший алкокси; ацетил и пропионил представляют низший алканоил. Метакрилоил является примером низшего алкеноила, а пентенилокси – примером низшего алкенилокси. Примерами заместителей фенильной группы R1 могут служить галоген и низший алкокси. Другие примеры групп R1 – это бензил и при определенных условиях разорванный OC3-6-циклоалкил, как тетрагидропиранил. Примерами заместителей в содержащейся в R1 бензоиловой группе являются низший алканоилокси-группы, как ацетокси. В качестве примеров при определенных условиях, связанных через низший алкилен и при определенных условиях разорванных O, NH либо NCOO-низшим алкилом циклоалкильных групп T’ можно назвать группы с 3-6 C-атомами в циклическом фрагменте, как циклопропилметил, циклогексил, тетрагидропиранил, пиперидинил и N-(трет-бутоксикарбонил) пиперидинил. Под понятием “характеризующая группа -аминокарбоновой кислоты” имеется в виду группа G в природной или синтетической -аминокислоте формулы H2NCH(G)COOH. Содержащиеся в природных -аминокислотах группы G представляют собой метил (в аланине), изопропил (в валине), бензил (в фенилаланине), p-гидроксибензил (в тирозине), CH2SH (в цистеине). CH2OH (в серине), 1-гидроксиэтил (в треонине) и т.п. Группа G представляет собой далее, например, при определенных условиях замещенную на OH, SH, низший алкилтио, арил, NH2, NH-Ra, N(Ra, Rb) или ORa группу низшего алкила, где Ra и Rb – низший алкил, низший алкокси-низший алкил, ацил или низший алкоксикарбонил. Группа G низшего алкила может быть замещена, кроме того, на CONH2 или CONH-низший алкил. Вышеназванный арил – это, например, фенил или замещенный на OH, NH2, NH-Ra, N(Ra, Rb) или ORa фенил. Вышеназванный ацил – это, например, низший алканоил, ароил или гетероароил, причем ароил представляет собой связанную через CO, аналогично расшифрованной выше, арильную группу, как бензоил или низший алканоилоксибензоил, а гетероарил – связанную через CO, например, 3-6-членную, содержащую O или NH гетероароматическую группу, как фуроил.
Соединения формулы I могут подвергаться сольватации, в частности гидратации. Гидратация может проводиться в ходе осуществления способа получения или же проявляться постепенно как следствие гигроскопических свойств вначале безводного соединения формулы I.
Примерами физиологически приемлемых солей соединений формулы I являются соли физиологически совместимых минеральных кислот, как соляная кислота, серная кислота либо фосфорная кислота; или соли органических кислот, как метансульфокислота, уксусная кислота, трифторуксусная кислота, лимонная кислота, фумаровая кислота, малеиновая кислота, винная кислота, янтарная кислота либо салициловая кислота. Соединения формулы I со свободной карбоксильной группой могут образовывать также соли физиологически совместимых оснований. В качестве примеров таких солей служат соли щелочных и щелочноземельных металлов, соли аммония и алкиламмония, как соль натрия, калия, кальция или тетраметиламмония. Соединения формулы I могут быть представлены также в виде амфотерных ионов.
Соединения формулы I, содержащие один или несколько асимметричных C-атомов, могут быть представлены в виде энантиомеров, диастереомеров или в виде их смесей, например, в виде рацематов.
Предлагаемые согласно изобретению соединения могут быть подразделены на следующие группы:а) группы, где L представляет собой группу L1, в которой A является группой A1 и соответствует формуле ![]() где E1, E2, X, Y, W1, G, M, Q и T имеют указанное выше значение, б) группы, где L представляет собой группу L1, в которой A является группой A3 и соответствует формуле I-Bгде E1, m, n, D, W1, G, M, Q и T имеют указанное выше значение, в) группы, где L представляет собой группу L1, в которой A является группой A2 и соответствует формуле ![]() где E1, X, Y, W1, G, M, Q и T имеют указанное выше значение, в частности Q – кислород, а T обозначает OH или низший алкокси, г) группы, где L представляет собой группу L1, в которой A является группой A4 и соответствует формуле ![]() где E1, p, q, W1, G, M, Q и T имеют указанное выше значение, в частности M обозначает 1,4-фенилен, Q – кислород и T обозначает низший алкокси, д) группы, где L представляет собой группу L2, в которой A является группой A1 и соответствует формуле ![]() где E1, E2, X, Y, W2, G, M, Q и T имеют указанное выше значение, в частности M обозначает связанный через N-атом с кетогруппой 1,4-пиперидинилен, Q – кислород и Т обозначает низший алкокси, е) группы, где L представляет собой группу L3, в которой A является группой A1 и соответствует формуле ![]() где E1, E2, X, Y, G, M, Q и T имеют указанное выше значение, в частности M обозначает связанный через N-атом с кетогруппой 1,4-пиперидинилен, Q – кислород и T обозначает низший алкокси, ж) группы, где L представляет собой группу L4, в которой A является группой A1 и соответствует формуле ![]() где E1, E2, X, Y, G, M, Q и T имеют указанное выше значение, в частности M обозначает 1,4-фенилен, Q – кислород и T обозначает низший алкокси, з) группы, где L представляет собой группу L5 и соответствует формуле ![]() где E1, E2, G, M, Q и T имеют указанное выше значение, в частности M обозначает связанный через N-атом с кетогруппой 1,4-пиперидинилен, Q – кислород и T обозначает низший алкокси. Примерами производных уксусной кислоты согласно настоящему изобретению являются такие, где L представляет собой группу формулы L1A является группой A1, A2 или A30: ![]() один из E1 и E2 обозначает H, а другой обозначает H, низший алкил, OH, низший алкокси, низший алкокси-низший алкил, карбокси-низший алкил, PO(O-низший алкил)2, C(O)OR1 или OC(O)OR1, R1 обозначает низший алкокси-низший алкил, низший алкил, замещенный на OH, COOH либо низший алканоилокси низший алкил, или при определенных условиях замещенный и при определенных условиях связанный через низший алкилен фенил, или при определенных условиях разорванный O циклоалкил, один из X и Y обозначает CH, а другой обозначает CH или N, m и n = 0-5 и t = 0-3, однако m + n = 1-5 и каждая из m+t и n+t равна по крайней мере 1, W1 представляет собой CH2, низший алкил-OCOCH, NH, низший алкил-N или низший алкокси-низший алкил-N, G представляет собой H или характеризующую группу – аминокарбоновой кислоты,M имеет такое же значение, что и в 1 формулы изобретения, Q – кислород T представляет собой группу OT” и T” обозначает H, низший алкил, низший алкокси-низший алкил или при определенных условиях связанный через низший алкилен и при определенных условиях разорванный O циклоалкил, при условии, что а) T” имеет значение, отличное от H, низшего алкила и фенил-низшего алкила, если A представляет собой группу формулы ![]() E1 и E2 обозначают водород, трет.-бутоксикарбонил или бензилоксикарбонил, X, Y, G и Q имеют указанное выше значение, W1 обозначает NH, низший алкил-N или низший алкокси-низший алкил-N и M представляет собой связанный через N-атом с кетогруппой 1,4-пиперидинилен, и что б) T” имеет значение; отличное от H, низшего алкила, фенила и фенил-низшего алкила, если L представляет собой группу формулы L11: ![]() A представляет собой группу формулы ![]() E1 и E2 обозначают водород, трет-бутоксикарбонил или бензилоксикарбонил, X, Y и Q имеют указанное выше значение, R0 и G0 обозначают H или низший алкил и M представляет собой при определенных условиях замещенный на низший алкил, низший алкокси, OCH2COOH или OCH2COO-низший алкил 1,4-фенилен, и их физиологически приемлемые соли. К предпочтительным соединениям формулы I относятся те из них, где один из E1 и E2 представляет собой H, а другой представляет собой H, OH, C (O) OR либо OC(O)OR1 и/или где R1 представляет собой низший алкил, как этил, бутил либо изобутил, низший алкокси-низший алкил, как метоксиэтил, замещенный на бензоилокси либо низший алканоилокси низший алкил, как бензоилоксиметил, ацетоксиметил, ацетоксиэтил либо пивалоилоксиметил, или фенил и/или где один из X и Y обозначает CH, а другой обозначает CH либо N и/или где W1 обозначает NH либо CH2 и/или где Q – кислород либо CH2 и/или где G представляет собой H, низший алкил, как метил либо этил, или низший алкоксикарбониламино-низший алкил, как этоксикарбониламинопропил, и/или где M представляет собой связанный через N-атом с кетогруппой 1,4-пиперидинилен, 1,4- фенилен либо замещенный на OCH2COO-низший алкил, как метоксикарбонилметокси, 1,4-фенилен и/или где T представляет собой низший алкокси, как метокси, этокси, изопропокси, изобутокси, трет-бутокси либо гексилокси, низший алкокси-низший алкокси, как метоксиэтокси, замещенный на COO-низший алкил низший алкенилокси, как 2-изобутоксикарбонил-2-пентенилокси, замещенный на низший алкил-COO низший алкокси, как пивалоилоксиметокси, замещенный на низший алкил-OCOO низший алкокси, как 1-изопропоксикарбонилокси-этокси, при определенных условиях разорванный O циклоалкилокси, как тетрагидропиранилокси, связанный через низший алкиленокси пиридил, как 3- либо 4-пиридилметокси, или связанный через низший алкиленокси и при определенных условиях разорванный NCOO-низшим алкилом циклоалкил, как 1-трет- бутоксикарбонил-3-либо 4-пиперидилметокси. Примерами таких соединений являются следующие: этиловый эфир (S)-4-[2-[4-[имино-2-(метокси-этоксикарбониламино)- метил] -бензоиламино]-пропионил]-феноксиуксусной кислоты, этиловый эфир (Z)-(R,S)-4-[2-[4-[амино-гидроксиимино- метил]-бензоиламино]-пропионил]-феноксиуксусной кислоты, тетрагидропиран-4-ил-эфир (S)-4-[2-[4-(этоксикарбониламино-имино- метил)-бензоиламино]-пропионил]-феноксиуксусной кислоты, этиловый эфир (Z)-(R,S)-4-[2-[4-[амино-этоксикарбонилоксиминометил]- бензоиламино]-пропионил]-феноксиуксусной кислоты, этиловый эфир (S)-4-[2-[4-(имино-феноксикарбониламино-метил)- бензоиламино]-пропионил]-феноксиуксусной кислоты, 2-метокси-этиловый эфир (S)-4-[2-[4-[имино-(2-метокси-этокси- карбониламино)-метил]-бензоиламино]-пропионил]-феноксиуксусной кислоты, этиловый эфир (Z)-(S)-4-[2-[4-(амино-гидроксиимино-метил)- бензоиламино] -пропионил]-феноксиуксусной кислоты, изопропиловый эфир (E/Z)-(S)-1-[2-[4-(амино-этоксикарбонилимино- метил)-бензоиламино]-пропионил]-пиперидин-4-илоксиуксусной кислоты, изопропиловый эфир (E/Z)-(S)-1-[2-[4-(амино-гидроксиимино-метил)- бензоиламино]-пропионил]-пиперидин-4-илоксиуксусной кислоты, изопропиловый эфир [1-[4-[4-(этоксикарбониламино-имино-метил)- фенил]-4-оксо-бутирил]-пиперидин-4-илокси]-уксусной кислоты, изопропиловый эфир (RS)-[1-[4-[4-(изобутоксикарбониламино-имино- метил)-фенил] -2-метил-4-оксо-бутирил] -пиперидин-4-илокси]-уксусной кислоты и прежде всего этиловый эфир (E/Z)-(S)-1-[2-[4-(амино-гидроксиимино-метил)- бензоиламино]-пропионил]-пиперидин-4-илоксиуксусной кислоты, а также из следующей группы: (R/S)-1-изопропоксикарбонилокси-этиловый эфир (Z)-(S)-[1- [2-[4-(амино-гидроксиимино-метил)-бензоиламино] -пропионил]- пиперидин-4-илокси]-уксусной кислоты, пиридин-3-илметиловый эфир (R)-(E)/(Z)-[1-[4-[4-(амино- гидроксиимино-метил)-фенил]-2-метил-4-оксо-бутирил]-пиперидин-4-илокси]-уксусной кислоты, пиридин-4-илметиловый эфир (R)-(E)/(Z)-[1-[4-[4-(амино- гидроксиимино-метил)-фенил]-2-метил-4-оксо-бутирил]-пиперидин- 4-илокси]-уксусной кислоты, трет-бутиловый эфир (E)- либо (Z)-(RS)-3-[1-[(R)-4-[4-(амино- гидроксиимино-метил)-фенил] -2-метил-4-оксо-бутирил]-пиперидин-4-илоксиацетоксиметил] -пиперидин-1-карбоновой кислоты, этиловый эфир (R)-[1-[4-[4-(бензоилоксиметоксикарбониламино- имино-метил)-фенил] 2-метил-4-оксо-бутирил]-пиперидин-4-илокси] -уксусной кислоты, этиловый эфир (R)-[1-[4-[4-(имино-пивалоилоксиметоксикарбониламино- метил)-фенил]-2-метил-4-оксо-бутирил]-пиперидин-4-илокси]-уксусной кислоты, трет-бутиловый эфир (E)- или (Z)-(R)-4-[1-[4-[4-(амино-гидроксиимино-метил)-фенил] -2-метил-4-оксо-бутирил] -пиперидин-4- илоксиацетоксиметил]-пиперидин-1-карбоновой кислоты, этиловый эфир (S)-[4-[2-[4-[(2-ацетокси-этокси-карбонилимино)- амино-метил]-бензоиламино]-пропионил]-фенокси]-уксусной кислоты и ацетоксиметиловый эфир (S)-4-[2-(4-этоксикарбонилметокси-фенил)- 1-метил-2-оксо-этил-карбамоилметокси]-пиперидин-1-карбоновой кислоты. Другими примерами соединений формулы I являются следующие: циклопропилметиловый эфир (S)-4-[2-[4-(амино-имино-метил)- бензоиламино] -пропионил]-феноксиуксусной кислоты, циклогексиловый эфир (S)-4-[2-[4-(амино-имино-метил)-бензоиламино] – пропионил]-феноксиуксусной кислоты, этиловый эфир (S)-4-[2-[4-(амино-имино-метил)-бензоиламино]-3- гидрокси-пропионил]-феноксиуксусной кислоты, (S)-4-[2-[4-(амино-имино-метил)-бензоиламино] -3-(4-метокси-фенил)- пропионил]-феноксиуксусная кислота, этиловый эфир (2S,3R)-4-[2-[4-(амино-имино-метил)-бензоиламино]-3- гидроксибутирил]-феноксиуксусной кислоты, 2-метокси-этиловый эфир (S)-4-[2-[4-(амино-имино-метил)- бензоиламино] -пропионил]-феноксиуксусной кислоты, этиловый эфир (S)-4-[2-[4-(амино-имино-метил)-бензоиламино]-3- ацетокси-пропионил]-феноксиуксусной кислоты, этиловый эфир (R,S)-4-[2-[4-(этоксикарбониламино-имино-метил)- бензоиламино]-3-метилсульфанил-пропионил]-феноксиуксусной кислоты, этиловый эфир (S)-4-[2-[4-(диэтоксифосфориламино-имино-метил)- бензоиламино]-пропионил]-феноксиуксусной кислоты, изопропиловый эфир (E/Z)-(S)-1-[2-[4-(амино-этоксикарбонилимино- метил)-бензоиламино] -3-(4-этоксикарбонилокси-фенил)-пропионил]-пиперидин- 4-илоксиуксусной кислоты, (E/Z)-(S)-4-[2-[4-(амино-этоксикарбонилиминометил)-бензоиламино] – 3-(4-изопропоксикарбонилметокси-пиперидин-1-ил)-3-оксо-пропил]- фениловый эфир 2-амино-бензойной кислоты, (E/Z)-(S)-4-[2-[4-(амино-этоксикарбонилиминометил)-бензоиламино] – 3-(4-изопропоксикарбонилметокси-пиперидин-1-ил)-3-оксо-пропил]- фениловый эфир фуран-2-карбоновой кислоты, (E/Z)-(S)-4-[2-[4-(амино-этоксикарбонилиминометил)-бензоиламино] – 3-(4-изопропоксикарбонилметокси-пиперидин-1-ил)-3-оксо-пропил]- фениловый эфир 2-ацетокси-бензойной кислоты, тетрагидропиран-4-ил-эфир (S)-1-[2-(5-амино-имино-метил-пиридин- 2-илкарбониламино)-пропионил]-пиперидин-4-илоксиуксусной кислоты, изопропиловый эфир (S)-1-[2-(5-аминометил-пиридин-2-илкарбониламино)- 3-(4-метоксифенил)-пропионил]-пиперидин-4-илоксиуксусной кислоты. Производные уксусной кислоты согласно изобретению могут быть получены следующим путем: а) в соединении формулы II ![]() где L0 представляет собой группу одной из формул L10-L50 ![]() в которой A0 является группой A, содержащей защищенную аминогруппу либо амидиновую группу, a A, W1, W2, G, M, Q и T имеют указанное выше значение, и A01 является защищенной амидиновой группой, защищенную аминогруппу, соответственно амидиновую группу расщепляют, или б) в соединении формулы III ![]() где L100 представляет собой группу одной из формул L101-L501 ![]() в которой A100 является группой A, содержащей свободную амидиновую группу, a A, W1, W2, G, M, Q и T имеют указанное выше значение, или в соли названного соединения свободную амидиновую группу трансформируют в амидиновую группу, замещенную на группу E1 либо E2, или в) в соединении формулы IV ![]() где L11 представляет собой группу одной из формул L111-L115 ![]() ![]() в которой X, Y, W1, W2, G, M, Q и T имеют указанное выше значение, содержащуюся в L11 циановую группу трансформируют в замещенную при определенных условиях на E1 либо E2 амидиновую группу или г) амин формулы ![]() где R2 представляет собой H, низший алкил либо низший алкокси-низший алкил, a G, M, Q и T имеют указанное выше значение, подвергают взаимодействию с кислотой A-COOH или ее функциональным производным и д) при необходимости содержащуюся в соединении формулы I реакционноспособную группу функционально модифицируют и е) при необходимости соединение формулы 1 переводят в физиологически совместимую соль или соль соединения формулы I переводят в свободную кислоту или основание. Примерами содержащихся в соединениях формулы II расщепляемых защищенных аминогрупп, соответственно амидиновых групп A0 являются NH-Boc и NH-Z, соответственно C(NH)NH-Boc, C(N-Boc)N(Boc)2, C(N-Boc)NH-BocH C(NH)NH-Z. Защищенные Вос аминогруппы и амидиновые группы могут расщепляться, например, с помощью кислоты, как муравьиная кислота или трифторуксусная кислота, при необходимости в растворителе, как дихлорметан, при температуре до 40oC, предпочтительно при комнатной температуре. Содержащаяся в группе A0 гидроксильная группа также может быть защищена три-низший алкил-силаниловой группой, как трет-бутил-метил-силанил. Такие группы могут расщепляться с помощью фторида тетрабутиламмония в простом эфире, как диэтиловый эфир и/или ТГФ, при температуре до 40oC, предпочтительно при комнатной температуре. Реакция трансформации б) содержащейся в соединении формулы III или в его соли, например, трифторацетате, свободной амидиновой группы в амидиновую группу, замещенную на группу E1 либо E2, может осуществляться в растворителе, как дихлорметан, при необходимости в присутствии основания, как NaHCO3 или Na2CO3, взаимодействием с соединением формулы R1OC(O)Cl или ClP(O) (O-низший алкил)2. Для трансформации циановой группы в замещенную при определенных условиях на E1 либо E2 амидиновую группу согласно варианту в) способа нитрил формулы IV в пиридине и триэтиламине можно подвергать взаимодействию с H2S и полученное H2NC (S)-замещенное на тиокарбамоил соединение, например, в ацетоне, метилировать с помощью метилиодида при температуре кипения до соответствующего HN=C(SCH3)-замещенного на метилтиоформимидоил соединения. Взаимодействием этого последнего с соединением E-NH2, где E представляет собой H, низший алкил или низший алкокси-низший алкил, либо с аддитивной солью кислоты этого соединения, как гидрохлорид или ацетат, в растворителе, как ТГФ или метанол, при нагреве, предпочтительно до температуры кипения реакционной смеси, получают соответствующий амидин формулы I. При обменной реакции между нитрилом формулы IV и гидрохлоридом гидроксиламина, осуществляемой в растворителе, как метанол или ДМСО, в присутствии основания, как метанолат натрия или триэтиламин, образуется соответствующее соединение формулы I, где группа A (в L) содержит гидроксилированную амидиновую группу. Реакцию трансформации г) целесообразно осуществлять с помощью соли, например, гидрохлорида, амина формулы V в присутствии основания, как пиридин, в растворителе, как простой эфир, при температуре до 40oC, предпочтительно при комнатной температуре. Содержащуюся в полученном согласно вариантам а)-г) способа сложном эфире формулы I трет-бутоксикарбонильную группу COOT1 можно расщеплять с помощью кислоты, как, например, муравьиная кислота, до карбоксильной группы. В качестве функциональных модификаций реакционноспособных групп согласно варианту д) способа используют (1) расщепление низший алкокси-карбонильных групп, как COOT1; (2) расщепление, например, содержащихся в группе G (в L) эфирных групп; (3) трансформацию содержащейся в группе A1 (в L) или L5 незамещенной амидиновой группы (E1 = E2=H) в замещенную амидиновую группу; (4) трансформацию содержащейся в группе A1 (в L) или L5 гидроксильной группы (один из E1 и E2 представляет собой OH, а другой H) в R1OC(O) O-группу. Эти реакции трансформации могут осуществляться по известной методике. Так, например, расщепление (1) может проводиться в растворителе, как водный низший алканол, например, водный метанол либо этанол, с помощью основания, как гидроокись натрия; расщепление (2) эфирных групп, как трет-бутоксигруппа, может проводиться в дихлорметане с помощью трифторуксусной кислоты; реакции трансформации (3) и (4) могут проводиться в растворителе, как дихлорметан, в присутствии NaHCO3 или Na2CO3 с помощью соединения формулы R1OC(O)Cl или в ДМФ в присутствии триэтиламина с помощью R1OCCOO-p-NO2C6H5. Другие реакции трансформации, как этерификация карбоксильной группы в кислоте формулы I (T=OH), этерификация содержащейся в группе G (в L) гидроксильной группы до аминобензоилокси-, фуроилокси-, ацетокси- или ацетоксибензоилоксигруппы, отщепление гидроксильной группы из содержащейся в группе A (в L) гидроксилированной амидиновой группы и преобразование содержащейся в группе L и/или между L и M, связанной не по типу амидной связи группы O=C= в группу HON=C= могут осуществляться, как это подробно описано в примерах, по известной методике. Содержащаяся в группе A (в L) гидроксилированная амидиновая группа может быть трансформирована в ацетоне с помощью муравьиной кислоты при нагреве, соответственно в присутствии метилморфолина в дихлорметане с помощью трифосгена при охлаждении в (5,5-диметил-, соответственно 5-оксо)-4,5-дигидро-1,2,4-оксадиазол-3-илгруппу. Трансформация содержащейся в группе A (в L) амидиновой группы в замещенную на -C(O)-SR1 амидиновую группу может проводиться в дихлорметане в присутствии NaHCO3 с помощью соответствующего хлоротиоформата ClC(O)SR1. Содержащуюся в группе формулы L N-замещенную группу A3 или A4, где E1 представляет собой H, можно трансформировать сначала с помощью акрил-нитрила в этаноле в соответствующую на 2-цианоэтил N-замещенную группу A3 или A4, где E1 представляет собой 2-цианоэтил, и затем группу A3 или A4 в дихлорметане трансформировать с помощью m-хлорбензойной кислоты в соответствующую N-гидрокси-замещенную группу A3 или A4, где E1 представляет собой OH. Соединения формулы II могут быть получены по известной методике. Так, те соединения, в которых L представляет собой N-содержащую группу L10 и Q обозначает O и которые соответствуют формуле ![]() где A0, G, M и T имеют указанное выше значение, a R2 представляет собой H, низший алкил, низший алкокси-низший алкил, можно получать, исходя из соединений формулы VI ![]() где W представляет собой защитную группу, как Boc, a R2, G и M имеют указанное выше значение, через соединения формулы ![]() Реакцию от VI до V-A можно осуществлять с помощь бромида BrCH2C(O)T в присутствии основания, как K2CO3, в растворителе, как ДМФ. Отщеплением защитной группы W в соединении формулы V-A получают соединение формулы V. Затем это соединение либо его аддитивную соль кислоты, например, гидрохлорид, взаимодействием с функциональным производным кислоты A0COOH, например, хлоридом кислоты, в присутствии основания, как N-метилморфолин, в растворителе, как ТГФ, трансформируют в соединение II-A. Соединения формулы VI, где M представляет собой при определенных условиях замещенный 1,4-фенилен, известны либо могут быть получены с помощью известных методов, например, исходя из соединений формулы VII ![]() через соединения формулы VI-A, ![]() где R3, R4 и R5 представляют собой низший алкил. Реакцию от VII до VI-A можно осуществлять с помощью бромида Br-M-OSi(R3,R4,R5) в растворителе, как ТГФ, при низких температурных значениях, например, при -78oC, в присутствии n-бутиллития в гексане. После отщепления силаниловой группы, например, в растворителе, как диэтиловый эфир, с помощью фторида тетрабутиламмония в ТГФ получают соединение формулы VI. Соединения формулы V-A, где M представляет собой 1,4-пиперидинилен, можно получать взаимодействием кислоты формулы VIII с амином формулы IX ![]() Такие соединения V-A могут быть переведены через соединения формулы V в соответствующие соединения формулы II, где M представляет собой 1,4-пиперидинилен. Нитрилы формулы IV можно получать, например, взаимодействием соединений формулы V-A (после отщепления защитной группы W) с хлоридом кислоты ![]() Нитрилы формулы IV, где M представляет собой 1,4-пиперидинилен, также могут быть получены взаимодействием активированной 2-хлор-4,6-диметокси-1,3,5-триазином и N-метилморфолином кислоты формулы L11-COOH с амином формулы IX-A ![]() Другой метод получения нитрилов формулы IV состоит в том, что кетон формулы XI подвергают взаимодействию с бромидом формулы XII ![]() где T2 представляет собой низший алкил, а X, Y, G, M и T1 имеют указанное выше значение. В одном из вариантов хлорид кислоты формулы X через сложный эфир формулы XI, где T2 представляет собой трет-бутил, с помощью бромида формулы XII переводят в соединение формулы XIII ![]() а трет-бутоксикарбонильную группу из соединения XIII отщепляют. Путем гидрирования нитрила формулы IV, где W1 (в L11) представляет собой NH, N-низший алкил или низший алкокси-низший алкил-N, например, в присутствии катализатора Pd/C, в метаноле/воде/уксусной кислоте получают соединение формулы I, в котором группа A (в L) имеет формулу A01 ![]() Замещенные в L11 на циан исходные кислоты L11-COOH могут быть получены посредством реакции Зандмейера с помощью соответствующей замещенной на амино кислоты. Исходные кислоты формулы L115-COOH можно получать, исходя из 4-цианосалициловой кислоты через соединения формулы ![]() В дополнение к этому в некоторых из нижеследующих примеров приводятся более подробные данные касательно получения определенных исходных материалов и промежуточных продуктов. Соединение формулы I, их сольваты и их соли ингибируют как связывание фибриногена, фибронектина и фактора Виллебранда с фибриноген-рецептором тромбоцитов (гликопротеин IIb/IIIa), так и их связывание и связывание других адгезивных протеинов, как витронектин, коллаген и ламинин, с соответствующими рецепторами на поверхности различных типов клеток. Тем самым названные соединения оказывают влияние на взаимодействие клетка-клетка и клетка- матрица. Они препятствуют прежде всего образованию тромбоцитовых тромбов и могут применяться для борьбы, соответственно лечения таких болезней, как тромбоз, кровоизлияние в мозг, инфаркт миокарда, воспаления и артериосклероз. Кроме того, эти соединения оказывают эффективное воздействие на раковые клетки, препятствуя распространению метастаз. Благодаря этому они могут применяться также в качестве противоопухолевых средств. Далее, они способствуют более быстрому заживлению ран. Так как они, кроме того, препятствуют рассасыванию костной ткани, их можно использовать также при лечении остеопороза. Активность соединений по изобретению подтверждается следующими экспериментальными данными: После орального введения мыши одного из соединений по изобретению плазму или разбавленный раствор плазмы (1 часть) перемешивали с богатой тромбоцитами плазмой человека (БТП человека, 3 части). Объем плазмы мыши, требующейся для 50%-ного ингибирования индуцированной АДФ агрегации тромбоцитов в этой смеси, определяли с помощью агремометра. Этот объем (IC50) делили на общий объем смеси и умножали на введенную дозу. Экстраполированные таким путем значения IC50, приведенные в таблице, соответствуют той дозе испытуемой субстанции, которую необходимо назначать для орального введения для 50%-ного ингибирования индуцированной АДФ ex vivo агрегации тромбоцитов в БТП человека. Как уже упоминалось выше, лекарственные средства, содержащие одно из соединений формулы I, его сольват или его соль, также являются предметом настоящего изобретения. Предметом изобретения является далее также способ получения таких лекарственных средств, который отличается тем, что из одного или нескольких названных соединений, при необходимости с добавками одного или нескольких других терапевтических ценных веществ, изготавливают препараты в галеновой форме. Лекарственные средства могут назначаться для энтерального, например, орального, введения в форме таблеток, лаковых таблеток, драже, твердожелатиновых и мягкожелатиновых капсул, растворов, эмульсий либо суспензий, или для ректального введения, например, в форме суппозиториев; или же в форме аэрозолей. Однако введение может проводиться также парэнтерально, например, в форме растворов для инъекций или для вливаний. Для изготовления таблеток, лаковых таблеток, драже и твердожелатиновых капсул активное вещество можно смешивать с фармацевтически инертными, неорганическими или органическими эксципиентами. В качестве таковых для таблеток, драже и твердожелатиновых капсул могут использоваться, например, лактоза, кукурузный крахмал или его производные, тальк, стеариновая кислота или ее соли. В качестве эксципиентов для мягкожелатиновых капсул пригодны, например, растительные масла, воск, жиры, полутвердые и жидкие полиолы; однако при изготовлении мягкожелатиновых капсул в зависимости от особенностей активного вещества вообще можно обойтись без эксципиентов. Для изготовления растворов и сиропов в качестве эксципиентов могут использоваться вода, полиолы, сахароза, инвертный сахар и глюкоза; для инъекционных растворов могут использоваться, например, вода, спирты, полиолы, глицерин и растительные масла, а для суппозиториев пригодны, например, природные или отвержденные масла, воск, жиры и полужидкие или жидкие полиолы. Фармацевтические препараты могут содержать, кроме того, еще и консерванты, вещества, способствующие растворимости, стабилизаторы, увлажняющие агенты, эмульгаторы, вещества, улучшающие вкус, красители, ароматизаторы, соли для изменения осмотического давления, буферы, оболочки или антиокислители. При лечении, соответственно предупреждении указанных выше заболеваний дозировку активного вещества можно вариировать в широких пределах, что зависит, естественно, в каждом отдельном случае от индивидуальных особенностей пациента. Для орального введения взрослому пациенту в основном должна назначаться суточная доза порядка 0,1-20 мг/кг, предпочтительно 0,5-4 мг/кг, причем, однако, указанная верхняя граница также может превышаться, если это окажется целесообразным для повышения эффективности. Пример 1 В раствор из 0,5 г этилового эфира (S)-4-(2-трет- бутоксикарбониламино-3-фенилпропионил)-феноксиуксусной кислоты в 2,5 мл дихлорметана добавляют 0,2 мл иодтриметилсилана в 2 мл дихлорметана и перемешивают в течение 15 мин при комнатной температуре. Затем реакционный раствор обрабатывают 30 мл HCl в метаноле (4H) и концентрируют. Остаток растворяют в 5 мл пиридина и перемешивают с 275 мг гидрохлорида р-амидинобензоилхлорида в течение 24 ч при комнатной температуре. Суспензию фильтруют на нутче, маточный раствор концентрируют и остаток после выпаривания хроматографируют на силилированном силикагеле RP 18 с помощью градиента ТГФ/вода. В результате получают 222 мг гидрохлорида метилового эфира (S)-4-[2-[4-(амино-имино-метил)-бензоиламино] -3- фенил-пропионил]-феноксиуксусной кислоты, [ ]2D0 = +31,1o (с=1, метанол).
Исходный материал получают следующим образом:а) В раствор из 11,5 г р-бром-трет-бутилдиметилсилилфенола в 160 мл ТГФ при – 78oC при удалении воды добавляют 29 мл трет-бутиллития (1,4 М в пентане) и перемешивают в течение 15 мин при -78oC. Затем раствор обрабатывают при -78oC 4 г (S)-2-трет-бутоксикарбониламино-N-метокси-N-метил-3-фенилпропионамида в 40 мл ТГФ, перемешивают в течение 1 ч при -78oC и сливают в 300 мл 1 М фосфорной кислоты. Водную фазу экстрагируют с помощью простого эфира, эфирные фазы промывают насыщенным раствором NaCl, сушат и концентрируют. После хроматографии остатка от упаривания на силикагеле (гексан/уксусный эфир 9: 1) получают 2.95 г трет-бутилового эфира (S)-[1-бензил-2-(4-трет-бутил-диметил-силанилокси-фенил)-2- оксо-этил]-карбаминовой кислоты в виде бесцветного масла, [ ]2D0 = +40,3o (с=0,8, хлороформ).
б) Раствор из 2,24 г продукта из а) в 30 мл ТГФ перемешивают с 0,75 г фторида цезия в 2,5 мл воды в течение 16 ч при комнатной температуре и концентрируют. После хроматографии остатка на силикагеле (гексан/уксусный эфир 2: 1) получают 2,47 г трет-бутилового эфира (S)-[1-бензил-2-(4-гидрокси-фенил)-2-оксо-этил] – карбаминовой кислоты, [ ]2D0 = +67,0o (с = 0,7, хлороформ).
в) Суспензию из 2,44 г продукта из б), 2,39 г этилбромацетата и 2,97 г карбоната калия в 20 мл ДМФ перемешивают в течение 4 ч при комнатной температуре, осадок отфильтровывают на нутче и маточный раствор концентрируют. После хроматографии остатка на силикагеле (гексан/уксусный эфир 5:1) получают 7,44 г этилового эфира (S)-4-(2- трет-бутоксикарбониламино-3-фенил-пропионил)-феноксиуксусной кислоты, [ ]2D0 = +40,6o (с=1, хлороформ).
Пример 2Раствор из 263 мг 2-метокси-этилового эфира 4-трет-бутоксикарбониламиноацетил-феноксиуксусной кислоты в 10 мл дихлорметана и 5 мл трифторуксусной кислоты перемешивают в течение 2 ч при комнатной температуре и концентрируют. Остаток суспендируют в простом эфире, кристаллы отфильтровывают на нутче, растворяют в 5 мл пиридина и перемешивают с 219 мг гидрохлорида амидинобензоилхлорида в течение 18 ч при комнатной температуре. После концентрирования реакционного раствора и хроматографии остатка на силилированном силикагеле RP 18 (градиент ТГФ/вода) получают 35 мг 2-метокси-этилового эфира 4-[4-(амино-имино- метил)-бензоиламиноацетил] -феноксиуксусной кислоты, МС (EI – электронная бомбардировка): 414 (M+H)+ Исходный материал получают следующим образом: а) Суспензию из 476 мг трет-бутилового эфира (R,S)-2-гидрокси-2-(4-гидроксифенил)-этилкарбаминовой кислоты, 287 мг (2-метокси-этил)-хлороацетата и 260 мг карбоната калия в 13 мл ДМФ перемешивают в течение 2 ч при 50oC, охлаждают до комнатной температуры и разбавляют 100 мл воды. Водную фазу экстрагируют с помощью простого эфира, эфирные фазы промывают насыщенным раствором NaCl, сушат и концентрируют. После хроматографии остатка на силикагеле (гексан/уксусный эфир 1:2) получают 349 мг 2-метокси-этилового эфира (R, S)-4-(2-трет-бутоксикарбониламино- 1-гидрокси-этил)-феноксиуксусной кислоты, МС (EI):312 (M-57). б) Путем окисления 316 мг продукта из а) в 10 мл дихлорметана с помощью 224 мг пиридинхлорохромата в течение 3 ч при комнатной температуре получают после концентрирования реакционного раствора и хроматографии на силикагеле (гексан/уксусный эфир 1: 1, 1:2) 284 мг 2-метокси-этилового эфира 4-трет-бутоксикарбониламиноацетил-феноксиуксусной кислоты, МС (EI): 294 (M-73). Пример 3 Раствор из 550 мг циклопропилметилового эфира (S)-4-(2-трет-бутокси-карбониламино-пропионил)-феноксиуксусной кислоты в 10 мл дихлорметана перемешивают с 0,2 мл триметилсилилиодида в течение 15 мин при 0oC, обрабатывают 0,5 мл HCl в диоксане (4 М) и концентрируют. Остаток подвергают аналогично примеру 1 взаимодействию с 330 мг гидрохлорида p- амидинобензоилхлорида. После хроматографии сырого продукта на силилированном силикагеле RP 18 (градиент ТГФ/вода) получают 313 мг гидрохлорида и гидроиодида циклопропилметилового эфира (S)-4- [2-[4-(амино-имино-метил)- бензоиламино]-пропионил] -феноксиуксусной кислоты (1:0,4), соответственно (1:0,6), Tпл 125oC, [ ]2D0 = +56,6o (с=0,5, ДМСО).
Исходный материал может быть получен следующим образом:а) В раствор из 43,05 г p-бром-трет-бутилдиметилсилилфенола в 150 мл ТГФ при -78oC при удалении воды добавляют по каплям 94 мл n-бутиллития (1,6 М в гексане) и перемешивают в течение 15 мин при – 78oC. Затем в течение 30 мин при -78oC добавляют 11,61 г (S)-2-трет-бутоксикарбониламино-N-метокси-N-метил-пропионамида в 150 мл ТГФ, после чего перемешивают в течение 0,5 ч при -78oC и сливают реакционную смесь в 400 мл 1 М фосфорной кислоты. Водную фазу экстрагируют с помощью простого эфира, эфирные фазы промывают насыщенным раствором NaCl, сушат и концентрируют. После хроматографии остатка от упаривания на силикагеле (гексан/уксусный эфир 9:1) получают 17,85 г трет-бутилового эфира (S)-1-(4-трет-бутил-диметил- силанилокси-бензоил)-этилкарбаминовой кислоты в виде бесцветного масла, Rf=0,43 (гексан/уксусный эфир 5:1). б) В раствор из 17,85 г продукта из а) в 180 мл простого эфира добавляют 47 мл фторида тетрабутиламмония (1 М в ТГФ) и перемешивают в течение 1 ч при комнатной температуре. Реакционный раствор экстрагируют в помощью 1 М фосфорной кислоты, промывают насыщенным раствором NaCl, сушат и концентрируют. В результате получают 12,03 г трет-бутилового эфира (S)-1-(4-гидрокси-бензоил)-этилкарбаминовой кислоты, Tпл 166-168oC, [ ]2D0 = +24,9o (с=1, хлороформ).
в) Взаимодействием 400 мг продукта из б) с циклопропилметилбромоацетатом аналогично примеру 1в) после хроматографии на силикагеле (гексан/уксусный эфир 3: 1) получают 580 мг циклопропилметилового эфира (S)-4-(2-трет-бутоксикарбониламино- пропионил)-феноксиуксусной кислоты, [ ]2D0 = +12,4o (с=0,9, хлороформ).
Пример 4Аналогично примеру 3 500 мг циклогексилового эфира (S)-4-(2-трет- бутоксикарбониламино-пропионил)-феноксиуксусной кислоты подвергают взаимодействию сначала с 0,17 мл триметилсилилиодида, а затем с 320 мг гидрохлорида p-амидинобензоилхлорида и после хроматографии на силилированном силикагеле RP 18 (градиент ТГФ/вода) получают 330 мг гидрохлорида и гидроиодида (S)-4-[2-[4-(амино-имино-метил)-бензоиламино] -пропионил] – феноксиуксусной кислоты (1,06), соответственно (1: 0,4), Tпл 110oC, [ ]2D0 =+56,7o (с=0,55, ДМСО).
Исходный материал может быть получен следующим образом:Взаимодействием 530 мг трет-бутилового эфира (S)-1-(4-гидрокси- бензоил)-этилкарбаминовой кислоты с 660 мг циклогексилбромоацетата аналогично примеру 1в) после хроматографии на силикагеле (гексан/уксусный эфир 5:1) получают 735 мг циклогексилового эфира (S)-4-(2-трет-бутоксикарбониламино-пропионил)-феноксиуксусной кислоты, [ ]2D0 = +12,0o (с = 0,5, хлороформ).
Пример 5Аналогично примеру 3 680 мг тетрагидропиран-4-илового эфира (S)-4-(2-трет-бутоксикарбониламино-пропионил)- феноксиуксусной кислоты подвергают взаимодействию сначала с 1,7 мл триметилсилилиодида (1 М в дихлорметане), а затем с 438 мг гидрохлорида р-амидинобензоилхлорида и после хроматографии на силилированном силикагеле RP 18 (градиент ТГФ/вода) получают 430 мг гидрохлорида и гидроиодида тетрагидропиран-4-илового эфира (S)- 4-[2-[4-(амино-имино-метил)-бензоиламино] -пропионил] -феноксиуксусной кислоты (1: 0,8), соответственно (1:0,4), [ ]2D0 = +50,3o (с=1, диметилсульфоксид).
Исходный материал может быть получен следующим образом:а) Взаимодействием 530 мг трет-бутилового эфира (S)-1-(4-гидроксибензоил)-этилкарбаминовой кислоты с 670 мг 4-тетрагидропиранил-бромоацетатом аналогично примеру 1в) после хроматографии на силикагеле (гексан/уксусный эфир 2: 1) получают 736 мг тетрагидропиран-4-илового эфира (S)-4-(2-трет-бутоксикарбониламино- пропионил)-феноксиуксусной кислоты, [ ]2D0 =+11,1o (с= 0,7, хлороформ).
Пример 6Раствор из 120 мг гидрохлорида метилового эфира (S)-4-[2-[4- (амино-имино-метил)-бензоиламино] -3-фенил-пропионил] -феноксиуксусной кислоты и 80 мг гидроокиси натрия в 20 мл метанола и 5 мл воды перемешивают в течение 1 ч 15 мин при комнатной температуре, подкисляют 1H HCl и концентрируют. После хроматографии остатка на силилированном силикагеле RP 18 (градиент ТГФ/вода) получают 60 мг (S)-4-[2-[4-(амино-имино-метил)- бензоиламино]-3-фенил-пропионил] -феноксиуксусной кислоты, Tпл>200oC, МС (бомбардировка ионами): 446 (M+H)+. Пример 7 Взаимодействием 800 мг этилового эфира 4-[(S)-3-трет-бутокси-2- трет-бутоксикарбониламино-пропионил]-феноксиуксусной кислоты с 450 мг триметилсилилиодида и 497 мг гидрохлорида p-амидинобензоилхлорида аналогично примеру 3 после хроматографии на силилированном силикагеле RP 18 (градиент ТГФ/вода) получают 540 мг гидрохлорида (1:0,5) и гидроиодида (1:0,4) этилового эфира 4-(S)-2-[4-(амино-имино- метил)-бензоиламино]-3-трет-бутокси-пропионил]-феноксиуксусной кислоты, Tпл 144oC, [ ]2D0 = +34,2o (с=0,5, ДМСО).
Исходный материал может быть получен следующим путем:а) Суспензию из 10 г соли N-трет-бутоксикарбонил-O-трет-бутил- L-серин-дициклогексиламмония в 100 мл ТГФ перемешивают с 5,5 мл N-метилморфолина, 10,3 г HBTU (гексафторофосфат O-бензотриазол-1-ил-N,N,N’,N’-тетраметилурония) и 2,2 г гидрохлорида N,O-диметилгидроксиламина в течение 21 ч при комнатной температуре и концентрируют. После хроматографии остатка на силикагеле (гексан/уксусный эфир 1:1) получают 6,02 г трет-бутилового эфира (S)-2-трет-бутокси-1-(N-метокси-N-метил-карбамоил)- этилкарбаминовой кислоты, [ ]2D0 = +18,6o (с=0,65, хлороформ).
б) Раствор из 3,7 г продукта из а) аналогично примеру За) подвергают взаимодействию с 7,82 г p-бром-трет-бутилдиметилсилилфенола и 26 мл трет-бутиллития (1,4 М в пентане). После хроматографии остатка на силикагеле (гексан/уксусный эфир 5:1) получают 3,58 г трет-бутилового эфира (S)-2-трет-бутокси-1-(4-трет-бутил-диметил- силанилокси-бензоил)-этилкарбаминовой кислоты, [ ]2D0 = +28,3o (с = 0,6, хлороформ).
в) Отщепление силилзащитной группы из 2,5 г продукта из б) с помощью 840 мг фторида цезия осуществляют согласно примеру 1б). После хроматографии на силикагеле (гексан/уксусный эфир 3:1) получают 1,08 г трет-бутиловогоэфира (S)-2-трет-бутокси-1-(4-гидрокси-бензоил)-этилкарбаминовой кислоты, [ ]2D0 =+41,5o (с=1, хлороформ).
г) Взаимодействием 1 г продукта из в) с 0,5 мл этилбромоацетата и 1,23 г карбоната калия аналогично примеру 1в) после хроматографии на силикагеле (гексан/уксусный эфир 3:1) получают 1,19 г этилового эфира 4-[(S)-3-трет-бутокси-2-трет-бутоксикарбониламино-пропионил] – феноксиуксусной кислоты, [ ]2D0 = +27,3o, (с=0,8, хлороформ).
Пример 8Аналогично примеру 3 778 мг этилового эфира (S)-4-[2-трет- бутоксикарбониламино-3-(4-метокси-фенил)-пропионил]- феноксиуксусной кислоты подвергают взаимодействию с 0,28 мл триметилсилилиодида и 450 мг p-амидинобензоилхлорида и сырой продукт хроматографируют на силилированном силикагеле RP 18 (градиент ТГФ/вода). В результате получают 272 мг гидрохлорида (1:0,3) и гидроиодида (1: 0,3) этилового эфира (S)-4-[2-[4-(амино- имино-метил)-бензоиламино] -3-(4-метокси-фенил)-пропионил] – феноксиуксусной кислоты, Tпл 129oC. [ ]2D0 = +20,0o (с = 0,6, ДМСО).
Исходный материал может быть получен следующим путем:а) Взаимодействием 3,5 г трет-бутилового эфира (S)-1-(N-метокси- N-метил-карбамоил)-2-(4-метокси-фенил)-этилкарбаминовой кислоты с 8,9 г p-бром-трет-бутилдиметилсилилфенола и 22,2 мл трет- бутиллития (1,4 М в пентане) согласно примеру За) и после хроматографии остатка от упаривания на силикагеле (гексан/уксусный эфир 5:1) получают 3,66 г трет-бутилового эфира (S)-1-[4-(трет-бутил- диметил-силанилокси)-бензоил] -2- (4-метокси-фенил)-этилкарбаминовой кислоты, [ ]2D0 = +23,8o (с=0,5, хлороформ).
б) Раствор из 2,5 г продукта из а) обрабатывают (отщепление защитной группы) аналогично тому, как это описано в примере Зб). После хроматографии на силикагеле (гексан/уксусный эфир 3:1, 2:1) получают 1,42 г трет-бутилового эфира (S)-1-(4-гидрокси-бензоил) -2-(4-метокси-фенил)-этилкарбаминовой кислоты, Tпл 133-135oC, [ ]2D0 = +47,3o (с=0,9, хлороформ).
в) Взаимодействием 1,0 г продукта предварительной стадии с этилбромоацетатом согласно примеру 1в) и после хроматографии остатка на силикагеле (гексан/уксусный эфир 2: 1) получают 1,21 г этилового эфира (S)-4-[2-трет- бутоксикарбониламино-3-(4-метокси-фенил)-пропионил]-феноксиуксусной кислоты, Tпл 95-97oC, [ ]2D0 = +22,6o (с = 0,5, хлороформ).
Пример 9Раствор из 300 мг гидрохлорида (1:0,5) и гидроиодида (1:0,4) этилового эфира (S)-4-[2-[4-(амино-имино-метил)-бензоиламино] -3- трет-бутокси-пропионил]-феноксиуксусной кислоты в 3 мл дихлорметана обрабатывают 1 мл трифторуксусной кислоты, перемешивают в течение 4 ч при комнатной температуре и концентрируют. После хроматографии остатка на силикагеле (хлороформ/этанол/вода 60:30:5) получают 100 мг трифторацетата этилового эфира (S)-4-[2-[4-(амино-имино-метил) -бензоиламино]-3-гидрокси-пропионил]-феноксиуксусной кислоты, [ ]2D0 =+52,0o (с=0,3,диметилсульфоксид).
Пример 10Раствор из 260 мг этилового эфира (S)-4-[2-(4-трет-бутоксикарбониламинометил-бензоиламино)- пропионил] -феноксиуксусной кислоты в 3 мл дихлорметана и 1,5 мл трифторуксусной кислоты перемешивают в течение 1 ч при комнатной температуре и концентрируют. Остаток составляет 260 мг этилового эфира (S)-4-[2-(4-аминометил-бензоиламино)-пропионил] – феноксиуксусной кислоты, [ ]2D0 = +43,0o (с = 0,3, ДМСО).
Исходный материал может быть получен следующим путем:а) Взаимодействием 530 мг трет-бутилового эфира (S)-1-(4- гидрокси-бензоил)-этилкарбаминовой кислоты с этилбромоацетатом аналогично примеру 1в) после хроматографии на силикагеле (гексан/уксусный эфир 5:1) получают 582 мг этилового эфира (S)-4-(2-трет-бутоксикарбониламино-пропионил)-феноксиуксусной кислоты, [ ]2D0 = -1,8o (с = 0,5, этанол).
б) Путем обработки (отщепление защитной группы) 620 мг продукта из а) аналогично примеру 3 получают гидрохлорид этилового эфира (S)-4-(2-амино-пропионил)-феноксиуксусной кислоты, который в качестве сырого продукта подвергают дальнейшей трансформации. Раствор из 443 мг 4-трет-бутоксикарбониламинометил-бензойной кислоты и 0,43 мл N-метилморфолина в 5 мл ТГФ обрабатывают при 0oC 800 мг HBTU, перемешивают в течение 1 ч при 0oC и затем добавляют 0,3 мл N-метилморфолина и упомянутый выше этиловый эфир (S)-4-(2-амино-пропионил)-феноксиуксусной кислоты, растворенный в 6 мл ТГФ. После перемешивания в течение 3,5 ч при комнатной температуре раствор концентрируют и остаток хроматографируют на силикагеле (гексан/уксусный эфир 1:1). В результате получают 463 мг этилового эфира (S)-4-[2-(4-трет-бутоксикарбониламинометил- бензоиламино)-пропионил] -феноксиуксусной кислоты, [ ]2D0 = +50,0o (с = 0,5, хлороформ).
Пример 11Раствор из 630 мг гидрохлорида (1:0,3) и гидроиодида (1:0,3) этилового эфира (S)-4-[2-[4-(амино-имино-метил)-бензоиламино] -3-(4-метокси-фенил)-пропионил] -феноксиуксусной кислоты (пример 8) и 330 мг гидроокиси натрия в 15 мл воды и 30 мл этанола перемешивают в течение 3 ч при комнатной температуре и затем концентрируют. После хроматографии на силилированном силикагеле RP 18 (градиент ТГФ/вода) получают 32 мг (S)-4-[2-[4-(амино-имино-метил)-бензоиламино] -3-(4- метокси-фенил)-пропионил]-феноксиуксусной кислоты, микроанализ: рассч. C 65,68, H 5,30, N 8,84; факт. C 65,77, H 5,12, N 8,73. Базовый пример 12 Раствор из 1 г этилового эфира (S)-4-[2-[4-(трет- бутоксикарбониламино-имино-метил)-бензоиламино]-3-метил- бутирил]-феноксиуксусной кислоты в 10 мл дихлорметана и 5 мл трифторуксусной кислоты перемешивают в течение 3 ч при комнатной температуре и затем концентрируют. После хроматографии на силилированном силикагеле RP 18 (градиент ТГФ/вода) получают 789 мг трифторацетата этилового эфира (S)-4-[2-[4-(амино-имино- метил)-бензоиламино]-феноксиуксусной кислоты, Tпл 202oC, [ ]2D0 = +95,5o (с=1, ДМСО).
Исходный материал может быть получен следующим путем:а) Аналогично примеру 3а) 2,6 г (5)-2-трет- бутоксикарбониламино-N-метокси-N-3-диметил-бутирамида подвергают взаимодействию с 8,6 г p-бром-трет-бутилдиметилсилилфенола. После хроматографии на 200 г силикагеля (гексан/уксусный эфир 95:5) получают 3,0 г трет-бутилового эфира (S)-1-(4-трет-бутил- диметил-силанилокси-бензоил)-2-метил-пропилкарбаминовой кислоты, [ ]2D0 = +83,0o (с=0,5, хлороформ).
б) Отщеплением защитной группы, содержащейся в 3,0 г продукта из а), аналогично примеру 3б) получают 1,88 г трет- бутилового эфира (S)-1-(4-гидрокси-бензоил)-2-метил- пропилкарбаминовой кислоты, [ ]2D0 = +107,9o (с=0,7, хлороформ).
в) Путем реакции между 1,88 г продукта из б) и этилбромоацетатом аналогично примеру 1в) и последующей хроматографии на силикагеле (гексан/уксусный эфир 5:1) получают 2,02 г этилового эфира (S)- 4-(2-трет-бутоксикарбониламино-3-метил-бутирил)-феноксиуксусной кислоты, [ ]2D0 = +86,1o (с=1, хлороформ).
г) В суспензию из 7 г 4-амидинобензойной кислоты в 120 мл диоксана и 88 мл 1 H NaOH добавляют при 0oC 13,96 г ди-трет-бутилдикарбоната в 70 мл диоксана, после чего перемешивают в течение 1,5 г при комнатной температуре. Осадок фильтруют на нутче, маточный раствор дважды экстрагируют с помощью 100 мл простого эфира, устанавливают с помощью 1H HCl на pH 6 и концентрируют. После хроматографии остатка на силилированном силикагеле RP 18 (градиент ТГФ/вода) получают 4,2 г N-трет-бутоксикарбонил-4-амидинобензойной кислоты, Tпл>200oC.
д) В раствор из 1,14 г этилового эфира (S)-4-(2-трет-бутоксикарбонила-мино-3-метил-бутирил)-феноксиуксусной кислоты в 10 мл безводного дихлорметана добавляют при 0oC 410 мкл триметилсилилиодида, перемешивают в течение 15 мин при 0oC, обрабатывают желтый раствор 1,5 мл HCl в диоксане (4H) и затем выпаривают растворитель. Остаток растворяют в 10 мл ТГФ, обрабатывают 793 мг N-трет-бутоксикарбонил-4-амидинобензойной кислоты, 1,0 мл триэтиламина, 1,33 г HBTU и перемешивают в течение 16 ч при комнатной температуре. Образовавшуюся суспензию концентрируют и остаток хроматографируют на силикагеле. В результате получают 1,07 г этилового эфира (S)-4-[2-[4-(трет-бутоксикарбониламино-имино-метил)- бензоиламино] -3-метил-бутирил]-феноксиуксусной кислоты, МС (бомбардировка ионами): 526 (M+H)+.
Пример 13Аналогично примеру 12 из 250 мг этилового эфира (S)-4- [2-[4-(трет-бутоксикарбониламино-имино-метил)-бензоиламино] -3- [4-(2-метокси- этокси)-фенил]-пропионил]-феноксиуксусной кислоты и после хроматографии на силилированном силикагеле RP 18 (градиент ТГФ/вода) получают 66 мг трифторацетата этилового эфира (S)-4-[2- [4-(амино-имино-метил)-бензоиламино]-3-[4-(2-метокси-этокси)- фенил]-пропионил]-феноксиуксусной кислоты, МС (бомбардировка ионами): 548 (M+H)+. Исходный материал может быть получен следующим путем: а) В течение 1 ч осуществляют реакцию фазового перехода между 2,2 г трет-бутилового эфира (S)-2-(4-гидрокси-фенил)-1-(метокси- метил-карбамоил)-этилкарбаминовой кислоты и 2,5 г 2-хлорэтилметилового эфира в 10 мл толуола и 10 мл 50%-ной NaOH в присутствии 50 мг гидросульфата тетрабутиламмония. Затем водную фазу экстрагируют с помощью простого эфира, соединенные органические фазы промывают насыщенным раствором NaCl, сушат и концентрируют. После хроматографии остатка на силикагеле получают 1,11 г трет-бутилового эфира (S)-2-[4-(2-метокси-этокси)-фенил]-1-(метокси-метил) -карбамоил)-этилкарбаминовой кислоты, [ ]2D0 = +17,6o (с=1, хлороформ).
б) Реакцией трансформации 1 г продукта предварительной стадии согласно примеру 3а) после хроматографии на силикагеле (гексан/уксусный эфир 9:1) получают 326 мг трет-бутилового эфира (S)-1-[4-(трет-бутил-диметил-силанилокси)-бензоил]-2- [4-(2-метокси-этокси)-фенил]-этилкарбаминовой кислоты, МС (бомбардировка ионами): 530 (M+H)+.
в) Реакцией трансформации 310 мг продукта из б) аналогично примеру 3б) и алкилированием продукта аналогично примеру 1в) после хроматографии на силикагеле (гексан/уксусный эфир 2:1) получают 273 мг этилового эфира (S)-4-[2-трет-бутоксикарбониламино-3-[4- (2-метокси-этокси)-фенил] -пропионил] -феноксиуксусной кислоты, МС (бомбардировка ионами): 502 (M+H)+г) Путем реакции, осуществляемой с 250 мг продукта предварительной стадии согласно примеру 12д), после хроматографии на силикагеле (гексан/уксусный эфир 1: 2) получают 267 мг этилового эфира (S)-4-[2-[4-(трет-бутоксикарбониламино-имино-метил)-бензоиламино] -3-[4-(2-метокси- этокси)-фенил] -пропионил] -феноксиуксусной кислоты, МС (бомбардировка ионами): 648 (M+H)+. Базовый пример 14 Раствор из 400 мг трифторацетата этилового эфира (S)-4-[2- [4-(амино-имино-метил)-бензоиламино]-3-метил-бутирил] -феноксиуксусной кислоты (пример 12) в 65 мл этанола и 17 мл воды обрабатывают 200 мг NaOH, перемешивают в течение 1 ч при комнатной температуре, подкисляют 7 мл 1H HCl и концентрируют. После хроматографии остатка на силилированном силикагеле RP 18 (градиент ТГФ/вода) получают 287 мг гидрохлорида (1:0,4) (S)-4-[2-[4-(амино-имино-метил)-бензоиламино]-3-метил-бутирил] -феноксиуксусной кислоты, МС (бомбардировка ионами): 398 (M+H)+. Пример 15 В суспензию из 250 мг трифторацетата этилового эфира (S)-4-[2- [4-(амино-имино-метил)-бензоиламино] -3-гидрокси-пропионил] -феноксиуксусной кислоты в 4 мл дихлорметана и 4 мл насыщенного раствора Na2CO3 добавляют 66 мг 2-метокси-этил-хлороформиата и затем перемешивают в течение 5 мин при комнатной температуре. Водную фазу экстрагируют с помощью дихлорметана, дихлорметановые фазы промывают водой, сушат и концетрируют. После хроматографии остатка на силикагеле (уксусный эфир) получают 55 мг этилового эфира (S)-4-[3-гидрокси-2-[4- [имино-(2-метоксиэтоксикарбониламино)-метил]-бензоиламино] -пропионил]-феноксиуксусной кислоты, МС (бомбардировка ионами): 516 (M+H)+. Пример 16 Раствор из 200 мг трет-бутилового эфира (S)-4-бутокси-2-[4-трет- бутоксикарбониламино-имино-метил)-бензоиламино] -пропионил] – феноксиуксусной кислоты в 2 мл дихлорметана и 1 мл трифторуксусной кислоты перемешивают в течение 2 ч при комнатной температуре и концентрируют. Остаток суспендируют в метаноле, выделяют центрифугированием и промывают простым эфиром. В результате получают 41 мг трифторацетата (S)-4-[2-[4-амино-имино-метил)- бензоиламино] -3-гидрокси-пропионил] -феноксиуксусной кислоты, МС (ISN): 384 (M-H)–. Исходный материал может быть получен следующим путем: а) Путем реакции между 1,35 г трет-бутилового эфира (S)-2-трет- бутокси-1-(4-гидрокси-бензоил)-этилкарбаминовой кислоты и трет- бутилбромоацетатом аналогично примеру 1в) получают 417 мг трет- бутилового эфира (S)-4-(2-трет-бутоксикарбониламино-3-трет- бутокси-пропионил] -феноксиуксусной кислоты, МС (ISN): 450 (M-H)–. б) Взаимодействием 400 мг продукта предварительной стадии с N- трет-бутоксикарбонил-4-амидинобензойной кислотой согласно примеру 12а) после хроматографии на силикагеле (гексан/уксусный эфир 1:1) получают 230 мг трет-бутилового эфира (S)-4-[3-трет-бутокси-2- [4-(трет-бутоксикарбониламино-имино-метил)-бензоиламино] -пропионил] – феноксиуксусной кислоты, МС (ISN): 596 (M-H)–. Пример 17 Взаимодействием 100 мг трифторацетата этилового эфира (S)-4-[2- [4-(амино-имино-метил)-бензоиламино] -3-гидрокси-пропионил] -феноксиуксусной кислоты (пример 9) с 54 мкл изобутилхлороформиата согласно примеру 15 после хроматографии (уксусный эфир) получают 65 мг этилового эфира (S)-4-[3-гидрокси-2-[4-(имино-изобутоксикарбониламино- метил)-бензоиламино] -пропионил]-феноксиуксусной кислоты, [ ]2D0 = +47.0o (с=0,7, ДМСО).
Пример 18Взаимодействием 170 мг этилового эфира (S)-4-[2-[4-(трет- бутоксикарбониламино-имино-метил)-бензоиламино] -3-метокси-пропионил] – феноксиуксусной кислоты с трифторуксусной кислотой аналогично примеру 12 и после кристаллизации остатка с помощью простого эфира получают 124 мг трифторацетата этилового эфира (S)-4-[2-[4-(амино-имино-метил)- бензоиламино]-3-метокси-пропионил]-феноксиуксусной кислоты, МС (бомбардировка ионами): 428 (M+H)+. Исходный материал может быть получен следующим образом: а) Путем реакции между 1,18 г (S)-2-трет-бутоксикарбониламино- N,3-диметокси-N-метил-пропионамида и p-бром-трет- бутилдиметилсилилфенолом аналогично примеру 3а) после хроматографии на силикагеле (гексан/уксусный эфир 8:1) получают 872 мг трет-бутилового эфира (S)-1-[4-(трет-бутил- диметил-силанилокси)-бензоил] -2-метокси-этилкарбаминовой кислоты, МС (бомбардировка ионами): 410 (M+H)+. б) Отщеплением силилзащитной группы, содержащейся в 850 мг продукта предварительной стадии согласно примеру 3б), и алкилированием продукта согласно примеру 1в) получают 546 мг этилового эфира (S)-4-(2-трет-бутоксикарбониламино-3-метокси-пропионил)- феноксиуксусной кислоты, МС (EI): 308 (М-73). в) Путем реакции между 530 мг продукта предварительной стадии и N-трет-бутоксикарбонил-4-амидинобензойной кислотой согласно рекомендации из примера 12д) и после хроматографии на силикагеле (гексан/уксусный эфир 1:2) получают 170 мг этилового эфира (S)-4-[2- [4-(трет-бутоксикарбониламино-имино-метил)-бензоиламино] -3-метокси- пропионил]-феноксиуксусной кислоты, МС (бомбардировка ионами): 528 (M+H)+. Пример 19 Из 510 мг (S)-втор-бутилового эфира (S)-4-[3-трет- бутокси-2-[4-(трет-бутоксикарбониламино-имино-метил)- бензоиламино]-пропионил]-феноксиуксусной кислоты получают согласно примеру 12 и после хроматографии сырого продукта на силилированном силикагеле RP 18 (градиент ТГФ/вода) 280 мг трифторацетата (S)-втор-бутилового эфира (S)-4-[2-[4-(амино- имино-метил)-бензоиламино]-3-гидрокси-пропионил] -феноксиуксусной кислоты, Tпл 85-87oC, [ ]2D0 = +55,7o (с=0,3, диметилсульфоксид).
Исходный материал может быть получен следующим путем:а) Из 790 мг трет-бутилового эфира (S)-2-тpeт-бутoкcи-1-(4-гидpoкcи-бензоил)-этилкарбаминовой кислоты с помощью (S)-втор-бутилового эфира бромуксусной кислоты согласно примеру 1в) и после хроматографии на силикагеле (гексан/уксусный эфир 9:1) получают 780 мг (S)-втор-бутилового эфира (S)-4-(3-трет-бутокси-2-трет-бутоксикарбониламино-пропионил)- феноксиуксусной кислоты, [ ]2D0 = +35,3o (с = 0,45, хлороформ).
б) Путем реакции между 720 мг продукта предварительной стадии и 510 мг N-трет-бутоксикарбонил-4-амидинобензойной кислоты аналогично примеру 12д) после хроматографии на силикагеле (гексан/уксусный эфир 3:1, 2:1) получают 570 мг (S)-втор- бутилового эфира (S)-4-[3-трет-бутокси-2-[4- (трет-бутоксикарбониламино-имино-метил)-бензоиламино] -пропионил] – феноксиуксусной кислоты, [ ]2D0 = +51,3o (с= 1, хлороформ).
Пример 20Из 650 мг этилового эфира (2S,3R)-4-[3-трет- бутокси-2-[4-(трет-бутоксикарбониламино-имино-метил)- бензоиламино]-бутирил]-феноксиуксусной кислоты получают согласно примеру 12 и после хроматографии на силилированном силикагеле RP 18 (градиент ТHФ/вода) 350 мг трифторацетата этилового эфира (2S, 3R)-4-[2-[4-(амино-имино-метил)-бензоиламино] – 3-гидрокси-бутирил] -феноксиуксусной кислоты, Tпл 95-97oC, [ ]2D0 = +98,8o (с = 0,4, ДМСО).
Исходный материал может быть получен следующим образом:а) Из 15 г трет-бутилового эфира (1S,2R)-2- трет-бутокси-1-карбокси-пропилкарбаминовой кислоты аналогично примеру 7а) и после хроматографии на силикагеле (гексан/уксусный эфир 5:1, 3:1) получают 11,19 г трет-бутилового эфира (1S,2R)-2- трет-бутокси-1-(метокси-метил-карбамоил)-пропанкарбаминовой кислоты, [ ]2D0 = +30,0o (с=0,7, хлороформ).
б) Путем реакции между 17 г продукта предварительной стадии и p-бром-трет-бутилдиметилсилилфенолом аналогично примеру 3а) после хроматографии на силикагеле (гексан/уксусный эфир 9:1) получают 4,76 г трет-бутилового эфира (1S, 2R)-2-трет-бутокси-1-[4- (трет-бутил-диметил-силанилокси)-бензоил] -пропилкарбаминовой кислоты, [ ]2D0 = +61,0o (с = 0,3, хлороформ).
в) Отщеплением силилзащитной группы, содержащейся в 4,74 г продукта предварительной стадии согласно примеру 3б), и алкилированием продукта согласно примеру 1в) после хроматографии на силикагеле (гексан/уксусный эфир 5:1) получают 3,34 г этилового эфира (2S,3R)-4-(3-трет-бутокси-2-трет-бутоксикарбониламино-бутирил)- феноксиуксусной кислоты, [ ]2D0 = +71,0o (с=0,3, хлороформ).
г) Путем реакции между 1,09 г продукта предварительной стадии и N-трет-бутоксикарбонил-4-амидинобензойной кислотой согласно примеру 12д) и после хроматографии на силикагеле (гексан/уксусный эфир 2:1, 1:1) получают 660 мг этилового эфира (2S,3R)-4-[3-трет- бутокси-2-[4-(трет- бутоксикарбониламино-имино-метил)-бензоиламино] -бутирил] – феноксиуксусной кислоты, [ ]2D0 = +126,0o (с=0,3, хлороформ).
Пример 21Из 2 г 2-метокси-этилового эфира (S)-4-[2-[4- (трет-бутоксикарбонила-мино-имино-метил)-бензоиламино] -3-трет- бутокси-пропионил]-фенокисуксусной кислоты после обработки аналогично примеру 12 и хроматографии на силилированном силикагеле RP 18 (градиент ТГФ/вода) получают 600 мг трифторацетата 2- метокси-этилового эфира (S)-4-[2-[4-(амино-имино-метил)- бензоиламино]-3-гидрокси-пропионил]-феноксиуксусной кислоты, Tпл 174oC, [ ]2D0 = +51,6o (с= 0.5, ДМСО).
Исходный материал может быть получен следующим образом:а) Алкилированием 1,64 г трет-бутилового эфира (S)-2-трет- бутокси-1-(4-гидрокси-бензоил)-этилкарбаминовой кислоты с помощью 2-метокси-этилбромоацетата согласно примеру 1в) после хроматографии на силикагеле получают 1,58 г 2-метокси-этилового эфира (S)-4-[3-трет-бутокси-2-трет-бутоксикарбониламино-пропионил] -феноксиуксусной кислоты, МС (бомбардировка ионами): 454 (М+H)+. б) Взаимодействием 1,55 г продукта предварительной стадии с N-трет-бутоксикарбонил-4-амидинобензойной кислотой согласно примеру 12д) и после хроматографии на силикагеле (гексан/уксусный эфир 2:1, 1:1) получают 2,0 г 2-метокси-этилового эфира (S)-4-[2-[4-(трет- бутоксикарбониламино-имино-метил)-бензоиламино] -3-трет-бутокси- пропионил] -феноксиуксусной кислоты, МС (бомбардировка ионами): 600 (М+H)+. Пример 22 Из 4,7 г 2-метокси-этилового эфира (S)-4-[2-[4-(трет- бутоксикарбониламино-имино-метил)-бензоиламино]- пропионил]-феноксиуксусной кислоты согласно примеру 12 и после хроматографии на силилированном силикагеле RP 18 (градиент ТГФ/вода) получают 1,67 г 2-метокси этилового эфира (S)-4-[2-[4- (амино-имино-метил)-бензоиламино] -пропионил]-феноксиуксусной кислоты, [ ]2D0 = +60,0 (с=0,4, ДМСО).
Исходный материал может быть получен следующим путем: а) Взаимодействием 3,98 г трет-бутилового эфира (S)-1-(4-гидрокси- бензоил)-этилкарбаминовой кислоты с 3,25 г 2-метокси- этилбромоацетата аналогично примеру 1в) после хроматографии на силикагеле (гексан/уксусный эфир 2:1) получают 3,31 г 2-метокси- этилового эфира (S)-4-(2-трет-бутоксикарбониламино-пропионил) – феноксиуксусной кислоты, Rf=0,29 (гексан/уксусный эфир 1:1).
б) Путем трансформации 3,3 г продукта предварительной стадии согласно примеру 12д) после хроматографии на силикагеле (гексан/уксусный эфир 1:2) получают 4,76 г 2-метокси-этилового эфира (S)-4-[2-[4-(трет-бутоксикарбониламино-имино-метил)-бензоиламино] -пропионил]-феноксиуксусной кислоты, МС (бомбардировка ионами): 528 (М+H)+.
Пример 23Взаимодействием 199 мг трифторацетата этилового эфира (S)-4-[2-[4-(амино-имино-метил)-бензоиламино] -пропионил] -феноксиуксусной кислоты с этилхлороформиатом согласно примеру 15 после хроматографии на силикагеле (гексан/уксусный эфир 1: 2) получают 137 мг этилового эфира (S)-4-[2-[4-(этоксикарбониламино-имино-метил)- бензоиламино]-пропионил]-феноксиуксусной кислоты, МС (бомбардировка ионами): 470 (М+H)+. Исходный материал может быть получен следующим образом: а) Взаимодействием 530 мг трет-бутилового эфира (S)-1-(4-гидрокси-бензоил)-этилкарбаминовой кислоты с этилбромоацетатом аналогично примеру 1в) после хроматографии на силикагеле (гексан/уксусный эфир 5:1) получают 582 мг этилового эфира (S)-4-(2-трет-бутоксикарбониламино- пропионил)-феноксиуксусной кислоты, [ ]2D0 =-1,8o (с=0,5,этанол).
б) Путем реакции между 702 мг продукта из а) и N-трет- бутоксикарбонил-4-амидинобензойной кислотой и отщеплением защитной группы согласно примеру 12 после хроматографии на силилированном силикагеле RP 18 (градиент ТГФ/вода) получают 487 мг трифторацетата этилового эфира (S)-4-[2-[4-(амино-имино- метил)-бензоиламино] -пропионил]-феноксиуксусной кислоты, Tпл 180oC, [ ]20D/ = +54.2o (с=0,6, ДМСО).
Пример 24Отщеплением защитных групп, содержащихся в 1 г этилового эфира (E,Z)-(S)-4-[3-ацетокси-2-[4-[(ди-трет-бутоксикарбониламино)-трет- бутоксикарбонилимино-метил] -бензоиламино]-пропионил] -феноксиуксусной кислоты, аналогично примеру 12 после кристаллизации с помощью простого эфира получают 760 мг трифторацетата этилового эфира (S)-4-[2-[4-(амино-имино-метил)-бензоиламино] -3-ацетокси-пропионил] -феноксиуксусной кислоты, МС (бомбардировка ионами): 456 (М+H)+. Исходный материал может быть получен следующим путем: а) Раствор из 440 мг этилового эфира 4-[(S)-3-трет-бутокси-2- трет-бутоксикарбониламино-пропионил] -феноксиуксусной кислоты в 10 мл дихлорметана перемешивают с 0,28 мл триметилсилилиодида в течение 3 ч при комнатной температуре, обрабатывают 1 мл HCl в диоксане (приблизительно 4 М) и концентрируют. Остаток растворяют в 10 мл ТГФ, обрабатывают 464 мг (E,Z)-4-(три-трет-бутоксикарбониламидино)-бензойной кислоты, 253 мг N-метилморфолина, 379 мг HBTU и перемешивают в течение 16 ч при комнатной температуре. Образовавшуюся суспензию концентрируют и остаток хроматографируют на силикагеле (гексан/уксусный эфир 1:1). В результате получают 320 мг этилового эфира (E,Z)-(S)-4-[2-[4-[(ди-трет-бутоксикарбониламино)-трет- бутоксикарбониламино-метил] -бензоиламино]-3-гидрокси-пропионил]- феноксиуксусной кислоты, МС (бомбардировка ионами): 714 (М+H)+. б) Ацетилированием 1,42 г продукта предварительной стадии с помощью 0,156 мл ацетилхлорида в присутствии 223 мг триэтиламина в 30 мл простого эфира в течение 1 ч при комнатной температуре получают суспензию. Осадок фильтруют на нутче, маточный раствор концентрируют и остаток хроматографируют на силикагеле. В результате получают 1,13 г этилового эфира (E,Z)-(S)-4-[3-ацетокси-2-[4-[(ди-трет- бутоксикарбониламино)-трет-бутоксикарбониламино-метил] – бензоиламино] -пропионил] -феноксиуксусной кислоты, МС (бомбардировка ионами): 756 (М+H)+. Пример 25 Взаимодействием 1 г метилового эфира 4-[4-(амино-имино-метил)- бензоиламиноацетил] -феноксиуксусной кислоты (пример 25 в европейской заявке EP 0381033) с этилхлороформиатом аналогично примеру 15 после кристаллизации в метаноле/ТГФ получают 810 мг метилового эфира 4- [4-(этоксикарбониламино-имино-метил)-бензоиламиноацетил] -феноксиуксусной кислоты, МС (бомбардировка ионами): 442 (М+H)+. Пример 26 Из 400 мг этилового эфира (E,Z-(R,S)-4-[2-[4-[(ди-трет- бутоксикарбониламино)-трет-бутоксикарбонилимино-метил] – бензоиламино] -3-метилсульфанил-пропионил] -феноксиуксусной кислоты после отщепления защитных групп согласно примеру 12 и кристаллизации с помощью простого эфира получают 190 мг трифторацетата этилового эфира (R,S)-4-[2-[4-(амино-имино- метил)-бензоиламино]-3-метилсульфанил-пропионил]-феноксиуксусной кислоты, МС (бомбардировка ионами): 444 (М+H)+. Исходный материал может быть получен следующим путем: Суспензию из 713 мг этилового эфира (E,Z)-(S)-4-[3-ацетокси-2- [4-[(ди-трет-бутоксикарбониламино)-трет-бутоксикарбонилимино-метил] – бензоиламино] -пропионил]-феноксиуксусной кислоты (пример 246) и 140 мг метантиолата натрия в 10 мл ацетонитрила перемешивают в течение 45 мин при комнатной температуре, нерастворившиеся компоненты отфильтровывают на нутче, маточный раствор упаривают и остаток хроматографируют на силикагеле (гексан/уксусный эфир 2:1). В результате получают 407 мг этилового эфира (E,Z)-(R,S)-4- [2-[4-[(ди-трет-бутоксикарбониламино)-трет-бутоксикарбонилимино-метил]- бензоиламино] -3-метилсульфанил-пропионил] -феноксиуксусной кислоты, МС (EI): 744 (М+H)+. Пример 27 Из 119 мг трифторацетата этилового эфира (R,S)-4-[2-[4-(амино- имино-метил)-бензоиламино] -3-метилсульфанил-пропионил]-феноксиуксусной кислоты аналогично тому, как это описано в примере 15, с помощью 28 мг этилхлороформиата и после хроматографии на силикагеле (гексан/уксусный эфир 2:3) получают 78 мг этилового эфира (R,S)- 4-[2-[4-(этоксикарбонила- мино-имино-метил)-бензоиламино] -3-метилсульфанил-пропионил] -феноксиуксусной кислоты, МС (EI): 516 (М+H)+. Пример 28 Взаимодействием 511 мг трифторацетата этилового эфира (S)-4- [2-[4-(амино-имино-метил)-бензоиламино] -пропионил] -феноксиуксусной кислоты с 2-метокси-этилхлороформиатом аналогично примеру 15 и после хроматографии остатка на силикагеле (гексан/уксусный эфир 1:2) получают 280 мг этилового эфира (S)-4-[2-[4-[имино-2- (метокси-этоксикарбониламино)-метил]-бензоиламино] -пропионил]- феноксиуксусной кислоты, МС (бомбардировка ионами): 500 (М+H)+. Пример 29 Отщеплением защитных групп, содержащихся в 850 мг трет- бутилового эфира (S)-4-[2-(4-этоксикарбонилметокси-фенил)-1- метил-2-оксо-этилкарбамоилметокси] -пиперидин-1-карбоновой кислоты, аналогично примеру 12 после хроматографии на силилированном силикагеле RP 18 (градиент ТГФ/вода) получают 437 мг трифторацетата этилового эфира (S)-4-(2-пиперидин-4- илоксиацетиламино-пропионил)-феноксиуксусной кислоты, МС (бомбардировка ионами): 393 (М+H)+. Исходный материал может быть получен следующим путем: Раствор из 702 мг этилового эфира (S)-4-(2-трет- бутоксикарбониламино-пропионил)-феноксиуксусной кислоты в 10 мл дихлорметана перемешивают с 0,27 мл триметилсилилиодида в течение 15 мин при 0oC, обрабатывают 1 мл HCl в диоксане (4 М) и концентрируют. Остаток растворяют в 10 мл дихлорметана. Затем в течение 30 мин при 0oC перемешивают раствор из 518 мг 1-трет- бутоксикарбонил-пиперидин-4-ил-оксиуксусной кислоты, 594 мг TPTU и 0,55 мл N-метилморфолина в 10 мл дихлорметана, после чего обрабатывают его описанным выше остатком. После перемешивания в течение 2 ч при комнатной температуре реакционный раствор концентрируют и остаток хроматографируют на силикагеле (гексан/уксусный эфир 1:1, 1:2). В результате получают 873 мг трет-бутилового эфира (S)-4-[2-[4-этоксикарбонилметокси-фенил)- 1-метил-2-оксо-этилкарбамоилметокси] -пиперидин-1-карбоновой кислоты, МС (бомбардировка ионами): 493 (М+H)+. Пример 30 Взаимодействием 511 мг трифторацетата этилового эфира (S)-4-[2-[4-(амино-имино-метил)-бензоиламино] -пропионил] -феноксиуксусной кислоты с диэтилхлорфосфатом аналогично примеру 15 и после хроматографии остатка на силикагеле (дихлорметан/этанол 9:1) получают 340 мг этилового эфира (S)-4- [2-[4-(диэтоксифосфориламино-имино-метил)-бензоиламино] – пропионил]-феноксиуксусной кислоты, МС (бомбардировка ионами): 534 (М+H)+. Пример 31 Раствор из 1 г этилового эфира (S)-4-[2-(4-циано-бензоиламино)- пропионил] -феноксиуксусной кислоты в 10 мл пиридина и 1 мл триэтиламина насыщают сероводородом и перемешивают в течение 16 ч при комнатной температуре. Затем реакционную смесь концентрируют, остаток растворяют в уксусном эфире, промывают раствором гидрокарбоната натрия, раствором гидросульфата калия и насыщенным раствором хлорида натрия, сушат и концентрируют. После обработки остатка простым эфиром получают 580 мг этилового эфира (S)-4-[2-[4-(тиокарбамоил)-бензоиламино] – пропионил]-феноусиуксусной кислоты. Этот эфир отфильтровывают на нутче, растворяют в 65 мл ацетона и 3,3 мл метилиодида и перемешивают в течение 3 ч при температуре кипения. После концентрирования раствора и кристаллизации остатка в простом эфире получают 609 мг гидроиодида этилового эфира (S)-4-[2-[4-(1-метил-тиоформимидоил)- бензоиламино]-пропионил] -феноксиуксусной кислоты. 314 мг этого эфира растворяют в 10 мл ТГФ, обрабатывают 110 мг 2-метокси- этиламина и перемешивают в течение 64 ч при комнатной температуре. После концентрирования раствора и хроматографии остатка на силилированном силикагеле RP 18 (градиент ТГФ/вода) получают 80 мг гидроиодида этилового эфира (R,S)-4-[2-[4-[имино-(2-метокси- этил)-амино-метил]-бензоиламино]-пропионил]-феноксиуксусной кислоты, МС (бомбардировка ионами): 456 (М+H)+. Исходный материал получают следующим путем: Реакцией сочетания 5,62 г этилового эфира (S)-4-(2- бутоксикарбониламино-пропионил)-феноксиуксусной кислоты с 2,82 г 4-цианобензойной кислоты и аналогично тому, как это описано в примере 12, после хроматографии на силикагеле (гексан/уксусный эфир 3:2) получают 3,67 г этилового эфира (S)-4-[2-(4-циано-бензоиламино)-пропионил] – феноксиуксусной кислоты, МС (E1): 381 (М+H)+. Пример 32 Отщеплением защитной группы, содержащейся в 160 мг этилового эфира (R, S)-4-[2-[4-[(трет-бутилдиметил-силанилоксиамино)-имино- метил]-бензоиламино] -пропионил] -феноксиуксусной кислоты, с помощью фторида тетрабутиламмония аналогично примеру 3б) после кристаллизации остатка в уксусном эфире/гексане получают 70 мг этилового эфира (Z)-(R,S)-4-[2-[4-[амино-гидроксиимино-метил] – бензоиламино] -пропионил] -феноксиуксусной кислоты, МС (бомбардировка ионами): 414 (М+H)+. Исходный материал может быть получен следующим путем: Раствор из 300 мг этилового эфира (S)-4-[2-[4-(1-метил- тиоформимидо-ил)-бензоиламино] -пропионил] -феноксиуксусной кислоты (пример 31) и 175 мг О-трет-бутил-диметилсилил-гидроксиламина в 10 мл ТГФ перемешивают в течение 16 ч при комнатной температуре, концентрируют и остаток хроматографируют на силикагеле (гексан/уксусный эфир 3:2). В результате получают 95 мг этилового эфира (R,S)-4-[2-[4-[(трет-бутил-диметил-силанилоксиамино)-имино- метил]-бензоиламино]-пропионил]-феноксиуксусной кислоты, МС (EI): 528 (М+H)+. Пример 33 Из 350 мг гидрохлорида (1:08) и гидроиодида (1:0,4) тетрагидропиран- 4-илового эфира (S)-4-[2-[4-(амино-имино-метил)-бензоиламино]- пропионил]-феноксиуксусной кислоты и 80 мг этилхлороформиата получают согласно примеру 15 и после хроматографии остатка на силикагеле (гексан/уксусный эфир 1:2) 204 мгтетрагидропиран-4- илового эфира (S)-4-[2-[4-(этоксикарбониламино-имино-метил)- бензоиламино]-пропионил]-феноксиуксусной кислоты, МС (бомбардировка ионами): 526 (М+H)+. Пример 34 Из 2,2 г этилового эфира (S)-4-[2-(6-трет- бутоксикарбониламинометил-пиридин-3-илкарбониламино)-пропионил] – феноксиуксусной кислоты получают согласно примеру 12 и после хроматографии остатка на силилированном силикагеле RP 18 (градиент ТГФ/вода) 863 мг этилового эфира (S)-4-[2-(6-аминометилпиридин-3-илкарбониламино)-пропионил]- феноксиуксусной кислоты, МС (бомбардировка ионами): 386 (М+H)+. Исходный материал может быть получен следующим образом: Реакцией сочетания 1,97 г (после отщепления защитной группы) этилового эфира (S)-4-(2-трет-бутоксикарбониламино-пропионил)- феноксиуксусной кислоты с 1,7 г 6-трет-бутоксикарбонил-метил- пиридин-3-карбоновой кислоты в присутствии 2 г TPTU и 1,25 г N-метилморфолина получают согласно примеру 12д) и после хроматографии на силикагеле (гексан/уксусный эфир 1:2) 2,28 г этилового эфира (S)-4-[2-(6-трет-бутоксикарбониламинометил- пиридин-3-илкарбониламино)-пропионил] -феноксиуксусной кислоты, МС (бомбардировка ионами): 486 (М+H)+. Пример 35 Из 90 мг этилового эфира (Z)-(R,S)-4-[2-[4-(aминo-гидpoкcииминo- метил)-бензоиламино] -пропионил]-феноксиуксусной кислоты и 25 мг этилхлороформиата получают согласно примеру 15 и после кристаллизации остатка в уксусном эфире/гексане 57 мг этилового эфира (Z)-(R,S)-4-[2- [4-[амино-этоксикарбонилоксииминометил] -бензоиламино] -пропионил] – феноксиуксусной кислоты, МС (бомбардировка ионами): 486 (М+H)+. Пример 36 Путем реакции между 500 мг трифторацетата этилового эфира (S)-4-[2- [4-(амино-имино-метил)-бензоиламино] -пропионил] -феноксиуксусной кислоты и фенилхлороформиатом согласно примеру 15 после хроматографии на силикагеле (гексан/уксусный эфир 1: 2) получают 211 мг этилового эфира (S)-4-[2-[4-(имино-феноксикарбониламинометил)-бензоиламино] -пропионил]- феноксиуксусной кислоты, МС (бомбардировка ионами): 518 (М+H)+. Пример 37 Путем реакции между 511 мг трифторацетата этилового эфира (S)-4- [2-[4-(амино-имино-метил)-бензоиламино] -пропионил] -феноксиуксусной кислоты и 4-метоксифенилхлороформиатом согласно примеру 15 после хроматографии на силикагеле (гексан/уксусный эфир 1:2) получают 145 мг этилового эфира (S)-4-[2-[4-[имино-(4-метокси-феноксикарбониламино)- метил] -бензоиламино]-пропионил]-феноксиуксусной кислоты, МС (бомбардировка ионами): 548 (М+H)+. Пример 38 В раствор из 102 мг тетрагидро-2H-пиран-4-ола и 101 мг 4-метоксиморфолина в 10 мл дихлорметана добавляют при 0oC 98 мг трифосгена в 5 мл дихлорметана и затем перемешивают в течение 2 ч при комнатной температуре. Этот раствор добавляют в суспензию из 511 мг трифторацетата этилового эфира (S)-4-[2-[4-(амино-имино-метил) -бензоиламино] -пропионил] -феноксиуксусной кислоты в 10 мл дихлорметана и 10 мл насыщенного раствора карбоната натрия, в течение 5 мин перемешивают при комнатной температуре и затем реакционную смесь перерабатывают, как это описано в примере 15. После хроматографии остатка на силикагеле (уксусный эфир) получают 350 мг этилового эфира (S)-4-[2-[4-[имино-(тетрагидро-пиран-4- илоксикарбониламино)-метил] -бензоиламино] -пропионил] -феноксиуксусной кислоты, МС (бомбардировка ионами): 526 (М+H)+. Пример 39 Аналогично тому, как это описано в примере 38, 540 мг трифторацетата тетрагидропиран-4-илового эфира (S)-4-[2-[4- (амино-имино-метил)-бензоиламино] -пропионил] -феноксиуксусной кислоты (пример 5) также трансформируют. После хроматографии остатка на силикагеле (уксусный эфир) получают 378 мг тетрагидропиран-4-илового эфира (S)-4-[2-[4-[имино-(тетрагидро- пиран-4-илоксикарбониламино)-метил] -бензоиламино]-пропионил]- феноксиуксусной кислоты. МС (бомбардировка ионами): 582 (М+H)+. Пример 40 Путем реакции между 920 мг трифторацетата 2-метокси-этилового эфира (S)-4-[2-[4-(амино-имино-метил)-бензоиламино] -пропионил] – феноксиуксусной кислоты и 2-метокси-этилхлороформиатом согласно примеру 15 после хроматографии на силикагеле (гексан/уксусный эфир 1:3) получают 430 мг 2-метокси-этилового эфира (S)-4-[2-[4-[имино-(2-метокси- этокси-карбониламино)-метил]-бензоиламино] -пропионил] -феноксиуксусной кислоты, МС (бомбардировка ионами): 530 (М+H)+. Пример 41 Отщеплением защитной группы, содержащейся в 160 мг этилового эфира (S)-4-[2-[4-[(трет-бутилдиметил-силанилоксиамино)-имино- метил]-бензоиламино] -пропионил]-феноксиуксусной кислоты, с помощью фторида тетрабутиламмония аналогично примеру 3б) после кристаллизации остатка в уксусном эфире/гекесане получают 187 мг этилового эфира (Z)-(S)-4-[2-[4-(амино-гидроксиимино-метил)-бензоиламино] -пропионил] – феноксиуксусной кислоты, МС (бомбардировка ионами): 414 (М+H)+, [ ]2D0 = +68,8o (с=0,5, ДМСО).
Исходный материал может быть получен следующим образом:Из 2 г 4-цианобензойной кислоты с помощью реакций, аналогичных описанным в примере 32а), получают N-трет-бутил-диметилсилилокси- амидинобензойную кислоту. Эту кислоту используют непосредственно в качестве сырого продукта для осуществления реакции сочетания с этиловым эфиром (S)-4-(2-трет-бутоксикарбониламино-пропионил) -феноксиуксусной кислоты в присутствии TPTU согласно примеру 12д). После хроматографии остатка на силикагеле (гексан/уксусный эфир 1: 1) получают 561 мг этилового эфира (S)-4-[2-[4-[(трет-бутил-диметил- силанилоксиамино)-имино-метил] -бензоиламино]-пропионил]- феноксиуксусной кислоты, [ ]2D0 = +62,0o (с=0,5, хлороформ).
Пример 42Взаимодействием 500 мг трифторацетата этилового эфира (S)-4-[2-[4-(амино-имино-метил)-бензоиламино] -пропионил]- феноксиуксусной кислоты с 4-фторфенилхлороформиатом аналогично примеру 15 и после хроматографии остатка на силикагеле (гексан/уксусный эфир 1:2) получают 100 мг этилового эфира (S)-4- [2-[4-[(4-фтор-феноксикарбониламино)-имино-метил] -бензоиламино] -пропионил]-феноксиуксусной кислоты, МС (бомбардировка ионами): 536 (М+H)+. Пример 43 Исходя из 1 г трифторацетата этилового эфира (S)-4-[2-[4-(амино- имино-метил)-бензоиламино]-пропионил]-феноксиуксусной кислоты, аналогично тому, как это описано в примере 38, с помощью 2-трет-бутил- диметил-силанилоксиэтанола получают 200 мг этилового эфира (S)-4-[2-[4-[амино-2-трет-бутил-диметил-силанилокси- этоксикарбонилимино-метил] бензоиламино] пропионил] – феноксиуксусной кислоты и затем отщепляют защитную группу аналогично примеру 3а) и хроматографируют на силикагеле (уксусный эфир/этанол 95:5). В результате получают 56 мг этилового эфира (S)-4-[2-[4-[амино-(2-гидроксиэтоксикарбониламино)-метил] – бензоиламино] -пропионил]-феноксиуксусной кислоты, МС (бомбардировка ионами): 486 (М+H)+. Пример 44 Исходя из 527 мг этилового эфира (S)-4-(2-трет- бутоксикарбониламино-пропионил)-феноксиуксусной кислоты и 462 мг трифторацетата 4-(амино-метоксиимино-метил)-бензойной кислоты, получают аналогично примеру 12д) после хроматографии на силикагеле (гексан/уксусный эфир 2:3) 500 мг трифторацетата этилового эфира (E,Z)-(S)-4-[2-[4-(амино-метоксиимино-метил)-бензоиламино] -пропионил]-феноксиуксусной кислоты, МС (бомбардировка ионами): 428 (М+H)+. Исходный материал может быть получен следующим путем: Раствор из 1,47 г трет-бутилового эфира 4-цианобензойной кислоты аналогично примеру 31 подвергают взаимодействию с сероводородом, метилиодидом и гидрохлоридом O-метил-гидроксиламина, после чего сырой продукт хроматографируют на силикагеле (гексан/уксусный эфир 9:1). В результате получают 1,0 г трет-бутилового эфира 4-(амино-метоксиимино-метил)-бензойной кислоты. Отщеплением эфирной группы согласно примеру 12 с помощью трифторуксусной кислоты после кристаллизации в простом эфире получают 1,13 г трифторацетата 4-(амино-метоксиимино-метил)-бензойной кислоты. Пример 45 Аналогично тому, как это описано в примере 3б), с помощью фторида тетрабутиламмония отщепляют силилзащитную группу, содержащуюся в 290 мг этилового эфира (S)-4-[2-[4-[(трет -бутил-диметил-силанилоксиамино)-имино-метил]-бензоиламино] -3-гидрокси-пропионил]-феноксиуксусной кислоты. После хроматографии на силикагеле (уксусный эфир) получают 145 мг этилового эфира (Z)-(S)-4-[2-[4-[амино-гидроксиимино-метил] – бензоиламино]-3-гидрокси-пропионил]-феноксиуксусной кислоты. Исходный материал может быть получен следующим путем: Из раствора из 1,27 г этилового эфира 4-[(S)-3-трет-бутокси-2- трет-бутоксикарбониламино-пропионил]-феноксиуксусной кислоты в 25 мл дихлорметана получают согласно примеру 24а) свободный амин, который затем аналогично примеру 41а) подвергают взаимодействию с N-трет-бутил-диметилсилилокси-амидинобензойной кислотой. После хроматографии остатка на силикагеле (гексан/уксусный эфир 1: 2) получают 290 мг этилового эфира (S)-4-[2-[4-[(трет-бутил- диметил-силанилоксиамино)-имино-метил] -бензоиламино] -3-гидрокси- пропионил] -феноксиуксусной кислоты, Rf – значение: 0,68 (хлороформ, метанол, уксусная кислота, 88:10:2). Пример 46 Раствор из 0,8 г [[4-(p-амидино-N-метилбензамидо)ацетил-о- фенилен]диокси]диуксусной кислоты (см. Journ. Med. Chem. 1992, 35, 4393-4407) в 2-пропаноле/концентрированной серной кислоте (20:1) выдерживают в течение ночи. После удаления растворителя остаток растворяют в 50 мл воды, нейтрализуют добавкой гидрокарбоната натрия и подслаивают 80 мл дихлорметана. После добавки 0,3 г этилового эфира хлормуравьиной кислоты, а затем 20 мл 0,5H раствора гидроокиси натрия органическую фазу отделяют, промывают водой, сушат над сульфатом натрия и концентрируют. После хроматографии на силикагеле (этиловый эфир уксусной кислоты) и кристаллизации (диэтиловый эфир) получают 0,51 г диизопропилового эфира (E и/или Z)-[[4-((p-амино-этоксикарбониламино-метил)-N -метилбензамидо)ацетил-о-фенилен]диокси]диуксусной кислоты, Tпл 56-58oC. МС (EI): 512 (М+H)+. Пример 47 Из [[1-[N-(p-амидинобензоил)-L-тирозил] -4-пиперидинил]-окси]- уксусной кислоты (см. Journ. Med. Chem. 1992, 35, 4393-4407) аналогично тому, как это описано в примере 46, получают этиловый эфир (E/Z)- (S)-1-[2-[4-(амино-этоксикарбонилимино-метил)-бензоиламино] -3-(4-гидрокси-фенил)-пропионил]-пиперидин-4-илоксиуксусной кислоты. [ ]2D0 = +18,1o (с= 0,8, EtOH). Tпл 84,0oC. МС (бомбардировка ионами): 569 (М+H)+.
Пример 48Из [[1-[N-(p-амидинобензоил)-L-тирозил] -4-пиперидинил]-окси]- уксусной кислоты (см. Journ. Med. Chem. 1992, 35, 4393-4407) аналогично тому, как это описано в примере 46, получают изопропиловый эфир (E/Z)-(S)-1-[2-[4-(амино-этоксикарбонилимино-метил)-бензоиламино] – 3-(4-гидрокси-фенил)-пропионил] -пиперидин-4-илоксиуксусной кислоты. Tпл 88-90oC. МС (бомбардировка ионами): 583 (М+H)+. Пример 49 В качестве побочного продукта в реакции трансформации, описанной в примере 48, выделяли изопропиловый эфир (E/Z)-(S)-1-[2-[4-(амино- этоксикарбонилимино-метил)-бензоиламино[]-3-(4-этоксикарбонилокси-фенил)- пропионил] -пиперидин-4-илоксиуксусной кислоты. Tпл 71-73oC. МС (бомбардировка ионами): 655 (М+H)+. Пример 50 Взаимодействием [[1-[N-(p-амидинобензоил)-L-тирозил] -4-пиперидинил] – окси]-уксусной кислоты с ангидридом изатокислоты в присутствии карбоната калия после обычной переработки и хроматографической очистки сырого продукта получают (E/Z)-(S)-4-[2-[4-(амино- этоксикарбонилимино-метил)-бензоиламино] -3-(4-изопропоксикарбонил-метокси- пиперидин-1-ил)-3-оксо-пропил]-фениловый эфир 2-амино-бензойной кислоты в виде бесцветного пенистого вещества. МС (бомбардировка ионами): 702 (М+H)+. Пример 51 Взаимодействием [[1-[N-(p-амидинобензоил)-L-тирозил] -4-пиперидинил] – окси] -уксусной кислоты с хлоридом фуран-2-карбоновой кислоты в присутствии карбоната калия после обычной переработки и хроматографической очистки сырого продукта получают (E/Z)-(S)-4-[2-[4-(амино-этоксикарбонилимино-метил)-бензоиламино] -3-(4-изопропоксикарбонилметокси-пиперидин-1-ил)-3-оксо-пропил] – фениловый эфир фуран-2-карбоновой кислоты в виде пенистого вещества желтоватого цвета. МС (бомбардировка ионами): 677 (М+H)+. Пример 52 Взаимодействием [[1-[N-(p-амидинобензоил)-L-тирозил] -4- пиперидинил]-окси] -уксусной кислоты с ацетангидридом в присутствии карбоната калия после обычной переработки и хроматографической очистки сырого продукта получают изопропиловый эфир (E/Z)-(S)-1-[3-[4-ацетокси-фенил)-2-[4-(амино-этоксикарбонилимино- метил)-бензоиламино] -пропионил] -пиперидин-4-илоксиуксусной кислоты в виде бесцветного пенистого вещества. МС (бомбардировка ионами): 625 (М+H)+. Пример 53 Взаимодействием [[1-[N-(p-амидинобензоил)-L-тирозил] -4-пиперидинил] окси] уксусной кислоты с хлоридом ацетилсалициловой кислоты в присутствии триэтиламина после обычной переработки и хроматографической очистки сырого продукта получают (E/Z)-(S)-4- [2-[4-(амино-этоксикарбонилимино-метил)-бензоиламино] -3-(4- изопропоксикарбонилметокси-пиперидин-1-ил)-3-оксо-пропил]- фениловый эфир 2-ацетокси-бензойной кислоты. Tпл 77-80oC. МС (EI): 745 (М+H)+. Пример 54 Взаимодействием трет-бутилового эфира [[1-[N-(p-амидинобензоил)- L-тирозил] -4-пиперидинил] окси] уксусной кислоты (см. европейскую заявку EP 505868) с этиловым эфиром хлормуравьиной кислоты, как это описано в примере 46, а затем путем обработки концентрированной муравьиной кислотой после обычной переработки и хроматографии выделяют (E/Z)-(S)-1-[2-[4-(амино-этоксикарбонилимино-метил)-бензоиламино] -3-(4-гидрокси-фенил)-пропионил]-пиперидин-4-илоксиуксусную кислоту. Tпл 134oC. МС (ISN): 539 (M-H)+. Пример 55 Путем трансформации (S)-1-[2-(5-амидинопиридин-2-илкарбониламино)- 3-(4-метокси-фенил)-пропионил] -пиперидин-4-илоксиуксусной кислоты (см. европейскую заявку EP 505868) аналогично тому, как это описано в примере 46, получают этиловый эфир (E/Z)-(S)-1-[2-(5-амино- этоксикарбонилимино-метилпиридин-2-илкарбонил-амино)-3-(4-метокси-фенил)- пропионил] -пиперидин-4-илоксиуксусной кислоты, [ ]2D0 = +22,6o (с = 1,0, EtOH). Tпл 52-54oC. МС (бомбардировка ионами): 584 (М+H)+.
Пример 56Взаимодействием трет-бутилового эфира (S)-1-[3-(4-гидрокси- фенил)-2-[4-(имино-пропиламино-метил)-бензоиламино] – пропионил]-пиперидин-4-илоксиуксусной кислоты с концентрированной муравьиной кислотой после хроматографической очистки сырого продукта на силикагеле RP 18 с помощью градиента вода/метанол получают (S)-1-[3-(4-гидрокси-фенил)-2-[4-(имино-пропиламино- метил)-бензоиламино] -пропионил] -пиперидин-4-илоксиуксусную кислоту. Tпл 160oC. МС (бомбардировка ионами): 511 (М+H)+. Исходный материал может быть получен следующим образом: а) Реакцией сочетания Z-Tyr-OH с трет-бутиловым эфиром 4-пиперидинилоксиуксусной кислоты (см. Journ. Med. Chim. 1992, 35, 4393-4407), а затем удалением путем гидрогенолиза Z-защитной группы получают трет-бутиловый эфир 1-[[L-тирозил]-4-пиперидинилокси]уксусной кислоты. б) Взаимодействием продукта предварительной стадии с 4-циано-бензо-илхлоридом в присутствии гидрокарбоната натрия получают трет-бутиловый эфир (S)-1-[3-(4-гидрокси-фенил)-2-[4-циано- бензоиламино] -пропионил] -пиперидин-4-илоксиуксусной кислоты. в) Путем последовательной обработки продукта предварительной стадии сероводородом в пиридине, метилиодидом в ацетоне и n-пропиламином в смеси из метанола и уксусной кислоты получают трет-бутиловый эфир (S)-1-[3-(4-гидрокси-фенил)-2-[4-(имино-пропиламино- метил)-бензоиламино] -пропионил] -пиперидин-4-илоксиуксусной кислоты. МС (бомбардировка ионами): 567 (М+H)+. Пример 57 Взаимодействием (S)-4-[[[4-[1-(4-трет-бутоксикарбонилметокси- пиперидин-1-карбонил)-2-(4-гидрокси-фенил)-этилкарбамоил]-фенил]- иминометил]-амино] -масляной кислоты с концентрированной муравьиной кислотой после хроматографической очистки сырого продукта получают (S)-4-[[[4-[1-(4-карбоксиметокси-пиперидин-1-карбонил)-2-(4-гидрокси- фенил)- этилкарбамоил]-фенил] -имино-метил] -амино] -масляную кислоту. Tпл 156-160oC. МС (бомбардировка ионами): 555 (М+H)+. Исходный материал может быть получен следующим образом: Путем последовательной обработки трет-бутилового эфира (S)-1- [3-(4-гидрокси-фенил)-2-[4-циано-бензоиламино] -пропионил] -пиперидин- 4-илоксиуксусной кислоты (пример 566)) сероводородом в пиридине, метилиодидом в ацетоне и 4-аминомасляной кислотой в смеси из метанола и уксусного эфира получают (S)-4-[[[4-[1-(4-трет- бутоксикарбонилметоксипиперидин-1-карбонил)-2-(4-гидрокси- фенил)-этилкарбамоил]-фенил]-иминометил]-амино]-масляную кислоту в виде бесцветного пенистого вещества. МС (бомбардировка ионами): 611 (М+H)+. Пример 58 Взаимодействием трет-бутилового эфира [[1-[N-(p-амидинобензоил)- L-аланил] -4-пиперидинил]окси]уксусной кислоты (см. Journ. Med. Chem. 1992, 35, 4393-4407) с этиловым эфиром хлормуравьиной кислоты, как это описано в примере 46, а затем путем обработки концентрированной муравьиной кислотой после обычной переработки и хроматографии выделяют (E/Z)-(S)-[1-[2-[4-(аминоэтоксикарбонилимино-метил) -бензоиламино] -пропионил] -пиперидин-4-илокси]-уксусную кислоту в виде бесцветного пенистого вещества. МС (бомбардировка ионами): 449 (М+H)+. Пример 59 Из [[1-[N-(p-амидинобензоил)-L-аланил]-4-пиперидинил]окси]уксусной кислоты (см. Journ. Med. Chem. 1992, 35, 4393-4407) аналогично тому, как это описано в примере 46, получали этиловый эфир (E/Z)-(S)-1-[2-[4-(амино-этоксикарбонилимино-метил)-бензоиламино] -пропионил] -пиперидин-4-илоксиуксусной кислоты в виде бесцветного пенистого вещества. [ ]2D0 = +41,7o (с = 1,0, EtOH)/МС (бомбардировка ионами): 477 (М+H)+.
Пример 60Из [[1-[N-(p-амидинобензоил)-L-аланил]-4-пиперидинил]окси]уксусной кислоты (см. Journ. Med. Chem. 1992, 35, 4393-4407) аналогично тому, как это описано в примере 46, получали изопропиловый эфир (E/Z)-(S)-1-[2-[4- (амино-этоксикарбонилимино-метил)-бензоиламино] -пропионил] -пиперидин-4-илоксиуксусной кислоты в виде бесцветного пенистого вещества. МС (бомбардировка ионами): 491 (М+H)+. Пример 61 Из [[1-[N-(p-амидинобензоил)-L-аланил] -4-пиперидинил] окси] уксусной кислоты (см. Journ. Med. Chem. 1992, 35, 4393-4407) аналогично тому, как это описано в примере 46, получали этиловый эфир (E/Z)-(S)-1-[2-[4-(амино-n-бутоксикарбонилимино-метил) -бензоиламино] -пропионил] -пиперидин-4-илоксиуксусной кислоты в виде бесцветного пенистого вещества. [ ]2D0 = +37,4o (с = 0,8, EtOH). МС (бомбардировка ионами): 505 (М+H)+.
Пример 62Из [[1-[N-(p-амидинобензоил)-L-аланил]-4-пиперидинил]окси] уксусной кислоты (см. Journ. Med. Chem. 1992, 35, 4393-4407) аналогично тому, как это описано в примере 46, получали этиловый эфир (E/Z)-(S)-1-[2-[4-(амино-метоксиэтоксикарбонилимино-метил) -бензоиламино] -пропионил] -пиперидин-4-илоксиуксусной кислоты в виде бесцветного пенистого вещества. [ ]2D0 = +40,0o (с = 0,9, EtOH). МС (бомбардировка ионами): 507 (М+H)+.
Пример 63Путем этерификации (S)-1-[2-(5-амино-имино-метил-пиридин-2- илкарбониламино)-пропионил] -пиперидин-4-илоксиуксусной кислоты (J. Med. Chem. 1992, 35, 4393-4407) тетрагидро-2H-пиран-4-олом в присутствии p-толуолсульфокислоты после хроматографической очистки сырого продукта на силикагеле RP 18 с помощью градиента вода/ацетонитрил получают p-толуолсульфонатовую соль тетрагидропиран-4-илового эфира (S)-1-[2-(5-амино-имино-метил-пиридин-2-илкарбониламино)-пропионил] -пиперидин-4-илоксиуксуснной кислоты. [ ]2D0 = +28,8o (с=0,5, MtOH). МС (бомбардировка ионами): 462 (М+H)+.
Пример 64Из (S)-1-[2-(5-амино-имино-метил-пиридин-2-илкарбониламино)- пропионил] -пиперидин-4-илоксиуксусной кислоты аналогично тому, как это описано в примере 46, получают изопропиловый эфир (E/Z)-(S)- 1-[2-(5-амино-этоксикарбонилимино-метил-пиридин-2- илкарбониламино)-пропионил] -пиперидин-4-илоксиуксусной кислоты, [ ]2D0 = +42,6o (с = 1,0, EtOH). Tпл 62-64oC. МС (EI): 492 (М+H)+.
Пример 65Из [[1-(p-амидино-N-метилбензамидо)ацетил]-4-пиперидинил]окси]- уксусной кислоты (см. европейскую заявку EP 505868) аналогично тому, как это описано в примере 46, получали этиловый эфир (E/Z)-[1-[2- [4-(амино-этоксикарбонилимино-метил)-бензоил] -метил-амино] -ацетил] -пиперидин-4-илоксиуксусной кислоты, МС (бомбардировка ионами): 477 (М+H)+. Пример 66 Из трет-бутилового эфира (E/Z)-(S)-1-[2-[4-(амино-метоксиимино- метил)-бензоиламино] -пропионил] -пиперидин-4-илоксиуксусной кислоты путем обработки трифторуксусной кислотой в дихлорметане получают (E/Z)-(S)-1-[2-[4-(амино-метоксиимино-метил)- бензоиламино] -пропионил] -пиперидин-4-илоксиуксусную кислоту. Tпл 193-195oC. МС (бомбардировка ионами): 407 (М+H)+. Исходный материал может быть получен следующим путем: а) Реакцией сочетания Z-Ala-OH с трет-бутиловым эфиром 4-пиперидинилоксиуксусной кислотой (см. Journ. Med. Chem. 1992, 35, 4393-4407), а затем удалением посредством гидрогенолиза Z-защитной группы получают трет-бутиловый эфир 1-[[L-аланил]-4-пиперидинилокси] уксусной кислоты. б) Взаимодействием продукта предварительной стадии с 4- циано-бензоил-хлоридом в присутствии гидрокарбоната натрия получают трет-бутиловый эфир (S)-1-[2-[4-цианобензоиламино] – пропионил]-пиперидин-4-илоксиуксусной кислоты. в) Путем последовательной обработки продукта предварительной стадии сероводородом в пиридине, метилиодидом в ацетоне и гидрохлоридом О-метил-гидроксиламина в ДМФ в присутствии триэтиламина получают трет-бутиловый эфир (E/Z)-(S)-1-[2-[4-(амино-метоксиимино- метил)-бензоиламино]- пропионил]-пиперидин-4-илоксиуксусной кислоты в виде вязкого, бесцветного масла. МС (бомбардировка ионами): 463 (М+H)+. Пример 67 Путем этерификации (E/Z)-(S)-1-[2-[4-(амино-метоксиимино- метил)-бензоиламино] -пропионил] -пиперидин-4-илоксиуксусной кислоты в присутствии концентрированной серной кислоты получают этиловый эфир (E/Z)-(S)-1-[2-[4-(амино-метоксиимино-метил)-бензоиламино] -пропионил]-пиперидин-4-илоксиуксусной кислоты в виде бесцветной смолы, МС (бомбардировка ионами): 435 (М+H)+. Пример 68 Из трет-бутилового эфира (S)-1-[2-[4-трет- бутоксикарбониламинометил-бензоиламино)-3-(4-гидрокси-фенил)-пропионил] – пиперидин-4-илоксиуксусной кислоты путем обработки муравьиной кислотой получают (S)-1-[2-(4-аминометил-бензоиламино)-3-(4-гидрокси- фенил)-пропионил] -пиперидин-4-илоксиуксусную кислоту, [ ]2D0 = +19,4o (с = 0,5, H2O). Tпл 166-168oC. МС (ISN): 454 (M-H)+.
Исходный материал может быть получен реакцией сочетания трет-бутилового эфира 1-[[L-тирозил]-4-пиперидинилокси]уксусной кислоты (пример 56а)) с 4-трет-бутоксикарбониламинометил-бензойной кислотой в присутствии 1-этоксикарбонил-2-этокси-1,2-дигидрохинолина (ЭЭДГ).
Пример 69Из трет-бутилового эфира (S)-1-[2-[4-трет- бутоксикарбониламинометил-бензоиламино)-3-(4-гидрокси-фенил)- пропионил] -пиперидин-4-илоксиуксусной кислоты (пример 68) путем обработки сначала метилиодидом/карбонатом калия, а затем муравьиной кислотой получают (S)-1-[2-(4-аминометил- бензоиламино)-3-(4-метокси-фенил)-пропионил] -пиперидин-4- илоксиуксусную кислоту. [ ]2D0 = +11,7o (с=0,5, H2O). Tпл 130oC. МС (EI): 470 (М+H)+.
Пример 70Путем этерификации (S)-1-[2-(4-аминометил-бензоиламино)-3-(4- метокси-фенил)-пропионил] -пиперидин-4-илоксиуксусной кислоты изопропанолом в присутствии серной кислоты получают изопропиловый эфир (S)-1-[2-(4-аминометил-бензоиламино)-3-(4-метокси-фенил)-пропионил] – пиперидин-4-илоксиуксусной кислоты в виде гемисульфатной соли. [ ]2D0 = +5,1o (с=0,8, H2O). Tпл 138-140oC. МС (EI): 512 (М+H)+.
Пример 71Из трет-бутилового эфира (S)-1-[2-(5-аминометил- пиридин-2-илкарбониламино)-3-(4-метокси-фенил)-пропионил] – пиперидин-4-илоксиуксусной кислоты путем обработки муравьиной кислотой получают (S)-1-[2-(5-аминометил-пиридин-2- илкарбониламино)-3-(4-метоксифенил)-пропионил] -пиперидин-4- илоксиуксусную кислоту, [ ]2D0 = +20,0o (с = 0,6, H2O). Tпл 174oC (разложение). МС (бомбардировка ионами): 471 (М+H)+.
Исходный материал может быть получен посредством каталитического гидрирования трет-бутилового эфира (S)-1-[2-(5-циан-пиридин-2- илкарбониламино)-3-(4-метокси-фенил)-пропионил] -пиперидин-4- илоксиуксусной кислоты (см. европейскую заявку EP 505868) в присутствии палладия на угле в смеси метанола/воды/уксусного эфира.
Пример 72Из (S)-1-[2-(5-аминометил-пиридин-2-илкарбониламино)-3-(4-метокси- фенил)-пропионил]-пиперидин-4-илоксиуксусной кислоты путем этерификации изопропанолом, как это описано в примере 70, после подкисления сырого продукта соляной кислотой получают гидрохлорид изопропилового эфира (S)-1-[2-(5-аминометил-пиридин-2-илкарбониламино)- 3-(4-метокси-фенил)-пропионил] -пиперидин-4-илоксиуксусной кислоты. Tпл 82-84oC (из диэтилового эфира). МС (бомбардировка ионами): 513 (М+H)+. Пример 73 Из трет-бутилового эфира (S)-4-[1-(4-трет-бутоксикарбонилметокси- пиперидин-илкарбонил)-2-(4-гидрокси-фенил)-этилкарбамоилметокси]- пиперидин-1-карбоновой кислоты путем обработки муравьиной кислотой получают (S)-1-[3-(4-гидрокси-фенил)-2-пиперидин-4-илоксиацетиламино- пропионил] -пиперидин-4-илоксиуксусную кислоту. [ ]2D0 = +6,7o (с = 0,7, H2O). Tпл 156oC (разложение). МС (бомбардировка ионами): 464 (М+H)+.
Исходный материал может быть получен следующим образом:а) Путем обработки трет-бутилового эфира 4-пиперидинилоксиуксусной кислоты (см. Journ. Med. Chem. 1992, 35, 4393-4407) муравьиной кислотой получают 4-пиперидинилоксиуксусную кислоту, которую с помощью ди-трет-бутил-дикарбоната в диоксане в присутствии натрового щелока можно трансформировать в 1-трет(-бутоксикарбонил- пиперидин-4-илоксиуксусную кислоту. б) Продукт предварительной стадии с помощью трет-бутилового эфира 1-[[L-тирозил] -4-пиперидинилокси]уксусной кислоты (пример 56а)) в присутствии 1-этилоксикарбонил-2-изобутилокси-1,2-дигидрохинолина в дихлорметане может быть присоединен реакцией сочетания к трет-бутиловому эфиру (S)-4-[1-(4-трет-бутоксикарбонилметокси- пиперидин-1-илкарбонил]-2-(4-гидрокси-фенил)-этилкарбамоилметокси] – пиперидин-1-карбоновой кислоты. МС (бомбардировка ионами): 620 (М+H)+. Пример 74 Взаимодействием (S)-4-[2-[1-трет-бутоксикарбонил-пиперидин-4- илоксиацетиламино] -3-(4-этоксикарбонилметоксипиперидин-1-ил)-3- оксо-пропил]-фенилового эфира 2-ацетокси-бензойной кислоты с муравьиной кислотой после добавки соляной кислоты к сырому продукту получают солянокислую соль (S)-4-[2-[1-трет-бутоксикарбонил- пиперидин-4-илоксиацетиламино] -3-(4-этоксикарбонилметокси-пиперидин- 1-ил)-3-оксо-пропил] -фенилового эфира 2-ацетокси-бензойной кислоты. Tпл 74-76oC (разложение). МС (бомбардировка ионами): 654 (М+H)+. Исходный материал может быть получен следующим образом: а) Реакцией сочетания Z-Tyr-OH с этиловым эфиром 4-пиперидинилоксиуксусной кислоты (получение посредством кислой переэтерификации трет-бутилового эфира 4-пиперидинилоксиуксусной кислоты в присутствии 1-этилоксикарбонил-2-изобутилокси-1,2 -дигидрохинолина), последующим взаимодействием с хлоридом ацетилсалициловой кислоты в присутствии карбоната калия и затем удалением путем гидрогенолиза Z-защитной группы получают (S)-4-[2-амино-3-(4-этоксикарбонилметокси-пиперидин-1-ил)-3-оксо- пропил] -фениловый эфир 2-ацетокси-бензойной кислоты. б) Реакцией сочетания продукта предварительной стадии с 1- трет-бутокси-карбонил-пиперидин-4-илоксиуксусной кислотой (пример 736)) в присутствии 1-этилоксикарбонил-2-изобутилокси-1,2- дигидрохинолина в дихлорметане получают (S)-4-[2-[1-трет- бутоксикарбонил-пиперидин-4-илоксиацетиламино]-3-(4- этоксикарбонилметокси-пиперидин-1-ил)-3-оксо-пропил]-фениловый эфир 2-ацетокси-бензойной кислоты. МС (бомбардировка ионами): 754 (М+H)+. Пример 75 Путем этерификации (E/Z)-(S)-1-[2-[4-(амино-гидроксиимино-метил)- бензоиламино] -пропионил]-пиперидин-4-илоксиуксусной кислоты в присутствии концентрированной серной кислоты получают этиловый эфир (E/Z)-(S)-1-[2-[4-(амино-гидроксиимино-метил)-бензоиламино] -пропионил] -пиперидин-4-илоксиуксусной кислоты в виде ватообразных кристаллов. Tпл 205-207oC. МС (бомбардировка ионами): 421 (М+H)+. Исходный материал может быть получен следующим образом: а) Взаимодействием трет-бутилового эфира (S)-1-[2-[4-циано- бензоиламино] -пропионил]-пиперидин-4-илоксиуксусной кислоты (пример 66) с гидрохлоридом гидроксиламина в метаноле в присутствии метанолата натрия после перемешивания в течение ночи и обычной переработки получают трет-бутиловый эфир (E/Z)-(S)-1-[2- [4-(амино-гидроксиимино-метил)-бензоиламино]-пропионил] -пиперидин-4- илоксиуксусной кислоты. Tпл 193-194oC. МС (бомбардировка ионами): 449 (М+H)+. б) Путем обработки продукта предварительной стадии муравьиной кислотой при 50oC после кристаллизации из уксусного эфира получают (E/Z)-(S)-1-[2-[4-(амино-гидроксиимино-метил)-бензоиламино] – пропионил]-пиперидин-4-илоксиуксусную кислоту. Tпл 176-178oC. МС (ISN): 391 (М+H)+. Пример 76 Путем этерификации (E/Z)-(S)-1-[2-[4-амино-гидроксиимино-метил)- бензоиламино] -пропионил] -пиперидин-4-илоксиуксусной кислоты (пример 75б)) в 2-пропаноле в присутствии концентрированной серной кислоты получают изопропиловый эфир (E/Z)-(5)-1-[2-[4-(амино-гидроксиимино- метил)-бензоиламино]-пропионил] -пиперидин-4-илоксиуксусной кислоты в виде ватообразных кристаллов. Tпл 205-207oC. МС (бомбардировка ионами): 435 (М+H)+. Пример 77 220 мг трет-бутилового эфира [1-[4-[4-(трет-бутоксикарбониламино- имино-метил)-фенил]-4-оксо-бутирил]-пиперидин-4-илокси]-уксусной кислоты и 3,4 мл муравьиной кислоты перемешивают в течение 24 ч при 20oC . Затем реакционную смесь упаривают в вакууме, остаток растворяют в воде и повторно упаривают. После кристаллизации из метанола получают 120 мг [1-[4-[4-(амино-имино-метил)-фенил] -4- оксо-бутирил] -пиперидин-4-илокси] -уксусной кислоты, Tпл > 250oC, МС: 362 (100, М+H)+. Исходный материал может быть получен следующим путем: а) 4-(4-циано-фенил)-4-оксомасляную кислоту активируют в ТГФ с помощью 2-хлоро-4,6-диметокси-1,3,5-триазина и N-метилморфолина и затем подвергают взаимодействию с трет-бутиловым эфиром пиперидин-4-илоксиуксусной кислоты, в результате получают трет-бутиловый эфир [1-[4-(4-циано-фенил)-4-оксо-бутирил] -пиперидин-4-илокси]-уксусной кислоты. б) Этот эфир трансформируют в пиридине и триэтиламине с помощью сероводорода в трет-бутиловый эфир [1-[4-оксо-4-(4-тиокарбамоил-фенил)- бутирил] -пиперидин-4-илокси]-уксусной кислоты, Tпл 140oC. в) Этот последний сначала с помощью метилиодида в ацетоне, затем ацетата аммония и уксусной кислоты в метаноле и в заключение с помощью ди-трет-бутил-дикарбоната в ДМФ/триэтиламине трансформируют в трет-бутиловый эфир [1-[4-[4-(трет-бутоксикарбониламино-имино- метил)-фенил] -4-оксо-бутирил]-пиперидин-4-илокси]-уксусной кислоты. МС: 518 (100, М+H)+. Пример 78 76 мг этилового эфира [1-[4-[4-(трет-бутоксикарбониламино-имино- метил)-фенил]-4-оксо-бутирил]-пиперидин-4-илокси]-уксусной кислоты перемешивают в 0,5 мл метиленхлорида и 0,5 мл трифторуксусной кислоты в течение 2 ч при 20oC. Затем реакционную смесь упаривают в вакууме, остаток растворяют в спирте и повторно упаривают. Кристаллический продукт тщательно перемешивают с простым эфиром, фильтруют на нутче и сушат. В результате получают 74 мг трифторацетата (1:1) этилового эфира [1-[4-[4- (амино-имино-метил)-фенил]-4-оксо-бутирил]-пиперидин-4-илокси]- уксусной кислоты, Tпл 188-190oC. Исходный материал может быть получен следующим путем: а) [1-[4-[4-(амино-имино-метил)-фенил] -4-оксо-бутирил]-пиперидин- 4-илокси]-уксусную кислоту в 1H HCl в этаноле переводят в ее этиловый эфир. б) Этот эфир трансформируют с помощью ди-трет-бутилдикарбоната в ДМФ/триэтиламине в исходный материал, Tпл 100oC. Пример 79 Смесь из 160 мг гидрохлорида изопропилового эфира [1-[[[4-(амино-имино- метил)-бензоил]-(2-метоксиэтил)-амино]-ацетил]-пиперидин-4- илокси]-уксусной кислоты (1:1), 3,2 мл хлористого метилена, 2,6 мл воды и 0,6 мл насыщенного раствора карбоната натрия обрабатывают 0,036 мл этилового эфира хлормуравьиной кислоты и перемешивают в течение 2 ч при 20oC. Затем реакционную смесь разбавляют хлористым метиленом, промывают водой и раствором поваренной соли, сушат и упаривают в вакууме. После хроматографии остатка на силикагеле с помощью хлористого метилена/изопропанола получают 109 мг изопропилового эфира [1-[[[4-(этоксикарбониламино-имино- метил)-бензоил]-(2-метокси-этил)-амино] -ацетил] -пиперидин-4- илокси]-уксусной кислоты в виде бесцветного пенистого вещества. МС: 535 (100, М+H)+. Исходный материал получают из [1-[[[4-(амино-имино-метил)-бензоил]-( 2-метоксиэтил)-амино] -ацетил] -пиперидин-4-илокси] -уксусной кислоты (см. европейскую заявку EP 505868) в 1H HCl в изопропаноле при 20oC. Пример 80 Аналогично тому, как это описано в примере 79, из иодидацетата изопропилового эфира [1-[4-[4-(амино-имино-метил)-фенил]-4-оксо-бутирил]- пиперидин-4-илокси] -уксусной кислоты получают изопропиловый эфир [1-[4-[4-(этоксикарбониламино-имино-метил)-фенил] -4-оксо-бутирил] -пиперидин-4-илокси]-уксусной кислоты, Tпл 86-89oC. Исходный материал может быть получен следующим путем: а) Трет. -бутиловый эфир [1-[4-оксо-4-(4-тиокарбамоил-фенил)-бутирил]- пиперидин-4-илокси] -уксусной кислоты расщепляют в хлористом метилене и трифторуксусной кислоте, в результате чего получают [1-[4-оксо-4-(4-тиокарбамоил-фенил)-бутирил]-пиперидин-4-илокси]- уксусную кислоту, Tпл 203-207oC. б) Из этой кислоты с помощью серной кислоты в изопропаноле получают изопропиловый эфир [1-[4-оксо-4-(4-тиокарбамоил-фенил)- бутирил] -пиперидин-4-илокси]-уксусной кислоты, Tпл 123-128oC. в) Этот эфир сначала с помощью метилиодида в ацетоне, а затем ацетата аммония и уксусной кислоты в метаноле трансформируют в исходный материал. Пример 81 Аналогично тому, как это описано в примере 79, из иодидацетата изопропилового эфира [1-[4-[4-(амино-имино-метил)-фенил] -4- оксо-бутирил]-пиперидин-4-илокси] -уксусной кислоты и изобутилового эфира хлормуравьиной кислоты получают изопропиловый эфир [1-[4-[4-(изобутоксикарбониламино-имино-метил)-фенил]-4- оксо-бутирил]-пиперидин-4-илокси]-уксусной кислоты, Tпл 94oC. Пример 82 1,7 г трет-бутилового эфира (RS)-[1-[4-[4-(трет-бутоксикарбониламино- имино-метил)-фенил] -2-метил-4-оксо-бутирил] -пиперидин-4-илокси] -уксусной кислоты перемешивают в 8,5 мл хлористого метилена и 8,5 мл трифторуксусной кислоты в течение 3 ч при 20oC. После упаривания растворителя в вакууме остаток растворяют в воде и раствор повторно упаривают. После сушки остаток тщательно размешивают в спирте, фильтруют на нутче и сушат. В результате получают 1,13 г трифторацетата (1:1) (RS)-[1-[4-[4-(амино-имино-метил)-фенил] -2-метил-4-оксо-бутирил]-пиперидин-4-илоксиуксусной кислоты, Tпл 217oC. Исходный материал может быть получен следующим путем: а) 4-(4-амино-фенил)-2-метил-4-оксомасляную кислоту трансформируют через соответствующее диазониевое соединение (реакция Зандмейера) в 4-(4-циано-фенил)-2-метил-4-оксомасляную кислоту, Tпл 137oC. б) Аналогично тому, как это описано в примере 77а), эту кислоту с помощью трет-бутилового эфира пиперидин-4-илоксиуксусной кислоты присоединяют реакцией сочетания к трет-бутиловому эфиру (RS)-[1-[4-(4- циано-фенил) -2-метил-4-оксо-бутирил] -пиперидин] -4-илоксиуксусной кислоты, в результате чего получают трет-бутиловый эфир (RS)-[1-[4- (4-циано-фенил)-2-метил-4-оксо-бутирил]-пиперидин]-4-илокси-уксусной кислоты, Tпл 114-116oC. в) Из этого продукта с помощью сероводорода в пиридине/триэтиламине получают трет-бутиловый эфир (RS)-[1-[2-метил-4-оксо-4-(4-тиокарбамоил- фенил)-бутирил]-пиперидин-4-илокси]-уксусной кислоты, Tпл 152-155oC. г) Этот эфир сначала с помощью метилиодида в ацетоне, затем ацетата аммония и уксусной кислоты в метаноле и в заключение с помощью ди-трет-бутил-дикарбоната в хлористом метилене и водном 532 (100, М+H). Пример 83 734 мг трифторацетата (RS)-[1-[4-[4-(амино-имино-метил)-фенил]-2- метил-4-оксо-бутирил] -пиперидин-4-илокси]-уксусной кислоты перемешивают в 15 мл 1H HCl в изопропаноле в течение 19 ч при температуре порядка 20oC. После выпаривания растворителя и сушки в высоком вакууме получают 650 мг гидрохлорида изопропилового эфира (RS)-[1-[4-[4-(амино-имино-метил)-фенил]-2-метил-4-оксо-бутирил] -пиперидин-4-илокси]-уксусной кислоты (1:1) в виде гигроскопического аморфного порошка, МС: 376 (100, М+H). Пример 84 Аналогично тому, как это описано в примере 79, из гидрохлорида изопропилового эфира (RS)-[1-[4-[4-(амино-имино-метил)-фенил] -2-метил- 4-оксо-бутирил] -пиперидин-4-илокси] -уксусной кислоты получают изопропиловый эфир (RS)-[1-[4-[4-(этоксикарбониламино-имино-метил)-фенил- 2-метил-4-оксо-бутирил]-пиперидин-4-илокси]-уксусной кислоты в виде смолистого пенистого вещества, МС: 490 (100, М+H). Пример 85 Аналогичным путем из такого же исходного материала с помощью изобутилового эфира хлормуравьиной кислоты получают изопропиловый эфир (RS)-[1-[4-[4-(изобутоксикарбониламино-имино-метил)-фенил] -2-метил-4-оксо- бутирил]-пиперидин-4-илокси] -уксусной кислоты в виде пенистого вещества, МС: 518 (100, М+H). Пример 86 209 мг этилового эфира (RS)-2-[4-(трет-бутоксикарбониламино- имино-метил)-бензоил] -4-(4-этоксикарбонилметокси-фенил)-4-оксо- масляной кислоты и 4,2 мл муравьиной кислоты выдерживают в течение 6,5 ч при 20oC. Затем реакционную смесь упаривают, остаток растворяют в воде и снова упаривают. Высушенный остаток тщательно размешивают в простом эфире и фильтруют на нутче. В результате получают 158 мг формиата этилового эфира (RS)-2-[4-(амино-имино-метил)- бензоил] -4-(4-этоксикарбонилметоксифенил)-4-оксо-масляной кислоты (1:1), Tпл 162oC. Исходный материал может быть получен следующим путем: а) Из этилового эфира 4-цианобензоилуксусной кислоты и этилового эфира [4-(бромацетил)фенокси] -уксусной кислоты получают в ацетоне в присутствии карбоната калия этиловый эфир (RS)-2-(4- циано-бензоил)-4-[(4-этоксикарбонилметокси)-фенил]-4-оксо-масляной кислоты, МС: 437, (2, М). б) Этот эфир трансформируют в пиридине и триэтиламине с помощью сероводорода в этиловый эфир (RS)-4-(4-этоксикарбонилметокси-фенил)- 4-оксо-2-(4-тиокарбамоил-бензоил)-масляной кислоты, МС: 472 (100, М+H). в) Этот продукт сначала с помощью метилиодида в ацетоне, затем ацетата аммония и уксусной кислоты в метаноле и в заключение с помощью ди-трет-бутил- дикарбоната в хлористом метилене и водном растворе карбоната натрия трансформируют в этиловый эфир (RS)-2-[4-(трет- бутоксикарбониламино-имино-метил)-бензоил]-4-(4-этоксикарбонилметокси- фенил)-4-оксо-масляной кислоты, МС: 555 (100, М+H). Пример 87 Аналогично тому, как это описано в примере 79, из формиата этилового эфира (RS)-2-[4-(амино-имино-метил)-бензоил] -4-(4- этоксикарбонилметокси-фенил)-4-оксо-масляной кислоты и этилового эфира хлормуравьиной кислоты получают этиловый эфир (RS)-2-[4-(этоксикарбониламино-имино-метил)-бензоил] -4-(4- этоксикарбонилметокси-фенил)-4-оксо-масляной кислоты, МС: 527 (100, М+H). Пример 88 3,8 г этилового эфира 4-[3-(4-тиокарбамоил-бензоил)-пропионил]- феноксиуксусной кислоты, 76 мл ацетона и 5,9 мл метилиодида перемешивают в течение 3 ч при 45oC. Затем реакционную смесь упаривают, остаток растворяют в 117 мл метанола, обрабатывают 2,2 г ацетата аммония и 0,54 мл уксусной кислоты и продолжают перемешивать еще в течение 3,5 ч при 60oC. Затем реакционную смесь до начала кристаллизации концентрируют в вакууме и охлаждают. Выпавший осадок фильтруют на нутче и для очистки тщательно размешивают в ацетонитриле. В результате получают 2 г ацетата этилового эфира [4-[4-[4-(амино-имино-метил)-фенил] -4-оксо-бутирил] -фенокси] -уксусной кислоты (1:1), Tпл 212oC. Исходный материал может быть получен следующим путем: а) В суспензию из 14,4 г безводного хлорида магния в 151 мл сухого хлористого метилена и 25,2 мл трет-бутилового эфира ацетуксусной кислоты при 5oC добавляют по каплям 24,4 мл пиридина. Через 15 мин добавляют 25 г 4-цианобензоилхлорида, после чего перемешивают в течение 2 ч при 20oC. Для дальнейшей переработки разбавляют уксусным эфиром, промывают ледяной разбавленной соляной кислотой и водой, сушат и упаривают в вакууме. Остаток растворяют в 600 мл трет-бутил-метилового эфира и при энергичном перемешивании обрабатывают 160 мл 10%-ного раствора аммиака. Через 2 ч разделяют фазы, промывают водой, сушат и упаривают в вакууме. После фильтрации на силикагеле и кристаллизации из пентана получают 13,1 г чистого трет-бутилового эфира 3-(4-цианофенил)-3-оксо-пропионовой кислоты, Tпл 82-83oC. б) Этот эфир трансформируют в ацетоне в присутствии карбоната калия с помощью этилового эфира [4-(бромацетил)-фенокси]-уксусной кислоты в этиловый эфир (RS)-[4-[3-трет-бутоксикарбонил-3-(4-циано- бензоил)-пропионил]-фенокси]-уксусной кислоты, МС: 465 (1, М). в) Этот эфир перемешивают в течение 4 ч в муравьиной кислоте при 20oC, упаривают, выпаривают с помощью толуола и нагревают в течение 1,5 ч в толуоле до 70oC. В результате получают этиловый эфир [4-[3-(4-циано-бензоил)-пропионил]-фенокси]-уксусной кислоты, Tпл 115-116oC. г) Этот эфир трансформируют в пиридине и триэтиламине с помощью сероводорода в этиловый эфир 4-[3-(4-тиокарбамоил- бензоил)-пропионил]-феноксиуксусной кислоты, Tпл 179-180oC. Пример 89 Аналогично тому, как это описано в примере 79, из ацетата этилового эфира [4-[4-[4-(амино-имино-метил)-фенил] -4- оксо-бутирил]-фенокси]-уксусной кислоты получают этиловый эфир [4-[4-[4-(этоксикарбониламино-имино-метил)-фенил]-4-оксо-бутирил]- фенокси]-уксусной кислоты, Tпл 167-168oC. Пример 90 Взаимодействием диметилового эфира [[4-(p-циан-N- метилбензамидо)ацетил-о-фенилен] диокси] диуксусной кислоты (см. Journ. Med. Chem. 1992, 35, 4393-4407) с гидрохлоридом гидроксиламина в метаноле в присутствии метанолата натрия после перемешивания в течение ночи и переработки получают диметиловый эфир [[[4-(p-амино-гидроксиимино-метил)-метилбензамидо]ацетил- о-фенилен] диокси] диуксусной кислоты в виде бесцветного твердого вещества. Tпл 58-60oC. МС (бомбардировка ионами): 488 (М+H)+. Пример 91 Взаимодействием метилового эфира (S)-[2-[1-[2-[4-циано- бензоиламино]-пропионил] -пиперидин-4-илокси]-ацетиламино] -уксусной кислоты с гидрохлоридом гидроксиламина в метаноле в присутствии метанолата натрия после перемешивания в течение ночи, переработки и хроматографической очистки на силикагеле (дихлорметан/метанол 6:1) получают метиловый эфир (Z)-(S)-[2- [1-[2-[4-(амино-гидроксиимино-метил)-бензоиламино]-пропионил]- пиперидин-4-илокси] -ацетиламино] -уксусной кислоты. Tпл 168-172oC. МС (бомбардировка ионами): 464 (М+H)+. Исходный материал может быть получен следующим образом: а) Путем обработки трет-бутилового эфира 1-бензилоксикарбонил- пиперидин-4-илоксиуксусной кислоты (см. Journ. Med. Chem. 1992, 35, 4393-4407) муравьиной кислотой и затем взаимодействием образовавшегося продукта с гидрохлоридом глицин-этилового эфира в присутствии гексафторофосфата O-бензотриазол-1-ил-N,N,N’,N’-тетраметилурония (HBTU) и N- метилморфолина получают этиловый эфир [[1-бензилоксикарбонил]- пиперидин-4-илокси-ацетиламино]-уксусной кислоты в виде бесцветного масла. МС (бомбардировка ионами): 379 (М+H)+. б) Посредством каталитического гидрирования продукта предварительной стадии и последующей реакцией сочетания с Z-Ala-OH в присутствии HBTU и N-метилморфолина получают (S)-бензил-[2-[4- [[[[этоксикарбонил]метиламино]-карбонил] метокси] пиперидинил] -1-оксопропил] карбамат в виде желтоватого масла. МС (бомбардировка ионами): 450 (М+H)+. в) Посредством каталитического гидрирования продукта предварительной стадии и последующей реакцией сочетания с хлоридом 4-цианбензойной кислоты в присутствии гидрокарбоната натрия получают этиловый эфир (S)-[2-[1-[2-[4-циано-бензоиламино] -пропионил] -пиперидин-4-илокси]-ацетиламино]-уксусной кислоты в виде бесцветной смолы. МС (бомбардировка ионами): 445 (М+H)+. Пример 92 Путем этерификации (Z)-(S)-1-[2-[4-(амино-гидроксиимино-метил)- бензоиламино] -пропионил] -пиперидин-4-илоксиуксусной кислоты (пример 75) в 1-гексаноле в присутствии концентрированной серной кислоты получают n-гексиловый эфир (Z)-(S)-1-[2-[4-(амино-гидроксиимино-метил)- бензоиламино]-пропионил] -пиперидин-4-илоксиуксусной кислоты в виде ватообразных кристаллов. Tпл 169-171oC. МС (бомбардировка ионами): 477 (М+H)+. Пример 93 Взаимодействием (Z)-(S)-1-[2-[4-(амино-гидроксиимино-метил)- бензоиламино] -пропионил] -пиперидин-4-илоксиуксусной кислоты (пример 75) с изобутиловым эфиром (E/Z)-2-бромметил-пент-2-еновой кислоты (см. Journ. Antibiotics, 1992, 45, 1358-1364) в присутствии триэтиламина получают изобутиловый эфир (E/Z)-(S)-2-[[1-[2-[4-[(Z)-(амино- гидроксиимино-метил)-бензоиламино] -пропионил] -пиперидин-4-илокси]- ацетоксиметил]пент-2-еновой кислоты в виде бесцветных кристаллов. Tпл 94-96oC. МС (бомбардировка ионами): 561 (М+H)+. Пример 94 Взаимодействием (Z)-(S)-1-[2-[4-(амино-гидроксиимино-метил)- бензоиламино] -пропионил] -пиперидин-4-илоксиуксусной кислоты (пример 75) с хлорметиловым эфиром пивалиновой кислоты в присутствии триэтиламина получают трет-бутилкарбонилокси-метиловый эфир (Z)-(S) -1-[2-[4-(амино-гидроксиимино-метил)-бензоиламино] -пропионил] -пиперидин-4-илоксиуксусной кислоты в виде бесцветных кристаллов. Tпл 126oC. МС (бомбардировка ионами): 507 (М+H)+. Пример 95 Взаимодействием (Z)-(S)-1-[2-[4-(амино-гидроксиимино-метил)- бензоиламино]-пропионил]-пиперидин-4-илоксиуксусной кислоты (пример 75) с 1-иодэтил-изопропилкарбонатом (см. Journ. Antibiotics 1987, 40, 370- 384) в присутствии дициклогексиламина в диметилацетамиде получают (R/S)-1-изопропоксикарбонилокси-этиловый эфир (2)-(S)-1-[2-[4- (амино-гидроксиимино-метил)-бензоиламино] -пропионил]-пиперидин- 4-илоксиуксусной кислоты в виде бесцветного порошка. Tпл 113oC (разложение). МС (бомбардировка ионами): 523 (М+H)+. Пример 96 Взаимодействием (Z)-(S)-1-[2-[4-(амино-гидроксиимино-метил)- бензоиламино] -пропионил] -пиперидин-4-илоксиуксусной кислоты (пример 75) с метанолом, как это описано в примере 75, получают метиловый эфир (Z)-(S)-1-[2-[4-(амино-гидроксиимино-метил)- бензоиламино] -пропионил] -пиперидин-4-илоксиуксусной кислоты в виде бесцветного порошка. Tпл 177-178oC (разложение). МС (бомбардировка ионами): 407 (М+H)+. Пример 97 Исходя из трет-бутилового эфира (S)-1-[2-(5-циан-пиридин-2- илкарбониламино)-пропионил]-пиперидин-4-илоксиуксусной кислоты (см. Journ. Med. Chem. 1992, 35, 4393-4407), по описанной в примере 75 методике получают этиловый эфир (Z)-(S)-[1-[2-[5-(амино-гидроксиимино- метил)-пиридин-2-илкарбониламино]-пропионил]-пиперидин-4-илокси] уксусной кислоты в виде бесцветных кристаллов. Tпл 148-150oC. МС (бомбардировка ионами): 422 (М+H)+. Пример 98 Исходя из трет-бутилового эфира (S)-1-[3-(4-гидрокси-фенил)-2- [4-циан-бензоиламино] -пропионил] -пиперидин-4-илокси-уксусной кислоты (пример 56б)) по описанной в примере 75 методике получают этиловый эфир (Z)-(S)-[1-[2-[4-(амино-гидроксиимино-метил)-бензоиламино] -3- (4-гидроксифенил)-пропионил] -пиперидин-4-илокси] уксусной кислоты в виде бесцветных кристаллов. Tпл 107-110oC. МС (бомбардировка ионами): 513 (М+H)+. Пример 99 Путем этерификации [[1-[N-(p-амидинобензоил)-L-орнитил]- пиперидин-4-ил] окси]уксусной кислоты (см. Journ. Med. Chem. 1992, 35, 4393-4407) этанолом в присутствии соляной кислоты и последующим взаимодействием образовавшегося продукта с этиловым эфиром хлормуравьиной кислоты, как это описано в примере 46, получают этиловый эфир (E/Z)-(S)-[1-[2-[4-(амино- этоксикарбонилимино-метил)-бензоиламино] -5-этоксикарбониламино- пентаноил]-пиперидин-4-илокси] уксусной кислоты в виде бесцветного пенистого вещества. МС (бомбардировка ионами): 592 (М+H)+. Пример 100 Взаимодействием этилового эфира (S)-[1-[2-[4-циан- бензоиламино]-5-бензоиламино-пентаноил] -пиперидин-4-илокси] уксусной кислоты с гидрохлоридом гидроксиламина, как это описано в примере 75, получают этиловый эфир (Z)-(S)-[1-[2-[4-(амино- гидроксиимино-метил)-бензоиламино] -5-бензоиламино-пентаноил]- пиперидин-4-илокси] уксусной кислоты в виде бесцветной смолы. МС (бомбардировка ионами): 568 (М+H)+. Исходный материал может быть получен следующим образом: а) Взаимодействием трет-бутилового эфира [[1-[N5-(трет- бутоксикарбонил)-L-орнитил] -пиперидин-4-ил]окси]уксусной кислоты (см. Journ. Med. Chem. 1992, 35, 4393- 4407) с хлоридом 4-цианбензойной кислоты в двухфазовой смеси из дихлорметана и насыщенного раствора гидрокарбоната натрия после переработки получают трет-бутиловый эфир (S)-[1-[2-[4-цианбензоиламино] -5-трет- бутоксикарбониламино-пентаноил] -пиперидин-4-илокси] уксусной кислоты. МС (бомбардировка ионами): 559 (М+H)+. б) Взаимодействием продукта предварительной стадии с трифторуксусной кислотой в дихлорметане получают (S)-[1-[2-[4- цианбензоиламино]-5-амино-пентаноил] -пиперидин-4-илокси] уксусную кислоту в виде бесцветной смолы. МС (бомбардировка ионами): 403 (М+H)+. в) Путем этерификации продукта предварительной стадии этанолом в присутствии концентрированной серной кислоты и последующим взаимодействием с хлоридом бензойной кислоты в двухфазовой смеси из дихлорметана и насыщенного раствора гидрокарбоната натрия получают этиловый эфир (S)-[1-[2-[4-цианбензоиламино] -5-бензоиламино-пентаноил] – пиперидин-4-илокси]уксусной кислоты. МС (EI): 348 (M-C9H16NO3)+, 188 (C9H18NO3). Пример 101 Взаимодействием этилового эфира (S)-[1-[2-[4-циан-бензоиламино] -5-этоксикарбониламино-пентаноил] -пиперидин-4-илокси] уксусной кислоты с гидрохлоридом гироксиламина в присутствии метанолата натрия, как это описано в примере 75, получают этиловый эфир (Z)-(S)-[1-[2-[4-(амино-гидроксииминометил)-бензоиламино] -5-этоксикарбониламино-пентаноил]-пиперидин-4-илокси] уксусной кислоты в виде бесцветного пенистого вещества. МС (бомбардировка ионами): 536 (М+H)+. Исходный материал может быть получен следующим образом: Путем этерификации (S)-[1-[2-[4-цианбензоиламино]-5- аминопентано-ил]-пиперидин-4-илокси] уксусной кислоты (пример 100) этанолом в присутствии концентрированной серной кислоты и последующим взаимодействием с этиловым эфиром хлормуравьиной кислоты в двухфазовой смеси из дихлорметана и 1H раствора гидроокиси натрия получают этиловый эфир (S)-[1-[2-[4-циан- бензоиламино] -5-этоксикарбониламино-пентаноил] -пиперидин-4- илокси] уксусной кислоты. МС (бомбардировка ионами): 503 (М+H)+. Пример 102 Взаимодействием этилового эфира (S)-[1-[2-[4-циан-бензоиламино]- 5-(3-бутил-уреидо)-пентаноил]-пиперидин-4-илокси]уксусной кислоты с гидрохлоридом гидроксиламина в присутствии метанолата натрия, как это описано в примере 75, получают этиловый эфир (Z)-(S)-[1-[2-[4-(амино- гидроксиимино-метил)-бензоиламино] -5-(3-бутил-уреидо)-пентаноил] – пиперидин-4-илокси] уксусной кислоты в виде бесцветного пенистого вещества. МС (бомбардировка ионами): 563 (М+H)+. Исходный материал может быть получен следующим образом: Путем этерификации (S)-[1-[2-[4-цианбензоиламино]-5- аминопентано-ил]-пиперидин-4-илокси]уксусной кислоты (пример 100) этанолом в присутствии концентрированной серной кислоты и последующим взаимодействием с n-бутилизоцианатом в двухфазовой получают этиловый эфир (S)-[1-[2-[4-цианбензоиламино] -5-(3- бутил-уреидо)-пентаноил] -пиперидин-4-илокси] уксусной кислоты. МС (бомбардировка ионами): 530 (М+H)+. Базовый пример 103 Исходя из трет-бутилового эфира 4-пиперидинилоксиуксусной кислоты и (S)-2-бензилоксикарбониламино-масляной кислоты, по методике, описанной в Journ. Med. Chem. 1992, 35, 4393-4407, получают соль муравьиной кислоты (S)-[1-[2-[4-(амино-имино-метил)-бензоиламино]- бутирил]-пиперидин-4-илокси] уксусной кислоты в виде бесцветных кристаллов. Tпл 240oC (разложение). МС (бомбардировка ионами): 391 (М+H)+. Базовый пример 104 Путем этерификации (S)-[1-[2-[4-(амино-имино-метил)-бензоиламино]- бутирил] -пиперидин-4-илокси]уксусной кислоты (пример 103) в этаноле в присутствии концентрированной серной кислоты получают гемисульфат этилового эфира (S)-[1-[2-[4-(амино-имино-метил)-бензоиламино] -бутирил]-пиперидин-4-илокси] уксусной кислоты в виде бесцветных кристаллов. Tпл 256-260oC (разложение). МС (бомбардировка ионами): 419 (М+H)+. Пример 105 Взаимодействием этилового эфира (S)-[1-[2-[4-(амино-имино-метил)- бензоиламино] -бутирил] -пиперидин-4-илокси]уксусной кислоты (пример 104) с n-бутиловым эфиром хлормуравьиной кислоты в двухфазовой смеси из дихлорметана и насыщенного раствора гидрокарбоната натрия получают этиловый эфир (E/Z)-(S)-[1-[2-[4-(амино-n-бутоксикарбонилимино-метил)- бензоиламино]-бутирил]-пиперидин-4-илокси] уксусной кислоты в виде бесцветного пенистого вещества. МС (бомбардировка ионами): 519 (М+H)+. Пример 106 Путем этерификации (Z)-(S)-[1-[2-[4-(амино-гидроксиимино-метил)- бензоиламино] -бутирил] -пиперидин-4-илокси] уксусной кислоты в этаноле в присутствии концентрированной серной кислоты получают этиловый эфир (Z)-(S)-[1-[2-[4-(амино-гидроксиимино-метил)- бензоиламино] -бутирил]-пиперидин-4-илокси]уксусной кислоты в виде бесцветного пенистого вещества. МС (бомбардировка ионами): 435 (М+H)+. Исходный материал может быть получен следующим путем: а) Взаимодействием трет-бутилового эфира (S)-[1-[2-аминобутаноил]-пиперидин-4-илокси] уксусной кислоты (получение аналогично методике, описанной в Journ. Med. Chem. 1992, 35, 4393-4407) с хлоридом 4-цианбензойной кислоты получают трет-бутиловый эфир (S)-[1-[2-[4-цианбензоиламино]-бутирил]- пиперидин-4-илокси]уксусной кислоты. МС (EI): 429 (М+). б) Взаимодействием продукта предварительной стадии с гидрохлоридом гидроксиламина получают трет-бутиловый эфир (Z)-(S)-[1- [2-[4-(амино-гидроксиимино-метил)-бензоиламино] -бутирил] -пиперидин-4- илокси]уксусной кислоты. МС (бомбардировка ионами): 463 (М+H)+. в) Путем обработки продукта предварительной стадии муравьиной кислотой получают (Z)-(S)-[1-[2-[4-(амино-гидроксиимино- метил)-бензоиламино]-бутирил] -пиперидин-4-илокси] уксусную кислоту в виде бесцветного пенистого вещества. МС (бомбардировка ионами): 407 (М+H)+. Базовый пример 107 Исходя из трет-бутилового эфира 4-пиперидинилоксиуксусной кислоты и Z-Me-Ala-OH, по методике, описанной в Journ. Med. Chem. 1992, 35, 4393-4407, получают (S)-[1-[2-[[4-(амино-имино-метил)- бензоил]-метиламино]-пропионил] -пиперидин-4-илокси]уксусную кислоту в виде бесцветной смолы. МС (бомбардировка ионами): 391 (М+H)+. Пример 108 Из 1-трет-бутоксикарбонил-пиперидин-4-илоксиуксусной кислоты (пример 73) и трет-бутилового эфира 1-[[L-аланил]-4-пиперидинилокси] уксусной кислоты (пример 66) по описанной в примере 73 методике получают (S)-[1-[2-(пиперидин-4-илокси-ацетамидо)-пропионил] -пиперидин-4-илокси] уксусную кислоту в виде бесцветного пенистого вещества. МС (ISN): 370 (M-H)+. Пример 109 Взаимодействием этилового эфира (S)-3-[1-[2-[4-циан-бензоил- амино]-пропионил] -пиперидин-4-ил] пропионовой кислоты с гидрохлоридом гидроксиламина, как это описано в примере 75, получают этиловый эфир (Z)-(S)-3-[1-[2-[4-(амино-гидроксиимино- метил)-бензоил-амино]-пропионил]-пиперидин-4-ил] пропионовой кислоты в виде бесцветных кристаллов. Tпл 194-195oC. [ ]2D0 = +75,6o (с=1, уксусная кислота). МС (бомбардировка ионами): 419 (М+H)+.
Исходный материал может быть получен следующим образом:а) Путем этерификации 3-[пиперидин-4-ил]-пропионовой кислоты (см. Journ. Org. Chem. 1945, 10, 562) этанолом в присутствии концентрированной серной кислоты и последующей реакции сочетания с Z-Ala-OH в присутствии 1-этилоксикарбонил-2-изобутилокси-1,2- дигидрохинолина (ЭИДГ) в дихлорметане получают этиловый эфир 3-[1- (2-бензилоксикарбониламино-пропионил)-пиперидин-4-ил] -пропионовой кислоты в виде бесцветного масла. МС (бомбардировка ионами): 391 (М+H)+. б) Посредством каталитического гидрирования продукта предварительной стадии в этаноле в присутствии 10%-ного Pd/C и последующим взаимодействием с 4-цианбензоилхлоридом получают этиловый эфир (S)-3-[1-[2-[4-циан-бензоил-амино] -пропионил] – пиперидин-4-ил] пропионовой кислоты в виде бесцветных кристаллов. Tпл 108-109oC. МС (EI): 385 (М)+. Пример 110 Посредством каталитического гидрирования (Z)-(S)-[[ацетил-1-[2- [4-(аминогироксиимино-метил)-бензоил-амино] -пропионил]-пиперидин-4-ил]- амино] -уксусной кислоты в воде/уксусной кислоте 9:1 в присутствии 10%-ного Pd/C получают (S)-[[ацетил-1-[2-[4-(амино-имино-метил)- бензоил-амино]-пропионил] -пиперидин-4-ил] -амино] уксусную кислоту в виде бесцветного порошка. Tпл свыше 230oC (разложение). МС (бомбардировка ионами): 418 (М+H)+. Исходный материал может быть получен следующим путем: а) Взаимодействием N-бензилоксикарбонил-4-пиперидона с гидрохлоридом глицин-этилового эфира в присутствии борогидрида натрия и последующим ацилированием продукта ангидридом уксусной кислоты получают этиловый эфир ацетил-[1-[бензилоксикарбонил] -пиперидин-4-ил]-аминоуксусной кислоты в виде бесцветного масла. б) Посредством каталитического гидрирования продукта предварительной стадии в присутствии 10%-ного Pd/C в этаноле и последующей реакции сочетания с Z-Ala-OH в присутствии 1-этоксикарбонил-2-этокси-1,2-дигидрохинолина (ЭЭДГ) получают этиловый эфир (S)-[[[ацетил-1-[2-бензилоксикарбонил-амино] -пропионил] -пиперидин-4-ил]-амино] уксусной кислоты в виде бесцветного масла. МС (бомбардировка ионами): 456 (M+Na)+. в) Посредством каталитического гидрирования продукта предварительной стадии с использованием 10%-ного Pd/C в этаноле в присутствии уксусной кислоты и последующим взаимодействием с 4- цианбензоилхлоридом в двухфазовой смеси из дихлорметана и насыщенного раствора гидрокарбоната натрия получают этиловый эфир (S)-[[ацетил-1-[2-[4-(циан-бензоил-амино]-пропионил]-пиперидин-4-ил] – амино]уксусной кислоты в виде бесцветного пенистого вещества. МС (бомбардировка ионами): 428 (М+H)+. г) Взаимодействием продукта предварительной стадии с гидрохлоридом гидроксиламина и последующим омылением натровым щелоком получают (Z)-(S)-[[ацетил-1-[2-[4-(амино-гидроксиимино-метил)-бензоил- амино] -пропионил] -пиперидин-4-ил] -амино] уксусную кислоту в виде бесцветных кристаллов. Tпл свыше 270oC (разложение). МС (бомбардировка ионами): 434 (М+H)+. Пример 111 Аналогично тому, как это описано в примере 110, с использованием ди-трет-бутил-дикарбоната вместо ангидрида уксусной кислоты получают этиловый эфир (Z)-(R/S)-[[трет-бутоксикарбонил-1-[2-[4-(амино-гидроксиимино- метил)-бензоил-амино]-пропионил]-пиперидин-4-ил]-амино]уксусной кислоты в виде бесцветного пенистого вещества. МС (бомбардировка ионами): 520 (М+H)+. Пример 112 Путем этерификации (Z)-[l-[2-[4-[амино-гидроксиимино-метил]- фенилкарбамоил] -ацетил] -пиперидин-4-илокси] -уксусной кислоты этанолом получают этиловый эфир (Z)-[1-[2-[4-[амино- гидроксиимино-метил]-фенилкарбамоил]-ацетил] -пиперидин-4- илокси]-уксусной кислоты в виде бесцветных кристаллов. Tпл 180oC (разложение). МС (бомбардировка ионами): 407 (М+H)+. Исходный материал может быть получен следующим путем: а) Взаимодействием 4-амино-бензонитрила с мелдрумовой кислотой получают 2-[4-циан-фенилкарбамоил]-уксусную кислоту. б) Реакцией сочетания продукта предварительной стадии с трет-бутиловым эфиром 4- пиперидинилоксиуксусной кислоты (см. Journ. Med. Chem. 1992, 35, 4393-4407) в присутствии гексафторофосфата O-бензотриазол-1-ил-N,N,N’,N’-тетраметилурония (HBTU) и N-метилморфолина получают трет-бутиловый эфир [1-[2-[4-циан- фенилкарбамоил]-ацетил]-пиперидин-4-илокси]-уксусной кислоты. МС (EI): 401 (М+). в) Взаимодействием продукта предварительной стадии с гидрохлоридом гидроксиламина, как описано в примере 75, получают трет-бутиловый эфир (Z)-[1-[2-[4-[амино-гидроксиимино-метил] -фенилкарбамоил] -ацетил]-пиперидин-4-илокси] -уксусной кислоты. Tпл 161-163oC. МС (бомбардировка ионами): 435 (М+H)+. г) Путем обработки продукта предварительной стадии муравьиной кислотой получают (Z)-[1-[2-[4-[амино-гидроксиимино-метил] -фенилкарбамоил] -ацетил] -пиперидин-4-илокси] -уксусную кислоту в виде бесцветных кристаллов. Tпл 133-135oC. МС (ISN): 377 (M-H)+. Пример 113 Посредством каталитического гидрирования этилового эфира (Z)- [1-[2-[4-[амино-гидроксиимино-метил]-фенилкарбамоил]-ацетил] -пиперидин-4- илокси] -уксусной кислоты (пример 112) в присутствии 10%-ного Pd/C в этаноле/уксусной кислоте 15:1 получают ацетатную соль этилового эфира [1-[2-[4-[амино-имино-метил] -фенилкарбамоил] – ацетил]-пиперидин-4-илокси]-уксусной кислоты в виде бесцветных кристаллов. Tпл 191-192oC. МС (бомбардировка ионами): 391 (М+H)+. Пример 114 Взаимодействием этилового эфира {[1-[2-[4-[амино-имино-метил]- фенилкарбамоил] -ацетил] -пиперидин-4-илокси] -уксусной кислоты (пример 113) с этиловым эфиром хлормуравьиной кислоты в присутствии 0,2H натрового щелока получают этиловый эфир (E/Z)-[1-[2-[4- [амино-этоксикарбонилимино-метил]-фенилкарбамоил]-ацетил] -пиперидин-4-илокси]-уксусной кислоты в виде бесцветного порошка. Tпл 96-102oC. МС (бомбардировка ионами): 463 (М+H)+. Пример 115 Путем этерификации (Z)-(S)-[1-[2-[4-[амино-гидроксиимино-метил]- бензилокси] -пропионил] -пиперидин-4-илокси] -уксусной кислоты этанолом получают этиловый эфир (Z)-(S)-[1-[2-[4-[амино-гидроксиимино-метил] – бензилокси]-пропионил] -пиперидин-4-илокси] -уксусной кислоты в виде бесцветных кристаллов, [ ]2D0 =-27,3o (с=1, этанол). Tпл 137- 138oC. МС (бомбардировка ионами): 408 (М+H)+.
Исходный материал может быть получен следующим путем:а) Взаимодействием этилового эфира (L)-(-)-молочной кислоты с 4-бромметилбензонитрилом в ДМФ в присутствии окиси серебра и последующим омылением продукта 1H натровым щелоком получают (S)-2-(4-циан-бензилокси)-пропионовую кислоту в виде желтоватого масла. МС (EI): 160 (M-COOH)+. б) Аналогично описанной в примере 112 б), в) и г) трансформацией продукта предварительной стадии получают (Z)-(S)-[1-[2-[4-[амино- гидроксиимино-метил] -бензилокси] -пропионил] -пиперидин-4-илокси] -уксусную кислоту. МС (бомбардировка ионами): 380 (М+H)+. Пример 116 170 мг гидрохлорида гидроксиламина, 10,8 мл ДМСО и 0,71 мл триэтиламина перемешивают в течение 10 мин при 20oC, обрабатывают 578 мг этилового эфира [1-[4-(4-циано-фенил)-4-оксо- бутирил]-пиперидин-4-илокси]-уксусной кислоты и продолжают перемешивать в течение 20 ч при 20oC. Затем реакционную смесь разбавляют уксусным эфиром и раствор промывают водой и насыщенным раствором поваренной соли, сушат и упаривают в вакууме. После хроматографии остатка на силикагеге с помощью хлористого метилена/спирта 96:4 получают 343 мг этилового эфира (E)/(Z)-[1- [4-[4-(амино-гидроксиимино-метил)-фенил]-4-оксо-бутирил]- пиперидин-4-илокси]-уксусной кислоты, Tпл 166-167oC. Исходный материал получают следующим путем: а) Трет-бутиловый эфир [1-[4-(4-циано-фенил)-4-оксо-бутирил]- пиперидин-4-илокси] -уксусной кислоты (пример 77а)) в муравьиной кислоте при 50oC расщепляют до [1-[4-(4-циано-фенил)-4-оксо-бутирил]- пиперидин-4-илокси]-уксусной кислоты, Tпл 160-165oC. б) Из этой кислоты в 5H этаноловой соляной кислоте получают этиловый эфир [1-[4-(4-циано-фенил)-4-оксо-бутирил] -пиперидин-4-илокси] – уксусной кислоты, Tпл 79-83oC. Пример 117 Аналогично тому, как это описано в примере 79, из гидрохлорида изопропилового эфира (RS)-[1-[4-[4-(амино-имино-метил)-фенил] -2-метил-4-оксо-бутирил] -пиперидин-4-илокси] -уксусной кислоты и ди-трет-бутил-дикарбоната получают изопропиловый эфир (RS)-[l-[4-[4-(трет-бутоксикарбониламино-имино-метил)-фенил] -2-метил-4-оксо-бутирил] -пиперидин-4-илокси] -уксусной кислоты в виде смолистого пенистого вещества, МС: 518 (100, М+H). Пример 118 279 мг этилового эфира (E)/(Z)-[1-[4-[4-(aминo-гидpoкcииминo- метил)-фенил] -4-оксо-бутирил] -пиперидин-4-илокси] -уксусной кислоты, 2,8 мл ДМСО, 140 мг гидрохлорида гидроксиламина и 0,28 мл триэтиламина перемешивают в течение 2 дней при 20oC. Затем раствор разбавляют уксусным эфиром, промывают водой и раствором поваренной соли, сушат и упаривают в вакууме. После хроматографии остатка на силикагеле с помощью гексана/ацетона 1:2 получают 207 мг этилового эфира [1-[4-[4-(E)/(Z)-(амино-гидроксиимино-метил)- фенил]-4-(E)/(7)-гидроксиимино-бутирил]-пиперидин-4-илокси]- уксусуной кислоты в виде смолистого пенистого вещества, МС: 421 (100, М+H). Пример 119 190 мг этилового эфира (E)/(Z)-[1-[4-[4-(амино-гидроксиимино- метил)-фенил]-4-оксо-бутирил]-пиперидин-4-илокси]-уксусной кислоты, 3,8 мл хлористого метилена и 0,05 мл ацетангидрида перемешивают в течение 4 ч при 20oC. После добавки 0,25 мл этанола раствор продолжают перемешивать еще в течение 20 мин, после чего упаривают. Из этанола получают 170 мг этилового эфира (E)/(Z)-[1-[4-[4-(ацетокси- имино-амино-метил)-фенил] -4-оксо-бутирил] -пиперидин-4-илокси]-уксусной кислоты с Tпл 134-135oC. Пример 120 180 мг этилового эфира (E)/(Z)-[1-[4-[4-(амино-гидроксиимино- метил)-фенил]-4-оксо-бутирил]-пиперидин-4-илокси]-уксусной кислоты, 3,52 мл ацетона и 0,88 мл муравьиной кислоты перемешивают в течение 24 ч при 60oC. Затем реакционную смесь упаривают до сухого состояния и остаток хроматографируют с помощью хлористого метилена/этанола 97:3 на силикагеле. В результате получают 152 мг этилового эфира [1-[4-[4-(5,5-диметил-4,5-дигидро-1,2,4-оксадиазол-3- ил)-фенил]-4-оксо-бутирил]-пиперидин-4-илокси]-уксусной кислоты в виде пенистого вещества. МС: 445 (50, М+H). Пример 121 Аналогично примеру 116 из этилового эфира (R)-[1-[4-(4-циано-фенил)-2-метил-4-оксо-бутирил] -пиперидин- 4-илокси] -уксусной кислоты получают этиловый эфир (R)-(E)/(Z)- [1-[4-[4-(амино-гидроксиимино-метил)-фенил] -2-метил-4-оксо- бутирил] -пиперидин-4-илокси]-уксусной кислоты, Tпл 172- 173oC, [ ]2D0 = +83,2o (MeOH, с = 0,5%).
Исходный материал может быть получен следующим образом:а) Расщеплением трет-бутилового эфира 4-пиперидинилоксиуксусной кислоты в муравьиной кислоте получают 4-пиперидинилоксиуксусную кислоту, Tпл>270oC. б) Эту кислоту в 5H этаноловой HCl переводят в гидрохлорид этилового эфира 4-пиперидинилоксиуксусной кислоты, Tпл 104-106oC. в) Из трет-бутилового эфира 3-(4-циано-фенил)-3-оксо-пропионовой кислоты и изобутилового эфира (R)-2-трифторметилсульфонилокси- пропионовой кислоты в тетрагидрофуране в присутствии бис-(триметилсилил)-амида натрия получают изобутиловый эфир 2-(R)-3(R,S)-3-трет-бутоксикарбонил-4-(4-циано-фенил)-2-метил-4-оксо- масляной кислоты. г) Из этого эфира путем нагрева до 45oC в муравьиной кислоте получают изобутиловый эфир (R)-4-(4-циано-фенил)-2-метил-4-оксо-масляной кислоты, [ ]2D0 =+21o (метанол, с=0,5%).
д) Этот эфир омыляют в водном ТГФ гидроокисью лития до (R)-4-(4-циано-фенил)-2-метил-4-оксо-масляной кислоты. Tпл 125-126oC, [ ]2D0 = +37,4o (метанол, с = 0,5%).
е) Реакцией сочетания (R)-4-(4-циано-фенил)-2-метил-4-оксо- масляной кислоты с гидрохлоридом этилового эфира 4- пиперидинилоксиуксусной кислоты получают этиловый эфир (R)-[1-[4- (4-циано-фенил)-2-метил-4-оксо-бутирил]-пиперидин-4-илокси]- уксусной кислоты, Tпл 97-98oC, [ ]2D0 = +91,8o (метанол, с=0,5%).
Пример 122Аналогично примеру 116 из трет-бутилового эфира [1-[4-(4- циано-фенил)-4-оксо-бутирил]-пиперидин-4-илокси]-уксусной кислоты получают трет-бутиловый эфир (E)/(Z)-[1-[4-[4-(амино- гидроксиимино-метил)-фенил]-4-оксо-бутирил]-пиперидин-4-илокси] -уксусной кислоты, Tпл 188oC. Пример 123 434 мг трет-бутилового эфира R)-[1-[4-[4-(трет- бутоксикарбониламино-имино-метил)-фенил] -2-метил-4-оксо-бутирил] – пиперидин-4-илокси]-уксусной кислоты перемешивают в 4,4 мл хлористого метилена и 4,4 мл трифторуксусной кислоты в течение 1 ч при 20oC. Затем раствор упаривают, остаток растворяют в воде и раствор повторно упаривают. После кристаллизации из ацетонитрила получают 332 мг трифторацетата (1:1) (R)-[1-[4-[4-(амино-имино-метил)-фенил] – 2-метил-4-оксо-бутирил] -пиперидин-4-илокси] уксусной кислоты, Tпл 212oC, [ ]2D0 = +69,0o (метанол, с=0,5%).
Исходный материал может быть получен следующим путем:а) Реакцией сочетания (R)-4-(4-циано-фенил)-2-метил-4-оксо- масляной кислоты с трет-бутиловым эфиром пиперидин-4-илоксиуксусной кислоты получают трет-бутиловый эфир (R)-[1-[4-(4-циано-фенил)-2- метил-4-оксо-, бутирил]-пиперидин-4-илокси] -уксусной кислоты, Tпл 142oC, [ ]2D0 = +83,2o (метанол, с= 0,5%).
б) С помощью сероводорода в пиридине/триэтиламине из вышеназванного эфира получают трет-бутиловый эфир (R)-[1-[2-метил-4-оксо-4-(4-тиокрбамоил-фенил)-бутирил] -пиперидин-4-илокси]-уксусной кислоты в виде желтой смолы, МС: 449 (63, М+H), [ ]2D0 = +76,4o (метанол, с=0,5%).
в) Этот эфир взаимодействием сначала с метилиодидом в ацетоне, затем с ацетатом аммония и уксусной кислотой в метаноле и в заключение с ди-трет-бутил-дикарбонатом в хлористом метилене и водном растворе карбоната натрия трансформируют в исходный материал, МС: 532 (100, М+H), [ ]2D0 = +64,4o (метанол, с=0,5%).
Пример 124Аналогично примеру 116 из этилового эфира (RS)-[1-[4-(4-циано- фенил)-3-метил-4-оксо-бутирил] -пиперидин-4-илокси] -уксусной кислоты получают этиловый эфир (E)/(Z)-(RS)-[1-[4-[4-(амино- гидроксиимино-метил)-фенил]-3-метил-4-оксо-бутирил] -пиперидин-4- илокси]-уксусной кислоты в виде пенистого вещества, МС: 420 (100, М+H). Исходный материал может быть получен следующим путем: а) (RS)-4-(4-амино-фенил)-3-метил-4-оксо-масляную кислоту с помощью реакции Зандмейера трансформируют в (RS)-4-(4-циано- фенил)-3-метил-4-оксо-масляную кислоту, Tпл 110-113oC. б) Эту последнюю подвергают реакции сочетания с гидрохлоридом этилового эфира 4-пиперидинилоксиуксусной кислоты, в результате которой получают этиловый эфир (RS)-[1-[4-(4-циано- фенил)-3-метил-4-оксо-бутирил]-пиперидин-4-илокси]-уксусной кислоты, МС: 387 (100, М+H). Пример 125 Аналогично примеру 116 из пиридин-3-илметилового эфира (R)-[1- [4-(4-циано-фенил)-2-метил-4-оксо-бутирил] -пиперидин-4-илокси] – уксусной кислоты получают пиридин-3-илметиловый эфир (R)-(E)/(Z)-(RS)-[1-[4-[4-(амино-гидроксиимино-метил)-фенил] -3-метил-4-оксо-бутирил] -пиперидин-4-илокси]-уксусной кислоты в виде смолы, МС: 483 (100, М+H), [ ]2D0 = +69,8o (метанол, с= 0,5%).
Исходный материал может быть получен следующим путем:а) Трет. -бутиловый эфир (R)-[1-[4-(4-циано-фенил)-2-метил-4-оксо- бутирил] -пиперидин-4-илокси]-уксусной кислоты расщепляют в муравьиной кислоте до (R)-[1-[4-(4-циано-фенил)-2-метил-4-оксо-бутирил] -пиперидин-4-илокси]-уксусной кислоты, Tпл 185-186oC, [ ]2D0 = +91,6o (метанол, с=0,5%).
б) Эту кислоту этерифицируют в пиридине в присутствии DCC (дицикло-гексилкарбодиимид) и pTsOH (пара-толуолсульфокислота) с помощью 3-пиридил-метанола до пиридин-3-илметилового эфира (R)- [1-[4-(4-циано-фенил)-2-метил-4-оксо-бутирил] -пиперидин-4-илокси] – уксусной кислоты, Tпл 123-124oC, [ ]2D0 = +77,6o (метанол, с=0,5%).
Пример 126Аналогично примеру 78 из этилового эфира (RS)-[1-[4-[4-(трет- бутоксикарбониламино-имино-метил)-фенил]-3-метил-4-оксо-бутирил] -пиперидин-4-илокси] -уксусной кислоты получают этиловый эфир (RS)-[1-[4-[4-(амино-имино-метил)-фенил] -3-метил-4-оксо-бутирил] -пиперидин-4-илокси]-уксусной кислоты в виде трифторацетата (1:1,9), МС: 404 (100, М+H). Исходный материал может быть получен следующим образом: а) Этиловый эфир (RS)-[1-[4-(4-циано-фенил)-3-метил-4-оксо- бутирил]-пиперидин-4-илокси] -уксусной кислоты в пиридине/триэтиламине с помощью сероводорода переводят в этиловый эфир (RS)-N-[3-метил-4-оксо- 4-(4-тиокарбамоил-фенил)-бутирил] -пиперидин-4-илокси] -уксусной кислоты. МС: 386 (0,5, M-H2S). б) Этот эфир сначала взаимодействием с метилиодидом в ацетоне, затем с ацетатом аммония/уксусной кислотой в метаноле и в заключение с ди-трет-бутил-дикарбонатом в хлористом метилене/воде/карбонате натрия трансформируют в этиловый эфир (RS)-[1-[4-[4-(трет- бутоксикарбониламино-имино-метил)-фенил] -3-метил-4-оксо-бутирил] -пиперидин-4-илокси] -уксусной кислоты, МС: 504 (100. М+H). Пример 127 200 мг трифторацетата этилового эфира (RS)-[1-[4-[4-(амино- имино-метил)-фенил]-3-метил-4-оксо-бутирил]-пиперидин-4-илокси] -уксусной кислоты перемешивают в течение 4 ч в 20 мл 25%-ной соляной кислоты. Затем реакционную смесь упаривают в вакууме до сухого состояния, остаток растворяют в воде и повторно упаривают до сухого состояния. В результате получают 144 мг гидрата (2: 3)- гидрохлорида (8:9) (RS)-[1-[4-[4-(амино-имино-метил)-фенил] -3- метил-4-оксо-бутирил]-пиперидин-4-илокси]-уксусной кислоты. Tпл 173-175oC. Пример 128 Аналогично примеру 79 из трифторацетата этилового эфира (RS)-[1-[4-[4-(амино-имино-метил)-фенил] -3-метил- 4-оксо-бутирил] -пиперидин-4-илокси]-уксусной кислоты с помощью изобутилового эфира хлормуравьиной кислоты получают этиловый эфир (RS)-[1-[4-[4-(имино-изобутоксикарбониламино-метил)-фенил] -3- метил-4-оксо-бутирил]-пиперидин-4-илокси]-уксусной кислоты в виде пенистого вещества, МС: 504 (100, М+H). Пример 129 Аналогично примеру 79 из ацетат/иодида этилового эфира (R)-[1-[4-[4-(амино-имино-метил)-фенил] -2-метил-4-оксо-бутирил] -пиперидин-4-илокси]-уксусной кислоты и этилового эфира хлормуравьиной кислоты получают этиловый эфир (R)-[1-[4- [4-(этоксикарбониламино-имино-метил)-фенил] -2-метил-4-оксо-бутирил] -пиперидин-4-илокси]-уксусной кислоты в виде смолы, МС: 476 (36, М+H), [ ]2D0 = +72,6o (метанол, с=0,5%).
Исходный материал может быть получен следующим путем:а) Этиловый эфир (R)-[1-[4-(4-циано-фенил)-2-метил-4-оксо-бутирил] – пиперидин-4-илокси] -уксусной кислоты взаимодействием с сероводородом в пиридине и триэтиламине трансформируют в этиловый эфир (R)-[1-[2-метил-4-оксо-4-(4-тиокарбамоил-фенил)-бутирил] -пиперидин-4-илокси]-уксусной кислоты, Tпл 171-172oC, [ ]2D0 = +88,4o (метанол, с=0,5%).
б) Взаимодействием с метилиодидом в ацетоне и последующей реакцией с ацетатом аммония и уксусной кислотой получают ацетат/иодид этилового эфира (R)-[1-[4- [4-(амино-имино-метил)-фенил] -2-метил-4-оксо-бутирил]-пиперидин-4-илокси]-уксусной кислоты.
Пример 130Аналогично тому, как это описано в примере 129, получают этиловый эфир (R)-[1-[4-[4-(имино-изобутоксикарбониламино-метил)- фенил]-2-метил-4-оксо-бутирил] -пиперидин-4-илокси] -уксусной кислоты. МС: 504 (100, М+H), [ ]2D0 = +70,25o (метанол, с=0,4%).
Пример 131Аналогично примеру 116 из пиридин-4-илметилового эфира (R)-[1-[4- (4-циано-фенил)-2-метил-4-оксо-бутирил]-пиперидин-4-илокси]-уксусной кислоты получают пиридин-4-илметиловый эфир (R)-(E)/(Z)-[1-[4-[4-(амино- гидроксиимино-метил)-фенил]-2-метил-4-оксо-бутирил]-пиперидин-4-илокси]- уксусной кислоты в виде смолы, МС: 483 (100, М+H), [ ]2D0 = +71,8o (метанол, с=0,5%).
Исходный материал получают из (R)-[1-[4-(4-циано-фенил)-2-метил-4- оксо-бутирил]-пиперидин-4-илокси]-уксусной кислоты и 4-пиридилметанола в пиридине в присутствии DCC и pTsOH, Tпл 99-104oC, [ ]2D0 = +69,8o (метанол, с = 0,5%).
Пример 132Аналогично примеру 116 из трет-бутилового эфира (RS)-3-[1-(R) -4-(4-циано-фенил)-2-метил-4-оксо-бутирил] -пиперидин-4-илоксиацетоксиметил]- пиперидин-1-карбоновой кислоты получают трет-бутиловый эфир (E)- или (Z)-(RS)-3-[1-[(R)-4-[4-(амино-гидроксиимино-метил)-фенил] -2-метил-4- оксо-бутирил]-пиперидин-4-илоксиацетоксиметил] -пиперидин-1- карбоновой кислоты, МС: 589 (100, М+H), [ ]2D0 = +60o (метанол, с=0,5%).
Исходный материал получают из (R)-[1-[4-(4-циано-фенил)- 2-метил-4-оксо-бутирил] -пиперидин-4-илокси] -уксусной кислоты и трет-бутилового эфира (RS)-3-(гидроксиметил)-пиперидин-1- карбоновой кислоты в пиридине в присутствии DCC и pTsOH. МС: 556 (100, М+H), [ ]2D0 = +56o (метанол, с = 0,5%).
Пример 133Аналогично тому, как это описано в примере 129, получают этиловый эфир (R)-[1-[4-[4-(имино-изопропоксикарбониламино-метил)- фенил] -2-метил-4-оксо-бутирил] -пиперидин-4-илокси]-уксусной кислоты. МС: 490 (100, М+H), [ ]2D0 = +72o (метанол, с-0,4%).
Пример 134Аналогично примеру 78 из этилового эфира (R)-[1-[4-[4-(трет- бутоксикарбониламино-имино-метил)-фенил] -2-метил-4-оксо-бутирил] – пиперидин-4-илокси] -уксусной кислоты получают трифторацетат этилового эфира (R)-[1-[4-[4-(амино-имино-метил)-фенил] -2-метил-4-оксо-бутирил] – пиперидин-4-илокси] -уксусной кислоты, Tпл 186oC, [ ]2D0 = +67,4o (метанол, c=0,5%).
Исходный материал получают из ацетат/иодида этилового эфира (R)-[1-[4-[4-(амино-имино-метил)-фенил] -3-метил-4-оксо-бутирил] -пиперидин-4-илокси] -уксусной кислоты и ди-трет-бутил-дикарбоната в хлористом метилене/воде/Na2CO3; МС: 504 (91, М+H), [ ]2D0 = +66o (метанол, с=0,5%).
Пример 135259 мг трифторацетата этилового эфира (R)-[1-[4-[4-(амино-имино- метил)-фенил] -2-метил-4-оксо-бутирил] -пиперидин-4-илокси] -уксусной кислоты, 3,9 мл ДМФ, 0,14 мл триэтиламина и 159 мг 4-нитрофеноксикарбонилоксиметилового эфира бензойной кислоты перемешивают в течение 3 ч при комнатной температуре. Затем реакционную смесь упаривают в вакууме до сухого состояния. После хроматографии остатка на силикагеле с помощью хлористого метилена/изопропанола 19: 1 получают 223 мг этилового эфира (R)- [1-[4-[4-(бензоилоксиметоксикарбониламино-имино-метил)-фенил] -2- метил-4-оксо-бутирил] -пиперидин-4-илокси] -уксусной кислоты, МС: 582 (100, М+H), [ ]2D0 = +67,4o (метанол, с=0,5%).
4-нитрофеноксикарбонилоксиметиловый эфир бензойной кислоты может быть получен из иодометил-4-нитрофенил-карбоната и бензоата серебра в кипящем бензоле.
Пример 136Аналогично тому, как это описано в примере 135, из трифторацетата этилового эфира (R)-[1-[4-[4-(амино-имино-метил)-фенил]-2-метил- 4-оксо-бутирил] -пиперидин-4-илокси] -уксусной кислоты с помощью 4- нитрофеноксикарбонилоксиметилового эфира пивалиновой кислоты получают этиловый эфир (R)-[1-[4-[4-(имино-пивалоилоксиметоксикарбониламино- метил)-фенил]-2-метил-4-оксо-бутирил] -пиперидин-4-илокси] -уксусной кислоты в виде пенистого вещества, МС: 562 (100, М+H), [ ]2D0 = +60,8o (метанол, с=0,5%).
4-нитрофеноксикарбонилоксиметиловый эфир пивалиновой кислоты можно получать из иодометил-4-нитрофенил-карбоната и пивалата серебра в кипящем бензоле.
Пример 137Аналогично примеру 116 из 2-пиридин-2-илэтилового эфира (R)-[1-[4- (4-циано-фенил)-2-метил-4-оксо-бутирил] -пиперидин-4-илокси] -уксусной кислоты получают 2-пиридин-2-илэтиловый эфир (R)-(E)/(Z)-[1-[4-[4- (амино-гидроксиимино-метил)-фенил] -2-метил-4-оксо-бутирил]-пиперидин-4- илокси]-уксусной кислоты, МС: 497 (100, М+H), [ ]2D0 = +67o (метанол, с=0,5%).
Исходный материал получают из (R)-[1-[4-(4-циано-фенил)-2-метил- 4-оксо-бутирил]-пиперидин-4-илокси]-уксусной кислоты и 2-пиридин-2-ил- этанола в пиридине в присутствии DCC и pTsOH. МС: 464 (100, М+H), [ ]2D0 = +72,8o (метанол, с=0,5%).
Пример 138Аналогично примеру 116 из 2-пиридин-3-илэтилового эфира (R)-[1-[4-(4-циано-фенил)-2-метил-4-оксо-бутирил] -пиперидин-4- илокси]-уксусной кислоты получают 2-пиридин-3-илэтиловый эфир (R)-(E)/(Z)-[1- [4-[4-(амино-гидроксиимино-метил)-фенил] -2-метил-4-оксо-бутирил] -пиперидин-4-илокси]-уксусной кислоты, МС: 497 (100, М+H), [ ]2D0 = +65,8o (метанол, с = 0,5%).
Исходный материал получают из (R)-[1-[4-(4-циано-фенил)-2- метил-4-оксо-бутирил] -пиперидин-4-илокси]-уксусной кислоты и 2-пиридин-3-ил-этанола в пиридине в присутствии DCC и TpTsOH, МС: 464 (100, М+H), [ ]2D0 =+70,8o (метанол, с=0,5%).
Пример 139Аналогично примеру 78 из трет-бутилового эфира (E)- или (Z)-(RS)-3-[1-[(R)-4-[4-(амино-гидроксиимино-метил)-фенил] -2-метил-4-оксо-бутирил] -пиперидин-4-илоксиацетоксиметил] – пиперидин-1-карбоновой кислоты получают (RS)-пиперидин-3- илметиловый эфир (E)- или (Z)-(R)-[1-[4-[4-(амино-гидроксиимино- метил)-фенил] -2-метил-4-оксо-бутирил] -пиперидин-4-илокси]-уксусной кислоты в виде трифторацетата (1:2), МС (100, М+H), [ ]2D0 =+45,75o (метанол, с=0,4%).
Пример 140Аналогично примеру 116 из трет-бутилового эфира (R)-4-[[1-[4-(4- циано-фенил)-2-метил-4-оксо-бутирил] -пиперидин-4-илокси] -ацетоксиметил] – пиперидин-1-карбоновой кислоты получают трет-бутиловый эфир (E)- или (Z)-(R)-4-[1-[4-[4-(амино-гидроксиимино-метил)-фенил] -2-метил-4-оксо-бутирил] -пиперидин-4-илоксиацетоксиметил] – пиперидин-1-карбоновой кислоты; МС: 589 (100, М+H), [ ]2D0 = +58,6o (метанол, с=0,5%).
Исходный материал получают из (R)-[1-[4-(4-циано-фенил)- 2-метил-4-оксо-бутирил] -пиперидин-4-илокси] -уксусной кислоты и трет-бутилового эфира 4-(гидроксиметил)-пиперидин-1-карбоновой кислоты в пиридине в присутствии DCC и pTsOH. МС: 556 (100, М+H), [ ]2D0 = +63,3o (метанол, с=0,3%).
Пример 141Аналогично примеру 78 из трет-бутилового эфира (E)- или (Z)-(R)-4-[1-[4-[4-(амино-гидроксиимино-метил)-фенил] -2-метил-4-оксо- бутирил] -пиперидин-4-илоксиацетоксиметил]-пиперидин-1-карбоновой кислоты получают пиперидин-4-илметиловый эфир (E)- или (Z)-(R)-[1 -[4-[4-(амино-гидроксиимино-метил)-фенил] -2-метил-4-оксо- бутирил]-пиперидин-4-илокси]-уксусной кислоты в виде трифторацетата (1:3), МС: 489 (100, М+H), [ ]2D0 = +41,5o (метанол, с= 0,4%).
Пример 142Аналогично примеру 116 из 2-пиридин-4-илэтилового эфира (R)-[1-[4-(4-циано-фенил)-2-метил-4-оксо-бутирил] -пиперидин-4-илокси] – уксусной кислоты получают 2-пиридин-4-илэтиловый эфир (E)/(Z)-(R)-[1-[4-[4-(амино-гидроксиимино-метил)-фенил] -2-метил-4-оксо-бутирил] -пиперидин-4-илокси]-уксусной кислоты, МС: 497 (100, М+H), [ ]2D0 = +67o (метанол, с = 0,5%).
Исходный материал получают из (R)-[1-[4-(4-циано-фенил)-2-метил-4- оксо-бутирил]-пиперидин-4-илокси]-уксусной кислоты и 2-пиридин-4-ил- этанола в пиридине в присутствии DCC и pTsOH.
Пример 143Аналогично примеру 116 из (R)-1-фенил-этилового эфира (R)-[1-[4- (4-циано-фенил)-2-метил-4-оксо-бутирил] -пиперидин-4-илокси] -уксусной кислоты получают (R)-1-фенил-этиловый эфир (E)/(Z)-(R)-[1-[4-[4-(амино- гидроксиимино-метил)-фенил] -2-метил-4-оксо-бутирил] -пиперидин-4- илокси] -уксусной кислоты, Tпл 94oC, [ ]2D0 = +111,6o (метанол, с=0,5%).
Исходный материал получают из (R)-[1-[4-(4-циано-фенил)-2-метил-4- оксо-бутирил] -пиперидин-4-илокси]-уксусной кислоты и (R)-1-фенил- этанола в пиридине в присутствии DCC и pTsOH, [ ]2D0 = +96,6o (метанол, с=0,5%).
Пример 144Аналогично примеру 116 из (S)-1-фенил-этилового эфира (R)-[1-[4- (4-циано-фенил)-2-метил-4-оксо-бутирил] -пиперидин-4-илокси] -уксусной кислоты получают (S)-1-фенил-этиловый эфир (E)/(Z)-(R)-[1-[4-[4- (амино-гидроксиимино-метил)-фенил]-2-метил-4-оксо-бутирил]- пиперидин-4-илокси]-уксусной кислоты, Tпл 127oC, [ ]2D0 = +32,8o (метанол, с=0,5%).
Исходный материал получают из (R)-[1-[4-(4-циано-фенил)-2- метил-4-оксо-бутирил] -пиперидин-4-илокси] -уксусной кислоты и (S)- 1-фенил-этанола в пиридине в присутствии DCC и pTsOH, Tпл 98oC [ ]2D0 = +33,8o (метанол, с = 0,5%).
Пример 145Аналогично примеру 116 из (S)-1-пиридин-4-илэтилового эфира (R)-[1-[4-(4-циано-фенил)-2-метил-4-оксо-бутирил] -пиперидин-4-илокси] – уксусной кислоты получают (S)-1-пиридин-4-илэтиловый эфир (E)/(Z)-(R)- [1-[4-[4-(амино-гидроксиимино-метил)-фенил] -2-метил-4-оксо-бутирил] – пиперидин-4-илокси]-уксусной кислоты), [ ]2D0 = +41o (метанол, с = 0,5%).
Исходный материал получают из (R)-[1-[4-(4-циано-фенил)-2-метил-4- оксо-бутирил]-пиперидин-4-илокси]-уксусной кислоты и (S)-1-(4-пиридил)-этанола в пиридине в присутствии DCC и pTsOH, Tпл 115oC, [ ]2D0 = +45,8o (метанол, с= 0,5%).
Пример 146Аналогично примеру 116 из (R)-1-пиридин-4-илэтилового эфира (R)- [1-[4-(4-циано-фенил)-2-метил-4-оксо-бутирил] -пиперидин-4- илокси] -уксусной кислоты получают (R)-1-пиридин-4-илэтиловый эфир (E)/(Z)-(R)-[1-[4-[4-(амино-гидроксиимино-метил)-фенил] – 2-метил-4-оксо-бутирил]-пиперидин-4-илокси] -уксусной кислоты, МС: 497 (100, М+H), [ ]2D0 = +96,8o (метанол, с= 0,5%).
Исходный материал получают из (R)-[1-[4-(4-циано-фенил)-2-метил-4- оксо-бутирил]-пиперидин-4-илокси]-уксусной кислоты и (R)-1-(4-пиридил)-этанола в пиридине в присутствии DCC и pTsOH, Tпл 115oC, [ ]2D0 = +112,4o (метанол, с=0,5%).
Пример 147Аналогично примеру 116 из метилового эфира (R)-[1-[4-(4-циано- фенил)-2-метил-4-оксо-бутирил] -пиперидин-4-илокси] -уксусной кислоты получают метиловый эфир (E)/(Z)-(R)-[l-[4-[4-(амино-гидроксиимино- метил)-фенил]-2-метил-4-оксо-бутирил] -пиперидин-4-илокси] -уксусной кислоты, Tпл 147-149oC, [ ]2D0 = +86o (метанол, с=0,5%).
Исходный материал получают из (R)-[1-[4-(4-циано-фенил)-2- метил-4-оксо-бутирил] -пиперидин-4-илокси] -уксусной кислоты и метанола в пиридине в присутствии DCC и pTsOH в качестве (2:1)- аддукта с использованием дициклогексилмочевины, Tпл 101oC, [ ]2D0 = +76,2o (метанол, с=0,5%).
Пример 148Аналогично примеру 79 из ацетат/иодида метилового эфира (R)-[1- [4-[4-(амино-имино-метил)-фенил] -2-метил-4-оксо-бутирил] -пиперидин-4-илокси]-уксусной кислоты и метилового эфира хлормуравьиной кислоты получают метиловый эфир (R)-[1-[4- [4-(имино-метоксикарбониламино-метил)-фенил]-2-метил-4-оксо-бутирил] – пиперидин-4-илокси] -уксусной кислоты, МС: 448 (100, М+H), [ ]2D0 = +75,4o (метанол, с=0,5%).
Исходный материал может быть получен следующим путем:а) Метиловый эфир (R)-[1-[4-(4-циано-фенил)-2-метил-4-оксо- бутирил]-пиперидин-4-илокси] -уксусной кислоты с помощью сероводорода в пиридине и триэтиламине переводят в метиловый эфир (R)- [1- [2-метил-4-оксо-4-(4-тиокарбамоил-фенил)-бутирил] -пиперидин-4-илокси] – уксусной кислоты, Tпл 172-177oC. б) Из этого эфира взаимодействием с метилиодидом в ацетоне и последующей реакцией с ацетатом аммония и уксусной кислотой в метаноле получают ацетат/иодид метилового эфира (R)-[1-[4-[4- (амино-имино-метил)-фенил]-2-метил-4-оксо-бутирил]-пиперидин-4-илокси]- уксусной кислоты. Пример 149 Аналогично примеру 79 из ацетат/иодида метилового эфира (R)-[1- [4-[4-(амино-имино-метил)-фенил] -2-метил-4-оксо-бутирил] -пиперидин-4- илокси]-уксусной кислоты и этилового эфира хлормуравьиной кислоты получают метиловый эфир (R)-[1-[4-[4-(этоксикарбониламино-имино- метил)-фенил] -2-метил-4-оксо-бутирил] -пиперидин-4-илокси]-уксусной кислоты, МС: 462 (100, M+H), [ ]2D0 = +66o (метанол, с=0,5%).
Пример 150214 мг смеси из пиридин-3-илметилового эфира (R)-[1-[4-[4- [трет-бутоксикарбонилимино-(изобутоксикарбонил-трет-бутоксикарбонил- амино)- метил] -фенил] -2-метил-4-оксо-бутирил]-пиперидин-4-илокси] -уксусной кислоты и пиридин-3-илметилового эфира (R)-[1-[4-[4- [(ди-трет-бутоксикарбонил-амино)-изобутоксикарбонилимино-метил] -фенил]-2-метил-4-оксо-бутирил]-пиперидин-4-илокси] -уксусной кислоты перемешивают в 1,2 мл хлористого метилена и 1,2 мл трифторуксусной кислоты в течение 2 ч при 20oC. Затем растворитель выпаривают в вакууме, остаток растворяют в уксусном эфире и последовательно промывают разбавленным раствором NaHCO3 водой и насыщенным раствором NaCl, сушат и упаривают в вакууме. В результате получают 151 мг пиридин-3-илметилового эфира (R)-[1-[4- [4-(имино-изобутоксикарбониламино-метил)-фенил]-2-метил-4-оксо- бутирил] -пиперидин-4-илокси] -уксусной кислоты в виде пенистого вещества, МС: 567 (100, М+H), [ ]2D0 = +61o (метанол, с=0,2%).
Исходный материал может быть получен следующим путем:а) Этиловый эфир (R)-[1-[4-[4-(имино-изобутоксикарбониламино- метил)-фенил]-2-метил-4-оксо-бутирил]-пиперидин-4-илокси]-уксусной кислоты трансформируют в ацетонитриле в присутствии 4-диметиламино- пиридина взаимодействием с ди-трет-бутил-дикарбонатом в смесь из этилового эфира (R)-[1-[4-[4-[трет-бутоксикарбонилимино- (изобутоксикарбонил-трет-бутоксикарбонил-амино)-метил] -фенил]- 2-метил-4-оксо-бутирил]-пиперидин-4-илокси]-уксусной кислоты и этилового эфира (R)-[1-[4-[4-[(ди-трет-бутоксикарбонил-амино) -изобутоксикарбонилимино-метил] -фенил] -2-метил-4-оксо-бутирил]- пиперидин-4-илокси]-уксусной кислоты. б) Из этой смеси омылением с помощью LiOH в водном ТГФ получают смесь из (R)-[1-[4-[4-[трет-бутоксикарбонилимино-(изобутоксикарбонил- трет-бутоксикарбонил-амино)-метил] -фенил] -2-метил-4-оксо-бутирил]- пиперидин-4-илокси] -уксусной кислоты и (R)-[1-[4-[4-[(ди-трет- бутоксикарбонил-амино)-изобутоксикарбонилимино-метил] -фенил] -2-метил-4- оксо-бутирил] -пиперидин-4-илокси]-уксусной кислоты. в) Полученную смесь трансформируют в пиридине взаимодействием с 3-гидроксиметил-пиридином, DCC и pTsOH в смесь из пиридин-3- илметилового эфира (R)-[1-[4-[4-[трет-бутоксикарбонилимино- (изобутоксикарбонил-трет-бутоксикарбонил-амино)-метил] -фенил]- 2-метил-4-оксо-бутирил]- пиперидин-4-илокси] -уксусной кислоты и пиридин-3-илметилового эфира (R)-[1-[4-[4-[(ди-трет-бутоксикарбонил-амино)- изобутоксикарбонилимино-метил] -фенил] -2-метил-4-оксо-бутирил]- пиперидин-4-илокси]-уксусной кислоты. Пример 151 Аналогично примеру 79 из ацетат/иодида трет-бутилового эфира (RS)-3-[[1-[(R)-4-[4-(амино-имино-метил)-фенил] -2-метил-4-оксо-бутирил] – пиперидин-4-илокси] -ацетоксиметил] -пиперидин-1-карбоновой кислоты и метилового эфира хлормуравьиной кислоты получают трет-бутиловый эфир (RS)-3-[[1-[(R)-4-[4-(имино-метокси-карбониламино-метил)-фенил] -2-метил-4-оксо-бутирил]-пиперидин-4-илокси] -ацетоксиметил] -пиперидин-1-карбоновой кислоты, МС: 631 (100, М+H), [ ]2D0 = +57,2o (метанол, c-0,5%).
Исходный материал может быть получен следующим путем:а) Трет-бутиловый эфир (RS)-3-[1-[(R)-4-(4-циано-фенил)-2-метил- 4-оксо-бутирил] -пиперидин-4-илокси-ацетоксиметил] -пиперидин-1- карбоновой кислоты трансформируют взаимодействием с H/S в пиридине и триэтиламине в трет-бутиловый эфир (RS)-3-[[1-[(R)-2-метил-4-оксо-4- (4-тиокарбамоил-фенил)-бутирил] -пиперидин-4-илокси] -ацетоксиметил] – пиперидин-1-карбоновой кислоты, МС: 590 (100, М+H), [ ]2D0 = +58,8o (метанол, с=0,5%).
б) Из этого эфира взаимодействием с метилиодидом в ацетоне и последующей реакцией с ацетатом аммония и уксусной кислотой в метаноле получают ацетат/иодид трет-бутилового эфира (RS)-3-[N-[(R)-4- [4-(амино-имино-метил)-фенил] -2-метил-4-оксо-бутирил] -пиперидин-4- илокси]-ацетоксиметил]-пиперидин-1-карбоновой кислоты.
Пример 152Аналогично примеру 79 из ацетат/иодида трет-бутилового эфира (RS)-3-[[1-[(R)-4-[4-(амино-имино-метил)-фенил] -2-метил-4-оксо-бутирил] – пиперидин-4-илокси]-ацетоксиметил]-пиперидин-1-карбоновой кислоты и этилового эфира хлормуравьиной кислоты получают трет-бутиловый эфир (RS)-3-[[1-[(R)-4-[4-(этоксикарбониламино-имино-метил)- фенил] -2-метил- 4-оксо-бутирил]-пиперидин-4-илокси] -ацетоксиметил] -пиперидин-1- карбоновой кислоты, МС: 645 (100, М+H), [ ]2D0 = +56,2o (метанол с = 0,5%).
Пример 153Аналогично примеру 79 из ацетат/иодида этилового эфира [1-[4- [4-(амино-имино-метил)-фенил] -2-метил-4-оксо-бутирил]-пиперидин-4- илокси]-уксусной кислоты и метилового эфира хлормуравьиной кислоты получают этиловый эфир (R)-[1-[4-[4-(имино-метоксикарбониламино-метил)- фенил]-2-метил-4-оксо-бутирил]-пиперидин-4-илокси]-уксусной кислоты. Пример 154 Аналогично примеру 116 из этилового эфира [4-[4-(4-циано-фенил)-4- оксо-бутирил] -фенокси] -уксусной кислоты получают этиловый эфир (E)/(Z)- [4-[4-[4-(амино-гидроксиимино-метил)-фенил] -4-оксо-бутирил]-фенокси]- уксусной кислоты, Tпл 174-175oC. Пример 155 Аналогично примеру 116 из этилового эфира (RS)-[4-[4- (4-циано-фенил)-2-метил-4-оксо-бутирил] -фенокси] -уксусной кислоты получают этиловый эфир (E)/(Z)-(RS)-[4-[4-[4-(амино-гидроксиимино- метил)-фенил] -2-метил-4-оксо-бутирил]-фенокси]-уксусной кислоты, Tпл 166-167oC. Исходный материал может быть получен следующим образом: а) Из этилового эфира [4-(1-оксо-пропил)-фенокси]-уксусной кислоты и брома получают в уксусной кислоте этиловый эфир (RS)-[4-(2-бром-1-оксо- пропил)-фенокси]-уксусной кислоты, Tпл 72-76oC. б) Этот эфир трансформируют в ацетоне в присутствии бис- (триметилсилил)-амида натрия взаимодействием с трет-бутиловым эфиром 3-(4-циано-фенил)-3-оксо-пропионовой кислоты в этиловый эфир [4-[3-трет-бутоксикарбонил-3-(4-цианобензоил)-2-метил-пропионил] -фенокси]-уксусной кислоты (рацемическая смесь диастереомеров), МС: 406 (1,7, M-COOC2H5). в) Из полученного продукта получают в муравьиной кислоте этиловый эфир (RS)-[4-[4-(4-циано-фенил)-2-метил-4-оксо- бутирил] -фенокси]-уксусной кислоты, Tпл 117-123oC. Пример 156 365 мг этилового эфира [4-[4-(4-циано-фенил)-4-оксо-бутирил]- фенокси] -уксусной кислоты перемешивают в 20 мл 0,1H этанолового раствора гидроксиламина в течение 4 дней при 20oC. Затем реакционную смесь концентрируют в вакууме, разбавляют уксусным эфиром и промывают водой и насыщенным раствором поваренной соли. Уксусно-эфирный раствор сушат над Na2SO4 и упаривают в вакууме. После хроматографии остатка на силикагеле с помощью CH2Cl2/этанола 98: 2 получают 111 мг этилового эфира [4-[(E)/(Z)-4-[(E)/(Z)-4-(амино-гидроксиимино-метил)-фенил] -1- гидроксиимино-4-оксо-бутил] -фенокси] -уксусной кислоты, Tпл 180-181oC. Пример 157 84 мг [4-[4-[4-(трет-бутоксикарбониламино-имино-метил)- фенил]-4-оксо-бутирил] -фенокси]-уксусной кислоты и 1,7 мл муравьиной кислоты перемешивают в течение 7 ч при 20oC. Затем реакционную смесь упаривают, остаток растворяют в воде и повторно упаривают. Твердый остаток суспендируют в воде, с помощью аммиака устанавливают на pH 8, фильтруют на нутче, промывают водой и сушат. В результате получают 50 мг [4-[4-[4-(амино-имино-метил)- фенил]-4-оксо-бутирил]-фенокси]-уксусной кислоты, Tпл 284oC. Исходный материал может быть получен следующим путем: а) Ацетат этилового эфира [4-[4-[4-(амино-имино-метил)-фенил]-4- оксо-бутирил] -фенокси] -уксусной кислоты (1: 1) в CH2Cl2 и воде в присутствии Na2CO3 трансформируют взаимодействием с ди-трет-бутил-дикарбонатом в этиловый эфир [4-[4- [4-(трет-бутоксикарбониламино-имино-метил)-фенил]-4-оксо-бутирил]- фенокси]-уксусной кислоты, Tпл 164oC. б) Из этого эфира омылением с помощью NaOH в EtOH получают [4-[4-[4-(трет-бутоксикарбониламино-имино-метил)-фенил] -4-оксо-бутирил]-фенокси]-уксусную кислоту, Tпл 284oC (разложение). Пример 158 278 мг гидрохлорида гидроксиламина, 4 мл ДМСО и 0,56 мл триэтиламина перемешивают в течение 10 мин при 20oC. После добавки 146 мг этилового эфира [4-[4-(4-циано-фенил)-4- оксо-бутирил] -фенокси]-уксусной кислоты перемешивают в течение 3 дней при 20oC. Затем реакционную смесь разбавляют уксусным эфиром, промывают водой и раствором поваренной соли, сушат и упаривают. После хроматографии на силикагеле с помощью CH2Cl2/EtOH 9:1 получают 42 мг этилового эфира [4-[4- [4-(амино-гидроксиимино-метил)-фенил]-1,4-бис-гидроксииминобутил] -фенокси]-уксусной кислоты (все оксимы: E либо Z), Tпл 210oC (разложение). Пример 159 Аналогично примеру 116 из этилового эфира (RS)-[4-[2- (2-ацетоксиэтил)-4-(4-циано-фенил)-4-оксо-бутирил] -фенокси] – уксусной кислоты получают этиловый эфир (E/Z)-(RS)-[4-[2-(2- ацетокси-этил)-4-[4-(амино-гидроксиимино-метил)-фенил] -4-оксо- бутирил] -фенокси] -уксусной кислоты в виде бесцветной смолы, МС: 485 (100, М+H). Исходный материал может быть получен следующим образом: а) Из 4-гидрокси-1-(4-гидрокси-фенил)-бутан-1-она и этилового эфира бромуксусной кислоты в ацетоне в присутствии K2CO3 получают этиловый эфир [4-(4-гидрокси-бутирил)- фенокси]-уксусной кислоты, Tпл 64-66oC. б) Из этого эфира с помощью ангидрида уксусной кислоты в пиридине получают этиловый эфир [4-(4-ацетокси-бутирил)-фенокси] -уксусной кислоты, Tпл 94-96oC. в) Этот эфир взаимодействием с бромом в уксусной кислоте трансформируют в этиловый эфир [4-(4-ацетокси-2-бромобутирил)- фенокси]-уксусной кислоты. г) Этот последний в ацетоне в присутствии бис-(триметилсилил) -амида натрия взаимодействием с трет-бутиловым эфиром 3-(4-циано-фенил)- 3-оксо-пропионовой кислоты трансформируют в трет-бутиловый эфир 5-ацетокси-2-(4-циано-бензоил)-3-(4-этоксикарбонилметокси-бензоил)- пентановой кислоты (рацемическая смесь диастереомеров), МС: 478 (0,2, M-CO2Et). д) Путем нагрева в муравьиной кислоте до 40oC и последующей хроматографии из названного эфира получают этиловый эфир (RS)-[4- [2-(2-ацетокси-этил)-4-(4-циано-фенил)-4-оксо-бутирил] -фенокси] – уксусной кислоты, Tпл 102-104oC. Пример 160 425 мг этилового эфира (RS)-[4-[4-[4-(трет-бутоксикарбониламино- имино-метил)-фенил]-2-метил-4-оксо-бутирил]-фенокси]-уксусной кислоты нагревают в течение 2,5 ч в 40 мл уксусной кислоты до 40oC. Затем реакционную смесь упаривают в вакууме до сухого состояния. Из уксусного эфира/простого эфира получают 239 мг этилового эфира (RS)-[4-[4-[4-(амино-имино-метил)-фенил]-2-метил-4-оксо-бутирил]- фенокси]-уксусной кислоты в виде ацетата (1:1), Tпл 198oC. Исходный материал может быть получен следующим путем: а) Этиловый эфир (RS)-[4-[4-(4-циано-фенил)-2-метил-4-оксо-бутирил] – фенокси]-уксусной кислоты с помощью H2S в пиридине и триэтиламине трансформируют в этиловый эфир (RS)-[4-[2-метил-4-оксо-4-(4-тиокарбамоил- фенил)-бутирил]-фенокси]-уксусной кислоты, Tпл 112-113oC. б) Этот эфир сначала взаимодействием с метилиодидом в ацетоне, затем с ацетатом аммония и уксусной кислотой в метаноле и в заключение с ди-трет-бутил-дикарбонатом в хлористом метилене/воде/Na2CO3 трансформируют в этиловый эфир (RS)-[4-[4-[4-[(трет-бутоксикарбониламино-имино-метил)-фенил] -2-метил-4-оксо-бутирил]-фенокси]-уксусной кислоты, МС: 497 (100, М+H). Пример 161 Аналогично примеру 79 из этилового эфира (RS)-[4-[4-[4- (амино-имино-метил)-фенил] -2-метил-4-оксо-бутирил] -фенокси] – уксусной кислоты и изобутилового эфира хлормуравьиной кислоты получают этиловый эфир (RS)-[4-[4-[4-(имино-изобутоксикарбониламино- метил)-фенил] -2-метил-4-оксо-бутирил]-фенокси]-уксусной кислоты в виде смолы, МС: 497 (100, М+H). Пример 162 Аналогично примеру 160 из этилового эфира (RS)-[4-[2- (2-ацетокси-этил)-4-[4-(трет-бутоксикарбониламино-имино-метил)- фенил]-4-оксо-бутирил]-фенокси] -уксусной кислоты получают этиловый эфир (RS)-[4-[2-(2-ацетокси-этил)-4-[4-(амино-имино-метил)-фенил] – 4-оксо-бутирил] -фенокси] -уксусной кислоты в виде ацетата (1:1), Tпл 183oC. Исходный материал может быть получен следующим путем: а) Из этилового эфира (RS)-[4-[2-(2-ацетокси-этил)-4-(4-циано- фенил)-4-оксо-бутирил] -фенокси] -уксусной кислоты с помощью H2S в пиридине и триэтиламине получают этиловый эфир (RS)-[4- [2-(2-ацетокси-этил)-4-оксо-4-(4-тиокарбамоил-фенил)-бутирил] -фенокси] -уксусной кислоты, МС: 508 (100, M+Na). б) Этот эфир сначала взаимодействием с метилиодидом в ацетоне, затем с ацетатом аммония и уксусной кислотой в метаноле и в заключение с ди-трет-бутил-дикарбонатом в хлористом метилене/воде/Na2CO3 трансформируют в этиловый эфир (RS)-[4- [2-(2-ацетокси-этил)-4-[4-(трет-бутоксикарбониламино-имино- метил)-фенил]-4-оксо-бутирил]-фенокси]-уксусной кислоты, МС: 569 (100, М+H). Пример 163 Раствор из 413 мг этилового эфира (Z)-(S)-[4-[2-[4-(амино- гидроксиимино-метил)-бензоиламино]-пропионил]-фенокси]-уксусной кислоты и 120 мг 4-метилморфолина в 10 мл дихлорметана обрабатывают при 0oC 98 мг трифосгена в 10 мл дихлорметана и перемешивают в течение 2 ч при комнатной температуре. Затем реакционную смесь промывают водой, сушат и концентрируют. Остаток суспендируют в простом эфире и фильтруют на нутче. В результате получают 50 мг этилового эфира (S)-[4-[2-[4-(5-оксо-4,5-дигидро-1,2,4-оксадиазол-3- ил)-бензоиламино]-пропионил]-фенокси]-уксусной кислоты, МС (бомбардировка ионами): 440 (М+H)+. Пример 164 В суспензию из 650 мг трифторацетата этилового эфира (S)-4-[2- [4-(амино-имино-метил)-бензоиламино]-пропионил]-феноксиуксусной кислоты в 10 мл дихлорметана и 10 мл насыщенного раствора NaHCO3 добавляют раствор из 120 мг S-этил-хлортиоформиата в 2 мл дихлорметана, после чего перемешивают в течение 47 ч при комнатной температуре. Затем водную фазу экстрагируют с помощью дихлорметана, дихлорметановые фазы промывают водой, сушат и концентрируют. После хроматографии остатка на силикагеле (гексан/уксусный эфир 1:2) получают 230 мг этилового эфира (S)-[4-[2-[4-(амино-этилсульфанилкарбонилимино-метил)- бензоиламино] -пропионил]-фенокси]-уксусной кислоты, [ ]2D0 = +75,1o (с=0,7, хлороформ).
Пример 165Раствор из 190 мг этилового эфира (S)-4-[2-[4-[(амино-(2- трет-бутил-диметил-силанилокси-этоксикарбонилимино)-метил] – бензоиламино]-пропионил]-фенокси] -уксусной кислоты в 10 мл тетрагидрофурана обрабатывают при -20oC 0,3 мл фторида тетрабутиламмония (1М в тетрагидрофуране) и перемешивают в течение 2 ч при комнатной температуре. Затем реакционную смесь разбавляют уксусным эфиром, экстрагируют с помощью воды, сушат и концентрируют. После хроматографии остатка на силикагеле (уксусный эфир/5%-ный этанол) получают 56 мг этилового эфира (S)-[4-[2- [4-[амино-(2-гидрокси-этоксикарбонилимино)-метил]-бензоиламино]- пропионил]-фенокси]-уксусной кислоты, МС (бомбардировка ионами): 486 (М+H)+. Исходный материал может быть получен следующим образом: В раствор из 230 мг 2-(трет-бутил-диметил-силанилокси)-этанола и 101 мг 4-метилморфолина в 8 мл дихлорметана, добавляют при 0oC 98 мг трифосгена, растворенного в 4 мл дихлорметана, и перемешивают в течение 2 ч при комнатной температуре. Затем реакционный раствор добавляют в суспензию из 510 мг трифторацетата этилового эфира (S)-4-[2-[4-(амино-имино-метил)-бензоиламино] -пропионил] -феноксиуксусной кислоты в 10 мл дихлорметана и 10 мл насыщенного раствора Na2CO3. После перемешивания в течение 10 мин при комнатной температуре фазы разделяют, органическую фазу промывают водой, сушат и концентрируют. После хроматографии остатка на силикагеле (гексан/уксусный эфир 1: 2) получают 200 мг этилового эфира (S)-[4-[2-[4-[(амино-(2-трет-бутил-диметил-силанилокси- этоксикарбонилимино)-метил] – бензоиламино]-пропионил]-фенокси] -уксусной кислоты, Rf = 0,73 (уксусный эфир). Пример 166 Аналогично примеру 165а) из 511 мг трифторацетата этилового эфира (S)-4-[2-[4-(амино-имино-метил)-бензоиламино] -пропионил] -феноксиуксусной кислоты и 104 мг 2-ацетоксиэтанола после хроматографии на силикагеле (гексан/уксусный эфир 1: 4) получают 75 мг этилового эфира (S)-[4-[2-[4-[(2-ацетоксиэтоксикарбонилимино)-амино- метил] -бензоиламино] -пропионил]-фенокси]-уксусной кислоты, МС (бормбардировка ионами): 528 (М+H)+. Пример 167 Аналогично примеру 165а) из 511 мг трифторацетата этилового эфира (S)-4-[2-[4-(амино-имино-метил)-бензоиламино] -пропионил] -феноксиуксусной кислоты и 118 мг 2-гидрокси-этилового эфира пропионовой кислоты после хроматографии на силикагеле (гексан/уксусный эфир 1:4) получают 175 мг (S)-2-[[4-[2- (4-этоксикарбонилметокси-фенил)-1-метил-2-оксо-этилкарбамоил] -фенил] -имино-метилкарбамоилокси] -этилового эфира пропионовой кислоты, МС (бомбардировка ионами): 542 (М+H)+. Пример 168 Аналогично примеру 165а) из 511 мг трифторацетата этилового эфира (S)-4-[2-[4-(амино-имино-метил)-бензоиламино] -пропионил] -феноксиуксусной кислоты и 132 мг 2-гидрокси-этилового эфира изомасляной кислоты после хроматографии на силикагеле (гексан/уксусный эфир 1:2) получают 42 мг (S)-1-[[4-[2- (4-этоксикарбонилметокси-фенил)-1-метил-2-оксо-этилкарбамоил] -фенил] -имино-метилкарбамоилокси]-этилового эфира 2-метил-пропионовой кислоты. МС (бомбардировка ионами): 556 (М+H)+. Пример 169 Аналогично примеру 165а) из 511 мг трифторацетата этилового эфира (S)-4-[2-[4-(амино-имино-метил)-бензоиламино] -пропионил] -феноксиуксусной кислоты и 130 мг 2-гидрокси-этилового эфира метакриловой кислоты после хроматографии на силикагеле (гексан/уксусный эфир 1:3) получают 160 мг (S)-2-[[4- [2-(4-этоксикарбонилметокси-фенил)-1-метил-2-оксо-этилкарбамоил]- фенил]-имино-метилкарбамоилокси] -этилового эфира 2-метил- акриловой кислоты, МС (бомбардировка ионами): 554 (М+H)+. Пример 170 Аналогично примеру 165а) из 511 мг трифторацетата этилового эфира (S)-4-[2-[4-(амино-имино-метил)-бензоиламино]-пропионил] -феноксиуксусной кислоты и 166 мг 2-гидрокси-этилового эфира бензойной кислоты после хроматографии на силикагеле (гексан/уксусный эфир 1:2) получают 130 мг (S)-2-[[4-[2-(4- этоксикарбонилметокси-фенил)-1-метил-2-оксо-этилкарбамоил] -фенил] -имино-метилкарбамоилокси]-этилового эфира бензойной кислоты, МС (бомбардировка ионами): 590 (М+H)+. Пример 171 Аналогично примеру 165а) из 511 мг трифторацетата этилового эфира (S)-4-[2-[4-(амино-имино-метил)-бензоиламино] -пропионил] -феноксиуксусной кислоты и 224 мг 2-гидрокси-этилового эфира 2-ацетоксибензойной кислоты после хроматографии на силикагеле (гексан/уксусный эфир 1: 4) получают 210 мг (S)-2-[[4- [2-(4-этоксикарбонилметокси-фенил)-1-метил-2-оксо-этил-карбамоил] -фенил] -имино-метилкарбамоилокси] -этилового эфира 2-ацетоксибензойной кислоты, МС (бомбардировка ионами): 648 (М+H)+. Пример 172 Аналогично примеру 165а) из 511 мг трифторацетата этилового эфира (S)-4-[2-[4-(амино-имино-метил)-бензоиламино] -пропионил] -феноксиуксусной кислоты и 103 мг 2-гидроксиэтиламида уксусной кислоты после хроматографии на силикагеле (уксусный эфир) получают 54 мг этилового эфира (S)-[4-[2-[4-[(2-ацетил-амино-этоксикарбонилимино)- амино-метил]-бензоиламино]-пропионил] -фенокси]-уксусной кислоты, МС (бомбардировка ионами): 527 (М+H)+. Пример 173 Суспензию из 263 мг трифторацетата этилового эфира (S)- 4-[2-[4-(амино-имино-метил)-бензоиламино] -пропионил] – феноксиуксусной кислоты, 217 мг 4-нитро-феноксикарбонилоксиметилового эфира уксусной кислоты и 165 мл 4-метилморфолина в 5 мл дихлорметана и 5 мл тетрагидрофурана перемешивают в течение 16 ч при комнатной температуре. После концентрирования реакционной смеси и хроматографии остатка на силикагеле (гексан/уксусный эфир 1:4) получают 193 мг этилового эфира (S)- [4-[2-[4-(ацетоксиметоксикарбонилимино-амино-метил)- бензоиламино] -пропионил] -фенокси]-уксусной кислоты, [ ]2D0 = +65,0o (с = 0,6, хлороформ).
Пример 174Аналогично примеру 165а) из 250 мг трифторацетата этилового эфира (S)-4-[2-[4-(амино-имино-метил)-бензоиламино] -пропионил] -феноксиуксусной кислоты и 104 мг этилового эфира (S)-молочной кислоты после хроматографии на силикагеле (гексан/уксусный эфир 1: 2) получают 160 мг метилового эфира (S)-2-[[4-[(S)-2-(4- этоксикарбонилметокси-фенил)-1-метил-2-оксо-этилкарбамоил] -фенил]-имино-метилкарбамоилокси]-пропионовой кислоты, МС (бомбардировка ионами): 528 (М+H)+. Пример 175 Аналогично примеру 31, исходя из 380 мг метилового эфира 1-(8-циано-5-оксо-2,3,4,5-тетрагидро-1,4-бензоксазепин-4-илацетил)- пиперидин-4-илоксиуксусной кислоты, после реакции с ацетатом аммония, концентрирования реакционного раствора и осаждения продукта из простого эфира получают 130 мг ацетата метилового эфира 1-[8-(амино-имино-метил)-5-оксо-2,3,4,5-тетрагидро-1,4- бензоксазепин-4-илацетил]-пиперидин-4-илоксиуксусной кислоты, МС (бомбардировка ионами): 419 (М+H)+. Исходный материал может быть получен следующим путем: а) Раствор из 1,63 г 4-цианосалициловой кислоты и 1,26 г N-гидрокси-сукцинимида в 25 мл дихлорметана и 25 мл диметилформамида обрабатывают при 0oC 2,06 г дициклогексилкарбодиимида и перемешивают в течение 16 ч при 0oC. Осадок отфильтровывают на нутче. В маточный раствор добавляют 1,4 мл триэтиламина и 1,38 г трет-бутилового эфира N-(2-гидроксиэтил)глицина (см. европейскую заявку EP 288256) и перемешивают в течение 1 ч при комнатной температуре. После концентрирования реакционного раствора и хроматографии остатка на силикагеле (гексан/уксусный эфир 1:2) получают 475 мг трет-бутилового эфира [(4-циано-2-гидрокси- бензоил)-(2-гидрокси-этил)-амино]-уксусной кислоты, МС (бомбардировка ионами): 321 (М+H)+. б) В раствор из 464 мг трет-бутилового эфира [(4-циано-2- гидрокси-бензоил)-(2-гидроксиэтил)-амино] -уксусной кислоты и 570 мг трифенилфосфина в 10 мл тетрагидрофурана при 0oC добавляют по каплям 378 мг диэтилазодикарбоксилата в 5 мл тетрагидрофурана и перемешивают в течение 1 ч при комнатной температуре. После концентрирования раствора и хроматографии остатка на силикагеле (гексан/уксусный эфир 2: 1) получают 300 мг трет-бутилового эфира 8-циано-5-оксо-2,3,4,5-тетрагидро-1,4-бензоксазепин-4-ил-уксусной кислоты, МС (EI): 246 (М-56). в) Отщепление эфирной группы, содержащейся в 300 мг продукта предварительной стадии в 4 мл дихлорметана и 2 мл трифторуксусной кислоты, осуществляют при комнатной температуре. Затем раствор концентрируют, остаток отфильтровывают на нутче с помощью простого эфира, растворяют в 50 мл диметилформамида и обрабатывают 292 мг 4-метилморфолина, 597 мг гексафторофосфата O-бензотриазол-1-ил- N, N, N’,N’-тетраметилурония и 330 мг гидрохлорида метилового эфира 4-пиперидиноксиуксусной кислоты. После перемешивания в течение 16 ч при комнатной температуре раствор концентрируют, остаток растворяют в уксусном эфире, органическую фазу промывают 1М раствором KHSO3 и насыщенным раствором NaCl, сушат и концентрируют. После хроматографии остатка на силикагеле (уксусный эфир) получают 400 мг метилового эфира 1-(8-циано-5-оксо-2,3,4,5-тетрагидро-1,4- бензоксазепин-4-илацетил)-пиперидин-4-илоксиуксусной кислоты, МС (бомбардировка ионами): 402 (М+H)+. Пример 176 А) Путем обработки 350 мг этилового эфира (S)-[1-[2-(8-циано- 5-оксо-2,3,4.5-тетрагидро-1,4-бензоксазепин-4-ил)-пропионил] -пиперидин- 4-илокси] -уксусной кислоты сероводородом, метилиодидом и ацетатом аммония после хроматографии на силилированном силикагеле RP 18 получают 163 мг трифторацетата этилового эфира (S)-[1-[2-[8-(амино- имино-метил)-5-оксо-2,3,4,5-тетрагидро-1,4-бензоксазепин-4-ил]- пропионил]-пиперидин-4-илокси]-уксусной кислоты, МС (бомбардировка ионами): 447 (М+H)+. Б) В суспензию из 135 мг трифторацетата этилового эфира (S)- [1-[2-[8-(амино-имино-метил)-5-оксо-2,3,4,5-тетрагидро-1,4-бензоксазепин- 4-ил] – пропионил] -пиперидин-4-илокси] -уксусной кислоты в 3 мл дихлорметана и 3 мл насыщенного раствора NaHCO3 добавляют 29 мг этилового эфира хлормуравьиной кислоты, после чего перемешивают в течение 5 мин при комнатной температуре. Затем водную фазу экстрагируют с помощью дихлорметана, дихлорметановые фазы промывают водой, сушат и концентрируют. После хроматографии остатка на силикагеле (уксусный эфир) получают 86 мг этилового эфира (S)-[1-[2-[8-(амино- этоксикарбонилимино-метил)-5-оксо-2,3,4,5-тетрагидро-1,4-бензоксазепин- 4-ил] -пропионил] -пиперидин-4-илокси]-уксусной кислоты, МС (бомбардировка ионами): 519 (М+H)+. Исходный материал может быть получен следующим путем: а) Раствор из 1 г трет-бутилового эфира D-молочной кислоты и 0,95 мл триэтиламина в 10 мл дихлорметана обрабатывают при 0oC 1,93 г ангидрида трифторметансульфокислоты, перемешивают в течение 1 ч при 0oC и повторно обрабатывают 0,95 мл триэтиламина и 1,43 г О-трет-бутил-диметилсилил-аминоэтанола. После перемешивания в течение 2 ч при комнатной температуре реакционную смесь концентрируют и остаток хроматографируют на силикагеле (гексан/уксусный эфир 2: 1). В результате получают 990 мг трет- бутилового эфира (S)-2-[2-(трет-бутил-диметил-силанилокси)- этиламино] -пропионовой кислоты, МС (EI): 246 (М-57). б) Аналогично примеру 175а) 5 г 4-цианосалициловой кислоты трансформируют взаимодействием с 4,36 г продукта предварительной стадии и остаток после упаривания хроматографируют на силикагеле (гексан/трет-бутиловый эфир 2: 1). В результате получают 1,19 г трет-бутилового эфира (S)-2-[2-(трет-бутил-диметил-силанилокси)- этил] -(4-циано-2-гидрокси-бензоил)-амино]-пропионовой кислоты, МС (EI): 449 (М+H)+. в) Раствор из 1,19 г продукта предварительной стадии в 25 мл простого эфира обрабатывают 2,7 мл фторида тетрабутиламмония (1М в тетрагидрофуране), перемешивают в течение 16 ч при комнатной температуре, промывают 1М раствором H3PO4 и насыщенным раствором NaCl, сушат и концентрируют. После хроматографии остатка на силикагеле (уксусный эфир) получают 704 мг трет-бутилового эфира (S)-2-[(4-циано-2-гидрокси-бензоил)-(2-гидрокси- этил)-амино]-пропионовой кислоты, МС (бомбардировка ионами): 335 (М+H)+. г) Обменной реакцией 669 мг продукта предварительной стадии, осуществляемой аналогично примеру 175б), после хроматографии на силикагеле (гексан/уксусный эфир 2:1) получают 345 мг трет-бутилового эфира (S)-2-(8-циано-5-оксо-2,3,4,5- тетрагидро-1,4-бензоксазепин-4-ил)-пропионовой кислоты, МС (EI): 260 (М-56). д) Аналогично примеру 175в) 340 мг продукта предварительной стадии трансформируют взаимодействием с 243 мг этилового эфира 4-пиперидинокси-уксусной кислоты. После хроматографии остатка на силикагеле (гексан/уксусный эфир 1: 3) получают 365 мг этилового эфира (S)-[1-[2-(8-циано-5-оксо-2,3,4.5-тетрагидро-1,4-бензоксазепин-4-ил)- пропионил] -пиперидин-4-илокси] -уксусной кислоты, [ ]2D0 = -18,8o (с=0,6, хлороформ).
Пример 177Путем реакции 80 мг гидроиодида этилового эфира (R,S)-4-[2- [4-(амино-имино-метил)-2-метокси-бензоиламино] -пропионил] -феноксиуксусной кислоты с 22 мг этилового эфира хлормуравьиной кислоты согласно примеру 176б) после хроматографии на силикагеле (гексан/уксусный эфир 1:3) получают 58 мг этилового эфира (R, S)-[4- [2-[4-(амино-этоксикарбонилимино-метил)-метокси-бензоиламино] – пропионил]-фенокси]-уксусной кислоты в виде бесцветного масла, МС (бомбардировка ионами): 500 (М+H)+. Исходный материал может быть получен следующим образом: а) Раствор из 1,92 г 4-цианосалициловой кислоты и 1,49 г N-гидрокси-сукцинимида в 30 мл дихлорметана и 30 мл диметилформамида обрабатывают при 0oC 2,43 г дициклогексилкарбодиимида и перемешивают в течение 16 ч при -14-15oC. Осадок отфильтровывают на нутче и маточный раствор, содержащий гидроксисукцинимидовый эфир 4-цианосалициловой кислоты, непосредственно используют при проведении последующей стадии. б) Отщепление BOC-группы, содержащейся в 4,1 г этилового эфира (S)-4-(2-трет-бутоксикарбониламино-пропионил)-феноксиуксусной кислоты (пример 23а)), осуществляют с помощью 1,75 мл триметилсилилиодида при 0oC в 40 мл дихлорметана. После добавки 8 мл 4H HCl в диоксане реакционный раствор концентрируют, остаток растворяют в 40 мл тетрагидрофурана и вместе с 2,6 мл 4-метилморфолина добавляют к полученному на предварительной стадии маточному раствору, содержащему гидроксисукцинимидовый эфир 4-цианосалициловой кислоты. Через 16 ч при комнатной температуре смесь концентрируют и остаток хроматографируют на силикагеле (гексан/уксусный эфир 3:1). В результате получают 2,98 г этилового эфира (S)-[4-[2-(4- циано-2-гидрокси-бензоиламино)-пропионил]-фенокси]-уксусной кислоты, МС (бомбардировка ионами): 397 (М+H)+. в) Алкилированием 792 мг продукта предварительной стадии 0,19 мл метилиодида в присутствии 830 мг карбоната калия в 20 мл диметилформамида в течение 2 ч при комнатной температуре получают после концентрирования раствора и хроматографии остатка на силикагеле (гексан/уксусный эфир 3:1) 580 мг этилового эфира (R,S)-[4-[2- (4-циано-2-метокси-бензоиламино)-пропионил]-фенокси]-уксусной кислоты, МС (бомбардировка ионами): 411 (М+H)+. г) Аналогично примеру 31 290 мг продукта предварительной стадии подвергают взаимодействию с сероводородом, метилиодидом и ацетатом аммония, после чего реакционный раствор концентрируют до половины объема и продукт осаждают добавками простого эфира. В результате получают 183 мг гидроиодида этилового эфира (R,S)-[4-[2-[4-(амино-имино-метил)-2-метокси-бензоиламино] -пропионил] -фенокси] -уксусной кислоты, МС (бомбардировка ионами): 428 (М+H)+. Пример 178 Взаимодействием 1,4 г этилового эфира (R,S)-[4-[2-(4-циано- фенил)-1-метил-2-оксо-этилкарбамоил] -фенокси] -уксусной кислоты с сероводородом, метилиодидом и ацетатом аммония аналогично примеру 31 после хроматографии остатка от выпаривания на силилированном силикагеле RP 18 (градиент вода/тетрагидрофуран) получают 410 мг гидроиодида этилового эфира (R,S)-[4-[2-[4-(амино-имино-метил)- фенил] -1-метил-2-оксо-этилкарбамоил]-фенокси]-уксусной кислоты, МС (бомбардировка ионами): 398 (М+H)+. Исходный материал может быть получен следующим путем: а) Раствор из 10,92 г 4-бромбензонитрила в 80 мл тетрагидрофурана при – 78oC добавляют по каплям к 37,5 мл 1,6H n-бутиллития. Образовавшуюся суспензию перемешивают в течение 30 мин при -78oC. Затем при той же температуре добавляют к 4,65 г (S)-2-трет-бутоксикарбониламино-N-метокси-N-метил-пропионамида в 80 мл тетрагидрофурана и перемешивают в течение 1 ч при -78oC. Реакционный раствор красного цвета сливают в 1М H3PO4. После экстрагирования с помощью простого эфира, промывания органических фаз насыщенным раствором NaCl, сушки и концентрирования раствора получают остаток, из которого после хроматографии на силикагеле получают 3,68 г трет-бутилового эфира (S)-2-(4-циано-фенил)-1-метил-2-оксо-этилкарбаминовой кислоты, [ ]2D0 = -5,7o (с=1, хлороформ).
б) Расщепление BOC-группы, содержащейся в 1,92 г продукта предварительной стадии, осуществляют аналогично примеру 177б). Образовавшийся гидрохлорид амина добавляют при 0oC к 1,89 г 4-трет-бутил-диметил-силанилокси-бензоилхлорида в 20 мл пиридина и перемешивают в течение 16 ч при комнатной температуре. После концентрирования раствора и хроматографии остатка на силикагеле (гексан/уксусный эфир 2:1) получают 1,84 г (S)-4-(трет- бутил-диметил-силанилокси)-N-[2-(4-циано-фенил)-1- метил-2-оксо-этил]-бензамида, [ ]2D0 = +45,9o (с=0,7, хлороформ).
в) После отщепления защитной группы из 1,81 г продукта предварительной стадии получают 1,4 г (R,S)-N-[2-(4-циано-фенил)- 1-метил-2-оксо-этил]-4-гидрокси-бензамида, МС (бомбардировка ионами): 293 (М-H)+.
г) Путем алкилирования 1,4 г продукта предварительной стадии 0,65 мл этилового эфира бромуксусной кислоты в присутствии K2CO3 в диметилформамиде, проводимого в течение 2 ч при комнатной температуре, после удаления растворителя и хроматографии на силикагеле (гексан/уксусный эфир 1:1) получают 1,23 г этилового эфира (R,S)-[4-[2-(4-циано-фенил)-1-метил-2-оксо-этилкарбамоил]-фенокси] -уксусной кислоты, МС (бомбардировка ионами): 381 (М+H)+.
Пример 179Раствор из этилового эфира (R,S)-[4-[2-[4-[амино-(трет-бутил- диметил-силанилоксиимино)-метил]-фенил]-1-метил-2-оксо-этилкарбамоил]- фенокси]-уксусной кислоты в 1 мл простого эфира перемешивают в течение 1 ч при 0oC с 0,1 мл фторида тетрабутиламмония (1М в тетрагидрофуране), затем концентрируют и остаток хроматографируют на силикагеле (гексан/уксусный эфир 1:2). В результате получают 11 мг этилового эфира (R,S)-[4-[2-[4-(амино-гидроксиимино-метил)-фенил] -1-метил-2-оксо-этилкарбамоил]-фенокси]-уксусной кислоты, МС (бомбардировка ионами): 414 (М+H)+. Исходный материал может быть получен следующим путем: Аналогично примеру 31 0,6 г этилового эфира (R,S)-[4-[2-(4-циано-фенил)-1-метил-2-оксо-этилкарбамоил] -фенокси] -уксусной кислоты подвергают взаимодействию с сероводородом и метилиодидом. Затем 147 мг O-трет-бутил-диметил-силил-гидроксиламина перемешивают с образовавшимся метилтиоимином в 6 мл тетрагидрофурана в течение 2 ч при комнатной температуре. После хроматографии остатка на силикагеле (гексан/уксусный эфир 3:2) получают 50 мг этилового эфира (R, S)-[4-[2-[4-[амино-(трет-бутил-диметил-силанилоксиимино)- метил] -фенил] -1-метил-2-оксо-этилкарбамоил] -фенокси]-уксусной кислоты, МС (бомбардировка ионами): 414 (М-113). Пример 180 Из 743 мг гидрохлорида этилового эфира (S)-4-(2-пипридин-4- илоксиацетиламино-пропионил)-феноксиуксусной кислоты в 20 мл этанола и 20 мл акрилнитрила через 5 дней при 80oC после хроматографии остатка от упаривания на силикагеле (дихлорметан/метанол 5%) получают 250 мг этилового эфира (S)-[4-[2-[1-(2-циано-этил)-пиперидин-4- илоксиацетиламино] -пропионил]-фенокси]-уксусной кислоты, МС (бомбардировка ионами): 446 (М+H)+. Раствор из 250 мг этилового эфира (S)-[4-[2-[1-(2-циано-этил)- пиперидин-4-илоксиацетиламино] -пропионил] -фенокси]-уксусной кислоты в 10 мл дихлорметана обрабатывают при 0oC 128 мг мета-хлорпербензойной кислоты и перемешивают в течение 1 ч при 0oC. Затем реакционный раствор промывают насыщенным раствором NaHCO3 и насыщенным раствором NaCl, сушат и концентрируют. После хроматографии остатка на силикагеле получают 140 мг этилового эфира (S)-[4-[2-(1- гидрокси-пиперидин-4-илоксиацетиламино)-пропионил] -фенокси]- уксусной кислоты, МС (бомбардировка ионами): 409 (М+H)+. Пример 181 Раствор из 285 мг этилового эфира (S)-4-(2-пиперидин-4- илоксиацетила-мино-пропионил)-феноксиуксусной кислоты, 0,11 мл 4- метилморфолина и 217 мг 4-нитро-феноксикарбонилоксиметилового эфира уксусной кислоты перемешивают в течение 5 ч при комнатной температуре, концентрируют и остаток хроматографируют на силикагеле (гексан/уксусный эфир 1:2). В результате получают 205 мг ацетоксиметилового эфира (S)-4-[2-(4-этоксикарбонилметокси-фенил)- 1-метил-2-оксо-этилкарбамоилметокси] -пиперидин-1-карбоновой кислоты, [ ]2D0 = +23,7o (с=0,35, хлороформ).
Пример 182Отщеплением защитной BOC-группы, содержащейся в 3,45 г трет-бутилового эфира (S)-4-[1-трет-бутокси-метил-2-(4- этоксикарбонилметокси-фенил)-2-оксо-этилкарбамоилметокси]- пиперидин-1-карбоновой кислоты в 60 мл дихлорметана и 30 мл трифторуксусной кислоты, после концентрирования растворителя и хроматографии остатка на силилированном силикагеле RP 18 (градиент вода/тетрагидрофуран) получают 1,9 г трифторацетата этилового эфира (S)-[4-[3-гидрокси-2-(2-пиперидин-4-илоксиацетиламино)- пропионил] -фенокси] -уксусной кислоты, МС (бомбардировка ионами): 409 (М+H)+. Исходный материал может быть получен следующим образом: а) Аналогично примеру 177б) отщепляют BOC-группу, содержащуюся в 3,5 г этилового эфира (S)-4-[3-трет-бутокси-2- трет-бутоксикарбониламино-пропионил] -феноксиуксусной кислоты (пример 7 г)), и образовавшийся амин в течение 16 ч при комнатной температуре перемешивают с 2,57 г 1-трет- бутоксикарбонилпиперидин-4-илоксиуксусной кислоты в присутствии 2,95 г TPTU и 1,82 мл 4-метилморфолина в 60 мл дихлорметана. После удаления растворителя и хроматографии остатка на силикагеле (гексан/уксусный эфир 1:2) получают 3,5 г трет-бутилового эфира (S)-4-[1-трет- бутоксиметил-2-(4- этоксикарбонилметокси-фенил)-2-оксо- этилкарбамоилметокси]-пиперидин-1-карбоновой кислоты в виде желтого масла, МС (бомбардировка ионами): 565 (М+H)+. Пример 183 Аналогично примеру 181 480 мг этилового эфира (S)-[4-[3-гидрокси- 2-(2-пиперидин-4-илоксиацетиламино)-пропионил] -фенокси] – уксусной кислоты подвергают взаимодействию с 367 мг 4-нитро- феноксикарбонилокси-метилового эфира уксусной кислоты и остаток хроматографируют на силикагеле (уксусный эфир). В результате получают 161 мг этилового эфира (S)- [4- [2- [(1-ацетоксиметоксикарбонил- пиперидин-4-илокси)-ацетиламино]-3-гидрокси- пропионил] -фенокси] -уксусной кислоты в виде бесцветного масла, МС (бомбардировка ионами): 525 (М+H)+. Пример 184 Раствор из 800 мг трет-бутилового эфира (S)-4-[[2-(4-этоксикарбонил-метокси-фенил)-1-метил-2-оксо-этил] -метил-карбамоилметокси]-пиперидин-1-карбоновой кислоты в 10 мл дихлорметана и 5 мл трифторуксусной кислоты перемешивают в течение 1 ч при комнатной температуре и концентрируют. После хроматографии остатка на силилированном силикагеле RP 18 (градиент вода/тетрагидрофуран) получают 509 мг трифторацетата этилового эфира (S)-4-[2-[метил-(пиперидин-4-илокси-ацетил)-амино] -пропионил] -фенокси]-уксусной кислоты, МС (бомбардировка ионами): 407 (М+H)+. Исходный материал может быть получен следующим путем: а) Реакцией сочетания 5 г (S)-N-трет-бутоксикарбонил-N-метил-2- амино-пропионовой кислоты с 2,88 г гидрохлорида N,O-диметилгидроксиламина в 100 мл дихлорметана в присутствии 8,77 г TPTU и 5,96 мл 4-метилморфолина после перемешивания в течение 16 ч при комнатной температуре, концентрирования реакционного раствора и хроматографии остатка на силикагеле (гексан/уксусный эфир 2: 1) получают 4,43 г трет-бутилового эфира (S)-[1-(метокси-метил-карбамоил)-этил]-метилкарбаминовой кислоты, [ ]2D0 = -62,3o (с=1, хлороформ).
б) После обменной реакции 4,1 г продукта предварительной стадии с p-бром-трет-бутил-диметилсилилфенолом аналогично примеру 3а) и хроматографии остатка на силикагеле (гексан/уксусный эфир 95:5) получают 2,82 г трет-бутилового эфира (S)-[2-(4-трет- бутил-диметил-силанилокси)-фенил]-1-метил-2-оксо-этил] – метилкарбаминовой кислоты в виде бесцветного масла, [ ]2D0 = -127o (с = 0,5, хлороформ).
в) После отщепления защитной группы из 2,2 г продукта предварительной стадии аналогично примеру 3б) получают 1,41 г трет-бутилового эфира (S)-[2-(4-гидрокси-фенил)-1-метил- 2-оксо-этил]-метилкарбаминовой кислоты, [ ]2D0 = -179,4o (с=0,7, хлороформ).
г) Путем алкилирования 615 мг продукта предварительной стадии аналогично примеру 3в) и после хроматографии остатка от упаривания на силикагеле (гексан/уксусный эфир 3: 1) получают 674 мг этилового эфира (S)-[4-[2-(трет-бутоксикарбонил-метил-амино) -пропионил] -фенокси] -уксусной кислоты, [ ]2D0 = -135,0o (с=- 0,5, хлороформ).
д) Отщепление защитной ВOC-группы, содержащейся в 810 мг продукта предварительной стадии, осуществляют аналогично примеру 177б) при -78oC. Образовавшийся амин перемешивают с 498 мг 1-трет-бутосикарбонилпиперидин-4-ил-оксиуксусной кислоты в присутствии 570 мг TPTU и 0,39 мл 4-метилморфолина в 30 мл дихлорметана в течение 20 ч при комнатной температуре. После удаления растворителя и хроматографии остатка на силикагеле получают 890 мг трет-бутилового эфира (S)-4-[[2-(4- этоксикарбонилметокси-фенил)-1-метил-2-оксо-этил] -метил- карбамоилметокси]-пиперидин-1-карбоновой кислоты в виде бесцветного масла, МС (бомбардировка ионами): 507 (М+H)+.
Пример 185Раствор из 850 мг трет-бутилового эфира (S)-4-[2-[2-(4- этоксикарбонилметокси-фенил)-1-метил-2-оксо-этилкарбамоил] -этил] -пиперидин-1-карбоновой кислоты в 5 мл дихлорметана и 2,5 мл трифторуксусной кислоты перемешивают в течение 1 ч при комнатной температуре и концентрируют. В результате получают 760 мг трифторацетата этилового эфира (S)-[4-[2-(3- пиперидин-4-ил-пропиониламино)-пропионил] -фенокси]-уксусной кислоты в виде бесцветного масла, МС (бомбардировка ионами): 391 (М+H)+. Исходный материал может быть получен следующим образом: Отщепление защитной ВOC-группы, содержащейся в 740 мг этилового эфира (S)-4-(2-трет-бутоксикарбониламино-пропионил)- феноксиуксусной кислоты осуществляют аналогично примеру 177б). Образовавшийся амин в течение 16 ч перемешивают при комнатной температуре с 500 мг 1-трет-бутоксикарбонилпиперидин-4-ил- пропионовой кислоты в присутствии 570 мг TPTU и 0,46 мл 4- метилморфолина в 10 мл дихлорметана. После удаления растворителя и хроматографии остатка на силикагеле (гексан/уксусный эфир 2:3) получают 890 мг трет-бутилового эфира (S)-4-[2-[2-(4- этоксикарбонил-метокси-фенил)-1-метил-2-оксо-этилкарбамоил] – этил] -пиперидин-1-карбоновой кислоты в виде желтого масла, МС (бомбардировка ионами): 491 (М+H)+. Пример 186 Исходя из 300 мг трифторацетата этилового эфира (S)-[4- [2-(3-пиперидин-4-ил-пропиониламино)-пропионил] -фенокси] -уксусной кислоты аналогично примеру 181 после хроматографии на силикагеле (гексан/уксусный эфир 1:2) получают 140 мг этилового эфира (S)-[4-[2-[3-(1-ацетоксиметокси-карбонил-пиперидин-4-ил)- пропиониламино] -пропионил] -фенокси]-уксусной кислоты, МС (бомбардировка ионами): 507 (М+H)+. Пример 187 Раствор из 100 мг трет-бутилового эфира (R)-3-[(S)-1-(4- этоксикарбонилметокси-бензоил)-этилкарбамоилметокси]-пирролидин-1- карбоновой кислоты в 2 мл дихлорметана и 1 мл трифторуксусной кислоты перемешивают в течение 2 ч при комнатной температуре, концентрируют и остаток хроматографируют на силилированном силикагеле RP 18 (градиент вода/тетрагидрофуран). В результате получают 70 мг трифторацетата этилового эфира [4-[(S)-2-[(R)-2-пирролидин-3-илокси- ацетиламино]-пропионил]-фенокси]-уксусной кислоты, МС (бомбардировка ионами): 379 (М+H)+. Исходный материал может быть получен следующим образом: а) Реакцию фазового перехода между 4,1 г трет-бутилового эфира (R)-3-гидрокси-пирролидин-1-карбоновой кислоты и 3,85 мл трет- бутилового эфира бромуксусной кислоты в 50 мл толуола и 50 мл 50%- ной NaOH в присутствии 500 мг гидросульфата тетрабутиламмония осуществляют в течение 1 ч. Затем органическую фазу промывают насыщенным раствором NaCl, сушат и концентрируют, в результате чего образуется остаток, из которого после хроматографии на силикагеле (гексан/уксусный эфир 3: 1) получают 4,98 г трет- бутилового эфира (R)-3-трет-бутоксикарбонилметокси-пирролидин-1- карбоновой кислоты, МС (бомбардировка ионами): 302 (М+H)+. б) Раствор из 4,95 г продукта предварительной стадии в 50 мл дихлорметана и 25 мл трифторуксусной кислоты перемешивают в течение 3 ч при комнатной температуре и концентрируют. Остаток растворяют в 40 мл диоксана и 40 мл 1H NaOH, обрабатывают при комнатной температуре 4,3 г ди-трет-бутилди-карбоната в 40 мл диоксана и перемешивают в течение 1,5 ч. Затем реакционную смесь разбавляют простым эфиром, органическую фазу промывают 1H NaOH, а водную фазу подкисляют 3H HCl. После экстракции водной фазы с помощью простого эфира, промывания, сушки и концентрирования эфирной фазы получают 0,72 г трет-бутилового эфира (R)-3- карбоксиметокси-пирролидин-1-карбоновой кислоты. 360 мг этого эфира подвергают взаимодействию с этиловым эфиром (S)-4-(2-трет- бутоксикарбониламино-пропионил)-феноксиуксусной кислоты, в котором отщеплена согласно примеру 177б) защитная группа, в 15 мл дихлорметана в присутствии 446 мг TPTU и 0,33 мл 4-метилморфолина. После концентрирования реакционного раствора и хроматографии остатка получают 100 мг трет-бутилового эфира (R)-3-[(S)-1-(4- этоксикарбонилметокси-бензоил)-этилкарбамоилметокси] -пирролидин- 1-карбоновой кислоты, МС (бомбардировка ионами): 479 (М+H)+. Пример 188 Раствор из 290 мг трет-бутилового эфира (S)-6-[2-(4- этоксикарбонилметокси-фенил)-1-метил-2-оксо-этилкарбамоил] – 1,2,3,4-тетрагидро-изохинолин-2-карбоновой кислоты в 4 мл дихлорметана и 2 мл трифторуксусной кислоты перемешивают в течение 1 ч при комнатной температуре, концентрируют и остаток хроматографируют на силилированном силикагеле RP 18 (градиент вода/тетрагидрофуран). В результате получают 174 мг трифторацетата этилового эфира (S)-[4-[2- (1,2,3,4-тетрагидро-изохинолин-6-илкарбониламино)-пропионил]- фенокси]-уксусной кислоты, [ ]2D0 = +51,7o (с=0,6, ДМСО).
Исходный материал может быть получен следующим путем:а) В раствор из 1,46 г 6-гидрокси-1,2,3,4-тетрагидро-изохинолин- гидробромида в 10 мл диоксана и 2 мл 1H NaOH при 0oC одновременно добавляют 1,38 г ди-трет-бутилдикарбоната в 10 мл диоксана и 10 мл 1H NaOH. После перемешивания в течение 3 ч при комнатной температуре реакционную смесь с помощью 1H HCl устанавливают на pH 5, экстрагируют с помощью простого эфира, эфирные фазы промывают насыщенным раствором NaCl, сушат и концентрируют. После хроматографии остатка на силикагеле получают 1,07 г трет-бутилового эфира 6-гидрокси-1,2,3,4-тетрагидро-изохинолин-2-карбоновой кислоты, МС (EI): 192 (М-57). б) При -15oC раствор из 918 мг продукта предварительной стадии в 10 мл дихлорметана обрабатывают сначала 1,2 мл триэтиламина, а затем 0,7 мл ангидрида трифторметансульфокислоты и перемешивают в течение 2 ч при комнатной температуре. Осадок отфильтровывают на нутче, фильтрат концентрируют и остаток хроматографируют на силикагеле (гексан/уксусный эфир 7:1). В результате получают 1,02 г трет-бутилового эфира 6- трифторметилсульфонилокси-1,2,3,4-тетрагидро-изохинолин-2- карбоновой кислоты, МС (EI): 324 (М-57). в) 950 мг продукта предварительной стадии в течение 2 ч при 80oC подвергают взаимодействию с CO в присутствии 17 мг ацетата палладия, 32 мг 1,3-бис-(дифенилфосфино)-пропана и 0,4 мл триэтиламина в 4 мл ДМСО и 2,6 мл метанола. Затем реакционную смесь разбавляют насыщенным раствором NaCl, экстрагируют с помощью простого эфира, эфирные фазы промывают насыщенным раствором NaCl, сушат и концентрируют. После хроматографии остатка на силикагеле получают 443 мг 6-метилового эфира 2-трет-бутилового эфира 1,2,3,4-тетрагидро- изохинолин-2,6-дикарбоновой кислоты, МС (бомбардировка ионами): 292 (М+H)+. г) Омыление 387 мг продукта предварительной стадии 213 мг NaOH в 9 мл метанола и 1 мл воды осуществляют в течение 6 ч при комнатной температуре. Затем реакционный раствор концентрируют и разбавляют водой. Водную фазу экстрагируют с помощью простого эфира, с помощью 1H HCl устанавливают на pH 5 и осадок отфильтровывают на нутче. После промывания кристаллов водой и сушки получают 274 мг 2-трет-бутилового эфира 1,2,3,4-тетрагидро- изохинолин-2,6-дикарбоновой кислоты. МС (EI): 220 (М-57). д) После отщепления защитной В OC-группы из 313 мг этилового эфира (S)-4-(2-трет-бутоксикарбониламино-пропионил) -феноксиуксусной кислоты аналогично примеру 177б) получают амин. Этот амин в течение 48 ч перемешивают при комнатной температуре с 247 мг продукта предварительной стадии, 264 мг TPTU и 0,20 мл 4-метилморфолина в 10 мл дихлорметана. После хроматографии остатка от упаривания на силикагеле (гексан/уксусный эфир 1:1) получают 444 мг трет-бутилового эфира (S)-6-[2-(4-этоксикарбонилметокси-фенил)-1- метил-2-оксо-этилкарбамоил] -1,2,3,4-тетрагидро-изохинолин-2- карбоновой кислоты, [ ]2D0 = +51,3o (с = 0,4, хлороформ).
Пример 189Раствор из 106 мг ацетата метилового эфира 1-[8-(амино-имино-метил)- 5 оксо-2,3,4,5-тетрагидро-1,4-бензоксазенин-4-илацетил] -пиперидин-4- илоксиуксусной кислоты (пример 175) и 18 мг гидроокиси лития в 5 мл метанола и 0,5 мл воды перемешивают в течение 16 ч при комнатной температуре, с помощью 1H HCl устанавливают на pH 3 и концентрируют. После хроматографии остатка на силилированном силикагеле RP 18 (градиент вода/тетрагидрофуран) получают 60 мг 1-[8-(амино-имино-метил)- 5-оксо-2,3,4,5-тетрагидро-1,4-бензоксазепин-4-илацетил] -пиперидин-4- илоксиуксусной кислоты в виде белых кристаллов, МС (бомбардировка ионами): 405 (М+H)+. Пример 190 Раствор из 200 мг трет-бутилового эфира (R)-3-[(5)-1-(4-трет- бутоксикарбонилметокси-бензоил)-этилкарбамоилметокси] -пирролидин-1- карбоновой кислоты в 2 мл дихлорметана и 1 мл трифторуксусной кислоты перемешивают в течение 4 ч при комнатной температуре, концентрируют и остаток хроматографируют на силилированном силикагеле RP 18 (градиент вода/тетрагидрофуран). В результате получают 113 мг трифторацетата [4-[(S)-2-[(R)-2-пирролидин-3-илокси-ацетиламино] -пропионил]-фенокси] -уксусной кислоты, МС (бомбардировка ионами): 351 (М+H)+. Исходный материал может быть получен следующим образом: Реакцией сочетания 360 мг трет-бутилового эфира (R)-3-карбоксиметокси-пирролидин-1-карбоновой кислоты (пример 187б)) с 569 мг трет-бутилового эфира (S)-4-(2-трет- бутоксикарбониламино-пропионил)-феноксиуксусной кислоты, в котором аналогично примеру 177б) отщеплена защитная группа, в 15 мл дихлорометана в присутствии 446 мг TPTU и 0,33 мл 4- метилморфолина после концентрирования реакционного раствора и хроматографии остатка на силикагеле (гексан/уксусный эфир 1: 3) получают 200 мг трет-бутилового эфира (R)-3-[(S)-1-(4-трет- бутоксикарбонилметоксибензоил)-этилкарбамоилметокси] -пирролидин- 1-карбоновой кислоты, МС (бомбардировка ионами): 507 (М+H)+. Пример 191 Аналогично примеру 185 в 231 мг трет-бутилового эфира (S)-4-[[2-(4-трет-бутоксикарбонилметокси-фенил)-1-метил-2-оксо- этил] -метил-карбамоилметокси] -пиперидин-1-карбоновой кислоты отщепляют защитную группу и хроматографируют на силилированном силикагеле RP 18 (градиент вода/тетрагидрофуран). В результате получают 113 мг трифторацетата (S)-4-[2-[метил-(пиперидин-4- илокси-ацетил)-амино] -пропионил] -фенокси] -уксусной кислоты, МС (бомбардировка ионами): 379 (М+H)+. Исходный материал может быть получен следующим образом: а) Путем алкилирования 723 мг трет-бутилового эфира (S)-[2- (4-гидрокси-фенил)-1-метил-2-оксо-этил] -метилкарбаминовой кислоты аналогично примеру 3в) и после хроматографии остатка от упаривания на силикагеле (гексан/уксусный эфир 5: 1) получают 990 мг трет-бутилового эфира (S)-[4-[2-(трет-бутоксикарбонил-метил-амино)-пропионил]- фенокси]-уксусной кислоты, [ ]2D0 = -124,5o (с = 0,4, хлороформ).
б) Отщепление защитной BOC-группы, содержащейся в 394 г продукта предварительной стадии, осуществляют аналогично примеру 177б) при -78oC. Образовавшийся амин перемешивают с 311 мг 1-трет- бутоксикарбонилпиперидин-4-ил-оксиуксусной кислоты в присутствии 356 мг TPTU и 222 мг 4-метил-морфолина в 45 мл дихлорметана в течение 20 ч при комнатной температуре. После удаления растворителя и хроматографии остатка на силикагеле (трет- бутилметиловый эфир/гексан 4: 1) получают 179 мг трет-бутилового эфира (S)-4-[[2-(4-трет-бутоксикарбонилметоксифенил)-1-метил-2- оксо-этил] -метил-карбамоилметокси] -пиперидин-1-карбоновой кислоты в виде светло-желтого масла, [ ]2D0 = -120,7o (с=0,3, хлороформ).
Пример АСоединение формулы 1 можно использовать по известной методике в качестве активного вещества для изготовления таблеток следующего состава; мг на одну таблетку: Активное вещество – 200 Микрокристаллическая целлюлоза – 155 Кукурузный крахмал – 25 Тальк – 25 Гидроксипропилметилцеллюлоза – 20 – 425 мг Пример Б Соединение формулы I может использоваться по известной методике в качестве активного вещества для изготовления капсул следующего состава; мг на одну капсулу: Активное вещество – 100,0 Кукурузный крахмал – 20,0 Молочный сахар – 95,0 Тальк – 4,5 Стеарат магния – 0,5 – 220,0о Формула изобретения
![]() где L – группа формул L-1 – L5: ![]() причем содержащаяся в группе L и/или в диапазоне групп L и M связанная не по амидному типу карбонильная группа может быть представлена также в виде оксима; A – группа формул A1 – A4: ![]() ![]() где E1 и E2 – H, низший алкил, OH, низший алкокси, низший алкокси-низший алкил, карбокси-низший алкил, P(O) (O – низший алкил)2, C(O)OR1, OC(O)R1, OC(O)OR1 или C(O)SR1, причем по крайней мере один из E1 и E2 является H, или E1 и E2 вместе с N-атомами, по которым они связаны, представляют собой (5,5-диметил- или 5-оксо)-4,5-дигидро-1,2,4-оксадиазол-3-ил-группу; R1 – низший алкокси-низший алкил, низший алкил, низший алкил, необязательно замещенный OH, низшим алкоксикарбонилом, низшей алканоилоксигруппой, низшей алкеноилоксигруппой, необязательно замещенным бензоилокси и низшей алкил-CONH-группой, или фенил, необязательно замещенный алкокси или галогеном, или циклоалкил необязательно разорванный атомом О, X и Y – один обозначает CH, а другой – CH, C – низший-алкокси либо N; D – группа (CH2)s или (CH2)tO; s = 1 – 4; m и n = 0 – 5; t = 0 – 3, однако m + n = 1 – 5 и каждая из m + t и n + t равна по крайней мере 1; p и q = 0 – 5, однако p + q = 2 – 5; W1 – CH2, низший алкил-CH, низший алкил-OC(O)CH, NH, низший алкил-N или низший алкокси-низший алкил-N; W2 – O или NH; G представляет собой H или характеризующую группу -аминокарбоновой кислоты, выбранную из группы, включающей низший алкил, необязательно замещенный низшим алкилтио, -ORa, -NHRc или фенил, необязательно замещенный -ORb;Ra – водород, низший алкил или низший алканоил; Rb – водород, низший алкил, низший алкокси-низший алкил, низший алкоксикарбонил, низший алканоил, фуроил или бензоил, необязательно замещенный -O-низшим алканоилом или NH2; Rc – низший алкоксикарбонил, низший алкиламинокарбонил или бензоил; M – связанный через N-атом с кетогруппой 1,4-пиперидинилен или 1,4-фенилен, необязательно замещенный низшим алкилом, низшей алкоксигруппой, OCH2COOH-либо OCH2COO-низшим алкилом; Q – кислород, CH2, NH, ацил-N или низший алкил-OC(O)N; T – NH2, NH-низший алкил, NH-низший алкил(COOH-либо COO-низший алкил), низший алкилокси, необязательно замещенный низшей алкоксигруппой, COOH, COO-низшим алкилом, низшим алкил-COO и низшим алкил-OCOO, или низшую алкенилокси, или же группу OT’, где T’ – H, низший алкил, фенил либо пиридил, необязательно связанный через низший алкилен, или циклоалкил, необязательно связанный через низший алкилен и необязательно разорванный O, NH либо NCOO-низшим алкилом, при условии, что а) T’ имеет значение, отличное от H, низшего алкила и фенил-низшего алкила, если L – группа формулы ![]() где A – группа формулы ![]() где один из E1 и E2 – водород, а другой – водород, трет-бутоксикарбонил или бензилоксикарбонил; один из X и Y – CH, а другой – CH или N; W1 – NH, низший алкил-N либо низший алкокси-низший алкил-N; G имеет указанное выше значение; M – 1,4-пиперидинилен, связанный через N-атом с кетогруппой; Q – кислород и что б) T’ имеет значение, отличное от H, низшего алкила, фенила и фенил-низшего алкила, если L – группа формулы L11, L31 или L41: ![]() где A – группа формулы A1 ![]() где один из E1 и E2 – водород, а другой – водород, трет-бутоксикарбонил или бензилоксикарбонил; один из X и Y – CH, а другой – CH, C – низший алкокси или N; R0 и G0 – H или низший алкил; W4 – C = O или C = NOH; M – 1,4-фенилен, необязательно замещенный низшим алкилом, низшей алкоксигруппой, OCH2COOH либо OCH2COO-низшим алкилом; Q – кислород, CH2 или NH; c) A может обозначать группу формулы A3, только в том случае, когда L – группа формулы L1 и M – 1,4-фенилен; и d) G не является водородом, если L – группа формулы L’ и A – группа формулы A3 или A4, а также гидраты или сольваты и их физиологически приемлемые соли. 2. Соединения по п.1, где L – группа формулы L1 ![]() где A – группа A1, A2 или A30: ![]() где один из E1 и E2 – H, а другой – H, низший алкил, OH, низший алкокси, низший алкокси-низший алкил, карбокси-низший алкил, PO(O-низший алкил)2, C(O)OR1 или OC(O)OR1, где R1 – низший алкокси-низший алкил, низший алкил, замещенный на OH, либо низший алканоилокси, или фенил, необязательно замещенный алкокси или галогеном, или необязательно разорванный O циклоалкил; один из X и Y – CH, а другой – CH или N, m и n = 0 – 5 и t = 0 – 3, однако m + n = 1 – 5 и каждая из m + t и n + t равна по крайней мере 1; W1 – CH2, низший алкил-OC(O)CH, NH, низший алкил-N или низший алкокси-низший алкил-N; G и M имеют значение по п.1 формулы; Q – кислород; T – группа OT”, где T” – H, низший алкил, низший алкокси-низший алкил или при определенных условиях связанный через низший алкилен и при определенных условиях разорванный O циклоалкил, при условии, что а) T” имеет значение, отличное от H и низшего алкила, если A – группа формулы A1 ![]() где E1 и E2 – водород, трет-бутоксикарбонил или бензилоксикарбонил; X, Y, G и Q имеют указанное выше значение; W1 – NH, низший алкил-N или низший алкокси-низший алкил-N; M – связанный через N-атом с кетогруппой 1,4-пиперидинилен, и что б) T” имеет значение, отличное от H и низшего алкила, если L – группа формулы L11 ![]() где A – группа формулы A1 ![]() где E1 и E2 – водород, трет-бутоксикарбонил или бензилоксикарбонил; X, Y, G и Q имеют указанное выше значение; R0 и G0 – H или низший алкил; M при определенных условиях – замещенный на низший алкил, низший алкокси, OCH2COOH или OCH2COO-низший алкил 1,4-фенилен, и их физиологически приемлемые соли. 3. Производные уксусной кислоты по п.1, где L – группа L1, в которой A – группа A1, а именно группа формулы I-A ![]() где E1, E2, X, Y, W1, G, M, Q и T – имеют то же значение по п.1 формулы. 4. Производные уксусной кислоты по п.1 или 3, где один из E1 и E2 – H, а другой – H, OH, C(O)OR1 либо OC(O)OR1. 5. Производные уксусной кислоты по п.4, где R1 – низший алкил, такой, как этил, бутил либо изобутил, низший алкокси-низший алкил, такой, как метоксиэтил, замещенный на бензоилокси либо низший алканоилокси низший алкил, такой, как бензоилоксиметил, ацетоксиметил, ацетоксиэтил либо пивалоилоксиметил, или фенил. 6. Производные уксусной кислоты по пп.1, 3, 4 или 5, где один из X и Y – CH, а другой – CH, либо N, и/или где W1 – NH либо CH2, и/или где Q – кислород либо CH2. 7. Производные уксусной кислоты по одному из пп.1 и 3 – 6, где G – H, низший алкил, такой, как метил либо этил, или низший алкоксикарбониламино-низший алкил, такой, как этоксикарбониламинопропил. 8. Производные уксусной кислоты по одному из пп.1 и 3 – 7, где M – связанный через N-атом с кетогруппой 1,4-пиперидинилен, 1,4-фенилен либо замещенный на OCH2COO-низший алкил, такой, как метоксикарбонилметокси, 1,4-фенилен. 9. Производные уксусной кислоты по одному из пп.1 и 3 – 8, где T – низший алкокси, такой, как метокси, этокси, изопропокси, изобутокси, трет-бутокси либо гксилокси, низший алкокси-низший алкокси, такой, как метоксиэтокси, замещенный на COO-низший алкил низший алкенилокси, такой, как 2-изобутоксикарбонил-2-пентенилокси, замещенный на низший алкил-COO низший алкокси, такой, как пивалоилоксиметокси, замещенный на низший алкил-OCOO низший алкокси, такой, как 1-изопропоксикарбонилоксиэтокси, при определенных условиях разорванный O циклоалкилокси, такой, как тетрагидропиранилокси, связанный через низший алкиленокси пиридил, такой, как 3-либо 4-пиридилметокси, или связанный через низший алкиленокси и при определенных условиях разорванный NCOO-низшим алкилом циклоалкил, такой, как 1-трет-бутоксикарбонил-3-либо 4-пиперидилметокси. 10. Производные уксусной кислоты по одному из пп.1 – 9, выбранные из следующей группы: этиловый эфир (S)-4-[2-[4-[имино-2-(метокси-этоксикарбониламино)-метил] -бензоиламино]-пропионил]-феноксиуксусной кислоты, этиловый эфир (Z)-(R, S)-4-[2-[4-[амино-гидроксиимино-метил]-бензоиламино]-пропионил]-феноксиуксусной кислоты, тетрагидропиран-4-ил-эфир (S)-4-[2-[4-(этоксикарбониламино-иминометил)-бензоиламино]-пропионил]-феноксиуксусной кислоты, этиловый эфир (Z)-(R, S)-4-[2-[4-[амино-этоксикарбонилоксиминометил]-бензоиламино]-пропионил]-феноксиуксусной кислоты, этиловый эфир (S)-4-[2-[4-(имино-феноксикарбониламино-метил)-бензоиламино]-пропионил]-феноксиуксусной кислоты, 2-метокси-этиловый эфир (S)-4-[2-[4-[имино-(2-метокси-этоксикарбониламино)-метил]-бензоиламино]-пропионил]-феноксиуксусной кислоты, этиловый эфир (Z)-(S)-4-[2-[4-(амино-гидроксиимино-метил)-бензоиламино] -пропионил]-феноксиуксусной кислоты, изопропиловый эфир (E/Z)-(S)-1-[2-[4-(амино-этоксикарбонилиминометил)-бензоиламино]-пропионил]-пиперидин-4-илоксиуксусной кислоты, изопропиловый эфир (E/Z)-(S)-1-[2-[4-(амино-гидроксиимино-метил)-бензоиламино]-пропионил]-пиперидин-4-илоксиуксусной кислоты, изопропиловый эфир [1-[4-[4-(этоксикарбониламино-имино-метил)-фенил]-4-оксо-бутирил]-пиперидин-4-илокси]-уксусной кислоты, изопропиловый эфир (RS)-[1-[4-[4-(изобутоксикарбониламино-иминометил)-фенил]-2-метил-4-оксо-бутирил]-пиперидин-4-илокси]-уксусной кислоты. 11. Соединение по п.10, представляющее этиловый эфир (E/Z)-(S)-1-[2-[4-(амино-гидроксиимино-метил)-бензоиламино] -пропионил] -пиперидин-4-илоксиуксусной кислоты и его фармацевтически приемлемые соли. 12. Производные уксусной кислоты по одному из пп.1 и 3 – 9, выбранное из следующей группы: (R/S)-1-изопропоксикарбонилокси-этиловый эфир (Z)-(S)-[1-[2[4-(амино-гидроксиимино-метил)-бензоиламино] -пропионил] -пиперидин-4-илокси]-уксусной кислоты, пиридин-3-илметиловый эфир (R)-(E)/(Z)-[1-[4-[4-(амино-гидроксиимино-метил)-фенил]-2-метил-4-оксо-бутирил]-пиперидин-4-илокси]-уксусной кислоты, пиридин-4-илметиловый эфир (R)-(E)/(Z)-[1-[4-[4-(амино-гидроксиимино-метил)-фенил]-2-метил-4-оксо-бутирил]-пиперидин-4-илокси]-уксусной кислоты, трет-бутиловый эфир (E) – либо (Z)-(R/S)-3-[1-[(R)-4-[4-(амино-гидроксиимино-метил)-фенил] -2-метил-4-оксо-бутирил] -пиперидин-4-илоксиацетоксиметил]-пиперидин-1-карбоновой кислоты, этиловый эфир (R)-[1-[4-[4-(бензоилоксиметоксикарбониламино-иминометил)-фенил]-2-метил-4-оксо-бутирил]-пиперидин-4-илокси]-уксусной кислоты, этиловый эфир (R)-[1-[4-[4-(имино-пивалоилоксиметоксикарбониламино-метил)-фенил]-2-метил-4-оксо-бутирил]пиперидин-4-илокси]-уксусной кислоты, трет-бутиловый эфир (E)- или (Z)-(R)-4-[1-[4-[4-(амино-гидроксиимино-метил)-фенил] -2-метил-4-оксо-бутирил] -пиперидин-4-илоксиацетоксиметил]-пиперидин-1-карбоновой кислоты, этиловый эфир (S)-[4-[2-[4-[(2-ацетокси-этокси-карбонилимино)-амино-метил]-бензоиламино]-пропионил-]фенокси]-уксусной кислоты. 13. Производные уксусной кислоты по п.1, где L – группа L1, в которой A – группа A3, а именно группа формулы ![]() где E1, m, n, D, W1, G, M, Q и T имеют значения по п.1 формулы. 14. Производные уксусной кислоты по п.1 или 13, где E1 – H, OH либо C(O)OR1, m и n = 2, и/или D и Q – кислород, и/или W1 – NH, и/или G – низший алкил, такой, как метил, и/или M – 1,4-фенилен, и/или T – низший алкокси, такой, как этокси. 15. Производные уксусной кислоты по п.14, где E1 – низший алканоилокси-низший алкоксикарбонил, такой, как ацетоксиметоксикарбонил. 16. Соединение по п.13, 14 или 15, представляющее собой ацетоксиметиловый эфир (S)-4-[2-(4-этоксикарбонилметокси-фенил)-1-метил-2-оксо-этилкарбамоилметокси]-пиперидин-1-карбоновой кислоты. 17. Производные уксусной кислоты по п.1, где L – группа L1, в которой A – группа A2, а именно группа формулы I-C ![]() где E1, X, Y, W1, G, M, Q и T имеют значения по п.1 формулы, в частности Q – кислород и T – OH или низший алкокси. 18. Производные уксусной кислоты по п.1, где L – группа L1, в которой A – группа A4, а именно группа формулы I-D ![]() где E1, p, q, W1, G, M, Q и T имеют значения по п.1 формулы, в частности, M – 1,4-фенилен, Q – кислород и T – низший алкокси. 19. Производные уксусной кислоты по п.1, где L – группа L2, в которой A – группа A1, а именно группа формулы I-E ![]() где E1, E2, X, Y, W2, G, M, Q и T имеют значения по п.1 формулы, в частности, M – связанный через N-атом с кетогруппой 1,4-пиперидинилен, Q – кислород и T – низший алкокси. 20. Производные уксусной кислоты по п.1, где L – группа L3, в которой A – группа A1, а именно группа формулы I-F ![]() где E1, E2, X, Y, G, M, Q и T имеют значения по п.1 формулы, в частности, M – связанный через N-атом с кетогруппой 1,4-пиперидинилен, Q – кислород и T – низший алкокси. 21. Производные уксусной кислоты по п.1, где L – группа L4, в которой A – группа A1, а именно группа формулы I-G ![]() где E1, E2, X, Y, G, M, Q и T имеют значения по п.1 формулы, в частности, M – 1,4-фенилен, Q-кислород и T – низший алкокси. 22. Производные уксусной кислоты по п.1, где L – группа L5, а именно группа формулы I-H ![]() где E1, E2, G, M, Q и T имеют значения по п.1 формулы, в частности, M – связанный через N-атом с кетогруппой, 1,4-пиперидинилен, Q – кислород и T – низший алкокси. 23. Производные уксусной кислоты по одному из пп.1 – 22, обладающие способностью ингибировать агрегацию тромбоцитов, адгезию клетка – клетка, а также связывание адгезивного протеина с тромбоцитами. Приоритет по пунктам 03.12.93 по пп.2 и 10; 25.10.94 по пп.1, 3-9, 11-22. РИСУНКИ
MM4A – Досрочное прекращение действия патента СССР или патента Российской Федерации на изобретение из-за неуплаты в установленный срок пошлины за поддержание патента в силе
Дата прекращения действия патента: 03.12.2003
Извещение опубликовано: 20.09.2007 БИ: 26/2007
|
||||||||||||||||||||||||||






– аминокарбоновой кислоты,





I-B





L1











































