Патент на изобретение №2151721
|
||||||||||||||||||||||||||
(54) СПОСОБ КОНТРОЛЯ РАБОТЫ ГАЗОЖИДКОСТНОЙ СИСТЕМЫ ТЕРМОРЕГУЛИРОВАНИЯ
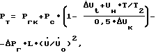
(57) Реферат: Изобретение относится к космической технике, в частности к системам терморегулирования (СТР) связных спутников. Согласно изобретению при работе СТР на орбите измеряют температуры теплоносителя в участках жидкостного тракта, давление газа в гермоконтейнере и газовой полости компенсатора объема, а также расход теплоносителя через тракт. Измеренные значения сравнивают с допустимыми. В процессе изготовления СТР измеряют компенсируемый объем газовой полости и жесткость сильфона компенсатора, полный объем и степень негерметичности жидкостного тракта, а также расстояние этого тракта между точкой его соединения с жидкостной полостью компенсатора и входом в насос. При контроле работы СТР давление теплоносителя на входе в насос определяют по специальному соотношению между рабочими параметрами жидкостного тракта. Изобретение позволяет повысить надежность и срок эксплуатации СТР, а также снизить массу системы. 2 ил. Изобретение относится к космической технике, в частности к системам терморегулирования (СTP) связных спутников. В настоящее время в процессе испытаний и эксплуатации, в том числе в условиях орбитального функционирования космического аппарата (например, связного спутника типа “Молния”), с целью диагностики и прогнозирования нормального функционирования его проводят периодический контроль работы его систем, в том числе СТР, путем телеметрического измерения показаний соответствующих датчиков, установленных на борту (см. стр. 215 книги: Воронин Г.И. Системы кондиционирования воздуха на летательных аппаратах. – М.: “Машиностроение”, 1973 г, а также стр. 115 монографии: Андрейчук О.Б., Малахов Н. Н. Тепловые испытания космических аппаратов. М.: “Машиностроение”, 1982 г.). Анализ источников информации по патентной и научно-технической информации показал, что наиболее близким по технической сути прототипом предлагаемого технического решения является способ контроля работы СТР, изложенный на стр. 215 (второй абзац сверху) книги: Воронин Г.И. Системы кондиционирования воздуха на летательных аппаратах. -М.: “Машиностроение”, 1973 г. По известному способу применительно к газожидкостной СТР (содержащей – см. фиг. 2 – жидкостный тракт 1 и установленные в нем электронасосный агрегат (ЭНА) 2; тракт ретранслятора 3; клапан-регулятор 4; радиатор 5; датчики расхода теплоносителя 6 в жидкостном тракте (например, турбинный датчик расхода), температуры теплоносителя t1 – t5 (например, термометры сопротивления, установленные на поверхностях участков жидкостного тракта), абсолютного давления теплоносителя 11 в жидкостном тракте на входе в ЭНА (например, датчик Вт 220, электрическая часть 11.1 которого разделена от его жидкостной полости 11.2, сообщающейся с жидкостным трактом СТР, гибкой мембраной 11.3); компенсатор объема 10, содержащий газовую полость 10.1, сообщающуюся с полостью гермоконтейнера 9, и жидкостную полость 10.2, разделенные сильфоном 10.3; газожидкостный теплообменник 7, датчики температуры t6 и абсолютного давления газа 8, установленные в гермоконтейнере 9) контроль ее работы в условиях орбитального функционирования осуществляется следующим образом (см. фиг. 2): периодически (например, один раз в течение месяца) проводят телеметрические измерения расхода теплоносителя в жидкостном тракте обеспечиваемого ЭНА, абсолютных давлений теплоносителя на входе в ЭНА и газа в гермоконтейнере, температур теплоносителя участков жидкостного тракта по показаниям соответствующих датчиков 6, 8, 11 и t1 – t6, установленных на борту; сравнивают измеренные значения с допустимыми значениями, а также проводят сравнительный анализ с данными предыдущих измерений и судят о работоспособности СТР в данный момент и в перспективе при дальнейшей эксплуатации. Как показал анализ, проведенный авторами, известный способ в случае, когда газожидкостная СТР должна нормально работать в течение длительного срока орбитального функционирования (например, в течение 10 лет), обладает существенными недостатками, а именно: вышеуказанный способ контроля работы газожидкостной СТР обеспечивает недостаточно высокую надежность ее орбитального функционирования в течение вышеуказанного срока, а также способствует повышению массы системы; как показал анализ, это обусловлено тем, что, если отказы телеметрических датчиков расхода теплоносителя, температуры и абсолютного давления газа не влияют на работу СТР, то отказ телеметрического датчика абсолютного давления теплоносителя в жидкостном тракте может привести к отказу СТР, т.к. применяемые в настоящее время телеметрические датчики давления теплоносителя в своем составе содержат недостаточно надежный элемент – гибкую мембрану, разделяющую электрическую часть от его жидкостной полости, которая при длительном функционировании не выдерживает соответствующее повышенное количество циклических нагрузок и разрушается (согласно техническим условиям они работоспособны в течение 5 лет); в результате этого жидкостный тракт СТР теряет герметичность – теплоноситель вытекает через электрическую часть в космическое пространство (если датчик подключен к жидкостному тракту, находящемуся в гермоконтейнере, тогда – в газовую среду гермоконтейнера) и СТР, следовательно, спутник выходит из строя; в дополнение к указанному, попадание теплоносителя (например, ЛЭ-ТК-2, являющегося пожароопасной жидкостью), в находящуюся под напряжением электрическую часть вообще недопустимо, т.к. это может привести к пожару на борту; кроме того, имеющиеся датчики обладают относительно большой массой и увеличивают массу СТР (например, масса датчика типа Вт 220 равна ~ 0,5 кг); в то же время для обеспечения достоверной диагностики и прогнозирования нормального функционирования СТР необходимо обязательно знать значение давления теплоносителя в жидкостном тракте на входе в ЭНА, т.к. в момент достижения минимально допустимого значения давления (например, 0,3 кг/см2) начинается неустойчивая работа (кавитация) ЭНА и расход теплоносителя в жидкостном тракте ретранслятора уменьшится вплоть до нуля, и, следовательно, при этом не обеспечивается отвод выделяющегося при работе ретранслятора тепла и он выходит из строя; знание значения давления теплоносителя в жидкостном тракте СТР позволяет достоверно прогнозировать, в какой момент произойдет отказ СТР (спутника) и принять своевременное решение о начале подготовки и запуске работоспособного спутника на замену вышедшему из строя, тем самым обеспечивая непрерывное работоспособное состояние системы связи, например телевещания; кроме того, по результатам периодического контроля, в частности давления теплоносителя в жидкостном тракте, можно судить о качестве изготовленной (эксплуатируемой) СТР (например, в части степени герметичности) и принять, при необходимости, опережающие меры по повышению качества изготовления СТР последующих спутников. Давление теплоносителя в жидкостном тракте в условиях орбитального функционирования с течением времени уменьшается в результате воздействия в совокупности следующих факторов: 1) уменьшения давления газа в гермоконтейнере из-за существующей его некоторой негерметичности; 2) в результате утечек теплоносителя из жидкостного тракта из-за существующей его некоторой негерметичности и уменьшения средней температуры теплоносителя на теневых участках орбиты в результате деградации оптических коэффициентов поверхности радиатора запас теплоносителя в жидкостной полости компенсатора объема уменьшается, а объем газовой полости растет и давление теплоносителя, когда газовая полость увеличится до максимально возможного значения, уменьшится до значения, равного упругости паров теплоносителя (0,05 кг/см2). Таким образом, существенными недостатками известного способа контроля работы газожидкостной СТР является то, что он снижает надежность ее работы, не обеспечивает увеличения срока орбитального функционирования с 5 до 10 лет, а также увеличивает массу системы. Целью предлагаемого изобретения является устранение вышеперечисленных существенных недостатков. Поставленная цель достигается тем, что предварительно в процессе изготовления измеряют компенсируемый объем газовой полости и жесткость сильфона компенсатора, полный объем и степень негерметичности жидкостного тракта, расстояние жидкостного тракта между точкой соединения его с жидкостной полостью компенсатора и входом в насос и при контроле работы давление теплоносителя в жидкостном тракте на входе в насос определяют по соотношению ![]() где Pт – давление теплоносителя в жидкостном тракте на входе в насос, Па; Pгк– давление газа в гермоконтейнере и газовой полости компенсатора, Па; Pс – жесткость сильфона компенсатора, Па; Uк – компенсируемый объем газовой полости компенсатора, дм3; – температурное изменение объема теплоносителя в жидкостном тракте СТР, дм3;U – полный объем жидкостного тракта, дм3; – коэффициент температурного изменения объема теплоносителя, 1/oC;tм – максимально допустимая средняя температура теплоносителя в жидкостном тракте системы, oC; Ui – объемы теплоносителя участков жидкостного тракта, дм3; ti – средние температуры теплоносителя участков жидкостного тракта, oC; Uн – степень негерметичности жидкостного тракта за заданный срок орбитального функционирования, дм3; T, Tз – текущее время, начиная с момента запуска на орбиту, и заданный срок орбитального функционирования, сутки; Pг – гидравлическое сопротивление одного метра жидкостного тракта при номинальном расходе теплоносителя, Па/м;L – расстояние жидкостного тракта между точкой соединения его с жидкостной полостью компенсатора и входом в насос, м; – измеренный и номинальный расходы теплоносителя, м3/с,и сравнивают с допустимым значением, что и является, по мнению авторов, существенными отличительными признаками предлагаемого авторами технического решения. В результате анализа, проведенного авторами, известной патентной и научно-технической литературы предложенное сочетание существенных отличительных признаков заявляемого технического решения в известных источниках информации не обнаружено и, следовательно, известные технические решения не проявляют тех же свойств, что в предлагаемом способе. На фиг. 1 изображена принципиальная схема реализации предлагаемого технического решения (где поз.1 – жидкостный тракт и установленные в нем: электронасосный агрегат (ЭНА) 2; тракт ретранслятора 3; клапан- регулятор 4; радиатор 5; датчики расхода теплоносителя в жидкостном тракте 6 (например, турбинный датчик расхода), температуры теплоносителя t1 – t5 (например, термометры сопротивления, установленные на поверхностях участков жидкостного тракта); компенсатор объема 10, содержащий газовую полость 10.1, сообщающуюся с полостью гермоконтейнера 9, и жидкостную полость 10.2, разделенные сильфоном 10.3; газожидкостный теплообменник 7, датчики температуры t6 и абсолютного давления газа 8, установленные в гермоконтейнере 9). Предлагаемый способ контроля работы газожидкостной СТР включает в себя нижеуказанные операции, выполняемые в следующей последовательности (см. фиг. 1): 1. До запуска спутника на орбиту в процессе изготовления СТР измеряют компенсируемый объем газовой полости ( Uк) и жесткость сильфона компенсатора (Pс), полный объем (U), объемы участков (Ui) и степень негерметичности жидкостного тракта (Uн), расстояние жидкостного тракта между точкой соединения его с жидкостной полостью компенсатора и входом в насос (L),2. Во время орбитального функционирования периодически (например, один раз в течение месяца) проводят телеметрические измерения температур теплоносителя участков жидкостного тракта (t1 -t5), давления газа в гермоконтейнере и газовой полости компенсатора объема (Pгк) и обеспечиваемого электронасосным агрегатом расхода теплоносителя в жидкостном тракте ![]() 3. Определяют давление теплоносителя в жидкостном тракте на входе в ЭНА по соотношению, полученному авторами на основе анализа физических процессов, происходящих в жидкостном тракте в момент контроля работы газожидкостной СТР: ![]() где Pт – давление теплоносителя в жидкостном тракте на входе в насос, Па; Pгк – давление газа в гермоконтейнере и газовой полости компенсатора, Па; Pc – жесткость сильфона компенсатора, Па; Uк – компенсируемый объем газовой полости компенсатора, дм3; -температурное изменение объема теплоносителя в жидкостном тракте СТР, дм3;U – полный объем жидкостного тракта, дм3; – коэффициент температурного изменения объема теплоносителя, 1/oC;tм – максимально допустимая средняя температура теплоносителя в жидкостном тракте системы, oC; Ui – объемы теплоносителя участков жидкостного тракта, дм3; ti – средние температуры теплоносителя участков жидкостного тракта, oC; Uн – степень негерметичности жидкостного тракта за заданный срок орбитального функционирования, дм3; T, Tз – текущее время, начиная с момента запуска на орбиту, и заданный срок орбитального функционирования, сутки; Pг – гидравлическое сопротивление одного метра жидкостного тракта при номинальном расходе теплоносителя, Па/м;L – расстояние жидкостного тракта между точкой соединения его с жидкостной полостью компенсатора и входом в насос, м; – измеренный и номинальный расходы теплоносителя, м3/с.
4. Сравнивают значения параметров СТР по вышеуказанным пунктам 2 и 3, в том числе значение давления теплоносителя на входе в ЭНА, с соответствующими допустимыми значениями, а также проводят сравнительный анализ с данными предыдущих измерений и судят о работоспособности СТР в данный момент и в перспективе при дальнейшей эксплуатации; при необходимости, основываясь данными вышепроведенного анализа, принимают соответствующее решение о повышении качества изготовления последующей СТР (или о доработке ее, если она изготовлена), чтобы исключить ее преждевременный отказ и обеспечить требуемый срок эксплуатации в условиях орбитального функционирования.
Таким образом, предложенное авторами техническое решение обеспечивает телеметрический контроль давления теплоносителя в жидкостном тракте на входе в ЭНА при контроле работы газожидкостной СТР в условиях орбитального функционирования без использования показаний датчика абсолютного давления, что однозначно повышает надежность (исключается отказ СТР из-за отказа ее телеметрических датчиков), не накладывает ограничения на увеличение срока орбитального функционирования (с 5 до 10 лет) и одновременно снижает массу СТР (на ~ 0,5 кг), т.е. тем самым достигаются цели изобретения.
Предложенное авторами техническое решение отражено в технической документации, по которой будет изготавливаться СТР вновь создаваемого связного спутника.
Формула изобретения
![]() где Pт – давление теплоносителя в жидкостном тракте на входе насос, Па; Pгк – давление газа в гермоконтейнере и газовой полости компенсатора, Па; Pс – жесткость сильфона компенсатора, Па; Ur – компенсируемый объем газовой полости компенсатора, м3; – температурное изменение объема теплоносителя в жидкостном тракте системы терморегулирования, дм3;U – полный объем жидкостного тракта; дм3; – коэффициент температурного изменения объема теплоносителя, 1/oC;tm – максимально допустимая средняя температура теплоносителя в жидкостном тракте системы, oC; Ui – объемы теплоносителя участков жидкостного тракта, дм3; ti – средние температуры теплоносителя участков жидкостного тракта, oC; Uн – степень негерметичности жидкостного тракта за заданный срок орбитального функционирования, дм3; T, T2 – текущее время, начиная с момента запуска на орбиту, и заданный срок орбитального функционирования, сутки; Pг – гидравлическое сопротивление одного метра жидкостного тракта при номинальном расходе теплоносителя, Па/м;L – расстояние жидкостного тракта между точкой его соединения с жидкостной полостью компенсатора и входом в насос, м; – измеренный и номинальный расходы теплоносителя, м3/с,и сравнивают с допустимым значением. РИСУНКИ
|
||||||||||||||||||||||||||


Uк – компенсируемый объем газовой полости компенсатора, дм3;
– температурное изменение объема теплоносителя в жидкостном тракте СТР, дм3;
– коэффициент температурного изменения объема теплоносителя, 1/oC;
– измеренный и номинальный расходы теплоносителя, м3/с,

-температурное изменение объема теплоносителя в жидкостном тракте СТР, дм3;
– измеренный и номинальный расходы теплоносителя, м3/с.
4. Сравнивают значения параметров СТР по вышеуказанным пунктам 2 и 3, в том числе значение давления теплоносителя на входе в ЭНА, с соответствующими допустимыми значениями, а также проводят сравнительный анализ с данными предыдущих измерений и судят о работоспособности СТР в данный момент и в перспективе при дальнейшей эксплуатации; при необходимости, основываясь данными вышепроведенного анализа, принимают соответствующее решение о повышении качества изготовления последующей СТР (или о доработке ее, если она изготовлена), чтобы исключить ее преждевременный отказ и обеспечить требуемый срок эксплуатации в условиях орбитального функционирования.
Таким образом, предложенное авторами техническое решение обеспечивает телеметрический контроль давления теплоносителя в жидкостном тракте на входе в ЭНА при контроле работы газожидкостной СТР в условиях орбитального функционирования без использования показаний датчика абсолютного давления, что однозначно повышает надежность (исключается отказ СТР из-за отказа ее телеметрических датчиков), не накладывает ограничения на увеличение срока орбитального функционирования (с 5 до 10 лет) и одновременно снижает массу СТР (на ~ 0,5 кг), т.е. тем самым достигаются цели изобретения.
Предложенное авторами техническое решение отражено в технической документации, по которой будет изготавливаться СТР вновь создаваемого связного спутника.

– температурное изменение объема теплоносителя в жидкостном тракте системы терморегулирования, дм3;
– измеренный и номинальный расходы теплоносителя, м3/с,