Патент на изобретение №2233839
|
||||||||||||||||||||||||||
(54) ПРОИЗВОДНЫЕ АМИНОСПИРТОВ, ФАРМАЦЕВТИЧЕСКАЯ КОМПОЗИЦИЯ, СПОСОБ ПРОФИЛАКТИКИ ИЛИ ЛЕЧЕНИЯ, ПРОМЕЖУТОЧНЫЕ СОЕДИНЕНИЯ И СПОСОБ ПОЛУЧЕНИЯ ПРОМЕЖУТОЧНЫХ СОЕДИНЕНИЙ
(57) Реферат: Настоящее изобретение относится к производным аминоспиртов формулы (I)
где R1 и R2 представляют атом водорода, аминозащитную группу; R3 представляет атом водорода, гидроксизащитную группу; R4 представляет низшую алкильную группу; n представляет целое число от 1 до 6; Х представляет этиленовую группу; Y представляет C1-С10 алкиленовую группу, C1-C10 алкиленовую группу, замещенную 1-3 заместителями, R5 представляет арильную группу; R6 и R7 представляют атом водорода, атом галогена или низшую алкильную группу, при условии, что когда R5 представляет атом водорода, то Y не является одинарной связью или неразветвленной C1-C10 алкиленовой группой, их фармакологически приемлемым солям. Соединения обладают иммунодепрессивной активностью. Описаны также фармачевтическая композиция на основе соединения I, промежуточные соединения в синтезе соединений I, способ получения промежуточных соединений и способ профилактики или лечения ревматоидного артрита. 5 н. и 68 з.п. ф-лы, 6 табл.
Область техники, к которой относится изобретение
Настоящее изобретение относится к производным аминоспиртов, обладающим высокой иммунодепрессивной активностью, их фармакологически приемлемым солям, их сложным эфирам или другим их производным, к фармацевтическим композициям, содержащим указанные соединения в качестве активного компонента, к применению указанных соединений для получения указанных фармацевтических композиций и к способам профилактики или лечения аутоиммунных заболеваний, включающим введение фармакологически эффективного количества указанного соединения теплокровным животным, нуждающимся в такой профилактике или таком лечении.
В другом аспекте настоящее изобретение относится к оптически активным новым производным аминоспиртов (в частности, оптически активным 4,4-дизамещенным производным оксазолидин-2-она), которые являются полезными синтетическими промежуточными соединениями для получения указанных производных аминоспиртов или других лекарственных средств.
В еще одном аспекте настоящее изобретение относится к новым способам высокоизбирательного получения оптически активных 2-замещенных производных сложных моноэфиров 2-амино-1,3-пропандиола, являющихся полезными синтетическими промежуточными соединениями для получения указанных производных аминоспиртов в оптически активной форме.
Предпосылки создания изобретения
В качестве терапевтических средств для воспалительных реакций, вызываемых патологическими иммунологическими реакциями при заболеваниях, связанных с иммунной системой, таких как ревматоидный артрит и другие аутоиммунные заболевания, уже использовали стероиды или противовоспалительные лекарственные средства. Но эти средства улучшают симптомы, но не лечат причины заболеваний.
Уже были сообщения о том, что патологические иммунологические реакции способствуют патогенезу сахарного диабета и нефрита [Kidney International, 51, 94 (1997); Journal of Immunology, 157, 4691 (1996)], но еще не были когда-либо разработаны средства для улучшения аномальных иммунологических реакций.
С другой стороны, создание иммунодепрессантов важно для предупреждения иммунологического отторжения при трансплантации органов или для профилактики или лечения аутоиммунных заболеваний. Но известно, что существующие иммунодепрессанты, такие как циклоспорин A (Csa) и такролимус (TRL), нефро- и гепатотоксичны. Хотя для снижения указанных вредных эффектов иммунодепрессантов вместе с ними вводили стероиды, но иммунодепрессивные эффекты не могли быть достаточно удовлетворительно обеспечены без вредных воздействий.
С учетом указанных предпосылок было сделано много попыток найти соединения с высокими иммунодепрессивными эффектами при низкой токсичности.
В качестве иммунодепрессивных средств известны следующие соединения:
(1) В описании к WО 94/08943 (ЕР627406) раскрыты в качестве иммунодепрессивных средств соединения формулы (а):
где R представляет неразветвленную или разветвленную углеродную цепь, которая может содержать группу, выбранную из группы, состоящей из двойной связи, тройной связи, атома кислорода, атома серы, -N(R6)- (где R6 представляет атом водорода), необязательно замещенного арилена, необязательно замещенного гетероарилена или тому подобное, и которая может быть замещенной на ее конце необязательно замещенным арилом, необязательно замещенным циклоалкилом, необязательно замещенным гетероарилом или тому подобное, и R2, R3, R4, R5 являются одинаковыми или различными и представляют каждый атом водорода, алкильную группу или тому подобное.
Соединения формулы (а) имеют в качестве существенных групп две оксиметильные группы (-CH2OR4 и –CH2OR5). А соединения по настоящему изобретению имеют группу –CH2OR3 и низшую алкильную группу и отличаются от соединений формулы (а) указанными заместителями.
В указанном описании типичные соединения, подобные соединениям формулы (I) по настоящему изобретению, не раскрыты вообще. Лишь следующие два соединения из соединений формулы (а) очень похожи по химической структуре на соединения формулы (I) по настоящему изобретению:
2) В описании к WО 96/06068 раскрыты как иммунодепрессивные средства соединения формулы (b):
где R1, R2 и R3 представляют каждый атом водорода или тому подобное, W представляет атом водорода, алкильную группу или тому подобное, Z представляет одинарную связь или алкиленовую группу, Х представляет атом водорода или алкоксигруппу, Y представляет атом водорода, алкильную, алкокси-, ацильную, ацилокси-, амино-, ациламиногруппу или тому подобное.
Соединения формулы (b) обязательно имеют в качестве базового скелета фенильную группу. Соединения формулы (I) по настоящему изобретению имеют вместо фенильной группы соединений формулы (b) тиофеновую группу и отличаются от соединений формулы (b) базовым скелетом.
В указанном описании типичные соединения, подобные соединениям формулы (I) по настоящему изобретению, не раскрыты вообще. Лишь следующие три соединения из соединений формулы (b) очень похожи по химической структуре на соединения формулы (I) по настоящему изобретению:
(3) В описании к WО 98/45249 раскрыты как иммунодепрессивные средства соединения формулы (с):
где R1, R2, R3, R4 являются одинаковыми или различными и представляют каждый атом водорода или ацильную группу.
Соединения формулы (с) имеют в качестве незаменимых замещающих групп две оксиметильные группы (-CH2OR3 и –CH2OR4). Соединения по настоящему изобретению имеют группу –CH2OR3 и низшую алкильную группу и отличаются от соединений формулы (а) указанными заместителями. Соединения формулы (с) имеют в качестве базового скелета фенильную группу между -(CH2)2– и -СО(СН2)4-. Соединения формулы (I) по настоящему изобретению имеют вместо фенильной группы соединений формулы (с) тиофеновую группу. Предлагаемые соединения формулы (I) также отличаются от соединений формулы (с) базовым скелетом.
Соединения формулы (с) имеют лишь фенильную группу на конце группы -СО-(СН2)4-. Соединения формулы (I) по настоящему изобретению могут иметь фенильную группу, циклоалкильную группу или гетероциклическую группу на конце молекулы.
В указанном описании типичные соединения, подобные соединениям формулы (I) по настоящему изобретению, не раскрыты вообще. Лишь следующие три соединения из соединений формулы (с) очень похожи по химической структуре на соединения формулы (I) по настоящему изобретению:
С другой стороны, различные оптически активные производные замещенных аминокислот и замещенных аминоспиртов (в частности, производные -замещенных аминокислот и -замещенных аминоспиртов) проявляют биологическую активность, являются составными частями натуральных продуктов и фармацевтических средств и являются важными синтетическими промежуточными соединениями. Например, -метил- -виниламинокислоты полезны в качестве ингибитора декарбоксилазы аминокислот, -этинил- -метиламинокислоты полезны в качестве ингибитора декарбоксилазы глутаминовой кислоты, ISP-1 (Myriocin), который выделяют из метаболитов Isalia sinclairii, обладает иммунодеперессивной активностью; и Конагенин (Conagenine) и тому подобное участвуют в регуляции иммунного ответа через Т-клетки. Таким образом, -замещенные производные аминокислот и аминоспиртов как составные части натуральных продуктов, обладающие биологической активностью, являются очень интересными соединениями в области биохимии и в области органического синтеза.
Указанные -замещенные производные аминокислот и аминоспиртов имеют асимметрический центр(ы), что позволяет рассчитывать на эффективный способ получения одного их энантиомера.
Имеется несколько сообщений о способах получения оптически активных замещенных производных аминокислот и аминоспиртов и несколько сообщений о синтетических примерах оптически активных производных аминоспиртов, таких как оптически активные 4,4-дизамещенные производные оксазолидин-2-она, которые полезны в качестве синтетических промежуточных соединений оптически активных замещенных производных аминокислот и аминоспиртов, описанных выше. Например, имеются сообщения С. Cativiela et al., Tetrahedron: Asymmetry, 9, 3517 (1998) и Synthesis of Optically active -amino acids (Pergamon Press) R.M. Williams et al., где способы получения указанных соединений разбиты, в основном, на две группы. Одним из способов является способ диастереоизбирательного алкилирования с использованием вспомогательной группы для асимметрического синтеза, типичный пример которого описан Сибахом (Seebach) в Helv. Chim. Acta., 71, 224 (1988), или синтез -замещенных производных серина, которые получают путем высокодиастереоизбирательной альдольной конденсации с использованием хиральных сложных эфиров карбоновой бис-лактамэфирокислоты и кислот Льюиса типа Mg(II) and Sn(II), описанных by Nagao and Sano et al. in Tetrahedron Lett., 36, 2097 (1995) and Tetrahedron Lett., 36, 4101 (1995). Другим способом является синтез -замещенных производных серина, которые получают энантиоизбирательным ферментативным гидролизом прохиральных -симметрических сложных диэфиров ( -замещенные- -защищенные диэфиры малоновой кислоты), который описан by Nagao, Tamai et al., в Chemistry Lett., 239 (1989) and Chemistry Lett., 2381 (1994).
Первый способ включает многостадийные реакции и требует стехиометрического асимметрического источника. Последний способ имеет стадию восстановления и не может быть использован, когда соединение содержит группу, неустойчивую в условиях восстановления.
Есть несколько сообщений, описанных выше, но практически полезные способы ограничены. Обычно из рацемической смеси оптически выделяют один энантиомер. В этом случае существует проблема низкого общего выхода требуемого соединения.
Раскрытие сущности изобретения
Создатели настоящего изобретения провели кропотливый поиск для достижения указанных целей и нашли, что производные аминоспиртов (I) по настоящему изобретению проявляют превосходный иммунодепрессивный эффект с низкой токсичностью и полезны как средства для лечения аутоиммунных заболеваний, таких как системная красная волчанка, ревматоидный артрит, полимиозит, дерматомиозит, синдром Бехчета, болезнь Крона, язвенный колит, аутоиммунный гепатит, апластическая анемия, склеродермия, идиопатическая тромбоцитопеническая пурпура, аутоиммунная гемолитическая анемия, рассеянный склероз, аутоиммунный буллез, псориаз обыкновенный, васкулитный синдром, гранулема Вегенера, увеит, криптогенный фиброзный альвеолит, синдром Гудпасчера, саркоидоз, аллергический гранулематозный ангиит, бронхиальная астма, миокардит, кардиомиопатия, синдром дуги аорты, миокардный постинфарктный синдром, первичная легочная гипертензия, нефротический синдром с минимальными изменениями, мембранозная нефропатия, мембранозно-пролиферативный гломерулонефрит, очаговый гломерулярный склероз, серповидный гломерулонефрит, миастения тяжелая псевдопаралитическая, воспалительная невропатия, атопический дерматит, хронический актинический дерматит, острый полиартрит, хорея Сиденгама, прогрессирующий системный склероз, сахарный диабет у взрослых, инсулинзависимый сахарный диабет, ювенильный диабет, атеросклероз, гломерулярный нефрит, канальцево-интерстициальный нефрит, первичный билиарный цирроз печени, первичный склерозирующий холангит, скоротечная печеночная недостаточность, вирусный гепатит, GVHD (болезнь “трансплантат против хозяина”), иммунологическое отторжение после трансплантации органа, контактный дерматит, сепсис или другие болезни, связанные с иммунологией, результатом чего и явилось настоящее изобретение.
В соответствии с настоящим изобретением предлагаются производные аминоспиртов, проявляющие низкую токсичность и высокую иммунодепрессивную активность, их фармакологически приемлемые соли, их сложные эфиры или другие их производные.
В соответствии с другим аспектом настоящего изобретения предлагаются фармацевтические композиции, содержащие указанные производные аминоспиртов, их фармакологически приемлемую соль, сложный эфир или другое их производное в качестве активного компонента, применение указанных соединений для получения указанных фармацевтических композиций или способы профилактики или лечения описанных выше заболеваний, таких как аутоиммунные заболевания и тому подобное, которые (способы) включают введение фармакологически эффективного количества указанного соединения теплокровным животным, нуждающимся в такой профилактике или таком лечении.
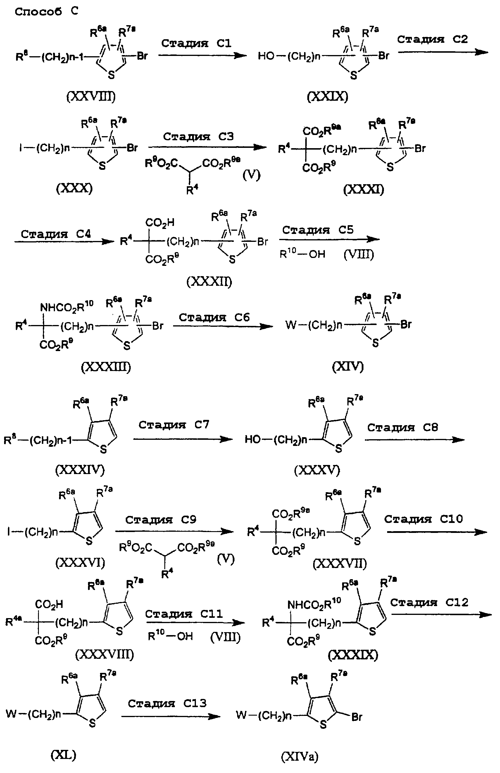
Создателями настоящего изобретения были приложены значительные усилия для решения описанных выше проблем, касающихся способа получения оптически активных производных аминокислот и их промежуточных соединений. Было найдено, что новые оптически активные производные аминокислот, имеющие формулы (La) и (Lb) (в частности, 4,4-замещенные производные оксазолидин-2-она), могут быть получены легче, чем традиционными способами, и что указанные производные являются полезными синтетическими промежуточными продуктами для получения оптически активных производных замещенных аминокислот и замещенных аминоспиртов и лекарственных средств.
Кроме того, были приложены большие усилия найти способ избирательного получения оптически активных аминоспиртов формул (La) и (Lb). Было обнаружено, что оптически активные 2-замещенные производные сложного моноэфира 2-амино-1,3-пропандиола формул (XLIVa) или (XLIVb) являются полезными промежуточными соединениями для такого получения, причем указанные соединения формул (XLIVa) и (XLIVb) могут быть легко и с высоким выходом получены из 2-замещенных производных 2-амино-1,3-пропандиола формулы (XLII) с использованием сложных виниловых эфиров карбоновых кислот формулы (XLIII) в присутствии липазы через избирательное ацилирование одной гидроксильной группы.
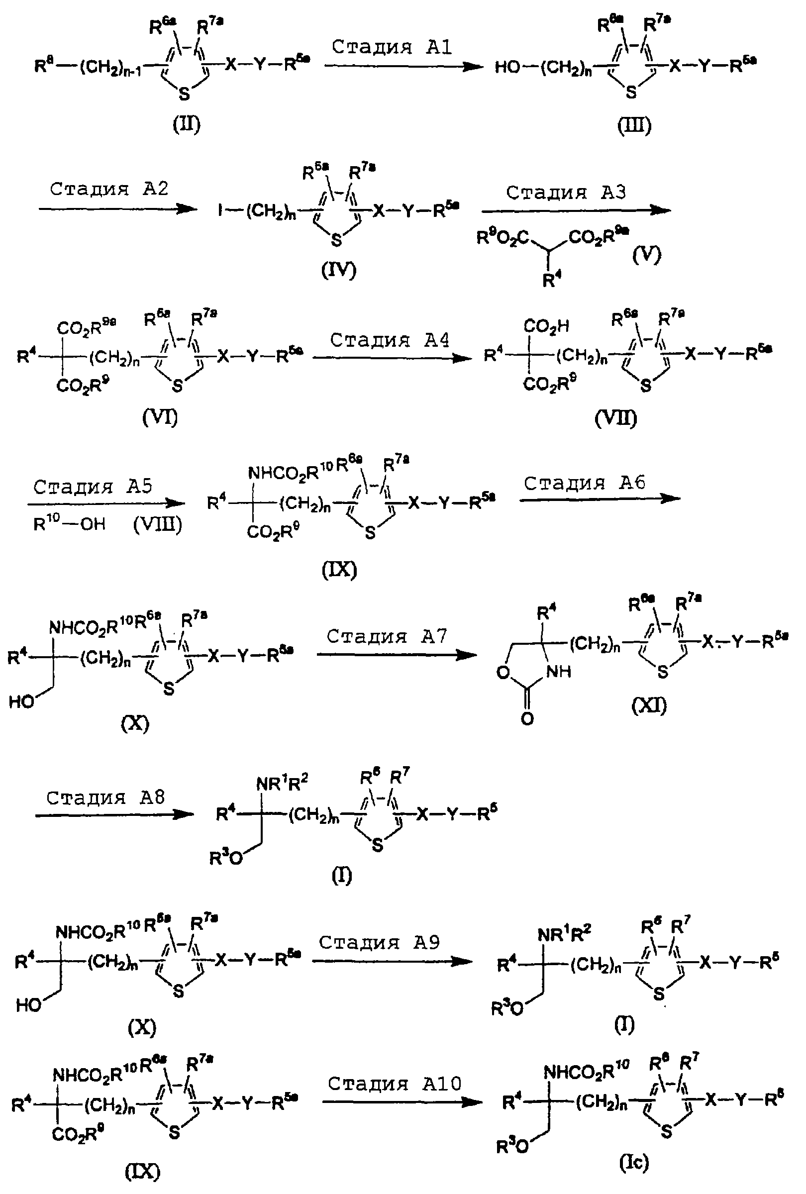
(1) В соответствии с настоящим изобретением предлагаются производные аминоспиртов следующей формулы (I), их фармакологически приемлемые соли, сложные эфиры или другие их производные:
где R1 и R2 являются одинаковыми или различными и представляют каждый атом водорода или аминозащитную группу;
R3 представляет атом водорода или гидроксизащитную группу;
R4 представляет низшую алкильную группу;
n представляет целое число от 1 до 6;
Х представляет этиленовую группу, виниленовую группу, этиниленовую группу, группу формулы -D-CH2– (где D представляет карбонильную группу, группу формулы -СН(ОН)-, атом кислорода, атом серы или атом азота), арильную группу или арильную группу, замещенную 1-3 заместителями, выбранными из группы а заместителей;
Y представляет одинарную связь, C1-С10алкиленовую группу, C1-С10алкиленовую группу, замещенную 1-3 заместителями, выбранными из групп а и b заместителей, С1-С10алкиленовую группу, содержащую атом кислорода или атом серы в указанной углеродной цепи или на конце указанной углеродной цепи, или C1-С10алкиленовую группу, замещенную 1-3 заместителями, выбранными из групп а и b заместителей, и содержащую атом кислорода или атом серы в указанной углеродной цепи или на конце указанной углеродной цепи;
R5 представляет атом водорода, циклоалкильную группу, арильную группу, гетероциклическую группу, циклоалкильную группу, замещенную 1-3 заместителями, выбранными из групп а и b заместителей, арильную группу, замещенную 1-3 заместителями, выбранными из групп а и b заместителей, или гетероциклическую группу, замещенную 1-3 заместителями, выбранными из групп а и b заместителей;
R6 и R7 являются одинаковыми или различными и представляют каждый атом водорода или группу, выбранную из группы а заместителей;
при условии, что когда R5 представляет атом водорода, то Y не является одинарной связью или неразветвленной C1-С10алкиленовой группой;
группа а заместителей состоит из атома галогена, низшей алкильной группы, галогенированной низшей алкильной группы, низшей алкоксигруппы, низшей алкилтиогруппы, карбоксильной группы, низшей алкоксикарбонильной группы, гидроксильной группы, низшей алифатической ацильной группы, аминогруппы, низшей моноалкиламиногруппы, низшей диалкиламиногруппы, низшей алифатической ациламиногруппы, цианогруппы и нитрогруппы;
группа b заместителей состоит из циклоалкильной группы, арильной группы, гетероциклической группы, циклоалкильной группы, замещенной 1-3 заместителями, выбранными из группы а заместителей, арильной группы, замещенной 1-3 заместителями, выбранными из группы а заместителей, и гетероциклической группы, замещенной 1-3 заместителями, выбранными из группы а заместителей.
Из указанных соединений, описанных в пункте (1), предпочтительные соединения включают:
(2) соединение по пункту (1), где указанное соединение имеет формулу (Iа), его фармакологически приемлемая соль, сложный эфир или другое его производное
(3) соединение по пункту (1), где указанное соединение имеет формулу (Ib), его фармакологически приемлемая соль, сложный эфир или другое его производное
(4) соединение по любому из пунктов (1)-(3), где R1 и R2 являются одинаковыми или различными и представляют каждый атом водорода, низшую алкоксикарбонильную группу, аралкилоксикарбонильную группу или аралкилоксикарбонильную группу, замещенную 1-3 заместителями, выбранными из группы а заместителей, или его фармакологически приемлемая соль;
(5) соединение по любому из пунктов (1)-(3), где каждый из R1 и R2 представляет атом водорода, или его фармакологически приемлемая соль;
(6) соединение по любому из пунктов (1)-(5), где R3 представляет атом водорода, низшую алкильную группу, низшую алифатическую ацильнуго группу, ароматическую ацильную группу или ароматическую ацильную группу, замещенную 1-3 заместителями, выбранными из группы а заместителей, или его фармакологически приемлемая соль;
(7) соединение по любому из пунктов (1)-(5), где R3 представляет атом водорода, или его фармакологически приемлемая соль;
(8) соединение по любому из пунктов (1)-(7), где R4 представляет С1-С4алкильную группу, или его фармакологически приемлемая соль;
(9) соединение по любому из пунктов (1)-(7), где R4 представляет C1-С2алкильную группу, или его фармакологически приемлемая соль;
(10) соединение по любому из пунктов (1)-(7), где R4 представляет метильную группу, или его фармакологически приемлемая соль;
(11) соединение по любому из пунктов (1)-(10), где п равно 2 или 3, или его фармакологически приемлемая соль;
(12) соединение по любому из пунктов (1)-(10), где п равно 2, или его фармакологически приемлемая соль;
(13) соединение по любому из пунктов (1)-(12), где Х представляет этиленовую группу, этиниленовую группу, арильную группу или арильную группу, замещенную 1-3 заместителями, выбранными из группы а заместителей, или его фармакологически приемлемая соль;
(14) соединение по любому из пунктов (1)-(12), где Х представляет этиленовую группу, или его фармакологически приемлемая соль;
(15) соединение по любому из пунктов (1)-(12), где Х представляет этиниленовую группу, или его фармакологически приемлемая соль;
(16) соединение по любому из пунктов (1)-(12), где Х представляет группу формулы -D-CH2-, или его фармакологически приемлемая соль;
(17) соединение по любому из пунктов (1)-(12), где Х представляет группу формулы -D-CH2– (где D представляет карбонильную группу или группу формулы -СН(ОН)-), или его фармакологически приемлемая соль;
(18) соединение по любому из пунктов (1)-(17), где Y представляет C1-С10алкиленовую группу или C1-С10алкиленовую группу, замещенную 1-3 заместителями, выбранными из групп а и b заместителей, или его фармакологически приемлемая соль;
(19) соединение по любому из пунктов (1)-(17), где Y представляет C1-С6алкиленовую группу или C1-С6алкиленовую группу, замещенную 1-3 заместителями, выбранными из групп а и b заместителей, или его фармакологически приемлемая соль;
(20) соединение по любому из пунктов (1)-(17), где Y представляет этиленовую группу, триметиленовую группу, тетраметиленовую группу, этиленовую группу, замещенную 1-3 заместителями, выбранными из групп а и b заместителей, триметиленовую группу, замещенную 1-3 заместителями, выбранными из групп а и b заместителей, или тетраметиленовую группу, замещенную 1-3 заместителями, выбранными из групп а и b заместителей, или его фармакологически приемлемая соль;
(21) соединение по любому из пунктов (1)-(17), где Y представляет этиленовую группу, триметиленовую группу или тетраметиленовую группу, или его фармакологически приемлемая соль;
(22) соединение по любому из пунктов (1)-(17), где Y представляет этиленовую группу или триметиленовую группу, или его фармакологически приемлемая соль;
(23) соединение по любому из пунктов (1)-(17), где Y представляет C1-С10алкиленовую группу, содержащую атом кислорода или атом серы в указанной углеродной цепи или на конце указанной углеродной цепи, или C1-С10алкиленовую группу, замещенную 1-3 заместителями, выбранными из групп а и b заместителей, и содержащую атом кислорода или атом серы в указанной углеродной цепи или на конце указанной углеродной цепи, или его фармакологически приемлемая соль;
(24) соединение по любому из пунктов (1)-(17), где Y представляет C1-С10алкиленовую группу, содержащую атом кислорода или атом серы в указанной углеродной цепи или на конце указанной углеродной цепи, или его фармакологически приемлемая соль;
(25) соединение по любому из пунктов (1)-(17), где Y представляет C1-С10алкиленовую группу, содержащую атом кислорода в указанной углеродной цепи или на конце указанной углеродной цепи, или его фармакологически приемлемая соль;
(26) соединение по любому из пунктов (1)-(17), где Y представляет C1-C6 алкиленовую группу, содержащую атом кислорода в указанной углеродной цепи или на конце указанной углеродной цепи, или его фармакологически приемлемая соль;
(27) соединение по любому из пунктов (1)-(17), где Y представляет группу формулы -О-СН2-, -O-(СН2)2-, -O-(СН2)3-, -СН2-O-, -(СН2)2-O- или -(СН2)3-O-, или его фармакологически приемлемая соль;
(28) соединение по любому из пунктов (1)-(17), где Y представляет группу формулы -СН2-O-, или его фармакологически приемлемая соль;
(29) соединение по любому из пунктов (1)-(17), где Y представляет группу формулы -O-(СН2)2– или (СН2)2-O-, или его фармакологически приемлемая соль;
(30) соединение по любому из пунктов (1)-(29), где R5 представляет атом водорода, или его фармакологически приемлемая соль;
(31) соединение по любому из пунктов (1)-(29), где R5 представляет циклоалкильную группу, гетероцикличесую группу, циклоалкильную группу, замещенную 1-3 заместителями, выбранными из групп а и b заместителей, или гетероциклическую группу, замещенную 1-3 заместителями, выбранными из групп а и b заместителей, или его фармакологически приемлемая соль;
(32) соединение по любому из пунктов (1)-(29), где R5 представляет циклоалкильную группу или циклоалкильную группу, замещенную 1-3 заместителями, выбранными из групп а и b заместителей, или его фармакологически приемлемая соль;
(33) соединение по любому из пунктов (1)-(29), где R5 представляет циклоалкильную группу, или его фармакологически приемлемая соль;
(34) соединение по любому из пунктов (1)-(29), где R5 представляет циклогексильную группу, или его фармакологически приемлемая соль;
(35) соединение по любому из пунктов (1)-(29), где R5 представляет арильную группу или арильную группу, замещенную 1-3 заместителями, выбранными из групп а и b заместителей, или его фармакологически приемлемая соль;
(36) соединение по любому из пунктов (1)-(29), где R5 представляет арильную группу или арильную группу, замещенную 1-3 заместителями (указанный заместитель выбран из группы, состоящей из атома галогена, низшей алкильной группы, галогенированной низшей алкильной группы, низшей алкоксигруппы, низшей алкилтиогруппы и низшей алифатической ацильной группы), или его фармакологически приемлемая соль;
(37) соединение по любому из пунктов (1)-(29), где R5 представляет арильную группу или арильную группу, замещенную 1-3 заместителями (указанный заместитель выбран из группы, состоящей из атома галогена, низшей алкильной группы, галогенированной низшей алкильной группы, низшей алкоксигруппы и низшей алифатической ацильной группы), или его фармакологически приемлемая соль;
(38) соединение по любому из пунктов (1)-(29), где R5 представляет фенильную группу или фенильную группу, замещенную 1-3 заместителями (указанный заместитель выбран из группы, состоящей из атома галогена, низшей алкильной группы, галогенированной низшей алкильной группы, низшей алкоксигруппы и низшей алифатической ацильной группы), или его фармакологически приемлемая соль;
(39) соединение по любому из пунктов (1)-(29), где R5 представляет фенильную группу или фенильную группу, замещенную 1-3 заместителями (указанный заместитель выбран из группы, состоящей из атома фтора, атома хлора, метила, трифторметила, метокси и ацетильной групы), или его фармакологически приемлемая соль;
(40) соединение по любому из пунктов (1)-(29), где R5 представляет фенил, 3-фторфенил, 4-фторфенил, 3,4-дифторфенил, 3,5-дифторфенил, 3-хлорфенил, 4-хлорфенил, 3,4-дихлорфенил, 3,5-дихлорфенил, 3-метилфенил, 4-метилфенил, 3,4-диметилфенил, 3,5-диметилфенил, 3-трифторметилфенил, 4-трифторметилфенил, 3,4-дитрифторметилфенил, 3,5-дитрифторметилфенил, 3-метоксифенил, 4-метоксифенил, 3,4-диметоксифенил, 3,5-диметоксифенил, 3,4,5-триметоксифенил, 3-ацетилфенил или 4-ацетилфенил, или его фармакологически приемлемая соль;
(41) соединение по любому из пунктов (1)-(40), где R6 и R7 являются одинаковыми или различными и представляют каждый атом водорода, атом галогена, низшую алкильную группу, галогенированную низшую алкильную группу, низшую алкоксигруппу или низшую алкилтиогруппу, или его фармакологически приемлемая соль;
(42) соединение по любому из пунктов (1)-(40), где каждый из R6 и R7 представляет атом водорода, или его фармакологически приемлемая соль;
(43) соединение по пункту (1), где указанное соединение, его фармакологически приемлемая соль, сложный эфир или другое его производное выбрано из следующих соединений, включающих:
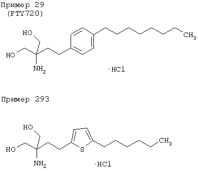
2-амино-2-метил-4-[5-(6-циклогексилгексил)тиофен-2-ил]бутан-1-ол,
2-амино-2-метил-4-[5-(5-циклогексилпентил)тиофен-2-ил]бутан-1-ол,
2-амино-2-метил-4-[5-(4-циклогексилбутил)тиофен-2-ил]бутан-1-ол,
2-амино-2-метил-4-[5-(6-циклогексилгекс-1-инил)тиофен-2-ил]бутан-1-ол,
2-амино-2-метил-4-[5-(5-циклогексилпент-1-инил)тиофен-2-ил]бутан-1-ол,
2-амино-2-метил-4-[5-(4-циклогексилбут-1-инил)тиофен-2-ил]бутан-1-ол,
2-амино-2-метил-4-[5-(6-циклогексилгексаноил)тиофен-2-ил]бутан-1-ол,
2-амино-2-метил-4-[5-(5-циклогексилпентаноил)тиофен-2-ил]бутан-1-ол,
2-амино-2-метил-4-[5-(4-циклогексилбутаноил)тиофен-2-ил]бутан-1-ол,
2-амино-2-этил-4-[5-(6-циклогексилгексил)тиофен-2-ил]бутан-1-ол,
2-амино-2-этил-4-[5-(5-циклогексилпентил)тиофен-2-ил]бутан-1-ол,
2-амино-2-этил-4-[5-(4-циклогексилбутил)тиофен-2-ил]бутан-1-ол,
2-амино-2-этил-4-[5-(6-циклогексилгекс-1-инил)тиофен-2-ил]бутан-1-ол,
2-амино-2-этил-4-[5-(5-циклогексилпент-1-инил)тиофен-2-ил]бутан-1-ол,
2-амино-2-этил-4-[5-(4-циклогексилбут-1-инил)тиофен-2-ил]бутан-1-ол,
2-амино-2-этил-4-[5-(6-циклогексилгексаноил)тиофен-2-ил]бутан-1-ол,
2-амино-2-этил-4-[5-(5-циклогексилпентаноил)тиофен-2-ил]бутан-1-oл,
2-амино-2-этил-4-[5-(4-циклогексилбутаноил)тиофен-2-ил]бутан-1-ол,
2-амино-2-метил-4-[5-(6-фенилгексил)тиофен-2-ил]бутан-1-ол,
2-амино-2-метил-4-[5-(5-фенилпентил)тиофен-2-ил]бутан-1-ол,
2-амино-2-метил-4-[5-(4-фенилбутил)тиофен-2-ил]бутан-1-ол,
2-амино-2-метил-4-[5-(6-фенилгекс-1-инил)тиофен-2-ил]бутан-1-ол,
2-амино-2-метил-4-[5-(5-фенилпент-1-инил)тиофен-2-ил]бутан-1-ол,
2-амино-2-метил-4-[5-(4-фенилбут-1-инил)тиофен-2-ил]бутан-1-ол,
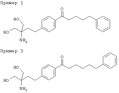
2-амино-2-метил-4-[5-(6-фенилгексаноил)тиофен-2-ил]бутан-1-ол,
2-амино-2-метил-4-[5-(5-фенилпентаноил)тиофен-2-ил]бутан-1-ол,
2-амино-2-метил-4-[5-(4-фенилбутаноил)тиофен-2-ил]бутан-1-ол
2-амино-2-метил-4-[5-(5-циклогексилоксипент-1-инил)тиофен-2-ил] бутан-1-ол,
2-амино-2-метил-4-[5-(4-циклогексилоксибут-1-инил)тиофен-2-ил]бутан-1-ол,
2-амино-2-метил-4-[5-(3-циклогексилоксипропинил)тиофен-2-ил]бутан-1-ол,
2-амино-2-метил-4-[5-(5-циклогексилоксипентил)тиофен-2-ил]бутан-1-ол,
2-амино-2-метил-4-[5-(4-циклогексилоксибутил)тиофен-2-ил]бутан-1-ол,
2-амино-2-метил-4-[5-(3-циклогексилоксипропил)тиофен-2-ил]бутан-1-ол,
2-амино-2-метил-4-[5-(5-циклогексилоксипентаноил)тиофен-2-ил]бутан-1-ол,
2-амино-2-метил-4-[5-(4-циклогексилоксибутаноил)тиофен-2-ил]бутан-1-ол,
2-амино-2-метил-4-[5-(3-циклогексилоксипропаноил)тиофен-2-ил]бутан-1-ол,
2-амино-2-метил-4-[5-(5-феноксипент-1-инил)тиофен-2-ил]бутан-1-ол,
2-амино-2-метил-4-[5-(4-феноксибут-1-инил)тиофен-2-ил]бутан-1-ол,
2-амино-2-метил-4-[5-(3-феноксипропинил)тиофен-2-ил]бутан-1-ол,
2-амино-2-метил-4-[5-(5-феноксипентил)тиофен-2-ил]бутан-1-ол
2-амино-2-метил-4-[5-(4-феноксибутил)тиофен-2-ил]бутан-1-ол,
2-амино-2-метил-4-[5-(3-феноксипропил)тиофен-2-ил]бутан-1-ол
2-амино-2-метил-4-[5-(5-феноксипентаноил)тиофен-2-ил]бутан-1-ол,
2-амино-2-метил-4-[5-(4-феноксибутаноил) тиофен-2-ил] бутан-1-ол,
2-амино-2-метил-4-[5-(3-феноксипропаноил)тиофен-2-ил]бутан-1-ол,
2-амино-2-метил-4-[5-(4-бензилоксифенил)тиофен-2-ил]бутан-1-ол,
2-амино-2-метил-4-[5-(4-циклогексилметоксифенил)тиофен-2-ил]бутан-1-ол,
2-амино-2-метил-4-[5-(4-циклогексилэтоксифенил)тиофен-2-ил]бутан-1-ол,
2-амино-2-метил-4-[5-(3-циклогексилметоксипропинил)тиофен-2-ил] бутан-1-ол,
2-амино-2-метил-4-[5-(3-циклогексилметоксипропил)тиофен-2-ил]бутан-1-ол и
2-амино-2-метил-4-[5-(3-циклогексилметоксипропаноил)тиофен-2-ил] бутан-1-ол;
(44) соединение по пункту (1), где указанное соединение, его фармакологически приемлемая соль, сложный эфир или другое его производное выбрано из следующих соединений, включающих:
2-амино-2-метил-4-[5-(4-циклогексилбутил)тиофен-2-ил]бутан-1-ол,
2-амино-2-метил-4-[5-(5-циклогексилпентил)тиофен-2-ил]бутан-1-ол,
2-амино-2-метил-4-[5-(5-фенилпентил)тиофен-2-ил]бутан-1-ол,
2-амино-2-метил-4-[5-(4-циклогексилоксибутил)тиофен-2-ил]бутан-1-ол,
2-амино-2-метил-4-{5-[4-(4-фторфенокси)бутил]тиофен-2-ил}бутан-1-ол,
2-амино-2-метил-4-{5-[4-(4-метоксифенокси)бутил]тиофен-2-ил}бутан-1-ол,
2-амино-2-метил-4-[5-(4-бензилоксибутил)тиофен-2-ил]бутан-1-ол,
2-амино-2-метил-4-[5-(4-циклогексилбут-1-инил)тиофен-2-ол]бутан-1-ол,
2-амино-2-метил-4-[5-(4-фенилбут-1-инил)тиофен-2-ил]бутан-1-ол,
2-амино-2-метил-4-[5-(5-циклогексилпент-1-инил)тиофен-2-ил]бутан-1-ол,
2-амино-2-метил-4-[5-(5-фенилпент-1-инил)тиофен-2-ил]бутан-1-ол,
2-амино-2-метил-4-{5-[5-(4-фторфенил)пент-1-инил]тиофен-2-ил}бутан-1-ол,
2-амино-2-метил-4-{5-[5-(4-метоксифенил)пент-1-инил]тиофен-2-ил}бутан-1-ол,
2-амино-2-метил-4-{5-[3-(4-метилциклогексилокси)пропинил]тиофен-2-ил}бутан-1-ол,
2-амино-2-метил-4-{5-[3-(4-метилфенокси)пропинил]тиофен-2-ил}бутан-1-ол,
2-амино-2-метил-4-{5-[3-(4-этилфенокси)пропинил]тиофен-2-ил}бутан-1-ол,
2-амино-2-метил-4-{5-[3-(4-метилтиофенокси)пропинил]тиофен-2-ил}бутан-1-ол,
2-амино-2-метил-4-[5-(4-циклогексилоксибут-1-инил)тиофен-2-ил]бутан-1-ол,
2-амино-2-метил-4-{5-[4-(4-фторфенокси)бут-1-инил]тиофен-2-ил}бутан-1-ол,
2-амино-2-метил-4-{5-[4-(4-метилфенокси)бут-1-инил]тиофен-2-ил}бутан-1-ол,
2-амино-2-метил-4-[5-(3-циклогексилметоксипропинил)тиофен-2-ил]бутан-1-ол,
2-амино-2-метил-4-[5-(4-фенилметоксибут-1-инил)тиофен-2-ил]бутан-1-ол,
2-амино-2-метил-4-[5-(4-циклогексилбутаноил)тиофен-2-ил]бутан-1-ол,
2-амино-2-метил-4-[5-(4-фенилбутаноил)тиофен-2-ил]бутан-1-ол
2-амино-2-метил-4-[5-(5-циклогексилпентаноил)тиофен-2-ил]бутан-1-ол,
2-амино-2-метил-4-[5-(5-фенилпентаноил)тиофен-2-ил]бутан-1-ол,
2-амино-2-метил-4-{5-[5-(4-фторфенил)пентаноил]тиофен-2-ил}бутан-1-ол,
2-амино-2-этил-4-[5-(5-циклогексилпентил)тиофен-2-ил]бутан-1-ол,
2-амино-2-этил-4-[5-(5-циклогексилпент-1-инил)тиофен-2-ил]бутан-1-ол,
2-амино-2-этил-4-[5-(5-циклогексилпентаноил)тиофен-2-ил]бутан-1-ол,
2-амино-2-метил-4-{5-[3-(4-хлорфенокси)пропинил]тиофен-2-ил}бутан-1-ол,
2-амино-2-метил-4-{5-[3-(3-метилфенокси)пропинил]тиофен-2-ил}бутан-1-ол,
2-амино-2-метил-4-{5-[3-(3,4-диметилфенокси)пропинил]тиофен-2-ил}бутан-1-ол,
2-амино-2-метил-4-{5-[3-(3-метоксифенокси)пропинил]тиофен-2-ил }бутан-1-ол,
2-амино-2-метил-4-{5-[3-(3,4-диметоксифенокси)пропинил]тиофен-2-ил}бутан-1-ол,
2-амино-2-метил-4-{5-[3-(3,5-диметоксифенокси)пропинил]тиофен-2-ил}бутан-1-ол,
2-амино-2-метил-4-{5-[3-(3-ацетилфенокси)пропинил]тиофен-2-ил}бутан-1-ол и
2-амино-2-метил-4-{5-[3-(4-ацетилфенокси)пропинил]тиофен-2-ил}бутан-1-ол.
Предпочтительные соединения формулы (I) включают также соединения, содержащие комбинацию одной группы, выбранной из каждой из групп, состоящих из (2) и (3), (4) и (5), (6) и (7), (8)-(10), (11) и (12), (13)-(17), (18)-(29), (30)-(40) и (41) и (42).
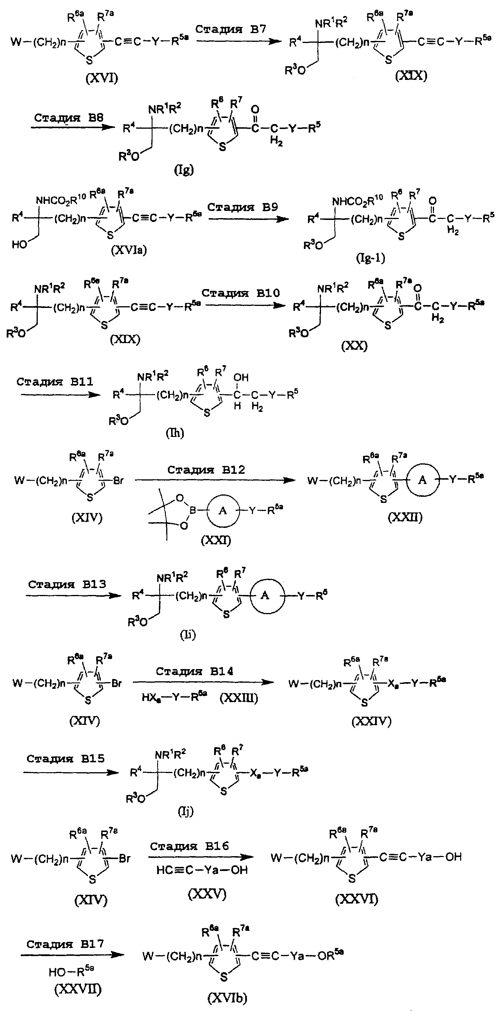
(45) Настоящее изобретение включает оптически активное производное аминоспирта формулы (La) или (Lb):
где R1 и R2 являются одинаковыми или различными и представляет каждый атом водорода или аминозащитную группу;
R3a представляет атом водорода или гидроксизащитную группу или, когда R1 представляет атом водорода, R2 и R3а, взятые вместе, образуют группу формулы -(С=O)-;
R4а представляет С1-С20алкильную группу, С2-С20алкильную группу, прерванную гетероатомом(ами), С1-С20алкильную группу, замещенную арильной группой(ами) или гетероарильной группой (ами), С2-С20алкинильную группу, С3-С20алкинильную группу, прерванную гетероатомом(ами), С2-С20алкинильную группу, замещенную арильной группой(ами) или гетероарильной группой (ами), С2-С20алкенильную группу, С3-С20алкенильную группу, прерванную гетероатомом(ами), С2-С20алкенильную группу, замещенную арильной группой(ами) или гетероарильной группой(ами), С2-С20алкильную группу, замещенную арильной группой(ами) или гетероарильной группой(ами) и прерванную гетероатомом(ами), или циклоалкильную группу;
m представляет целое число от 0 до 4;
Аr представляет арильную группу, гетероарильную группу, арильную группу, замещенную 1-5 заместителями, выбранными из группы а заместителей, гетероарильную группу, замещенную 1-5 заместителями, выбранными из группы а заместителей, при условии, что когда Аr представляет арильную группу, то R1 не является атомом водорода и R2 и/или R3а не представляют атом водорода;
группа а заместителей включает атом галогена, низшую алкильную группу, галогенированную низшую алкильную группу, низшую алкоксигруппу, низшую алкилтиогруппу, карбоксильную группу, низшую алкоксикарбонильную группу, гидроксильную группу, низшую алифатическую ацильную группу, аминогруппу, низшую моноалкиламиногруппу, низшую диалкиламиногруппу, низшую алифатическую ациламиногруппу, цианогруппу и нитрогруппу.
Предпочтительные соединения формулы (La) или (Lb) включают следующие соединения:
(46) соединение по пункту (45), где указанное соединение имеет формулу (La);
(47) соединение по пункту (45) или (46), где R1 представляет атом водорода;
(48) соединение по любому из пунктов (45)-(47), где R2 и R3а, взятые вместе, образуют группу формулы -(С=O)-;
(49) соединение по любому из пунктов (45)-(47), где R3а представляет атом водорода;
(50) соединение по любому из пунктов (45)-(49), где R4а представляет C1-С10алкильную группу, С2-С10 алкильную группу, прерванную гетероатомом(ами), C1-С10алкильную группу, замещенную арильной группой(ами) или гетероарильной группой(ами), С2-С10алкинильную группу, С3-С10алкинильную группу, прерванную гетероатомом(ами), С2-С10алкинильную группу, замещенную арильной группой(ами) или гетероарильной группой(ами), С2-С10алкенильную группу, С3-С10алкенильную группу, прерванную гетероатомом(ами), С2-С10алкенильную группу, замещенную арильной группой(ами) или гетероарильной группой(ами), С2-С10алкильную группу, замещенную арильной группой(ами) или гетероарильной группой(ами) и прерванную гетероатомом(ами), или С5-С10циклоалкильную группу;
(51) соединение по любому из пунктов (45)-(49), где R4а представляет C1-С10алкильную группу, С2-С10алкильную группу, прерванную гетероатомом(ами), С1-С10алкильную группу, замещенную арильной группой(ами) или гетероарильной группой(ами), С2-С10алкинильную группу, С2-С10алкенильную группу или С5-С10циклоалкильную группу;
(52) соединение по любому из пунктов (45)-(49), где R4a представляет C1-С10алкильную группу;
(53) соединение по любому из пунктов (45)-(49), где R4a представляет С1-С6алкильную группу;
(54) соединение по любому из пунктов (45)-(49), где R4a представляет метильную группу или этильную группу;
(55) соединение по любому из пунктов (45)-(54), где Аr представляет фенильную, фурильную, тиенильную или бензотиенильную группу, причем указанные группы являются необязательно замещенными 1-4 заместителями, выбранными из группы а заместителей;
(56) соединение по любому из пунктов (45)-(54), где Аr представляет тиенильную группу или тиенильную группу, замещенную 1-4 заместителями, выбранными из группы а заместителей;
(57) соединение по любому из пунктов (45)-(54), где Аr представляет бензотиенильную группу или бензотиенильную группу, замещенную 1-4 заместителями, выбранными из группы а заместителей;
(58) соединение по пунктам (45)-(57), где m равно 0;
(59) соединение по любому из пунктов (45)-(57), где группа а заместителей представляет собой атом галогена, гидроксильную группу, низшую алкильную группу, галогенированную низшую алкильную группу, низшую алкоксигруппу, карбоксильную группу, низшую алифатическую ацильную группу, низшую алифатическую ациламиногруппу, аминогруппу, цианогруппу или нитрогруппу;
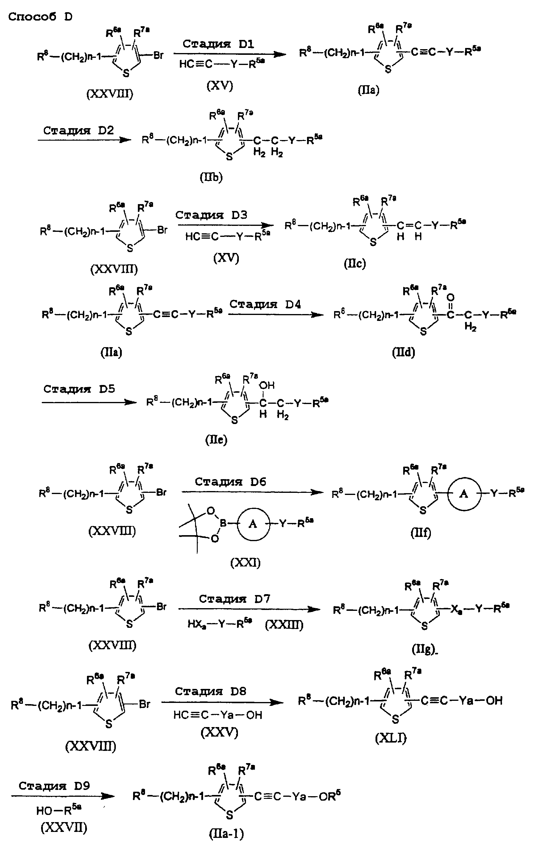
(60) Настоящее изобретение относится к способу получения соединения формулы (XLIVa) или (XLIVb):
где R1 и R2 являются одинаковыми или различными и представляют каждый атом водорода или аминозащитную группу;
R4а представляет С1-С20алкильную группу, С2-С20алкильную группу, прерванную гетероатомом(ами), С1-С20алкильную группу, замещенную арильной группой(ами) или гетероарильной группой (ами), С2-С20алкинильную группу, С3-С20алкинильную группу, прерванную гетероатомом(ами), С2-С20алкинильную группу, замещенную арильной группой(ами) или гетероарильной группой (ами), С2-С20алкенильную группу, С3-С20алкенильную группу, прерванную гетероатомом(ами), С2-С20алкенильную группу, замещенную арильной группой(ами) или гетероарильной группой(ами), С2-С20алкильную группу, замещенную арильной группой(ами) или гетероарильной группой(ами) и прерванную гетероатомом(ами), или циклоалкильную группу; и
R11 имеет такое же значение, как указанно выше для R4a.
Способ включает проведение реакции избирательного ацилирования одной гидроксильной группы 2-замещенного производного 2-амино-1,3-пропандиола формулы (XLII)
(где R1, R2 и R4a имеют указанные выше значения)
с производным сложного эфира карбоновой кислоты формулы (XLIII)
R11COOCH=CH2 (XLIII)
(где R11 имеет указанные выше значения)
в присутствии липазы с получением 2-замещенного производного сложного моноэфира 2-амино-1,3-пропандиола формулы (XLIVa) или (XLIVb);
(61) способ получения по пункту (60), где один из R1 и R2 представляет атом водорода, а другой – аминозащитную группу;
(62) способ получения по пункту (60) или (61), где R4a представляет C1-С10алкильную группу, С2-С10алкильную группу, прерванную гетероатомом(ами), C1-С10алкильную группу, замещенную арильной группой(ами) или гетероарильной группой(ами), С2-С10алкинильную группу, С3-С10алкинильную группу, прерванную гетероатомом(ами), С2-С10алкинильную группу, замещенную арильной группой (ами) или гетероарилыюй группой(ами), С2-С10алкенильную группу, С3-С10алкенильную группу, прерванную гетероатомом(ами), С2-С10алкенильную группу, замещенную арильной группой(ами) или гетероарильной группой(ами), С2-С10алкильную группу, замещенную арильной группой(ами) или гетероарильной группой(ами) и прерванную гетероатомом(ами), или С5-С10циклоалкильную группу;
(63) способ получения по пункту (60) или (61), где R4a представляет C1-С10алкильную группу, С2-С10алкильную группу, прерванную гетероатомом(ами), C1-С10алкильную группу, замещенную арильной группой(ами) или гетероарильной группой(ами), С2-С10алкинильную группу, С2-С10алкенильную группу или С5-С10циклоалкильную группу;
(64) способ получения по пунктам (60) или (63), где R11 представляет С1-С20алкильную группу или С1-С20алкильную группу, замещенную арильной группой(ами) или гетероарильной группой (ами).
В приведенных выше формулах “арильная группа” и “арильная часть” арильной группы, замещенной 1-3 заместителями, выбранными из группы а заместителей, арильной группы, замещенной 1-3 заместителями, выбранными из групп а и b заместителей, и арильной группы, замещенной 1-5 заместителями, выбранными из группы а заместителей в определении X, R5, Аr и группы b заместителей, представляют собой каждая, например, ароматическую углеводородную группу, имеющую 6-10 углеродных атомов, такую как фенильная, инденильная и нафтильная группы, предпочтительно фенильная или нафтильная группа, а наиболее предпочтительно фенильная группа.
В приведенных выше формулах “алкиленовая группа” и “алкиленовая часть” C1-С10алкиленовой группы, замещенной 1-3 заместителями, выбранными из группы а заместителей в определении Y, означают, каждая, неразветвленный или разветвленный алкилен, имеющий 1-10 углеродных атомов, такой как метилен, метилметилен, этилен, пропилен, триметилен, 1-метилэтилен, тетраметилен, 1-метилтриметилен, 2-метилтриметилен, 3-метилтриметилен, 1-метилпропилен, 1,1-диметилэтилен, пентаметилен, 1-метилтетраметилен, 2-метилтетраметилен, 3-метилтетраметилен, 4-метилтетраметилен, 1,1-диметилтриметилен, 2,2-диметилтриметилен, 3,3-диметилтриметилен, гексаметилен, 1-метилпентаметилен, 2-метилпентаметилен, 3-метилпентаметилен, 4-метилпентаметилен, 5-метилпентаметилен, 1,1-диметилтетраметилен, 2,2-диметилтетраметилен, 3,3-диметилтетраметилен, 4,4-диметилтетраметилен, гептаметилен, 1-метилгексаметилен, 2-метилгексаметилен, 5-метилгексаметилен, 3-этилпентаметилен, октаметилен, 2-метилгептаметилен, 5-метилгептаметилен, 2-этилгексаметилен, 2-этил-3-метилпентаметилен, 3-этил-2-метилпентаметилен, нонаметилен, 2-метилоктаметилен, 7-метилоктаметилен, 4-этилгептаметилен, 3-этил-2-метилгексаметилен, 2-этил-1-метилгексаметилен, декаметилен, предпочтительно С1-С6алкилен, более предпочтительно С1-С5алкилен, еще более предпочтительно этилен, триметилен или тетраметилен, и наиболее предпочтительно этилен или триметилен.
В приведенных выше формулах “C1-С10алкиленовая группа, содержащая атом кислорода или атом серы в указанной углеродной цепи или на конце указанной углеродной цепи” и “C1-С10алкиленовая часть, содержащая атом кислорода или атом серы в указанной углеродной цепи или на конце указанной углеродной цепи” C1-С10алкиленовой группы, замещенной 1-3 заместителями, выбранными из групп а и b заместителей, и содержащей атом кислорода или атом серы в указанной углеродной цепи или на конце указанной углеродной цепи, в определении Y представляют собой указанную выше C1-С10алкиленовую группу, содержащую атом кислорода или атом серы в указанной углеродной цепи или на конце указанной углеродной цепи, например, группу формулы -O-CH2-, -O-(СН2)2-, -O-(СН2)3-, -O-(CH2)4-, -O-(CH2)5-, -O-(СН2)6-, -O-(СН2)7-, -O-(СН2)8-, -O-(СН2)9-, -O-(СН2)10-, -СН2-O-СН2-, -СН2-О-(CH2)2-, -СН2-O-(СН2)3-, -СН2-O-(СН2)4-, -(CH2)2-O-CH2-, -(СН2)2-O-(СН2)2-, -(СН2)2-O-(СН2)3-, -(СН2)2-O-(СН2)4-, -(СН2)3-O-СН2-, -(СН2)3-O-(СН2)2-, -(СН2)3-O-(СН2)3-, -(СН2)4-O-СН2-, -(СН2)4-O-(СН2)2-, -(СН2)5-O-СН2-, -СН2-O-, -(СН2)2-O-, -(СН2)3-O-, -(СН2)4-O-, -(СН2)5-O-, -(СН2)6-O-, -(СН2)7-O-, -(СН2)8-O-, -(СН2)9-O-, -(СН2)10-O-, -S-CH2-, -S-(CH2)2-, -S-(СН2)3-, -S-(CH2)4-, -S-(CH2)5-, -S- (СН2)6-, -S-(CH2)7-, -S-(CH2)8-, -S-(CH2)9-, -S-(CH2)10-, -CH2-S- СН2-, -СН2-S-(СН2)2-, -СН2-S-(СН2)3-, -СН2-S-(СН2)4-, -(СН2)2-S-СН2-, -(СН2)2-S-(СН2)2-, -(СН2)2-S-(СН2)3-, -(СН2)2-S-(СН2)4-, -(СH2)3-S-СН2-, -(СН2)3-S-(СН2)2-, -(СН2)3-S-(СН2)3-, -(СН2)4-S-СН2-, -(СН2)4-S-(СН2)2-, -(СН2)5-S-СН2-, -СН2-S-, -(СН2)2-S-, -(СН2)3-S-, -(СН2)4-S-, -(CH2)5-S-, -(СН2)6-S-, -(СН2)7-S-, -(СН2)8-S-, -(СН2)9-S-,-(СН2)10-S-, предпочтительно C1-С6алкиленовую группу, содержащую атом кислорода или атом серы в указанной углеродной цепи или на конце указанной углеродной цепи, более предпочтительно -O-СН2-, -O-(СН2)2-, -O-(СН2)3-, -СН2-O-, -(СН2)2-O- или -(СН2)3-O-, а наиболее предпочтительно –СН2-О-, -O-(СН2)2– или -(СН2)2-O-.
В приведенных выше формулах “циклоалкильные группы” в группах b заместителей и “циклоалкильные части” циклоалкильной группы, замещенной 1-3 заместителями, выбранными из группы а заместителей, и циклоалкильной группы, замещенной 1-3 заместителями, выбранными из групп а и b заместителей, в определениях R4а, R5 и R11 содержат, каждая, насыщенное углеродное кольцо с 3-10 углеводородными атомами, необязательно сконденсированное с циклической группой(ами), такой как бензольное кольцо, например, циклопропил, циклобутил, циклопентил, циклогексил, циклогептил, норборнил, адамантил и инданил. Предпочтительной циклоалкильной группой в определении R5 и группе b заместителей является C5-С6циклоалкильная группа, а наиболее предпочтительной – циклогексильная группа. С другой стороны, предпочтительной циклоалкильной группой в определении R4a и R11 является С5-С10циклоалкильная группа.
В приведенных выше формулах “гетероарильная группа” и “гетероарильная часть” гетероарильной группы, замещенной 1-5 заместителями, выбранными из группы а заместителей в определении Ar, содержат каждая 5-7-членную гетероциклическую группу, содержащую 1-3 атома серы, атома кислорода и/или атома азота, например, фурил, тиенил, пирролил, азепинил, пиразолил, имидазолил, оксазолил, изоксазолил, тиазолил, изотиазолил, 1,2,3-оксадиазолил, триазолил, тетразолил, тиадиазолил, пиранил, пиридил, пиридазинил, пиримидинил и пиразинил.
Кроме того, указанная выше гетероарильная группа может быть, необязательно, конденсирована с циклической группой.
Примеры такой группы включают, например, бензотиенил, изобензофуранил, хроменил, ксантенил, феноксатиинил, индолизинил, изоиндолил, индолил, индазолил, пуринил, хинолизинил, изохинолил, хинолил, фталазинил, нафтилизинил, хиноксалинил, хиназолинил, карбазолил, карболинил, акридинил и изоиндолинил. Предпочтительными гетероарильными группами являются фурильная, тиенильная и бензотиенильная группа, а наиболее предпочтительной гетероарильной группой является тиенильная или бензотиенильная группа.
В приведенных выше формулах “гетероциклические группы” в определении R5 и группы b заместителей и “гетероциклическая часть” гетероциклической группы, замещенной 1-3 заместителями, выбранными из группы а заместителей, и гетероциклической группы, замещенной 1-3 заместителями, выбранными из групп а и b заместителей, представляют собой каждая 5-7-членную гетероциклическую группу, содержащую 1-3 атома серы, атом кислорода и/или атом азота, и примеры таких гетероциклических групп включают указанные выше гетероарильные группы и гетероциклические соединения, соответствующие частично или полностью гидрированным указанным выше гетероарильным группам, таким как тетрагидропиранил, морфолинил, тиоморфолинил, пирролидинил, пирролил, имидазолидинил, пиразолидинил, пиперидинил, пиперазинил, оксазолидинил, изоксазолидинил, тиазолидинил и пиразолидинил. Предпочтительными гетероциклическими группами являются 5- или 6-членные гетероарильные группы, а наиболее предпочтительной гетероциклической группой является морфолинильная, тиоморфолинильная или пиперидинильная группа.
В приведенных выше формулах “атом галогена” в определении группы а заместителей означает атом фтора, хлора, брома или иода, предпочтительно атом фтора или атом хлора и наиболее предпочтительно атом фтора.
В приведенных выше формулах “низшие алкильные группы” в определении R4 и группы а заместителей означают каждая, например, неразветвленную или разветвленную алкильную группу, имеющую 1-6 углеродных атомов, такую как метильная, этильная, пропильная, изопропильная, бутильная, изобутильная, вторбутильная, третбутильная, пентильная, изопентильная, 2-метилбутильная, неопентильная, 1-этилпропильная, гексильная, изогексильная, 4-метилпентильная, 3-метилпентильная, 2-метилпентильная, 1-метилпентильная, 3,3-диметилбутильная, 2,2-диметилбутильная, 1,1-диметилбутильная, 1,2-диметилбутильная, 1,3-диметилбутильная, 2,3-диметилбутильная, 1-этилбутильная или 2-этилбутильная группа, предпочтительно C1-C4 алкильную группу, более предпочтительно С1-С2алкильную группу и наиболее предпочтительно метильную группу.
В приведенных выше формулах “галогенированная низшая алкильная группа” в определении группы а заместителей представляет собой описанную выше низшую алкильную группу, замещенную атомом(ами) галогена, например, галогенированную 1-С6алкильную группу, такую как трифторметильная, трихлорметильная, дифторметильная, дихлорметильная, дибромметильная, фторметильная, 2,2,2-трифторэтильная, 2,2,2-трихлорэтильная, 2-бромэтильная, 2-хлорэтильная, 2-фторэтильная, 2-иодэтильная, 3-хлорпропильная, 4-фторбутильная, 6-иодгексильная или 2,2-диброметильная группа, предпочтительно галогенированную С1-С4алкильную группу, более предпочтительно галогенированную C1-С2алкильную группу и наиболее предпочтительно трифторметильную группу.
В приведенных выше формулах “низшая алкоксигруппа” в определении группы а заместителей представляет собой атом кислорода, присоединенный к описанной выше низшей алкильной группе, например, неразветвленную или разветвленную алкоксигруппу, имеющую 1-6 углеродных атомов, такую как метокси-, этокси-, пропокси-, изопропокси-, бутокси-, изобутокси-, втор-бутокси-, трет-бутокси-, пентокси-, изопентокси-, 2-метилбутокси, 1-этилпропокси-, 2-этилпропокси-, неопентокси-, гексилокси-, 4-метилпентокси-, 3-метилпентокси-, 2-метилпентокси-, 3,3-диметилбутокси-, 2,2-диметилбутокси-, 1,1-диметилбутокси-, 1,2-диметилбутокси-, 1,3-диметилбутокси- или 2,3-диметилбутоксигруппа, предпочтительно С1-С4алкоксигруппу, более предпочтительно С1-С2алкоксигруппу и наиболее предпочтительно метоксигруппу.
В приведенных выше формулах “низшая алкилтиогруппа” в определении группы а заместителей представляет собой атом серы, присоединенный к описанной выше низшей алкильной группе, например, алкилтиогруппу, имеющую 1-6 углеродных атомов, такую как метилтио-, этилтио-, пропилтио-, изопропилтио-, бутилтио-, изобутилтио-, вторбутилтио-, третбутилтио-, пентилтио-, изопентилтио-, 2-метилбутилтио-, неопентилтио-, гексилилтио-, 4-метилпентилтио-, 3-метилпентилтио-, 2-метилпентилтио-, 3,3-диметилбутилтио-, 2,2-диметилбутилтио-, 1,1-диметилбутилтио-, 1,2-диметилбутилтио-, 1,3-диметилбутилтио- или 2,3-диметилбутилтиогруппа, предпочтительно С1-С4алкилтиогруппу, более предпочтительно С1-С2алкилтиогруппу и наиболее предпочтительно метилтиогруппу.
В приведенных выше формулах “низшая алкоксикарбонильная группа” в определении группы а заместителей представляет собой карбонильную группу, присоединенную к описанной выше низшей алкоксигруппе, например, неразветвленную или разветвленную алкоксикарбонильную группу, имеющую 1-6 углеродных атомов, такую как метоксикарбонильная, этоксикарбонильная, пропоксикарбонильная, изопропоксикарбонильная, бутоксикарбонильная, изобутоксикарбонильная, вторбутоксикарбонильная, третбутоксикарбонильная, пентоксикарбонильная, изопентоксикарбонильная, 2-метилбутоксикарбонильная, неопентоксикарбонильная, гексилоксикарбонильная, 4-метилпентоксикарбонильная, 3-метилпентоксикарбонильная, 2-метилпентоксикарбонильная, 3,3-диметилбутоксикарбонильная, 2,2-диметилбутоксикарбонильная, 1,1-диметилбутоксикарбонильная, 1,2-диметилбутоксикарбонильная, 1,3-диметилбутоксикарбонильная или 2,3-диметилбутоксикарбонильная группа, предпочтительно С1-С4алкоксикарбонильную группу, более предпочтительно С1-С2алкоксикарбонильную группу и наиболее предпочтительно метоксикарбонильную группу.
В приведенных выше формулах “низшая алифатическая ацильная группа” в определении группы а заместителей представляет собой карбонильную группу, присоединенную к атому водорода или насыщенному или ненасыщенному углеводороду, например, неразветвленную или разветвленную низшую алифатическую ацильную группу, имеющую 1-7 углеродных атомов, такую как формильная, ацетильная, пропионильная, бутирильная, изобутирильная, валерильная, изовалерильная, пивалоильная, гексаноильная, акрилоильная, метакрилоильная или кротоноильная группа, предпочтительно C1-C4 низшую алифатическую группу, более предпочтительно ацетильную или пропионильную группу и наиболее предпочтительно ацетильную группу.
В приведенных выше формулах “низшая моноалкиламиногруппа” в определении группы а заместителей представляет собой аминогруппу, присоединенную к описанной выше одной алкильной группе, например, моно-С1-С6алкиламиногруппу, такую как метиламино-, этиламино-, пропиламино-, изопропиламино-, бутиламино-, изобутиламино-, вторбутиламино-, третбутиламино-, пентиламино-, изопентиламино-, 2-метилбутиламино-, неопентиламино-, 1-этилпропиламино-, гексиламино-, изогексиламино-, 4-метилпентиламино-, 3-метилпентиламино-, 2-метилпентиламино-, 1-метилпентиламино-, 3,3-диметилбутиламино-, 2,2-диметилбутиламино-, 1,1-диметилбутиламино-, 1,2-диметилбутиламино-, 1,3-диметилбутиламино-, 2,3-диметилбутиламино- или 2-этилбутиламиногруппа, предпочтительно С1-С4алкиламиногруппу, более предпочтительно C1-С2алкиламиногруппу и наиболее предпочтительно метиламиногруппу.
В приведенных выше формулах “низшая диалкиламиногруппа” в определении группы а заместителей представляет собой аминогруппу, присоединенную к двум алкильным группам, описанным выше, например, ди-С1-С6алкиламиногруппу, такую как диметиламино-, диэтиламино-, N-этил-N-метиламино-, дипропиламино-, дибутиламино-, дипентиламино- или дигексиламиногруппа, предпочтительно ди-С1-С4алкиламиногруппу, более предпочтительно ди-С1-С2алкиламиногруппу и наиболее предпочтительно диметиламиногруппу.
В приведенных выше формулах “низшая алифатическая ациламиногруппа” в определении группы а заместителей представляет собой, например, неразветвленную или разветвленную алифатическую ациламиногруппу, имеющую 1-7 углеродных атомов, такую как формиламино-, ацетиламино-, пропиониламино-, бутириламино-, изобутириламино-, валериламино-, изовалериламино-, пивалоиламино-, гексаноиламино-, акрилоиламино-, метакрилоиламино- или кротоноиламиногруппа, предпочтительно ацетиламино- или пропиониламиногруппу и наиболее предпочтительно ацетиламиногруппу.
В приведенных выше формулах “аминозащитные группы” в определении R1 и R2 означают каждая аминозащитную группу, известную специалистам в органическом синтезе, например, низшую алкильную группу, описанную выше; алифатическую ацильную группу, например, низшую алифатическую ацильную группу, описанную выше, галогенированную низшую алифатическую ацильную группу, такую как хлорацетил, дихлорацетил, трихлорацетил или трифторацетил, или низшую алифатическую ацильную группу, замещенную низшей алкоксигруппой, такую как метоксиацетил; ароматическую ацильную группу, например, ароматическую ацильную группу, такую как бензоил, 1-инданкарбонил, 2-инданкарбонил или 1- или 2-нафтоил, или ароматическую ацильную группу, замещенную 1-3 заместителями, выбранными из группы а заместителей, такую как 4-хлорбензоил, 4-фторбензоил, 2,4,6-триметилбензоил, 4-толуоил, 4-анизоил, 4-нитробензоил, 2-нитробензоил, 2-(метоксикарбонил)бензоил или 4-фенилбензоил; алкоксикарбонильную группу, например, низшую алкоксикарбонильную группу, описанную ранее, или низшую алкоксикарбонильную группу, замещенную атомом(ами) галогена или низшей триалкилсилильной группой(ами), такую как 2,2,2-трихлорэтоксикарбонил или 2-триметилсилилэтоксикарбонил; алкенилоксикарбонильную группу, такую как винилоксикарбонил или аллилоксикарбонил; аралкилоксикарбонильную группу, например, аралкилоксикарбонильную группу, такую как бензилоксикарбонильная группа, или аралкилоксикарбонильную группу, замещенную 1-3 заместителями, выбранными из группы а заместителей, такую как 4-метоксибензилоксикарбонил, 3,4-диметоксибензилоксикарбонил, 2- нитробензилоксикарбонил или 4-нитробензилоксикарбонил; силильную группу, например, низшую алкилсилильную группу, такую как триметилсилил, триэтилсилил, изопропилдиметилсилил, третбутилдиметилсилил, метилдиизопропилсилил, метилдитретбутилсилил или триизопропилсилил, силильную группу, тризамещеннуго арильной группой(ами) или арильной(ыми) и низшей алкильной(ыми) группой(ами), такую как дифенилметилсилил или дифенилбутилсилил, дифенилизопропилсилил, фенилдиизопропилсилил; аралкильную группу, например, низшую алкильную группу, замещенную 1-3 арильными группами, такую как бензил, фенетил, 3-фенилпропил, -нафтилметил, -нафтилметил, дифенилметил, трифенилметил, -нафтилдифенилметил или 9-антрилметил, или низшую алкильную группу, замещенную 1-3 замещенными арильными группами, где указанная арильная группа замещена низшим алкилом, низшим алкокси, нитро, галогеном или циано, такую как 4-метилбензил, 2,4,6-триметилбенэил, 3,4,5-триметилбензил, 4-метоксибензил, 4-метоксифенилдифенилметил, 2-нитробензил, 4-нитробензил, 4-хлорбензил, 4-бромбензил, 4-цианбензил, 4-цианбензилдифенилметил, бис(2-нитрофенил)метил или пиперонил; и замещенную метиленовую группу, которая образует основание Шиффа, такую как N,N-диметиламинометилен, бензилиден, 4-метоксибензилиден, 4-нитробензилиден, салицилиден, 5-хлорсалицилиден, дифенилметилен или (5-хлор-2-гидроксифенил)фенилметилен; предпочтительно низшую алкоксикарбонильную группу, аралкилоксикарбонильную группу или аралкилоксикарбонильную группу, замещенную 1-3 заместителями, выбранными из группы а заместителей.
“Гидроксизащитная группа” в определении R3 и R3а означает обычную защитную группу, которая может быть удалена химическим путем, таким как гидрогенолиз, гидролиз, электролиз, фотолиз, и защитную группу, которая может быть удалена биологическим путем, таким как гидролиз in vivo.
Примеры обычных защитных групп включают низшие алкильные группы, описанные выше; алифатические ацильные группы, описанные выше; ароматические ацильные группы, описанные выше; тетрагидропиранильную или тетрагидротиопиранильную группу, такую как тетрагидропиран-2-ил, 3-бромтетрагидропиран-2-ил или 4-метокситетрагидропиран-4-ил, тетрагидротиопиран-2-ил или 4-метокситетрагидротиопиран-4-ил; тетрагидрофуранильную или тетрагидротиофуранильную группу, такую как тетрагидрофуран-2-ил или тетрагидротиофуран-2-ил; силильные группы, описанные выше; алкоксиметильную группу, например, низшую алкоксилированную низшую алкоксиметильную группу, такую как метоксиметил, 1,1-диметил-3-метоксиметил, этоксиметил, пропоксиметил, изопропоксиметил, бутоксиметил или трет-бутоксиметил; низшую алкоксилированную алкоксиметильную группу, такую как 2-метоксиэтоксиметил, или галогенированную низшую алкоксиметильную группу, такую как 2,2,2-трихлорэтоксиметил или бис(2-хлорэтокси)метил; замещенную этильную группу, например, низшую алкоксилированную этильную группу, такую как 1-этоксиэтил или 1-(изопропокси)этил, или галогенированную этильную группу, такую как 2,2,2-трихлорэтил; аралкильные группы, описанные выше; алкоксикарбонильные группы, описанные выше; алкенилоксикарбонильную группу, описанную выше; и аралкилоксикарбонильную группу, описанную выше.
С другой стороны, примеры защитной группы, которая может быть удалена биологическим путем, таким как гидролиз in vivo, включают ацилоксиалкильную группу, такую как этилкарбонилоксиметил, пивалоилоксиметил, диметиламиноацетилоксиметил или 1-ацетоксиэтил;
1-(алкоксикарбонилокси)алкильнуго группу, такую как 1-(метоксикарбонилокси)этил, 1-(этоксикарбонилокси)этил, этоксикарбонилоксиметил, 1-(изопропоксикарбонилокси)этил, 1-(третбутоксикарбонилокси)этил, 1-(этоксикарбонилокси)пропил или 1-(циклогексилоксикарбонилокси)этил; фталидильную группу; карбонилоксиалкильную группу, например, оксодиоксоленилметильную группу, такую как 4-метилоксодиоксоленилметил или 4-фенилоксодиоксоленилметил; алифатические ацильные группы, описанные выше; ароматические ацильные группы, описанные выше; остаточную группу сложного полуэфира янтарной кислоты; остаточную группу сложного эфира фосфорной кислоты; остаточную группу образования сложного эфира аминокислоты; карбамоильную группу; алкилиденовую группу, такую как бензилиден; алкоксиэтилиденовую группу, такую как метоксиэтилиден или этоксиэтилиден; защитную группу двух гидроксильных групп, такую как оксометилен или оксоэтилен; и карбонилоксиалкилоксикарбонильную группу, такую как пивалоилоксиметилоксикарбонил.
Имеет ли соединение формулы (I) такую группу, можно определить следующим образом. Исследуемое производное вводят внутривенно животному для испытаний, такому как крыса или мышь, и затем исследуют жидкости организма указанного животного. Если в указанных жидкостях обнаруживают исходное соединение указанного производного или фармацевтически приемлемую соль исходного соединения, то считают, что исследуемое производное имеет защитную группу, которая может быть удалена биологическим путем. Примерами такой гидроксизащитной группы предпочтительно являются низшая алкильная группа, низшая алифатическая ацильная группа, ароматическая ацильная группа или ароматическая ацильная группа, замещенная 1-3 заместителями, выбранными из группы а заместителей.
В приведенных выше формулах типичными примерами “циклоалкильной группы, замещенной 1-3 заместителями, выбранными из групп а и b заместителей”, в определении R5 являются, например, 2-фторциклопропильная, 2-хлорциклопропильная, 2- или 3-фторциклопентильная, 2- или 3-хлорциклопентильная, 2-, 3- или 4-фторциклогексильная, 2-, 3- или 4-хлорциклогексильная, 2-, 3- или 4-бромциклогексильная, 2-, 3- или 4-иодциклогексильная, 2-метилциклопропильная, 2-этилциклопропильная, 2- или 3-метилциклопентильная, 2- или 3-этилциклопентильная, 2-, 3- или 4-метилциклогексильная, 2-, 3- или 4-этилциклогексильная, 2-трифторметилциклопропильная, 2- или 3-трифторметилциклобутильная, 2- или 3-трифторметилциклопентильная, 2-, 3— или 4-трифторметилциклогексильная, 2-метоксициклопропильная, 2- или 3-метоксициклобутильная, 2- или 3-метоксициклопентильная, 2-, 3- или 4-метоксициклогексильная, 2-, 3- или 4-этоксициклогексильная, 2-, 3- или 4-пропоксициклогексильная, 2-, 3- или 4-изопропоксициклогексильная, 2-, 3- или 4-(1-этилпропокси)циклогексильная, 2-, 3- или 4-(2-этилпропокси)циклогексильная, 2-карбоксициклопропильная, 2- или 3-карбоксициклопентильная, 2-, 3- или 4-карбоксициклогексильная, 2-метоксикарбонилциклопропильная, 2- или 3-метоксикарбонилциклопентильная, 2-, 3- или 4-метоксикарбонилциклогексильная, 2-гидроксициклопропильная, 2- или 3-гидроксициклопентильная, 2-, 3- или 4-гидроксициклогексильная, 2-формилциклопропильная, 2- или 3-формилциклопентильная, 2-, 3- или 4-формилциклогексильная, 2-ацетилциклопропильная, 2- или 3-ацетилциклопентильная, 2-, 3- или 4-ацетилциклогексильная, 2-аминоциклопропильная, 2- или 3-аминоциклопентильная, 2-, 3- или 4-аминоциклогексильная, 2-метиламиноциклопропильная, 2- или 3-метиламиноциклобутильная, 2- или 3-метиламиноциклопентильная, 2-, 3- или 4-метиламиноциклогексильная, 2-диметиламиноциклопропильная, 2- или 3-диметиламиноциклобутильная, 2- или 3-диметиламиноциклопентильная, 2-, 3- или 4-диметиламиноциклогексильная, 2-цианциклопропильная, 2- или 3-цианциклопентильная, 2-, 3- или 4-цианциклогексильная, 2- или 3-циклогексилциклопентильная, 2-, 3- или 4-циклогексилциклогексильная, 2-фенилциклопропильная, 2- или 3-фенилциклопентильная, 2-, 3- или 4-фенилциклогексильная, 3,4-дифторциклогексильная, 3,4-дихлорциклогексильная, 2,3-диметоксициклогексильная, 3,4-диметоксициклогексильная, 3,5-диметоксициклогексильная или 3,4,5-триметоксициклогексильная группа; предпочтительно циклоалкильная группа, замещенная 1-3 заместителями (указанный заместитель выбран из группы, состоящей из атома галогена, низшей алкильной группы, галогенированной низшей алкильной группы, низшей алкоксигруппы, низшей алкилтиогруппы и низшей алифатической ацильной группы), более предпочтительно циклоалкильная группа, замещенная 1-3 заместителями (указанный заместитель выбран из группы, состоящей из атома галогена, низшей алкильной группы, галогенированной низшей алкильной группы, низшей алкоксигруппы и низшей алифатической ацильной группы), еще более предпочтительно циклогексильная группа, замещенная 1-3 заместителями (указанный заместитель выбран из группы, состоящей из атома галогена, низшей алкильной группы, галогенированной низшей алкильной группы, низшей алкоксигруппы и низшей алифатической ацильной группы), наиболее предпочтительно циклогексильная группа, замещенная 1-3 заместителями (указанный заместитель выбран из группы, состоящей из атома фтора, атома хлора и метильной, трифторметильной, метокси- и ацетильной групп).
В приведенных выше формулах типичными примерами “арильной группы, замещенной 1-3 заместителями, выбранными из групп а и b заместителей”, в определении R5 являются, например, 2-, 3- или 4-фторфенильная, 2-, 3- или 4-хлорфенильная, 2-, 3- или 4-бромфенильная, 2-, 3- или 4-иодфенильная, 2-, 3- или 4-метилфенильная, 2-, 3- или 4-этилфенильная, 2-, 3- или 4-пропилфенильная, 2-, 3- или 4-бутилфенильная, 2-, 3- или 4-фенилпентильная, 2-, 3- или 4-трифторметилфенильная, 2-, 3- или 4-метоксифенильная, 2-, 3- или 4-этоксифенильная, 2-, 3- или 4-пропоксифенильная, 2-, 3- или 4-изопропоксифенильная, 2-, 3- или 4-бутоксифенильная, 2-, 3- или 4-(1-этилпропокси)фенильная, 2-, 3- или 4-(2-этилпропокси) фенильная, 2-, 3- или 4-метокситиофенильная, 2-, 3- или 4-этилтиофенильная, 2-, 3- или 4-карбоксифенильная, 2-, 3- или 4-метоксикарбонилфенильная, 2-, 3- или 4-этоксикарбонилфенильная, 2-, 3- или 4-гидроксифенильная, 2-, 3- или 4-формилфенильная, 2-, 3- или 4-ацетилфенильная, 2-, 3- или 4-аминофенильная, 2-, 3- или 4-метиламинофенильная, 2-, 3- или 4-диметиламинофенильная, 2-, 3- или 4-цианфенильная, 2-, 3- или 4-циклопентилфенильная, 2-, 3- или 4-циклогексилфенильная, 2-, 3- или 4-бифенильная, 2,4-дифторфенильная, 3,4-дифторфенильная, 3,5-дифторфенильная, 2,4-дихлорфенильная, 3,4-дихлорфенильная, 3,5-дихлорфенильная, 3,4-дибромфенильная, 2,3-диметилфенильная, 3,4-диметилфенильная, 3,5-диметилфенильная, 2,3-диметоксифенильная, 3,4-диметоксифенильная, 3,5-диметоксифенильная, 3,4,5-триметоксифенильная, 3-фтор-4-метоксифенильная, 4-метил-2-метоксифенильная, 6-фтор-4-метил-2-метоксифенильная, 5-фторинден-3-ильная, 5-фторинден-3-ильная, 5-метилинден-3-ильная, 5-метоксиинден-3-ильная, 5-фторинден-2-ильная, 5-хлоринден-2-ильная, 5-метилинден-2-ильная, 5-метоксиинден-2-ильная, 5-гидроксиинден-3-ильная, 5-нитроинден-3-ильная, 5-циклогексилинден-3-ильная, 5-фенилинден-3-ильная, 5-феноксиинден-3-ильная, 5-бензилоксиинден-3-ильная, 5-фенилтиоинден-3-ильная, 5-гидроксиинден-2-ильная, 5-нитроинден-2-ильная, 5-циклогексилинден-2-ильная, 5-фенилинден-2-ильная, 5-фторнафталин-2-ильная, 5-метилнафталин-2-ильная, 5-метоксинафталин-2-ильная, 5-фторнафталин-1-ильная, 5-метилнафталин-1-ильная, 5-метоксинафталин-1-ильная, 5-гидроксинафталин-2-ильная, 5-нитронафталин-2-ильная, 5-циклогексилнафталин-2-ильная, 5-фенилнафталин-2-ильная, 5-феноксинафталин-2-ильная, 5-бензилоксинафталин-2-ильная, 5-фенилтионафталин-2-ильная, 5-гидроксинафталин-1-ильная, 5-нитронафталин-1-ильная, 5-циклогексилнафталин-1-ильная или 5-фенилнафталин-1-ильная группа; предпочтительно арильная группа, замещенная 1-3 заместителями (указанный заместитель выбран из группы, состоящей из атома галогена, низшей алкильной группы, галогенированной низшей алкильной группы, низшей алкоксигруппы, низшей алкилтио группы и низшей алифатической ацильной группы), более предпочтительно арильная группа, замещенная 1-3 заместителями (указанный заместитель выбран из группы, состоящей из атома галогена, низшей алкильной группы, галогенированной низшей алкильной группы, низшей алкоксигруппы и низшей алифатической ацильной группы), более предпочтительно фенильная группа, замещенная 1-3 заместителями (указанный заместитель выбран из группы, состоящей из атома галогена, низшей алкильной группы, галогенированной низшей алкильной группы, низшей алкоксигруппы и низшей алифатической ацильной группы), еще более предпочтительно фенильная группа, замещенная 1-3 заместителями (указанный заместитель выбран из группы, состоящей из атома фтора, атома хлора и метильной, трифторметильной, метокси-и ацетильной групп) и наиболее предпочтительно 3-фторфенильная, 4-фторфенильная, 3,4-дифторфенильная, 3,5-дифторфенильная, 3-хлорфенильная, 4-хлорфенильная, 3,4-дихлорфенильная, 3,5-дихлорфенильная, 3-метилфенильная, 4-метилфенильная, 3,4-диметилфенильная, 3,5-диметилфенильная, 3-трифторметилфенильная, 4-трифторметилфенильная, 3,4-дитрифторметилфенильная, 3,5-дитрифторметилфенильная, 3-метоксифенильная, 4-метоксифенильная, 3,4-диметоксифенильная, 3,5-диметоксифенильная, 3,4,5-триметоксифенильная, 3-ацетилфенильная или 4-ацетилфенильная группа.
В приведенных выше формулах типичными примерами “гетероциклической группы, замещенной 1-3 заместителями, выбранными из групп а и b заместителей”, в определении R5 являются, например, 3-, 4- или 5-метилфуран-2-ильная, 2-, 4- или 5-метилфуран-3-ильная, 3-, 4- или 5-фтортиофен-2-ильная, 2-, 4- или 5-фторфуран-3-ильная, 3-, 4- или 5-бромтиофен-2-ильная, 2-, 4- или 5-бромфуран-3-ильная, 3-, 4- или 5-метилтиофен-2-ильная, 2-, 4- или 5-метилтиофен-3-ильная, 3-, 4- или 5-этилтиофен-2-ильная, 2-, 4- или 5-этилтиофен-3-ильная, 3-, 4- или 5-метокситиофен-2-ильная, 2-, 4- или 5-метокситиофен-3-ильная, 3- или 4-метилтиазол-5-ильная, 3-, 4- или 5-фторбензотиофен-2-ильная, 3-, 4- или 5-бромбензотиофен-2-ильная, 3-, 4- или 5-метилбензотиофен-2-ильная, 3-, 4- или 5-метоксибензотиофен-2-ильная, 2-, 4- или 5-фторбензотиофен-3-ильная, 2-, 4- или 5-бромбензотиофен-3-ильная, 2-, 4- или 5-метилбензотиофен-3-ильная, 2-, 4- или 5-метоксибензотиофен-3-ильная, 4-, 5-, 6- или 7-метилбензотиофен-2-ильная, 3-, 4- или 5-гидроксифуран-2-ильная, 2-, 4- или 5-гидроксифуран-3-ильная, 3-, 4- или 5-гидрокситиофен-2-ильная, 3-, 4- или 5-нитротиофен-2-ильная, 3-, 4- или 5-фенилтиофен-2-ильная, 2-, 4- или 5-гидрокситиофен-3-ильная, 2-, 4- или 5-циантиофен-3-ильная, 1-, 2- или 3-гидроксипиридин-4-ильная, 1-, 2- или 3-цианпиридин-4-ильная или 1-, 2- или 3-фенилпиридин-4-ильная группа, предпочтительно 3-, 4- или 5-фтортиофен-2-ильная или 3-, 4- или 5-фторфуран-3-ильная группа.
В приведенных выше формулах примерами “С1-С20алкильных групп”, в определении R4а и R11 являются, например, неразветвленная или разветвленная алкильная группа, имеющая 1-20 углеродных атомов, такая как описанные выше низшие алкильные группы, гептильная, 1-метилгексильная, 2-метилгексильная, 3-метилгексильная, 4-метилгексильная, 5-метилгексильная, 1-пропилбутильная, 4,4-диметилпентильная, октильная, 1-метилгептильная, 2-метилгептильная, 3-метилгептильная, 4-метилгептильная, 5-метилгептильная, 6-метилгептильная, 1-пропилпентильная, 2-этилгексильная, 5,5-диметилгексильная, нонильная, 3-метилоктильная, 4-метилоктильная, 5-метилоктильная, 6-метилоктильная, 1-пропилгексильная, 2-этилгептильная, 6,6-диметилгептильная, децильная, 1-метилнонильная, 3-метилнонильная, 8-метилнонильная, 3-этилоктильная, 3,7-диметилоктильная, 7,7-диметилоктильная, ундецильная, 4,8-диметилнонильная, додецильная, тридецильная, тетрадецильная, пентадецильная, 3,7,11-триметилдодецильная, гексадецильная, 4,8,12-триметилтридецильная, 1-метилпентадецильная, 14-метилпентадецильная, 13,13-диметилтетрадецильная, гептадецильная, 15-метилгексадецильная, октадецильная, 1-метилгептадецильная, нонадецильная, икозильная и 3,7,11,15-тетраметилгексадецильная группа, предпочтительно 1-С10алкильная группа, более предпочтительно C1-С6алкильная группа и наиболее предпочтительно метильная или этильная группа.
В приведенных выше формулах “С2-С20алкильная группа, прерванная гетероатомом(ами)” в определении R4а и R11 представляет С2-С20алкильные группы, которые описаны выше и которые прерваны 1 или 2 одинаковыми или различными гетероатомами, такими как атом серы, атом кислорода или атом азота. Примеры таких групп включают алкильную группу, которая имеет 2-20 углеродных атомов и прервана одним или двумя атомами серы, такую как метилтиометил, 1-метилтиоэтил, 2-метилтиоэтил, этилтиометил, 1-метилтиопропил, 2-метилтиопропил, 3-метилтиопропил, 2-этилтиоэтил, 2-метил-2-метилтиоэтил, 1-метилтиобутил, 2-метилтиобутил, 3-метилтиобутил, 2-этилтиопропил, 3-метил-3-метилтиопропил, 4-мeтилтиопeнтил, 3-метилтиопентил, 2-метилтиопентил, 3-метилтиопентил, 3,3-диметилтиобутил, 2,2-диметилтиобутил, 1,1-димeтилтиoбутил, 1-метил-2-метилтиобутил, 1,3-диметилтиобутил, 2,3-диметилтиобутил, 2-этилтиобутил, 1-метилтиогексил, 2-метилтиогексил, 3-метилтиогексил, 4-метилтиогексил, 5-метилтиогексил, 1-пропилтиобутил, 4-метил-4-метилтиопентил, 1-метилтиогептил, 2-мeтилтиoгeптил, 3-метилтиогептил, 4-метилтиогептил, 5-метилтиогептил, 6-метилтиогептил, 1-пропилтиопентил, 2-этилтиогексил, 5-метил-5-метилтиогексил, 3-метилтиооктил, 4-метилтиооктил, 5-метилтиооктил, 6-метилтиооктил, 1-пропилтиогексил, 2-этилтиогептил, 6-метил-6-метилтиогептил, 1-метилтиононил, 3-метилтиононил, 8-метилтиононил, 3-этилтиооктил, 3-метил-7-метилтиооктил, 1, 7-диметилтиооктил, 4-метил-8-метилтиононил, 3,7-диметил-11-метилтиододецил, 4,8-диметил-12-метилтиотридецил, 1-метилтиопентадецил, 14-метилтиопентадецил, 13-метил-13-метилтиотетрадецил, 15-метилтиогексадецил, 1-метилтиогептадецил и 3,7,11-триметил-15-метилтиогексадецил; алкильную группу, которая имеет 2-20 углеродных атомов и прервана одним или двумя атомами кислорода, такую как метилоксиметил, 1-метилоксиэтил, 2-метилоксиэтил, этилоксиметил, 1-метилоксипропил, 2-метилоксипропил, 3-метилоксипропил, 2-этилоксиэтил, 2-метил-2-метилоксиэтил, 1-метилоксибутил, 2-метилоксибутил, 3-метилоксибутил, 2-этилоксипропил, 3-метил-3-метилоксипропил, 4-метилоксипентил, 3-метилоксипентил, 2-метилоксипентил, 1-метилоксипентил, 3,3-диметилоксибутил, 2,2-диметилоксибутил, 1,1-диметилоксибутил, 1-метил-2-метилоксибутил, 1,3-диметилоксибутил, 2,3-диметилоксибутил, 2-этилоксибутил, 1-метилоксигексил, 2-метилоксигексил, 3-метилоксигексил, 4-метилоксигексил, 5-метилоксигексил, 1-пропилоксибутил, 4-метил-4-метилоксипентил, 1-метилоксигептил, 2-метилоксигептил, 3-метилоксигептил, 4-метилоксигептил, 5-метилоксигептил, 6-метилоксигептил, 1-пропилоксипентил, 2-этилоксигексил, 5-метил-5-метилоксигексил, 3-метилоксиоктил, 4-метилоксиоктил, 5-метилоксиоктил, 6-метилоксиоктил, 1-пропилоксигексил, 2-этилоксигептил, 6-метил-6-метилоксигептил, 1-метилоксинонил, 3-метилоксинонил, 8-метилоксинонил, 3-этилоксиоктил, 3-метил-7-метилоксиоктил, 7,7-диметилоксиоктил, 4-метил-8-метилоксинонил, 3,7-диметил-11-метилоксидодецил, 4,8-диметил-12-метилокситридецил, 1-метилоксипентадецил, 14-метилоксипентадецил, 13-метил-13-метилокситетрадецил, 15-метилоксигексадецил, 1-метилоксигептадецил и 3,1,11-триметил- 15-метилоксигексадецил; алкильную группу, которая имеет 1-20 углеродных атомов и прервана одним или двумя атомами азота, такую как N-метиламинометил, 1-(N-метиламино)этил, 2-(N-метиламино)этил, N-этиламинометил, 1-(N-метиламино)пропил, 2-(N-метиламино)пропил, 3-(N-метиламино)пропил, 2-(N-этиламино)этил, 2-(N,N-диметиламино)этил, 1-(N-метиламино)бутил, 2-(N-метиламино)бутил, 3-(N-метиламино)бутил, 2-(N-этиламино)пропил, 3-(N,N-диметиламино)пропил, 4-(N-метиламино)пентил, 3-(N-метиламино)пентил, 2-(N-метиламино)пентил,
1-(N-метиламино)пентил, 3-(N,N-диметиламино) бутил,
2-(N,N-диметиламино)бутил, 1-(N,N-диметиламино)бутил,
1-метил-2-(N-метиламино)бутил, 1,3-ди(N-метиламино)бутил,
2,3-ди(N-метиламино)бутил, 2-(N-эгиламино)бутил,
1-(N-метиламино)гексил, 2-(N-метиламино)гексил,
3-(N-метиламино)гексил, 4-(N-метиламино)гексил,
5-(N-метиламино)гексил, 1-(N-пропиламино)бутил,
4-метил-4-(N-метиламино)пентил, 1-(N-метиламино)гептил,
2-(N-метиламино)гептил, 3-(N-метиламино)гептил,
4-(N-метиламино)гептил, 5-(N-метиламино)гептил,
6-(N-метиламино)гептил, 1-(N-пропиламино)пентил,
2-(N-этиламино)гексил, 5-метил-5-(N-метиламино)гексил,
3-(N-метиламино)октил, 4-(N-метиламино)октил,
5-(N-метиламино)октил, 6-(N-метиламино)октил,
1-(N-пропиламино)гексил, 2-(N-этиламино)гептил,
6-метил-6-(N-метиламино)гептил, 1-(N-метиламино)нонил,
3-(N-метиламино)нонил, 8-(N-метиламино)нонил,
3-(N-этиламино)октил, 3-метил-7-(N-метиламино)октил,
7,7-ди(N-метиламино)октил, 4-метил-8-(N-метиламино)нонил,
3,7-диметил-11-(N-метиламино)додецил,
4,8-диметил-12-(N-метиламино)додецил,
1-(N-метиламино)пентадецил, 14-(N-метиламино)пентадецил,
13-метил-13-(N-метиламино)тетрадецил,
15-(N-метиламино)гексадецил, 1-(N-метиламино)гептадецил и
3,7,11-триметил-15-(N-метиламино)гексадецил, предпочтительно
C2-С10алкильную группу, прерванную гетероатомом(ами).
В приведенных выше формулах “С1-С20алкильная группа, замещенная арильной группой(ами) или гетероарильной группой (ами)”, в определении R4a и R11 представляет описанные выше С1-С20алкильные группы, замещенные 1-3 одинаковыми или различными арильными группами, описанными выше, или одинаковыми или различными гетероарильными группами, описанными выше.
В приведенных выше формулах “С2-С20алкинильная группа” в определении R4a и R11 содержит, например, неразветвленную или разветвленную алкинильную группу, имеющую 2-20 углеродных атомов, такую как этинильная, 2-пропинильная, 1-метил-2-пропинильная, 2-бутинильная, 1-метил-2-бутинильная, 1-этил-2-бутинильная, 3-бутинильная, 1-метил-3-бутинильная, 2-метил-3-бутинильная, 1-этил-3-бутинильная, 2-пентинильная, 1-метил-2-пентинильная, 3-пентинильная, 1-метил-3-пентинильная, 2-метил-3-пентинильная, 4-пентинильная, 1-метил-4-пентинильная, 2-метил-4-пентинильная, 2-гексинильная, 3-гексинильная, 4-гексинильная, 5-гексинильная, гептинильная, 1-метилгексинильная, 2-метилгексинильная, 3-метилгексинильная, 4-метилгексинильная, 5-метилгексинильная, 1-пропилбутинильная, 4,4-диметилпентинильная, октинильная, 1-метилгептинильная, 2-метилгептинильная, 3-метилгептинильная, 4-метилгептинильная, 5-метилгептинильная, 6-метилгептинильная, 1-пропилпентинильная, 2-этилгексинильная, 5,5-диметилгексинильная, нонинильная, 3-метилоктинильная, 4-метилоктинильная, 5-метилоктинильная, 6-метилоктинильная, 1-пропилгексинильная, 2-этилгептинильная, 6,6-диметилгептинильная, децинильная, 1-метилнонинильная, 3-метилнонинильная, 8-метилнонинильная, 3-этилоктинильная, 3,7-диметилоктинильная, 7,7-диметилоктинильная, ундецинильная, 4,8-диметилнонинильная, додецинильная, тридецинил, тетрадецинильная, пентадецинильная, 3,7,11-триметилдодецинильная, гексадецинильная, 4,8,12-триметилтридецинильная, 1-метилпентадецинильная, 14-метилпентадецинильная, 13,13-диметилтетрадецинильная, гептадецинильная, 15-метилгексадецинильная, октадецинильная, 1-метилгептадецинильная, нонадецинильная, икозинильная или 3,7,11,15-тетраметилгексадецинильная группа, предпочтительно С2-С10алкильную группу.
В приведенных выше формулах “С3-С20алкинильная группа, прерванная гетероатомом(ами)”, в определении R4a и R11 представляет С3-С20алкинильные группы, которые описаны выше и которые прерваны 1 или 2 одинаковыми или различными гетероатомами, такими как атом серы, атом кислорода или атом азота. Примеры таких групп включают алкинильную группу, которая имеет 3-20 углеродных атомов и прервана одним или двумя атомами серы, такую как 1-метилтиоэтинил, 2-метилтиоэтинил, 1-метилтиопропинил, 2-метилтиопропинил, 3-метилтиопропинил, 2-этилтиоэтинил, 2-метил-2-метилтиоэтинил, 1-метилтиобутинил, 2-метилтиобутинил, 3-метилтиобутинил, 2-этилтиопропинил, 3-метил-3-метилтиопролинил, 4-метилтиопентинил, 3-метилтиопентинил, 2-метилтиопентинил, 1-метилтиопентинил, 3,3-диметилтиобутинил, 2,2-диметилтиобутинил, 1,1-диметилтиобутинил, 1-метил-2-метилтиобутинил, 1,3-диметилтиобутинил, 2,3-диметилтиобутинил, 2-этилтиобутинил, 1-метилтиогексинил, 2-метилтиогексинил, 3-метилтиогексинил, 4-метилтиогексинил, 5-метилтиогексинил, 1-пропилтиобутинил, 4-метил-4-метилтиопентинил, 1-метилтиогептинил, 2-метилтиогептинил, 3-метилтиогептинил, 4-метилтиогептинил, 5-метилтиогептинил, 6-метилтиогептинил, 1-пропилтиопентинил, 2-этилтиогексинил, 5-метил-5-метилтиогексинил, 3-метилтиооктинил, 4-метилтиооктинил, 5-метилтиооктинил, 6-метилтиооктинил, 1-пропилтиогексинил, 2-этилтиогептинил, 6-метил-6-метилтиогептинил, 1-метилтиононинил, 3-метилтиононинил, 8-метилтиононинил, 3-этилтиооктинил, 3-метил-7-метилтиооктинил, 7,7-диметилтиооктинил, 4-метил-8-метилтиононинил, 3,7-диметил-11-метилтиододецинил, 4,8-диметил-12-метилтиотридецинил, 1-метилтиопентадецинил, 14-метилтиопентадецинил, 13-метил-13-метилтиотетрадецинил, 15-метилтиогексадецинил, 1-метилтиогептадецинил и 3,7,11-триметил-15-метилтиогексадецинил; алкинильную группу, которая имеет 3-20 углеродных атомов и прервана одним или двумя атомами кислорода, такую как 1-метилоксиэтинил, 2-метилоксиэтинил, 1-метилоксипропинил, 2-метилоксипропинил, 3-метилоксипропинил, 2-этилоксиэтинил, 2-метил-2-метилоксиэтинил, 1-метилоксибутинил, 2-метилоксибутинил, 3-метилоксибутинил, 2-этилоксипропинил, 3-метил-3-метилоксипропинил, 4-метилоксипентинил, 3-метилоксипентинил, 2-метилоксипентинил, 1-метилоксипентинил, 3,3-диметилоксибутинил, 2,2-диметилоксибутинил, 1,1-диметилоксибутинил, 1-метил-2-метилоксибутинил, 1,3-диметилоксибутинил, 2,3-диметилоксибутинил, 2-этилоксибутинил, 1-метилоксигексинил, 2-метилоксигексинил, 3-метилоксигексинил, 4-метилоксигексинил, 5-метилоксигексинил, 1-пропилоксибутинил, 4-метил-4-метилоксипентинил, 1-метилоксигептинил, 2-метилоксигептинил, 3-метилоксигептинил, 4-метилоксигептинил, 5-метилоксигептинил, 6-метилоксигептинил, 1-пропилоксипентинил, 2-этилоксигексинил, 5-метил-5-метилоксигексинил, 3-метилоксиоктинил, 4-метилоксиоктинил, 5-метилоксиоктинил, 6-метилоксиоктинил, 1-пропилоксигексинил, 2-этилоксигептинил, 6-метил-6-метилоксигептинил, 1-метилоксинонинил, 3-метилоксинонинил, 8-метилоксинонинил, 3-этилоксиоктинил, 3-метил-7-метилоксиоктинил, 7,7-диметилоксиоктинил, 4-метил-8-метилоксинонинил, 3,7-диметил-11-метилоксидодецинил, 4,8-диметил-12-метилокситридецинил, 1-метилоксипентадецинил, 14-метилоксипентадецинил, 13-метил-13-метилокситетрадецинил, 15-метилоксигексадецинил, 1-метилоксигептадецинил и 3,7,11-триметил-15-метилоксигексадецинил; алкинильную группу, которая имеет 3-20 углеродных атомов и прервана одним или двумя атомами азота, такую как 1-(N-метиламино)этинил, 2-(N-метиламино)этинил,
1-(N-метиламино)пропинил, 2-(N-метиламино)пропинил,
3-(N-метиламино)пропинил, 2-(N-этиламино)этинил,
2-(N,N-диметиламино)-этинил, 1-(N-метиламино)бутинил,
2-(N-метиламино)бутинил, 3-(N-метиламино)бутинил,
2-(N-этиламино)пропинил, 3-(N,N-диметиламино)пропинил,
4-(N-метиламино)пентинил, 3-(N-метиламино)пентинил,
2-(N-метиламино)пентинил, 1-(N-метиламино)пентинил,
3-(N,N-диметиламино) бутинил, 2-(N,N-диметиламино) бутинил,
1-(N,N-диметиламино)бутинил, 1-метил-2-(N-метиламино)бутинил,
1,3-ди(N-метиламино)бутинил, 2,3-ди(N-метиламино)бутинил,
2-(N-этиламино)бутинил, 1-(N-метиламино)гексинил,
2-(N-метиламино)гексинил, 3-(N-метиламино)гексинил,
4-(N-метиламино)гексинил, 5-(N-метиламино)гексинил,
1-(N-пропиламино)бутинил, 4-метил-4-(N-метиламино)пентинил,
1-(N-метиламино)гептинил, 2-(N-метиламино)гептинил,
3-(N-метиламино)гептинил, 4-(N-метиламино)гептинил,
5-(N-метиламино)гептинил, 6-(N-метиламино)гептинил,
1-(N-пропиламино)пентинил, 2-(N-этил-амино)гексинил,
5-метил-5-(N-метиламино)гексинил, 3-(N-метиламино)октинил,
4-(N-метиламино)октинил, 5-(N-метиламино)октинил,
6-(N-метиламино)октинил, 1-(N-пропиламино)гексинил,
2-(N-этиламино)гептинил, 6-метил-6-(N-метиламино)гептинил,
1-(N-метиламино)нонинил, 3-(N-метиламино)нонинил,
8-(N-метиламино)нонинил, 3-(N-этиламино)октинил,
3-метил-7-(N-метиламино)октинил, 7,7-ди(N-метиламино)октинил,
4-метил-8-(N-метиламино)нонинил,
3,7-диметил-11-(N-метиламино)додецинил,
4,8-диметил-12-(N-метиламино)тридецинил,
1-(N-метиламино)пентадецинил, 14-(N-метиламино)пентадецинил,
13-метил-13-(N-метиламино)тетрадецинил,
15-(N-метиламино)гексадецинил, 1-(N-метиламино)гептадецинил
3,7,11-триметил-15-(N-метиламино)гексадецинил, предпочтительно
С3-С10алкинильную группу, прерванную гетероатомом(ами).
В приведенных выше формулах “С2-С20алкинильная группа, замещенная арильной группой(ами) или гетероарильной группой (ами)”, в определении R4а и R11 представляет описанные выше С2-С20алкинильные группы, замещенные 1-3 одинаковыми или различными арильными группами, описанными выше, или гетероарильными группами, описанными выше.
В приведенных выше формулах “С2-С20алкенильная группа” в определении R4a и R11 содержит, например, неразветвленную или разветвленную алкенильную группу, имеющую 2-20 углеродных атомов, такую как этенильная, 2-пропенильная, 1-метил-2-пропенильная, 2-мeтил-2-пpoпeнильнaя, 2-этил-2-пропенильная, 2-бутенильная, 1-метил-2-бутенильная, 2-метил-2-бутенильная, 1-этил-2-бутенильная, 3-бутенильная, 1-метил-3-бутенильная, 2-метил-3-бутенильная, 1-этил-3-бутенильная, 2-пентенильная, 1-метил-2-пентенильная, 2-метил-2-пентенильная, 3-пентенильная, 1-метил-3-пентенильная, 2-метил-3-пентенильная, 4-пентенильная, 1-метил-4-пентенильная, 2-метил-4-пентенильная, 2-гексенильная, 3-гексенильная, 4-гексенильная, 5-гексенильная, гептенильная, 1-метилгексенильная, 2-метилгексенильная, 3-метилгексенильная, 4-метилгексенильная, 5-метилгексенильная, 1-пропилбутенильная, 4,4-диметилпентенильная, октенильная, 1-метилгептенильная, 2-метилгептенильная, 3-метилгептенильная, 4-метилгептенильная, 5-метилгептенильная, 6-метилгептенильная, 1-пропилпентенильная, 2-этилгексенильная, 5,5-диметилгексенильная, ноненильная, 3-метилоктенильная, 4-метилоктенильная, 5-метилоктенильная, 6-метилоктенильная, 1-пропилгексенильная, 2-этилгептенильная, 6,6-диметилгептенильная, деценильная, 1-метилноненильная, 3-метилноненильная, 8-метилноненильная, 3-этилоктенильная, 3,7-диметилоктенильная, 7,7-диметилоктенильная, ундеценильная, 4,8-диметилноненильная, додеценильная, тридеценил, тетрадеценильная, пентадеценильная, 3,7,11-триметилдодеценильная, гексадеценильная, 4,8,12-триметилтридеценильная, 1-метилпентадеценильная, 14-метилпентадеценильная, 13,13-диметилтетрадеценильная, гептадеценильная, 15-метилгексадеценильная, октадеценильная, 1-метилгептадеценильная, нонадеценильная, икозенильная и 3,7,11,15-тетраметилгексадеценильная группа, предпочтительно С2-С10алкенильную группу.
В приведенных выше формулах “С3-С20алкенильная группа, прерванная гетероатомом(ами)”, в определении R4a и R11 представляет С3-С20алкенильные группы, которые описаны выше и которые прерваны 1 или 2 одинаковыми или различными гетероатомами, такими как атом серы, атом кислорода или атом азота. Примеры таких групп включают алкенильную группу, которая имеет 3-20 углеродных атомов и прервана одним или двумя атомами серы, такую как 1-метилтиоэтенил, 2-метилтиоэтенил, 1-метилтиопропенил, 2-метилтиопропенил, 3-метилтиопропенил, 2-этилтиоэтенил, 2-метил-2-метилтиоэтенил, 1-метилтиобутенил, 2-метилтиобутенил, 3-метилтиобутенил, 2-этилтиопропенил, 3-метил-3-метилтиопропенил, 4-метилтиопентенил, 3-метилтиопентенил, 2-метилтиопентенил, 1-метилтиопентенил, 3,3-диметилтиобутенил, 2,2-диметилтиобутенил, 1,1-диметилтиобутенил, 1-метил-2-метилтиобутенил, 1,3-диметилтиобутенил, 2,3-диметилтиобутенил, 2-этилтиобутенил, 1-метилтиогексенил, 2-метилтиогексенил, 3-метилтиогексенил, 4-метилтиогексенил, 5-метилтиогексенил, 1-пропилтиобутенил, 4-метил-4-метилтиопентенил, 1-метилтиогептенил, 2-метилтиогептенил, 3-метилтиогептенил, 4-метилтиогептенил, 5-метилтиогептенил, 6-метилтиогептенил, 1-пропилтиопентенил, 2-этилтиогексенил, 5-метил-5-метилтиогексенил, 3-метилтиооктенил, 4-метилтиооктенил, 5-метилтиооктенил, 6-метилтиооктенил, 1-пропилтиогексенил, 2-этилтиогептенил, 6-метил-6-метилтиогептенил, 1-метилтиононенил, 3-метилтиононенил, 8-метилтиононенил, 3-этилтиооктенил, 3-метил-7-метилтиооктенил, 7,7-диметилтиооктенил, 4-метил-8-метилтиононенил, 3,7-диметил-11-метилтиододеценил, 4,8-диметил-12-метилтиотридеценил, 1-метилтиопентадеценил, 14-метилтиопентадеценил, 13-метил-13-метилтиотетрадеценил, 15-метилтиогексадеценил, 1-метилтиогептадеценил и 3,7,11-триметил-15-метилтиогексадеценил; алкенильную группу, которая имеет 3-20 углеродных атомов и прервана одним или двумя атомами кислорода, такую как 1-метилоксиэтенил, 2-метилоксиэтенил, 1-метилоксипропенил, 2-метилоксипропенил, 3-метилоксипропенил, 2-этилоксиэтенил, 2-метил-2-метилоксиэтенил, 1-метилоксибутенил, 2-метилоксибутенил, 3-метилоксибутенил, 2-этилоксипропенил, 3-метил-3-метилоксипропенил, 4-метилоксипентенил, 3-метилоксипентенил, 2-метилоксипентенил, 1-метилоксипентенил, 3,3-диметилоксибутенил, 2,2-диметилоксибутенил, 1,1-диметилоксибутенил, 1-метил-2-метилоксибутенил, 1,3-диметилоксибутенил, 2,3-диметилоксибутенил, 2-этилоксибутенил, 1-метилоксигексенил, 2-метилоксигексенил, 3-метилоксигексенил, 4-метилоксигексенил, 5-метилоксигексенил, 1-пропилоксибутенил, 4-метил-4-метилоксипентенил, 1-метилоксигептенил, 2-метилоксигептенил, 3-метилоксигептенил, 4-метилоксигептенил, 5-метилоксигептенил, 6-метилоксигептенил, 1-пропилоксипентенил, 2-этилоксигексенил, 5-метил-5-метилоксигексенил, 3-метилоксиоктенил, 4-метилоксиоктенил, 5-метилоксиоктенил, 6-метилоксиоктенил, 1-пропилоксигексенил, 2-этилоксигептенил, 6-метил-6-метилоксигептенил, 1-метилоксиноненил, 3-метилоксиноненил, 8-метилоксиноненил, 3-этилоксиоктенил, 3-метил-7-метилоксиоктенил, 7,7-диметилоксиоктенил, 4-метил-8-метилоксиноненил, 3,7-диметил-11-метилоксидодеценил, 4,8-диметил-12-метилокситридеценил, 1-метилоксипентадеценил, 14-метилоксипентадеценил, 13-метил-13-метилокситетрадеценил, 15-метилоксигексадеценил, 1-метилоксигептадеценил и 3,7, 11-триметил-15-метилоксигексадеценил; алкенильную группу, которая имеет 3-20 углеродных атомов и прервана одним или двумя атомами азота, такую как 1-(N-метиламино)этенил, 2-(N-метиламино)этенил,
1-(N-метиламино)пропенил, 2-(N-метиламино)пропенил,
3-(N-метиламино)пропенил, 2-(N-этиламино)этенил,
2-(N,N-диметиламино) этенил, 1-(N-метиламино)бутенил,
2-(N-метиламино) бутенил, 3-(N-метиламино)бутенил,
2-(N-этиламино)пропенил, 3-(N,N-диметиламино)пропенил,
4-(N-метиламино)пентенил, 3-(N-метиламино)пентенил,
2-(N-метиламино)пентенил, 1-(N-метиламино)пентенил,
3-(N,N-диметиламино) бутенил, 2-(N,N-диметиламино) бутенил,
1-(N,N-диметиламино)бутенил, 1-метил-2-(N-метиламино)бутенил,
1,3-ди(N-метиламино)бутенил, 2,3-ди(N-метиламино)бутенил,
2-(N-этиламино)бутенил, 1-(N-метиламино)гексенил,
2-(N-метиламино)гексенил, 3-(N-метиламино)гексенил,
4-(N-метиламино)гексенил, 5-(N-метиламино)гексенил,
1-(N-пропиламино)бутенил, 4-метил-4-(N-метиламино) пентенил,
1-(N-метиламино)гептенил, 2-(N-метиламино)гептенил,
3-(N-метиламино)гептенил, 4-(N-метиламино)гептенил,
5-(N-метиламино)гептенил, 6-(N-метиламино)гептенил,
1-(N-пропиламино)пентенил, 2-(N-этиламино)гексенил,
5-метил-5-(N-метиламино)гексенил, 3-(N-метиламино)октенил,
4-(N-метиламино)октенил, 5-(N-метиламино)октенил,
6-(N-метиламино)октенил, 1-(N-пропиламино)гексенил,
2-(N-этиламино)гептенил, 6-метил-6-(N-метиламино)гептенил,
1-(N-метиламино)ноненил, 3-(N-метиламино)ноненил,
8-(N-метиламино)ноненил, 3-(N-этиламино)октенил,
3-метил-7-(N-метиламино)октенил, 7,7-ди(N-метиламино)октенил,
4-метил-8-(N-метиламино)ноненил,
3,7-диметил-11-(N-метиламино)додеценил,
4,8-диметил-12-(N-метиламино)додеценил,
1-(N-метиламино)пентадеценил, 14-(N-метиламино)пентадеценил,
13-метил-13-(N-метиламино) тетрадеценил,
15-(N-метиламино)гексадеценил, 1-(N-метиламино)гептадеценил
3,7,11-триметил-15-(N-метиламино)гексадеценил, предпочтительно
С3-С10алкенильную группу, прерванную гетероатомом(ами).
В приведенных выше формулах “С2-С20алкенильная группа, замещенная арильной группой(ами) или гетероарильной группой(ами)”, в определении R4a и R11 представляет описанные выше С2-С20алкенильные группы, замещенные 1-3 одинаковыми или различными арильными группами, описанными выше, или гетероарильными группами, описанными выше.
В приведенных выше формулах “С2-С20алкильная группа, замещенная арильной группой(ами) или гетероарильной группой(ами) и прерванная гетероатомом(ами)”, в определении R4a и R11 представляет С2-С20алкильные группы, прерванные гетероатомом(ами), описанные выше, которые замещены 1-3 одинаковыми или различными арильными группами, описанными выше, или гетероарильными группами, описанными выше.
Липазу, используемую в настоящем изобретении, особо не ограничивают и предпочтительная липаза различается в зависимости от исходного соединения, но обычно ее получают из Pseudomonas sp., Pseudomonas fluorescens, Pseudomonas cepacia, Chromobacterium viscosum, Aspergillus niger, Aspergillus oryzae, Candida antarctica, Candida cylindracea, Candida lipolytica, Candida rugosa, Candida utilis, Penicillium roqueforti, Rhizopus arrhizus, Rhizopus delemar, Rhizopus javanicus, Rhizomucor miehei, Rhizopus niveus, Humicola lanuginosa, Mucor Javanicus, Mucor miehei, Thermus aquaticus, Thermus flavus, Thermus thermophilus или тому подобное, или из поджелудочной железы человека, поджелудочной железы молодой овцы, свиной поджелудочной железы или проростков пшеницы. Можно использовать частично или полностью очищенный фрагмент фермента и фиксированный фермент и наиболее предпочтительной липазой является фиксированная Pseudomonas sp. [например, иммобилизованная липаза из Pseudomonas sp. (TOYOBO Kabusiki Kaisya)].
Предпочтительные виниловые сложноэфирные производные карбоновой кислоты формулы (XLIII, R11СOOCH=CH2), используемые в настоящем изобретении, различаются в зависимости от исходного соединения, однако обычно они представляет собой сложный виниловый эфир алифатической кислоты с неразветвленной цепью, такой как виниловый эфир н-гексановой кислоты, виниловый эфир н-гептановой кислоты, виниловый эфир н-пентановой кислоты, виниловый эфир уксусной кислоты или тому подобное, причем наиболее предпочтительным из них является виниловый эфир н-гексановой кислоты.
Когда соединение формулы (I) имеет основную группу, такую как аминогруппа, фармацевтически приемлемая соль может быть получена взаимодействием соединения (I) с кислотой. Когда соединение формулы (I) имеет карбоксигруппу, фармацевтически приемлемая соль может быть получена взаимодействием соединения (I) с основанием.
Предпочтительные соли на основе основной группы включают соль галогенводородной кислоты, такую как гидрофторид, гидрохлорид, гидробромид или гидроиодид, соль неорганической кислоты, такую как нитрат, перхлорат, сульфат или фосфат, соль низшей алкансульфоновой кислоты, такую как метансульфонат, трифторметансульфонат или этансульфонат, соль арилсульфоновой кислоты, такую как бензолсульфонат или п-толуолсульфонат, соль органической кислоты, такую как ацетат, малеат, фумарат, сукцинат, цитрат, аскорбат, тартрат, оксалат, малеат или тому подобное, соль аминокислоты, такую как соль глицина, соль лизина, соль аргинина, соль орнитина, соль глутаминовой кислоты или соль аспарагиновой кислоты, причем наиболее предпочтительной является соль органической кислоты.
С другой стороны, предпочтительные соли на основе кислотной группы включают соль щелочного металла, такую как натриевая соль, калиевая соль или литиевая соль, соль щелочноземельного металла, такую как кальциевая соль или магниевая соль, металлическую соль, такую как соль алюминия или соль железа, неорганическую соль, такую как аммониевая соль, соль амина, такую как соль трет-октиламина, соль бензиламина, соль морфолина, соль глюкозамина, соль сложного алкилового эфира фенилглицина, соль этилендиамина, соль N-метилглюкамина, соль гуанидина, соль диэтиламина, соль триэтиламина, соль дициклогексиламина, соль N,N’-дибензилэтилендиамина, соль хлорпрокаина, соль прокаина, соль диэтаноламина, соль N-бензилфенетиламина, соль пиперазина, соль тетраметиламмония или соль трис(гидроксиметил)аминометана, и соль аминокислоты, такую как соль глицина, соль лизина, соль аргинина, соль орнитина, соль глутаминовой кислоты или соль аспарагиновой кислоты.
Когда соединение (I), его фармацевтически приемлемую соль, сложный эфир или другое его производное выдерживают на открытом воздухе или для перекристаллизации, то они могут поглощать воду, и вода может быть присоединена к ним с образованием гидрата. Соли по настоящему изобретению охватывают такие гидраты.
Соединения формулы (I), их фармацевтически приемлемые соли, сложные эфиры или другие их производные имеют асимметрический атом(ы) углерода и могут существовать в виде оптического изомера(ов). В настоящем изобретении отдельный оптический изомер и смесь оптических изомеров представлены одной химической формулой (I). Настоящее изобретение охватывает оптические изомеры в отдельности и их смеси в произвольных соотношениях. Например, соединения формулы (I), их фармацевтически приемлемые соли, сложные эфиры или другие их производные имеют следующую неполную химическую формулу, где группа –NR1R2 присоединена к асимметрическому атому углерода и предпочтительной абсолютной конфигурацией при указанном асимметрическом углеродном атоме является R-конфигурация
В приведенных выше формулах термин “сложный эфир” относится к сложному эфиру соединения формулы (I), имеющего группу, способную к эстерификации. Сложный эфир включает эфир по гидроксильной группе и эфир по карбоксигруппе. Каждая сложноэфирная остаточная группа относится к обычной защитной к удалению биологическим путем, таким как гидролиз in vivo.
“Обычная защитная группа в химической реакции” может быть отщеплена химическим путем, таким как гидрогенолиз, гидролиз, электролиз или фотолиз.
“Обычная защитная группа в химических реакциях” и “защитная группа, способная к удалению биологическим путем, таким как гидролиз in vivo” в сложных эфирах по гидроксильной группе имеют такое же значение, как описанное выше для гидроксизащитной группы.
“Обычная защитная группа в химических реакциях” в сложном эфире по карбоксильной группе предпочтительно включает низшую алкильную группу, описанную выше; низшую алкенильную группу, такую как этенил, 1-пропенил, 2-пропенил, 1-метил-2-пропенил, 1-метил-1-пропенил, 2-метил-1-пропенил, 1-бутенил, 2-бутенил, 1-метил-2-бутенил, 1-метил-1-бутенил, 3-метил-2-бутенил, 1-этил-2-бутенил, 3-бутенил, 1-метил-3-бутенил, 2-метил-3-бутенил, 1-этил-3-бутенил, 1-пентенил, 2-пентенил, 1-метил-2-пентенил, 2-метил-2-пентенил, 3-пентенил, 1-метил-3-пентенил, 2-метил-3-пентенил, 4-пентенил, 1-метил-4-пентенил, 2-метил-4-пентенил, 1-гексенил, 2-гексенил, 3-гексенил, 4-гексенил или 5-гексенил;
низшую алкинильную группу, такую как этинил, 2-пропинил, 1-метил-2-пропинил, 2-бутинил, 1-метил-2-бутинил, 1-этил-2-бутинил, 3-бутинил, 1-метил-3-бутинил, 2-метил-3-бутинил, 1-этил-3-бутинил, 2-пентинил, 1-метил-2-пентинил, 3-пентинил, 1-метил-3-пентинил, 2-метил-3-пентинил, 4-пентинил, 1-метил-4-пентинил, 2-метил-4-пентинил, 2-гексинил, 3-гексинил, 4-гексинил или 5-гексинил; галогенированную низшую алкильную группу, описанную выше; гидрокси-низшую алкильную группу, такую как 2-гидроксиэтил, 2,3-дигидроксипропил, 3-гидроксипропил, 3,4-дигидроксибутил или 4-гидроксибутил; низшую алифатическую ацил-низшую алкильную группу, такую как ацетилметил; аралкильную группу, описанную выше, или силильную группу, описанную выше.
“Защитная группа, способная к удалению биологическим путем, таким как гидролиз in vivo” может быть отщеплена биологическим путем, таким как гидролиз в организме человека, с получением свободной кислоты или ее соли. Имеет ли производное формулы (I) указанную защитную группу, можно легко определить. Исследуемое производное вводят внутривенно животному для испытаний, такому как мышь или крыса, и затем исследуют жидкости в организме указанного животного. Если исходное соединение или его фармацевтически приемлемую соль обнаруживают в жидкостях организма животного для испытаний, то делают вывод, что исследуемое производное имеет указанную группу. “Защитная группа, способная к удалению биологическим путем, таким как гидролиз in vivo” предпочтительно включает низшую алкокси-низшую алкильную группу, такую как метоксиэтил, 1-этоксиэтил, 1-метил-1-метоксиэтил, 1-(изопропокси)этил, 2-метоксиэтил, 2-этоксиэтил, 1,1-диметил-1-метоксиэтил, этоксиметил, н-пропоксиметил, изопропоксиметил, н-бутоксиметил или трет-бутоксиметил; низшую алкокси-низшую алкильную группу, такую как 2-метоксиэтоксиметил; арилокси-низшую алкильную группу, такую как феноксиметил; галогенированную низшую алкокси-низшую алкильную группу, такую как 2,2,2-трихлорэтоксиметил или бис (2-хлорэтокси)метил; низшую алкоксикарбонил-низшую алкильную группу, такую как метоксикарбонилметил; циан-низшую алкильную группу, такую как цианметил или 2-цианэтил; низшую алкилтиометильную группу, такую как метилтиометил или этилтиометил; арилтиометильную группу, такую как фенилтиометил или нафтилтиометил; необязательно замещенный атомом(ами) галогена-низший алкилсульфонил-низшую алкильную группу, такую как 2-метансульфонилэтил или 2-трифторметансульфонилэтил; арилсульфонил-низшую алкильную группу, такую как 2-бензолсульфонилэтил или 2-толуолсульфонилэтил; 1-(ацилокси)-низшую алкильную группу, описанную выше; фталидильную группу, описанную выше; арильную группу, описанную вше; низшую алкильную группу, описанную выше; карбоксиалкильную группу, такую как карбоксиметил; и амидобразующую остаточную группу аминокислоты, такую как фенилаланин.
Когда соединение формулы (I) по настоящему изобретению имеет аминогруппу и/или карбоксильную группу, такое соединение может быть превращено в производное, отличное от фармакологически приемлемой соли или сложного эфира, описанных выше. “Другое производное” относится именно к такому производному, например, производному амида, такому как ацильная группа.
Типичные примеры соединений формулы (I) по настоящему изобретению представлены в следующих таблицах 1 и 2. Типичные примеры соединения формулы (La) (La-1) по настоящему изобретению перечислены в таблицах 3 и 4. Настоящее изобретение не ограничивается указанными примерами.
В указанных перечнях использованы следующие сокращения:
Ас: ацетильная группа; Вое: трет-бутоксикарбонильная группа; Вруrr: бензопирролильная группа; Вu: бутильная группа; iBu: изобутильная группа; Bz: бензильная группа; Bzt: бензотиенильная группа; Et: этильная группа; Fur: фурильная группа; сНх: циклогексильная группа; Me: метильная группа; Np(l): нафталин-1-ильная группа; Np(2): нафталин-2-ильная группа; Ph: фенильная группа; сРn: циклопентильная группа; Рr: пропильная группа; iPr: изопропильная группа; Рyr: пиридильная группа; TBDMS: трет-бутилдиметилсилильная группа и The: тиенильная группа.
Предпочтительными соединениями в таблицах 1 и 2 являются соединения под номерами: 1-19, 1-23 – 1-32, 1-36 – 1-45, 1-49 – 1-58, 1-62 – 1-71, 1-75 – 1-84, 1-88 – 1-102, 1-106 – 1-156, 1-160 – 1-214, 1-218 – 1-268, 1-272 – 1-322, 1-325 – 1-334, 1-338 – 1-347, 1-351 – 1-360, 1-364 – 1-373, 1-377 – 1-386, 1-390 – 1-404, 1-408 – 1-458, 1-462 – 1-513, 1-517 – 1-526, 1-530 – 1-544, 1-548 – 1-598, 1-602 – 1-657, 1-670, 1-674 – 1-683, 1-696, 1-700 – 1-717, 1-721 – 1-730, 1-734 – 1-743, 1-747 – 1-756, 1-760 – 1-774, 1-778 – 1-828, 1-832 – 1-886, 1-890 – 1-940, 1-944 – 1-993, 1-997 – 1-1006, 1-1010 – 1-1019, 1-1045, 1-1049 – 1-1058, 1-1062 – 1-1076, 1-1080 – 1-1130, 1-1134 – 1-1185, 1-1189 – 1-1198, 1-1202 – 1-1208, 1-1212 – 1-1216, 1-1220 – 1-1270, 1-1274 – 1-1331, 1-1335 – 1-1344, 1-1348 – 1-1357, 1-1361 – 1-1370, 1-1374 – 1-1387, 1-1391 – 1-1400, 1-1404 – 1-1418, 1-1422 – 1-1472, 1-1476 – 1-1527, 1-1531 – 1-1540, 1-1544 – 1-1558, 1-1562 – 1-1612, 1-1616 – 1-1673, 1-1677 – 1-1686, 1-1690 – 1-1699, 1-1703 – 1-1712, 1-1716 – 1-1729, 1-1733 – 1-1744, 1-1748 – 1-1767, 1-1772 – 1-1793, 1-1797 – 1-1818, 1-1824 – 1-1846, 1-1850 – 1-1869, 1-1872, 1-1876, 1-1880, 1-1884, 1-1888 – 1-1892, 1-1896, 1-1900, 1-1908 – 1-1913, 1-1917 – 1-1939, 1-1943 – 1-1966, 1-1970 – 1-1991, 1-1995 – 1-2013, 1-2017, 1-2021, 1-2025, 1-2029, 1-2033, 1-2037 -1-2042, 1-2045 – 1-2068, 1-2072 – 1-2089, 1-2093, 1-2097, 1-2101, 1-2105, 1-2109, 1-2113, 1-2117, 1-2121, 1-2125, 1-2129, 1-2133, 1-2135, 1-2139 – 1-2158, 1-2161 – 1-2164, 1-2184 – 1-2346,
2-9 – 2-18, 2-22 – 2-43, 2-47 – 2-70, 2-74 – 2-96, 2-100 – 2-119, 2-142, 2-146, 2-150, 2-154, 2-158 – 2-163, 2-167 – 2-183, 2-185 – 2-189, 2-193 – 2-216, 2-220 – 2-241, 2-245 – 2-263, 2-267, 2-271, 2-275, 2-279, 2-283, 2-287 – 2-292, 2-296 – 2-318, 2-322 – 2-338, 2-343, 2-347, 2-351, 2-371, 2-375 – 2-377, 2-381 – 2-407.
Более предпочтительными соединениями являются примеры соединений под номерами: 1-19, 1-32, 1-36 – 1-45, 1-57, 1-62 – 1-71, 1-84, 1-88, 1-97 – 1-100, 1-152 – 1-154, 1-160 – 1-214, 1-218 – 1-227, 1-264 – 1-268, 1-272 – 1-322, 1-334, 1-347, 1-360, 1-373, 1-386, 1-390 – 1-402, 1-454 – 1-458, 1-462 – 1-513, 1-526, 1-530 – 1-542, 1-594 – 1-598, 1-602 – 1-653, 1-743, 1-756, 1-760 – 1-768, 1-770 – 1-774, 1-778 – 1-828, 1-832 – 1-886, 1-890 – 1-940, 1-944 – 1-993, 1-1045, 1-1058, 1-1062 – 1-1074, 1-1126 – 1-1130, 1-1134 – 1-1185, 1-1198, 1-1202 – 1-1208, 1-1212, 1-1213, 1-1214, 1-1266 – 1-1270, 1-1274 – 1331, 1-1344, 1-1348 – 1-1357, 1-1370, 1-1374 – 1-1387, 1-1400, 1-1404 – 1-1416, 1-1468 – 1-1472, 1-1476 – 1-1527, 1-1540, 1-1544 – 1-1556, 1-1608 – 1-1612, 1-1616 – 1-1666, 1-1729, 1-1742, 1-1744, 1-1759 – 1-1767, 1-1789 – 1-1793, 1-1797 – 1-1818, 1-1842 – 1-1846, 1-1900, 1-1908 – 1-1913, 1-1935 – 1-1939, 1-1943 – 1-1966, 1-1987 – 1-1991, 1-2013, 1-2017, 1-2029, 1-2033, 1-2037 – 1-2042, 1-2064 – 1-2068, 1-2072 – 1-2089, 1-2093, 1-2097, 1-2101, 1-2105, 1-2109, 1-2129, 1-2133, 1-2135, 1-2184 – 1-2346,
2-11 – 2-18, 2-39 – 2-43, 2-47 – 2-70, 2-185 – 2-189, 2-193 – 2-216, 2-287 – 2-292, 2-338, 2-343, 2-347, 2-351.
Более предпочтительными соединениями являются примеры соединений под номерами: 1-45, 1-71, 1-84, 1-88, 1-97 – 1-100, 1-152 – 1-154, 1-160 – 1-206, 1-209 – 1-212, 1-264 – 1-266, 1-334, 1-373, 1-386, 1-390 – 1-402, 1-454 – 1-458, 1-462 – 1-485, 1-509, 1-510, 1-513, 1-526, 1-530 -1-542, 1-594 – 1-598, 1-602 -1-613, 1-649, 1-650, 1-743, 1-756, 1-760 – 1-768, 1-770 – 1-772, 1-824 – 1-828, 1-832 – 1-884, 1-936, 1-1045, 1-1058, 1-1062 – 1-1074, 1-1126 – 1-1130, 1-1134 – 1-1145, 1-1148 – 1-1151, 1-1162, 1-1163, 1-1179 – 1-1182, 1-1185, 1-1198, 1-1202 – 1-1208, 1-1212, 1-1213, 1-1214, 1-1266 – 1-1270, 1-1274 – 1-1285, 1-1288 – 1-1291, 1-1319 – 1-1322, 1-1329 – 1-1331, 1-1344, 1-1348 – 1-1357, 1-1370, 1-1387, 1-1400, 1-1404 – 1-1416, 1-1468 – 1-1472, 1-1476 – 1-1487, 1-1490 – 1-1493, 1-1504, 1-1505, 1-1521 – 1-1524, 1-1527, 1-1540, 1-1544 – 1-1556, 1-1608 – 1-1612, 1-1616 – 1-1627, 1-1663, 1-1664, 1-1729, 1-1742, 1-1744, 1-1761 – 1-1766, 1-1789 – 1-1791, 1-1815 – 1-1818, 1-1900, 1-1909, 1-1962, 1-2064 – 1-2066, 1-2089, 1-2093, 1-2097, 1-2105, 1-2133, 1-2216 – 1-2288, 1-2290 – 1-2346.
Еще более предпочтительными соединениями в таблицах 1 и 2 являются примеры соединений под номерами:
1-71: 2-амино-2-метил-4-[5-(4-циклогексилбутил)тиофен-2-ил]бутан-1-ол,
1-84: 2-амино-2-метил-4-[5-(4-фенилбутил)тиофен-2-ил]бутан-1-ол,
1-98: 2-амино-2-:метил-4-[5-(5-циклогексилпентил) тиофен-2-ил]бутан-1-ол,
1-152: 2-амино-2-метил-4-[5-(5-фенилпентил)тиофен-2-ил]бутан-1-ол,
1-210: 2-амино-2-метил-4-[5-(6-циклогексилгексил)тиофен-2-ил]бутан-1-ол,
1-264: 2-амино-2-метил-4-[5-(6-фенилгексил)тиофен-2-ил]бутан-1-ол,
1-373: 2-амино-2-метил-4-[5-(3-циклогексилпропил)тиофен-2-ил]бутан-1-ол,
1-386: 2-амино-2-метил-4-[5-(3-феноксиппропил)тиофен-2-ил]бутан-1-ол,
1-400: 2-амино-2-метил-4-[5-(4-циклогексилоксибутил)тиофен-2-ил]бутан-1-ол,
1-454: 2-амино-2-метил-4-[5-(4-феноксибутил)тиофен-2-ил]бутан-1-ол,
1-509: 2-амино-2-метил-4-[5-(5-циклогексилоксипентил)тиофен-2-ил]бутан-1-ол,
1-510: 2-амино-2-метил-4-[5-(5-феноксипентил)тиофен-2-ил]бутан-1-ол
1-513: 2-амино-2-метил-4-[5-(3-циклогексилметоксипропил)тиофен-2-ил]бутан-1-ол,
1-743: 2-амино-2-метил-4-[5-(4-циклогексилбут-1-инил)тиофен-2-ил]бутан-1-ол,
1-756: 2-амино-2-метил-4-[5-(4-фенилбут-1-инил)тиофен-2-ил]бутан-1-ол,
1-770: 2-амино-2-метил-4-[5-(5-циклогексилпент-1-инил)тиофен-2-ил]бутан-1-ол,
1-824: 2-амино-2-метил-4-[5-(5-фенилпент-1-инил)тиофен-2-ил]бутан-1-ол,
1-882: 2-амино-2-метил-4-[5-(6-циклогексилгекс-1-инил)тиофен-2-ил]бутан-1-ол,
1-936: 2-амино-2-метил-4-[5-(6-фенилгекс-1-инил)тиофен-2-ил]бутан-1-ол,
1-1045: 2-амино-2-метил-4-[5-(3-циклогексилоксипропинил)тиофен-2-ил]бутан-1-ол,
1-1058: 2-амино-2-метил-4-[5-(3-фенилоксипропинил)тиофен-2-ил]бутан-1-ол,
1-1072: 2-амино-2-метил-4-[5-(4-циклогексилоксибут-!-инил)тиофен-2-ил]бутан-1-ол,
1-1126: 2-амино-2-метил-4-[5-(6-феноксибут-1-инил)тиофен-2-ил]бутан-1-ол,
1-1181: 2-амино-2-метил-4-[5-(5-циклогексилоксипент-1-инил)тиофен-2-ил]бутан-1-ол,
1-1182: 2-амино-2-метил-4-[5-(5-феноксипент-1-инил)тиофен-2-ил]бутан-1-ол,
1-1185: 2-амино-2-метил-4-[5-(3-циклогексилметоксипропинил)тиофен-2-ил]бутан-1-ол,
1-1329: 2-амино-2-метил-4-[5-(4-циклогексилбутаноил)тиофен-2-ил] бутан-1-ол,
1-1330: 2-амино-2-метил-4-[5-(4-фенилбутаноил)тиофен-2-ил]бутан-1-ол
1-1331: 2-амино-2-метил-4-[5-(5-циклогексилпентаноил)тиофен-2-ил]бутан-1-ол,
1-1344: 2-амино-2-метил-4-[5-(5-фенилпентаноил)тиофен-2-ил]бутан-1-ол,
1-1357: 2-амино-2-метил-4-[5-(6-циклогексилгексаноил)тиофен-2-ил]бутан-1-ол,
1-1370: 2-амино-2-метил-4-[5-(6-фенилгексаноил)тиофен-2-ил]бутан-1-ол,
1-1387: 2-амино-2-метил-4-[5-(3-циклогексилоксипропаноил)тиофен-2-ил]бутан-1-ол,
1-1400: 2-амино-2-метил-4-[5-(3-феноксипропаноил)тиофен-2-ил]бутан-1-ол,
1-1414: 2-амино-2-метил-4-[5-(4-циклогексилоксибутаноил)тиофен-2-ил]бутан-1-ол,
1-1468: 2-амино-2-метил-4-[5-(3-феноксибутаноил)тиофен-2-ил]бутан-1-ол,
1-1523: 2-амино-2-метил-4-[5-(5-циклогексилоксипентаноил)тиофен-2-ил]бутан-1-ол,
1-1524: 2-амино-2-метил-4-[5-(5-феноксипентаноил)тиофен-2-ил]бутан-1-ол,
1-1527: 2-амино-2-метил-4-[5-(3-циклогексилметоксипропаноил)тиофен-2-ил]бутан-1-ол,
1-1729: 2-амино-2-метил-4-[5-(4-циклогексилметоксифенил)тиофен-2-ил]бутан-1-ол,
1-1742: 2-амино-2-метил-4-[5-(4-циклогексилэтоксифенил)тиофен-2-ил]бутан-1-ол,
1-1744: 2-амино-2-метил-4-[5-(4-бензилоксифенил)тиофен-2-ил]бутан-1-ол,
1-1761: 2-амино-2-этил-4-[5-(4-циклогексилбутил)тиофен-2-ил]бутан-1-ол,
1-1764: 2-амино-2-этил-4-[5-(5-циклогексилпентил)тиофен-2-ил]бутан-1-ол,
1-1816: 2-амино-2-этил-4-[5-(6-циклогексилгексил)тиофен-2-ил]бутан-1-ол,
1-1900: 2-амино-2-этил-4-[5-(4-циклогексилбут-1-инил)тиофен-2-ил]бутан-1-ол,
1-1909: 2-амино-2-этил-4-[5-(5-циклогексилпент-1-инил)тиофен-2-ил]бутан-1-ол,
1-1962: 2-амино-2-этил-4-[5-(6-циклогексилгекс-1-инил)тиофен-2-ил]бутан-1-ол,
1-2089: 2-амино-2-этил-4-[5-(4-циклогексилбутаноил)тиофен-2-ил] бутан-1-ол,
1-2097: 2-амино-2-этил-4-[5-(5-циклогексилпентаноил)тиофен-2-ил] бутан-1-ол,
1-2105: 2-амино-2-этил-4-[5-(6-циклогексилгексаноил)тиофен-2-ил] бутан-1-ол,
1-463: 2-амино-2-метил-4-{5-[4-(4-фторфенокси)бутил]тиофен-2-ил}бутан-1-ол,
1-479: 2-амино-2-метил-4-{5-[4-(4-метоксифенокси)бутил]тиофен-2-ил}бутан-1-ол,
1-594: 2-амино-2-метил-4-[5-(4-бензилоксибутил)тиофен-2-ил]бутан-1-ол,
1-760: 2-амино-2-метил-4-{5-[4-(4-фторфенил)бут-1-инил]тиофен-2-ил}бутан-1-ол
1-761: 2-амино-2-метил-4-{5-[4-(4-метилфенил)бут-1-инил]тиофен-2-ил}бутан-1-ол,
1-762: 2-амино-2-метил-4-{5-[4-(4-этилфенил)бут-1-инил]тиофен-2-ил}бутан-1-ол,
1-763: 2-амино-2-метил-4-{5-[4-(4-трифторметилфенил)бут-1-инил]тиофен-2-ил}бутан-1-ол,
1-764: 2-амино-2-метил-4-{5-[4-(4-метоксифенил)бут-1-инил]тиофен-2-ил}бутан-1-ол,
1-765: 2-амино-2-метил-4-{5-[4-(4-этоксифенил)бут-1-инил]тиофен-2-ил}бутан-1-ол,
1-766: 2-амино-2-метил-4-{5-[4-(4-метилтиофенил)бут-1-инил]тиофен-2-ил}бутан-1-ол,
1-832: 2-амино-2-метил-4-{5-[5-(3-фторфенил)пент-1-инил]тиофен-2-ил}бутан-1-ол,
1-833: 2-амино-2-метил-4-{5-[5-(4-фторфенил)пент-1-инил]тиофен-2-ил}бутан-1-ол,
1-834: 2-амино-2-метил-4-{5-[5-(4-хлорфенил)пент-1-инил]тиофен-2-ил}бутан-1-ол,
1-836: 2-амино-2-метил-4-{5-[5-(3-метилфенил)пент-1-инил]тиофен-2-ил}бутан-1-ол,
1-837: 2-амино-2-метил-4-{5-[5-(4-метилфенил)пент-1-инил]тиофен-2-ил}бутан-1-ол,
1-846: 2-амино-2-метил-4-{5-[5-(4-трифторметилфенил)пент-1-инил]тиофен-2-ил}бутан-1-ол,
1-847: 2-амино-2-метил-4-{5-[5-(4-трифторфенил)пент-1-инил]тиофен-2-ил}бутан-1-ол,
1-848: 2-амино-2-метил-4-{5-[5-(3-метоксифенил)пент-1-инил]тиофен-2-ил}бутан-1-ол,
1-849: 2-амино-2-метил-4-{5-[5-(4-метоксифенил)пент-1-инил]тиофен-2-ил}бутан-1-ол,
1-860: 2-амино-2-метил-4-{5-[5-(3-метилтиофенил)пент-1-инил]тиофен-2-ил}бутан-1-ол,
1-861: 2-амино-2-метил-4-{5-[5-(4-метилфенил)пент-1-инил]тиофен-2-ил}бутан-1-ол,
1-877: 2-амино-2-метил-4-{5-[5-(3,4-диметилфенил)пент-1-инил]тиофен-2-ил}бутан-1-ол,
1-878: 2-амино-2-метил-4-{5-[5-(3,5-диметилфенил)пент-1-инил]тиофен-2-ил}бутан-1-ол,
1-1050: 2-амино-2-метил-4-{5-[3-(4-метилциклогексилокси)пропинил]тиофен-2-ил}бутан-1-ол,
1-1062: 2-амино-2-метил-4-{5-[3-(4-фторфенокси)пропинил]тиофен-2-ил}бутан-1-ол,
1-1063: 2-амино-2-метил-4-{5-[3-(4-метилфенокси)пропинил]тиофен-2-ил}бутан-1-ол,
1-1064: 2-амино-2-метил-4-{5-[3-(4-этилфенокси)пропинил]тиофен-2-ил}бутан-1-ол,
1-1065: 2-амино-2-метил-4-{5-[3-(4-трифторметилфенил)пропинил]тиофен-2-ил}бутан-1-ол,
1-1066: 2-амино-2-метил-4-{5-[3-(4-метоксифенокси)пропинил]тиофен-2-ил}бутан-1-ол,
1-1067: 2-амино-2-метил-4-{5-[3-(4-метоксифенокси)пропинил]тиофен-2-ил}бутан-1-ол,
1-1068: 2-амино-2-метил-4-{5-[3-(4-метилтиофенокси)пропинил]тиофен-2-ил}бутан-1-ол,
1-1134: 2-амино-2-метил-4-{5-[4-(3-фторфенокси)бут-1-инил]тиофен-2-ил}бутан-1-ол,
1-1135: 2-амино-2-метил-4-{5-[4-(4-фторфенокси)бут-1-инил]тиофен-2-ил}бутан-1-ол,
1-1136: 2-амино-2-метил-4-{5-[4-(4-хлорфенокси)бут-1-инил]тиофен-2-ил}бутан-1-ол,
1-1138: 2-амино-2-метил-4-{5-[4-(3-метилфенокси)бут-1-инил]тиофен-2-ил}бутан-1-ол,
1-1139: 2-амино-2-метил-4-{5-[4-(4-метилфенокси)бут-1-инил]тиофен-2-ил}бутан-1-ол,
1-1148: 2-амино-2-метил-4-{5-[4-(3-трифторметилфенокси)бут-1-инил]тиофен-2-ил}бутан-1-ол,
1-1149: 2-амино-2-метил-4-{5-[4-(4-трифторметилфенокси)бут-1-инил]тиофен-2-ил}бутан-1-ол,
1-1150: 2-амино-2-метил-4-{5-[4-(3-метоксифенокси)бут-1-инил]тиофен-2-ил}бутан-1-ол,
1-1151: 2-амино-2-метил-4-{5-[4-(4-метоксифенокси)бут-1-инил]тиофен-2-ил}бутан-1-ол,
1-1162: 2-амино-2-метил-4-{5-[4-(3-метилтиофенокси)бут-1-инил]тиофен-2-ил}бутан-1-ол,
1-1163: 2-амино-2-метил-4-{5-[4-(4-метилтиофенокси)бут-1-инил]тиофен-2-ил}бутан-1-ол,
1-1179: 2-амино-2-метил-4-{5-[4-(3,4-диметилфенокси)бут-1-инил]тиофен-2-ил}бутан-1-ол,
1-1180: 2-амино-2-метил-4-{5-[4-(3,4-диметилфенокси)бут-1-инил]тиофен-2-ил}бутан-1-ол,
1-1198: 2-амино-2-метил-4-[5-(3-фенилметоксипропинил)тиофен-2-ил]бутан-1-ол,
1-1202: 2-амино-2-метил-4-{5-[3-(4-фторфенил)метоксипропинил]тиофен-2-ил}бутан-1-ол,
1-1203: 2-амино-2-метил-4-{5-[3-(4-метилфенил)метоксипропинил]тиофен-2-ил}бутан-1-ол,
1-1204: 2-амино-2-метил-4-{5-[3-(4-этилфенил)метоксипропинил]тиофен-2-ил}бутан-1-ол,
1-1205: 2-амино-2-метил-4-{5-[3-(4-трифторметилфенил)метоксипропинил]тиофен-2-ил}бутан-1-ол,
1-1206: 2-амино-2-метил-4-{5-[3-(4-метоксифенил)метоксиропинил]тиофен-2-ил}бутан-1-ол,
1-1207: 2-амино-2-метил-4-{5-[3-(4-этоксифенил)метоксипропинил]тиофен-2-ил}бутан-1-ол,
1-1208: 2-амино-2-метил-4-{5-[3-(4-метилтиофенил)метоксипропинил]тиофен-2-ил}бутан-1-ол,
1-1212: 2-амино-2-метил-4-[5-(4-циклогексилметоксибут-1-инил)тиофен-2-ил]бутан-1-ол,
1-1266: 2-амино-2-метил-4-[5-(4-фенилметоксибут-1-инил)тиофен-2-ил]бутан-1-ол,
1-1274: 2-амино-2-метил-4-{5-[4-(3-фторфенил)метоксибут-1-инил]тиофен-2-ил}бутан-1-ол,
1-1275: 2-амино-2-метил-4-{5-[4-(4-фторфенил)метоксибут-1-инил]тиофен-2-ил}бутан-1-ол,
1-1276: 2-амино-2-метил-4-{5-[4-(4-хлорфенил)метоксибут-1-инил]тиофен-2-ил}бутан-1-ол,
1-1278: 2-амино-2-метил-4-{5-[4-(3-метилфенил)метоксибут-1-инил]тиофен-2-ил}бутан-1-ол,
1-1279: 2-амино-2-метил-4-{5-[4-(4-метилфенил)метоксибут-1-инил]тиофен-2-ил}бутан-1-ол,
1-1288: 2-амино-2-метил-4-{5-[4-(3-трифторметилфенил)метоксибут-1-инил]тиофен-2-ил}бутан-1-ол,
1-1289: 2-амино-2-метил-4-{5-[4-(4-трифторметилфенил)метоксибут-1-инил]тиофен-2-ил}бутан-1-ол,
1-1290: 2-амино-2-метил-4-{5-[4-(3-метоксифенил)метоксибут-1-инил]тиофен-2-ил}бутан-1-ол,
1-1291: 2-амино-2-метил-4-{5-[4-(4-метоксифенил)метоксибут-1-инил]тиофен-2-ил}бутан-1-ол,
1-1319: 2-амино-2-метил-4-{5-[4-(3,4-диметилфенил)метоксибут-1-инил]тиофен-2-ил}бутан-1-ол,
1-1320: 2-амино-2-метил-4-{5-[4-(3,5-диметилфенил)метоксибут-1-инил]тиофен-2-ил}бутан-1-ол,
1-1348: 2-амино-2-метил-4-{5-[5-(4-фторфенил)пентаноил]тиофен-2-ил}бутан-1-ол,
1-1349: 2-амино-2-метил-4-{5-[5-(4-метилфенил)пентаноил]тиофен-2-ил}бутан-1-ол,
1-1350: 2-амино-2-метил-4-{5-[5-(4-этилфенил)пентаноил]тиофен-2-ил}бутан-1-ол,
1-1351: 2-амино-2-метил-4-{5-[5-(4-трифторметилфенил)пентаноил]тиофен-2-ил}бутан-1-ол,
1-1352: 2-амино-2-метил-4-{5-[5-(4-метоксифенил)пентаноил]тиофен-2-ил}бутан-1-ол,
1-1353: 2-амино-2-метил-4-{5-[5-(4-этоксифенил)пентаноил]тиофен-2-ил}бутан-1-ол,
1-1354: 2-амино-2-метил-4-{5-[5-(4-метилтиофенил)пентаноил]тиофен-2-ил}бутан-1-ол,
1-1476: 2-амино-2-метил-4-{5-[4-(3-фторфенокси)бутаноил]тиофен-2-ил}бутан-1-ол,
1-1477: 2-амино-2-метил-4-{5-[4-(4-фторфенокси)бутаноил]тиофен-2-ил}бутан-1-ол,
1-1478: 2-амино-2-метил-4-{5-[4-(4-хлорфенокси)бутаноил]тиофен-2-ил}бутан-1-ол,
1-1480: 2-амино-2-метил-4-{5-[4-(3-метилфенокси)бутаноил]тиофен-2-ил}бутан-1-ол,
1-1481: 2-амино-2-метил-4-{5-[4-(4-метилфенокси)бутаноил]тиофен-2-ил}бутан-1-ол,
1-1490: 2-амино-2-метил-4-{5-[4-(3-трифторметилфенокси)бутаноил]тиофен-2-ил}бутан-1-ол,
1-1491: 2-амино-2-метил-4-{5-[4-(4-трифторметилфенокси)бутаноил]тиофен-2-ил}бутан-1-ол,
1-1492: 2-амино-2-метил-4-{5-[4-(3-метоксифенокси)бутаноил]тиофен-2-ил}бутан-1-ол,
1-1493: 2-амино-2-метил-4-{5-[4-(4-метоксифенокси)бутаноил]тиофен-2-ил}бутан-1-ол,
1-1504: 2-амино-2-метил-4-{5-[4-(3-метилтиофенил)бутаноил]тиофен-2-ил}бутан-1-ол,
1-1505: 2-амино-2-метил-4-{5-[4-(4-метилтиофенокси)бутаноил]тиофен-2-ил}бутан-1-ол,
1-1521: 2-амино-2-метил-4-{5-[4-(3,4-диметилфенокси)бутаноил]тиофен-2-ил}бутан-1-ол,
1-1522: 2-амино-2-метил-4-{5-[4-(3,5-диметилфенокси)бутаноил]тиофен-2-ил]бутан-1-ол,
1-2093: 2-амино-2-этил-4-[5-(4-фенилбутаноил)тиофен-2-ил]бутан-1-ол,
1-2101: 2-амино-2-этил-4-[5-(5-фенилпентаноил)тиофен-2-ил]бутан-1-ол
1-2109: 2-амино-2-этил-4-[5-(4-фенилгексаноил)тиофен-2-ил]бутан-1-ол
1-2257: 2-амино-2-метил-4-{5-[5-(3,4-дифторфенил)пент-1-инил]тиофен-2-ил}бутан-1-ол,
1-2258: 2-амино-2-метил-4-{5-[5-(3,4-дифторфенил)пент-1-инил]тиофен-2-ил}бутан-1-ол,
1-2259: 2-амино-2-метил-4-{5-[5-(3-хлорфенил)пент-1-инил]тиофен-2-ил}бутан-1-ол,
1-2260: 2-амино-2-метил-4-{5-[5-(3,4-дихлорфенил)пент-1-инил]тиофен-2-ил}бутан-1-ол,
1-2261: 2-амино-2-метил-4-{5-[5-(3,4-дихлорфенил)пент-1-инил]тиофен-2-ил}бутан-1-ол,
1-2262: 2-амино-2-метил-4-{5-[5-(3,4-дитрифторметилфенил)пент-1-инил]тиофен-2-ил}бутан-1-ол,
1-2263: 2-амино-2-метил-4-{5-[5-(3,5-дитрифторметилфенил)пент-1-инил]тиофен-2-ил}бутан-1-ол,
1-2264: 2-амино-2-метил-4-{5-[5-(3,4-диметоксифенил)пент-1-инил]тиофен-2-ил}бутан-1-ол,
1-2265: 2-амино-2-метил-4-{5-[5-(3,5-диметоксифенил)пент-1-инил]тиофен-2-ил}бутан-1-ол,
1-2266: 2-амино-2-метил-4-{5-[5-(3,4,5-триметоксифенил)пент-1-инил]тиофен-2-ил}бутан-1-ол,
1-2267: 2-амино-2-метил-4-{5-[5-(3-ацетилфенил)пент-1-инил]тиофен-2-ил}бутан-1-ол,
1-2268: 2-амино-2-метил-4-{5-[5-(4-ацетилфенил)пент-1-инил]тиофен-2-ил}бутан-1-ол,
1-2269: 2-амино-2-метил-4-{5-[3-(3-фторфенокси)пропинил]тиофен-2-ил}бутан-1-ол,
1-2270: 2-амино-2-метил-4-{5-[3-(3,4-дифторфенокси)пропинил]тиофен-2-ил}бутан-1-ол,
1-2271: 2-амино-2-метил-4-{5-[3-(3,5-дифторфенокси)пропинил]тиофен-2-ил]бутан-1-ол,
1-2272: 2-амино-2-метил-4-{5-[3-(3-хлорфенокси)пропинил]тиофен-2-ил}бутан-1-ол,
1-2273: 2-амино-2-метил-4-{5-[3-(4-хлорфенокси)пропинил]тиофен-2-ил}бутан-1-ол,
1-2274: 2-амино-2-метил-4-{5-[3-(3,4-дихлорфенокси)пропинил]тиофен-2-ил}бутан-1-ол,
1-2275: 2-амино-2-метил-4-{5-[3-(3,5-дихлорфенокси) пропинил] тиофен-2-ил }бутан-1-ол,
1-2276: 2-амино-2-метил-4-{5-[3-(3-метилфенокси)пропинил]тиофен-2-ил}бутан-1-ол,
1-2278: 2-амино-2-метил-4-{5-[3-(3,4-диметилфенокси)пропинил]тиофен-2-ил}бутан-1-ол,
1-2279: 2-амино-2-метил-4-{5-[3-(3,5-диметилфенокси)пропинил]тиофен-2-ил}бутан-1-ол,
1-2280: 2-амино-2-метил-4-{5-[3-(3-трифторметилфенокси)пропинил]тиофен-2-ил}бутан-1-ол,
1-2281: 2-амино-2-метил-4-{5-[3-(3,4-дитрифторметилфенокси)пропинил]тиофен-2-ил}бутан-1-ол,
1-2282: 2-амино-2-метил-4-{5-[3-(3,5-дитрифторметилфенокси)пропинил]тиофен-2-ил}бутан-1-ол,
1-2283: 2-амино-2-метил-4-{5-[3-(3-метоксифенокси)пропинил]тиофен-2-ил}бутан-1-ол,
1-2284: 2-амино-2-метил-4-{5-[3-(3,4-диметоксифенил)пропинил]тиофен-2-ил}бутан-1-ол,
1-2285: 2-амино-2-метил-4-{5-[3-(3,5-диметоксифенокси)пропинил]тиофен-2-ил}бутан-1-ол,
1-2286: 2-амино-2-метил-4-{5-[3-(3,4,5-триметоксифенокси)пропинил]тиофен-2-ил}бутан-1-ол,
1-2287: 2-амино-2-метил-4-{5-[3-(3-ацетилфенокси)пропинил]тиофен-2-ил}бутан-1-ол,
1-2288: 2-амино-2-метил-4-{5-[3-(4-ацетилфенокси)пропинил]тиофен-2-ил}бутан-1-ол,
1-2290: 2-амино-2-метил-4-{5-[4-(3, 4-дифторфенокси) бут-1-инил]тиофен-2-ил}бутан-1-ол,
1-2291: 2-амино-2-метил-4-{5-[4-(3,5-дифторфенокси)бут-1-инил]тиофен-2-ил}бутан-1-ол,
1-2292: 2-амино-2-метил-4-{5-[4-(3-хлорфенокси)бут-1-инил]тиофен-2-ил}бутан-1-ол,
1-2293: 2-амино-2-метил-4-{5-[4-(3,4-дихлорфенокси)бут-1-инил]тиофен-2-ил}бутан-1-ол,
1-2294: 2-амино-2-метил-4-{5-[4-(3,5-дихлорфенокси)бут-1-инил]тиофен-2-ил}бутан-1-ол,
1-2295: 2-амино-2-метил-4-{5-[4-(3,4-дифторметилфенокси)бут-1-инил]тиофен-2-ил}бутан-1-ол,
1-2296: 2-амино-2-метил-4-{5-[4-(3,5-дифторметилфенокси)бут-1-инил]тиофен-2-ил}бутан-1-ол,
1-2297: 2-амино-2-метил-4-{5-[4-(3,4-диметоксифенокси)бут-1-инил]тиофен-2-ил}бутан-1-ол,
1-2298: 2-амино-2-метил-4-{5-[4-(3,5-диметоксифенокси)бут-1-инил]тиофен-2-ил}бутан-1-ол,
1-2299: 2-амино-2-метил-4-{5-[4-(3,4,5-триметоксифенокси)бут-1-инил]тиофен-2-ил}бутан-1-ол,
1-2300: 2-амино-2-метил-4-{5-[4-(3-ацетилфенокси)бут-1-инил]тиофен-2-ил}бутан-1-ол,
1-2301: 2-амино-2-метил-4-{5-[4-(4-ацетилфенокси)бут-1-инил]тиофен-2-ил}бутан-1-ол,
1-2328: 2-амино-2-метил-4-{5-[5-(3-фторфенил)пентаноил]тиофен-2-ил}бутан-1-ол,
1-2329: 2-амино-2-метил-4-{5-[5-(3,4-дифторфенил)пентаноил]тиофен-2-ил}бутан-1-ол,
1-2330: 2-амино-2-метил-4-{5-[5-(3,5-дифторфенил)пентаноил]тиофен-2-ил}бутан-1-ол,
1-2331: 2-амино-2-метил-4-{5-[5-(3-хлорфенил)пентаноил]тиофен-2-ил}бутан-1-ол,
1-2332: 2-амино-2-метил-4-{5-[5-(4-хлорфенил)пентаноил]тиофен-2-ил}бутан-1-ол,
1-2333: 2-амино-2-метил-4-{5-[5-(3,4-дихлорфенил)пентаноил]тиофен-2-ил}бутан-1-ол,
1-2334: 2-амино-2-метил-4-{5-[5-(3,5-дихлорфенил)пентаноил]тиофен-2-ил}бутан-1-ол,
1-2335: 2-амино-2-метил-4-{5-[5-(3-метилфенил)пентаноил]тиофен-2-ил}бутан-1-ол,
1-2336: 2-амино-2-метил-4-{5-[5-(3,4-диметилфенил)пентаноил]тиофен-2-ил}бутан-1-ол,
1-2337: 2-амино-2-метил-4-{5-[5-(3,4-диметилфенил)пентаноил]тиофен-2-ил}бутан-1-ол,
1-2338: 2-амино-2-метил-4-{5-[5-(3-трифторметилфенил)пентаноил]тиофен-2-ил}бутан-1-ол,
1-2339: 2-амино-2-метил-4-{5-[5-(3,4-дитрифторметилфенил)пентаноил]тиофен-2-ил}бутан-1-ол,
1-2340: 2-амино-2-метил-4-{5-[5-(3,5-дитрифторметилфенил)пентаноил]тиофен-2-ил}бутан-1-ол,
1-2341: 2-амино-2-метил-4-{5-[5-(3-метоксифенил)пентаноил]тиофен-2-ил}бутан-1-ол,
1-2342: 2-амино-2-метил-4-{5-[5-(3,4-диметоксифенил)пентаноил]тиофен-2-ил}бутан-1-ол,
1-2343: 2-амино-2-метил-4-{5-[5-(3,5-диметоксифенил)пентаноил]тиофен-2-ил}бутан-1-ол,
1-2344: 2-амино-2-метил-4-{5-[5-(3,4,5-триметоксифенил)пентаноил]тиофен-2-ил}бутан-1-ол,
1-2345: 2-амино-2-метил-4-{5-[5-(3-ацетилфенил)пентаноил]тиофен-2-ил}бутан-1-ол и
1-2346: 2-амино-2-метил-4-{5-[5-(4-ацетилфенил)пентаноил]тиофен-2-ил}бутан-1-ол.
Наиболее предпочтительными соединениями являются примеры соединений под номерами:
1-71: 2-амино-2-метил-4-[5-(4-циклогексилбутил)тиофен-2-ил]бутан-1-ол,
1-98: 2-амино-2-метил-4-[5-(5-циклогексилпентил)тиофен-2-ил]бутан-1-ол,
1-152: 2-амино-2-метил-4-[5-(5-фенилпентил)тиофен-2-ил]бутан-1-ол,
1-400: 2-амино-2-метил-4-[5-(4-циклогексилоксибутил)тиофен-2-ил]бутан-1-ол,
1-463: 2-амино-2-метил-4-{5-[4-(4-фторфенокси)бутил]тиофен-2-ил}бутан-1 -ол,
1-479: 2-амино-2-метил-4-{5-[4-(4-метоксифенокси)бутил]тиофен-2-ил}бутан-1-ол,
1-594: 2-амино-2-метил-4-[5-(4-бензилоксибутил)тиофен-2-ил]бутан-1-ол,
1-743: 2-амино-2-метил-4-[5-(4-циклогексилбут-1-инил)тиофен-2-ил]бутан-1-ол,
1-756: 2-амино-2-метил-4-[5-(4-фенилбут-1-инил)тиофен-2-ил]бутан-1-ол,
1-770: 2-амино-2-метил-4-[5-(5-циклогексилпент-1-инил)тиофен-2-ил]бутан-1-ол,
1-824: 2-амино-2-метил-4-[5-(5-фенилпент-1-инил)тиофен-2-ил]бутан-1-ол,
1-833: 2-амино-2-метил-4-{5-[5-(4-фторфенил)пент-1-инил]тиофен-2-ил}бутан-1-ол,
1-849: 2-амино-2-метил-4-{5-[5-(4-метоксифенил)пент-1-инил]тиофен-2-ил}бутан-1-ол,
1-1050: 2-амино-2-метил-4-{5-[3-(4-метилциклогексилокси)пропинил]тиофен-2-ил}бутан-1-ол,
1-1063: 2-амино-2-метил-4-{5-[3-(4-метилфенокси)пропинил]тиофен-2-ил}бутан-1-ол,
1-1064: 2-амино-2-метил-4-{5-[3-(4-этилфенокси)пропинил]тиофен-2-ил}бутан-1-ол,
1-1068: 2-амино-2-метил-4-{5-[3-(4-метилтиофенокси)пропинил]тиофен-2-ил}бутан-1-ол,
1-1072: 2-амино-2-метил-4-[5-(4-циклогексилоксибут-1-инил)тиофен-2-ил]бутан-1-ол,
1-1135: 2-амино-2-метил-4-{5-[4-(4-фторфенокси)бут-1-инил]тиофен-2-ил}бутан-1-ол,
1-1139: 2-амино-2-метил-4-{5-[4-(4-метилфенокси)бут-1-инил]тиофен-2-ил}бутан-1-ол,
1-1185: 2-амино-2-метил-4-[5-(3-циклогексилметоксипропинил)тиофен-2-ил]бутан-1-ол,
1-1266: 2-амино-2-метил-4-[5-(4-фенилметоксибут-1-инил)тиофен-2-ил]бутан-1-ол,
1-1329: 2-амино-2-метил-4-[5-(4-циклогексилбутаноил)тиофен-2-ил] бутан-1-ол,
1-1330: 2-амино-2-метил-4-[5-(4-фенилбутаноил)тиофен-2-ил]бутан-1-ол
1-1331: 2-амино-2-метил-4-[5-(5-циклогексилпентаноил)тиофен-2-ил]бутан-1-ол,
1-1344: 2-амино-2-метил-4-[5-(5-фенилпентаноил)тиофен-2-ил]бутан-1-ол,
1-1348: 2-амино-2-метил-4-{5-[5-(4-фторфенил)пентаноил]тиофен-2-ил}бутан-1-ол,
1-1764: 2-амино-2-этил-4-[5-(5-циклогексилпентил)тиофен-2-ил]бутан-1-ол,
1-1909: 2-амино-2-этил-4-[5-(5-циклогексилпент-1-инил)тиофен-2-ил]бутан-1-ол,
1-2097: 2-амино-2-этил-4-[5-(5-циклогексилпентаноил)тиофен-2-ил]бутан-1-ол,
1-2273: 2-амино-2-метил-4-{5-[3-(4-хлорфенокси)пропинил]тиофен-2-ил}бутан-1-ол,
1-2276: 2-амино-2-метил-4-{5-[3-(3-метилфенокси)пропинил]тиофен-2-ил}бутан-1-ол,
1-2278: 2-амино-2-метил-4-{5-[3-(3,4-диметилфенокси)пропинил]тиофен-2-ил}бутан-1-ол,
1-2283: 2-амино-2-метил-4-{5-[3-(3-метоксифенокси)пропинил]тиофен-2-ил}бутан-1-ол,
1-2284: 2-амино-2-метил-4-{5-[3-(3,4-диметоксифенил)пропинил]тиофен-2-ил}бутан-1-ол,
1-2285: 2-амино-2-метил-4-{5-[3-(3,5-диметоксифенокси)пропинил]тиофен-2-ил}бутан-1-ол,
1-2287: 2-амино-2-метил-4-{5-[3-(3-ацетилфенокси)пропинил]тиофен-2-ил}бутан-1-ол и
1-2288: 2-амино-2-метил-4-{5-[3-(4-ацетилфенокси)пропинил]тиофен-2-ил}бутан-1-ол.
Предпочтительными соединениями в таблицах 3 и 4 являются примеры соединений под номерами 3-5, 3-6, 3-7, 3-8, 3-11, 3-12, 4-4, 4-5, 4-6, 4-7, 4-8, 4-9, 4-10, 4-11, 4-12, 4-13, 4-17, 4-23, 4-24, 4-27, 4-28, 4-31 и 4-32.
Наиболее предпочтительными соединениями являются примеры соединений под номерами:
4-4: 4-метил-4-[(тиофен-2-ил)этил]оксазолидинон,
4-5: 4-метил-4-[(тиофен-3-ил)этил]оксазолидинон,
4-8: 4-метил-4-[(5-бромтиофен-2-ил)этил]оксазолидинон и
4-9: 4-метил-4-[(5-бромтиофен-3-ил)этил]оксазолидинон.
Соединения формул (I), (XLIVa), (XLIVb), (La) и (Lb) могут быть получены способом, описанным ниже.
В способе А синтезируют соединение (I) и соединение (Iс) (которое представляет собой соединение (I), где R1 представляет атом водорода и R2 представляет низшую алкоксикарбонильную группу, аралкилоксикарбонильную группу или аралкилоксикарбонильную группу, замещенную 1-3 заместителями, выбранными из группы а заместителей).
На приведенной выше схеме R1, R2, R3, R4, R5, R6, R7, X, Y и п имеют указанные выше значения, R8 представляет формильную группу, карбоксильную группу или низшую алкоксикарбонильную группу, R9 и R9a являются одинаковыми или различными и независимо представляют каждый атом водорода или низшую алкильную группу, R10 представляет низшую алкильную группу, аралкильную группу или аралкильную группу, замещенную 1-3 заместителями, выбранными из группы а заместителей, и R5a, R6a и R7a представляют аминогруппу, гидроксильную группу и/или карбоксильную группу, каждая из которых содержится в качестве заместителя в каждом определении R5, R6 и R7 и необязательно защищена подходящей защитной группой в дополнение к таким же группам, как определенные выше для R5, R6 и R7.
В данном выше описании “защитную группу” “аминогруппы, необязательно защищенной”, в определении R5a, R6a и R7a особо не ограничивают, если она представляет собой защитную группу аминогруппы, используемую в области химии органического синтеза, и является такой же, как защитная группа, определенная выше. Предпочтительной является алкоксикарбонильная группа, а наиболее предпочтительной – трет-бутоксикарбонильная группа.
В данном выше описании “защитную группу” “гидроксильной группы, необязательно защищенной”, в определении R5a, R6a и R7a особо не ограничивают, если она представляет собой защитную группу гидроксильной группы, используемую в области химии органического синтеза. Указанная защитная группа является, например, такой же, как защитная группа, определенная выше как “обычная защитная группа, используемая для защиты гидроксильной группы путем эстерификации”, и ее предпочтительные примеры включают низшую алифатическую ацильную группу, ароматическую ацильную группу, низшую алкоксикарбонильную группу или (низший алкокси)метильную группу, а более предпочтительными примерами является низшая алифатическая ацильная группа или (низший алкоксикарбонил)метильная группа. Наиболее предпочтительным примером является ацетильная группа или метоксиметильная группа.
В данном выше описании “защитную группу” “карбоксильной группы, необязательно защищенной”, в определении R5a, R6a и R7a особо не ограничивают, если она представляет собой защитную группу карбоксильной группы, используемую в области химии органического синтеза. Указанная защитная группа является, например, такой же, как защитная группа, определенная выше как “обычная защитная группа, используемая для защиты карбоксильной группы путем эстерификации”, и ее предпочтительные примеры включают низшую алкильную группу, причем наиболее предпочтительной является метильная группа.
На стадии А1 соединение общей формулы (III) получают осуществлением взаимодействия соединения общей формулы (II) с восстановителем в инертном растворителе в присутствии или в отсутствие основания (предпочтительно в присутствии основания).
Инертный растворитель, используемый в указанной выше реакции, особо не ограничивают при условии, что он не оказывает вредного влияния на реакцию и до некоторой степени растворяет исходные материалы. Примеры подходящих растворителей включают алифатические углеводороды, такие как гексан, гептан, лигроин или петролейный эфир; ароматические углеводороды, такие как бензол, толуол или ксилол; галогенированные углеводороды, такие как хлороформ, метиленхлорид, 1,2-дихлорэтан или тетрахлорид углерода; сложные эфиры, такие как метилацетат, этилацетат, пропилацетат, бутилацетат или диэтилкарбонат; простые эфиры, такие как диэтиловый эфир, диизопропиловый эфир, тетрагидрофуран, диоксан, диметоксиэтан или диметиловый эфир ди(этиленгликоля); спирты, такие как метанол, этанол, н-пропанол, изопропанол, н-бутанол, изобутанол, трет-бутанол, изоамиловый спирт, диэтиленгликоль, глицерин, октанол, циклогексанол или метилцеллозольв; амиды, такие как формамид, диметилформамид, диметилацетамид или гексаметилфосфорный триамид; воду или смеси воды и указанных растворителей или смеси указанных растворителей. Из указанных растворителей предпочтительными являются простые эфиры, а наиболее предпочтительным является тетрагидрофуран.
Восстановитель, используемый в указанной выше реакции, представляет собой, например, боргидрид щелочного металла, такой как боргидрид натрия, боргидрид лития или цианборгидрид натрия, или производное гидрида алюминия, такое как гидрид диизобутилалюминия, литийалюминийгидрид или гидрид триэтоксиалюминийлития. Предпочтительными примерами являются боргидриды щелочных металлов, а наиболее предпочтительным является боргидрид натрия.
Температура реакции, в основном, зависит от исходных соединений, восстановителя и используемого в реакции растворителя. Реакцию обычно осуществляют при температуре от -50 С до 100 С (предпочтительно от 0 С до 50 С).
Время реакции в основном зависит от исходных соединений, восстановителя, растворителя и используемой в реакции температуры. Реакцию обычно осуществляют за период от 15 минут до 150 часов (предпочтительно от 1 часа до 100 часов).
По окончании реакции целевые соединения (III) данной реакции могут быть извлечены из реакционной смеси традиционными способами. Например, целевое соединение может быть получено последовательным проведением таких стадий, как соответствующая нейтрализация реакционной смеси, удаление, при необходимости, нерастворимого вещества(в) путем фильтрования, добавление органического растворителя, не смешивающегося с водой (например, этилацетата), отделение органического слоя, содержащего целевое соединение, промывка экстракта, например, водой, и затем сушка над безводным сульфатом магния, безводным сульфатом натрия, безводным бикарбонатом натрия или тому подобное и удаление растворителя путем выпаривания. Целевое соединение может быть выделено и очищено, если это необходимо, подходящей комбинацией традиционных способов, обычно используемых для разделения и очистки органических соединений, таких как перекристаллизация, переосаждение и хроматография с использованием подходящего элюента(ов).
На стадии А2 соединение общей формулы (IV) получают превращением гидроксильной группы соединения формулы (III) в уходящую группу в инертном растворителе в присутствии основания и затем проведением реакции иодирования полученной уходящей группы с использованием иодирующего агента. Реагентом, используемым для образования уходящей группы, является, например, галогенирующий агент, включающий сульфонилгалогениды, такие как метансульфонилхлорид или п-толуолсульфонилхлорид, тионилгалогениды, такие как тионилхлорид, тионилбромид или тионилиодид, сульфурилгалогениды, такие как сульфурилхлорид, сульфурилбромид или сульфурилиодид, тригалогениды фосфора, такие как трихлорид фосфора, трибромид фосфора или трииодид фосфора, пентагалогениды фосфора, такие как пентахлорид фосфора, пентабромид фосфора или пентаиодид фосфора, оксигалогениды фосфора, такие как оксихлорид фосфора, оксибромид фосфора или оксииодид фосфора, или рениевые реагенты, такие как метилтриоксорений (VII). Из указанных реагентов предпочтительными являются сульфонилгалогениды.
Примеры оснований, которые могут быть использованы для превращения гидроксильной группы в уходящую группу, включают карбонаты щелочных металлов, такие как карбонат лития, карбонат натрия или карбонат калия, бикарбонаты щелочных металлов, такие как бикарбонат лития, бикарбонат натрия или бикарбонат калия, гидриды щелочных металлов, такие как гидрид лития, гидрид натрия или гидрид калия, гидроксиды щелочных металлов, такие как гидроксид лития, гидроксид натрия или гидроксид калия, алкоксиды щелочных металлов, такие как метоксид лития, метоксид натрия, этоксид натрия или трет-бутоксид калия, и органические амины, такие как триэтиламин, трибутиламин, диизопропилэтиламин, N-метилморфолин, пиридин, 4-(N,N-диметиламино)пиридин, N,N-диметиланилин, N,N-диэтиланилин, 1,5-диазабицикло[4,3,0]нон-5-ен, 1,4-диазабицикло[2,2,2]октан (DABCO) или 1,8-диазабицикло[5,4,0]ундец-7-ен (DBU). Предпочтительными являются органические амины (особенно триэтиламин).
Инертный растворитель, который может быть использован для превращения гидроксильной группы в уходящую группу, особо не ограничивают при условии, что он не оказывает вредного влияния на реакцию. Примеры подходящих растворителей включают алифатические углеводороды, такие как гексан, гелтан, лигроин или петролейный эфир; ароматические углеводороды, такие как бензол, толуол или ксилол; галогенированные углеводороды, такие как хлороформ, метиленхлорид, 1,2-дихлорэтан или тетрахлорид углерода; простые эфиры, такие как диэтиловый эфир, диизопропиловый эфир, тетрагидрофуран, диоксан, диметоксиэтан или диметиловый эфир ди(этиленгликоля); кетоны, такие как ацетон или 2-бутанон, амиды, такие как формамид, диметилформамид, диметилацетамид или гексаметилфосфорный триамид; сульфоксиды, такие как диметилсульфоксид, или сульфолан. Из указанных растворителей предпочтительными являются галогенированные углеводороды, а наиболее предпочтительным является метиленхлорид.
Температура реакции в случае превращения гидроксильной группы в уходящую группу, в основном, зависит от исходных соединений, реагента и используемого в реакции растворителя. Реакцию обычно осуществляют при температуре от -50 С до 200 С (предпочтительно от -10 С до 150 С).
Время реакции в случае превращения гидроксильной группы в уходящую группу, в основном, зависит от исходных соединений, реагента, растворителя и используемой в реакции температуры. Реакцию обычно осуществляют за период от 15 минут до 24 часов (предпочтительно от 30 минут до 12 часов).
Иодирующий агент, который может быть использован в данной реакции, представляет собой, например, пентаиодид фосфора, оксииодид фосфора, иодид натрия или иодид калия, предпочтительно иодид натрия.
Температура реакции в случае иодирования уходящей группы в основном зависит от исходных соединений, реагента и используемого в реакции растворителя. Реакцию обычно осуществляют при температуре от 0 С до 200 С (предпочтительно от 10 С до 150 С).
Время реакции в случае иодирования уходящей группы, в основном, зависит от исходных соединений, реагента, растворителя и используемой в реакции температуры. Реакцию обычно осуществляют за период от 15 минут до 24 часов (предпочтительно от 30 минут до 12 часов).
По окончании реакции целевые соединения (IV) данной реакции могут быть извлечены из реакционной смеси традиционными способами. Например, целевое соединение может быть получено последовательным проведением таких стадий, как соответствующая нейтрализация реакционной смеси, удаление, при необходимости, нерастворимого вещества(в) путем фильтрования, добавление органического растворителя, не смешивающегося с водой (например, этилацетата), отделение органического слоя, содержащего целевое соединение, промывка экстракта, например, водой, и затем сушка над безводным сульфатом магния, безводным сульфатом натрия, безводным бикарбонатом натрия или тому подобное и удаление растворителя путем выпаривания. Целевое соединение может быть выделено и очищено, если это необходимо, подходящей комбинацией традиционных способов, обычно используемых для разделения и очистки органических соединений, таких как перекристаллизация, переосаждение и хроматография с использованием подходящего элюента(ов).
На стадии A3 соединение общей формулы (VI) получают взаимодействием соединения (IV) с соединением общей формулы (V) в инертном растворителе в присутствии основания.
Инертный растворитель, используемый в указанной выше реакции, особо не ограничивают при условии, что он не оказывает вредного влияния на реакцию. Примеры подходящих растворителей включают простые эфиры, такие как диэтиловый эфир, диизопропиловый эфир, тетрагидрофуран, диоксан, диметоксиэтан или диметиловый эфир ди(этиленгликоля); спирты, такие как метанол, этанол, н-пропанол, изопропанол, н-бутанол, изобутанол, трет-бутанол, изоамиловый спирт, диэтиленгликоль, глицерин, октанол, циклогексанол или метилцеллозольв; амиды, такие как формамид, диметилформамид, диметилацетамид или гексаметилфосфорный триамид; воду или смеси воды и указанных растворителей или смеси указанных растворителей. Из указанных растворителей предпочтительными являются спирты или амиды, а наиболее предпочтительным является диметилформамид.
Основание, используемое для данной реакции, представляет собой, например, такое же, как основание, используемое для превращения гидроксильной группы в уходящую группу, которое описано на стадии А2 способа А, причем предпочтительными являются гидриды щелочных металлов или алкоксиды щелочных металлов (наиболее предпочтителен гидрид натрия).
Температура реакции, в основном, зависит от исходных соединений, основания и используемого в реакции растворителя. Реакцию обычно осуществляют при температуре от -78 С до 100 С (предпочтительно от 0 С до 50 С).
Время реакции, в основном, зависит от исходных соединений, основания, растворителя и используемой в реакции температуры. Реакцию обычно осуществляют за период от 15 минут до 48 часов (предпочтительно от 30 минут до 12 часов).
По окончании реакции целевые соединения (VI) данной реакции могут быть извлечены из реакционной смеси традиционными способами. Например, целевое соединение может быть получено последовательным проведением таких стадий, как соответствующая нейтрализация реакционной смеси, удаление, при необходимости, нерастворимого вещества(в) путем фильтрования, добавление органического растворителя, не смешивающегося с водой (например, этилацетата), отделение органического слоя, содержащего целевое соединение, промывка экстракта, например, водой, и затем сушка над безводным сульфатом магния, безводным сульфатом натрия, безводным бикарбонатом натрия или тому подобное и удаление растворителя путем выпаривания. Целевое соединение может быть выделено и очищено, если это необходимо, подходящей комбинацией традиционных способов, обычно используемых для разделения и очистки органических соединений, таких как перекристаллизация, переосаждение и хроматография с использованием подходящего элюента(ов).
На стадии А4 соединение общей формулы (VII) получают превращением сложноэфирной группы соединения [VI] в карбоксильную группу путем гидролиза с основанием.
Инертный растворитель, используемый в указанной выше реакции, особо не ограничивают при условии, что он не оказывает вредного влияния на реакцию. Примеры подходящих растворителей включают алифатические углеводороды, такие как гексан, гептан, лигроин или петролейный эфир; ароматические углеводороды, такие как бензол, толуол или ксилол; простые эфиры, такие как диэтиловый эфир, диизопропиловый эфир, тетрагидрофуран, диоксан, диметоксиэтан или диметиловый эфир ди(этиленгликоля); спирты, такие как метанол, этанол, н-пропанол, изопропанол, н-бутанол, изобутанол, трет-бутанол, изоамиловый спирт, диэтиленгликоль, глицерин, октанол, циклогексанол или метилцеллозольв; воду или смеси воды и указанных растворителей или смеси указанных растворителей. Из указанных растворителей предпочтительными являются спирты (особенно этанол).
Основание, используемое в данной реакции, представляет собой, например, такое же, как основание, используемое для превращения гидроксильной группы в уходящую группу, которое описано на стадии А2 способа А, причем предпочтительными являются гидроксиды щелочных металлов (наиболее предпочтительно гидроксид калия).
Температура реакции, в основном, зависит от исходных соединений, основания и используемого в реакции растворителя. Реакцию обычно осуществляют при температуре от -20 С до 200 С (предпочтительно от 0 С до 50 С).
Время реакции, в основном, зависит от исходных соединений, основания, растворителя и используемой в реакции температуры. Реакцию обычно осуществляют за период от 30 минут до 120 часов (предпочтительно от 1 часа до 80 часов).
По окончании реакции соединение (VII), полученное в качестве целевого соединения в данной реакции, может быть извлечено из реакционной смеси традиционным способом. Например, целевое соединение может быть получено последовательным проведением таких стадий, как соответствующая нейтрализация реакционной смеси, удаление, при необходимости, нерастворимого вещества(в) путем фильтрования, добавление органического растворителя, не смешивающегося с водой (например, этилацетата), отделение органического слоя, содержащего целевое соединение, промывка экстракта, например, водой, и затем сушка над безводным сульфатом магния, безводным сульфатом натрия, безводным бикарбонатом натрия или тому подобное и удаление растворителя путем выпаривания. Целевое соединение может быть выделено и очищено, если это необходимо, подходящей комбинацией традиционных способов, обычно используемых для разделения и очистки органических соединений, таких как перекристаллизация, переосаждение и хроматография с использованием подходящего элюента(ов).
Стадия А5 является стадией превращения карбоксильной группы в карбамоильную группу с использованием реакции Курциуса, и на этой стадии соединение общей формулы (IX) синтезируют путем осуществления взаимодействия соединения (VII) с производным диарилфосфорилазида, таким как дифенилфосфорилазид, в инертном растворителе в присутствии основания и затем нагревания полученного продукта с соединением общей формулы (VIII).
Инертный растворитель, используемый в данной реакции, особо не ограничивают при условии, что он не оказывает вредного влияния на реакцию. Примеры подходящих растворителей включают алифатические углеводороды, такие как гексан, гептан, лигроин или петролейный эфир; ароматические углеводороды, такие как бензол, толуол или ксилол; галогенированные углеводороды, такие как хлороформ, метиленхлорид, 1,2-дихлорэтан или тетрахлорид углерода; простые эфиры, такие как диэтиловый эфир, диизопропиловый эфир, тетрагидрофуран, диоксан, диметоксиэтан или диметиловый эфир ди(этиленгликоля); воду или смеси воды и указанных растворителей или смеси указанных растворителей. Из указанных растворителей предпочтительными являются ароматические углеводороды (особенно бензол).
Основание, используемое в данной реакции, представляет собой, например, такое же, как основание, используемое для превращения гидроксильной группы в уходящую группу, которое описано на стадии А2 способа А, причем предпочтительными являются органические амины (наиболее предпочтительно триэтиламин).
Температура реакции при взаимодействии соединения (VII) с производным диарилфосфорилазида и полученного продукта с соединением (VIII), в основном, зависит от исходных соединений, основания и используемого в реакции растворителя. Реакцию обычно осуществляют при температуре от 0 С до 200 С (предпочтительно от 20 С до 150 С).
Время реакции при взаимодействии соединения (VII) с производным диарилфосфорилазида и полученного продукта с соединением (VIII), в основном, зависит от исходных соединений, основания, растворителя и используемой в реакции температуры. Реакцию обычно осуществляют за период от 15 минут до 24 часов (предпочтительно от 30 минут до 12 часов).
Кроме того, даже в случае использования соединения (VIII), которое трудно взаимодействует непосредственно с производным диарилфосфорилазида, карбоксильную группу соединения (VII) можно превратить в карбамоильную группу без всяких проблем, используя указанную выше реакцию.
По окончании реакции соединение (IX), полученное в качестве целевого соединения в данной реакции, может быть извлечено из реакционной смеси традиционным способом. Например, целевое соединение может быть получено последовательным проведением таких стадий, как соответствующая нейтрализация реакционной смеси, удаление, при необходимости, нерастворимого вещества(в) путем фильтрования, добавление органического растворителя, не смешивающегося с водой (например, этилацетата), отделение органического слоя, содержащего целевое соединение, промывка экстракта, например, водой, и затем сушка над безводным сульфатом магния, безводным сульфатом натрия, безводным бикарбонатом натрия или тому подобное и удаление растворителя путем выпаривания. Целевое соединение может быть выделено и очищено, если это необходимо, подходящей комбинацией традиционных способов, обычно используемых для разделения и очистки органических соединений, таких как перекристаллизация, переосаждение и хроматография с использованием подходящего элюента(ов).
На стадии А6 соединение общей формулы (X) получают восстановлением сложного эфира соединения формулы (IX) восстановителем в инертном растворителе.
Инертный растворитель, используемый в вышеуказанной реакции, особо не ограничивают, при условии, что он не оказывает вредного влияния на реакцию. Примеры подходящих растворителей включают алифатические углеводороды, такие как гексан, пентан, лигроин или петролейный эфир; ароматические углеводороды, такие как бензол, толуол или ксилол; галогенированные углеводороды, такие как хлороформ, хлористый метилен, 1,2-дихлорэтан или тетрахлорид углерода; простые эфиры, такие как диэтиловый эфир, диизопропиловый эфир, тетрагидрофуран, диоксан, диметоксиэтан или диметиловый эфир ди(этиленгликоля); спирты, такие как метанол, этанол, н-пропанол, изопропанол, н-бутанол, изобутанол, трет-бутанол, изоамиловый спирт, диэтиленгликоль, глицерин, октанол, циклогексанол или метилцеллозольв; или смеси указанных растворителей. Из этих растворителей смеси спиртов и простых эфиров являются предпочтительными (особенно смесь этанола и тетрагидрофурана).
Восстановитель, используемый в вышеуказанной реакции, является, например, таким же, как используется на стадии А1 способа А, и боргидрид щелочного металла является предпочтительным (наиболее предпочтительны боргидрид натрия или боргидрид лития).
Температура реакции, в основном, зависит от исходных соединений и растворителя, используемого в реакции. Реакцию обычно осуществляют при температуре от -78 С до 150 С (предпочтительно от -20 С до 50 С).
Время реакции, в основном, зависит от исходных соединений, растворителя и температуры реакции, используемой при проведении реакции. Реакцию обычно осуществляют за период от 5 минут до 48 часов (предпочтительно от 30 минут до 24 часов).
После завершения реакции соединение (X), полученное как целевое соединение данной реакции, может быть извлечено из реакционной смеси традиционным способом. Например, целевое соединение может быть получено последовательным проведением таких стадий, как соответствующая нейтрализация реакционной смеси; удаление, при необходимости, нерастворимого вещества(в) путем фильтрования; добавление органического растворителя, не смешивающегося с водой (например, этилацетата); отделение органического слоя, содержащего целевое соединение; промывка экстракта, например, водой, и затем сушка над безводным сульфатом магния, безводным сульфатом натрия, безводным бикарбонатом натрия и тому подобное и удаление растворителя путем выпаривания. Целевое соединение может быть выделено и очищено, если это необходимо, подходящей комбинацией традиционных способов, обычно используемых для разделения и очистки органических соединений, таких как перекристаллизация, переосаждение и хроматография с использованием подходящего элюента(ов).
На стадии А7 соединение общей формулы (XI), имеющее оксазолидиновое кольцо, получают осуществлением взаимодействия соединения (X) с основанием.
Инертный растворитель, используемый в данной реакции, особо не ограничивают при условии, что он не оказывает вредного влияния на реакцию. Примеры подходящих растворителей включают простые эфиры, такие как диэтиловый эфир, диизопропиловый эфир, тетрагидрофуран, диоксан, диметоксиэтан или диметиловый эфир ди(этиленгликоля); спирты, такие как метанол, этанол, н-пропанол, изопропанол, н-бутанол, изобутанол, трет-бутанол, изоамиловый спирт, диэтиленгликоль, глицерин, октанол, циклогексанол или метилцеллозольв; амиды, такие как формамид, диметилформамид, диметилацетамид или гексаметилфосфорный триамид; воду или смеси воды и указанных растворителей или смеси указанных растворителей. Из указанных растворителей предпочтительными являются спирты или амиды (особенно диметилформамид).
Основание, используемое в данной реакции, представляет собой, например, такое же, как основание, используемое для превращения гидроксильной группы в уходящую группу, которое описано на стадии А2 способа А, причем предпочтительными являются алкоксиды щелочных металлов (наиболее предпочтительно трет-бутоксид калия).
Температура реакции в основном зависит от исходных соединений, основания и используемого в реакции растворителя. Реакцию обычно осуществляют при температуре от -78 С до 100 С (предпочтительно от -50 С до 50 С).
Время реакции в основном зависит от исходных соединений, основания, растворителя и используемой в реакции температуры. Реакцию обычно осуществляют за период от 15 минут до 48 часов (предпочтительно от 30 минут до 12 часов).
По окончании реакции соединение (XI), полученное в качестве целевого соединения в данной реакции, может быть извлечено из реакционной смеси традиционным способом. Например, целевое соединение может быть получено последовательным проведением таких стадий, как соответствующая нейтрализация реакционной смеси, удаление, при необходимости, нерастворимого вещества(в) путем фильтрования, добавление органического растворителя, не смешивающегося с водой (например, этилацетата), отделение органического слоя, содержащего целевое соединение, промывка экстракта, например, водой, и затем сушка над безводным сульфатом магния, безводным сульфатом натрия, безводным бикарбонатом натрия или тому подобное и удаление растворителя путем выпаривания. Целевое соединение может быть выделено и очищено, если это необходимо, подходящей комбинацией традиционных способов, обычно используемых для разделения и очистки органических соединений, таких как перекристаллизация, переосаждение и хроматография с использованием подходящего элюента(ов).
На стадии А8 соединение общей формулы (I) получают гидролизом соединения (XI) с основанием в инертном растворителе и затем, если необходимо, последовательным проведением удаления амино-, гидроксил- и/или карбоксилзащитной группы в R1, R2, R3, R5a, R6a и R7a и защиты аминогруппы в R1 и/или R2 и/или защиты гидроксильной группы в R3.
Инертный растворитель, используемый при взаимодействии соединения (XI) с основанием, особо не ограничивают при условии, что он не оказывает вредного влияния на реакцию. Примеры подходящих растворителей включают алифатические углеводороды, такие как гексан, гептан, лигроин или петролейный эфир; ароматические углеводороды, такие как бензол, толуол или ксилол; галогенированные углеводороды, такие как хлороформ, метиленхлорид, 1,2-дихлорэтан или тетрахлорид углерода; простые эфиры, такие как диэтиловый эфир, диизопропиловый эфир, тетрагидрофуран, диоксан, диметоксиэтан или диметиловый эфир ди(этиленгликоля); спирты, такие как метанол, этанол, н-пропанол, изопропанол, н-бутанол, изобутанол, трет-бутанол, изоамиловый спирт, диэтиленгликоль, глицерин, октанол, циклогексанол или метилцеллозольв; воду или смеси указанных растворителей. Из указанных растворителей предпочтительными являются простые эфиры, а наиболее предпочтительным являются смеси спиртов и простых эфиров (особенно смесь метанола и тетрагидрофурана).
Основание, используемое при взаимодействии соединения (XI) с основанием, представляет собой, например, такое же, как основание, используемое для превращения гидроксильной группы в уходящую группу, которое описано на стадии А2 способа А, причем предпочтительными являются гидроксиды щелочных металлов (наиболее предпочтительно гидроксид калия).
Температура реакции в основном зависит от исходных соединений, основания и используемого в реакции растворителя. Реакцию обычно осуществляют при температуре от –20 С до 200 С (предпочтительно от 0 С до 100 С).
Время реакции в основном зависит от исходных соединений, основания, растворителя и используемой в реакции температуры. Реакцию обычно осуществляют за период от 30 минут до 48 часов (предпочтительно от 1 часа до 24 часов).
Методики удаления амино- и гидроксилзащитных групп зависят от характера использованной защитной группы, но обычно удаление защитной группы осуществляют по известным методикам, обычно используемым в химии органического синтеза. Указанную реакцию снятия защиты осуществляют, например, по методикам, описанным в литературе (Т. W. Green: Protective Groups in Organic Synthesis, John Wiley & Sons, and J. F. W. McOmis: Protective Groups in Organic Chemistry, Plenum Press), так, как описано ниже.
Когда аминозащитной группой является силильная группа, реакцию снятия защиты обычно осуществляют обработкой соединением, которое порождает фтор-анион, таким как тетрабутиламмонийфторид, фтористоводородная кислота, фтористоводородная кислота-пиридин или фторид калия.
Растворитель, используемый в указанной выше реакции, особо не ограничивают при условии, что он не оказывает вредного влияния на реакцию. Примеры подходящих растворителей включают простые эфиры, такие как диэтиловый эфир, диизопропиловый эфир, тетрагидрофуран, диоксан, диметоксиэтан или диметиловый эфир ди(этиленгликоля).
Температуру и время реакции особо не ограничивают. Реакцию снятия защиты обычно осуществляют при температуре от 0 С до 50 С за период от 10 минут до 18 часов.
Когда аминозащитной группой является алифатическая ацильная группа, ароматическая ацильная группа, алкоксикарбонильная группа или замещенная метиленовая группа, которая образует основание Шиффа, защитная группа может быть удалена обработкой кислотой или основанием в присутствии водного растворителя.
Кислоту, используемую в данной реакции, особо не ограничивают при условии, что ее обычно применяют в качестве кислоты и она не оказывает вредного влияния на реакцию. Примеры подходящих кислот включают неорганические кислоты, такие как бромистоводородная кислота, хлористоводородная кислота, серная кислота, перхлорная кислота или фосфорная кислота, причем предпочтительной является хлористоводородная кислота.
Основание, которое может быть использовано в данной реакции, особо не ограничивают при условии, что оно не оказывает вредного влияния на структурные фрагменты, отличные от защитной группы. Примеры предпочтительных оснований включают карбонаты щелочных металлов, такие как карбонат лития, карбонат натрия или карбонат калия, гидроксиды щелочных металлов, такие как гидроксид лития, гидроксид натрия или гидроксид калия, алкоксиды щелочных металлов, такие как метоксид лития, метоксид натрия, этоксид натрия или трет-бутоксид калия, или растворы аммиака, такие как раствор аммиака или концентрированный метанольный раствор аммиака.
Растворитель, используемый в указанной выше реакции, особо не ограничивают, если его обычно используют в реакциях гидролиза. Примеры подходящих растворителей включают спирты, такие как метанол, этанол, н-пропанол, изопропанол, н-бутанол, изобутанол, трет-бутанол, изоамиловый спирт, диэтиленгликоль, глицерин, октанол, циклогексанол или метилцеллозольв, простые эфиры, такие как диэтиловый эфир, диизопропиловый эфир, тетрагидрофуран, диоксан, диметоксиэтан или диметиловый эфир ди(этиленгликоля), воду или смеси воды и одного или нескольких указанных растворителей. Предпочтительными являются простые эфиры (особенно диоксан).
Температура и время реакции, в основном, зависят от исходных соединений, растворителя и кислоты или основания, используемых в реакции, но особо не ограничиваются. Реакцию снятия защиты обычно осуществляют при температуре от 0 С до 150 С за период от 1 до 10 часов, чтобы снизить возможность появления побочных реакций.
Когда аминозащитная группа представляет собой аралкильную группу или аралкилоксикарбонильную группу, защитную группу обычно и предпочтительно удаляют обработкой восстановителем в инертном растворителе (предпочтительно каталитическим гидрированием с катализатором при комнатной температуре) или обработкой окислителем.
Растворитель, используемый при снятии защиты каталитическим гидрированием, особо не ограничивают при условии, что он не оказывает вредного влияния на реакцию. Примеры подходящих растворителей включают алифатические углеводороды, такие как гексан, гептан, лигроин или петролейный эфир; ароматические углеводороды, такие как бензол, толуол или ксилол; сложные эфиры, такие как метилацетат, этилацетат, пропилацетат, бутилацетат или диэтилкарбонат; простые эфиры, такие как диэтиловый эфир, диизопропиловый эфир, тетрагидрофуран, диоксан, диметоксиэтан или диметиловый эфир ди(этиленгликоля); спирты, такие как метанол, этанол, н-пропанол, изопропанол, н-бутанол, изобутанол, трет-бутанол, изоамиловый спирт, диэтиленгликоль, глицерин, октанол, циклогексанол или метилцеллозольв; органические кислоты, такие как уксусная кислота; воду или смеси воды и одного или нескольких указанных растворителей. Из указанных растворителей предпочтительными являются спирты, простые эфиры, органические кислоты или вода и особо предпочтительным являются спирты или органические кислоты.
Катализатор, используемый при снятии защиты каталитическим гидрированием, особо не ограничивают, при условии, если он является обычно используемым при каталитическом гидрировании. Примеры предпочтительных катализаторов, используемых при каталитическом гидрировании, включают палладий на активированном угле, никель Ренея, оксид платины, платиновую чернь, родийалюминийоксид, трифенилфосфинродийхлорид и палладийбарийсульфат.
Давление при каталитическом гидрировании особо не ограничивают, но обычно снятие защиты каталитическим гидрированием осуществляют при давлении от 1 до 10 атм.
Температура и время реакции, в основном, зависят от исходных соединений, катализатора и растворителя, используемых в реакции. Реакцию снятия защиты обычно осуществляют при температуре от 0 С до 100 С за период от 5 минут до 24 часов.
Растворитель, используемый при снятии защиты путем окисления, особо не ограничивают при условии, что он не оказывает вредного влияния на реакцию. Данную реакцию предпочтительно осуществляют в органическом растворителе, содержащем воду.
Примеры подходящего органического растворителя, используемого в данной реакции, включают галогенированные углеводороды, такие как хлороформ, метиленхлорид, 1,2-дихлорэтан или тетрахлорид углерода; нитрилы, такие как ацетонитрил; простые эфиры, такие как диэтиловый эфир, диизопропиловый эфир, тетрагидрофуран, диоксан, диметоксиэтан или диметиловый эфир ди(этиленгликоля); кетоны, такие как ацетон; амиды, такие как формамид, диметилформамид, диметилацетамид или гексаметилфосфорный триамид; сульфоксиды, такие как диметилсульфоксид, и сульфолан. Предпочтительными являются галогенированные углеводороды, простые эфиры или сульфоксиды (особенно галогенированные углеводороды или сульфоксиды).
Окислитель, используемый в данной реакции, особо не ограничивают, при условии, если он является обычно используемым в данной реакции. Примеры предпочтительных окислителей, используемых в данной реакции, включают персульфат калия, аммонийцерийнитрат (CAN) и 2,3-дихлор-5,6-дициан-п-бензохинон (DDQ).
Температура и время реакции, в основном, зависят от исходных соединений, катализатора и растворителя, используемых в реакции. Реакцию снятия защиты обычно осуществляют при температуре от 0 С до 150 С за период от 10 минут до 24 часов.
Альтернативно, когда аминозащитной группой является аралкильная группа, защитная группа может быть удалена с использованием кислоты.
Кислоту, используемую в данной реакции, особо не ограничивают при условии, что она является обычно используемой в качестве кислотного катализатора в обычных реакциях. Примеры подходящей кислоты включают кислоты Бренстеда, включая неорганические кислоты, такие как хлористоводородная кислота, бромистоводородная кислота, серная кислота, перхлорная кислота или фосфорная кислота, или органические кислоты, такие как уксусная кислота, муравьиная кислота, щавелевая кислота, метансульфоновая кислота, п-толуолсульфоновая кислота, камфорсульфоновая кислота, трифторуксусная кислота или трифторметансульфоновая кислота; кислоты Льюиса, такие как хлорид цинка, тетрахлорид олова, трихлорид бора, трифторид бора или трибромид бора; и кислотные ионообменные смолы. Предпочтительными являются неорганические и органические кислоты (наиболее предпочтительно хлористоводородная кислота, уксусная кислота или трифторуксусная кислота).
Инертный растворитель, используемый на первой стадии данной реакции, особо не ограничивают при условии, что он не оказывает вредного влияния на реакцию. Примеры подходящих растворителей включают алифатические углеводороды, такие как гексан, гептан, лигроин или петролейный эфир; ароматические углеводороды, такие как бензол, толуол или ксилол; галогенированные углеводороды, такие как хлороформ, метиленхлорид, 1,2-дихлорэтан или тетрахлорид углерода; сложные эфиры, такие как метилацетат, этилацетат, пропилацетат, бутилацетат или диэтилкарбонат; простые эфиры, такие как диэтиловый эфир, диизопропиловый эфир, тетрагидрофуран, диоксан, диметоксиэтан или диметиловый эфир ди(этиленгликоля); спирты, такие как метанол, этанол, н-пропанол, изопропанол, н-бутанол, изобутанол, трет-бутанол, изоамиловый спирт, диэтиленгликоль, глицерин, октанол, циклогексанол или метилцеллозольв; амиды, такие как формамид, диметилформамид, диметилацетамид или гексаметилфосфорный триамид; воду или смеси воды и указанных растворителей или смеси указанных растворителей. Из указанных растворителей предпочтительными являются простые эфиры, спирты или вода (наиболее предпочтительно диоксан, тетрагидрофуран, этанол или вода).
Температура реакции, в основном, зависит от используемых в реакции исходных соединений, кислоты и растворителя. Реакцию обычно осуществляют при температуре от -20 С до температуры кипения используемого растворителя (предпочтительно от 0 С до 100 С).
Время реакции, в основном, зависит от используемых в реакции исходных соединений, кислоты, растворителя и температуры реакции. Реакцию обычно осуществляют за период от 15 минут до 48 часов (предпочтительно от 30 минут до 20 часов).
Когда аминозащитная группа представляет собой алкенилоксикарбонильную группу, снятие защиты обычно осуществляют обработкой основанием при тех же самых условиях реакции, которые описаны для снятия защиты аминогруппы, защищенной алифатической ацильной группой, ароматической ацильной группой, алкоксикарбонильной группой или замещенной метиленовой группой, которая образует основание Шиффа.
Когда аминозащитная группа представляет собой аллилоксикарбонильную группу, снятие защиты обычно осуществляют каталитическим гидрированием с использованием производного палладия, трифенилфосфина или тетракарбонила никеля, поскольку данная методика снятия защиты проста и снижает возможность появления побочных реакций.
Когда гидроксилзащитной группой является силильная группа, защитную группу обычно удаляют обработкой соединением, из которого образуется фторанион, таким как тетрабутиламмонийфторид, фтористоводородная кислота, фтористоводородная кислота-пиридин и фторид калия, или обработкой неорганической кислотой, такой как хлористоводородная кислота, бромистоводородная кислота, серная кислота, перхлорная кислота или фосфорная кислота, или органической кислотой, такой как уксусная кислота, муравьиная кислота, щавелевая кислота, метансульфоновая кислота, п-толуолсульфоновая кислота, камфорсульфоновая кислота, трифторуксусная кислота или трифторметансульфоновая кислота.
В некоторых случаях удаления защитной группы фторионом реакцию ускоряют добавлением органической кислоты, такой как муравьиная кислота, уксусная кислота или пропионовая кислота.
Инертный растворитель, используемый в указанной выше реакции, особо не ограничивают при условии, что он не оказывает вредного влияния на реакцию. Примеры подходящих растворителей включают простые эфиры, такие как диэтиловый эфир, диизопропиловый эфир, тетрагидрофуран, диоксан, диметоксиэтан или диметиловый эфир ди(этиленгликоля); нитрилы, такие как ацетонитрил или изобутиронитрил; органические кислоты, такие как уксусная кислота; воду или смеси указанных растворителей.
Температура и время реакции, в основном, зависят от используемых в реакции исходного соединения, катализатора и растворителя. Реакцию обычно осуществляют при температуре от 0 С до 100 С (предпочтительно от 10 С до 50 С) за период от 1 до 24 часов.
Когда гидроксилзащитная группа представляет собой аралкильную группу или аралкилоксикарбонильную группу, защитную группу обычно и предпочтительно удаляют обработкой восстановителем (предпочтительно каталитическим гидрированием с катализатором при комнатной температуре) в инертном растворителе или обработкой окислителем.
Растворитель, используемый при снятии защиты каталитическим гидрированием, особо не ограничивают при условии, что он не оказывает вредного влияния на реакцию. Примеры подходящих растворителей включают алифатические углеводороды, такие как гексан, гептан, лигроин или петролейный эфир; ароматические углеводороды, такие как бензол, толуол или ксилол; сложные эфиры, такие как этилацетат или пропилацетат; простые эфиры, такие как диэтиловый эфир, диизопропиловый эфир, тетрагидрофуран, диоксан, диметоксиэтан или диметиловый эфир ди(этилен-гликоля); спирты, такие как метанол, этанол, н-пропанол, изопропанол, н-бутанол, изобутанол, трет-бутанол, изоамиловый спирт, диэтиленгликоль, глицерин, октанол, циклогексанол или метилцеллозольв; амиды, такие как формамид, диметилформамид, диметилацетамид, N-метил-2-пирролидон или гексаметилфосфорный триамид; алифатические кислоты, такие как муравьиная кислота или уксусная кислота; воду или смеси указанных растворителей. Из указанных растворителей предпочтительными являются спирты (особенно метанол).
Катализатор, используемый при снятии защиты каталитическим гидрированием, особо не ограничивают, при условии, если он является обычно используемым при каталитическом гидрировании. Примеры предпочтительных катализаторов, используемых при каталитическом гидрировании, включают палладий на активированном угле, палладиевую чернь, никель Ренея, оксид платины, платиновую чернь, родийалюминийоксид, трифенилфосфинродийхлорид и палладийбарийсульфат, причем предпочтительным является палладий на активированном угле.
Давление при каталитическом гидрировании особо не ограничивают, но обычно снятие защиты каталитическим гидрированием осуществляют при давлении от 1 до 10 атм.
Температура и время реакции в основном зависят от исходного соединения, катализатора и растворителя, используемых в реакции. Реакцию снятия защиты обычно осуществляют при температуре от 0 С до 100 С за период от 5 минут до 48 часов, а предпочтительно при температуре от 20 С до 70 С за период от 1 до 24 часов.
Растворитель, используемый при снятии зашиты путем окисления, особо не ограничивают при условии, что он не оказывает вредного влияния на реакцию. Данную реакцию предпочтительно осуществляют в органическом растворителе, содержащем воду.
Примеры подходящего органического растворителя, используемого в данной реакции, включают кетоны, такие как ацетон; галогенированные углеводороды, такие как метиленхлорид, хлороформ или тетрахлорид углерода; нитрилы, такие как ацетонитрил; простые эфиры, такие как диэтиловый эфир, тетрагидрофуран или диоксан; амиды, такие как диметилформамид, диметилацетамид или гексаметилфосфориамид, или сульфоксиды, такие как диметилсульфоксид.
Окислитель, используемый в данной реакции, особо не ограничивают, при условии, если он является обычно используемым в реакциях окисления. Примеры предпочтительных окислителей, используемых в данной реакции, включают персульфат калия, персульфат натрия, аммонийцерийнитрат (CAN) и 2,3-дихлор-5,6-дициан-п-бензохинон (DDQ).
Температура и время реакции в основном зависят от исходного соединения, катализатора и растворителя, используемых в реакции.
Реакцию снятия защиты обычно осуществляют при температуре от 0 С до 150 С за период от 10 минут до 24 часов.
Альтернативно, защитная группа может быть также удалена обработкой щелочными металлами, такими как металлический литий или металлический натрий, при температуре от -78 С до 0 С в жидком аммиаке или спирте, таком, как метанол, этанол, н-пропанол, изопропанол, н-бутанол, изобутанол, трет-бутанол, изоамиловый спирт, диэтиленгликоль, глицерин, октанол, циклогексанол или метилцеллозольв.
Кроме того, защитная группа может быть удалена также обработкой комплексом хлорид алюминия-иодид натрия или алкилсилилгалогенидом, таким как диметилсилилиодид, в растворителе.
Растворитель, используемый при снятии защиты, особо не ограничивают при условии, что он не оказывает вредного влияния на реакцию. Примеры предпочтительных растворителей, используемых в данной реакции, включают галогенированные углеводороды, такие как метиленхлорид, хлороформ или тетрахлорид углерода; нитрилы, такие как ацетонитрил, или смеси указанных растворителей.
Температура и время реакции, в основном, зависят от исходного соединения и растворителя, используемых в реакции. Реакцию снятия защиты обычно осуществляют при температуре от 0 С до 50 С за период от 5 минут до 72 часов.
Когда в соединении, подвергаемом реакции снятия защиты, имеется атом серы, предпочтительно используют комплекс хлорид алюминия-иодид натрия.
Когда гидроксилзащитная группа представляет собой алифатическую ацильную группу, ароматическую ацильную группу или алкоксикарбонильную защитную группу удаляют обработкой основанием в растворителе.
Основание, которое может быть использовано в данной реакции, особо не ограничивают при условии, что оно не оказывает вредного влияния на структурные фрагменты, отличные от защитной группы. Примеры предпочтительных оснований включают карбонаты щелочных металлов, такие как карбонат лития, карбонат натрия или карбонат калия, бикарбонаты щелочных металлов, такие как бикарбонат лития, бикарбонат натрия или бикарбонат калия, гидроксиды щелочных металлов, такие как гидроксид лития, гидроксид натрия или гидроксид калия, алкоксиды щелочных металлов, такие как метоксид лития, метоксид натрия, этоксид натрия или трет-бутоксид калия, или растворы аммиака, такие как раствор аммиака или концентрированный метанольный раствор аммиака. Предпочтительными являются гидроксиды щелочных металлов, алкоксиды щелочных металлов или растворы аммиака, а особенно предпочтительными являются гидроксиды щелочных металлов и алкоксиды щелочных металлов.
Растворитель, используемый в указанной выше реакции, особо не ограничивают при условии, что он является обычно используемым в реакциях гидролиза. Примеры предпочтительных растворителей включают простые эфиры, такие как диэтиловый эфир, диизопропиловый эфир, тетрагидрофуран, диоксан, диметоксиэтан или диметиловый эфир ди(этиленгликоля); спирты, такие как метанол, этанол, н-пропанол, изопропанол, н-бутанол, изобутанол, трет-бутанол, изоамиловый спирт, диэтиленгликоль, глицерин, октанол, циклогексанол или метилцеллозольв; воду или смеси указанных растворителей.
Температура и время реакции, в основном, зависят от исходных соединений, основания и растворителя, используемых в реакции, но особо не ограничиваются. Реакцию снятия защиты обычно осуществляют при температуре от -20 С до 150 С за период от 1 до 10 часов, чтобы снизить возможность появления побочных реакций.
Когда гидроксилзащитной группой является любая из алкоксиметильной группы, тетрагидропиранильной группы, тетрагидротиопиранильной группы, тетрагидрофуранильной группы, тетрагидротиофуранильной группы или замещенной этильной группы, защитную группу обычно удаляют путем обработки кислотой в растворителе.
Кислоту, используемую в данной реакции, особо не ограничивают при условии, что она является обычно используемой в качестве кислоты Бренстеда или кислоты Льюиса. Примеры предпочтительных кислот Бренстеда включают неорганические кислоты, такие как хлористый водород, хлористоводородная кислота, серная кислота или азотная кислота, или органические кислоты, такие как уксусная кислота, трифторуксусная кислота, метансульфоновая кислота или п-толуолсульфоновая кислота, а примеры предпочтительных кислот Льюиса включают трифторид бора. Кроме того, можно использовать сильнокислотные катионообменные смолы, такие как Dowex 50W.
Растворитель, используемый в данной реакции, особо не ограничивают при условии, что он не оказывает вредного влияния на реакцию. Примеры подходящих растворителей включают алифатические углеводороды, такие как гексан, гептан, лигроин или петролейный эфир; ароматические углеводороды, такие как бензол, толуол или ксилол; галогенированные углеводороды, такие как метиленхлорид, хлороформ, тетрахлорид углерода, дихлорэтан, хлорбензол или дихлорбензол; сложные эфиры, такие как этилформиат, этилацетат, пропилацетат, бутилацетат или диэтилкарбонат; простые эфиры, такие как диэтиловый эфир, диизопропиловый эфир, тетрагидрофуран, диоксан, диметоксиэтан или диметиловый эфир ди(этиленгликоля); спирты, такие как метанол, этанол, н-пропанол, изопропанол, н-бутанол, изобутанол, трет-бутанол, изоамиловый спирт, диэтиленгликоль, глицерин, октанол, циклогексанол или метилцеллозольв; кетоны, такие как ацетон, метилэтилкетон, метилизобутилкетон, изофорон или циклогексанон; воду или смеси указанных растворителей. Из указанных растворителей предпочтительными являются простые эфиры (особенно тетрагидрофуран) и спирты (особенно метанол).
Температура и время реакции, в основном, зависят от исходных соединений, кислоты и растворителя, используемых в реакции. Реакцию обычно осуществляют при температуре от -10 С до 200 С (предпочтительно от 0 С до 150 С) за период от 5 минут до 48 часов (предпочтительно от 30 минут до 10 часов).
Когда гидроксилзащитная группа представляет собой алкенилоксикарбонильную группу, снятие защиты обычно осуществляют обработкой основанием в тех же самых условиях реакции, которые описаны для снятия защиты гидроксильной группы, защищенной алифатической ацильной группой, ароматической ацильной группой или алкоксикарбонильной группой.
Когда гидроксилзащитная группа представляет собой аллилоксикарбонильную группу, снятие защиты обычно и предпочтительно осуществляют каталитическим гидрированием с использованием палладия, трифенилфосфина или гексафторфосфата бис(метилдифенилфосфин)(1,5-циклооктадиен)иридия(I), поскольку данная методика проста и снижает возможность появления побочных реакций.
Когда карбоксилзащитная группа представляет собой C1-С6алкильную группу, замещенную одним-тремя С6-С10арильными заместителями, необязательно замещенными C1-С6алкилом, C1-С10алкокси, нитро, галогеном или циано, реакцию снятия защиты обычно осуществляют обработкой основанием в тех же самых условиях реакции, которые описаны для снятия защиты с гидроксильной группы, защищенной алифатической ацильной группой, ароматической ацильной группой или алкоксикарбонильной группой.
Кроме того, удаление амино-, гидроксил- и/или карбоксилзащитных групп можно, при необходимости, осуществлять последовательным проведением подходящих реакций снятия защиты без какого-либо особого порядка.
Способы защиты аминогруппы и гидроксильной группы зависят от характера используемой защитной группы, но обычно защиту осуществляют в соответствии с известными методиками, обычно используемыми в химии органического синтеза, так, как показано ниже.
В случае соединения (I), где R1 и R2 представляют каждый атом водорода, защита аминогруппы может быть осуществлена взаимодействием соответствующего соединения с представленным ниже соединением общей формулы (XII) в инертном растворителе (примеры предпочтительного растворителя включают простые эфиры, такие как диэтиловый эфир, диизопропиловый эфир, тетрагидрофуран, диоксан, диметоксиэтан или диметиловый эфир ди(этиленгликоля), или спирты, такие как метанол, этанол, н-пропанол, изопропанол, н-бутанол, изобутанол, трет-бутанол, изоамиловый спирт, диэтиленгликоль, глицерин, октанол, циклогексанол или метилцеллозольв) в присутствии или в отсутствие основания (органические амины, такие как триэтиламин, трибутиламин, диизопропилэтиламин, N-метилморфолин или пиридин) при температуре от 0 С до 50 С (предпочтительно при комнатной температуре) за период от 30 минут до 10 часов (предпочтительно от 1 до 5 часов).
в формуле R1а представляет аминозащитную группу (такую как определено выше) и Z представляет атом галогена.
В случае соединения (I), где R3 представляет атом водорода, защита гидроксильной группы может быть осуществлена взаимодействием соответствующего соединения с представленным ниже соединением общей формулы (XIII) в инертном растворителе (примеры предпочтительного растворителя включают галогенированные углеводороды, такие как хлороформ, метиленхлорид, 1,2-дихлорэтан или тетрахлорид углерода, амиды, такие как формамид, диметилформамид, диметилацетамид или гексаметилфосфорный триамид, или сульфоксиды, такие как диметилсульфоксид) в присутствии основания (примеры предпочтительного основания включают гидриды щелочных металлов, такие как гидрид лития, гидрид натрия или гидрид калия, и органические амины, такие как триэтиламин, трибутиламин, диизопропилэтиламин, N-метилморфолин или пиридин) при температуре от 0 С до 50 С (предпочтительно примерно при комнатной температуре) за период от 30 минут до 24 часов (предпочтительно от 1 до 24 часов).
в формуле R3а представляет гидроксилзащитную группу (такую как определено выше) и Z имеет указанные выше значения.
Кроме того, удаление амино-, гидроксил- и/или карбоксилзащитных групп и защиту аминогруппы, гидроксильной группы и/или карбоксилььной группы можно, при необходимости, осуществлять последовательным проведением подходящих реакций снятия или введения защиты без какого-либо особого порядка.
По окончании реакции целевые соединения (I) данной реакции могут быть извлечены из реакционной смеси традиционными способами. Например, целевое соединение может быть получено последовательным проведением таких стадий, как соответствующая нейтрализация реакционной смеси, удаление, при необходимости, нерастворимого вещества(в) путем фильтрования, добавление органического растворителя, не смешивающегося с водой (например, этилацетата), отделение органического слоя, содержащего целевое соединение, промывка экстракта, например, водой, и затем сушка над безводным сульфатом магния, безводным сульфатом натрия, безводным бикарбонатом натрия или тому подобное и удаление растворителя путем выпаривания. Целевое соединение может быть выделено и очищено, если это необходимо, подходящей комбинацией традиционных способов, обычно используемых для разделения и очистки органических соединений, таких как перекристаллизация, переосаждение и хроматография с использованием подходящего элюента(ов).
На стадии А9 соединение общей формулы (I) синтезируют гидролизом соединения (X) с основанием в инертном растворителе и затем, если необходимо, последовательным проведением удаления амино, гидроксил- и/или карбоксилзащитной группы в R1, R2, R3, R5a, R6a и R7a, защиты аминогруппы в R1 и/или R2 и/или защиты гидроксильной группы в R3. Данную стадию осуществляют аналогично тому, как описано выше на стадии А8 способа А.
На стадии А10 соединение общей формулы (Iс) синтезируют восстановлением сложноэфирной группы соединения (IX) и затем, если требуется, последовательным проведением удаления амино-, гидроксил- и/или карбоксилзащитной группы в R1, R2, R3, R5а, R6а и R7а, защиты аминогруппы в R1 и/или R2 и/или защиты гидроксильной группы в R3. Восстановление сложноэфирной группы соединения (IX) осуществляют аналогично тому, как описано выше на стадии А6 способа А.
В способе В получают соединение (Id), которое является соединением (I), где Х представляет этиниленовую группу, соединение (Iе), которое является соединением (I), где Х представляет виниленовую группу, соединение (If), которое является соединением (I), где Х представляет этиленовую группу, соединение (Ig), которое является соединением (I), где Х представляет группу “-СО-СН2-”, соединение (Ig), которое является соединением (I), где X представляет группу “-СО-СН2-” и R1 представляет группу “-CO2R10-”, соединение (Ih), которое является соединением (I), где Х представляет группу “-СН(ОН)-СН2-”, соединение (Ii), которое является соединением (I), где Х представляет арильную группу или арильную группу, замещенную 1-3 заместителями, выбранными из группы а заместителей, и соединение (Ij), которое является соединением (I), где Х представляет атом кислорода или атом серы
На приведенной схеме R1, R2, R3, R4, R5, R5a, R6, R6a, R7, R7a R10, Y и n имеют указанные выше значения, Ха представляет атом кислорода или атом серы, Yа представляет C1-С10алкиленовую группу или C1-С10алкиленовую группу, замещенную 1-3 заместителями, выбранными из групп а и b заместителей, кольцо А представляет арильную группу или арильную группу, замещенную 1-3 заместителями, выбранными из группы а заместителей, и W представляет группу, имеющую следующие общие формулы:
(в приведенных формулах R4 и R10 имеют указанные выше значения, R’ и R” являются одинаковыми или различными и независимо представляют каждый низшую алкильную группу, арильную группу или арильную группу, замещенную 1-3 заместителями, выбранными из группы а заместителей).
На стадии В1 соединение общей формулы (XVI) синтезируют по реакции сочетания Sonogashira соединения общей формулы (XIV) и соединения общей формулы (XV) в инертном растворителе в присутствии основания и палладиевого катализатора.
Растворитель, используемый в указанной выше реакции, особо не ограничивают при условии, что он не оказывает вредного влияния на реакцию. Примеры подходящих растворителей включают алифатические углеводороды, такие как гексан, гептан, лигроин или петролейный эфир; ароматические углеводороды, такие как бензол, толуол или ксилол; галогенированные углеводороды, такие как метиленхлорид, хлороформ, тетрахлорид углерода, дихлорэтан, хлорбензол или дихлорбензол; сложные эфиры, такие как этилформиат, этилацетат, пропилацетат, бутилацетат или диэтилкарбонат; простые эфиры, такие как диэтиловый эфир, диизопропиловый эфир, тетрагидрофуран, диоксан, диметоксиэтан или диметиловый эфир ди(этиленгликоля); кетоны, такие как ацетон, метилэтилкетон, метилизобутилкетон, изофорон или циклогексанон; нитрилы, такие как ацетонитрил или изобутиронитрил; амиды, такие как формамид, диметилформамид, диметилацетамид или гексаметилфосфорный триамид, и сульфоксиды, такие как диметилсульфоксид, или сульфолан. Предпочтительными являются простые эфиры, амиды или сульфоксиды (особенно амиды или простые эфиры). В некоторых случаях реакцию ускоряют добавлением в реакционный раствор небольшого количества воды.
Основание, используемое в данной реакции, является, например, таким же, как основание, используемое для превращения гидроксильной группы в уходящую группу, которое описано на стадии А2 способа А, причем предпочтительными являются органические амины (наиболее предпочтительно триэтиламин).
Палладиевый катализатор, используемый в данной реакции, особо не ограничивают при условии, что он является катализатором, обычно используемым в реакции сочетания по Соногашире (Sonogashira). Примеры предпочтительных катализаторов включают соли палладия, такие как ацетат палладия, хлорид палладия или карбонат палладия, и палладиевые комплексы, такие как комплекс бис(трифенилфосфин)палладийхлорид, образованный из комплексов с лигандами.
Кроме того, можно повысить выход добавлением хлорида меди (I) или бензилтриэтиламмонийхлорида в качестве добавки.
Температура реакции, в основном, зависит от используемых в реакции исходных соединений, основания и растворителя. Реакцию обычно осуществляют при температуре от -20 С до 200 С (предпочтительно от 0 С до 120 С).
Время реакции, в основном, зависит от используемых в реакции исходных соединений, основания, растворителя и температуры реакции. Реакцию обычно осуществляют за период от 5 минут до 48 часов (предпочтительно от 15 минут до 24 часов).
По окончании реакции целевые соединения (XVI) данной реакции могут быть извлечены из реакционной смеси традиционными способами. Например, целевое соединение может быть получено последовательным проведением таких стадий, как соответствующая нейтрализация реакционной смеси, удаление, при необходимости, нерастворимого вещества(в) путем фильтрования, добавление органического растворителя, не смешивающегося с водой (например, этилацетата), отделение органического слоя, содержащего целевое соединение, промывка экстракта, например, водой, и затем сушка над безводным сульфатом магния, безводным сульфатом натрия, безводным бикарбонатом натрия или тому подобное и удаление растворителя путем выпаривания. Целевое соединение может быть выделено и очищено, если это необходимо, подходящей комбинацией традиционных способов, обычно используемых для разделения и очистки органических соединений, таких как перекристаллизация, переосаждение и хроматография с использованием подходящего элюента(ов).
На стадии В2 соединение общей формулы (Ig) получают следующим образом. Когда W в соединении (XVI) представляет группу (W-1), соединение общей формулы (Id) синтезируют так, как описано выше либо на стадиях А7 и А8 способа А, либо на стадии А9 способа А. С другой стороны, когда W в соединении (XVI) представляет группу (W-2) или группу (W-3), соединение (Id) получают так, как описано выше на стадии А8 способа А.
На стадии В3 соединение общей формулы (XVII) получают взаимодействием соединения (XV) с катехолбораном с последующим проведением реакции сочетания по Сузуки (Suzuki) полученного продукта и соединения (XIV).
Температура реакции при взаимодействии соединения (XV) с катехолбораном, в основном, зависит от используемых в реакции исходных соединений, основания и растворителя. Реакцию обычно осуществляют при температуре от 0 С до 150 С (предпочтительно от 10 С до 100 С).
Время реакции при взаимодействии соединения (XV) с катехолбораном, в основном, зависит от используемых в реакции исходных соединений, основания, растворителя и температуры реакции. Реакцию обычно осуществляют за период от 15 минут до 24 часов (предпочтительно от 30 минут до 12 часов).
Реакцию сочетания Суэуки осуществляют подобно тому, как описано для реакции сочетания Соногаширы на стадии В1 способа В.
В данной реакции используют такой же растворитель, как на стадии В1 способа В, причем предпочтительными являются ароматические углеводороды (наиболее предпочтительно толуол).
Основание, используемое в данной реакции, является, например, таким же, как основание, используемое на стадии А2 способа А, причем предпочтительными являются алкоксиды щелочных металлов (наиболее предпочтительно этоксид натрия).
Палладиевый катализатор, используемый в данной реакции, является таким же, как катализатор, используемый на стадии В1 способа В, причем предпочтительными являются палладиевые комплексы (наиболее предпочтительно комплекс бис(трифенилфосфин)палладийхлорид).
На стадии В4 соединение общей формулы (Iе) получают следующим образом. Когда W в соединении (XVII) представляет группу (W-1), соединение общей формулы (Iе) синтезируют так, как описано выше либо на стадиях А7 и А8 способа А, либо на стадии А9 способа А. С другой стороны, когда W в соединении (XVII) представляет группу (W-2) или группу (W-3), соединение (Iе) получают так, как описано выше на стадии А8 способа А.
На стадии В5 соединение общей формулы (XVIII) получают восстановлением соединения (XVI) в инертном растворителе (предпочтительным является каталитическое гидрирование при комнатной температуре в присутствии катализатора).
Растворитель, используемый при снятии защиты путем каталитического гидрирования, особо не ограничивают при условии, что он не оказывает вредного влияния на реакцию. Примеры подходящих растворителей включают алифатические углеводороды, такие как гексан, гептан, лигроин или петролейный эфир; ароматические углеводороды, такие как бензол, толуол или ксилол; галогенированные углеводороды, такие как метиленхлорид, хлороформ, тетрахлорид углерода, дихлорэтан, хлорбензол или дихлорбензол; сложные эфиры, такие как метилацетат, этилацетат, пропилацетат, бутилацетат или диэтилкарбонат; простые эфиры, такие как диэтиловый эфир, диизопропиловый эфир, тетрагидрофуран, диоксан, диметоксиэтан или диметиловый эфир ди(этилен-гликоля); спирты, такие как метанол, этанол, н-пропанол, изопропанол, н-бутанол, изобутанол, трет-бутанол, изоамиловый спирт, диэтиленгликоль, глицерин, октанол, циклогексанол или метилцеллозольв; органические кислоты, такие как уксусная кислота или хлористоводородная кислота; воду или смеси воды и указанных растворителей. Из указанных растворителей предпочтительными являются спирты и простые эфиры (особенно метанол).
Катализатор, используемый при снятии защиты каталитическим гидрированием, особо не ограничивают при условии, если он является обычно используемым при каталитическом гидрировании. Примеры предпочтительных катализаторов, используемых при каталитическом гидрировании, включают палладий на активированном угле, никель Ренея, оксид платины, платиновую чернь, родийалюминийоксид, трифенилфосфинродийхлорид и палладийбарийсульфат.
Температура реакции, в основном, зависит от используемых в реакции исходных соединений, основания и растворителя. Реакцию обычно осуществляют при температуре от -20 С до 200 С (предпочтительно от 0 С до 100 С).
Время реакции, в основном, зависит от используемых в реакции исходных соединений, основания, растворителя и температуры реакции. Реакцию обычно осуществляют за период от 5 минут до 96 часов (предпочтительно от 15 минут до 72 часов).
По окончании реакции целевые соединения (XVIII) данной реакции могут быть извлечены из реакционной смеси традиционными способами. Например, целевое соединение может быть получено последовательным проведением таких стадий, как соответствующая нейтрализация реакционной смеси, удаление, при необходимости, нерастворимого вещества(в) путем фильтрования, добавление органического растворителя, не смешивающегося с водой (например, этилацетата), отделение органического слоя, содержащего целевое соединение, промывка экстракта, например, водой, и затем сушка над безводным сульфатом магния, безводным сульфатом натрия, безводным бикарбонатом натрия или тому подобное и удаление растворителя путем выпаривания. Целевое соединение может быть выделено и очищено, если это необходимо, подходящей комбинацией традиционных способов, обычно используемых для разделения и очистки органических соединений, таких как перекристаллизация, переосаждение и хроматография с использованием подходящего элюента(ов).
На стадии В6 соединение общей формулы (If) получают следующим образом. Когда W в соединении (XVIII) представляет группу (W-1), соединение общей формулы (If) синтезируют так, как описано выше либо на стадиях А7 и А8 способа А, либо на стадии А9 способа А. С другой стороны, когда W в соединении (XVIII) представляет группу (W-2) или группу (W-3), соединение (If) получают так, как описано выше на стадии А8 способа А.
На стадии В7 соединение общей формулы (XIX) получают следующим образом. Когда W в соединении (XVI) представляет группу (W-1), соединение общей формулы (XIX) синтезируют так, как описано выше либо на стадиях А7 и А8 способа А, либо на стадии А9 способа А. С другой стороны, когда W в соединении (XVI) представляет группу (W-2) или группу (W-3), соединение (XIX) получают так, как описано выше на стадии А8 способа А.
На стадии В8 соединение общей формулы (Ig) получают обработкой соединения (XIX) в инертном растворителе методиками, включающими добавление воды в присутствии кислотного катализатора или реакцию оксимеркурирования с оксидом ртути, и затем, если необходимо, последовательным проведением удаления амино-, гидроксил- и/или карбоксилзащитной группы в R1, R2, R3, R5a, R6a и R7a, защиты аминогруппы в R1 и/или R2 и/или защиты гидроксильной группы в R3.
Растворитель, используемый в данной реакции, особо не ограничивают при условии, что он не оказывает вредного влияния на реакцию. Примеры подходящих растворителей включают алифатические углеводороды, такие как гексан, гептан, лигроин или петролейный эфир; ароматические углеводороды, такие как бензол, толуол или ксилол; галогенированные углеводороды, такие как метиленхлорид, хлороформ, тетрахлорид углерода, дихлорэтан, хлорбензол или дихлорбензол; сложные эфиры, такие как этилформиат, этилацетат, пропилацетат, бутилацетат или диэтилкарбонат; простые эфиры, такие как диэтиловый эфир, диизопропиловый эфир, тетрагидрофуран, диоксан, диметоксиэтан или диметиловый эфир ди(этиленгликоля); спирты, такие как метанол, этанол, н-пропанол, изопропанол, н-бутанол, изобутанол, трет-бутанол, изоамиловый спирт, диэтиленгликоль, глицерин, октанол, циклогексанол или метилцеллозольв; кетоны, такие как ацетон, метилэтилкетон, метилизобутилкетон, изофорон, циклогексанон; воду или смеси указанных растворителей. Из указанных растворителей предпочтительными являются спирты (особенно метанол).
Кислотный катализатор, используемый в данной реакции, особо не ограничивают при условии, что он является обычно используемым в качестве кислотного катализатора в обычных реакциях. Примеры подходящей кислоты включают кислоты Бренстеда, включая неорганические кислоты, такие как хлористоводородная кислота, бромистоводородная кислота, серная кислота, перхлорная кислота или фосфорная кислота, и органические кислоты, такие как уксусная кислота, муравьиная кислота, щавелевая кислота, метансульфоновая кислота, п-толуолсульфоновая кислота, камфорсульфоновая кислота, трифторуксусная кислота или трифторметансульфоновая кислота; кислоты Льюиса, такие как хлорид цинка, тетрахлорид олова, трихлорид бора, трифторид бора или трибромид бора; и кислотные ионообменные смолы. Предпочтительными являются неорганические кислоты (наиболее предпочтительно серная кислота).
Температура реакции, в основном, зависит от используемых в реакции исходных соединений, основания и растворителя. Реакцию обычно осуществляют при температуре от -20 С до 200 С (предпочтительно от 0 С до 100 С).
Время реакции, в основном, зависит от используемых в реакции исходных соединений, основания, растворителя и температуры реакции. Реакцию обычно осуществляют за период от 5 минут до 96 часов (предпочтительно от 15 минут до 72 часов).
Удаление амино-, гидроксил- и/или карбоксилзащитной группы в R1, R2, R3, R5a, R6a и R7a, защиту аминогруппы в R1 и/или R2 и/или защиту гидроксильной группы в R3, если это нужно осуществить, выполняют так, как описано на стадии А8 способа А.
На стадии В9 соединение общей формулы (Ig-1) получают обработкой соединения (XVIa) в инертном растворителе методиками, включающими добавление воды в присутствии кислотного катализатора или реакцию оксимеркурирования с оксидом ртути, и затем, если необходимо, последовательным проведением удаления амино-, гидроксил- и/или карбоксилзащитной группы в R1, R2, R3, R5a, К6a и R7a и/или защиты гидроксильной группы в R3. Данную стадию осуществляют так, как описано выще на стадии В8 способа В.
На стадии В10 соединение общей формулы (XX) получают обработкой соединения (XIX) в инертном растворителе методиками, включающими добавление воды в присутствии кислотного катализатора или реакцию оксимеркурирования с оксидом ртути, и затем, если необходимо, последовательным проведением удаления амино-, гидроксил- и/или карбоксилзащитной группы в R1, R2, R3, R5a, R6a и R7a, защиты аминогруппы в R1 и/или R2 и/или защиты гидроксильной группы в R3. Данную стадию осуществляют так, как описано выше на стадии В8 способа В.
На стадии В11 соединение общей формулы (Ih) синтезируют восстановлением соединения (XX) в инертном растворителе и затем, если необходимо, последовательным проведением удаления амино-, гидроксил- и/или карбоксилзащитной группы в R1, R2, R3, R5a, R6a и R7a, защиты аминогруппы в R1 и/или R2 и/или защиты гидроксильной группы в R3.
Инертный растворитель, используемый в указанной выше реакции, особо не ограничивают при условии, что он не оказывает вредного влияния на реакцию. Примеры подходящих растворителей включают алифатические углеводороды, такие как гексан, гептан, лигроин или петролейный эфир; ароматические углеводороды, такие как бензол, толуол или ксилол; галогенированные углеводороды, такие как хлороформ, метиленхлорид, 1,2-дихлорэтан или тетрахлорид углерода; простые эфиры, такие как диэтиловый эфир, диизопропиловый эфир, тетрагидрофуран, диоксан, диметоксиэтан или диметиловый эфир ди(этиленгликоля); спирты, такие как метанол, этанол, н-пропанол, изопропанол, н-бутанол, изобутанол, трет-бутанол, изоамиловый спирт, диэтиленгликоль, глицерин, октанол, циклогексанол или метилцеллозольв, или смеси указанных растворителей. Из указанных растворителей предпочтительными являются простые эфиры или спирты (особенно метанол или этанол).
Восстановитель, используемый в указанной выше реакции, представляет собой, например, боргидрид щелочного металла, такой как боргидрид натрия, боргидрид лития или цианборгидрид натрия, или гидрид алюминия, такой как гидрид диизобутилалюминия, литийалюминийгидрид или гидрид триэтоксиалюминийлития. Предпочтительным примером является боргидрид щелочного металла (цианборгидрид натрия).
Температура реакции, в основном, зависит от используемых в реакции исходных соединений, основания и растворителя. Реакцию обычно осуществляют при температуре от -10 С до 100 С (предпочтительно от -20 С до 20 С).
Время реакции, в основном, зависит от используемых в реакции исходных соединений, основания, растворителя и температуры реакции. Реакцию обычно осуществляют за период от 10 минут до 48 часов (предпочтительно от 30 минут до 12 часов).
Удаление амино-, гидроксил-и/или карбоксилзащитной группы в 1, R2, R3, R5а, R6а и R7а, защиту аминогруппы в R1 и/или R2 и/или защиту гидроксильной группы в R3, если это нужно осуществить, выполняют так, как описано на стадии А8 способа А.
По окончании реакции целевые соединения (Ih) данной реакции могут быть извлечены из реакционной смеси традиционными способами. Например, целевое соединение может быть получено последовательным проведением таких стадий, как соответствующая нейтрализация реакционной смеси, удаление, при необходимости, нерастворимого вещества(в) путем фильтрования, добавление органического растворителя, не смешивающегося с водой (например, этилацетата), отделение органического слоя, содержащего целевое соединение, промывка экстракта, например, водой, и затем сушка над безводным сульфатом магния, безводным сульфатом натрия, безводным бикарбонатом натрия или тому подобное и удаление растворителя путем выпаривания. Целевое соединение может быть выделено и очищено, если это необходимо, подходящей комбинацией традиционных способов, обычно используемых для разделения и очистки органических соединений, таких как перекристаллизация, переосаждение и хроматография с использованием подходящего элюента(ов).
На стадии В12 соединение общей формулы (XXII) получают проведением реакции сочетания по Сузуки соединения (XXI) и соединения (XIV). Данную стадию осуществляют подобно тому, как описано для реакции Соногаширы на стадии В3 способа В.
На стадии В13 соединение общей формулы (Ii) получают следующим образом. Когда W в соединении (XXII) представляет группу (W-1), соединение общей формулы (Ii) синтезируют так, как описано выше либо на стадиях А7 и А8 способа А, либо на стадии А9 способа А. С другой стороны, когда W в соединении (XXII) представляет группу (W-2) или группу (W-3), соединение (Ii) получают так, как описано выше на стадии А8 способа А.
На стадии В14 соединение общей формулы (XXIV) получают взаимодействием соединения (XIV) с солью щелочного металла соединения (XXIII) в условиях отсутствия растворителя или в инертном растворителе в присутствии медного катализатора. Данную стадию осуществляют по методикам, например, описанным в J. Heterocyclic. Chem., 20, 1557 (1983).
Растворитель, используемый в указанной выше реакции, особо не ограничивают при условии, что он не оказывает вредного влияния на реакцию. Примеры подходящих растворителей включают простые эфиры, такие как диэтиловый эфир, диоксан, тетрагидрофуран или диметиловый эфир ди(этиленгликоля), или пиридины, такие как пиридин, пиколин, лутидин или коллидин. Реакцию предпочтительно осуществляют без растворителя.
Медный катализатор, используемый в данной реакции, представляет собой, например, иодид меди (I), бромид меди (I), оксид меди (I) или оксид меди (II), причем предпочтительным является оксид меди (I).
Соль щелочного металла соединения (XXIII), используемую в данной реакции, получают обработкой соединения общей формулы (XXIII) и щелочного металла или соединения щелочного металла. Примеры подходящих щелочных металлов включают металлический литий, металлический натрий или металлический калий, а примеры подходящих соединений щелочных металлов включают гидриды щелочных металлов, такие как гидрид лития, гидрид натрия или гидрид калия. Соль щелочного металла соединения (XXIII) предпочтительно получают с использованием металлического натрия.
Кроме того, можно повысить выход, добавляя в качестве добавки иодид калия.
Температура реакции, в основном, зависит от используемых в реакции исходных соединений, катализатора и растворителя. Реакцию обычно осуществляют при температуре от комнатной температуры до 150 С (предпочтительно от 60 С до 120 С).
Время реакции, в основном, зависит от используемых в реакции исходных соединений, катализатора и растворителя. Реакцию обычно осуществляют за период от 1 часа до 7 дней (предпочтительно от 3 часов до 72 часов).
По окончании реакции целевые соединения (XXIV) данной реакции могут быть извлечены из реакционной смеси традиционными способами. Например, целевое соединение может быть получено последовательным проведением таких стадий, как соответствующая нейтрализация реакционной смеси, удаление, при необходимости, нерастворимого вещества(в) путем фильтрования, добавление органического растворителя, не смешивающегося с водой (например, этилацетата), отделение органического слоя, содержащего целевое соединение, промывка экстракта, например, водой, и затем сушка над безводным сульфатом магния, безводным сульфатом натрия, безводным бикарбонатом натрия или тому подобное и удаление растворителя путем выпаривания. Целевое соединение может быть выделено и очищено, если это необходимо, подходящей комбинацией традиционных способов, обычно используемых для разделения и очистки органических соединений, таких как перекристаллизация, переосаждение и хроматография с использованием подходящего элюента(ов).
На стадии В15 соединение общей формулы (Ij) получают следующим образом. Когда W в соединении (XXIV) представляет группу (W-1), соединение общей формулы (Ij) синтезируют так, как описано выше либо на стадиях А7 и А8 способа А, либо на стадии А9 способа А. С другой стороны, когда W в соединении (XXIV) представляет группу (W-2) или группу (W-3), соединение (Ij) получают так, как описано выше на стадии А8 способа А.
На стадии В16 соединение общей формулы (XXVI) получают осуществлением взаимодействия соединения общей формулы (XIV) с соединением общей формулы (XXV). Данную стадию осуществляют так, как описано на стадии В1 способа В.
На стадии В17 соединение (XVIb), которое является соединением (XVI), где Y представляет группу “-Ya-О-”, синтезируют конденсацией соединения (XXVI) и соединения общей формулы (XXVII) в инертном растворителе путем проведения реакции Мицунобу (Mitsunobu).
Реагент, используемый в реакции Мицунобу, особо не ограничивают при условии, что он является обычно используемым в реакции Мицунобу. Примеры предпочтительных реагентов включают комбинации азосоединений, включающих ди(низший алкил)азодикарбоксилаты, такие как диэтилазодикарбоксилат или диизопропилазодикарбоксилат, или производные азодикарбонила, такие как 1,1 -(азодикарбонил)дипиперидин, и фосфинов, включающих триарилфосфины, такие как трифенилфосфин, или три(низший алкил)фосфины, такие как три-н-бутилфосфин. Комбинации ди(низший алкил)азодикарбоксилатов и триарилфосфинов являются более предпочтительными.
Растворитель, используемый в указанной выше реакции, особо не ограничивают при условии, что он не оказывает вредного влияния на реакцию и до некоторой степени растворяет исходные материалы. Примеры предпочтительных растворителей включают ароматические углеводороды, такие как бензол, толуол или ксилол; галогенированные углеводороды, такие как метиленхлорид, хлороформ, тетрахлорид углерода, дихлорэтан, хлорбензол или дихлорбензол; сложные эфиры, такие как этилформиат, этилацетат, пропилацетат, бутилацетат или диэтилкарбонат; простые эфиры, такие как диэтиловый эфир, диизопропиловый эфир, тетрагидрофуран, диоксан, диметоксиэтан или диметиловый эфир ди(этиленгликоля); нитрилы, такие как ацетонитрил или изобутиронитрил; амиды, такие как формамид, N,N-диметилформамид, N,N-диметилацетамид, N-метил-2-пирролидон, N-метилпирролидинон или гексаметилфосфорный триамид; или сульфоксиды, такие как диметилсульфоксид или сульфолан. Предпочтительными являются ароматические углеводороды и простые эфиры.
Реакцию обычно осуществляют при температуре от -20 С до 100 С, предпочтительно от 0 С до 50 С.
Время реакции, в основном, зависит от температуры реакции, исходных соединений, реагента или растворителя, используемых в реакции. Реакцию обычно осуществляют за период от 10 минут до 3 дней, а предпочтительно от 30 минут до 12 часов.
По окончании реакции целевые соединения (XVIb) данной реакции могут быть извлечены из реакционной смеси традиционными способами. Например, целевое соединение может быть получено последовательным проведением таких стадий, как соответствующая нейтрализация реакционной смеси, удаление, при необходимости, нерастворимого вещества(в) путем фильтрования, добавление органического растворителя, не смешивающегося с водой (например, этилацетата), отделение органического слоя, содержащего целевое соединение, промывка экстракта, например, водой, и затем сушка над безводным сульфатом магния, безводным сульфатом натрия, безводным бикарбонатом натрия или тому подобное и удаление растворителя путем выпаривания. Целевое соединение может быть выделено и очищено, если это необходимо, подходящей комбинацией традиционных способов, обычно используемых для разделения и очистки органических соединений, таких как перекристаллизация, переосаждение и хроматография с использованием подходящего элюента(ов).
Альтернативно, соединения (Id)-(Ij) могут быть синтезированы гидролизом группы W соединения (XIV) и затем осуществлением взаимодействия полученного продукта с соединением (XV), соединением (XXI), соединением (XXIII) или соединением (XXV), соответственно.
Соединения (II), (V), (VIII), (XII), (XIII), (XIV), (XV), (XXI), (XXIII), (XXV) и (XXVII), используемые в качестве исходных соединений, или являются известными соединениями, или могут быть легко получены известными или подобными способами.
Альтернативно, соединения (II) и (XIV), используемые в качестве исходных соединений, могут быть синтезированы следующими способами.
В способе С получают соединение (XIV) и соединение (XIVa), которое представляет собой соединение (XIV), имеющее в качестве заместителей, соответственно, атом брома в положении 2 тиофеновой части и группу “-(CH2)n-W” в положении 5 тиофеновой части.
На приведенной выше схеме R4, R6, К7a, R8, R9, R9a, R10, n и W – такие, как определено выше.
На стадии С1 соединение общей формулы (XXIX) получают взаимодействием соединения общей формулы (XXVIII) с восстановителем в инертном растворителе в присутствии или в отсутствие основания (предпочтительно в присутствии основания). Данную стадию осуществляют так, как описано на стадии А1 способа А.
На стадии С2 соединение общей формулы (XXX) получают превращением гидроксильной группы соединения (XXIX) в уходящую группу в инертном растворителе в присутствии основания и затем проведением реакции иодирования по полученной уходящей группе иодирующим агентом. Данную стадию осуществляют так, как описано на стадии А2 способа А.
На стадии С3 соединение общей формулы (XXXI) получают взаимодействием соединения (XXX) с соединением (V) в инертном растворителе в присутствии основания. Данную стадию осуществляют так, как описано на стадии A3 способа А.
На стадии С4 соединение общей формулы (XXXII) получают гидролизом соединения (XXXI) с основанием в инертном растворителе. Данную стадию осуществляют так, как описано на стадии А4 способа А.
Стадия С5 является стадией превращения карбоксильной группы в карбамоильную группу путем проведения реакции перегруппировки по Курциусу, и на данной стадии соединение общей формулы (XXXIII) синтезируют, осуществляя взаимодействие соединения (XXXII) с производным диарилфосфорилазида, таким как дифенилфосфорилазид, в инертном растворителе в присутствии основания, и затем, осуществляя взаимодействие полученного продукта с соединением (VIII). Данную стадию осуществляют так, как описано на стадии А5 способа А.
На стадии С6 соединение (XIV) получают восстановлением сложноэфирной группы соединения (XXXIII). Данную стадию осуществляют так, как описано на стадии А6 способа А.
По окончании реакции целевые соединения (XIV) данной реакции могут быть извлечены из реакционной смеси традиционными способами. Например, целевое соединение может быть получено последовательным проведением таких стадий, как соответствующая нейтрализация реакционной смеси, удаление, при необходимости, нерастворимого вещества(в) путем фильтрования, добавление органического растворителя, не смешивающегося с водой (например, этилацетата), отделение органического слоя, содержащего целевое соединение, промывка экстракта, например, водой, и затем сушка над безводным сульфатом магния, безводным сульфатом натрия, безводным бикарбонатом натрия или тому подобное и удаление растворителя путем выпаривания. Целевое соединение может быть выделено и очищено, если это необходимо, подходящей комбинацией традиционных способов, обычно используемых для разделения и очистки органических соединений, таких как перекристаллизация, переосаждение и хроматография с использованием подходящего элюента(ов).
На стадии С7 соединение общей формулы (XXXV) получают взаимодействием соединения общей формулы (XXXIV) с восстановителем в инертном растворителе в присутствии или в отсутствие основания (предпочтительно в присутствии основания). Данную стадию осуществляют так, как описано на стадии А1 способа А.
На стадии С8 соединение общей формулы (XXXVI) получают превращением гидроксильной группы соединения (XXXV) в уходящую группу в инертном растворителе в присутствии основания и затем проведением реакции иодирования. Данную стадию осуществляют так, как описано на стадии А2 способа А.
На стадии С9 соединение общей формулы (XXXVII) получают взаимодействием соединения (XXXVI) с соединением (V) в инертном растворителе в присутствии основания. Данную стадию осуществляют так, как описано на стадии A3 способа А.
На стадии С10 соединение общей формулы (XXXVIII) получают гидролизом соединения (XXXVII) с основанием в инертном растворителе. Данную стадию осуществляют так, как описано на стадии А4 способа А.
Стадия С11 является стадией превращения карбоксильной группы в карбамоильную группу путем проведения реакции перегруппировки по Курциусу, и на данной стадии соединение общей формулы (XXXIX) синтезируют взаимодействием соединения (XXXVIII) с производным диарилфосфорилазида, таким как дифенилфосфорилазид, в инертном растворителе в присутствии основания и затем осуществлением взаимодействия полученного продукта с соединением (VIII). Данную стадию осуществляют так, как описано на стадии А5 способа А.
На стадии С12 соединение (XL) получают восстановлением сложноэфирной группы соединения (XXXIX). Данную стадию осуществляют так, как описано на стадии А6 способа А.
На стадии С13 соединение (XIVa) получают взаимодействием соединения (XL) с бромирующим агентом.
Растворитель, используемый в указанной выше реакции, особо не ограничивают при условии, что он не оказывает вредного влияния на реакцию. Примеры подходящих растворителей включают галогенированные углеводороды, такие как метиленхлорид, хлороформ, тетрахлорид углерода, дихлорэтан, хлорбензол или дихлорбензол; простые эфиры, такие как диэтиловый эфир, диизопропиловый эфир, тетрагидрофуран, диоксан, диметоксиэтан или диметиловый эфир ди(этиленгликоля), или амиды, такие как формамид, диметилформамид, диметилацетамид или гексаметилфосфотриамид. Предпочтительными являются амиды, причем наиболее предпочтительным является диметилформамид.
Бронирующий агент, используемый в данной реакции, особо не ограничивают. Примеры подходящих бромирующих агентов включают бронирующие агенты, описанные в “Comprehensive Organic Transformation” (Larock, VCH, p. 316-317), причем предпочтительным является N-бромсукцинимид или бром.
Температура реакции, в основном, зависит от исходных соединений, бромирующего агента и растворителя, используемых в реакции. Реакцию обычно осуществляют при температуре от -78 С до 150 С, предпочтительно от -20 С до 100 С.
Время реакции, в основном, зависит от исходных соединений, бромирующего агента, растворителя и температуры реакции, используемых в реакции. Реакцию обычно осуществляют за период от 5 минут до 48 часов, предпочтительно от 30 минут до 24 часов.
По окончании реакции целевые соединения (XIVa) данной реакции могут быть извлечены из реакционной смеси традиционными способами. Например, целевое соединение может быть получено последовательным проведением таких стадий, как соответствующая нейтрализация реакционной смеси, удаление, при необходимости, нерастворимого вещества(в) путем фильтрования, добавление органического растворителя, не смешивающегося с водой (например, этилацетата), отделение органического слоя, содержащего целевое соединение, промывка экстракта, например, водой, и затем сушка над безводным сульфатом магния, безводным сульфатом натрия, безводным бикарбонатом натрия или тому подобное и удаление растворителя путем выпаривания. Целевое соединение может быть выделено и очищено, если это необходимо, подходящей комбинацией традиционных способов, обычно используемых для разделения и очистки органических соединений, таких как перекристаллизация, переосаждение и хроматография с использованием подходящего элюента(ов).
В способе D получают соединение (IIа), которое является соединением (II), где Х представляет этиниленовую группу, соединение (IIb), которое является соединением (II), где Х представляет этиленовую группу, соединение (IIс), которое является соединением (II), где Х представляет виниленовую группу, соединение (IId), которое является соединением (II), где Х представляет группу “-СО-СН2-”, соединение (IIе), которое является соединением (II), где Х представляет группу “-СН(ОН)-СН2-”, соединение (IIf), которое является соединением (II), где Х представляет арильную группу или арильную группу, замещенную 1-3 заместителями, выбранными из замещающих фрагментов а, и соединение (IIg), которое является соединением (II), где Х представляет атом кислорода или атом серы
На приведенной схеме R5a, R6a, R7a, R8, n, Xa, Y, Ya и кольцо А имеет указанные выше значения.
На стадии D1 соединение (IIа) синтезируют с использованием реакции сочетания (Sonogashira) соединения (XXVIII) и соединения (XV) в инертном растворителе в присутствии основания и палладиевого катализатора. Данную стадию осуществляют так, как описано выше на стадии В1 способа В.
На стадии D2 соединение (IIb) получают восстановлением соединения (IIа) в инертном растворителе (предпочтительно каталитическим гидрированием при комнатной температуре в присутствии катализатора). Данную стадию осуществляют так, как описано выше на стадии В5 способа В.
На стадии D3 соединение (IIе) получают взаимодействием соединения (XV) с катехолбораном с последующим проведением реакции сочетания по Сузуки (Suzuki) полученного продукта и соединения (XXVIII). Данную стадию осуществляют так, как описано выше на стадии В3 способа В.
На стадии D4 соединение общей формулы (IId) получают обработкой соединения (IIa) в инертном растворителе методиками, включающими добавление воды в присутствии кислотного катализатора или реакцию оксимеркурирования с оксидом ртути. Данную стадию осуществляют так, как описано выше на стадии В8 способа В.
На стадии D5 соединение (IIе) получают восстановлением соединения (IId) в инертном растворителе. Данную стадию осуществляют так, как описано выше на стадии В11 способа В.
На стадии D6 соединение (IIf) синтезируют путем проведения реакции сочетания по Сузуки соединения (XXI) и соединения (XXVIII). Данную стадию осуществляют так, как описано выше на стадии В3 способа В.
На стадии D7 соединение (IIg) получают взаимодействием соединения (XXVIII) с солью щелочного металла соединения (XXIII) в условиях отсутствия растворителя или в инертном растворителе в присутствии медного катализатора. Данную стадию осуществляют так, как описано выше на стадии В14 способа В.
На стадии D8 соединение общей формулы (XLI) получают осуществлением взаимодействия соединения (XXVIII) с соединением (XXV). Данную стадию осуществляют так, как описано выше на стадии В1 способа В.
На стадии D9 соединение (IIа-1), которое является соединением (IIа), где Y представляет группу “-Yа-О-”, получают взаимодействием соединения (XLI) с соединением (XXVII). Данную стадию осуществляют так, как описано выше на стадии В17 способа В.
В способе Е получают соединения (XLIVa), (XLIVb), (La) и (Lb), являющиеся промежуточными продуктами для получения соединения (I) по настоящему изобретению
А
На приведенной схеме R1, R2, R3, R4a, R11, Ar, m и Z имеют указанные выше значения.
На стадии Е1 соединение общей формулы (XLIVa) или соединение общей формулы (XLIVb) получают избирательным ацилированием только одной гидроксильной группы соединения общей формулы (XLII) соединением общей формулы (XLIII) в присутствии или в отсутствие растворителя и в присутствии липазы.
Растворитель, используемый в настоящем изобретении, особо не ограничивают. Реакция протекает без проблем даже при использовании только соединения (XLIII) без всякого растворителя. Кроме того, можно использовать самые разные органические растворители и смеси воды и органических растворителей, хотя наиболее предпочтительный растворитель в данной реакции бывает разным в зависимости от характера соединения, используемого в качестве исходного соединения. Примеры предпочтительного растворителя включают простые эфиры, такие как диизопропиловый эфир, трет-бутилметиловый эфир, диэтиловый эфир или тетрагидрофуран, алифатические углеводороды, такие как н-гексан или н-пентан, ароматические углеводороды, такие как бензол или толуол, или галогенированные углеводороды, такие как метиленхлорид или 1,2-дихлорэтан. Предпочтительными являются простые эфиры, а наиболее предпочтительным является диизопропиловый эфир.
Температура реакции, в основном, зависит от исходных соединений, растворителя, липазы и характера соединения (XLIII), используемого в реакции. Реакцию обычно осуществляют при температуре от -50 С до 50 С, предпочтительно от 0 С до 40 С.
Время реакции, в основном, зависит от исходных соединений, растворителя, липазы и характера соединения (XLIII), используемого в реакции. Реакцию обычно осуществляют за период от 15 минут до 150 часов, предпочтительно от 30 минут до 24 часов.
По окончании реакции целевые соединения (XLIVa) и (XLIVb) данной реакции могут быть извлечены из реакционной смеси традиционными способами. Например, после удаления, при необходимости, нерастворимого вещества(в) путем фильтрования, целевое соединение может быть получено концентрированием реакционной смеси или последовательным проведением таких стадий, как добавление органического растворителя, не смешивающегося с водой (например, этилацетата), отделение органического слоя, содержащего целевое соединение, и затем сушка над безводным сульфатом магния, безводным сульфатом натрия или тому подобное и удаление растворителя путем выпаривания.
Полученное целевое соединение может быть выделено и очищено, если это необходимо, традиционными способами, такими как перекристаллизация, переосаждение или хроматография с использованием подходящего элюента(ов).
На стадии Е2 соединение общей формулы (XLV) получают окислением спиртовой группы соединения (XLIVa) в альдегидную группу в инертном растворителе в присутствии окислителя.
Реакцию окисления, применяемую на данной стадии, особо не ограничивают при условии, что ее можно использовать для получения альдегидной группы из первичной спиртовой группы. Примеры подходящих реакций включают окисление по Коллинзу (Collins), проводимое с использованием пиридина и хромовой кислоты в метиленхлориде; РСС окисление, проводимое с использованием пиридинийхлорхромата (ПХХ, РСС) в метиленхлориде; PDC окисление, проводимое с использованием пиридинийдихромата (ПДХ, PDC) в метиленхлориде; диметилсульфоксидное (ДМСО, DMSO) окисление, такое как окисление по Сверну (Swern), проводимое с использованием электрофильного агента (например, уксусного ангидрида, фторуксусного ангидрида, тионилхлорида, сульфурилхлорида, оксалилхлорида, дициклогексилкарбодиимида, дифенилкетен-п-толилимина; N,N-диэтиламиноацетилена; или комплекса триоксид серы-пиридин) и диметилсульфоксида (ДМСО) в метиленхлориде, и окисление с оксидом марганца, проводимое с использованием оксида марганца в метиленхлориде или бензоле. Из указанных реакций окисления предпочтительным является РСС окисление или окисление по Сверну, проводимое в метиленхлориде.
Температура реакции, в основном, зависит от исходных соединений, растворителя и окислителя, используемых в реакции. Реакцию обычно осуществляют при температуре от -50 С до 50 С, предпочтительно от -10 С до 30 С.
Время реакции, в основном, зависит от исходных соединений, растворителя и окислителя, используемых в реакции. Реакцию обычно осуществляют за период от 10 минут до 2 дней, предпочтительно от 30 минут до 24 часов.
Например, после нейтрализации окислителя гидросульфитом натрия и удаления, если это требуется, нерастворимого вещества(в) путем фильтрования, целевое соединение может быть получено концентрированием реакционной смеси или последовательным проведением таких стадий, как добавление органического растворителя, не смешивающегося с водой (например, этилацетата), отделение органического слоя, содержащего целевое соединение, и затем сушка над безводным сульфатом магния, безводным сульфатом натрия или тому подобное и удаление растворителя путем выпаривания.
Полученное целевое соединение может быть выделено и очищено, если это необходимо, традиционными способами, такими как перекристаллизация, переосаждение или хроматография с использованием подходящего элюента(ов).
На стадии Е3 соединение общей формулы (XLVII) получают взаимодействием альдегидной группы соединения (XLV) с соединением общей формулы (XLVI) в инертном растворителе в присутствии основания.
Растворитель, используемый в указанной выше реакции, особо не ограничивают при условии, что он не оказывает вредного влияния на реакцию. Примеры предпочтительных растворителей включают ароматические углеводороды, такие как бензол, толуол или ксилол; галогенированные углеводороды, такие как метиленхлорид, хлороформ, тетрахлорид углерода, 1,2-дихлорэтан, хлорбензол или дихлорбензол; простые эфиры, такие как диэтиловый эфир, диизопропиловый эфир, трет-бутилметиловый эфир или тетрагидрофуран; нитрилы, такие как ацетонитрил или изобутиронитрил; амиды, такие как формамид, N,N-диметилформамид, N,N-диметилацетамид или гексаметилфосфортриамид, или сульфоксиды, такие как диметилсульфоксид или сульфолан, причем предпочтительными являются простые эфиры.
Основание, используемое в данной реакции, особо не ограничивают при условии, что его можно использовать в качестве основания в обычных реакциях. Примеры предпочтительных оснований включают неорганические основания, включающие карбонаты щелочных металлов, такие как карбонат натрия, карбонат калия или карбонат лития, бикарбонаты щелочных металлов, такие как бикарбонат натрия, бикарбонат калия или бикарбонат лития, гидриды щелочных металлов, такие как гидрид лития, гидрид натрия или гидрид калия, гидроксиды щелочных металлов, такие как гидроксид натрия, гидроксид калия, гидроксид бария или гидроксид лития, фториды щелочных металлов, такие как фторид натрия или фторид калия, алкоксиды щелочных металлов, такие как метоксид натрия, этоксид натрия, метоксид калия, этоксид калия, трет-бутоксид калия или метоксид лития, органические амины, такие как N-метилморфолин, триэтиламин, трипропиламин, трибутиламин, диизопропилэтиламин, дициклогексиламин, N-метилпиперидин, 4-пирролидинопиридин, пиколин, 4-(N,N-диметиламино)пиридин, 2,6-ди(трет-бутил)-4-метилпиридин, N,N-диметиланилин, N,N-диэтиланилин, 1,4-диазабицикло[4,3,0]октан (DABCO), 1,8-диазабицикло[5,4,0]ундец-7-ен (DBU) или 1,5-диазабицикло[4,3,0]нон-5-ен (DBN), или органические металлические основания, такие как бутиллитий, диизопропиламид лития, бис(триметилсилил)амид лития, более предпочтительными примерами являются алкоксиды щелочных металлов, гидриды щелочных металлов и органические металлические основания.
Температура реакции, в основном, зависит от исходных соединений, растворителя, соли фосфония и основания, используемых в реакции. Реакцию обычно осуществляют при температуре от -80 С до 100 С, предпочтительно от -20 С до 50 С.
Время реакции в основном зависит от исходных соединений, растворителя, соли фосфония и основания, используемых в реакции. Реакцию обычно осуществляют за период от 10 минут до 2 дней, предпочтительно от 30 минут до 12 часов.
Например, после нейтрализации реакционной смеси разбавленной хлористоводородной кислотой и удаления, если это требуется, нерастворимого вещества(в) путем фильтрования, целевое соединение может быть получено концентрированием реакционной смеси или последовательным проведением таких стадий, как добавление органического растворителя, не смешивающегося с водой (например, этилацетата), отделение органического слоя, содержащего целевое соединение, и затем сушка над безводным сульфатом магния, безводным сульфатом натрия или тому подобное и удаление растворителя путем выпаривания.
Полученное целевое соединение может быть выделено и очищено, если это необходимо, традиционными способами, такими как перекристаллизация, переосаждение или хроматография с использованием подходящего элюента(ов).
На стадии Е4 соединение общей формулы (XLVIII) получают гидролизом соединения (XLVII) в инертном растворителе в присутствии основания.
Растворитель, используемый в указанной выше реакции, особо не ограничивают при условии, что он не оказывает вредного влияния на реакцию и до некоторой степени растворяет исходные материалы. Примеры предпочтительных растворителей включают спирты, такие как метанол или этанол; ароматические углеводороды, такие как бензол, толуол или ксилол; галогенированные углеводороды, такие как метиленхлорид, хлороформ, тетрахлорид углерода или дихлорэтан; простые эфиры, такие как диэтиловый эфир, тетрагидрофуран, диоксан, диметоксиэтан или диметиловый эфир ди(этиленгликоля), и смеси указанных растворителей или смеси указанных растворителей и воды. Из указанных растворителей более предпочтительными являются спирты и простые эфиры.
Основание, используемое в данной реакции, особо не ограничивают при условии, что его можно использовать в качестве основания в обычных реакциях. Примеры предпочтительных оснований включают гидроксиды щелочных металлов, такие как гидроксид натрия, гидроксид калия, гидроксид лития или гидроксид бария.
Температура реакции, в основном, зависит от исходных соединений, растворителя и основания, используемых в реакции. Реакцию обычно осуществляют при температуре от -20 С до 200 С, предпочтительно от 0 С до 20 С.
Время реакции, в основном, зависит от исходных соединений, температуры реакции, растворителя и основания, используемых в реакции. Реакцию обычно осуществляют за период от 30 минут до 48 часов, предпочтительно от 1 часа до 24 часов.
Например, после нейтрализации реакционной смеси разбавленной хлористоводородной кислотой и удаления, если это требуется, нерастворимого вещества(в) путем фильтрования, целевое соединение может быть получено концентрированием реакционной смеси или последовательным проведением таких стадий, как добавление органического растворителя, не смешивающегося с водой (например, этилацетата), отделение органического слоя, содержащего целевое соединение, и затем сушка над безводным сульфатом магния, безводным сульфатом натрия или тому подобное и удаление растворителя путем выпаривания.
Полученное целевое соединение может быть выделено и очищено, если это необходимо, традиционными способами, такими как перекристаллизация, переосаждение или хроматография с использованием подходящего элюента(ов).
Стадия Е5 является стадией получения соединения общей формулы (IL), и на данной стадии соединение (XLVIII) превращают в соединение (IL) в инертном растворителе в присутствии основания.
Растворитель, используемый в указанной выше реакции, особо не ограничивают при условии, что он не оказывает вредного влияния на реакцию и до некоторой степени растворяет исходные материалы. Примеры предпочтительных растворителей включают простые эфиры, такие как диэтиловый эфир, диоксан, тетрагидрофуран, диметоксиэтан или диметиловый эфир ди(этиленгликоля); амиды, такие как N,N-диметилформамид, N,N-диметилацетамид, N-метил-2-пирролидон, N-метилпирролидинон или гексаметилфосфотриамид, или ароматические углеводороды, такие как бензол, толуол или ксилол, а более предпочтительными примерами являются простые эфиры и амиды.
Основание, используемое в данной реакции, особо не ограничивают при условии, что его можно использовать в качестве основания в обычных реакциях. Примеры предпочтительных оснований включают неорганические основания, включающие гидриды щелочных металлов, такие как гидрид лития, гидрид натрия или гидрид калия, фториды щелочных металлов, такие как фторид натрия или фторид калия, алкоксиды щелочных металлов, такие как метоксид натрия, этоксид натрия, метоксид калия, этоксид калия, трет-бутоксид калия или метоксид лития, или органические металлические основания, такие как бутиллитий, диизопропиламид лития или бис(триметилсилил)амид лития, и более предпочтительными примерами являются алкоксиды щелочных металлов и гидриды щелочных металлов.
Температура реакции, в основном, зависит от исходных соединений, растворителя и основания, используемых в реакции. Реакцию обычно осуществляют при температуре от -80 С до 100 С, предпочтительно от 0 С до 50 С.
Время реакции, в основном, зависит от исходных соединений, температуры реакции, растворителя и основания, используемых в реакции. Реакцию обычно осуществляют за период от 5 минут до 48 часов.
Например, после нейтрализации реакционной смеси разбавленной хлористоводородной кислотой и тому подобное и удаления, если это требуется, нерастворимого вещества(в) путем фильтрования, целевое соединение может быть получено концентрированием реакционной смеси или последовательным проведением таких стадий, как добавление органического растворителя, не смешивающегося с водой (например, этилацетата), отделение органического слоя, содержащего целевое соединение, и затем сушка над безводным сульфатом натрия, безводным сульфатом магния или тому подобное и удаление растворителя путем выпаривания.
Полученное целевое соединение может быть выделено и очищено, если это необходимо, традиционными способами, такими как перекристаллизация, переосаждение или хроматография с использованием подходящего элюента(ов).
Стадия Е6 является стадией получения соединения (La-1), которое является соединением (La), где R1 представляет атом галогена и R2 и R3а вместе образуют группу (-(С=O)-). На данной стадии соединение (IL) превращают в целевое соединение (La-1) в инертном растворителе в присутствии восстановителя.
Растворитель, используемый в указанной выше реакции, особо не ограничивают при условии, что он не оказывает вредного влияния на реакцию и до некоторой степени растворяет исходные материалы. Примеры предпочтительных растворителей включают спирты, такие как метанол, этанол или изопропанол; простые эфиры, такие как диэтиловый эфир, диизопропиловый эфир, трет-бутилметиловый эфир, тетрагидрофуран или диоксан; ароматические углеводороды, такие как бензол, толуол или ксилол; алифатические углеводороды, такие как гексан или циклогексан, или сложные эфиры, такие как этилацетат или пропилацетат. Из указанных растворителей предпочтительными являются спирты.
Восстановитель, используемый в данной реакции, особо не ограничивают при условии, что он является обычно используемым в реакциях каталитического гидрирования. Примеры предпочтительных восстановителей включают палладий на активированном угле, оксид платины, платиновую чернь, родийалюминийоксид, трифенилфосфинродийхлорид (комплекс Уилкинсона (Wilkinson)), палладийбарийсульфат или никель Ренея, и наиболее предпочтительным является палладий на активированном угле.
Давление в реакции восстановления особо не ограничивают, но обычно реакцию осуществляют при давлении от 1 до 10 атм.
Температура реакции, в основном, зависит от исходных соединений, растворителя и основания, используемых в реакции. Реакцию обычно осуществляют при температуре от 0 С до 100 С.
Время реакции, в основном, зависит от исходных соединений, температуры реакции, растворителя и основания, используемых в реакции. Реакцию обычно осуществляют за период от 5 минут до 48 часов.
Например, после удаления катализатора путем фильтрования, целевое соединение может быть получено концентрированием реакционной смеси или последовательным проведением таких стадий, как добавление органического растворителя, не смешивающегося с водой (например, этилацетата), отделение органического слоя, содержащего целевое соединение, и затем сушка над безводным сульфатом натрия, безводным сульфатом магния или тому подобное и удаление растворителя путем выпаривания.
Полученное целевое соединение может быть выделено и очищено, если это необходимо, традиционными способами, такими как перекристаллизация, переосаждение или хроматография с использованием подходящего элюента(ов).
На стадии Е7 соединение (XLVII) превращают в соединение общей формулы (LI) в инертном растворителе в присутствии восстановителя. Данную стадию осуществляют так, как описано выше на стадии Е6 способа Е.
На стадии Е8 соединение (La-2), которое является соединением (La), где R3а представляет атом водорода, получают гидролизом соединения (LI) в инертном растворителе в присутствии основания. Данную стадию осуществляют так, как описано выше на стадии Е4 способа Е.
Стадия Е9 является стадией получения соединения (La-1), и на данной стадии соединение (La-2) превращают в соединение (La-1) в инертном растворителе в присутствии основания. Данную стадию осуществляют так, как описано выше на стадии Е5 способа Е.
На стадии Е10, если это нужно, соединение (La-3), которое является соединением (La), где R2 и R3a вместе не образуют группу (-(С=O)-), получают путем защиты гидроксильной группы соединения (La-2). Реакция данной стадии зависит от характера защищаемой гидроксильной группы, но может быть осуществлена по методикам, описанным, например, в Protective Groups in Organic Synthesis (third Edition, 1999, John Wiley @ Sons, Inc.).
Альтернативно, может быть получено соединение (Lb-3) путем последовательного проведения стадий Е2-Е10 способа Е с использованием соединения (XLIVb) в качестве исходного соединения вместо соединения (XLIVa).
В способе F синтезируют соединение (XLVI)
Способ F
На приведенной выше схеме Аr и Z имеют указанные выше значения.
На стадии 1 соединение (XLVI) получают взаимодействием соединения общей формулы (LII) с трифенилфосфином в инертном растворителе.
Инертный растворитель, используемый в указанной выше реакции, особо не ограничивают при условии, что он не оказывает вредного влияния на реакцию. Примеры подходящих растворителей включают алифатические углеводороды, такие как гексан, гептан, лигроин или петролейный эфир; ароматические углеводороды, такие как бензол, толуол или ксилол; галогенированные углеводороды, такие как метиленхлорид, хлороформ, тетрахлорид углерода, дихлорэтан, хлорбензол или дихлорбензол, или простые эфиры, такие как диэтиловый эфир, диизопропиловый эфир, тетрагидрофуран, диоксан, диметоксиэтан или диметиловый эфир ди(этиленгликоля). Из указанных растворителей предпочтительными являются ароматические углеводороды (особенно бензол).
Температура реакции, в основном, зависит от исходных соединений и растворителя, используемых в реакции. Реакцию обычно осуществляют при температуре от комнатной температуры до 200 С, предпочтительно от 0 С до 150 С и наиболее предпочтительно при 110 С.
Время реакции, в основном, зависит от температуры реакции, исходных соединений и растворителя, используемых в реакции. Реакцию обычно осуществляют за период от 5 минут до 96 часов, предпочтительно от 15 минут до 48 часов и наиболее предпочтительно за 24 часа.
Продукт, полученный описанным образом на каждой стадии способа F, может быть, при необходимости, выделен и очищен традиционными способами, такими как перекристаллизация, переосаждение или способами, обычно используемыми для выделения и очистки органических соединений. Примеры подходящих способов включают адсорбционную колоночную хроматографию с использованием неподвижной фазы, такой как силикагель, оксид алюминия или флорисил, состоящий из смеси магний-силикагель; распределительную хроматографию с использованием синтетического адсорбента, такого как Sephadex LH-20 (Pharmacia), Amberlit XAD-11 (Rohm & Haas) или Diaion HP-20 (Mitsubishi Chemical Company); ионообменную хроматографию или жидкостную хроматографию с обычной или обращенной фазой с использованием силикагеля или алкилированного силикагеля (предпочтительно высокоэффективную жидкостную хроматографию). Целевое соединение, полученное на каждой стадии, выделяют и очищают любым из указанных способов или подходящей комбинацией указанных способов с использованием подходящего растворителя(ей) в качестве элюента. Разделение изомеров можно осуществлять, если требуется, любым из указанных выше способов разделения и очистки по окончании реакции на каждой стадии или на подходящем этапе после завершения требуемой стадии.
Соединения, такие как (XXVIII), (XXXIV), (XLII), (XLIII) и (LII), используемые в качестве исходных соединений, либо являются известными соединениями, либо могут быть легко получены известными или подобными способами.
Преимущество изобретения
Аминоспиртовые производные общей формулы (I) по настоящему изобретению, их фармацевтически приемлемые соли, сложные эфиры или другие их производные проявляют высокий иммунодепрессивный эффект при низкой токсичности. Кроме того, фармацевтические композиции, содержащие соединение общей формулы (I) по настоящему изобретению, или его фармацевтически приемлемую соль, сложный эфир или другое его производное в качестве активного компонента, полезны как средства для профилактики и/или лечения, в частности, аутоиммунных заболеваний, таких как системная красная волчанка, ревматоидный артрит, полимиозит, дерматомиозит, склеродермия, синдром Бехчета, болезнь Крона, язвенный колит, аутоиммунный гепатит, апластическая анемия, идиопатическая тромбоцитопеническая пурпура, аутоиммунная гемолитическая анемия, рассеянный склероз, аутоиммунный буллез, псориаз обыкновенный, васкулитный синдром, гранулема Вегенера, увеит, криптогенный фиброзный альвеолит, синдром Гудпасчера, саркоидоз, аллергический гранулематозный ангиит, бронхиальная астма, миокардит, кардиомиопатия, синдром дуги аорты, миокардный постинфарктный синдром, первичная легочная гипертензия, нефротический синдром с минимальными изменениями, мембранозная нефропатия, мембранозно-пролиферативный гломерулонефрит, очаговый гломерулярный склероз, серповидный гломерулонефрит, миастения тяжелая псевдопаралитическая, воспалительная невропатия, атопический дерматит, хронический актинический дерматит, острый полиартрит, хорея Сиденгама, прогрессирующий системный склероз, сахарный диабет взрослых, инсулинзависимый сахарный диабет, ювенильный диабет, атеросклероз, гломерулярный нефрит, канальцево-интерстициальный нефрит, первичный билиарный цирроз печени, первичный склерозирующий холангит, скоротечная печеночная недостаточность, вирусный гепатит, GVHD (болезнь “трансплантат против хозяина”), иммунологическое отторжение после трансплантации органа, контактный дерматит, сепсис или другие заболевания, связанные с иммунологией.
Кроме того, новые оптически активные аминоспиртовые соединения, такие как (La) и (Lb) настоящего изобретения, полезны как промежуточные продукты для изготовления лекарственных средств.
С другой стороны, оптически активные 2-замещенные производные сложного моноэфира 2-амино-1,3-пропандиола формул (XLIVa) или (XLIVb) являются предпочтительными синтетическими промежуточными соединениями для получения указанных выше оптически активных аминоспиртов формул (La) и (Lb) и могут быть легко и с высоким выходом получены путем избирательного ацилирования только одной из гидроксильных групп производного 2-замещенного 2-амино-1,3-пропандиола (XLII), используемого в качестве исходного соединения, с использованием производного винилкарбоксилата (XLIII) в присутствии липазы.
Промышленная применимость
Соединения общей формулы (I) по настоящему изобретению и их фармацевтически приемлемые соли или сложные эфиры могут быть применены для лечения или профилактики указанных выше заболеваний в виде подходящей дозированной формы, которую изготавливают из соединения только или в смеси с подходящим фармакологически приемлемым эксципиентом и/или разбавителем, такой как таблетки, капсулы, гранулы, порошки или сиропы для перорального введения или инъекционные растворы или суппозитории для парентерального введения.
Указанные композиции могут быть изготовлены в соответствии с хорошо известной технологией с использованием добавок, таких как эксципиенты, смазывающие вещества, связывающие вещества, дезинтеграторы, стабилизаторы, корригенты и/или разбавители. Примеры подходящих эксципиентов включают органические эксципиенты, включающие производные глюкозы, такие как лактоза, сахароза, глюкоза, маннит и сорбит; производные крахмала, такие как кукурузный крахмал, картофельный крахмал, -крахмал и декстрин; производные целлюлозы, такие как кристаллическая целлюлоза; аравийскую камедь; декстран и Пуллулан, и неорганические эксципиенты, включающие производные силиката, такие как безводная легкая кремниевая кислота, синтетический силикат алюминия, силикат кальция и метаалюмосиликат магния; фосфаты, такие как гидрофосфат кальция, карбонаты, такие как карбонат кальция, и сульфаты, такие как сульфат кальция. Примеры подходящих смазывающих веществ включают стеариновую кислоту; стеараты металлов, такие как стеарат кальция и стеарат магния; тальк; коллоидный диоксид кремния; воски, такие как пчелиный воск или спермацет; борную кислоту; адипиновую кислоту; сульфаты, такие как сульфат натрия; гликоль; фумаровую кислоту; бензоат натрия; DL лейцин; натриевую соль жирной кислоты; лаурилсульфаты, такие как лаурилсульфат натрия или лаурилсульфат магния; силикаты, такие как безводная кремниевая кислота или кремниевый гидрат, и указанные выше производные крахмала. Примеры подходящих связывающих веществ включают гидроксипропилцеллюлозу, гидроксипропилметилцеллюлозу, поливинилпирролидон, Макрогол и соединения, описанные выше как эксципиенты. Примеры подходящих дезинтеграторов включают производные целлюлозы, такие как низкозамещенная гидроксипропилцеллюлоза, карбоксиметилцеллюлоза, кальцийкарбоксиметилцеллюлоза, натрийкарбоксиметилцеллюлоза с внутренними поперечными связями; химически модифицированные производные крахмалцеллюлозы, такие как карбоксиметилкрахмал, натрийкарбоксиметилкрахмал или сетчатый поливинилпирролидон. Примеры подходящих стабилизаторов включают сложные эфиры п-гидроксибензойной кислоты, такие как метилпарабен или пропилпарабен; спирты, такие как хлорбутанол, бензиловый спирт или фенилэтиловый спирт; бензалконийхлорид; фенолы, такие как фенол или крезол; тимеросал; дегидроуксусную кислоту и сорбиновую кислоту. Корригенты включают подслащиватели, подкисляющие средства и вкусовые вещества, которые обычно используют в данной области.
Доза может изменяться в зависимости от самых разных факторов, таких как симптомы и возраст больного и способ введения. Подходящий уровень дозы для перорального введения составляет от 0,05 мг (предпочтительно 5 мг) в сутки как нижний предел до 200 мг (предпочтительно 40 мг) в сутки как верхний предел для взрослых. С другой стороны, подходящий уровень дозы для внутривенного введения составляет от 0,01 мг (предпочтительно 1 мг) в сутки как нижний предел до 100 мг (предпочтительно 10 мг) в сутки как верхний предел для взрослых. Доза может быть либо введена как одна разовая доза, либо, если это нужно, разделена на удобные подъединицы и введена за один-шесть раз в течение суток в зависимости от симптомов у пациента.
Наилучший способ осуществления изобретения
Настоящее изобретение далее описано на примерах и примерах испытаний, но указанные примеры и примеры испытаний не ограничивают настоящее изобретение.
Пример 1
(2R)-Амино-2-метил-4-[5-(5-циклогексилпент-1-инил)тиофен-2-ил]бутан-1-ол (пример соединения №1-770)
Пример 1(а)
Диэтиловый эфир 2-метил-2-(2-тиенил)этилмалоновой кислоты
Гидрид натрия (55%, 18,8 г, 0,43 моль) суспендировали в диметилформамиде (200 мл) и к полученной суспензии медленно добавляли в течение 30 минут на ледяной бане диэтиловый эфир метилмалоновой кислоты (50,0 г, 0,29 моль), после чего реакционный раствор перемешивали 30 минут. В реакционный раствор добавляли 2-(2-иодэтил)тиофен (75,2 г, 0,32 моль), растворенный в диметилформамиде (200 мл), в атмосфере азота в течение 15 минут и затем реакционную смесь перемешивали 4 часа при комнатной температуре. Реакционную смесь вливали в охлаждаемую льдом 10% хлористоводородную кислоту (500 мл) и экстрагировали этилацетатом. Органический слой промывали насыщенным водным раствором хлорида натрия и сушили над безводным сульфатом магния. Растворитель концентрировали при пониженном давлении и остаток очищали флэш-хроматографией на колонке с силикагелем (элюирующий растворитель: гексан:этилацетат = 10:1-5:1) с получением указанного в заголовке соединения (53,1 г, выход 65%) в виде бесцветного масла.
ИК, Vmах см-1 (СНСl3): 2986, 1726, 1271, 1252.
MC m/z: 285 ((М+Н)+).
Пример 1(b)
Моноэтиловый эфир 2-метил-2-(2-тиенил)этилмалоновой
кислоты
Диэтиловый эфир 2-метил-2-(2-тиенил)этилмалоновой кислоты (52,7 г, 0,19 моль), полученный в примере 1(а), растворяли в смеси этанола (240 мл) и воды (80 мл), к полученному раствору на ледяной бане добавляли гидроксид калия (11,4 г, 0,20 моль) и перемешивали раствор в течение 2 часов. Затем к раствору трижды добавляли гидроксид калия (5,7 г, 0,1 моль) по одной порции через каждый час и перемешивали реакционный раствор в общем в течение 6 часов. Добавляли в реакционный раствор воду (300 мл) и охлаждаемую льдом 10% хлористоводородную кислоту (500 мл) и раствор экстрагировали этилацетатом. Органический слой промывали насыщенным водным раствором хлорида натрия и сушили над безводным сульфатом магния. Растворитель концентрировали в вакууме и остаток очищали флэш-хроматографией на колонке с силикагелем (элюирующий растворитель: гексан:этилацетат = 2:1-0:1) с получением указанного в заголовке соединения (28,6 г, выход 60%) в виде бледно-желтого масла.
ИК, Vmах см-1 (СНСl3): 2987, 1732, 1712, 1251, 1109.
MC (FAB) м/z: 257 ((М + Н)+).
Пример 1(с)
Сложный этиловый эфир 2-метоксикарбониламино-2-метил-4-(2-тиенил)бутановой кислоты
Моноэтиловый эфир 2-метил-2-(2-тиенил)этилмалоновой кислоты (19,0 г, 74,3 ммоль), полученный в примере 1(b), растворяли в бензоле (450 мл), к полученному раствору добавляли триэтиламин (11,4 мл, 81,7 ммоль) и азид дифенилфосфорной кислоты (17,6 мл, 81,7 ммоль) и после перемешивания в течение 10 минут при комнатной температуре реакционный раствор перемешивали еще 1,5 часа при 80 С. Затем к раствору при 80 С медленно добавляли по каплям в течение 30 минут метанол (60,3 мл, 1,49 моль) с последующим перемешиванием в течение 8 часов. Реакционную смесь вливали в воду (500 мл) и экстрагировали этилацетатом. Органический слой промывали насыщенным водным раствором хлорида натрия и сушили над безводным сульфатом магния. Растворитель концентрировали в вакууме и остаток очищали флэш-хроматографией на колонке с силикагелем (элюирующий растворитель: гексан:этилацетат = 8:1-4:1) с получением указанного в заголовке соединения (14,7 г, выход 69%) в виде бесцветного масла.
ЯМР (400 МГц, CDCl3) м.д.: 7,11 (1Н, д, J=5,1 Гц), 6,90 (1H, дд, J=5,1, 3,5 Гц), 6,77 (1H, д, J=3,5 Гц), 5,69 (1Н, шс), 4,19 (2Н, kb, J=7,3 Гц), 3,66 (3Н, с), 2,84 (2Н, дд, J=10,5, 10,5 Гц), 2,64 (2Н, м), 2,20 (2Н, дд, J=10,5, 8,4 Гц), 1,61 (3Н, с), 1,28 (3Н, т, J=7,3 Гц).
ИК, Vмах см-1 (СНСl3): 3417, 2987, 1719, 1503, 1453, 1081.
MC (FAB) м/z: 286 ((М+Н)+).
Пример 1(d)
2-Метоксикарбониламино-2-метил-4-(2-тиенил)бутан-1-ол
Этиловый эфир 2-метоксикарбониламино-2-метил-4-(2-тиенил)бутановой кислоты (14,7 г, 51,6 ммоль), полученный в примере 1(с), растворяли в смеси этанола (150 мл) и тетрагидрофурана (100 мл) и затем к полученному раствору добавляли борогидрид натрия (5,07 г, 0,13 моль) и хлорид лития (5,68 г, 0,13 моль) с последующим перемешиванием в течение ночи при комнатной температуре в атмосфере азота. На следующее утро к раствору добавляли аналогичным образом борогидрид натрия (5,07 г, 0,13 моль) и хлорид лития (5,68 г, 0,13 моль) и реакционную смесь перемешивали еще раз в течение ночи при комнатной температуре в атмосфере азота. Подобные описанным выше процедуры проводили в течение еще двух суток. Реакционную смесь вливали в охлаждаемую льдом 10% хлористоводородную кислоту (500 мл) и полученный раствор экстрагировали этилацетатом. Органический слой промывали насыщенным водным раствором хлорида натрия и сушили над безводным сульфатом магния. Растворитель концентрировали в вакууме и остаток очищали флэш-хроматографией на колонке с силикагелем (элюирующий растворитель:
гексан:этилацетат = 2:1-1:5) с получением указанного в заголовке соединения (11,7 г, выход 93%) в виде белого кристаллического твердого вещества.
ИК, Vmах см-1 (КВr): 3406, 3244, 1687, 1562, 1264, 1089.
MC (FAB) м/z: 244 ((М+Н)+).
Анализ. Вычислено (%) для C11H17NO3S: С, 54,30; Н, 7,04; N, 5,76; S, 13,18.
Найдено: С, 54,18; Н, 6,98; N, 5,78; S, 13,34.
Пример 1(е)
2-Метоксикарбониламино-2-метил-4-(5-бромтиофен-2-ил)бутан-1-ол
2-Метоксикарбониламино-2-метил-4-(2-тиенил)бутан-1-ол (11,7 г, 48 ммоль), полученный в примере 1(d), растворяли в диметилформамиде (120 мл) и к полученному раствору на ледяной бане добавляли N-бромсукцинимид (10,8 г, 60,8 ммоль) с последующим перемешиванием в течение 4 часов при комнатной температуре в атмосфере азота. Реакционную смесь вливали в охлаждаемую льдом 10% хлористоводородную кислоту (300 мл) и экстрагировали этилацетатом. Органический слой промывали насыщенным водным раствором хлорида натрия и сушили над безводным сульфатом магния. Растворитель концентрировали в вакууме и остаток очищали флэш-хроматографией на колонке с силикагелем (элюирующий растворитель: гексан:этилацетат = 4:1-1:3) с получением указанного в заголовке соединения (12,4 г, выход 80%) в виде бледно-желтого масла.
ЯМР (400 МГц, CDCl3) м.д.: 6,84 (1Н, д, J=3,7 Гц), 6,57 (1H, д, J=3,7 Гц), 4,80 (1Н, шс), 3,68 (2Н, м), 3,64 (3Н, с), 2,80 (2Н, м), 1,9-2,2 (2Н, м), 1,24(3Н, с).
ИК, Vmах см-1 (CHCl3): 3627, 3436, 2956, 1722, 1711, 1513, 1259, 1087, 1048.
MC (FAB) м/z: 322 ((М+Н)+).
Пример 1(f)
4-[2-(5-Бромтиофен-2-ил)]этил-4-метилоксазолидин-2-он
2-Метоксикарбониламино-2-метил-4-(5-бромтиофен-2-ил)бутан-1-ол (12,4 г, 38,6 ммоль), полученный в примере 1(е), растворяли в диметилформамиде (125 мл) и к полученному раствору на ледяной бане в атмосфере азота добавляли трет-бутоксид калия (6,50 г, 57,9 ммоль) с последующим перемешиванием в течение 3 часов при той же самой температуре. Реакционную смесь вливали в охлаждаемую льдом 10% хлористоводородную кислоту (300 мл) и экстрагировали этилацетатом. Органический слой промывали насыщенным водным раствором хлорида натрия и сушили над безводным сульфатом магния. Растворитель концентрировали в вакууме и остаток очищали флэш-хроматографией на колонке с силикагелем (элюирующий растворитель: гексан:этилацетат = 4:1-1:2) с получением указанного в заголовке соединения (10,7 г, выход 95%) в виде белого кристаллического твердого вещества.
ЯМР (400 МГц, CDCl3) м.д.: 6,86 (1Н, д, J=3,7 Гц), 6,58 (1H, д, J=3,7 Гц), 5,73 (1Н, шс), 4,18 (1H, д, J=8,6 Гц), 4,08 (1Н, д, J=8,6 Гц), 2,84 (2Н, м), 1,94 (2Н, м), 1,41 (3Н, с).
ИК, Vmах см-1 (КВr): 3211, 1749, 1399, 1037, 798.
MC (FAB) м/z: 290 ((М+Н)+).
Анализ. Вычислено (%) для С10Н12NО2SВr: С, 41,39; Н, 4,17; N, 4,83; S, 11,05; Br, 27,54.
Найдено: С, 41,36; Н, 4,04; N, 4,82; S, 11,08; Br, 27,29.
Пример 1(g)
(4R)-[2-(5-Бромтиофен-2-ил)]этил-4-метилоксазолидин-2-он и (4S)-[2-(5-бромтиофен-2-ил)]этил-4-метилоксазолидин-2-он
4-[2-(5-Бромтиофен-2-ил)]этил-4-метилоксазолидин-2-он, полученный в примере 1(f), подвергали хроматографическому оптическому разделению препаративной ВЭЖХ с колонкой с хиральной неподвижной фазой (ChiralCel OD, Daicel Chemical Industries, LTD.), (колонка: ChiralCel OD (диаметр 2 см х 25 см); элюирующий растворитель: гексан:2-пропанол = 70:30; расход: 5 мл/мин). Первое соединение, которое было элюировано через 55 минут, было соединением 4S-формы, а второе соединение, элюированное через 77 минут, было соединением 4R-формы. Их абсолютные конфигурации определяли рентгеноструктурным анализом.
Форма (4S): [ ]24D-4,2 (с 1,03, метанол).
Форма (4R): [ ]24D+4,2 (с 1,00, метанол).
Пример 1(h)
(4R)-{2-[5-(5-Циклогексилпент-1-инил)тиофен-2-ил]}этил-4-метилоксазолидин-2-он
(4R)-[2-(5-Бромтиофен-2-ил)]этил-4-метилоксазолидин-2-он (450 мг, 1,55 ммоль), полученный в примере 1(g), растворяли в диметилформамиде (4,5 мл) и к раствору добавляли 5-циклогексилпент-1-ин (50% ксилоловый раствор) (1,4 г, 4,65 ммоль), триэтиламин (2,16 мл, 15,5 ммоль), иодид меди (I) (30 мг, 0,16 ммоль) и дихлорбис(трифенилфосфин)палладий (109 мг, 0,16 ммоль), после чего реакционную смесь перемешивали 2 часа при 80 С в атмосфере азота. Реакционный раствор вливали в воду, экстрагировали этилацетатом и этилацетатный слой промывали насыщенным водным раствором хлорида натрия. Затем этилацетатный слой сушили над безводным сульфатом натрия, растворитель концентрировали в вакууме и остаток очищали хроматографией на колонке с силикагелем (элюирующий растворитель: гексан:этилацетат = 4:1-3:2) с получением указанного в заголовке соединения (56 мг, выход 82%).
ЯМР (400 МГц, CDCl3) м.д.: 6,92 (1H, д, J=3,6 Гц), 6,63 (1H, д, J=3,6 Гц), 5,45 (1Н, шс), 4,18 (1H, д, J=8,6 Гц), 4,07 (1Н, д, J=8,6 Гц), 2,78-2,90 (2Н, м), 2,38 (2Н, т, J=7,2 Гц), 1,92-2,00 (2Н, м), 1,55-1,75 (7Н, м), 1,40 (3Н, с), 1,10-1,35 (6Н, м), 0,83-0,95 (2Н, м).
ИК, Vmах см-1 (КВr): 3450, 2926, 2852, 1758, 1382, 1046.
Пример 1(i)
(2R)-Амино-2-метил-4-[5-(5-циклогексилпент-1-инил)тиофен-2-ил]бутан-1-ол
(4R)-{2-[5-(5-Циклогексилпент-1-инил)тиофен-2-ил]}этил-4-метилоксазолидин-2-он (456 мг, 1,27 ммоль), полученный в примере 1(h), растворяли в смеси тетрагидрофурана (1 мл) и метанола (2 мл) и к полученному раствору на ледяной бане добавляли 5 н. водный раствор гидроксида калия (2 мл), после чего смесь кипятили с обратным холодильником в течение 18 часов. В реакционный раствор добавляли воду и полученую смесь экстрагировали дихлорметаном. Затем слой дихлорметана сушили над безводным сульфатом натрия, растворитель концентрировали в вакууме и остаток очищали хроматографией на колонке с силикагелем (элюирующий растворитель: дихлорметан:метанол = 20:1-дихлорметан:метанол:водный аммиак = 10:1:0,1) с получением указанного в заголовке соединения (353 мг, выход 83%).
ЯМР (400 МГц, СОСl3) м.д.: 6,92 (1H, д, J=3,5 Гц), 6,62 (1H, д, J=3,5 Гц), 3,37 (1H, д, J=10,5 Гц), 3,32 (1H, д, J=10,5 Гц), 2,75-2,90 (2Н, м), 2,38 (2Н, т, J=7,1 Гц), 1,52-1,79 (9Н, м), 1,12-1,33 (6Н, м), 1,11 (3Н, с), 0,81-0,96 (2Н, м).
ИК, Vmах см-1 (СНСl3): 2925, 2852, 1449, 1041.
MC (FAB) м/z: 334 ((М+Н)+).
Анализ. Вычислено (%) для C20H31NOS·0,3Н2О: С, 70,87; Н, 9,40; N, 4,13; S, 9,46.
Найдено: С, 70,83; Н, 9,21; N, 4,22; S, 9,64.
[ ]24D -2,0 (с 0,60, метанол).
Пример 2
(2R)-Амино-2-метил-4-[5-(6-циклогексилгекс-1-инил)тиофен-2-ил]бутан-1-ол (пример соединения №1-882)
Указанное в заголовке соединение получали способом, аналогично описанному в примере 1.
ЯМР (400 МГц, CDCl3) м.д.: 6,91 (1Н, д, J=3,6 Гц), 6,62 (1H, д, J=3,6 Гц), 3,39 (1Н, д, J=10,7 Гц), 3,34 (1H, д, J=10,7 Гц), 2,82 (2Н, т, J=8,5 Гц), 2,40 (2Н, т, J=6,9 Гц), 2,18-1,92 (4Н, м), 1,88-1,51 (8Н, м), 1,47-1,38 (2Н, м), 1,28-1,07 (9Н, м), 0,93-0,78 (2Н, м).
ИК, Vmаx см-1 (КВr): 3327, 3275, 2922, 2850, 1611, 1563, 1539, 1447, 1065, 1040, 803, 521.
Пример 3
2-Амино-2-метил-4-[5-(5-фенилпент-1-инил)тиофен-2-ил]бутан-1-ол
(пример соединения №1-824)
Указанное в заголовке соединение получали способом, аналогично описанному в примере 1, с использованием рацемической смеси 4-[2-(5-бромтиофен-2-ил)]этил-4-метилоксазолидин-2-она в качестве исходного соединения.
ЯМР (400 МГц, CDCl3) м.д.: 7,32-7,26 (2Н, м), 7,25-7,16 (3Н, м), 6,94 (1H, д, J=3,6 Гц), 6,93 (1H, д, J=3,6 Гц), 3,37 (1Н, д, J=10,8 Гц), 3,31 (1H, д, J=10,4 Гц), 2,83 (2Н, т, J=8,4 Гц), 2,77 (2Н, т, J=7,6 Гц), 2,42 (2Н, т, J=7,2 Гц), 1,96-1,85 (2Н, м), 1,84-1,64 (2Н, м), 1,50 (3Н, шс), 1,11 (3Н, с).
ИК, Vmах см-1 (жидкая пленка): 2931, 2859, 1748, 1602, 1584, 1538, 1496, 1455, 1191, 1053, 908, 804, 747, 700, 573.
Пример 4
2-Амино-2-метил-4-{5-[5-(4-метоксифенил)пент-1-инил]тиофен-2-ил}бутан-1-олгидрохлорид (пример соединения №1-849)
Указанное в заголовке соединение получали способом, аналогично описанному в примере 1, с использованием рацемической смеси 4-[2-(5-бромтиофен-2-ил)] этил-4-метилоксазолидин-2-она в качестве исходного соединения.
ЯМР (400 МГц, CDCl3) м.д.: 8,07 (3Н, шс), 7,10 (2Н, д, J=8,6 Гц), 6,89 (1Н, д, -J=3,5 Гц), 6,81 (2Н, д, J=8,6 Гц), 6,65 (1Н, д, J=3,5 Гц), 4,72 (1Н, шс), 3,77 (3Н, с), 3,65 (2Н, с), 2,78-2,97 (2Н, м), 2,66 (2Н, т, J=7,5 Гц), 2,36 (2Н, т, J=7,1 Гц), 1,77-2,20 (4Н, м), 1,36 (3Н, с).
ИК, Vmах см-1 (КВr): 3370, 3009, 2932, 1589, 1511, 1245,1070, 1036.
Пример 5
2-Амино-2-метил-4-{5-[5-(4-фторфенил)пент-1-инил]тиофен-2-ил}бутан-1-олмалеат (пример соединения №1-833)
Указанное в заголовке соединение получали способом, аналогично описанному в примере 1, с использованием рацемической смеси 4-[2-(5-бромтиофен-2-ил)]этил-4-метилоксазолидин-2-она в качестве исходного соединения.
ЯМР (400 МГц, CD3OD) м.д.: 7,18-7,25 (2Н, м), 6,95-7,03 (2Н, м), 6,94 (1H, д, J=3,6 Гц), 6,73 (1Н, д, J=3,6 Гц), 6,25 (2Н, с), 3,61 (1Н, д, J=11,6 Гц), 3,52 (1H, д, J=11,6 Гц), 2,80-2,95 (2Н, м), 2,74 (2Н, т, J=7,6 Гц), 2,40 (2Н, т, J=7,0 Гц), 1,80-2,10 (4Н, м), 1,31 (3Н, с).
ИК, Vmах см-1 (КВr): 3352, 2940, 1578, 1509, 1385, 1367, 1221, 1194.
Пример 6
2-Амино-2-метил-4-[5-(бифенил-4-ил)этинилтиофен-2-ил]бутан-1-ол
(пример соединения №1-742)
Указанное в заголовке соединение получали способом, аналогично описанному в примере 1, с использованием рацемической смеси 4-[2-(5-бромтиофен-2-ил)]этил-4-метилоксазолидин-2-она в качестве исходного соединения.
ЯМР (400 МГц, CDCl3) м.д.: 7,55-7,65 (6Н, м), 7,43-7,50 (2Н, м), 7,33-7,40 (1H, м), 7,11 (1H, д, J=3,6 Гц), 6,72 (1H, д, J=3,6 Гц), 3,39 (1H, д, J=10,4 Гц), 3,34 (1H, д, J=10,4 Гц), 2,80-2,95 (2Н, м), 1,70-1,90 (2Н, м), 1,13 (3Н, с).
ИК, Vмах см-1 (КВr): 3335, 3075, 2924, 1485, 1463, 1051, 837, 809, 764, 698.
Пример 7
2-Амино-2-метил-4-[5-(4-бутилфенил) этинилтиофен-2-ил] бутан-1-ол
(пример соединения №1-737)
Указанное в заголовке соединение получали способом, аналогично описанному в примере 1, с использованием рацемической смеси 4-[2-(5-бромтиофен-2-ил)]этил-4-метилоксазолидин-2-она в качестве исходного соединения.
ЯМР (400 МГц, СDСl3) м.д.: 7,42 (2Н, д, J=8,1 Гц), 7,36-7,15 (5Н, м), 7,16 (2Н, Д, J=8,1 Гц), 7,07 (1Н, д, J=3,3 Гц), 6,70 (1H, д, J=3,3 Гц), 3,99 (2Н, с), 3,36-3,24 (2Н, м), 2,92-2,81 (2Н, м), 2,01-1,95 (2Н, м), 2,65-2,26 (3Н, м), 1,11 (3Н, с).
ИК, Vmах см-1 (КВr): 3326, 3264, 2926, 2904, 1603, 1541, 1485, 1468, 1454, 1211, 1063, 1033, 803, 701.
Пример 8
2-Амино-2-метил-4-[5-(4-циклогексилфенил)этинилтиофен-2-ил]бутан-1-ол (пример соединения №1-741)
Указанное в заголовке соединение получали способом, аналогично описанному в примере 1, с использованием рацемической смеси 4-[2-(5-бромтиофен-2-ил)]этил-4-метилоксазолидин-2-она в качестве исходного соединения.
ЯМР (400 МГц, ДМСО-d6) м.д.: 7,42 (2Н, д, J=8,2 Гц), 7,26 (2Н, д, J=8,2 Гц), 7,20 (1H, д, J=3,6 Гц), 6,83 (1H, д, J=3,6 Гц), 3,56-3,24 (5Н, м), 2,88-2,70 (2Н, м), 1,89-1,52 (7Н, м), 1,43-1,21 (6Н, м), 0,97 (3Н, с).
ИК, Vmах см-1 (КВr): 3326, 3279, 2924, 2850, 1645, 1567, 1539, 1448, 1385, 1055, 826, 547.
Пример 9
2-Амино-2-метил-4-[5-(4-пропилфенил)этинилтиофен-2-ил]бутан-1-ол (пример соединения №1-736)
Указанное в заголовке соединение получали способом, аналогично описанному в примере 1, с использованием рацемической смеси 4-[2-(5-бромтиофен-2-ил)]этил-4-метилоксазолидин-2-она в качестве исходного соединения.
ЯМР (400 МГц, CD3OD) м.д.: 7,36 (2Н, д, J=8,2 Гц), 7,18 (2Н, д, J=8,2 Гц), 7,06 (1H, д, J=3,5 Гц), 6,76 (1Н, д, J=3,5 Гц), 3,39 (1H, д, J=10,7 Гц), 3,38 (1Н, д, J=10,7 Гц), 2,93-2,80 (2Н, м), 2,69-2,58 (2Н, м), 1,83-1,59 (4Н, м), 1,10 (3Н, с), 0,94 (3Н, т, J=7,3 Гц).
ИК, Vmах см-1 (КВr): 3323, 3267, 2959, 2929, 2869, 1611, 1540, 1510, 1468, 1213, 1066, 1035, 816, 804, 510.
Пример 10
2-Амино-2-метил-4-[5-(4-пропилоксифенил)этинилтиофен-2-ил]бутан-1-ол (пример соединения №1-740)
Указанное в заголовке соединение получали способом, аналогично описанному в примере 1, с использованием рацемической смеси 4-[2-(5-бромтиофен-2-ил)]этил-4-метилоксазолидин-2-она в качестве исходного соединения.
ЯМР (400 МГц, CD3OD) м.д.: 7,37 (2Н, д, J=8,9 Гц), 7,03 (1H, д, J=3,6 Гц), 6,89 (2Н, д, J=8,9 Гц), 6,75 (1H, д, J=3,6 Гц), 3,95 (2Н, т, J=6,3 Гц), 3,39 (1H, д, J=10,7 Гц), 3,35 (1H, д, J=10,7 Гц), 2,92-2,78 (2Н, м), 1,86-1,72 (4Н, м), 1,09 (3Н, с), 1,04 (3Н, т, J=7,6 Гц).
ИК, Vmах см-1 (КВr): 3329, 3275, 2964, 2936, 1604, 1509, 1466, 1249, 1065, 975, 832, 807.
Пример 11
(2R)-Амино-2-метил-4-[5-(5-циклогексилпентил)тиофен-2-ил]бутан-1-ол (пример соединения №1-98)
(2R)-Амино-2-метил-4-[5-(5-циклогексилпент-1-инил)тиофен-2-ил]бутан-1-ол (175 мг, 0,53 ммоль), полученный в примере 1, растворяли в этаноле (9 мл) и к полученному раствору добавляли 10% палладий на активированном угле (90 мг), после чего смесь перемешивали в атмосфере водорода в течение 2 часов. Затем отфильтровывали через Целит палладий на активированном угле, фильтрат выпаривали досуха при пониженном давлении с получением указанного в заголовке соединения (150 мг, выход 85%).
ЯМР (400 МГц, CDCl3) м.д.: 6,58 (1Н, д, J=3,2 Гц), 6,55 (1H, д, J=3,2 Гц), 3,36 (1Н, д, J=10,5 Гц), 3,31 (1H, д, J=10,5 Гц), 2,75-2,90 (2Н, м), 2,73 (2Н, т, J=7,6 Гц), 1,59-1,83 (9Н, м), 1,12-1,32 (10Н, м), 1,11 (3Н, с), 0,81-0,89 (2Н, м).
ИК, Vmах см-1 (СНСl3): 2926, 2853, 1440, 1042.
MC (FAB) м/z: 338 ((M+H)+.
Анализ. Вычислено (%) для С20Н35NOS·Н2О: С, 67,56; Н, 10,49; N, 3,94; S, 9,01.
Найдено: С, 67,11; Н, 10,03; N, 3,93; S, 8,88.
[а]24D -0,7 (с 3,03, метанол).
Пример 12
(2R)-Амино-2-метил-4-[5-(6-циклогексилгексил)тиофен-2-ил]бутан-1-ол (пример соединения №1-210)
Указанное в заголовке соединение получали способом, аналогично описанному в примере 11, с использованием (2R)-амино-2-метил-4-[5-(6-циклогексилгекс-1-инил)тиофен-2-ил]бутан-1-ола, полученного в примере 2.
ЯМР (400 МГц, СDСl3) м.д.: 6,58 (1H, д, J=3,3 Гц), 6,55 (1H, д, J=3,3 Гц), 3,37 (1H, д, J=10,4 Гц), 3,32 (1H, д, J=10,4 Гц), 2,68-2,93 (4Н, м), 1,05-1,85 (24Н, м), 0,77-0,93 (2Н, м).
ИК, Vmах см-1 (КВr): 3334, 3269, 3159, 2922, 2850, 1465, 1448, 1060.
MC (E1) м/z: 351 (М+).
Анализ. Вычислено (%) для C21H37NOS: С, 71,74; Н, 10,61; N, 3,98; S, 9,12.
Найдено: С, 71,47; Н, 10,48; N, 3,98; S, 9,37.
[а]24D-1,3 (с 1,15, метанол).
Пример 13
2-Амино-2-метил-4-[5-(5-фенилпентил)тиофен-2-ил]бутан-1-ол (пример соединения №1-152)
Указанное в заголовке соединение получали способом, аналогично описанному в примере 11, с использованием 2-амино-2-метил-4-[5-(5-фенилпент-1-инил)тиофен-2-ил]бутан-1-ола, полученного в примере 3.
ЯМР (400 МГц, CDCl3) м.д.: 7,31-7,24 (2Н, м), 7,20-7,14 (3Н, м), 6,58 (1Н, д, J=2,8 Гц), 6,54 (1Н, д, J=3,6 Гц), 3,36 (1Н, д, J=10,8 Гц), 3,31 (1Н, д, J=10,4 Гц), 2,81 (2Н, т, J=8,4 Гц), 2,74 (2Н, т, J=7,6 Гц), 2,61 (2Н, т, J=7,6 Гц), 1,84-1,56 (6Н, м), 1,52 (3Н, шс), 1,46-1,37 (2Н, м), 1,11 (3Н, с).
ИК, Vmах см-1 (КВг): 3333, 3263, 2927, 2852, 1496, 1453, 1059, 969, 928, 798, 747, 699, 569.
Пример 14
2-Амино-2-метил-4-{5-[5-(4-метоксифенил)пентил]тиофен-2-ил}бутан-1-ол (пример соединения №1-177)
Указанное в заголовке соединение получали способом, аналогично описанному в примере 11, с использованием 2-амино-2-метил-4-{5-[5-(4-метоксифенил)пент-1-инил]тиофен-2-ил}бутан-1-ола, полученного в примере 4.
ЯМР (400 МГц, CDCl3) м.д.: 7,08 (2Н, д, J=8,5 Гц), 6,82 (2Н, д, J=8,5 Гц), 6.,58 (1Н, д, J=3,3 Гц), 6,54 (1Н, д, J=3,3 Гц), 3,79 (3Н, с), 3,36 (1H, д, J=10,5 Гц), 3,31 (1Н, д, J=10,5 Гц), 2,70-2,85 (4Н, м), 2,55 (2Н, т, J=7,7 Гц), 1,55-1,85 (6Н, м), 1,35-1,45 (2Н, м), 1,11 (3Н, с).
ИК, Vmах см-1 (КВr): 3333, 3263, 2926, 2852, 1514, 1247, 1061, 1029.
Пример 15
2-Амино-2-метил-4-{5-[5-(4-фторфенил)пентил]тиофен-2-ил}бутан-1ол (пример соединения №1-161)
Указанное в заголовке соединение получали способом, аналогично описанному в примере 11, с использованием 2-амино-2-метил-4-{5-[5-(4-фторфенил)пент-1-инил]тиофен-2-ил}бутан-1-ола, полученного в примере 5.
ЯМР (400 МГц, CD3OD) м.д.: 7,12-7,18 (2Н, м), 6,92-6,98 (2Н, м), 6,63 (1H, д, J=3,5 Гц), 6,56 (1H, д, J=3,5 Гц), 6,25 (2Н, с), 3,61 (1H, д, J=11,6 Гц), 3,51 (1H, д, J=11,6 Гц), 2,70-2,90 (4Н, м), 2,58 (2Н, т, J=7,6 Гц), 1,88-2,03 (2Н, м), 1,57-1,70 (4Н, м), 1,28-1,42 (5Н, м).
ИК, Vmах см-1 (КВr): 2929, 2854, 1578, 1509, 1464, 1387, 1356, 1223.
Пример 16
2-Амино-2-метил-4-{5-[2-(бифенил-4-ил)этил]тиофен-2-ил}бутан-1-ол (пример соединения №1-44)
Указанное в заголовке соединение получали способом, аналогично описанному в примере 11, с использованием 2-амино-2-метил-4-[5-(бифенил-4-ил)этинилтиофен-2-ил]бутан-1-ола, полученного в примере 6.
ЯМР (400 МГц, CDCl3) м.д.: 7,25-7,65 (9Н, м), 6,60 (1H, д, J=3,5 Гц), 6,59 (1H, д, J=3,5 Гц), 3,37 (1Н, д, J=10,5 Гц), 3,32 (1H, д, J=10,5 Гц), 3,06-3,15 (2Н, м), 2,95-3,04 (2Н, м), 2,75-2,90 (2Н, м), 1,65-1,85 (2Н, м), 1,12 (3Н, с).
ИК, Vmах см-1 (КВr): 3333, 3265, 2924, 2852, 1598, 1486, 1448, 1059, 798, 695.
Пример 17
(2R)-Амино-2-метил-4-[5-(5-циклогексилпентаноил) тиофен-2-ил]бутан-1-ол (пример соединения №1-1331)
(2R)-Амино-2-метил-4-[5-(5-циклогексилпент-1-инил)тиофен-2-ил]бутан-1-ол (126 мг, 0,41 ммоль), полученный в примере 1, растворяли в метаноле (2 мл) и к раствору добавляли 6 н. серную кислоту (2 мл), после чего его кипятили с обратным холодильником в течение 4 часов. После подщелачивания реакционного раствора 1 н. водным раствором гидроксида натрия экстрагировали его дихлорметаном. Дихлорметановый слой сушили над безводным сульфатом натрия и выпаривали при пониженном давлении растворитель с получением указанного в заголовке соединения (130 мг, выход 91%).
ЯМР (400 МГц, CDCl3) м.д.: 7,54 (1H, д, J=3,7 Гц), 6,84 (1H, д, J=3,7 Гц), 3,39 (1H, д, J=10,4 Гц), 3,34 (1H, д, J=10,4 Гц), 2,78-2,98 (4Н, м), 1,13 (3Н, шс), 0,8-1,9 (19Н, м).
ИК, Vmах см-1 (КВr): 3332, 3267, 3134, 2922, 2851, 1647, 1457, 1057.
MC (EI) м/z: 351 (М+).
Анализ. Вычислено (%) для С20Н33NO2S: С, 68,33; Н, 9,46; N, 3,98; S, 9,12.
Найдено: С, 67,99; Н, 9,48; N, 3,92; S, 9,11.
[а]24D-2,1 (с 1,03, метанол).
Пример 18
(2R)-Амино-2-метил-4-[5-(6-циклогексилгексаноил)тиофен-2-ил]бутан-1-ол (пример соединения №1-1357)
Указанное в заголовке соединение получали способом, аналогично описанному в примере 17, с использованием (2R)-амино-2-метил-4-[5-(6-циклогексилгекс-1-инил)тиофен-2-ил]бутан-1-ола, полученного в примере 2.
ЯМР (400 МГц, CDCl3) м.д.: 7,53 (1Н, д, J=3,9 Гц), 6,63 (1H, д, J=3,9 Гц), 3,39 (1Н, д, J=10,5 Гц), 3,34 (1H, д, J=10,5 Гц), 2,80-2,95 (4Н, м), 1,33 (3Н, шс), 0,8-1,9 (21Н, м).
ИК, Vmах см-1 (КВr): 3149, 2922, 2851, 1654, 1460, 1059, 922.
MC (EI) м/z: 365 (М+).
Анализ. Вычислено (%) для C21H35NO2S: С, 69,00; Н, 9,65; N, 3,83; S, 8,77.
Найдено: С, 68,74; Н, 9,50; N, 3,83; S, 8,85.
[a]24D-1,3 (с 1,15, метанол).
Пример 19
2-Амино-2-метил-4-[5-(5-фенилпентаноил)тиофен-2-ил]бутан-1-олгидрохлорид (пример соединения №1-1344)
Указанное в заголовке соединение получали способом, аналогично описанному в примере 17, с использованием 2-амино-2-метил-4-[5-(5-фенилпент-1-инил)тиофен-2-ил]бутан-1-ола, полученного в примере 3.
ЯМР (400 МГц, CD3OD) м.д.: 7,71 (1H, д, J= 4,0 Гц), 7,28-7,20 (2Н, м), 7,20-7,10 (3Н, м), 6,98 (1H, д, J=3,6 Гц), 3,62 (1H, д, J=7,6 Гц), 3,53 (1H, д, J=12,0 Гц), 3,04-2,88 (4Н, м), 2,64 (2Н, т, J=7,2 Гц), 2,15-2,04 (1H, м), 2,04-1,92 (1Н, м), 1,78-1,62 (4Н, м), 1,32 (3Н, с).
ИК, Vmах см-1 (КВr): 3378, 2927, 1648, 1588, 1562, 1504, 1456, 1230, 1067, 827, 748, 698, 578.
Пример 20
2-Амино-2-метил-4-{5-[5-(4-фторфенил)пентаноил]тиофен-2-ил}бутан-1-ол (пример соединения №1-1348)
Указанное в заголовке соединение получали способом, аналогично описанному в примере 17, с использованием 2-амино-2-метил-4-{5-[5-(4-фторфенил)пент-1-инил]тиофен-2-ил}бутан-1-ола, полученного в примере 5.
ЯМР (400 МГц, CDCl3) м.д.: 7,51 (1H, д, J=3,7 Гц), 7,08-7,17 (2Н, м), 6,90-7,00 (2Н, м), 6,83 (1H, д, J=3,7 Гц), 3,39 (1H, д, J=10,4 Гц), 3,33 (1H, д, J=10,4 Гц), 2,80-2,98 (4Н, м), 2,62 (2Н, т, J=7,5 Гц), 1,60-1,90 (6Н, м), 1,12 (3Н, с).
ИК, Vmах см-1 (КВr): 3178, 2935, 2858, 1645, 1455, 1218, 1058.
Пример 21
2-Амино-2-метил-4-[5-(бифенил-4-ил) ацетилтиофен-2-ил] бутан-1-ол
(пример соединения №1-1326)
Указанное в заголовке соединение получали способом, аналогично описанному в примере 17, с использованием 2-амино-2-метил-4-[5-(бифенил-4-ил)этинилтиофен-2-ил]бутан-1-ола, полученного в примере 6.
ЯМР (400 МГц, СDСl3) м.д.: 7,64 (1H, д, J=3,7 Гц), 7,52-7,60 (4Н, м), 7,30-7,47 (5Н, м), 6,86 (1H, д, J=3,7 Гц), 4,18 (2Н, с), 3,38 (1H, д, J=10,3 Гц), 3,33 (1H, д, J=10,3 Гц), 2,84-2,98 (2Н, м), 1,70-1,87 (2Н, м), 1,12 (3Н, с).
ИК, Vmах см-1 (KBr): 3420, 2927, 1654, 1488, 1455, 1234, 1058, 751.
Пример 22
2-Амино-2-метил-4-[5-(5-фенилпент-1-енил)тиофен-2-ил]бутан-1-олмалеат (пример соединения №1-670)
Пример 22(а)
4-Метил-4-{2-[5-(5-фенилпент-1-енил)тиофен-2-ил]}этилоксазолидин-2-он
К 5-фенилпент-1-ину (0,38 мл, 2,58 ммоль) добавляли катехолборан (500 мг, 1,72 ммоль) при комнатной температуре и смесь перемешивали при 60 С в течение 3 часов. Реакционный раствор охлаждали до комнатной температуры и затем добавляли к нему при комнатной температуре толуол (5,0 мл), 4-[2-(5-бромтиофен-2-ил)]этил-4-метилоксазолидин-2-он (500 мг, 1,72 ммоль), полученный в примере 1(f), бис(трифенилфосфин)палладийхлорид (119 мг, 0,17 ммоль) и этоксид натрия (0,83 мл, 20% этаноловый раствор). Реакционную смесь перемешивали 2 часа при 60 С, охлаждали до комнатной температуры и затем добавляли 1 н. гидроксид натрия. Полученную смесь экстрагировали этилацетатом и органический слой промывали водой и затем насыщенным водным раствором хлорида натрия. Этилацетатный слой сушили над безводным сульфатом натрия, после чего выпаривали в вакууме растворитель. Остаток очищали препаративной тонкослойной хроматографией (элюирующий растворитель: гексан:этилацетат = 1:1) с получением указанного в заголовке соединения (378 мг, выход 68%).
Пример 22(b)
2-Амино-2-метил-4-[5-(5-фенилпент-1-енил)тиофен-2-ил]бутан-1-олмалеат
4-Метил-4-{2-[5-(5-фенилпент-1-енил)тиофен-2-ил]}этилоксазолидин-2-он (370 мг, 1,15 ммоль), полученный в примере 22(а), гидролизовали способом, аналогично описанному в примере 1(i), с получением 2-амино-2-метил-4-[5-(5-фенилпент-1-енил)тиофен-2-ил]бутан-1-ола (205 мг, 0,69 ммоль). Указанное в заголовке соединение получали в виде малеата (160 мг, выход 34%) в соответствии с обычной методикой получения малеатов.
ЯМР (400 МГц, ДМСО-d6) м.д.: 7,83-7,70 (2Н, м), 7,38-7,12 (5Н, м), 6,78 (1Н, д, J=3,5 Гц), 6,71 (1H, д, J=3,5 Гц), 6,50 (1Н, д, J=15,6 Гц), 6,02 (2Н, с), 5,96-5,83 (1Н, м), 5,52 (2Н, шс), 5,36-5,10 (1Н, м), 3,51-3,38 (2Н, м), 2,83-2,58 (4Н, м), 2,28-2,15 (2Н, м), 1,88-1,63 (4Н, м), 1,18 (3Н, с).
ИК, Vmах см-1 (КВr): 3206, 2932, 1579, 1497, 1386, 1357, 1194, 1075, 1012, 865, 699, 570.
Пример 23
2-Амино-2-метил-4-[5-(5-циклогексилпент-1-енил)тиофен-2-ил]бутан-1-ол (пример соединения №1-657)
Указанное в заголовке соединение получали способом, аналогично описанному в примере 22.
ЯМР (400 МГц, CDCl3) м.д.: 6,64 (1Н, д, J=3,5 Гц), 6,61 (1H, д, J=3,5 Гц), 6,41 (1Н, д, J=15,7 Гц), 5,95-5,88 (1H, м), 3,36 (1H, д, J=10,5 Гц), 3,31 (1H, д, J=10,5 Гц), 2,86-2,73 (2Н, м), 2,29-2,08 (2Н, м), 1,83-1,55 (8Н, м), 1,52-1,33 (4Н, м), 1,30-1,12 (6Н, м), 1,11 (3Н, с), 0,92-0,79 (2Н, м).
ИК, Vmах см-1 (KBr): 3328, 3275, 2921, 2850, 1610, 1447, 1225, 1066, 1038, 957, 804, 504.
Пример 24
2-Амино-2-метил-4-[5-(6-циклогексилгекс-1-енил)тиофен-2-ил]бутан-1-олмалеат (пример соединения №1-683)
Указанное в заголовке соединение получали способом, аналогично описанному в примере 22.
ЯМР (400 МГц, ДМСО-d6) м.д.: 7,90-7,69 (2Н, м), 6,77 (1Н, д, J=3,4 Гц), 6,70 (1Н, д, J=3,4 Гц), 6,47 (1Н, д, J=15,8 Гц), 6,04 (2Н, с), 5,92-5,84 (1Н, м), 5,55 (1Н, шс), 3,49-3,32 (2Н, м), 2,85-2,71 (2Н, м), 2,18-2,06 (2Н, м), 1,96-1,53 (8Н, м), 1,42-1,03 (14Н, м), 0,93-0,78 (2Н, м).
ИК, Vmах см-1 (KBr): 3042, 2924, 2851, 1695, 1577, 1533, 1493, 1477, 1387, 1362, 1351, 1210, 1074, 866.
Пример 25
2-Амино-2-метил-4-[4-(5-фенилпент-1-инил)тиофен-2-ил]бутан-1-олгидрохлорид (пример соединения №2-185)
Пример 25(а)
4-(5-Фенилпент-1-инил)тиофен-2-карбоксальдегид
5-Фенилпент-1-ин (18,1 г, 126 ммоль) растворяли в тетрагидрофуране (100 мл), после чего к раствору добавляли 4-бромтиофен-2-карбоксальдегид (18,7 г, 98 ммоль) в тетрагидрофуране (200 мл), триэтиламин (150 мл, 1,07 ммоль), иодид меди (I) (962 мг, 5,05 ммоль) и дихлорбис(трифенилфосфин)палладий (3,54 г, 5,04 ммоль) и смесь перемешивали при 50 С в течение 4 часов в атмосфере азота. Реакционный раствор фильтровали и фильтрат выпаривали при пониженном давлении. К остатку добавляли эфир и раствор промывали водой и насыщенным водным раствором хлорида натрия. Эфирный слой сушили над безводным сульфатом натрия и растворитель выпаривали в вакууме. Остаток очищали хроматографией на колонке с силикагелем (элюирующий растворитель: гексан:этилацетат = 100:1-10:1) с получением указанного в заголовке соединения (19,4 г, выход 78%).
ЯМР (400 МГц, CDCl3) м.д.: 9,88 (1Н, с), 7,72 (1H, с), 7,71 (1H, с), 7,35-7,27 (2Н, м), 7,24-7,16 (3Н, м), 2,78 (2Н, т, J=7,2 Гц), 2,41 (2Н, т, J=7,2 Гц), 1,98-1,88 (2Н, м).
ИК, Vmах см-1 (КВr): 2238, 1679, 1440, 1234, 1157, 858, 748, 700, 665, 620.
MC (FAB) м/z: 255 ((М+Н)+).
Пример 25(b)
[4-(5-Фенилпент-1-инил)тиофен-2-ил]метанол
4-(5-Фенилпент-1-инил)тиофен-2-карбоксальдегид (15,0 г, 59,0 ммоль), полученный в примере 25(а), растворяли в метаноле (150 мл) и к раствору на ледяной бане добавляли борогидрид натрия (2,29 г, 60,5 ммоль). Реакционную смесь перемешивали 25 минут на ледяной бане и затем выпаривали в вакууме растворитель. К остатку добавляли воду и смесь экстрагировали этилацетатом, после чего этилацетатный слой промывали насыщенным водным раствором хлорида натрия. Этилацетатный слой сушили над безводным сульфатом натрия, после чего выпаривали при пониженном давлении растворитель с получением указанного в заголовке соединения (15,2 г, выход 99%).
ЯМР (400 МГц, CDCl3) м.д.: 7,34-7,27 (3Н, м), 7,24-7,17 (3Н, м), 6,98 (1H, с), 4,78 (2Н, д, J=5,6 Гц), 2,77 (2Н, т, J=7,6 Гц), 2,39 (2Н, т, J=7,2 Гц), 1,96-1,85 (2Н, м), 1,77 (1Н, т, J=5,6 Гц).
ИК, Vmах см-1 (жидкая пленка): 3346, 3026, 2940, 2861, 2235, 1602, 1496, 1455, 1355, 1182, 1141, 1013, 844, 748, 700, 626.
MC (FAB) м/z: 256 (М+).
Пример 25(с)
[4-(5-Фенилпент-1-инил)тиофен-2-ил]ацетонитрил
[4-(5-Фенилпент-1-инил)тиофен-2-ил] метанол (4,68 г, 18,3 ммоль), полученный в примере 25(b), растворяли в тетрагидрофуране (70 мл) и к раствору на ледяной бане добавляли по каплям бромид фосфора (0,69 мл, 7,30 ммоль) в тетрагидрофуране (20 мл). По окончании прикапывания реакционный раствор на ледяной бане перемешивали 10 минут в атмосфере азота. В реакционный раствор добавляли охлажденную льдом воду, после чего раствор экстрагировали этилацетатом и этилацетатный слой промывали насыщенным водным раствором гидрокарбоната натрия и затем насыщенным водным раствором хлорида натрия. Этилацетатный слой сушили над безводным сульфатом натрия и затем выпаривали при пониженном давлении растворитель. Остаток растворяли в ацетонитриле (120 мл) и к полученному раствору на ледяной бане добавляли тетраэтиламмонийцианид (2,85 г, 18,3 ммоль) с последующим перемешиванием в течение 1 часа при комнатной температуре в атмосфере азота. Реакционный раствор вливали в 5% водный раствор гидрокарбоната натрия, экстрагировали этилацетатом и этилацетатный слой промывали насыщенным водным раствором хлорида натрия. Этилацетатный слой сушили над безводным сульфатом натрия и затем выпаривали в вакууме растворитель. Остаток очищали хроматографией на колонке с силикагелем (элюирующий растворитель: гексан:этилацетат = 20:1-15:1) с получением указанного в заголовке соединения (3,21 г, выход 66%).
ЯМР (400 МГц, CDCl3) м.д.: 7,15-7,35 (6Н, м), 7,03 (1Н, с), 3,86 (2Н, с), 2,77 (2-Н, т, J=7,5 Гц), 2,39 (2Н, т, J=7,0 Гц), 1,83-1,98 (2Н, м).
ИК, Vmах см-1 (СНСl3): 3691, 2946, 2236, 1603, 1497, 1454, 1416, 1361.
Пример 25(d)
2-[4-(5-Фенилпент-1-инил)тиофен-2-ил]этанол
[4-(5-Фенилпент-1-инил)тиофен-2-ил]ацетонитрил (3,21 г, 12,1 ммоль), полученный в примере 25(с), растворяли в этаноле (15 мл) и к полученному раствору на ледяной бане добавляли гидроксид калия (1,70 г, 30,2 ммоль) в воде (15 мл), после чего смесь кипятили с обратным холодильником в течение 2 часов. Реакционный раствор подкисляли 1 н. хлористоводородной кислотой и полученный раствор экстрагировали этилацетатом. Этилацетатный слой сушили над безводным сульфатом натрия и затем выпаривали при пониженном давлении растворитель. Полученный остаток растворяли в тетрагидрофуране (15 мл) и к раствору добавляли триэтиламин (1,69 мл, 12,1 ммоль). В реакционный раствор добавляли по каплям этилхлорформиат (1,21 мл, 12,7 ммоль) в тетрагидрофуране (15 мл)на ледяной бане и реакционную смесь перемешивали 30 минут при охлаждении льдом в атмосфере азота. Полученный реакционный раствор фильтровали, фильтрат медленно добавляли к водному раствору (10 мл) борогидрида натрия (2,29 г, 60,5 ммоль) на ледяной бане и затем смесь перемешивали 3 дня при комнатной температуре. Затем реакционный раствор охлаждали, подкисляли 1 н. хлористоводородной кислотой и полученный раствор экстрагировали этилацетатом, после чего этилацетатный слой промывали 1 н. водным раствором гидроксида натрия и затем насыщенным водным раствором хлорида натрия. Этилацетатный слой сушили над безводным сульфатом натрия и выпаривали в вакууме растворитель. Остаток очищали хроматографией на колонке с силикагелем (элюирующий растворитель: гексан:этилацетат = 10:1-4:1) с получением указанного в заголовке соединения (2,74 г, выход 84%).
ЯМР (400 МГц, СDСl3) м.д.: 7,15-7,30 (6Н, м), 6,86 (1Н, с), 3,85 (2Н, т, J=6,2 Гц), 3,02 (2Н, т, J=6,2 Гц), 2,77 (2Н, т, J=7,6 Гц), 2,39 (2Н, т, J=7,1 Гц), 1,85-1,95 (2Н, м).
ИК, Vmах см-1 (СНСl3): 3620, 2947, 1732, 1603, 1497, 1454, 1359, 1250, 1046.
Пример 25(е)
2-(2-Иодэтил)-4-(5-фенилпент-1-инил)тиофен
Указанное в заголовке соединение (3,45 г, выход 91%) получали способом, аналогично описанному в примере 1(g), с использованием 2-[4-(5-фенилпент-1-инил)тиофен-2-ил]этанола (2,69 г, 9,95 ммоль), полученного в примере 25(d).
ЯМР (400 МГц, CDCl3) м.д.: 7,15-7,30 (6Н, м), 6,84 (1Н, с), 3,30-3,35 (4Н, м), 2,77 (2Н, т, J=7,6 Гц), 2,39 (2Н, т, J=7,0 Гц), 1,85-1,95 (2Н, м).
ИК, Vmах см-1 (СНСl3): 2946, 2863, 1603, 1497, 1454, 1429, 1360, 1172.
Пример 25(f)
Моноэтиловый эфир 2-метил-2-[4-(5-фенилпент-1-инил)тиофен-2-ил]этилмалоновой кислоты
Диэтиловый эфир метилмалоновой кислоты (1,57 г, 9,02 ммоль) растворяли в диметилформамиде (30 мл) и к полученному раствору на ледяной бане добавляли гидрид натрия (0,38 г, 9,47 ммоль), после чего смесь перемешивали 1 час при комнатной температуре в атмосфере азота. Диметилформамидный раствор (30 мл) 2-(2-иодэтил)-4-(5-фенилпент-1-инил)тиофена, полученного в примере 25(е), добавляли по каплям к реакционному раствору на ледяной бане, смесь перемешивали 4 часа при комнатной температуре в атмосфере азота. После охлаждения реакционного раствора его подкисляли 1 н. хлористоводородной кислотой и полученный раствор экстрагировали этилацетатом, после чего этилацетатный слой промывали 1 н. насыщенным водным раствором гидроксида натрия и затем насыщенным водным раствором хлорида натрия. Этилацетатный слой сушили над безводным сульфатом натрия и выпаривали в вакууме растворитель. Остаток очищали хроматографией на колонке с силикагелем (элюирующий растворитель: гексан:этилацетат = 50:1-20:1). Полученную смесь растворяли в смеси этанола (9 мл) и воды (1 мл) и к раствору на ледяной бане добавляли гидроксид калия (0,80 г, 14,3 ммоль), после чего реакционную смесь перемешивали 3 дня при комнатной температуре. После подкисления реакционного раствора 1 н. хлористоводородной кислотой полученный раствор экстрагировали этилацетатом. Этилацетатный слой сушили над безводным сульфатом натрия и выпаривали в вакууме растворитель. Остаток очищали хроматографией на колонке с силикагелем (элюирующий растворитель: дихлорметан:метанол = 50:1) с получением указанного в заголовке соединения (1,02 г, выход 28%).
ЯМР (500 МГц, CDCl3) м.д.: 7,15-7,30 (6Н, м), 6,79 (1Н, с), 4,23 (2Н, кв, J=7,1 Гц), 2,60-2,85 (4Н, м), 2,38 (2Н, т, J=7,0 Гц), 2,20-2,32 (2Н, м), 1,86-1,94 (2Н, м), 1,53 (3Н, с), 1,29 (3Н, т, J=7,1 Гц).
ИК, Vmах см-1 (СНСl3): 3509, 2944, 1732, 1713, 1455, 1377, 1254, 1181, 1113.
Пример 25(g)
Этиловый эфир 2-метоксикарбониламино-2-метил-4-[4-(5-фенилпент1-инил)тиофен-2-ил]бутановой кислоты
Указанное в заголовке соединение (0,85 г, выход 80%) получали способом, аналогично описанному в примере 1(j), с использованием моноэтилового эфира 2-метил-2-[4-(5-фенилпент-1-инил)тиофен-2-ил]этилмалоновой кислоты (0,99 г, 2,48 ммоль), полученного в примере 25(f).
ЯМР (500 МГц, CDCl3) м.д.: 7,15-7,30 (5Н, м), 7,13 (1Н, с), 6,75 (1H, с), 5,69 (1Н, шс), 4,15-4,33 (2Н, м), 3,66 (3Н, с), 2,50-2,80 (5Н, м), 2,38 (2Н, т, J=7,0 Гц), 2,15-2,23 (1H, м), 1,87-1,93 (2Н, м), 1,60 (3Н, с), 1,25-1,30 (3Н, м).
ИК, Vmах см-1 (СНСl3): 3417, 2987, 2945, 1719, 1504, 1453, 1323, 1077.
Пример 25(h)
4-Метил-4-{2-[4-(5-фенилпент-1-инил)тиофен-2-ил]}этилоксазолидин-2-он
Этиловый эфир 2-метоксикарбониламино-2-метил-4-[4-(5-фенилпент-1-инил)тиофен-2-ил]бутановой кислоты (0,82 г, 1,92 ммоль), полученный в примере 25(g), растворяли в смеси этанола (15 мл) и тетрагидрофурана (10 мл) и к полученному раствору на ледяной бане добавляли хлорид лития (0,24 г, 5,75 ммоль) и борогидрид натрия (0,22 г, 5,75 ммоль), после чего реакционную смесь перемешивали 2 часа при 70 С в атмосфере азота. После подкисления реакционного раствора 1 н. хлористоводородной кислотой полученный раствор экстрагировали этилацетатом и этилацетатный слой промывали насыщенным водным раствором хлорида натрия. Этилацетатный слой сушили над безводным сульфатом натрия и выпаривали в вакууме растворитель. Остаток очищали хроматографией на колонке с силикагелем (элюирующий растворитель: гексан:этилацетат = 4:1-1:1) с получением указанного в заголовке соединения (0,65 г, выход 96%).
ЯМР (400 МГц, CDCl3) м.д.: 7,15-7,35 (6Н, м), 6,79 (1Н, с), 5,38 (1Н, шс), 4,18 (1Н, д, J=8,6 Гц), 4,08 (1Н, д, J=8,6 Гц), 2,80-2,90 (2Н, м), 2,77 (2Н, т, J=7,6 Гц), 2,38 (2Н, т, J=7,0 Гц), 1,85-2,00 (4Н, м), 1,41 (3Н, с).
ИК, Vmах см-1 (СНСl3): 3450, 2978, 2945, 1757, 1497, 1401, 1382, 1249, 1046.
Пример 25(i)
2-Амино-2-метил-4-[4-(5-фенилпент-1-инил)тиофен-2-ил]бутан-1-олгидрохлорид
4-Метил-4-{2-[4-(5-фенилпент-1-инил)тиофен-2-ил]}этилоксазолидин-2-он (200 мг, 0,57 ммоль), полученный в примере 25(h), растворяли в смеси тетрагидрофурана (1 мл) и метанола (2 мл) и к полученному раствору на ледяной бане добавляли 5 н. водный раствор гидроксида калия (2 мл), после чего реакционную смесь кипятили с обратным холодильником в течение 18 часов. К реакционному раствору добавляли воду и экстрагировали его дихлорметаном. Дихлорметановый слой сушили над безводным сульфатом натрия и выпаривали в вакууме растворитель. Остаток растворяли в 1,4-диоксане (2 мл) и к полученному раствору на ледяной бане добавляли диоксановый раствор 4 н. хлористоводородной кислоты, после чего выпаривали при пониженном давлении растворитель. Полученное белое твердое вещество промывали эфиром и сушили с получением указанного в заголовке соединения (165 мг, выход 80%).
ЯМР (400 МГц, CD3OD) м.д.: 7,15-7,30 (6Н, м), 6,84 (1Н, с), 3,61 (1Н, д, J=11,5 Гц), 3,52 (1Н, д, J=11,5 Гц), 2,80-2,95 (2Н, м), 2,75 (2Н, т, J=7,5 Гц), 2,35 (2Н, т, J=7,0 Гц), 1,82-2,10 (4Н, м), 1,32 (3Н, с).
ИК, Vmах см-1 (КВг): 3351, 3027, 2928, 1594, 1509, 1455, 1389, 1062.
Пример 26
2-Амино-2-метил-4-[4-(5-фенилпентил)тиофен-2-ил]бутан-1-олгидрохлорид (пример соединения №2-39)
Пример 26(а)
4-Метил-4-{2-[4-(5-фенилпентил)тиофен-2-ил]}этилоксазолидин-2-он
4-Метил-4-{2-[4-(5-фенилпент-1-инил)тиофен-2-ил]}этилоксазолидин-2-он (174 мг, 0,49 ммоль), полученный в примере 25(h), растворяли в этаноле (9 мл) и к полученному раствору добавляли 5% палладий на активированном угле (90 мг) с последующим перемешиванием в течение 4 часов в атмосфере водорода. Отфильтровав катализатор через Целит, фильтрат выпаривали досуха при пониженном давлении. Остаток очищали хроматографией на колонке с силикагелем (элюирующий растворитель: гексан:этилацетат =1:1) с получением указанного в заголовке соединения (164 мг, выход 93%).
ЯМР (400 МГц, СDСl3) м.д.: 7,25-7,30 (2Н, м), 7,15-7,20 (3Н, м), 6,70 (1Н, с), 6,63 (1Н, с), 5,33 (1Н, шс), 4,18 (1Н, д, J=8,6 Гц), 4,07 (1Н, д, J=8,6 Гц), 2,80-2,90 (2Н, м), 2,61 (2Н, т, J=7,8 Гц), 2,53 (2Н, т, J=7,7 Гц), 1,93-2,02 (2Н, м), 1,55-1,70 (4Н, м), 1,35-1,45 (5Н, м).
ИК, Vmах см-1 (СНCl3): 3451, 2977, 2934, 2858, 1757, 1400, 1382, 1045.
Пример 26(b)
2-Амино-2-метил-4-[4-(5-фенилпентил)тиофен-2-ил]бутан-1-олгидрохлорид
Указанное в заголовке соединение (107 мг, выход 76%) получали способом, аналогично описанному в примере 25(i), с использованием 4-метил-4-{2-[4-(5-фенилпентил)тиофен-2-ил]}этилоксазолидин-2-она (136 мг, 0,38 ммоль), полученного в примере 26(а).
ЯМР (400 МГц, CDCl3) м.д.: 7,10-7,30 (5Н, м), 6,63 (1Н, с), 6,61 (1Н, с), 3,66 (2Н, с), 2,80-2,95 (2Н, м), 2,58 (2Н, т, J=7,7 Гц), 2,47 (2Н, т, J=7,7 Гц), 2,00-2,18 (2Н, м), 1,52-1,67 (4Н, м), 1,25-1,45 (5Н, м).
ИК, Vmах см-1 (КВr): 3223, 2929, 2887, 1606, 1525, 1455, 1400, 1054.
Пример 27
2-Амино-2-метил-4-[4-(5-фенилпентаноил)тиофен-2-ил]бутан-1-олгидрохлорид (пример соединения №2-343)
2-Амино-2-метил-4-[4-(5-фенилпент-1-инил)тиофен-2-ил]бутан-1-олгидрохлорид (178 мг, 0,49 ммоль), полученный в примере 25(i), растворяли в метаноле (2 мл) и к полученному раствору добавляли 6 н. серную кислоту (2 мл) с последующим кипячением смеси с обратным холодильником в течение 4 часов. После подщелачивания реакционного раствора 1 н. водным раствором гидроксида натрия полученный раствор экстрагировали дихлорметаном. Дихлорметановый слой сушили над безводным сульфатом натрия и выпаривали в вакууме растворитель. Остаток растворяли в 1,4-диоксане (2 мл) и к полученному раствору на ледяной бане добавляли диоксановый раствор 4 н. хлористоводородной кислоты, после чего выпаривали при пониженном давлении растворитель. Полученное белое твердое вещество промывали эфиром и сушили с получением указанного в заголовке соединения (100 мг, выход 53%).
ЯМР (400 МГц, CD3OD) м.д.: 1,14 (1Н, с), 7,29 (1H, с), 7,10-7,27 (5Н, м), 3,63 (1H, д, J=11,6 Гц), 3,53 (1H, д, J=11,6 Гц), 2,85-3,00 (4Н, м), 2,64 (2Н, т, J=7,0 Гц), 1,92-2,13 (2Н, м), 1,67-1,75 (4Н, м), 1,33 (3Н, с).
ИК, Vmах см-1 (КВr): 3361, 3026, 2939, 1666, 1591, 1456, 1154, 1072.
Пример 28
2-Амино-2-этил-4-[5-(5-циклогексилпент-1-инил)тиофен-2-ил]бутан-1-олмалеат (пример соединения №1-1909)
Указанное в заголовке соединение получали способом, аналогично описанному в примере 1, с использованием рацемической смеси 4-[2-(5-бромтиофен-2-ил)]этил-4-этилоксазолидин-2-она в качестве исходного соединения.
ЯМР (400 МГц, CD3OD) м.д.: 6,90 (1Н, д, J=3,6 Гц), 6,72 (1H, д, J=3,6 Гц), 6,25 (2Н, с), 3,61 (1H, д, J=11,7 Гц), 3,57 (1Н, д, J=11,7 Гц), 2,75-2,90 (2Н, м), 2,38 (2Н, т, J=7,0 Гц), 1,88-2,06 (2Н, м), 1,52-1,82 (9Н, м), 1,12-1,37 (6Н, м), 0,85-1,04 (5Н, м).
ИК, Vmах см-1 (КВr): 3191, 2922, 2851, 1576, 1521, 1386, 1362, 1193, 1068.
Пример 29
2-Амино-2-этил-4-[5-(5-циклогексилпентил)тиофен-2-ил]бутан-1-олмалеат (пример соединения №1-1764)
Указанное в заголовке соединение получали способом, аналогично описанному в примере 11, с использованием 2-амино-2-этил-4-[5-(5-циклогексилпент-2-инил)тиофен-2-ил]бутан-1-ола, полученного в примере 28.
ЯМР (400 МГц, CD3OD) м.д.: 6,64 (1H, д, J=3,7 Гц), 6,57 (1H, д, J=3,7 Гц), 6,25 (2Н, с), 3,61 (1H, д, 7=11,8 Гц), 3,57 (1H, д, J=11,8 Гц), 2,70-2,87 (4Н, м), 1,88-2,05 (2Н, м), 1,56-1,82 (9Н, м), 1,10-1,38 (10Н, м), 0,99 (3Н, т, J=7,5 Гц), 0,81-0,93 (2Н, м).
ИК, Vmах см-1 (КВr): 3196, 2923, 2852, 1581, 1523, 1385, 1368, 1193, 1067, 1016.
Пример 30
2-Амино-2-этил-4-[5-(5-циклогексилпентаноил)тиофен-2-ил]бутан-1-олмалеат (пример соединения №1-2097)
Указанное в заголовке соединение получали способом, аналогично описанному в примере 11, с использованием 2-амино-2-этил-4-[5-(5-циклогексилпент-1-инил)тиофен-2-ил]бутан-1-ола, полученного в примере 28.
ЯМР (400 МГц, CD3OD) м.д.: 7,72 (1H, д, J=3,7 Гц), 6,99 (1H, д, J=3,7 Гц), 6,25 (2Н, с), 3,63 (1H, д, J=11,6 Гц), 3,59 (1Н, д, J=11,6 Гц), 2,85-3,02 (4Н, м), 1,94-2,12 (2Н, м), 1,60-1,83 (9Н, м), 1,10-1,42 (8Н, м), 1,01 (3Н, т, J=7,5 Гц), 0,82-0,96 (2Н, м).
ИК, Vmах см-1 (КВr): 3395, 2922, 2851, 1654, 1582, 1520, 1458, 1385, 1370, 1203, 1067.
Пример 31
(2R)-Амино-2-метил-4-[5-(4-циклогексилоксибут-1-инил)тиофен-2-ил]бутан-1-олмалеат (пример соединения №1-1072)
Указанное в заголовке соединение получали способом, аналогично описанному в примере 1, с использованием 4-[2-(5-бромтиофен-2-ил)]этил-4-метилоксазолидин-2-она в качестве исходного соединения.
ЯМР (400 МГц, CD3OD) м.д.: 6,93 (1H, д, J=3,6 Гц), 6,73 (1H, д, J=3,6 Гц), 6,25 (2Н, с), 3,57-3,67 (3Н, м), 3,51 (1H, д, J=1,6 Гц), 3,32-3,42 (1H, м), 2,78-2,95 (2Н, м), 2,63 (2Н, т, J=6,7 Гц), 1,50-2,10 (7Н, м), 1,17-1,37 (8Н, м).
ИК, Vmах см-1 (КВr): 3394, 2932, 2858, 1583, 1506, 1386, 1367, 1194, 1104.
Пример 32
2-Амино-2-метил-4-[5-(4-циклогексилметоксифенил)тиофен-2-ил]бутан-1-ол (пример соединения №1-1729)
Указанное в заголовке соединение получали способом, аналогично описанному в примере 1, с использованием 4-[2-(5-бромтиофен-2-ил)]этил-4-метилоксазолидин-2-она в качестве исходного соединения.
ЯМР (400 МГц, CD3OD) м.д.: 7,45 (2Н, д, J=8,7 Гц), 7,02
(1Н, д, J=3,6 Гц), 6,88 (2Н, д, J=8,7 Гц), 6,76 (1Н, д, J=3,6 Гц), 3,77 (2Н, д, J=6,3 Гц), 3,40 (1Н, д, J=10,9 Гц), 3,36 (1Н, д, J=10,9 Гц), 2,91-2,79 (2Н, м), 1,90-1,68 (8Н, м), 1,41-1,08 (5Н, м), 1,11 (3Н, с).
Пример 33
2-Амино-2-метил-4-[5-(4-бензилоксифенил)тиофен-2-ил]бутан-1-ол
(пример соединения №1-1744)
Указанное в заголовке соединение получали способом, аналогично описанному в примере 1, с использованием 4-[2-(5-бромтиофен-2-ил)]этил-4-метилоксазолидин-2-она в качестве исходного соединения.
ЯМР (400 МГц, CD3OD) м.д.: 7,51-7,27 (7Н, м), 7,07 (1Н, д, J=3,6 Гц), 6,98 (2Н, д, J=8,7 Гц), 6,76 (1Н, д, J=3,6 Гц), 5,06 (2Н, с), 3,44-3,38 (2Н, м), 2,91-2,80 (2Н, м), 1,86-1,74 (2Н, м), 1,11 (3Н, с).
Пример 34
(2R)-Амино-2-метил-4-{5-[3-(4-метилфенокси)пропинил]тиофен-2-ил}бутан-1-олмалеат (пример соединения №1-1063)
Указанное в заголовке соединение получали способом, аналогично описанному в примере 1.
ЯМР (400 МГц, СD3ОD) м.д.: 1,31 (3Н, с), 1,88-2,10 (2Н, м), 2,27 (3Н, с), 2,80-2,95 (2Н, м), 3,51 (1Н, д, J=11,6 Гц), 3,60 (1Н, д, J=11,6 Гц), 4,89 (2Н, с), 6,25 (2Н, с), 6,77 (1Н, д, J=3,6 Гц), 6,88 (2Н, д, J=8,6 Гц), 7,05 (1Н, д, J=3,6 Гц), 7,09 (2Н, д, J=8,6 Гц).
ИК, Vmах см-1 (КВr): 3338, 3211, 3006, 2923, 2229, 1583, 1511, 1372, 1228, 1018.
Пример 35
(2R)-Амино-2-метил-4-{5-[3-(4-метилфенокси)пропил]тиофен-2-ил}бутан-1-олмалеат (пример соединения №1-391)
Указанное в заголовке соединение получали способом, аналогично описанному в примере 11, с использованием (2R)-амино-2-метил-4-{5-[3-(4-метилфенокси)пропинил]тиофен-2-ил}бутан-1-олмалеата, полученного в примере 34.
ЯМР (400 МГц, CD3OD) м.д.: 1,31 (3Н, с), 1,88-2,10 (4Н, м), 2,25 (3Н, с), 2,77-2,92 (2Н, м), 2,94 (2Н, т, J=7,5 Гц), 3,51 (1Н, д, J=11,6 Гц), 3,60 (1Н, д, J=11,6 Гц), 3,93 (2Н, т, J=6,2 Гц), 6,25 (2Н, с), 6,62 (1Н, д, J=3,3 Гц), 6,65 (1Н, д, J=3,3 Гц), 6,77 (2Н, д, J=8,5 Гц), 7,04 (2Н, д, J=8,5 Гц).
ИК, Vmах см-1 (КВr): 3412, 3028, 2947, 2926, 1577, 1513, 1387, 1357, 1239, 1055.
Пример 36
(2R)-Амино-2-метил-4-{5-[3-(3-метилфенокси)пропинил]тиофен-2-ил}бутан-1-олоксалат (пример соединения №1-2276)
Указанное в заголовке соединение получали способом, аналогично описанному в примере 1.
ЯМР (400 МГц, CD3OD) м.д.: 1,31 (3Н, с), 1,90-2,10 (2Н, м), 2,31 (3Н, с), 2,82-2,96 (2Н, м), 3,52 (1Н, д, J=11,7 Гц), 3,60 (1Н, д, J=11,7 Гц), 4,90 (2Н, с), 6,73-6,85 (4Н, м), 7,05 (1Н, д, J=3,6 Гц), 7,16 (1Н, м).
ИК, Vmах см-1 (КВr): 2923, 2575, 2226, 1621, 1583, 1559, 1489, 1290, 1255, 1154, 1045.
Пример 37
(2R)-Амино-2-метил-4-{5-[3-(4-этилфенокси)пропинил]тиофен-2-ил}бутан-1-олмалеат (пример соединения №1-1064)
Указанное в заголовке соединение получали способом, аналогично описанному в примере 1.
ЯМР (400 МГц, CD3OD) м.д.: 1,20 (3Н, т, J=7,6 Гц), 1,31 (3Н, с), 1,88-2,10 (2Н, м), 2,58 (2Н, кв, J=7,6 Гц), 2,80-2,95 (2Н, м), 3,51 (1Н, д, J=11,5 Гц), 3,60 (1Н, д, J=11,5 Гц), 4,89 (2Н, с), 6,25 (2Н, с), 6,77 (1Н, д, J=3,6 Гц), 6,90 (2Н, д, J=8,6 Гц), 7,05 (1Н, д, J=3,6 Гц), 7,12 (2Н, д, J=8,6 Гц).
ИК, Vmах см-1 (КВr): 3385, 2959, 2928, 2226, 1581, 1510, 1384, 1232, 1020.
Пример 38
(2R)-Амино-2-метил-4-{5-[3-(4-метилтиофенокси)пропинил]тиофен-2-ил}бутан-1-олмалеат (пример соединения №1-1068)
Указанное в заголовке соединение получали способом, аналогично описанному в примере 1.
ЯМР (400 МГц, CD3OD) м.д.: 1,31 (3Н, с), 1,88-2,10 (2Н, м), 2,42 (3Н, с), 2,81-2,96 (2Н, м), 3,51 (1Н, д, J=11,5 Гц), 3,60 (1Н, д, J=11,5 Гц), 4,92 (2Н, с), 6,25 (2Н, с), 6,78 (1Н, д, J=3,6 Гц), 6,96 (2Н, д, J=8,9 Гц), 7,06 (1Н, д, J=3,6 Гц), 7,27 (2Н, д, J=8,9 Гц).
ИК, Vmах см-1 (KBr): 3401, 2984, 2918, 2227, 1575, 1492, 1376, 1237, 1011.
Пример 39
(2R)-Амино-2-метил-4-{5-[3-(3,5-диметоксифенокси)пропинил]тиофен-2-ил}бутан-1-олфумарат (пример соединения №1-2285)
Указанное в заголовке соединение получали способом, аналогично описанному в примере 1.
ЯМР (400 МГц, CD3OD) м.д.: 1,31 (3Н, с), 1,90-2,10 (2Н, м), 2,82-2,96 (2Н, м), 3,51 (1Н, д, J=11,6 Гц), 3,61 (1Н, д, J=11,6 Гц), 3,75 (6Н, с), 4,89 (2Н, с), 6,13 (1Н, дд, J=2,2, 2,2 Гц), 6,43 (2Н, д, J=2,2 Гц), 6,69 (2Н, с), 6,78 (1Н, д, J=3,6 Гц), 7,07 (1Н, д, J=3,6 Гц).
ИК, Vmах см-1 (KBr): 3382, 2936, 2222, 1682, 1601, 1476, 1205, 1152, 1066.
Пример 40
(2R)-Амино-2-мeтил-4-{5-[3-(3,4-диметоксифенокси)пропинил]тиофен-2-ил}бутан-1-олмалеат (пример соединения №1-2284)
Указанное в заголовке соединение получали способом, аналогично описанному в примере 1.
ЯМР (400 МГц, СD3OD) м.д.: 1,31 (3Н, с), 1,88-2,10 (2Н, м), 2,81-2,95 (2Н, м), 3,51 (1H, д, J=11,4 Гц), 3,61 (1Н, д, J=11,4 Гц), 3,78 (3Н, с), 3,81 (3Н, с), 4,88 (2Н, с), 6,25 (2Н, с), 6,54 (1Н, дд, J=8,7, 2,7 Гц), 6,66 (1Н, д, J=2,7 Гц), 6,78 (1H, д, J=3,6 Гц), 6,87 (1Н, д, J=8,7 Гц), 7,05 (1H, д, J=3,6 Гц).
ИК, Vmах см-1 (KBr): 3361, 2934, 2221, 1581, 1512, 1385, 1369, 1228, 1196, 1023.
Пример 41
(2R)-Амино-2-метил-4-{5-[3-(4-ацетилфенокси)пропинил]тиофен-2-ил}бутан-1-ол (пример соединения №1-2288)
Указанное в заголовке соединение получали способом, аналогично описанному в примере 1.
ЯМР (400 МГц, СD3ОD) м.д.: 1,07 (3Н, с), 1,68-1,82 (2Н, м), 2,56 (3Н, с), 2,77-2,91 (2Н, м), 3,33 (1Н, д, J=11,0 Гц), 3,36 (1Н, д, J=11,0 Гц), 5,05 (2Н, с), 6,73 (1Н, д, J=3,6 Гц), 7,04 (1Н, д, J=3,6 Гц), 7,10 (2Н, д, J=9,0 Гц), 8,00 (2Н, д, J=9,0 Гц).
ИК, Vmах см-1 (KBr): 3351, 3315, 3287, 2916, 2878, 2734, 2229, 1673, 1599, 1376, 1364, 1253, 1174.
Пример 42
(2R)-Амино-2-метил-4-{5-[3-(4-карбоксифенокси)пропинил]тиофен-2-ил}бутан-1-олгидрохлорид (пример соединения №1-2289)
Указанное в заголовке соединение получали способом, аналогично описанному в примере 1.
ЯМР (400 МГц, CD3OD) м.д.: 1,31 (3Н, с), 1,90-2,10 (2Н, м), 2,82-2,96 (2Н, м), 3,51 (1Н, д, J=11,5 Гц), 3,61 (1Н, д, J=11,5 Гц), 5,04 (2Н, с), 6,79 (1Н, д, J=3,7 Гц), 7,05-7,11 (3Н, м), 7,99 (2Н, д, J=8,8 Гц).
ИК, Vmах см-1 (KBr): 3383, 3064, 2226, 1699, 1604, 1508, 1379, 1233, 1170, 1002.
Пример 43
(2R)-Амино-2-метил-4-{5-[3-(3-метоксифенокси)пропинил]тиофен-2-ил}бутан-1-олмалеат (пример соединения №1-2283)
Указанное в заголовке соединение получали способом, аналогично описанному в примере 1.
ЯМР (400 МГц, CD3OD) м.д.: 1,31 (3Н, с), 1,88-2,10 (2Н, м), 2,80-2,96 (2Н, м), 3,51 (1Н, д, J=11,6 Гц), 3,60 (1Н, д, J=11,6 Гц}, 3,77 (3Н, с), 4,91 (2Н, с), 6,25 (2Н, с), 6,52-6,61 (3Н, м), 6,78 (1Н, д, J=3,6 Гц), 7,06 (1Н, д, J=3,6 Гц), 7,18 (1Н, т, J=8,4 Гц).
ИК, Vmах см-1 (КВr): 3005, 2940, 2223, 1583, 1493, 1387, 1362, 1284, 1191, 1153, 1080, 1045, 1020, 866, 813, 758, 687, 565.
Пример 44
(2R)-Амино-2-метил-4-{5-[4-(4-метилфенокси)бут-1-инил]тиофен-2-ил}бутан-1-олмалеат (пример соединения №1-1139)
Указанное в заголовке соединение получали способом, аналогично описанному в примере 1.
ЯМР (400 МГц, CD3OD) м.д.: 1,31 (3Н, с), 1,87-2,10 (2Н, м), 2,26 (3Н, с), 2,85 (2Н, т, J=6,8 Гц), 2,78-2,95 (2Н, м), 3,51 (1Н, д, J=11,6 Гц), 3,61 (1Н, д, J=11,6 Гц), 4,09 (2Н, т, J=6,8 Гц), 6,25 (2Н, с), 6,73 (1Н, д, J=3,6 Гц), 6,82 (2Н, д, J=8,4 Гц), 6,96 (1Н, д, J=3,6 Гц), 7,07 (2Н, д, J=8,4 Гц).
ИК, Vmах см-1 (КВr): 3032, 2925, 2596, 1578, 1513, 1388, 1359, 1293, 1244, 1205, 1176, 1079, 1039, 867, 812, 509.
Пример 45
(2R)-Амино-2-метил-4-{5-[4-(4-фторфенокси)бут-1-инил]тиофен-2-ил}бутан-1-ол (пример соединения №1-1135)
Указанное в заголовке соединение получали способом, аналогично описанному в примере 1.
ЯМР (400 МГц, CD3OD) м.д.: 1,15 (3Н, с), 1,72-1,89 (2Н, м), 2,22 (3Н, шс), 2,88 (2Н, т, J=6,8 Гц), 2,76-2,93 (2Н, м), 3,37 (1Н, д, J=10,8 Гц), 3,42 (1Н, д, J=10,8 Гц), 4,11 (2Н, т, J=6,8 Гц), 6,64 (1Н, д, J=3,6 Гц), 6,84-6,90 (2Н, м), 6,93-7,03 (3Н, м).
ИК, Vmах см-1 (КВr): 3356, 3296, 3090, 2971, 2950, 2916, 2896, 2877, 2812, 2735, 1589, 1506, 1465, 1389, 1289, 1245, 1219, 1203, 1154, 1065, 1039, 974, 923, 831, 819, 742, 568, 523, 509.
Пример 46
(2R)-Амино-2-метил-4-{5-[3-(3,4-диметилфенокси)пропинил]тиофен-2-ил}бутан-1-олмалеат (пример соединения №1-2278)
Указанное в заголовке соединение получали способом, аналогично описанному в примере 1.
ЯМР (400 МГц, CD3OD) м.д.: 1,31 (3Н, с), 1,90-2,09 (2Н, м), 2,19 (3Н, с), 2,23 (3Н, с), 2,81-2,94 (2Н, м), 3,31 (1Н, с), 3,51 (1Н, д, J=11,6 Гц), 3,61 (1Н, д, J=11,6 Гц), 4,87 (2Н, с), 6,25 (2Н, с), 6,70-6,78 (3Н, м), 7,01-7,04 (2Н, м).
ИК, Vmах см-1 (жидкая пленка): 3353, 3022, 2971, 2923, 2226, 1579, 1500, 1385, 1368, 1287, 1249, 1205, 1165, 1120, 1077, 1039, 930, 865, 806, 713, 573, 446.
Пример 47
(2R)-Амино-2-метил-4-[2-(3-фенилпропилокси)тиофен-2-ил]бутан-1-олтартрат (пример соединения №1-2395)
Пример 47(а)
1/2D-(-)-тартрат (2R)-амино-2-метил-4-тиофен-2-илбутан-1-ола
(4R)-Метил-4-[2-(тиофен-2-ил)]этилоксазолидин-2-он (85%ее, 7,30 г, 34,6 ммоль), полученный в примере 56, растворяли в смеси тетрагидрофурана (35 мл) и метанола (70 мл) и к полученному раствору на ледяной бане добавляли 5 н. водный раствор гидроксида калия (70 мл) с последующим перемешиванием в течение 2 дней при 80 С. К реакционному раствору добавляли дихлорметан и раствор промывали водой. Дихлорметановый слой сушили над безводным сульфатом магния и выпаривали при пониженном давлении растворитель. Полученный остаток (6,20 г) растворяли в этаноле (60 мл) и к раствору добавляли D-(-)-винную кислоту (5,19 г, 34,6 ммоль) в этаноле (50 мл) с получением осадка. Осадок отфильтровывали, получив в результате неочищенное указанное в заголовке соединение (7,56 г). Полученное неочищенное целевое соединение (7,54 г) перекристаллизовывали из смеси этанола (75 мл) и воды (50 мл) с получением указанного в заголовке соединения (5,89 г, 98%ее). Кроме того, полученное целевое соединение (5,88 г) перекристаллизовывали из этанола (60 мл) и воды (54 мл) с получением указанного в заголовке соединения (5,11 г, 99,7%ее).
ИК, Vmах см-1 (КВr): 3400, 3218, 3126, 2937, 2596, 1599, 1530, 1400, 1124, 1077, 715.
Анализ. Вычислено (%) для С9Н15NОS·0,5С4Н4O6: С, 50,95; Н, 6,61; N, 5,40; S, 12,36.
Найдено: С, 50,68; Н, 6,91; N, 5,38; S, 12,48.
[а]24D-14 (с 1,00, Н2O).
Пример 47(b)
(2R)-Ацетиламино-2-метил-4-(тиофен-2-ил)бутилацетат
К 1/2D-(-)-тартрату (2R)-амино-2-метил-4-тиофен-2-илбутан-1-ола (5,11 г, 19,6 ммоль), полученному в примере 47(а), добавляли 1 н. водный раствор гидроксида натрия (30 мл) на ледяной бане и полученное свободное соединение экстрагировали дихлорметаном. Дихлорметановый слой сушили над безводным сульфатом натрия и выпаривали в вакууме растворитель с получением (2R)-амино-2-метил-4-тиофен-2-илбутан-1-ола (3,55 г, выход 98%). К полученному (2R)-амино-2-метил-4-тиофен-2-илбутан-1-олу (1,51 г, 8,15 ммоль) добавляли пиридин (30 мл) и затем к полученной смеси на ледяной бане добавляли уксусный ангидрид (1,95 мл, 20,7 ммоль) и 4-(диметиламино) пиридин (200 мг, 1,64 ммоль) с последующим перемешиванием в течение 2 часов при комнатной температуре в атмосфере азота. Реакционный раствор вливали в 1 н. хлористоводородную кислоту (150 мл) на ледяной бане и затем смесь экстрагировали этилацетатом. Этилацетатный слой промывали последовательно 1 н. хлористоводородной кислотой и насыщенным водным раствором хлорида натрия. Этилацетатный слой сушили над безводным сульфатом натрия и выпаривали при пониженном давлении растворитель. Остаток очищали хроматографией на колонке с силикагелем (элюирующий растворитель: гексан:этилацетат = 3:1-1:2) с получением указанного в заголовке соединения (2,15 г, выход 98%).
ЯМР (400 МГц, CDCl3) м.д.: 1,37 (3Н, с), 1,93 (3Н, с), 1,94-2,10 (1Н, м), 2,10 (3Н,с), 2,24-2,38 (1Н, м), 2,85 (2Н, т, J=8,0 Гц), 4,18 (1Н, д, J=11,6 Гц), 4,32 (1Н, д, J=11,6 Гц), 5,39 (1Н, шс), 6,81 (1Н, дд, J=1,2, 3,6 Гц), 6,92 (1Н, дд, J=3,6, 5,2 Гц), 7,12 (1H, дд, J=1,2, 5,2 Гц).
ИК, Vmах см-1 (КВr): 3265, 3079, 2933, 2862, 1735, 1638, 1559, 1472, 1441, 1374, 1318, 1241, 1179, 1039, 701, 616.
Пример 47(с)
(2R)-Ацетиламино-2-метил-4-(5-бромтиофен-2-ил)бутилацетат
(2R)-Ацетиламино-2-метил-4-(тиофен-2-ил)бутилацетат (1,81 г, 6,70 ммоль), полученный в примере 47(b), растворяли в диметилформамиде (20 мл) и к полученному раствору на ледяной бане добавляли N-бромсукцинимид (1,27 г, 7,11 ммоль), после чего смесь перемешивали в атмосфере азота в течение 10 минут на ледяной бане и затем в течение ночи при комнатной температуре. Реакционный раствор вливали в воду, экстрагировали этилацетатом и этилацетатный слой промывали насыщенным водным раствором хлорида натрия. Этилацетатный слой сушили над безводным сульфатом натрия и выпаривали в вакууме растворитель. Остаток очищали хроматографией на колонке с силикагелем (элюирующий растворитель: гексан:этилацетат = 3:1-1:2) с получением указанного в заголовке соединения (2,32 г, выход 99%).
ЯМР (400 МГц, CDCl3) м.д.: 1,35 (3Н, с), 1,95 (3Н, с), 1,95-2,08 (1H, м), 2,10 (3Н, с), 2,24-2,37 (1H, м), 2,76 (2Н, т, J=8,4 Гц), 4,15 (1H, д, J=11,2 Гц), 4,30 (1H, д, J=11,2 Гц), 5,39 (1H, шс), 6,57 (1H, д, J=3,6 Гц), 6,84 (1H, д, J=3,6 Гц).
ИК, Vmах см-1 (жидкая пленка): 3300, 3076, 2980, 2937, 1740, 1657, 1544, 1466, 1446, 1373, 1242, 1045, 794, 604.
Пример 47(d)
(2R)-2-Амино-2-метил-4-[2-(3-фенилпропилокси)тиофен-5-ил)]бутан-1-олтартрат
К 3-фенил-1-пропанолу (1 мл) добавляли натрий (0,06 г, 2,6 ммоль) и смесь медленно нагревали до 80-90 С и перемешивали при указанной температуре 3 часа. По окончании реакции раствор постепенно охлаждали, добавляли (2R)-ацетиламино-2-метил-4-(5-бромтиофен-2-ил)бутилацетат (0,177 г, 0,51 ммоль), полученный в примере 47(с), иодид калия (0,8 мг, 0,005 ммоль) и оксид меди (I) (21,0 мг, 0,26 ммоль) и реакционную смесь перемешивали 19 часов при 90 С. После охлаждения реакционный раствор подвергали последовательно хроматографии на колонке с силикагелем (элюирующий растворитель: дихлорметан:метанол:триэтиламин = 10:1:0-100:10:1, об./об./об.) и на щелочной колонке с силикагелем (элюирующий растворитель: дихлорметан:метанол = 100:1, об./об.) с получением (2R)-2-амино-2-метил-4-[2-(3-фенилпропилокси)тиофен-5-ил)]бутан-1-ола (9,1 мг, выход 6%).
Полученный (2R)-2-амино-2-метил-4-[2-(3-фенилпропилокси)тиофен-5-ил)]бутан-1-ол (15,2 мг, 0,048 ммоль) растворяли в метаноле (1 мл) и к полученному раствору добавляли винную кислоту (4,5 мг, 0,049 ммоль) с последующим перемешиванием в течение 1,5 часов при комнатной температуре. Растворитель концентрировали при пониженном давлении и затем к остатку добавляли этилацетат, в результате чего выпадали в осадок кристаллы, которые отфильтровывали. Осадок промывали этилацетатом и сушили с получением указанного в заголовке соединения (18,5 мг, выход 95%).
ЯМР (400 МГц, CD3OD) м.д.: 1,30 (3Н, с), 1,86-2,07 (4Н, м), 2,68-2,79 (4Н, м), 3,51 (1H, д, J=11,6 Гц), 3,59 (1Н, д, J=11,6 Гц), 3,97 (2Н, т, J=6,5 Гц), 6,00 (1H, д, J=3,7 Гц), 6,44 (1H, д, J=3,7 Гц), 7,14-7,28 (5Н, м).
МС (ECI) м/z: 342 ((М+Н)+), 320 ((M+H)+).
Пример 48
(2R)-Амино-2-метил-4-{5-[3-(3-ацетилфенокси)пропинил]тиофен-2-ил}бутан-1-олоксалат (пример соединения №1-2287)
Указанное в заголовке соединение получали способом, аналогично описанному в примере 1.
ЯМР (400 МГц, СD3ОD) м.д.: 1,31 (3Н, с), 1,88-2,10 (2Н, м), 2,60 (3Н, с), 2,82-2,95 (2Н, м), 3,51 (1H, д, J=11,6 Гц), 3,60 (1H, д, J=11,6 Гц), 5,02 (2Н, с), 6,78 (1H, д, J=3,6 Гц), 7,06 (1H, д, J=3,6 Гц), 7,26 (1H, м), 7,44 (1H, м), 7,61-7,67 (2Н, м).
ИК, Vmах см-1 (КВr): 3346, 3213, 2929, 2224, 1679, 1595, 1582, 1277, 1205, 721.
Пример 49
(2R)-Амино-2-метил-4-[5-(5-фенилпент-1-инил)тиофен-2-ил]бутан-1-олоксалат (пример соединения №1-824)
Пример 49(а)
(2R)-Ацетиламино-2-метил-4-[5-(5-фенилпент-1-инил)тиофен-2-ил]бутилацетат
(2R)-Ацетиламино-2-метил-4-(5-бромтиофен-2-ил)бутилацетат (1,60 г, 4,59 ммоль), полученный в примере 47(с), растворяли в диметилформамиде (16 мл) и к полученному раствору добавляли 5-фенилпент-1-ин (1,99 г, 13,8 ммоль), триэтиламин (6,40 мл, 45,9 ммоль), иодид меди (I) (175 мг, 0,92 ммоль) и дихлорбис(трифенилфосфин)палладий (322 мг, 0,46 ммоль) с последующим перемешиванием в течение 2 часов при 80 С в атмосфере азота. Реакционный раствор вливали в воду, экстрагировали этилацетатом и этилацетатный слой сушили над безводным сульфатом магния, после чего выпаривали в вакууме растворитель. Остаток очищали хроматографией на колонке с силикагелем (элюирующий растворитель: гексан:этилацетат = 2:1-2:3) с получением указанного в заголовке соединения (1,41 г, выход 75%).
ЯМР (400 МГц, CDCl3) м.д.: 1,36 (3Н, с), 1,85-2,05 (3Н, м), 1,94 (3Н, с), 2,10 (3Н, с), 2,25-2,35 (1Н, м), 2,43 (2Н, т, J=7,0 Гц), 3,70-3,80 (4Н, м), 4,17 (1Н, д, J=11,2 Гц), 4,31 (1Н, д, J=11,2 Гц), 5,38 (1Н, шс), 6,64 (1Н, д, J=3,6 Гц), 6,94 (1Н, д, J=3,6 Гц), 7,15-7,42 (5Н, м).
ИК, Vmах см-1 (СНСl3): 3443, 2946, 2862, 1737, 1681, 1511, 1374, 1251, 1042.
Пример 49(b)
(2R)-Амино-2-метил-4-[5-(5-фенилпент-1-инил) тиофен-2-ил] бутан-1-олоксалат
(2R)-Ацетиламино-2-метил-4-[5-(5-фенилпент-1-инил)тиофен-2-ил]бутилацетат (1,40 г, 3,40 ммоль), полученный в примере 49(а), растворяли в 14 мл смешанного растворителя (тетрагидрофуран:метанол:вода = 1:1:1) и к полученному раствору добавляли моногидрат гидроксида лития (1,43 г, 34,0 ммоль) с последующим перемешиванием в течение 4 часов при 50 С. Реакционный раствор вливали в воду, экстрагировали дихлорметаном и затем дихлорметановый слой сушили над безводным сульфатом натрия и выпаривали при пониженном давлении растворитель. Остаток очищали хроматографией на колонке с силикагелем (элюирующий растворитель: дихлорметан:метанол:аммиачная вода = 20:1:0-10:1:0,1) с получением (2R)-амино-2-метил-4-[5-(5-фенилпент-1-инил)тиофен-2-ил]бутан-1-ола (1,11 г, выход 100%). Полученный (2R)-амино-2-метил-4-[5-(5-фенилпент-1-инил)тиофен-2-ил]бутан-1-ол (360 мг, 1,10 ммоль) растворяли в метаноле и к раствору добавляли щавелевую кислоту (99 мг, 1,10 ммоль) с выпадением в осадок кристаллов. Кристаллы перекристаллизовывали из метанола с получением указанного в заголовке соединения (394 мг, выход 86%) в виде белых кристаллов.
ЯМР (400 МГц, CD3OD) м.д.: 1,31 (3Н, с), 1,82-2,10 (4Н, м), 2,40 (2Н, т, J=7,0 Гц), 2,75 (2Н, т, J=7,5 Гц), 2,80-2,95 (2Н, м), 3,52 (1Н, д, J=11,5 Гц), 3,61 (1Н, д, J=11,5 Гц), 6,73 (1Н, д, J=3,6 Гц), 6,94 (1Н, д, J=3,6 Гц), 7,13-7,30 (5Н, м).
ИК, Vmах см-1 (КВr): 3383, 3106, 3026, 2980, 2942, 2622, 2514, 1721, 1609, 1539, 1198, 699.
MC (FAB) м/z: 328 ((М+Н)+) (форма свободной кислоты)
Анализ. Вычислено (%) для C20H25NOS·C2H2O4·0,2H2O: С, 62,75; Н, 6,55; N, 3,32; S, 7,61.
Найдено: С, 62,50; Н, 6,29; N, 3,39; S, 7,70.
[а]25D -0,9 (с 1,00, метанол).
Пример 50
(2R)-Амино-2-метил-4-[5-(5-фенилпентаноил)тиофен-2-ил]бутан-1-олоксалат (пример соединения №1-1344)
(2R)-Амино-2-метил-4-[5-(5-фенилпент-1-инил)тиофен-2-ил]бутан-1-ол (387 мг, 1,18 ммоль), полученный в примере 49, растворяли в метаноле (4 мл) и к раствору добавляли 6 н. серную кислоту (4 мл), после чего смесь кипятили с обратным холодильником в течение 4 часов. Реакционный раствор охлаждали до 0 С, подщелачивали (рН 14) 1 н. водным раствором гидроксида натрия и затем полученный раствор экстрагировали дихлорметаном. Дихлорметановый слой сушили над безводным сульфатом натрия и выпаривали в вакууме растворитель. Остаток очищали хроматографией на колонке с силикагелем (Chromatorex NH (100-200 меш)) (элюирующий растворитель: дихлорметан:метанол = 1:0-50:1) с получением (2R)-амино-2-метил-4-[5-(5-фенилпентаноил)тиофен-2-ил]бутан-1-ола (336 мг, выход 82%). Полученное соединение растворяли в метаноле и к раствору добавляли щавелевую кислоту (88 мг, 0,97 ммоль), в результате чего выпадали в осадок кристаллы. Кристаллы перекристаллизовывали из метанола с получением указанного в заголовке соединения (332 мг, выход 78%) в виде белых кристаллов.
ЯМР (400 МГц, ДМСО-d6) м.д.: 1,19 (3Н, с), 1,55-1,67 (4Н, м), 1,80-1,98 (2Н, м), 2,60 (2Н, т, J=6,7 Гц), 2,83-2,96 (4Н, м), 3,40 (1Н, д, J=11,3 Гц), 3,47 (1Н, д, J=11,3 Гц), 7,00 (1Н, д, J=3,7 Гц), 7,13-7,22 (3Н, м), 7,23-7,31 (2Н, м), 7,80 (1Н, д, J=3,7 Гц).
ИК, Vmах см-1 (КВr): 3126, 2942, 2657, 1915, 1718, 1649, 1609, 1547, 1445, 1205, 700.
MC (FAB) m/z: 346 ((М + Н)+) (форма свободной кислоты).
Анализ. Вычислено (%) для C20H27NO2S·C2H2O4 ·0,5Н2О: С, 59,44;
Н, 6,80; N, 3,15; S, 7,21.
Найдено: С, 59,62; Н, 6,53; N, 3,31; S, 7,43.
Пример 51
(2R)-Амино-2-метил-4-[5-(5-фенилпентил)тиофен-2-ил]бутан-1-олоксалат (пример соединения №1-152)
(2R)-Ацетиламино-2-метил-4-[5-(5-фенилпент-1-инил)тиофен-2-ил]бутилацетат (337 мг, 0,82 ммоль), полученный в примере 49(а), растворяли в метаноле (17 мл) и к раствору добавляли 10% палладий на активированном угле (170 мг) с последующим перемешиванием в течение 16 часов в атмосфере водорода. После отфильтровывания через Целит катализатора фильтрат выпаривали досуха при пониженном давлении с получением (2В)-ацетиламино-2-метил-4-[5-(5-фенилпентил)тиофен-2-ил]бутилацетата (318 мг, выход 93%). Полученный (2R)-ацетиламино-2-метил-4-[5-(5-фенилпентил)тиофен-2-ил]бутилацетат (298 мг, 0,72 ммоль) растворяли в 6 мл смешанного растворителя (тетрагидрофуран:метанол:вода = 1:1:1) и к полученному раствору добавляли моногидрат гидроксида лития (301 мг, 7,17 ммоль) с последующим перемешиванием в течение 6 часов при 50 С. Реакционный раствор вливали в воду, экстрагировали этилацетатом и затем этилацетатный слой сушили над безводным сульфатом натрия и выпаривали в вакууме растворитель. Остаток (243 мг) растворяли в метаноле и к раствору добавляли щавелевую кислоту (65 мг, 0,72 ммоль), в результате чего выпадали в осадок кристаллы. Кристаллы отфильтровывали с получением указанного в заголовке соединения (251 мг, выход 83%) в виде белых кристаллов.
ЯМР (400 МГц, CD3OD) м.д.: 1,31 (3Н, с), 1,32-1,42 (2Н, м), 1,58-1,70 (4Н, м), 1,88-2,08 (2Н, м), 2,59 (2Н, т, 3=7,6 Гц), 2,74 (2Н, т, J=7,4 Гц), 2,75-2,91 (2Н, м), 3,52 (1Н, д, J=11,6 Гц), 3,61 (1H, д, J=11,6 Гц), 6,56 (1Н, д, J=3,3 Гц), 6,63 (1H, д, J=3,3 Гц), 7,09-7,17 (3Н, м), 7,19-7,27 (2Н, м).
ИК, Vmах см-1 (КВr): 3458, 3134, 2929, 2855, 2595, 1724, 1642, 1543, 1219, 710.
Пример 52
(2R)-Амино-2-метил-4-{5-[3-(4-хлорфенокси) пропинил] тиофен-2-ил}бутан-1-олоксалат (пример соединения №1-2273)
Пример 52(а)
(2R)-Ацетиламино-2-метил-4-[5-(3-гидроксипропинил)тиофен-2-ил]бутилацетат
(2R)-Ацетиламино-2-метил-4-(5-бромтиофен-2-ил)бутилацетат (1,38 г, 3,95 ммоль), полученный в примере 47(с), растворяли в диметилформамиде (20 мл) и к полученному раствору добавляли пропаргиловый спирт (0,69 мл, 11,9 ммоль), триэтиламин (5,60 мл, 40,1 ммоль), иодид меди I) (76 мг, 0,40 ммоль) и дихлорбис(трифенилфосфин)палладий (276 мг, 0,39 ммоль) с последующим перемешиванием в течение 1 часа при 80 С в атмосфере азота. Реакционный раствор вливали в воду, экстрагировали этилацетатом и этилацетатный слой сушили над безводным сульфатом натрия, после чего выпаривали в вакууме растворитель. Остаток очищали хроматографией на колонке с силикагелем (элюирующий растворитель: гексан:этилацетат = 3:1-1:3) с получением указанного в заголовке соединения (685 мг, выход 54%) в виде белого твердого вещества.
ЯМР (500 МГц, CDCl3) м.д.: 1,35 (3Н, с), 1,91 (1H, шс), 1,94 (3Н, с), 1,97-2,05 (1H, м), 2,10 (3Н, с), 2,27-2,35 (1H, м), 2,75-2,82 (2Н, м), 4,16 (1H, д, J=11,2 Гц), 4,31 (1H, д, J=11,2 Гц), 4,49 (2Н, с), 5,43 (1Н, шс), 6,66 (1H, д, J=3,6 Гц), 7,02 (1H, д, J=3,6 Гц).
ИК, Vmах см-1 (KBr): 3295, 3077, 2981, 2217, 1740, 1644, 1556, 1373, 1251, 1028.
Пример 52(b)
(2R)-Амино-2-метил-4-{5-[3-(4-хлорфенокси)пропинил)тиофен-2-ил}бутан-1-олоксалат
(2R)-Ацетиламино-2-метил-4-[5-(3-гидроксипропинил)тиофен-2-ил]бутилацетат (285 мг, 0,88 ммоль), полученный в примере 52(а), и 4-хлорфенол (136 мг, 1,06 ммоль) растворяли в безводном тетрагидрофуране (5 мл) и затем к полученному раствору на ледяной бане добавляли диэтиловый эфир азодикарбоновой кислоты (230 мг, 1,32 ммоль) и трифенилфосфин (346 мг, 1,32 ммоль), после чего смесь перемешивали при комнатной температуре в течение 4 часов. В реакционный раствор вливали воду и полученный раствор экстрагировали этилацетатом. Этилацетатный слой сушили над безводным сульфатом магния и выпаривали при пониженном давлении растворитель. Остаток очищали хроматографией на колонке с силикагелем (элюирующий растворитель: гексан:этилацетат = 2:1-1:3) с получением (2R)-ацетиламино-2-метил-4-{5-[3-(4-хлорфенокси)пропинил]тиофен-2-ил}бутилацетата (195 мг, выход 51%) в виде желтого масла. Полученный продукт растворяли в 6 мл смешанного растворителя (тетрагидрофуран:метанол:вода = 1:1:1) и к полученному раствору добавляли моногидрат гидроксида лития (370 мг, 8,82 ммоль) с последующим перемешиванием в течение 6 часов при 50 С. Реакционный раствор вливали в воду, экстрагировали дихлорметаном и затем дихлорметановый слой сушили над безводным сульфатом натрия и выпаривали в вакууме растворитель. Остаток (175 мг, 0,50 ммоль) растворяли в этилацетате (5 мл) и к раствору добавляли щавелевую кислоту (45 мг, 0,50 ммоль),.в результате чего выпадали в осадок кристаллы. Кристаллы отфильтровывали с получением указанного в заголовке соединения (198 мг, выход 86%) в виде белых кристаллов.
ЯМР (400 МГц, ДМСО-d6) м.д.: 1,18 (3Н, с), 1,7-2,0 (2Н, м), 2,84 (2Н, т, J=8,7 Гц), 3,43 (2Н, м), 5,07 (2Н, с), 6,83 (1Н, д, J=3,6 Гц), 7,05 (2Н, д, J=9,0 Гц), 7,19 (1Н, д, J=3,6 Гц), 7,37 (2Н, д, J=9,0 Гц).
ИК, Vmах см-1 (КВr): 3416, 1719, 1597, 1490, 1375, 1241, 1201, 1092, 1006, 830.
MC (FAB) м/z: 350 ((М+Н)+) (форма свободной кислоты).
Анализ. Вычислено(%) для C18H20NO2SCl·C2H2CO4: С, 54,61; Н, 5,04; N, 3,18; S, 7,29; Cl, 8,06.
Найдено: С, 54,61; Н, 5,04; N, 3,01; S, 7,16; С1, 7,77.
Пример 53
(2R)-Амино-2-метил-4-[5-(1-гидрокси-5-фенилпентил)тиофен-2-ил]бутан-1-олоксалат (пример соединения №1-1686)
(2R)-Амино-2-метил-4-[5-(5-фенилпентаноил)тиофен-2-ил]бутан-1-ол (130 мг, 0,38 ммоль), полученный в примере 50, растворяли в метаноле (3 мл) и к полученному раствору на ледяной бане добавляли борогидрид натрия (17 мг, 0,45 ммоль), после чего смесь перемешивали при комнатной температуре в течение 1 часа. В реакционный раствор добавляли воду на ледяной бане и полученный раствор экстрагировали этилацетатом. Этилацетатный слой промывали насыщенным водным раствором хлорида натрия, сушили над безводным сульфатом магния и выпаривали при пониженном давлении растворитель. Полученный остаток растворяли в метаноле и к раствору добавляли щавелевую кислоту (34 мг, 0,38 ммоль), после чего выпаривали. в вакууме растворитель. К остатку добавляли этанол (3 мл) и полученный осадок отфильтровывали с получением указанного в заголовке соединения (95 мг, выход 58%) в виде белого кристаллического твердого вещества.
ЯМР (400 МГц, CD3OD) м.д.: 1,25-1,50 (2Н, м), 1,30 (3Н, с), 1,58-1,68 (2Н, м), 1,70-2,08 (4Н, м), 2,52-2,64 (2Н, м), 2,80-2,94 (2Н, м), 3,53 (1Н, д, J=11,7 Гц), 3,59 (1Н, д, J=11,7 Гц), 4,74 (1Н, т, J=6,8 Гц), 6,69 (1Н, д, J=3,6 Гц), 6,74 (1Н, д, J=3,6 Гц), 7,08-7,27 (5Н, м).
ИК, Vmах см-1 (КВr): 3357, 2933, 2857, 1579, 1496, 1454, 1310, 1070, 699.
Пример 54
(2R)-Амино-2-метил-4-[5-(4-фенилбут-1-инил)тиофен-2-ил]бутан-1-олоксалат (пример соединения №1-756)
Указанное в заголовке соединение получали способом, аналогично описанному в примере 49, с использованием (2R)-ацетиламино-2-метил-4-(5-бромтиофен-2-ил)бутилацетата и 4-фенилбут-1-ина.
ЯМР (400 МГц, CD3OD) м.д.: 1,31 (3Н, с), 1,88-2,09 (2Н, м), 2,68 (2Н, т, J=7,3 Гц), 2,78-2,93 (4Н, м), 3,52 (1Н, д, J=11,6 Гц), 3,61 (1Н, д, J=11,6 Гц), 6,72 (1Н, д, J=3,6 Гц), 6,88 (1Н, д, J=3,6 Гц), 7,16-7,31 (5Н, м).
ИК, Vmах см-1 (КВr): 3204, 3110, 3026, 2981, 2929, 2887, 1719, 1608, 1541, 1202, 699.
Пример 55
(2R)-Амино-2-метил-4-[5-(4-фенилбутаноил)тиофен-2-ил]бутан-1олоксалат (пример соединения №1-1330)
Указанное в заголовке соединение получали способом, аналогично описанному в примере 50, с использованием (2R)-амино-2-метил-4-[5-(4-фенилбут-1-инил)тиофен-2-ил]бутан-1-олоксалата, полученного в примере 54.
ЯМР (400 МГц, ДМСО-d6) м.д.: 1,19 (3Н, с), 1,82-1,98 (4Н, м), 2,62 (2Н, т, J=7,7 Гц), 2,85-2,97 (4Н, м), 3,39 (1Н, д, J=11,7 Гц), 3,45 (1Н, д, J=11,7 Гц), 7,00 (1Н, д, J=3,8 Гц), 7,15-7,33 (5Н, м), 7,76 (1Н, д, J=3,8 Гц).
ИК, Vmах см-1 (КВr): 3410, 3210, 2941, 2653, 2576, 1665, 1641, 1530, 1452, 1325.
Пример 56
(2R)-Амино-2-метил-4-[5-(4-циклогексилбут-1-инил)тиофен-2-ил]бутан-1-ол (пример соединения №1-743)
Указанное в заголовке соединение получали способом, аналогично описанному в примере 1.
ЯМР (400 МГц, CD3OD) м.д.: 0,87-0,99 (2Н, м), 1,08 (3Н, с), 1,11-1,50 (6Н, м), 1,62-1,81 (7Н, м), 2,41 (2Н, т, J=7,2 Гц), 2,74-2,88 (2Н, м), 3,34 (1Н, д, J=11,0 Гц), 3,37 (1Н, д, J=11,0 Гц), 6,66 (1Н, д, J=3,6 Гц), 6,87 (1Н, д, J=3,6 Гц).
ИК, Vmах см-1 (КВr): 3334, 3269, 3153, 2922, 2851, 1618, 1449, 1060, 804.
Пример 57
(2R)-Амино-2-метил-4-[5-(4-циклогексилбутил)тиофен-2-ил]бутан-1-ол (пример соединения №1-71)
Указанное в заголовке соединение получали способом, аналогично описанному в примере 11, с использованием (2R)-амино-2-метил-4-[5-(4-циклогексилбут-1-инил)тиофен-2-ил]бутан-1-ола, полученного в примере 56.
ЯМР (400 МГц, CD3OD) м.д.: 0,80-0,95 (2Н, м), 1,08 (3Н, с), 1,10-1,40 (8Н, м), 1,54-1,81 (9Н, м), 2,68-2,87 (4Н, м), 3,34 (1Н, д, J=10,9 Гц), 3,37 (1Н, д, J=10,9 Гц), 6,53 (1Н, д, J=3,2 Гц), 6,58 (1Н, д, J=3,2 Гц).
ИК, Vmах см-1 (КВr): 3333, 3269, 3170, 2923, 2850, 1619, 1461, 1447, 1059, 801.
Пример 58
(2R)-Амино-2-метил-4-[5-(4-циклогексилбутаноил)тиофен-2-ил]бутан-1-ол (пример соединения №1-1329)
Указанное в заголовке соединение получали способом, аналогично описанному в примере 17, с использованием (2R)-амино-2-метил-4-[5-(4-циклогексилбут-1-инил)тиофен-2-ил]бутан-1-ола, полученного в примере 56.
ЯМР (400 МГц, CD3OD) м.д.: 0,83-0,97 (2Н, м), 1,09 (3Н, с), 1,10-1,33 (6Н, м), 1,61-1,86 (9Н, м), 2,82-3,00 (4Н, м), 3,35 (1Н, д, J=10,9 Гц), 3,39 (1Н, д, J=10,9 Гц), 6,94 (1Н, д, J=3,7 Гц), 7,69 (1Н, д, J=3,7 Гц).
ИК, Vmах см-1 (КВr): 3333, 3268, 3142, 2921, 2849, 1648, 1457, 1208, 1057, 923, 816.
Пример 59
(2R)-Амино-2-метил-4-[5-(3-циклогексилметоксипропинил)тиофен-2-ил]бутан-1-олмалеат (пример соединения №1-1185)
Указанное в заголовке соединение получали способом, аналогично описанному в примере 1.
ЯМР (400 МГц, CD3OD) м.д.: 0,92-1,04 (2Н, м), 1,13-1,37 (3Н, м), 1,31 (3Н, с), 1,53-1,82 (6Н, м), 1,89-2,11 (2Н, м), 2,82-2,96 (2Н, м), 3,35 (2Н, д, J=6,4 Гц), 3,51 (1Н, д, J=11,5 Гц), 3,61 (1Н, д, J=11,5 Гц), 4,87 (2Н, с), 6,25 (2Н, с), 6,78 (1Н, д, J=3,6 Гц), 7,05 (1Н, д, J=3,6 Гц).
ИК, Vmах см-1 (КВr): 2924, 2852, 2218, 1577, 1496, 1386, 1356, 1195, 1089, 866.
Пример 60
(2R)-Амино-2-метил-4-[5-(4-циклогексилоксибутил)тиофен-2-ил]бутан-1-олмалеат (пример соединения №1-400)
Указанное в заголовке соединение получали способом, аналогично описанному в примере 11, с использованием (2R)-амино-2-метил-4-[5-(4-циклогексилбут-1-ил)тиофен-2-ил]бутан-1-ола, полученного в примере 31.
ЯМР (400 МГц, CD3OD) м.д.: 1,15-1,35 (5Н, м), 1,31 (3Н, с), 1,50-1,80 (7Н, м), 1,85-2,08 (4Н, м), 2,73-2,92 (4Н, м), 3,20-3,30 (1Н, м), 3,45-3,55 (3Н, м), 3,60 (1Н, д, J=11,6 Гц), 6,25 (2Н, с), 6,59 (1Н, д, J=3,3 Гц), 6,64 (1Н, д, J=3,3 Гц).
ИК, Vmах см-1 (КВr): 2931, 2856, 1577, 1490, 1471, 1459, 1388, 1357, 1108, 1081, 868.
Пример 61
(2R)-Амино-2-метил-4-{5-[4-(4-фторфенокси)бутил]тиофен-2-ил}бутан-1-ол (пример соединения №1-463)
Указанное в заголовке соединение получали способом, аналогично описанному в примере 11, с использованием (2R)-амино-2-метил-4-{5-[4-(4-фторфенокси)бут-1-инил]тиофен-2-ил}бутан-1-ола, полученного в примере 45.
ЯМР (400 МГц, CD3OD) м.д.: 1,08 (3Н, с), 1,70-1,85 (6Н, м), 2,73-2,88 (4Н, м), 3,34 (1Н, д, J=10,9 Гц), 3,38 (1Н, д, J=10,9 Гц), 3,94 (2Н, т, J=5,9 Гц), 6,58 (1Н, д, J=3,7 Гц), 6,60 (1Н, д, J=3,7 Гц), 6,83-6,90 (2Н, м), 6,93-7,00 (2Н, м).
ИК, Vmах см-1 (КВr): 3333, 3268, 3162, 2940, 2865, 1509, 1474, 1244, 1220, 1060, 830, 763.
Пример 62
(2R)-Амино-2-метил-4-{5-[4-(4-метоксифенокси)бутил]тиофен-2-ил}бутан-1-ол (пример соединения №1-479)
Указанное в заголовке соединение получали способом, аналогично описанному в примере 26, с использованием (4R)-метил-4-{2-[4-(4-метоксифенокси)бут-1-инил]}этилоксазолидина, полученного в примере 1(h).
ЯМР (400 МГц, CD3OD) м.д.: 1,08 (3Н, с), 1,68-1,84 (6Н, м), 2,73-2,87 (4Н, м), 3,34 (1Н, д, J=10,8 Гц), 3,38 (1Н, д, J=10,8 Гц), 3,72 (3Н, с), 3,91 (2Н, т, J=6,0 Гц), 6,58 (1Н, д, J=3,1 Гц), 6,60 (1Н, д, J=3,1 Гц), 6,81 (4Н, с).
ИК, Vmах см-1 (КВr): 3335, 3273, 3183, 2945, 2868, 1514, 1473, 1233, 1045, 825, 735.
Пример 63
(2R)-Амино-2-метил-4-[5-(4-бензилоксибут-1-инил)тиофен-2-ил]бутан-1-олоксалат (пример соединения №1-1266)
Указанное в заголовке соединение получали способом, аналогично описанному в примере 1.
ЯМР (400 МГц, CD3OD) м.д.: 1,31 (3Н, с), 1,89-2,10 (2Н, м), 2,70 (2Н, т, J=6,8 Гц), 2,80-2,94 (2Н, м), 3,52 (1Н, д, J=11,6 Гц), 3,61 (1H, д, J=11,6 Гц), 3,64 (2Н, т, J=6,8 Гц), 4,57 (2Н, с), 6,74 (1H, д, J=3,6 Гц), 6,94 (1H, д, J=3,6 Гц), 7,23-7,39 (5Н, м).
ИК, Vmах см-1 (КВr): 3358, 3028, 2926, 2544, 1719, 1702, 1605, 1496, 1468, 1454, 1402, 1279, 1204, 1105, 806, 739, 720, 699, 500.
MC (FAB) м/z: 344 ((М+Н)+) (форма свободной кислоты).
Пример 64
(2R)-Амино-2-метил-4-[5-(4-бензилоксибутил)тиофен-2-ил]бутан-1олмалеат (пример соединения №1-594)
Указанное в заголовке соединение получали способом, аналогично описанному в примере 11, с использованием (2R)-амино-2-метил-4-[5-(4-бензилоксибут-1-инил)тиофен-2-ил]бутан-1-ола, полученного в примере 63.
ЯМР (400 МГц, СD3СD) м.д.: 1,31 (3Н, с), 1,59-1,76 (4Н, м), 1,88-2,08 (2Н, м), 2,76 (2Н, т, J=7,2 Гц), 2,79-2,91 (2Н, м), 3,49 (2Н, т, J=6,4 Гц), 3,51 (1H, д, J=11,6 Гц), 3,60 (1H, д, J=11,6 Гц), 4,48 (2Н, с), 6,25 (2Н, с), 6,58 (1H, д, J=3,6 Гц), 6,64 (1H, д, J=3,6 Гц), 7,23-7,38 (5Н, м).
ИК, Vmах см-1 (КВr): 2935, 2862, 1579, 1496, 1386, 1363, 1195, 1104, 1077, 1012, 875, 866, 804, 737, 698, 569.
MC (FAB) m/z: 348 ((М+Н)+) (форма свободной кислоты).
Пример 65
(2R)-Амино-2-метил-4-{5-[3-(4-метилциклогексилокси)пропинил]тиофен-2-ил}бутан-1-олмалеат (пример соединения №1-1050)
Указанное в заголовке соединение получали способом,аналогично описанному в примере 1.
ЯМР (400 МГц, CD3OD) м.д.: 0,89, 0,90 (общая 3Н, д, J=6,4 Гц), 1,31 (3Н, с), 0,92-1,56, 1,70-2,12 (общая 11Н, м), 2,81-2,96 (2Н, м), 3,40-3,49, 3,73-3,79 (общая 1Н, м), 3,52 (1Н, д, J=11,2 Гц), 3,61 (1Н, д, J=11,2 Гц), 4,36, 4,39 (общая 2Н, с), 6,25 (2Н, с), 6,78 (1Н, д, J=3,6 Гц), 7,04 (1Н, д, J=3,6 Гц).
ИК, Vmах см-1 (КВr): 2927, 2864, 2219, 1579, 1508, 1386, 1366, 1193, 1093, 1077, 876, 865, 807, 717, 568.
MC (FAB) м/z: 336 ((М+Н)+) (форма свободной кислоты).
Пример 66
(4R)-Метил-4-[2-(тиофен-2-ил)этил]оксазолидин-2-он (пример соединения №4-4)
Пример 66(а)
(2R)-трет-Бутоксикарбониламино-3-н-гексаноилокси-2-метил-1-пропанол
2-трет-Бутоксикарбониламино-2-метил-1,3-пропандиол (20,0 г, 97,4 ммоль) суспендировали в диизопропиловом эфире (200 мл) и к полученной суспензии добавляли виниловый эфир н-гексановой кислоты (16,3 мл, 0,10 ммоль) и липазу [иммобилизованная липаза из Pseudomonas sp. (TOYOBO; 0,67 U/мг)] (0,8 г) с последующим интенсивным перемешиванием в течение 2 часов при комнатной температуре. Реакционный раствор фильтровали и фильтрат выпаривали при пониженном давлении. Полученный остаток очищали хроматографией на колонке с силикагелем (элюирующий растворитель: гексан:этилацетат = 10:1-2:1) с получением указанного в заголовке соединения (25,0 г, выход 85%) в виде бесцветного масла. Полученный (2R)-трет-бутоксикарбониламино-3-н-гексаноилокси-2-метил-1-пропанол подвергали хроматографии на оптически активной ВЭЖХ-колонке для аналитического разделения (ChiralCel OF (Daisel), 0,46 см х 25 см, элюирующий растворитель: н-гексан-2-пропанол = 70:30, расход: 0,5 мл/мин) для определения оптической чистоты.
Пики первой (8,2 мин) и второй (10,5 мин) из двух полос элюирования соответствовали 2S-форме и 2R-форме, соответственно. Было подтверждено, что оптическая чистота продукта данной реакции составляла 85%ее.
[а]25D -8,5 (с 1,86 , метанол).
ЯМР (400 МГц, CDCl3) м.д.: 4,86 (с, 1Н), 4,25 (д, 1Н, J=11,2 Гц), 4,19 (д, 1Н, J=11,2 Гц), 3,86 (шс, 1Н), 3,70-3,55 (м, 2Н), 2,36 (т, 2Н, J=7,4 Гц), 1,68-1,58 (м, 2Н), 1,44 (с, 9Н), 1,40-1,30 (м, 4Н), 1,25 (с, 3Н), 0,90 (т, 3Н, J=7,0 Гц).
ИК, Vmах см-1 (КВr): 3415, 3380, 2961, 2935, 2874, 1721, 1505, 1458, 1392, 1368, 1293, 1248, 1168, 1076.
MC (FAB) м/z: 304 ((М+Н)+.
Пример 66(b)
(2S)-трет-Бутоксикарбониламино-3-н-гексаноилокси-2-метил-1-пропаналь
(2R)-трет-Бутоксикарбониламино-3-н-гексаноилокси-2-метил-1-пропанол (30,7 г, 0,10 моль), полученный в примере 66(а), растворяли в дихлорметане (600 мл) и затем к полученному раствору на ледяной бане добавляли молекулярное сито 4 (220 г) и пиридинийхлорхромат (43,6 г, 0,20 моль) с последующим перемешиванием в течение 2 часов при комнатной температуре. Реакционный раствор разбавляли эфиром и затем раствор фильтровали. Фильтрат выпаривали в вакууме и остаток очищали хроматографией на колонке с силикагелем (элюирующий растворитель: н-гексан:этилацетат = 10:1-5:1) с получением указанного в заголовке соединения (28,8 г, выход 95%) в виде бесцветного масла.
ЯМР (400 МГц, CDCl3) м.д.: 9,45 (с, 1Н), 5,26 (шс, 1Н), 4,44 (д, 1Н, J=11,2 Гц), 4,32 (д, 1Н, J=11,2 Гц), 2,32 (т, 2Н, J=7,6 Гц), 1,70-1,55 (м, 2Н), 1,45 (с, 9Н), 1,38 (с, 3Н), 1,40-1,25 (м, 4Н), 0,90 (т, 3Н, J=7,0 Гц).
ИК, Vmах см-1 (жидкая пленка): 3367, 2961, 2935, 2874, 1742, 1707, 1509, 1458, 1392, 1369, 1290, 1274, 1254, 1166, 1100, 1078.
MC (FAB) м/z: 302 ((М+Н)+).
Пример 66 (с)
(2R)-трет-Бутоксикарбониламино-1-н-гексаноилокси-2-метил-4-(тиофен-2-ил)-3-бутен
2-Тиенилметилтрифенилфосфонийбромид (67,1 г, 0,15 моль) суспендировали в тетрагидрофуране (750 мл) и к полученной суспензии добавляли трет-бутоксид калия (17,2 г, 0,15 моль) с последующим перемешиванием в атмосфере азота в течение 20 минут при комнатной температуре. К реакционному раствору на ледяной бане добавляли по каплям тетрагидрофурановый (250 мл) раствор (2S)-трет-бутоксикарбониламино-3-н-гексаноилокси-2-метил-1-пропаналя (23,0 г, 76,4 ммоль), полученного в примере 66(b), и затем реакционную смесь перемешивали 30 минут на ледяной бане. К реакционному раствору добавляли воду и полученный раствор экстрагировали этилацетатом, после чего этилацетатный слой промывали насыщенным водным раствором хлорида натрия. Этилацетатный слой сушили над безводным сульфатом натрия и выпаривали при пониженном давлении растворитель. Остаток очищали хроматографией на колонке с силикагелем (элюирующий растворитель: н-гексан:этилацетат = 20:1) с получением указанного в заголовке соединения (27,8 г, выход 96%) в виде бесцветного масла.
ЯМР (400 МГц, CDCl3) м.д.: 7,32-7,26, 7,16-7,14 (м, общая 1Н), 7,04-7,01, 7,01-6,93 (м, общая 2Н), 6,63 (д, 0,5Н, J=16,0 Гц), 6,60 (д, 0,5Н, J=13,6 Гц), 6,10 (д, 0,5Н, J=16,0 Гц), 5,58 (д, 0,5Н, J=13,6 Гц), 4,94, 4,93 (шс, общая 1Н), 4,40-4,10 (м, 2Н), 2,34 (т, 2Н, J=7,4 Гц), 1,70-1,55 (м, 2Н), 1,57, 1,50, 1,44 (с, общая 9Н), 1,40-1,25 (м, 7Н), 0,88 (т, 3Н, J=7,0 Гц).
ИК, Vmах см-1 (жидкая пленка): 3370, 2961, 2933, 1725, 1495, 1456, 1391, 1367, 1247, 1167, 1109, 1100, 1072, 697.
MC (FAB) м/z: 381 (М+).
Пример 66(d)
(4R)-Метил-4-[2-(тиофен-2-ил)этенил]оксазолидин-2-он
(2R)-трет-Бутоксикарбониламино-1-н-гексаноилокси-2-метил-4-(тиофен-2-ил)-3-бутен (40,5 г, 0,11 моль), полученный в примере 66(с), растворяли в смеси тетрагидрофурана (150 мл) и метанола (150 мл), к полученному раствору на ледяной бане добавляли 1 н. водный раствор гидроксида натрия (530 мл) с последующим перемешиванием в течение 30 минут на ледяной бане и затем в течение 1 часа при комнатной температуре. После концентрирования реакционного раствора в вакууме добавляли воду и раствор экстрагировали дихлорметаном, после чего дихлорметановый слой промывали насыщенным водным раствором хлорида натрия. Дихлорметановый слой сушили над безводным сульфатом натрия и выпаривали в вакууме растворитель с получением неочищенного продукта (35,0 г). Полученный неочищенный продукт растворяли в тетрагидрофуране (300 мл), к раствору на ледяной бане добавляли трет-бутоксид калий (17,8 г, 0,16 моль) с последующим перемешиванием в течение 10 минут на ледяной бане и затем в течение 40 минут при комнатной температуре. К реакционному раствору добавляли воду и полученный раствор экстрагировали этилацетатом, после чего этилацетатный слой промывали насыщенным водным раствором хлорида натрия. Этилацетатный слой сушили над безводным сульфатом натрия и затем выпаривали при пониженном давлении растворитель. Остаток очищали хроматографией на колонке с силикагелем (элюирующий растворитель: гексан:этилацетат = 3:1-1:1) с получением указанного в заголовке соединения (18,0 г, выход 81%) в виде белого твердого вещества.
ЯМР (400 МГц, СDСl3) м.д.: 7,34 (д, 0,5Н, J=5,1 Гц), 7,19 (д, 0,5Н, J=5,0 Гц), 7,07-6,91 (м, 2Н), 6,74 (д, 0,5Н, J=16,0 Гц), 6,59 (д, 0,5Н, J=12,5 Гц), 6,17 (шс, 1Н), 6,06 (д, 0,5Н, J=16,0 Гц), 5,65 (д, 0,5Н, J=12,5 Гц), 4,41 (д, 0,5Н, J=8,6 Гц), 4,31-4,16 (м, 1,5Н), 1,60 (с, 1,5Н), 1,55 (с, 1,5Н).
ИК, Vmах см-1 (КВr): 3275, 3110, 2974, 1752, 1391, 1376, 1281, 1169, 1039, 960, 704.
MC(FAB) м/z: 209 (М+).
Пример 66(е)
(4R)-Метил-4-[2-(тиофен-2-ил)этил]оксазолидин-2-он
(4R)-Метил-4-[2-(тиофен-2-ил)этенил]оксазолидин-2-он(18,0 г, 86 ммоль), полученный в примере 66(d), растворяли в метаноле (150 мл) и к полученному раствору добавляли 10% палладий на активированном угле (4,5 г) с последующим перемешиванием в течение 10 часов при комнатной температуре в атмосфере водорода. Находящийся в реакционном растворе палладий на активированном угле удаляли фильтрованием с помощью воронки Кириямы (Kiriyama), покрытой тонким слоем силикагеля, и фильтрат выпаривали в вакууме. Полученное твердое вещество промывали диэтиловым эфиром и сушили с получением указанного в заголовке соединения (16,5 г, выход 91%) в виде белого твердого вещества.
Полученный (4R)-метил-4-[2-(тиофен-2-ил)этил]оксазолидин-2-он подвергали хроматографии на оптически активной ВЭЖХ-колонке для аналитического разделения (ChiralCel OF (Daisel), 0,46 см х 25 см, элюирующий растворитель: н-гексан:2-пропанол = 60:40, расход: 0,5 мл/мин) для определения оптической чистоты.
Пики первой (16,8 мин) и второй (17,6 мин) из двух полос элюирования соответствовали 2S-форме и 2R-форме, соответственно. Было подтверждено, что оптическая чистота продукта данной реакции составляла 85%ее.
[ ]25D +5,1 (c 2,0, СНСl3).
ЯМР (400 МГц, CDCl3) м.д.: 7,15 (д, 1Н, J=5,2 Гц), 6,93 (дд, 1Н, J=5,2, 3,6 Гц), 6,81 (д, 1Н, J=3, 6 Гц), 5,39 (шс, 1Н), 4,19 (д, 1Н, J=8,4 Гц), 4,08 (д, 1Н, J=8,4 Гц), 3,00-2,84 (м, 2Н), 2,08-1,92 (м, 2Н), 1,42 (с, 3Н).
ИК, Vmах см-1 (КВr): 3283, 1770, 1399, 1244, 1043, 941, 846, 775, 706, 691.
MC (EI) м/z: 211 (М+).
Данное соединение (4R)-метил-4-[2-(тиофен-2-ил)этил]оксазолидин-2-он (11 г) с оптической чистотой 85%ее растворяли в смеси этилацетата (25 мл) и н-гексана (5,0 мл) при нагревании и раствор оставляли на 2 часа при комнатной температуре. Выпавшие в осадок белые кристаллы отфильтровывали и сушили с получением указанного в заголовке соединения (4,0 г, оптическая чистота 99%ее).
[ ]25D +7,8 (с 2,0 , СНСl3).
Пример 67
(4R)-Метил-4-[2-(тиофен-2-ил)этил]оксазолидин-2-он (пример соединения №4-4)
Пример 67(а)
(2R)-трет-Бутоксикарбониламино-1-н-гексаноилокси-2-метил-4(тиофен-2-ил)бутан
(2R)-трет-Бутоксикарбониламино-1-н-гексаноилокси-2-метил-4-(тиофен-2-ил)-3-бутен (27,6 г, 72,4 моль), полученный в примере 66(с), растворяли в этаноле (450 мл) и к раствору добавляли 10% палладий на активированном угле (14,0 г) с последующим перемешиванием в течение 4 дней при комнатной температуре в атмосфере водорода. После отфильтровывания через Целит палладия на активированном угле, находящегося в реакционном растворе, фильтрат выпаривали при пониженном давлении досуха. Остаток очищали хроматографией на колонке с силикагелем (элюирующий растворитель: гексан:этилацетат = 20:1-10:1) с получением указанного в заголовке соединения (22,1 г, выход 80%) в виде бесцветного масла.
ЯМР (400 МГц, СDСl3) м.д.: 7,02 (д, 1Н, J=5,2 Гц), 6,91 (дд, 1H, J=5,2, 3,6 Гц), 6,80 (д, 1Н, J=3,6 Гц), 4,53 (шс, 1Н), 4,26-4,12 (м, 2Н), 2,85 (т, 2Н, J=8,4 Гц), 2,34 (т, 2Н, J=7,6 Гц), 2,26-2,16 (м, 1Н), 2,01-1,90 (м, 1Н), 1,68-1,56 (м, 2Н), 1,44 (с, 9Н), 1,31 (с, 3Н), 1,40-1,26 (м, 4Н), 0,89 (т, 3Н, J=7,6 Гц).
ИК, Vmах см-1 (КВr) (жидкая пленка): 3371, 2961, 2933, 2872, 2864, 1721, 1502, 1466, 1455, 1392, 1367, 1246, 1168, 1074, 694.
MC (FAB) м/z: 384 ((М+Н)+).
Пример 67(b)
(2R)-трет-Бутоксикарбониламино-2-метил-4-(тиофен-2-ил)-1-бутанол
(2R)-трет-Бутоксикарбониламино-1-н-гексаноилокси-2-метил-4-(тиофен-2-ил)бутан (22,0 г, 57,4 ммоль), полученный в примере 67(а), растворяли в смеси тетрагидрофурана (140 мл) и метанола (280 мл) и к полученному раствору на ледяной бане добавляли 1 н. водный раствор гидроксида натрия с последующим перемешиванием в течение 30 минут на ледяной бане и затем в течение 1 часа при комнатной температуре. Реакционный раствор концентрировали в вакууме, добавляли воду, после чего полученный раствор экстрагировали дихлорметаном и дихлорметановый слой промывали насыщенным водным раствором хлорида натрия. Дихлорметановый слой сушили над безводным сульфатом натрия и выпаривали в вакууме растворитель с получением указанного в заголовке соединения (15,5 г, выход 95%) в виде белого твердого вещества.
ЯМР (400 МГц, CDCl3) м.д.: 7,11 (д, 1Н, J=5,2 Гц), 6,92 (дд, 1Н, J=5,2, 3,6 Гц), 6,81 (д, 1Н, J=3,6 Гц), 4,64 (шс, 1Н), 4,08 (шс, 1Н), 3,74-3,60 (м, 2Н), 2,98-2,76 (м, 2Н), 2,20-2,10 (м, 1Н), 2,03-1,90 (м, 1Н), 1,44 (с, 9Н), 1,22 (с, 3Н).
ИК, Vmах см-1 (КВr): 3279, 3250, 3067, 2973, 2929, 2908, 2857, 1679, 1552, 1367, 1291, 1245, 1167, 1076, 1064, 1009, 861, 851, 701.
MC (FAB) м/z: 286 ((М+Н)+).
Пример 67(с)
(4R)-Метил-4-[2-(тиофен-2-ил)этил]оксазолидин-2-он
(2R)-трет-Бутоксикарбониламино-2-метил-4-(тиофен-2-ил)-1-бутанол (15,4 г, 53,9 ммоль), полученный в примере 67(b), растворяли в N,N-диметилформамиде (200 мл) и к полученному раствору на ледяной бане добавляли трет-бутоксид калия (9,07 г, 80,8 ммоль) с последующим перемешиванием в течение 10 минут на ледяной бане и затем в течение 40 минут при комнатной температуре. В реакционный раствор добавляли воду и экстрагировали этилацетатом, после чего этилацетатный слой промывали насыщенным водным раствором хлорида натрия и сушили над безводным сульфатом натрия, а затем выпаривали в вакууме растворитель. Остаток очищали хроматографией на колонке с силикагелем (элюирующий растворитель: гексан:этилацетат = 3:1-1:1) с получением указанного в заголовке соединения (11,5 г, выход 100%) в виде белого твердого вещества.
Данные, полученные с помощью измерительных приборов для анализа, соответствовали данным, полученным в примере 66.
Пример 68
(4R)-[2-(Бензо[b]тиофен-6-ил)этил]-4-метилоксазолидин-2-он (пример соединения №4-17)
Пример 68(а)
(2R)-трет-Бутоксикарбониламино-1-н-гексаноилокси-2-метил-4-(бензо[b]тиофен-6-ил)-3-бутен
(2R)-трет-Бутоксикарбониламино-3-н-гексаноилокси-2-метил-1-пропаналь (28,2 г, 93,6 ммоль), полученный в примере 66(b), и 6-бромтрифенилфосфонийбензо[b]тиофен (45,8 г, 93,6 ммоль) суспендировали в тетрагидрофуране (700 мл) и к суспензии добавляли трет-бутоксид калия (11,6 г, 0,10 моль) с последующим перемешиванием в течение 30 минут при комнатной температуре. В полученный реакционный раствор добавляли воду и раствор экстрагировали этилацетатом, после чего этилацетатный слой промывали насыщенным водным раствором хлорида натрия. Этилацетатный слой сушили над безводным сульфатом натрия и выпаривали в вакууме растворитель. Остаток очищали хроматографией на колонке с силикагелем (элюирующий растворитель: гексан:этилацетат = 10:1) с получением указанного в заголовке соединения (28,0 г, выход 69%) в виде бесцветного масла.
ЯМР (400 МГц, CDCl3) м.д.: 7,82 (д, 1Н, J=9,7 Гц), 7,75 (д, 1Н, J=8,2 Гц), 7,44-7,39 (м, 1Н), 7,32-7,26 (м, 2Н), 6,74, 5,73 (д, общая 1Н, J=12,6 Гц), 6,61, 6,34 (д, общая 1Н, J=16,2 Гц), 4,87, 4,69 (шс, общая 1Н), 4,34-4,16, (м, 2Н), 2,37-2,32 (м, 2Н), 1,67-1,15 (м, 20Н), 0,91-0,84 (м, 3Н).
ИК, Vmах см-1 (жидкая пленка): 3440, 3373, 2961, 2932, 2872, 1724, 1597, 1498, 1457, 1390, 1367, 1247, 1167, 1099, 1073.
MC (FAB) м/z: 431 (М+).
Пример 68 (b)
(2R)-трет-Бутоксикарбониламино-1-н-гексаноилокси-2-метил-4-(бензо[b]тиофен-6-ил)-3-бутан
(2R)-трет-Бутоксикарбониламино-1-н-гексаноилокси-2-метил-4-(бензо[b]тиофен-6-ил)-3-бутен (28,0 г, 64,9 ммоль), полученный в примере 68(а), растворяли в метаноле (700 мл) и к раствору добавляли 10% палладий на активированном угле (14,0 г) с последующим перемешиванием в течение 6 дней при комнатной температуре в атмосфере водорода. После отфильтровывания из реакционного раствора палладия на активированном угле через Целит, фильтрат выпаривали при пониженном давлении. Остаток очищали хроматографией на колонке с силикагелем (элюирующий растворитель: гексан:этилацетат = 15:1-10:1) с получением указанного в заголовке соединения (24,30 г, выход 87%) в виде бесцветного масла.
ЯМР (400 МГц, CDCl3) м.д.: 7,73 (д, 1Н, J=8,2 Гц), 7,69 (с, 1Н), 7,36 (д, 1Н, J=5,2 Гц), 7,28 (д, 1Н, J=5, 6 Гц), 7,19 (д, 1Н, J=8,1 Гц), 4,56 (шс, 1Н), 4,28 (д, 1Н, J=11,0 Гц), 4,14 (д, 1Н, J=11,0 Гц), 2,73 (т, 2Н, J=8,7 Гц), 2,34 (т, 2Н, J=7,5 Гц), 1,68-1,61 (м, 2Н), 1,45 (с, 9Н), 1,41-1,38 (м, 8Н), 0,89 (т, 3Н, J=6,7 Гц).
ИК, Vmах см-1 (жидкая пленка): 3371, 2960, 2933, 2870, 1720, 1604, 1501, 1466, 1392, 1367, 1248, 1167, 1074.
MC (FAB) м/z: 456 ((M+Na)+).
Пример 68(с)
(4R)-[2-(Бензо[b] тиофен-6-ил)этил]-4-метилоксазолидин-2-он
(2R)-трет-Бутоксикарбониламино-1-н-гексаноилокси-2-метил-4-(бензо[b]тиофен-6-ил)бутан (24,3 г, 56,0 ммоль), полученный в примере 68(b), растворяли в смеси тетрагидрофурана (220 мл) и метанола (110 мл) и к полученному раствору на ледяной бане добавляли 1 н. водный раствор гидроксида натрия (110 мл) с последующим перемешиванием в течение 15 минут на ледяной бане и затем в течение 2 часов при комнатной температуре. После концентрирования реакционного раствора в вакууме, добавляли воду и раствор экстрагировали дихлорметаном, после чего дихлорметановый слой промывали насыщенным водным раствором хлорида натрия. Дихлорметановый слой сушили над безводным сульфатом натрия и выпаривали в вакууме растворитель с получением неочищенного продукта (18,8 г, выход 100%). Полученный неочищенный продукт растворяли в диметилформамиде (380 мл) и к раствору на ледяной бане добавляли трет-бутоксид калия (9,43 г, 84,1 ммоль) с последующим перемешиванием в течение 5 минут на ледяной бане и затем в течение 1 часа при комнатной температуре. К реакционному раствору добавляли воду и полученный раствор экстрагировали этилацетатом, после чего этилацетатный слой промывали насыщенным водным раствором хлорида натрия. Этилацетатный слой сушили над безводным сульфатом натрия и затем выпаривали при пониженном давлении растворитель. Остаток очищали хроматографией на колонке с силикагелем (элюирующий растворитель: гексан:этилацетат = 3:2-2:1) с получением указанного в заголовке соединения (13,8 г, выход 94%) в виде белого твердого вещества.
Полученное соединение, (4R)-[2-(бензо[b]тиофен-6-ил)этил]-4-метилоксазолидин-2-он, подвергали хроматографии на оптически активной ВЭЖХ-колонке для аналитического разделения (ChiralCel OF (Daisel), 0,46 см х 25 см, элюирующий растворитель: н-гексан:2-пропанол = 70:30, расход: 0,5 мл/мин) для определения оптической чистоты.
Пики первой (15,9 мин) и второй (17,6 мин) из двух полос элюирования соответствовали 4S-форме и 4R-форме, соответственно. Было подтверждено, что оптическая чистота продукта данной реакции составляла 80%ее.
[ ]24D+2,3 [с 0,6, СНС1з).
ЯМР (400 МГц, CDCl3) м.д.: 7,73 (д, 1Н, J=8,2 Гц), 7,68 (с, 1Н), 7,38 (д, 1Н, J=5,7 Гц), 7,29 (д, 1Н, J=13,0 Гц), 7,18 (д, 1Н, J=13,6 Гц), 5,91 (шс, 1Н), 4,21 (д, 1Н, J=8,7 Гц), 4,09 (д, 1Н, J=8,7 Гц), 2,84-2,76 (м, 2Н), 1,97 (т, J=8,5 Гц, 3Н).
ИК, Vmах см-1 (КВr): 3292, 2970, 2930, 1749, 1722, 1601, 1479, 1461, 1397, 1277, 1045.
MC (EI) м/z: 261 (M+).
Пример 69
(2R)-трет-Бутоксикарбониламино-3-н-гексаноилокси-2-метил-1-пропанол
2-трет-Бутоксикарбониламино-2-метил-1,3-пропандиол (200 мг, 0,97 ммоль) растворяли в диизопропиловом эфире (2 мл) и к полученному раствору добавляли виниловый эфир н-гексановой кислоты (0,16 мл, 1,02 ммоль) и липазу [иммобилизованная липаза из Pseudomonas sp. (TOYOBO; 0,67 Ед/мг)] (20 мг) с последующим перемешиванием в течение 4 часов при комнатной температуре. После удаления из реакционной смеси нерастворимых веществ путем фильтрования, фильтрат концентрировали и остаток очищали хроматографией на колонке с силикагелем (элюирующий растворитель: н-гексан:этилацетат = 10:1-7:3) с получением указанного в заголовке соединения (258 мг, выход 87%) в виде бесцветного масла.
Полученное соединение (2R)-трет-бутоксикарбониламино-3-н-гексаноилокси-2-метил-1-пропанол подвергали хроматографии на оптически активной ВЭЖХ-колонке для аналитического разделения (ChiralCel OF (Daisel), 0,46 см х 25 см, элюирующий растворитель: н-гексан:2-пропанол = 70:30, расход: 0,5 мл/мин) для определения оптической чистоты.
Пики первой (8,2 мин) и второй (10,5 мин) из двух полос элюирования соответствовали 2S-форме и 2R-форме, соответственно. Было подтверждено, что оптическая чистота продукта данной реакции составляла 89%ее.
Абсолютную конфигурацию указанного в заголовке соединения определяли сравнением удельного вращения известного соединения (2R)-трет-бутоксикарбониламино-2-метил-3-бутен-1-ола (Tetrahedron Asymmetry 10 (1999) 4653-4661), которое может быть легко синтезировано из указанного в заголовке соединения так, как описано в ссылочном примере 1(а).
ЯМР (400 МГц, CDCl3) м.д.: 4,89 (1Н, шс), 4,24 (1H, д, J=11,2 Гц), 4,19 (1H, д, J=11,2 Гц), 3,66-3,54 (2Н, м), 2,36 (2Н, т, J=7,4 Гц), 1,69-1,57 (2Н, м), 1,44 (9Н, с), 1,39-1,22 (4Н, м), 1,25 (3Н, с), 0,90 (3Н, т, J=6,6 Гц).
ИК, Vmах см-1 (СНСl3): 3411, 3380, 2961, 2934, 1722, 1504, 1459, 1392, 1368, 1292, 1248, 1168, 1077, 1015.
Оптическое вращение [ ]24D: -1,1 (с=0,81, метанол).
Пример 70
(2R)-трет-Бутоксикарбониламино-3-н-гексаноилокси-2-этил-1-пропанол
Указанное в заголовке соединение получали в виде бесцветного масла (252 мг, выход 87%) способом, аналогично описанному в примере 69, с использованием 2-трет-бутоксикарбониламино-2-этил-1,3-пропандиола (200 мг, 0,91 ммоль).
Полученное соединение (2R)-трет-бутоксикарбониламино-3-н-гексаноилокси-2-этил-1-пропанол подвергали хроматографии на оптически активной ВЭЖХ-колонке для аналитического разделения (ChiralCel OF (Daisel), 0,46 см х 25 см, элюирующий растворитель: н-гексан:2-пропанол = 70:30, расход: 0,5 мл/мин) для определения оптической чистоты.
Пики первой (8,5 мин) и второй (10,7 мин) из двух полос элюирования соответствовали 2S-форме и 2R-форме, соответственно. Было подтверждено, что оптическая чистота продукта данной реакции составляла 95%ее.
Абсолютную конфигурацию указанного в заголовке соединения определяли сравнением удельного вращения известного соединения (+)-(R)- -этил- -винилглицин (Helvetica Chimica Acta 69 (1986) 1365-1377), которое может быть легко синтезировано из указанного в заголовке соединения так, как описано в ссылочном примере 5(f).
ЯМР (400 МГц, CDCl3) м.д.: 4,78 (1Н, шс), 4,28 (1H, д, J=11,1 Гц), 4,13 (1H, д, J=11,1 Гц), 3,72-3,57 (2Н, м), 2,35 (2Н, т, J=7,6 Гц), 1,83-1,54 (4Н, м), 1,44 (9Н, с), 1,38-1,24 (4Н, м), 0,95-0,86 (6Н, м).
ИК, Vmах см-1 (СНСl3): 3371, 2966, 2935, 1722, 1503, 1460, 1368, 1249, 1168, 1086, 1028, 866, 781.
Оптическое вращение [ ]24D: -2,4 (с=0,72, матанол).
Известные полезные соединения (-)-(R)- -метил- -винилглицин (ссылочный пример 1), (+)-(S)- -метил- -этилглицин (ссылочный пример 2) и (+)-(R)- -этил- -винилглицин (ссылочный пример 3) были получены с использованием соединений, полученных в примере 69 или примере 70.
Ссылочный пример 1
(-)-(R)- -Метил- -винилглицин
Ссылочный пример 1(а)
(2R)-трет-Бутоксикарбониламино-2-метил-3-бутен-1-ол
К дихлорметановому раствору (18 мл) (2R)-трет-бутоксикарбониламино-3-н-гексаноилокси-2-метил-1-пропанола (1,5 г, 4,9 ммоль), полученного в примере 69, добавляли молекулярное сито 4 (10,5 г) и после перемешивания смеси в течение 10 минут при комнатной температуре добавляли пиридинийхлорхромат (2,1 г, 9,8 ммоль) с последующим перемешиванием в течение 1 часа. В реакционный раствор добавляли диэтиловый эфир и нерастворимые вещества отфильтровывали из раствора с помощью короткой колонки с силикагелем (элюирующий растворитель: диэтиловый эфир). Органические растворители фильтрата выпаривали в вакууме и полученный остаток (1,5 г) применяли в следующей реакции.
К суспензии метилтрифенилфосфонийбромида (4,5 г, 12,5 ммоль) в тетрагидрофуране (10 мл) добавляли трет-бутоксид калия (1,3 г, 11,5 ммоль) при 0 С с последующим перемешиванием в течение 1 часа. К полученному реакционному раствору добавляли по каплям тетрагидрофурановый раствор (10 мл) остатка, полученного в предшествующей реакции. Полученную реакционную смесь перемешивали 30 минут при 0 С, после чего добавляли дистиллированную воду и затем экстрагировали этилацетатом. Этилацетатный слой промывали дистиллированной водой и затем насыщенным водным раствором хлорида натрия и сушили над сульфатом магния. После выпаривания растворителя отфильтровывали нерастворимые вещества с помощью короткой колонки с силикагелем (элюирующий растворитель: гексан:этилацетат = 10:1). Фильтрат концентрировали и полученный остаток (1,2 г) растворяли в метаноле (20 мл) и затем к полученному раствору добавляли 1 н. водный раствор гидроксида натрия (20 мл) с последующим перемешиванием в течение 30 минут при комнатной температуре. Затем к полученному реакционному раствору добавляли диэтиловый эфир, раствор промывали дистиллированной водой и затем насыщенным водным раствором хлорида натрия и сушили над сульфатом магния. Выпаривали растворитель и остаток очищали препаративной тонкослойной хроматографией (элюирующий растворитель: гексан:этилацетат =1:1) с получением указанного в заголовке соединения (180 мг, 0,894 ммоль, выход 18%).
ЯМР (400 МГц, CDCl3) м.д.: 5,89 (1Н, ддд, J=11,0, 6,6, 1,5 Гц), 5,21 (1Н, д, J=1,5 Гц), 5,17 (1Н, д, J=6,6 Гц), 4,84 (1Н, шс), 3,76 (1H, шс), 3,62 (2Н, м), 1,44 (9Н, с), 1,32 (3Н, с).
ИК, Vmах см-1 (СНСl3): 3418, 3348, 2979, 1692, 1499, 1455, 1393, 1368, 1283, 1253, 1170, 1074, 918.
Оптическое вращение [ ]24D: +10, 4 (с=0,51, метанол).
Ссылочный пример 1(b)
(2R)-трет-Бутоксикарбониламино-2-метил-3-бутеналь
(2R)-трет-Бутоксикарбониламино-2-метил-3-бутен-1-ол (180 мг, 0,894 ммоль), полученный в ссылочном примере 1(а), растворяли в дихлорметане (5,0 мл) и к полученному раствору на ледяной бане добавляли молекулярное сито 4 (2,0 г) и пиридинийхлорхромат (386 мг, 1,79 ммоль) с последующим перемешиванием в течение 1 часа при комнатной температуре. В реакционный раствор добавляли эфир и нерастворимые вещества отфильтровывали из раствора, после чего фильтрат выпаривали в вакууме. Остаток очищали флэш-хроматографией на колонке с силикагелем (элюирующий растворитель: н-гексан:этилацетат = 10:1) с получением указанного в заголовке соединения (160 мг, выход 90%) в виде бесцветного масла.
ЯМР (400 МГц, СDСl3) м.д.: 9,26 (1Н, с), 5,83 (1Н, дд, J=17,5, 10,6 Гц), 5,35 (1Н, д, J=10,6 Гц), 5,32 (1H, д, J=17,5 Гц), 5,22 (1H, шс), 1,48 (3Н, с), 1,45 (9Н, с).
ИК, Vmах см-1 (СНСl3): 3350, 2980, 1737, 1707, 1505, 1455, 1369, 1279, 1256, 1168, 1069, 925, 867.
Ссылочный пример 1(с)
(2R)-трет-Бутоксикарбониламино-2-метил-3-бутеновая кислота
(2R)-трет-Бутоксикарбониламино-2-метил-3-бутеналь (160 мг, 0,803 ммоль), полученный в ссылочном примере 1(b), растворяли в смеси трет-бутанола (8,0 мл) и воды (2,0 мл) и затем к полученному раствору добавляли 2-метил-2-бутен (0,38 мл, 3,61 ммоль), дигидрат дигидрофосфата натрия (96 мг, 0,803 ммоль) и хлорит натрия (254 мг, 2,81 ммоль) с последующим перемешиванием в течение 1 часа при комнатной температуре. В реакционный раствор добавляли этилацетат и этилацетатный слой промывали насыщенным водным раствором хлорида натрия. Этилацетатный слой сушили над безводным сульфатом магния и выпаривали при пониженном давлении растворитель. Остаток очищали флэш-хроматографией на колонке с силикагелем (элюирующий растворитель: н-гексан:этилацетат = 20:1-1:1) с получением указанного в заголовке соединения (130 мг, выход 75%) в виде бесцветного масла.
ЯМР (400 МГц, CDCl3) м.д.: 5,07 (1Н, шс), 5,68 (1H, шс), 5,12 (1Н, д, J=17,4 Гц), 5,05 (1H, д, J=10,6 Гц), 1,48 (3Н, с), 1,40 (9Н, с).
ИК, Vmах см-1 (СНСl3): 3394, 2980, 1691, 1602, 1483, 1455, 1368, 1253, 1172, 1066, 756.
Ссылочный пример 1(d)
(-)-(R)- -Метил- -винилглицингидрохлорид
(2R)-трет-Бутоксикарбониламино-2-метил-3-бутеновую кислоту (120 мг, 0,557 ммоль), полученную в ссылочном примере 1(с), растворяли в этаноле (1,5 мл) и к полученному раствору добавляли диоксановый раствор (1,5 мл) 4 н. хлористоводородной кислоты с последующим перемешиванием в течение 18 часов при комнатной температуре. Реакционный раствор концентрировали в вакууме и остаток промывали эфиром и сушили с получением указанного в заголовке соединения (72 мг, выход 85%) в виде белого твердого вещества.
ЯМР (400 МГц, СОСl3) м.д.: 6,07 (1H, дд, J=17,6, 11,0 Гц), 5,48 (1H, д, J=11,1 Гц), 5,47 (1H, д, J=17,6 Гц), 1,66 (3Н, с).
ИК, Vmах см-1 (КВr): 3349, 3029, 1751, 1524, 1200, 954.
Оптическое вращение [ ]25D: -18,7 (с=0,70, Н2О).
Ссылочный пример 1(е)
(-)-(R)-( -Метил- -винилглицин
(-)-(R)- -Метил- -винилглицингидрохлорид (60 мг, 0,40 ммоль), полученный в ссылочном примере 1(d), растворяли в этаноле (1,5 мл) и к полученному раствору добавляли пропиленоксид (1,5 мл), после чего смесь кипятили с обратным холодильником в течение 2 часов. Из реакционного раствора отфильтровывали белое твердое вещество, получив в результате указанное в заголовке соединение (32 мг, выход 70%) в виде белого твердого вещества.
ЯМР (400 МГц, СDСl3) м.д.: 6,17 (1Н, дд, J=17,2, 10,6 Гц), 5,56 (1Н, д, J=10,6 Гц), 5,54 (1Н, д, J=17,2 Гц), 1,43 (3Н, с).
ИК, Vmах см-1 (КВг): 3600-2500, 1605, 1535, 1455, 1415, 1385, 1360, 1280, 1235, 1150, 1000, 940.
Оптическое вращение [ ]25D:-27, 6 (c=0,62, H2O).
Ссылочный пример 2
(+)-(S)- -Метил- -этинилглицин
Ссылочный пример 2(a)
3-трет-Бутоксикарбонил-2,2-диметил-(4R)-н-гексаноилоксиметил-4-метилоксазолидин
(2R)-трет-бутоксикарбониламино-3-н-гексаноилокси-2-метил-1-пропанол (10,1 г, 33,3 ммоль), полученный в примере 69, растворяли в дихлорметане (152 мл) и к полученному раствору добавляли диметилацеталь ацетона (16,4 мл, 133 ммоль) и п-толуолсульфоновую кислоту (172 мг, 1,00 ммоль) с последующим перемешиванием в течение 12 часов при комнатной температуре. Реакционный раствор концентрировали и остаток очищали флэш-хроматографией на колонке с силикагелем (элюирующий растворитель: н-гексан:этилацетат = 10:1) с получением указанного в заголовке соединения (5,72 г, выход 50%) в виде бесцветного масла.
ЯМР (400 МГц, CDCl3) м.д.: 4,29 (1Н, с), 4,18 (1H, с), 3,99 (1H, м), 3,64 (1H, м), 2,28-2,34 (2Н, м), 1,26-1,25 (24Н, м), 0,89 (3Н, т).
Оптическое вращение [ ]25D: +17,2 (с=1,50, СНС13).
Ссылочный пример 2(b)
3-трет-Бутоксикарбонил-2,2-диметил-(4S)-гидроксиметил-4-метилоксазолидин
3-трет-Бутоксикарбонил-2,2-диметил-(4R)-н-гексаноилоксиметил-4-метилоксазолидин (13,7 г, 39,9 ммоль), полученный в ссылочном примере 2(а), растворяли в дихлорметане (200 мл) и к раствору при –78 С добавляли по каплям гексановый раствор 1,0 М диизобутилалюминийгидрида (99 мл, 99,7 ммоль). Затем реакционную смесь перемешивали 30 минут при -78 С, охлаждали до комнатной температуры и добавляли 10% водный раствор калийнатрийтартрат (200 мл) с последующим интенсивнвым перемешиванием в течение 30 минут. Реакционный раствор экстрагировали диэтиловым эфиром и, высушив эфирный слой над безводным сульфатом натрия, выпаривали в вакууме растворитель. Остаток очищали флэш-хроматографией на колонке с силикагелем (элюирующий растворитель: н-гексан:этилацетат = 5:2) с получением указанного в заголовке соединения (10,5 г, выход 100%) в виде белого кристаллического твердого вещества.
ЯМР (400 МГц, СDСl3) м.д.: 4,49 (1H, шс), 3,55-3,71 (4Н, м), 1,56 (3Н, с), 1,49 (12Н, с), 1,42 (3Н, с).
Оптическое вращение [ ]25D: -1,67 (с=1,45, СНСl3).
Ссылочный пример 2(с)
3-трет-Бутоксикарбонил-2,2-диметил-(4R)-формил-4-метилоксазолидин
3-трет-Бутоксикарбонил-2,2-диметил-(4S)-н-гидроксиметил-4-метилоксазолидин (9,79 г, 39,9 ммоль), полученный в ссылочном примере 2(b), растворяли в дихлорметане (150 мл) и к полученному раствору на ледяной бане добавляли пиридинийхлорхромат (13,0 г, 59,8 ммоль) и молекулярное сито 4 (65,0 г) с последующим перемешиванием в течение 1 часа при комнатной температуре. Реакционный раствор разбавляли эфиром и затем раствор фильтровали на колонке с силикагелем. Фильтрат выпаривали в вакууме и остаток очищали флэш-хроматографией на колонке с силикагелем (элюирующий растворитель: н-гексан:этилацетат = 8:1) с получением указанного в заголовке соединения (8,07 г, выход 88%) в виде белого кристаллического твердого вещества.
ЯМР (400МГц, CDCl3) м.д.: 9,40-9,48 (1Н, с), 3,91 (1H, д, J=9,2 Гц), 3,67 (1H, д, J=9,2 Гц), 1,14-1,66 (18Н, м).
Оптическое вращение [ ]25D: +20,6 (с=1,25, СНСl3).
Ссылочный пример 2 (d)
3-трет-Бутоксикарбонил-2,2-диметил-(4S)-(2,2-дибром)этенил-4-метилоксазолидин
Трифенилфосфин (17,3 г, 65,8 ммоль) растворяли в дихлорметане (25 мл) и к полученному раствору на ледяной бане добавляли раствор тетрабромида углерода (10,9 г, 32,9 ммоль) в дихлорметане (15 мл) с последующим перемешиванием в течение 5 минут на ледяной бане. К реакционному раствору добавляли по каплям дихлорметановый (40 мл) раствор 3-трет-бутоксикарбонил-2,2-диметил-(4R)-формил-4-метилоксазолидина (4,00 г, 16,4 ммоль), полученного в ссылочном примере 2(с). После перемешивания в течение 14 часов при комнатной температуре, из реакционной смеси отфильтровывали нерастворимые вещества и фильтрат концентрировали при пониженном давлении с получением неочищенного указанного в заголовке соединения (4,70 г, выход 71,2%) в виде бесцветного масла.
Ссылочный пример 2(е)
3-трет-Бутоксикарбонил-2,2-диметил-(4S)-этинил-4-метилоксазолидин
3-трет-Бутоксикарбонил-2,2-диметил-(4S)-(2,2-дибром)-этенил-4-метилоксазолидин (4,70 г, 11,8 ммоль), полученный в ссылочном примере 2(d), растворяли в тетрагидрофуране (94 мл) и к раствору при перемешиванием при -78 С добавляли по каплям н-бутиллитий (1,6 н. гексановый раствор) с последующим перемешиванием в течение 3,5 часов при -78 С. К реакционному раствору добавляли насыщенный водный раствор хлорида аммония и полученный раствор экстрагировали этилацетатом. Этилацетатный слой сушили над безводным сульфатом натрия, выпаривали в вакууме и остаток очищали флэш-хроматографией на колонке с силикагелем (элюирующий растворитель: н-гексан:этилацетат = 15:1) с получением указанного в заголовке соединения (2,21 г, выход 78%) в виде белого кристаллического вещества.
ЯМР (400 МГц, CDCl3) м.д.: 4,13 (1H, д, J=8,4 Гц), 3,84 (1Н, д, J=8,4 Гц), 2,32 (1H, с), 1,49-1,69 (18Н, м).
Оптическое вращение [ ]25D: +65,6 (с=1,10, СНСl3).
Ссылочный пример 2(f)
(2S)-Амино-2-метил-3-бутин-1-ол
К 3-трет-Бутоксикарбонил-2,2-диметил-(4S)-этинил-4-метилоксазолидину (350 мг, 1,46 ммоль), полученному в ссылочном примере 2(е), добавляли хлористоводородную кислоту (10 мл) и раствор перемешивали 2 часа при комнатной температуре, после чего реакционный раствор концентрировали с получением неочищенного указанного в заголовке соединения (127 мг) в виде желтого масла.
Ссылочный пример 2(g)
(2S)-трет-Бутоксикарбониламино-2-метил-3-бутин-1-ол
(2S)-Амино-2-метил-3-бутин-1-ол (127 мг, 1,28 ммоль), полученный в ссылочном примере 2(f), растворяли в смеси воды (1 мл) и тетрагидрофурана (5 мл) и к полученному раствору добавляли ди-трет-бутилдикарбонат (380 мг, 1,74 ммоль) и безводный карбонат натрия (385 мг, 3,63 ммоль) с последующим перемешиванием в течение 14 часов при комнатной температуре. К реакционному раствору добавляли насыщенный водный раствор хлорида аммония (6 мл) и полученный раствор экстрагировали этилацетатом, после чего этилацетатный слой сушили над безводным сульфатом натрия и концентрировали при пониженном давлении. Остаток очищали флэш-хроматографией на колонке с силикагелем (элюирующий растворитель: н-гексан:этилацетат = 1:1) с получением указанного в заголовке соединения (154 мг, выход 53%) в виде белого кристаллического вещества.
ЯМР (400 МГц, СDСl3) м.д.: 5,00 (1Н, шс), 3,78 (1Н, дд, J=6,0 и 11,2Гц), 3,67 (1Н, дд, J=7,9 и 11,2Гц), 3,20 (1Н, шс), 2,40 (1Н, с), 1,55 (3Н, с), 1,46 (9Н, с).
Оптическое вращение [ ]25D: +1,89 (с=0,70, СНСl3).
Ссылочный пример 2(h)
(2S)-трет-Бутоксикарбониламино-2-метил-3-бутиновая кислота
(2S)-Бутоксикарбониламино-2-метил-3-бутин-1-ол (1,20 г, 6,02 ммоль), полученный в ссылочном примере 2(g), растворяли в ацетоне (30 мл) и к полученному раствору добавляли реактив Джонса (3,48 мл, 9,03 ммоль) с последующим перемешиванием в течение 2 часов на ледяной бане. К реакционному раствору еще добавляли реактив Джонса (3,48 мл, 9,03 ммоль) с последующим перемешиванием в течение 14 часов при комнатной температуре. К полученному реакционному раствору добавляли 2-пропанол (5 мл) и воду (30 мл) и затем раствор экстрагировали этилацетатом. Этилацетатный слой сушили над безводным сульфатом натрия и затем выпаривали в вакууме растворитель с получением неочищенного указанного в заголовке соединения (1,38 г) в виде желтого масла.
Ссылочный пример 2(i)
(+)-(S)- -Метил- -этинилглицингидрохлорид
(2S)-трет-Бутоксикарбониламино-2-метил-3-бутиновую кислоту (1,38 г, 6,02 ммоль), полученную в ссылочном примере 2(h), растворяли в тетрагидрофуране (20 мл) и к раствору добавляли хлористоводородную кислоту (10 мл) с последующим перемешиванием в течение 5 часов при комнатной температуре. Реакционный раствор концентрировали в вакууме и к остатку добавляли воду (20 мл) и этилацетат (10 мл), после чего водный слой концентрировали с получением неочищенного указанного в заголовке соединения (0,24 г, выход 27%) в виде желтого кристаллического твердого вещества.
Ссылочный пример 2(j)
(+)-(S)- -Метил- -этинилглицин
К (+)-(S)- -метил- -этинилглицингидрохлориду (0,24 г, 6,02 ммоль), полученному в ссылочном примере 2(i), добавляли этанол (9 мл) и пропиленоксид (3 мл), после чего смесь кипятили с обратным холодильником в течение 2 часов. Твердое вещество, полученное фильтрованием реакционного раствора, промывали эфиром с получением указанного в заголовке соединения (108 мг, выход 60%) в виде белого кристаллического вещества.
ЯМР (400 МГц, CDCl3) м.д.: 3,06 (1Н, с), 1,77 (3Н, с).
Оптическое вращение [ ]25D: +41,7 (с=0,96, H2O).
Ссылочный пример 3
(+)-(R)- -Этил- -винилглицин
Ссылочный пример 3(а)
(2S)-трет-Бутоксикарбониламино-2-этил-3-н-гексаноилокси-1пропаналь
(2R)-трет-Бутоксикарбониламино-3-н-гексаноилокси-2-этил-1-пропанол (3 г, 9,45 ммоль) растворяли в дихлорметане (60 мл) и затем к полученному раствору на ледяной бане добавляли молекулярное сито 4 (20 г) и пиридинийхлорхромат (4,07 г, 18,9 ммоль) с последующим перемешиванием в течение 1 часа при комнатной температуре. Реакционный раствор разбавляли эфиром и после отфильтровывания из реакционной смеси нерастворимых веществ фильтрат выпаривали в вакууме и остаток очищали флэш-хроматографией на колонке с силикагелем (элюирующий растворитель: н-гексан:этилацетат = 10:1) с получением указанного в заголовке соединения (2,79 г, выход 94%) в виде бесцветного масла.
ЯМР (400 МГц, СDСl3) м.д.: 9,34 (1Н, с), 5,29 (1Н, шс), 4,60 (1Н, д, J=11,5 Гц), 4,40 (1Н, д, J=11,5 Гц), 2,28 (2Н, J=7,5 Гц), 2,05-2,20 (1Н, м), 1,70-1,80 (1Н, м), 1,55-1,65 (2Н, м), 1,45 (9Н, с), 1,25-1,40 (4Н, м), 0,90 (3Н, J=7,0 Гц), 0,81 (3Н, J=7,5 Гц).
ИК, Vmах см-1 (СНСl3): 3418, 2979, 2934, 2873, 1737, 1710, 1496, 1369, 1251, 1160.
MC (FAB) м/z: 316 ((М+Н)+).
Ссылочный пример 3(b)
Эфир (2R)-трет-бутоксикарбониламино-2-этил-3-бутен-1-ол-н-гексановой кислоты
Метилтрифенилфосфонийбромид (7,90 г, 22,0 ммоль) суспендировали в тетрагидрофуране (25 мл) и к полученной суспензии на ледяной бане добавляли трет-бутоксид калия (2,28 г, 20,3 ммоль) с последующим перемешиванием в атмосфере азота.
(2S)-трет-Бутоксикарбониламино-2-этил-3-н-гексаноилокси-1-пропаналь (2,79 г, 8,85 ммоль), полученный в ссылочном примере 3(а), растворяли в тетрагидрофуране (25 мл) и полученный раствор добавляли по каплям к реакционному раствору, полученному на предшествующей стадии, с последующим перемешиванием в течение 15 минут. К полученной смеси добавляли воду и раствор экстрагировали этилацетатом, после чего этилацетатный слой промывали насыщенным водным раствором хлорида натрия, сушили над безводным сульфатом магния и выпаривали растворитель. Остаток очищали флэш-хроматографией на колонке с силикагелем (элюирующий растворитель: н-гексан:этилацетат = 40:1-20:1) с получением указанного в заголовке соединения (1,30 г, выход 47%) в виде бесцветного масла.
ЯМР (400 МГц, CDCl3) м.д.: 5,78 (1H, дд, J=17,6, 11,0 Гц), 5,22 (1Н, д, J=11,0 Гц), 5,12 (1H, д, J=17,6 Гц), 4,62 (1Н, шс), 4,29 (2Н, с), 2,31 (2Н, J=7,5 Гц), 1,83-1,95 (1H, м), 1,55-1,75 (3Н, м), 1,44 (9Н, с), 1,25-1,35 (4Н, м), 0,83-0,93 (6Н, м).
ИК, Vmах см-1 (СНСl3): 3448, 2972, 2934, 2873, 1721, 1494, 1368, 1249, 1163.
MC (FAB) м/z: 314 ((М+Н)+).
Ссылочный пример 3(с)
(2R)-трет-Бутоксикарбониламино-2-этил-3-бутен-1-ол
Сложный эфир (2R)-трет-бутоксикарбониламино-2-этил-3-бутен-1-ол-н-гексановой кислоты (1,30 г, 4,15 ммоль), полученный в ссылочном примере 3(b), растворяли в метаноле (20 мл) и к полученному раствору на ледяной бане добавляли 1 н. водный раствор гидроксида натрия (40 мл) с последующим перемешиванием в течение 2 часов при комнатной температуре. К полученной смеси добавляли воду и раствор экстрагировали эфиром, после чего эфирный слой промывали насыщенным водным раствором хлорида натрия, сушили над безводным сульфатом магния и затем выпаривали в вакууме растворитель. Остаток очищали флэш-хроматографией на колонке с силикагелем (элюирующий растворитель: н-гексан:этилацетат = 9:1-4;1) с получением указанного в заголовке соединения (0,85 г, выход 95%) в виде белого твердого вещества.
ЯМР (400 МГц, CDCl3) м.д.: 5,77 (1Н, дд, J=17,0, 10,7 Гц), 5,25 (1Н, д, J=10,7 Гц), 5,16 (1H, д, J=17,0 Гц), 4,77 (1Н, шс), 4,10 (1H, шс), 3,65-3,75 (2Н, м), 1,58-1,83 (2Н, м), 1,45 (9Н, с), 0,87 (3Н, т, J=7,5 Гц).
ИК, Vmах см-1 (СНСl3): 3348, 3275, 2987, 2969, 2935, 1685, 1541, 1277, 1170, 1053.
MC (FAB) м/z: 216 ((М+Н)+).
Оптическое вращение [ ]24D: +2,8 (с=1,03, метанол).
Ссылочный пример 3(d)
(2R)-трет-Бутоксикарбониламино-2-этил-3-бутеналь
Указанное в заголовке соединение получали в виде белого твердого вещества (0,63 г, выход 85%) способом, аналогично описанному в ссылочном примере 3(а), с использованием (2R)-трет-бутоксикарбониламино-2-этил-3-бутен-1-ола (0,79 г, 3,67 ммоль), полученный в ссылочном примере 2(с).
ЯМР (400 МГц, CDCl3) м.д.: 9,24 (1H, с), 5,83 (1H, дд, J=17,5, 10,7 Гц), 5,39 (1H, д, J=10,7 Гц), 5,31 (1H, д, J=17,5 Гц), 5,29 (1H, шс), 1,85-2,15 (2Н, м), 1,57 (9Н, с), 0,85 (3Н, т, J=7,5 Гц).
ИК, Vmах см-1 (СНСl3): 3343, 3416, 2980, 1712, 1489, 1369, 1249, 1162.
MC (FAB) м/z: 214 ((М+Н)+).
Оптическое вращение [ ]25D: +69 (с=1,00, метанол).
Ссылочный пример 3(е)
(2R)-трет-Бутоксикарбониламино-2-этил-3-бутеновая кислота
(2R)-трет-бутоксикарбониламино-2-этил-3-бутеналь (0,60 г, 2,81 ммоль), полученный в ссылочном примере 3(d), растворяли в, смеси трет-бутанола (8 мл) и воды (2 мл) и к раствору добавляли 2-метил-2-бутен (1,34 мл, 12,7 ммоль), дигидрат дигидрофосфата натрия (0,44 г, 2,81 ммоль) и хлорит натрия (0,89 г, 9,85 ммоль) с последующим перемешиванием в течение 1 часа при комнатной температуре. К реакционному раствору добавляли этилацетат и этилацетатный слой промывали насыщенным водным раствором хлорида натрия. Этилацетатный слой сушили над безводным сульфатом магния и выпаривали при пониженном давлении растворитель. Остаток очищали флэш-хроматографией на колонке с силикагелем (элюирующий растворитель: н-гексан:этилацетат = 20:1-1:1) с получением указанного в заголовке соединения (0,42 г, выход 65%) в виде белого твердого вещества.
ЯМР (400 МГц, CDCl3) м.д.: 6,05 (1Н, дд, J=17,3, 10,7 Гц), 5,25-5,35 (3Н, м), 1,95-2,20 (2Н, м), 1,44 (9Н, с), 0,90 (3Н, J=7,4 Гц).
ИК, Vmах см-1 (СНСl3): 3430, 2981, 1713, 1493, 1369, 1252, 1166.
MC (FAB) м/z: 230 ((M+H)+).
Оптическое вращение [ ]25D: +19, 4 (с=1,00, метанол).
Ссылочный пример 3(f)
(+)-(R)- -Этил- -винилглицин
(2R)-трет-Бутоксикарбониламино-2-этил-3-бутеновую кислоту (379 мг, 1,65 ммоль), полученную в ссылочном примере 3(е), растворяли в этаноле (2 мл) и к полученному раствору добавляли диоксановый раствор (2 мл) 4 н. хлористоводородной кислоты с последующим перемешиванием в течение 18 часов при комнатной температуре. Реакционный раствор концентрировали при пониженном. давлении и затем остаток промывали эфиром и сушили. Полученное белое тведое вещество растворяли в этаноле (6 мл) и к раствору добавляли пропиленоксид (2 мл), после чего смесь кипятили с обратным холодильником. Указанное в заголовке соединение (83 мг) получали в виде белого твердого вещества путем отфильтровывания его из реакционного раствора. Далее концентрировали фильтрат, остаток растворяли в воде и раствор фильтровали через Bond Elut HF (С18), после чего фильтрат концентрировали с получением указанного в заголовке соединения (61 мг, общее количество 144 мг, выход 75%).
ЯМР (400 МГц, CDCl3) м.д.: 6,08 (1Н, дд, J=17,7, 11,1 Гц), 5,41 (1Н, д, J=11,1 Гц), 5,34 (1H, д, J=17,7 Гц), 1,82-2,12 (2Н, м), 0,95 (3Н, т, J=7,6 Гц).
ИК, Vmах см-1 (КВr): 3200-2400, 1623, 1605, 1511, 1369.
MC (FAB) м/z: 130 ((М+Н)+).
Оптическое вращение [ ]25D: +20,6 (с=1,00, Н2O).
Ссылочный пример 4
5-(4-Фторфенил)пент-1-ин
Гидрид натрия (2,11 г, 48,4 ммоль) суспендировали в безводном тетрагидрофуране (60 мл) и к полученной суспензии на ледяной бане добавляли по каплям этиловый эфир диэтилфосфоноуксусной кислоты (10,84 г, 48,4 ммоль) с последующим перемешиванием в течение 10 минут. К полученной смеси добавляли по каплям при той же самой температуре раствор 4-фторбензальдегида (5,00 т, 40,3 ммоль) в безводном тетрагидрофуране (60 мл). Реакционный раствор перемешивали 3 часа и вливали в охлаждаемую льдом воду (150 мл), после чего смесь экстрагировали этилацетатом. Органический слой сушили над сульфатом магния и выпаривали в вакууме растворитель, после чего остаток очищали флэш-хроматографией на колонке с силикагелем (элюирующий растворитель: гексан:этилацетат = 10:1-3:1) с получением сложного этилового эфира 4-фторкоричной кислоты (6,69 г, выход 86%) в виде бесцветного масла.
Полученный эфир (6,52 г, 33,6 ммоль) растворяли в этилацетате (100 мл) и к раствору добавляли 5% родий на оксиде алюминия (1,30 г) с последующим перемешиванием в атмосфере водорода в течение 8 часов при комнатной температуре. Реакционную смесь фильтровали через Целит и фильтрат концентрировали при пониженном давлении, после чего остаток растворяли в безводном тетрагидрофуране (30 мл). Полученный раствор добавляли по каплям к суспензии литийалюминийгидрида (1,26 г, 33,2 ммоль) в безводном тетрагидрофуране (60 мл) на ледяной бане. Реакционную смесь перемешивали 30 минут при той же самой температуре и добавляли насыщенный водный раствор сульфата натрия с последующим перемешиванием в течение 10 минут при комнатной температуре. Смесь фильтровали через Целит и фильтрат экстрагировали этилацетатом. Органический слой промывали насыщенным водным раствором хлорида натрия и сушили над безводным сульфатом магния. Выпаривали в вакууме растворитель и остаток очищали флэш-хроматографией на колонке с силикагелем (элюирующий растворитель: гексан:этилацетат = 5:1-1:1) с получением 4-фторфенилпропан-1-ола (4,86 г, выход 95%) в виде бесцветного масла.
Полученный 4-фторфенилпропан-1-ол (4,83 г, 31,3 ммоль) растворяли в дихлорметане (50 мл) и к полученному раствору на ледяной бане добавляли триэтиламин (6,55 мл, 47,0 ммоль) и метансульфонилхлорид (2,91 мл, 37,6 ммоль) с последующим перемешиванием в атмосфере азота в течение 30 минут. Реакционную смесь разбавляли дихлорметаном (50 мл) и промывали 10% хлористоводородной кислотой и затем насыщенным водным раствором хлорида натрия, после чего сушили над сульфатом магния. Выпаривали в вакууме растворитель и остаток растворяли в ацетоне (100 мл), после чего к раствору добавляли иодид натрия (9,39 г, 62,6 ммоль) с последующим перемешиванием в атмосфере азота в течение 2 часов при 50 С. Реакционную смесь разбавляли этилацетатом (250 мл) и промывали 10% водным раствором тиосульфата натрия и затем насыщенным водным раствором хлорида натрия, после чего сушили над сульфатом магния. Выпаривали в вакууме растворитель и остаток очищали флэш-хроматографией на колонке с силикагелем (элюирующий растворитель: гексан:этилацетат = 5:1-2:1) с получением указанного 4-фторфенил-1-иодпропана (7,12 г, выход 86%) в виде желтого масла.
К гексаметилфосфорамиду (20 мл) добавляли суспензию (50 мл) 18% ацетилида натрия в ксилоле и к полученной смеси на ледяной бане добавляли раствор полученного выше 4-фторфенил-1-иодпропана (7,00 г, 26,5 ммоль) в безводном диметилформамиде (20 мл).
Реакционную смесь перемешивали 2 часа при комнатной температуре и осторожно вливали на ледяной бане охлаждаемую льдом воду, после чего смесь экстрагировали этилацетатом. Органический слой промывали насыщенным водным раствором хлорида натрия и сушили над сульфатом магния. Выпаривали при пониженном давлении растворитель и остаток очищали флэш-хроматографией на колонке с силикагелем (элюирующий растворитель: гексан) с получением указанного в заголовке соединения (2,67 г, выход 62%) в виде бесцветного масла.
ЯМР (500 МГц, CDCl3) м.д.: 1,82 (2Н, м), 1,99 (1Н, т, J=2,6 Гц), 2,19 (2Н, м), 2,71 (2Н, т, J=7,5 Гц), 6,97 (2Н, м), 7,14 (2Н, м).
МС (EI) м/z: 162 (М+).
Ссылочный пример 5
5-(4-Метоксифенил)пент-1-ин
Указанное в заголовке соединение получали с использованием 3-(4-метоксифенил)-1-иодпропана и ацетилида натрия способом, аналогично описанному в ссылочном примере 4.
ЯМР (400 МГц, CDCl3) м.д.: 1,78-1,88 (2Н, м), 1,98 (1Н, т, J=2,6 Гц), 2,15-2,22 (2Н, м), 2,67 (2Н, т, J=7,5 Гц), 3,79 (3Н, с), 6,83 (2Н, д, J=8,6 Гц), 7,11 (2Н, д, J=8,6 Гц).
МС (EI) м/z: 174 (М+).
Ссылочный пример 6
5-Фенилпент-1-ин
Указанное в заголовке соединение получали с использованием 3-фенил-1-иодпропана и ацетилида натрия способом, аналогично описанному в ссылочном примере 4.
ЯМР (400 МГц, CDCl3) м. д.: 1,81-1,89 (2Н, м), 1,99 (1Н, т, J=2,8 Гц), 2,21 (2Н, дт, J=2,8, 7,6 Гц), 2,74 (2Н, т, J=7,6 Гц), 7,16-7,23 (3Н, м), 7,26-7,32 (2Н, м).
МС (EI) м/z: 144 (М+).
Ссылочный пример 7
5-Циклогексилпент-1-ин
Указанное в заголовке соединение получали с использованием 3-циклогексил-1-иодпропана и ацетилида натрия способом, аналогично описанному в ссылочном примере 4.
ЯМР (400 МГц, CDCl3) м.д.: 0,75-1,38 (13Н, м), 1,48-1,59 (2Н, м), 1,94 (1Н, т, J=2,8 Гц), 2,16 (2Н, дт, J=2,8, 7,2 Гц).
МС (EI) м/z: 150 (М+).
Ссылочный пример 8
4-(4-Фторфенилокси)бут-1-ин
4-Фторфенол (5,00 г, 44,6 ммоль), 3-бутин-1-ол (3,38 мл, 44,6 ммоль) и трифенилфосфин (17,5 г, 66,9 ммоль) растворяли в тетрагидрофуране (100 мл) и к полученному раствору на ледяной бане добавляли диэтилазодикарбоксилат (11,7 г, 66,9 ммоль) с последующим перемешиванием в течение 18 часов при комнатной температуре. Концентрировали в вакууме растворитель, добавляли гексан (200 мл) и этилацетат (20 мл), полученный осадок отфильтровывали и фильтрат концентрировали в вакууме. Полученный остаток очищали флэш-хроматографией на колонке с силикагелем (элюирующий растворитель: гексан:этилацетат = 1:1) с получением указанного в заголовке соединения.
ЯМР (400 МГц, CDCl3) м.д.: 2,05 (1Н, т, J=2,7 Гц), 2,63-2,70 (2Н, м), 4,07 (2Н, т, J=7,0 Гц), 6,82-6,90 (2Н, м), 6,94-7,02 (2Н, м).
MC (El) м/z: 164 (M+).
Ссылочный пример 9
3-(4-Метилфенилокси)-1-пропин
Указанное в заголовке соединение получали с использованием 4-метилфенола и пропаргилового спирта способом, аналогично описанному в ссылочном примере 8.
ЯМР (400 МГц, СDСl3) м.д.: 2,29 (3Н, с), 2,50 (1Н, т, J=2,4 Гц), 4,67 (2Н, д, J=2,4 Гц), 6,88 (2Н, д, J=8,4 Гц), 7,10 (2Н, д, J=8,4 Гц).
MC (EI) м/z: 146 (М+).
Ссылочный пример 10
3-[(4-Метилтио)фенилокси]-1-пропин
Указанное в заголовке соединение получали с использованием 4-(метилтио)фенола и пропаргилового спирта способом, аналогично описанному в ссылочном примере 8.
ЯМР (400 МГц, CDCl3) м.д.: 2,45 (3Н, с), 2,52 (1Н, т, J=2,4 Гц), 4,68 (2Н, д, J=2,4 Гц), 6,93 (2Н, д, J=8,9 Гц), 7,27 (2Н, д, J=8,9 Гц).
MC (EI) м/z: 178 (М+).
Ссылочный пример 11
3-(3-Метоксифенилокси)-1-пропин
Указанное в заголовке соединение получали с использованием 3-метоксифенола и пропаргилового спирта способом, аналогично описанному в ссылочном примере 8.
ЯМР (400 МГц, СПСl3) м.д.: 2,52 (1Н, т, J=2,4 Гц), 3,79 (3Н, с), 4,67 (2Н, д, J=2,4 Гц), 6,53-6,60 (3Н, м), 7,16-7,23 (1H, м).
МС (EI) м/z: 162 (М+).
Ссылочный пример 12
3-(3, 4-Диметилфенилокси)-1-пропин
Указанное в заголовке соединение получали с использованием 3,4-диметилфенола и пропаргилового спирта способом, аналогично описанному в ссылочном примере 8.
ЯМР (400 МГц, CDCl3) м.д.: 2,20 (3Н, с), 2,24 (3Н, с), 2,49 (1Н, т, J=2,4 Гц), 4,65 (2Н, д, J=2,4 Гц), 6,72 (1Н, дд, J=2,4, 8,0 Гц), 6,78 (1Н, д, J=2,4 Гц), 7,04 (1H, д, J=8,0 Гц).
MC (EI) м/z: 160 (М+).
Ссылочный пример 13
4-(4-Метилфенилокси)бут-1-ин
Указанное в заголовке соединение получали с использованием 4-метилфенола и 3-бутин-1-ола способом, аналогично описанному в ссылочном примере 8.
ЯМР (400 МГц, CDCl3) м.д.: 2,03 (1H, т, J=2,8 Гц), 2,28 (3Н, с), 2,66 (2Н, дт, J=2,8, 7,2 Гц), 4,07 (2Н, т, J=7,2 Гц), 6,81 (2Н, д, J=8,8 Гц), 7,08 (2Н, д, J=8,8 Гц).
МС (EI) м/z: 160 (М+).
Ссылочный пример 14
4-Циклогексилоксибут-1-ин
К безводному дихлорметану (950 мл) добавляли циклогексанон (32 мл, 0,31 моль), 1,3-пропандиол (33,5 мл, 0,46 моль), триэтилортоформиат (51,5 мл, 0,31 моль) и хлорид циркония (1,44 г, 6,18 ммоль) с последующим перемешиванием в атмосфере азота в течение 1 часа при комнатной температуре. Охлаждаемый льдом 1 н. водный раствор гидроксида натрия (1,5 л) добавляли к реакционной смеси и реакционный раствор экстрагировали дихлорметаном, после чего дихлорметановый слой промывали водой. Дихлорметановый слой сушили над безводным сульфатом натрия и выпаривали при пониженном давлении растворитель. Остаток очищали дистилляцией при пониженном давлении с получением триметилкеталя циклогексанона (26,8 г, выход 55%). К суспензии хлорида циркония (24,9 г, 0,11 моль) в тетрагидрофуране (500 мл) медленно добавляли борогидрид натрия (20,5 г, 0,54 ммоль) в атмосфере азота с последующим перемешиванием в течение 20 минут при комнатной температуре. К реакционному раствору на ледяной бане добавляли по каплям в атмосфере азота раствор тетрагидрофурана (170 мл), включающий триметилкеталь циклогексанона (16,9 г, 0,11 моль), полученный выше. По окончании прикапывания реакционный раствор перемешивали в течение ночи при комнатной температуре. К полученному реакционному раствору на ледяной бане добавляли охлаждаемую льдом 2 н. хлористоводородную кислоту (600 мл) для остановки реакции и выпаривали в вакууме тетрагидрофуран. Оставшийся водный слой экстрагировали этилацетатом и этилацетатный слой промывали насыщенным водным раствором хлорида натрия. Этилацетатный слой сушили над безводным сульфатом натрия и выпаривали в вакууме растворитель. Полученный остаток очищали хроматографией на колонке с силикагелем (элюирующий растворитель: гексан:этилацетат = 10:1-5:2) с получением 3-циклогексилоксипропан-1-ола (13,4 г, выход 78%).
Полученный 3-циклогексилоксипропан-1-ол (11,5 г, 72,9 ммоль) растворяли в дихлорметане (240 мл) и затем к полученному раствору на ледяной бане добавляли молекулярное сито 4 (58 г) и пиридинийхлорхромат (23,8 г, 0,11 моль) с последующим перемешиванием в атмосфере азота в течение 1 часа 40 минут. Реакционный раствор разбавляли эфиром и затем фильтровали его через Целит. Целит промывали диэтиловым эфиром и этот фильтрат добавляли к уже полученному фильтрату. Общий фильтрат выпаривали в вакууме и остаток очищали хроматографией на колонке с силикагелем (элюирующий растворитель: н-гексан:этилацетат = 20:1-10:1) с получением неочищенного 3-циклогексилоксипропиональдегида (8,6 г).
Дихлорметановый раствор (120 мл) трифенилфосфина (57,7 г, 0,22 моль) на ледяной бане добавляли по каплям к дихлорметановому раствору (120 мл), содержащему тетрабромид углерода (36,5 г, 0,11 моль) в атмосфере азота. По окончании прикапывания реакционную смесь перемешивали еще 5 минут. К реакционному раствору на ледяной бане добавляли по каплям в атмосфере азота дихлорметановый раствор (90 мл) неочищенного 3-циклогексилоксипропиональдегида (8,6 г), полученного выше, и по окончании прикапывания реакционную смесь перемешивали еще 25 минут. Реакционный раствор разбавляли дихлорметаном, промывали насыщенным водным раствором гидрокарбоната натрия и затем насыщенным водным раствором хлорида натрия. Дихлорметановый слой сушили над безводным сульфатом натрия и затем выпаривали в вакууме растворитель. Остаток очищали хроматографией на колонке с силикагелем (элюирующий растворитель: гексан:этилацетат = 100:1-33:1) с получением 4-циклогексилокси-1,1-дибромбут-1-ена (12,6 г, выход 55%, 2 способа).
К тетрагидрофурановому раствору (130 мл) полученного выше 4-циклогексилокси-1,1-дибромбут-1-ена (12,6 г, 40,4 ммоль) добавляли по каплям в атмосфере азота при -78 С гексановый 1,5 н. раствор н-бутиллития (54 мл, 81,0 ммоль). По окончании прикапывания реакционный раствор перемешивали 1 час и затем постепенно подогревали до комнатной температуры. После перемешивания реакционного раствора в течение 50 минут при комнатной температуре добавляли воду на ледяной бане для прекращения реакции. Полученный реакционный раствор экстрагировали диэтиловым эфиром и эфирный слой промывали насыщенным водным раствором хлорида натрия. Эфирный слой сушили над безводным сульфатом натрия и выпаривали при пониженном давлении растворитель. Остаток очищали хроматографией на колонке с силикагелем (элюирующий растворитель: гексан:этилацетат = 100:1-50:1) с получением указанного в заголовке соединения (4,35 г, выход 71%).
ЯМР (400 МГц, CDCl3) м.д.: 1,13-1,36 (5Н, м), 1,48-1,58 (1Н, м), 1,67-1,81 (2Н, м), 1,85-1,95 (2Н, м), 1,97 (1Н, т, J=2,8 Гц), 2,45 (2Н, дт, J=2,8, 7,2 Гц), 3,23-3,32 (1Н, м), 3,59 (2Н, т, J=7,2 Гц).
МС (EI) м/z: 153 (М+Н)+
Пример 1 испытания
Определение ингибирующей активности в отношении реакции “хозяин против трансплантата” (HvGR) у крыс
(1) Использовали две линии крыс (крысы Льюиса (Lewis) (самцы, возраст 6 недель, Charles River Japan) и WKAH/Hkm (самцы, возраст 7 недель, SLS Japan)). В каждой группе было по пять крыс (хозяев).
(2) Индуцирование HvGR
Выделяли клетки селезенки из селезенки крыс и 1 х 108 клеток суспендировали в среде RPM1640 (LIFE TECHNOLOGIES, Rockville MD USA). 100 мкл (1 х 107 клеток) суспензии клеток селезенки, выделенных у крыс WKAH/Hkm или крыс Льюиса, впрыскивали подкожно в билатеральную подушечку задней лапки крысы Льюиса.
(3) Введение соединения
Соединение суспендировали в 0,5% растворе трагаканта. Суспендированное соединение вводили перорально крысам в группе, подвергаемой обработке лекарством (крысы Льюиса, которым инъецировали клетки селезенки, выделенные у крыс WKAH/Hkm, и обработанные соединением) в объеме 5 мл/кг. Обработку начинали в день инъекции клеток селезенки и проводили один раз в сутки в течение 4 последующих суток. Крысам в группе крыс той же самой линии (крысы Льюиса, которым инъецировали клетки селезенки, выделенные из крыс Льюиса) и крысам в контрольной группе (крысы Льюиса, которым инъецировали клетки селезенки, выделенные у крыс WKAH/Hkm и которых не обрабатывали испытуемым соединением) вместо суспензии испытуемого соединения вводили перорально раствор (0,5%) трагаканта.
(4) Методика определения ингибирующей активности в отношении
HvGR
Среднюю массу подколенного лимфатического узла крыс одной и той же линии вычитали из массы подколенного лимфатического узла отдельной крысы (масса подколенного лимфатического узла, обусловленная HvGR). Вычисляли степень ингибирования массы подколенного лимфатического узла, обусловленной HvGR, отдельной крысы, подвергнутой обработке испытуемым соединением, в сравнении со средней массой контрольных крыс. Ингибирующую активность испытуемого соединения выражали в виде значения ID50 (мг/кг), вычисленного методом наименьших квадратов из соотношения доза-степень ингибирования.
Результатом данного эксперимента было то, что соединение по настоящему изобретению показало высокую ингибирующую активность против HvGR у крыс.
Результаты даны в таблице 5.
В таблице 5 соединением 1 для сравнения является соединение примера 29, описанное в WО 94/08943.
Пример 2 испытания
Определение ингибирующей активности соединений настоящего изобретения в отношении индуцирования адъювантного артрита
1. Приготовление адъюванта
Убитые тепловой обработкой бактерии Mycobacterium butylricum суспендировали в минеральном масле с концентрацией 2 мг/мл и подвергали обработке ультразвуком в ультразвуковом аппарате.
2. Приготовление испытуемого соединения
Испытуемое соединение суспендировали в 0,5% растворе трагаканта.
3. Индуцирование адъювантного артрита
Адъювант, приготовленный так, как описано в пункте 1, инъецировали внутрикожно в правую заднюю лапку крыс-самок (обычно использовали крыс Льюиса) в объеме 0,05 мл. В каждой группе было по пять крыс. В одной, контрольной группе крыс адъювант не впрыскивали.
4. Введение соединения
Раствор соединения, приготовленный так, как описано в пункте 2, вводили крысам перорально со дня инъекции адъюванта один раз в сутки в течение 21 суток в виде дозы 5 мл/кг. Одной группе крыс, обработанных адъювантом (контрольная группа), а также крысам, не обработанным адъювантом, вводили перорально раствор (0,5%) трагаканта.
5. Методика вычисления ингибирующей активности соединения
С помощью плетизмометра определяли объем правой задней лапки. Из каждого отдельного объема вычитали объем здоровой лапки и разность использовали как приращение объема. Затем из каждого отдельного приращения объема у крыс, подвергнутых обработке соединением, и у контрольных крыс вычисляли ингибирующую активность соединения. Из использованных для обработки доз и средней степени ингибирования в группе получали значения ID50 соединения.
Данный эксперимент показал, что соединение по настоящему изобретению обладает высокой ингибирующей активностью.
Результаты даны в таблице 6.
В таблице 6 соединением для сравнения является соединение примера 29, описанное в WО 94/08943.
Формула изобретения 1. Соединение формулы (I) или его фармакологически приемлемая соль, сложный эфир или другое производное:
где R1 и R2 являются одинаковыми или различными и представляют каждый атом водорода или аминозащитную группу;
R3 представляет атом водорода или гидроксизащитную группу;
R4 представляет низшую алкильную группу;
n представляет целое число от 1 до 6;
Х представляет этиленовую группу, виниленовую группу, этиниленовую группу, группу формулы -D-CH2– (где D представляет карбонильную группу, группу формулы -СН(ОН)- или атом кислорода) или арильную группу;
Y представляет одинарную связь, С1-С10алкиленовую группу, С1-С10алкиленовую группу, замещенную 1-3 заместителями, выбранными из групп а и b заместителей, С1-С10алкиленовую группу, содержащую атом кислорода в указанной углеродной цепи или на конце указанной углеродной цепи, или 1-С10алкиленовую группу, замещенную 1-3 заместителями, выбранными из групп а и b заместителей, и содержащую атом кислорода в указанной углеродной цепи или на конце указанной углеродной цепи;
R5 представляет атом водорода, циклоалкильную группу, арильную группу, циклоалкильную группу, замещенную 1-3 заместителями, выбранными из групп а и b заместителей, или арильную группу, замещенную 1-3 заместителями, выбранными из групп а и b заместителей;
R6 и R7 являются одинаковыми или различными и представляют каждый атом водорода, атом галогена или низшую алкильную группу;
при условии, что когда R5 представляет атом водорода, то Y не является одинарной связью или неразветвленной С1-С10алкиленовой группой;
группа а заместителей состоит из атома галогена, низшей алкильной группы, низшей алкоксигруппы, низшей алкилтиогруппы, карбоксильной группы и низшей алифатической ацильной группы;
группа b заместителей состоит из циклоалкильной группы, арильной группы, циклоалкильной группы, замещенной 1-3 заместителями, выбранными из группы а заместителей, и арильной группы, замещенной 1-3 заместителями, выбранными из группы а заместителей.
2. Соединение по п.1, где указанное соединение имеет формулу (Iа), или его фармакологически приемлемая соль, сложный эфир или другое производное:
3. Соединение по п.1, где указанное соединение имеет формулу (Ib), или его фармакологически приемлемая соль, сложный эфир или другое производное:
4. Соединение по любому из пп.1-3, где R1 и R2 являются одинаковыми или различными и представляют каждый атом водорода, низшую алкоксикарбонильную группу, аралкилоксикарбонильную группу или аралкилоксикарбонильную группу, замещенную 1-3 заместителями, выбранными из группы а заместителей, или его фармакологически приемлемая соль, сложный эфир или другое производное.
5. Соединение по любому из пп.1-3, где каждый из R1 и R2 представляет атом водорода, или его фармакологически приемлемая соль, сложный эфир или другое производное.
6. Соединение по любому из пп.1-5, где R3 представляет атом водорода, низшую алкильную группу, низшую алифатическую ацильную группу, ароматическую ацильную группу или ароматическую ацильную группу, замещенную 1-3 заместителями, выбранными из группы а заместителей, или его фармакологически приемлемая соль, сложный эфир или другое производное.
7. Соединение по любому из пп.1-5, где R3 представляет атом водорода, или его фармакологически приемлемая соль, сложный эфир или другое производное.
8. Соединение по любому из пп.1-7, где R4 представляет С1-С4алкильную группу, или его фармакологически приемлемая соль, сложный эфир или другое производное.
9. Соединение по любому из пп.1-7, где R4 представляет С1-С2алкильную группу, или его фармакологически приемлемая соль, сложный эфир или другое производное.
10. Соединение по любому из пп.1-7, где R4 представляет метильную группу, или его фармакологически приемлемая соль, сложный эфир или другое производное.
11. Соединение по любому из пп.1-10, где n равно 2 или 3, или его фармакологически приемлемая соль, сложный эфир или другое производное.
12. Соединение по любому из пп.1-10, где n равно 2, или его фармакологически приемлемая соль, сложный эфир или другое производное.
13. Соединение по любому из пп.1-12, где Х представляет этиленовую группу, этиниленовую группу или арильную группу, или его фармакологически приемлемая соль, сложный эфир или другое производное.
14. Соединение по любому из пп.1-12, где Х представляет этиленовую группу, или его фармакологически приемлемая соль, сложный эфир или другое производное.
15. Соединение по любому из пп.1-12, где Х представляет этиниленовую группу, или его фармакологически приемлемая соль, сложный эфир или другое производное.
16. Соединение по любому из пп.1-12, где Х представляет группу формулы -D-CH2-, или его фармакологически приемлемая соль, сложный эфир или другое производное.
17. Соединение по любому из пп.1-12, где Х представляет группу формулы -D-CH2– (где D представляет карбонильную группу или группу формулы -СН(ОН)-), или его фармакологически приемлемая соль, сложный эфир или другое производное.
18. Соединение по любому из пп.1-17, где Y представляет С1-С10алкиленовую группу или С1-С10алкиленовую группу, замещенную 1-3 заместителями, выбранными из групп а и b заместителей, или его фармакологически приемлемая соль, сложный эфир или другое производное.
19. Соединение по любому из пп.1-17, где Y представляет С1-С6алкиленовую группу или С1-С6алкиленовую группу, замещенную 1-3 заместителями, выбранными из групп а и b заместителей, или его фармакологически приемлемая соль, сложный эфир или другое производное.
20. Соединение по любому из пп.1-17, где Y представляет этиленовую группу, триметиленовую группу, тетраметиленовую группу, этиленовую группу, замещенную 1-3 заместителями, выбранными из групп а и b заместителей, триметиленовую группу, замещенную 1-3 заместителями, выбранными из групп а и b заместителей, или тетраметиленовую группу, замещенную 1-3 заместителями, выбранными из групп а и b заместителей, или его фармакологически приемлемая соль, сложный эфир или другое производное.
21. Соединение по любому из пп.1-17, где Y представляет этиленовую группу, триметиленовую группу или тетраметиленовую группу, или его фармакологически приемлемая соль, сложный эфир или другое производное.
22. Соединение по любому из пп.1-17, где Y представляет этиленовую группу или триметиленовую группу, или его фармакологически приемлемая соль, сложный эфир или другое производное.
23. Соединение по любому из пп.1-17, где Y представляет С1-С10алкиленовую группу, содержащую атом кислорода в указанной углеродной цепи или на конце указанной углеродной цепи, или 1-С10алкиленовую группу, замещенную 1-3 заместителями, выбранными из групп а и b заместителей, и содержащую атом кислорода в указанной углеродной цепи или на конце указанной углеродной цепи, или его фармакологически приемлемая соль, сложный эфир или другое производное.
24. Соединение по любому из пп.1-17, где Y представляет С1-С10алкиленовую группу, содержащую атом кислорода в указанной углеродной цепи или на конце указанной углеродной цепи, или его фармакологически приемлемая соль, сложный эфир или другое производное.
25. Соединение по любому из пп.1-17, где Y представляет С1-С6алкиленовую группу, содержащую атом кислорода в указанной углеродной цепи или на конце указанной углеродной цепи, или его фармакологически приемлемая соль, сложный эфир или другое производное.
26. Соединение по любому из пп.1-17, где Y представляет группу формулы -O-CH2-, -O-(CH2)2-, -O-(CH2)3-, -CH2-O-, -(CH2)2-O- или -(CH2)3-O-, или его фармакологически приемлемая соль, сложный эфир или другое производное.
27. Соединение по любому из пп.1-17, где Y представляет группу формулы -CH2-O-, или его фармакологически приемлемая соль, сложный эфир или другое производное.
28. Соединение по любому из пп.1-17, где Y представляет группу формулы -O-(CH2)2– или -(CH2)2-O-, или его фармакологически приемлемая соль, сложный эфир или другое производное.
29. Соединение по любому из пп.1-28, где R5 представляет атом водорода, или его фармакологически приемлемая соль, сложный эфир или другое производное.
30. Соединение по любому из пп.1-28, где R5 представляет циклоалкильную группу или циклоалкильную группу, замещенную 1-3 заместителями, выбранными из групп а и b заместителей, или его фармакологически приемлемая соль, сложный эфир или другое производное.
31. Соединение по любому из пп.1-28, где R5 представляет циклоалкильную группу, или его фармакологически приемлемая соль, сложный эфир или другое производное.
32. Соединение по любому из пп.1-28, где R5 представляет циклогексильную группу, или его фармакологически приемлемая соль, сложный эфир или другое производное.
33. Соединение по любому из пп.1-28, где R5 представляет арильную группу или арильную группу, замещенную 1-3 заместителями, выбранными из групп а и b заместителей, или его фармакологически приемлемая соль, сложный эфир или другое производное.
34. Соединение по любому из пп.1-28, где R5 представляет арильную группу или арильную группу, замещенную 1-3 заместителями (указанный заместитель выбран из группы, состоящей из атома галогена, низшей алкильной группы, низшей алкоксигруппы, низшей алкилтиогруппы и низшей алифатической ацильной группы), или его фармакологически приемлемая соль, сложный эфир или другое производное.
35. Соединение по любому из пп.1-28, где R5 представляет арильную группу или арильную группу, замещенную 1-3 заместителями (указанный заместитель выбран из группы, состоящей из атома галогена, низшей алкильной группы, низшей алкоксигруппы и низшей алифатической ацильной группы), или его фармакологически приемлемая соль, сложный эфир или другое производное.
36. Соединение по любому из пп.1-28, где R5 представляет фенильную группу или фенильную группу, замещенную 1-3 заместителями (указанный заместитель выбран из группы, состоящей из атома галогена, низшей алкильной группы, низшей алкоксигруппы и низшей алифатической ацильной группы), или его фармакологически приемлемая соль, сложный эфир или другое производное.
37. Соединение по любому из пп.1-28, где R5 представляет фенильную группу или фенильную группу, замещенную 1-3 заместителями (указанный заместитель выбран из группы, состоящей из атома фтора, атома хлора, метила, метокси и ацетильной группы), или его фармакологически приемлемая соль, сложный эфир или другое производное.
38. Соединение по любому из пп.1-28, где R5 представляет фенил, 3-фторфенил, 4-фторфенил, 3,4-дифторфенил, 3,5-дифторфенил, 3-хлорфенил, 4-хлорфенил, 3,4-дихлорфенил, 3,5-дихлорфенил, 3-метилфенил, 4-метилфенил, 3,4-диметилфенил, 3,5-диметилфенил, 3-метоксифенил, 4-метоксифенил, 3,4-диметоксифенил, 3,5-диметоксифенил, 3,4,5-триметоксифенил, 3-ацетилфенил или 4-ацетилфенил, или его фармакологически приемлемая соль, сложный эфир или другое производное.
39. Соединение по любому из пп.1-38, где каждый из R6 и R7 представляет атом галогена, или его фармакологически приемлемая соль, сложный эфир или другое производное.
40. Соединение по п.1, где указанное соединение или его фармакологически приемлемые соли, сложные эфиры или другие производные выбраны из следующих соединений, включающих:
2-амино-2-метил-4-[5-(6-циклогексилгексил)тиофен-2-ил]бутан-1-ол,
2-амино-2-метил-4-[5-(5-циклогексилпентил)тиофен-2-ил]бутан-1-ол,
2-амино-2-метил-4-[5-(4-циклогексилбутил)тиофен-2-ил]бутан-1-ол,
2-амино-2-метил-4-[5-(6-циклогексилгекс-1-инил)тиофен-2-ил]бутан-1-ол,
2-амино-2-метил-4-[5-(5-циклогексилпент-1-инил)тиофен-2-ил]бутан-1-ол,
2-амино-2-метил-4-[5-(4-циклогексилбут-1-инил)тиофен-2-ил]бутан-1-ол,
2-амино-2-метил-4-[5-(6-циклогексилгексаноил)тиофен-2-ил]бутан-1-ол,
2-амино-2-метил-4-[5-(5-циклогексилпентаноил)тиофен-2-ил]-бутан-1-ол,
2-амино-2-метил-4-[5-(4-циклогексилбутаноил)тиофен-2-ил]бутан-1-ол,
2-амино-2-этил-4-[5-(6-циклогексилгексил)тиофен-2-ил]бутан-1-ол,
2-амино-2-этил-4-[5-(5-циклогексилпентил)тиофен-2-ил]бутан-1-ол,
2-амино-2-этил-4-[5-(4-циклогексилбутил)тиофен-2-ил]бутан-1-ол,
2-амино-2-этил-4-[5-(6-циклогексилгекс-1-инил)тиофен-2-ил]бутан-1-ол,
2-амино-2-этил-4-[5-(5-циклогексилпент-1-инил)тиофен-2-ил]бутан-1-ол,
2-амино-2-этил-4-[5-(4-циклогексилбут-1-инил)тиофен-2-ил]бутан-1-ол,
2-амино-2-этил-4-[5-(6-циклогексилгексаноил)тиофен-2-ил]бутан-1-ол,
2-амино-2-этил-4-[5-(5-циклогексилпентаноил)тиофен-2-ил]бутан-1-ол,
2-амино-2-этил-4-[5-(4-циклогексилбутаноил)тиофен-2-ил]бутан-1-ол,
2-амино-2-метил-4-[5-(6-фенилгексил)тиофен-2-ил]бутан-1-ол,
2-амино-2-метил-4-[5-(5-фенилпентил)тиофен-2-ил]бутан-1-ол,
2-амино-2-метил-4-[5-(4-фенилбутил)тиофен-2-ил]бутан-1-ол,
2-амино-2-метил-4-[5-(6-фенилгекс-1-инил)тиофен-2-ил]бутан-1-ол,
2-амино-2-метил-4-[5-(5-фенилпент-1-инил)тиофен-2-ил]бутан-1-ол,
2-амино-2-метил-4-[5-(4-фенилбут-1-инил)тиофен-2-ил]бутан-1-ол,
2-амино-2-метил-4-[5-(6-фенилгексаноил)тиофен-2-ил]бутан-1-ол,
2-амино-2-метил-4-[5-(5-фенилпентаноил)тиофен-2-ил]бутан-1-ол,
2-амино-2-метил-4-[5-(4-фенилбутаноил)тиофен-2-ил]бутан-1-ол
2-амино-2-метил-4-[5-(5-циклогексилоксипент-1-инил)тиофен-2-ил]бутан-1-ол,
2-амино-2-метил-4-[5-(4-циклогексилоксибут-1-инил)тиофен-2-ил]бутан-1-ол,
2-амино-2-метил-4-[5-(3-циклогексилоксипропинил)тиофен-2-ил]-бутан-1-ол,
2-амино-2-метил-4-[5-(5-циклогексилоксипентил)тиофен-2-ил]бутан-1-ол,
2-амино-2-метил-4-[5-(4-циклогексилоксибутил)тиофен-2-ил]бутан-1-ол,
2-амино-2-метил-4-[5-(3-циклогексилоксипропил)тиофен-2-ил]бутан-1-ол,
2-амино-2-метил-4-[5-(5-циклогексилоксипентаноил)тиофен-2-ил]-бутан-1-ол,
2-амино-2-метил-4-[5-(4-циклогексилоксибутаноил)тиофен-2-ил]бутан-1-ол,
2-амино-2-метил-4-[5-(3-циклогексилоксипропаноил)тиофен-2-ил]бутан-1-ол,
2-амино-2-метил-4-[5-(5-феноксипент-1-инил)тиофен-2-ил]бутан-1-ол,
2-амино-2-метил-4-[5-(4-феноксибут-1-инил)тиофен-2-ил]бутан-1-ол,
2-амино-2-метил-4-[5-(3-феноксипропинил)тиофен-2-ил]бутан-1-ол,
2-амино-2-метил-4-[5-(5-феноксипентил)тиофен-2-ил]бутан-1-ол
2-амино-2-метил-4-[5-(4-феноксибутил)тиофен-2-ил]бутан-1-ол,
2-амино-2-метил-4-[5-(3-феноксипропил)тиофен-2-ил]бутан-1-ол
2-амино-2-метил-4-[5-(5-феноксипентаноил)тиофен-2-ил]бутан-1-ол,
2-амино-2-метил-4-[5-(4-феноксибутаноил)тиофен-2-ил]бутан-1-ол,
2-амино-2-метил-4-[5-(3-феноксипропаноил)тиофен-2-ил]бутан-1-ол,
2-амино-2-метил-4-[5-(4-бензилоксифенил)тиофен-2-ил]бутан-1-ол,
2-амино-2-метил-4-[5-(4-циклогексилметоксифенил)тиофен-2-ил]бутан-1-ол,
2-амино-2-метил-4-[5-(4-циклогексилэтоксифенил)тиофен-2-ил]бутан-1-ол,
2-амино-2-метил-4-[5-(3-циклогексилметоксипропинил)тиофен-2-ил]бутан-1-ол,
2-амино-2-метил-4-[5-(3-циклогексилметоксипропил)тиофен-2-ил]бутан-1-ол и
2-амино-2-метил-4-[5-(3-циклогексилметоксипропаноил)тиофен-2-ил]бутан-1-ол.
41. Соединение по п.1, где указанное соединение или его фармакологически приемлемые соли, сложные эфиры или другие производные выбраны из следующих соединений, включающих:
2-амино-2-метил-4-[5-(4-циклогексилбутил)тиофен-2-ил]бутан-1-ол,
2-амино-2-метил-4-[5-(5-циклогексилпентил)тиофен-2-ил]бутан-1-ол,
2-амино-2-метил-4-[5-(5-фенилпентил)тиофен-2-ил]бутан-1-ол,
2-амино-2-метил-4-[5-(4-циклогексилоксибутил)тиофен-2-ил]бутан-1-ол,
2-амино-2-метил-4-{5-[4-(4-фторфенокси)бутил]тиофен-2-ил}бутан-1-ол,
2-амино-2-метил-4-{5-[4-(4-метоксифенокси)бутил]тиофен-2-ил}бутан-1-ол,
2-амино-2-метил-4-[5-(4-бензилоксибутил)тиофен-2-ил]бутан-1-ол,
2-амино-2-метил-4-[5-(4-циклогексилбут-1-инил)тиофен-2-ол]бутан-1-ол,
2-амино-2-метил-4-[5-(4-фенилбут-1-инил)тиофен-2-ил]бутан-1-ол,
2-амино-2-метил-4-[5-(5-циклогексилпент-1-инил)тиофен-2-ил]бутан-1-ол,
2-амино-2-метил-4-[5-(5-фенилпент-1-инил)тиофен-2-ил]бутан-1-ол,
2-амино-2-метил-4-{5-[5-(4-фторфенил)пент-1-инил]тиофен-2-ил}бутан-1-ол,
2-амино-2-метил-4-{5-[5-(4-метоксифенил)пент-1-инил]тиофен-2-ил}бутан-1-ол,
2-амино-2-метил-4-{5-[3-(4-метилциклогексилокси)пропинил]тиофен-2-ил}бутан-1-ол,
2-амино-2-метил-4-{5-[3-(4-метилфенокси)пропинил]тиофен-2-ил}бутан-1-ол,
2-амино-2-метил-4-{5-[3-(4-этилфенокси)пропинил]тиофен-2-ил}бутан-1-ол,
2-амино-2-метил-4-{5-[3-(4-метилтиофенокси)пропинил]тиофен-2-ил}бутан-1-ол,
2-амино-2-метил-4-[5-(4-циклогексилоксибут-1-инил)тиофен-2-ил]бутан-1-ол,
2-амино-2-метил-4-{5-[4-(4-фторфенокси)бут-1-инил]тиофен-2-ил}бутан-1-ол,
2-амино-2-метил-4-{5-[4-(4-метилфенокси)бут-1-инил]тиофен-2-ил}бутан-1-ол,
2-амино-2-метил-4-[5-(3-циклогексилметоксипропинил)тиофен-2-ил]бутан-1-ол,
2-амино-2-метил-4-[5-(4-фенилметоксибут-1-инил)тиофен-2-ил]бутан-1-ол,
2-амино-2-метил-4-[5-(4-циклогексилбутаноил)тиофен-2-ил]бутан-1-ол,
2-амино-2-метил-4-[5-(4-фенилбутаноил)тиофен-2-ил]бутан-1-ол
2-амино-2-метил-4-[5-(5-циклогексилпентаноил)тиофен-2-ил]бутан-1-ол,
2-амино-2-метил-4-[5-(5-фенилпентаноил)тиофен-2-ил]бутан-1-ол,
2-амино-2-метил-4-{5-[5-(4-фторфенил)пентаноил]тиофен-2-ил}бутан-1-ол,
2-амино-2-этил-4-[5-(5-циклогексилпентил)тиофен-2-ил]бутан-1-ол,
2-амино-2-этил-4-[5-(5-циклогексилпент-1-инил)тиофен-2-ил]бутан-1-ол и
2-амино-2-этил-4-[5-(5-циклогексилпентаноил)тиофен-2-ил]бутан-1-ол.
42. Соединение по п.1, где указанное соединение или его фармакологически приемлемые соли, сложные эфиры или другие производные выбраны из следующих соединений, включающих:
2-амино-2-метил-4-{5-[3-(4-хлорфенокси)пропинил]тиофен-2-ил}бутан-1-ол,
2-амино-2-метил-4-{5-[3-(3-метилфенокси)пропинил]тиофен-2-ил}бутан-1-ол,
2-амино-2-метил-4-{5-[3-(3,4-диметилфенокси)пропинил]тиофен-2-ил}бутан-1-ол,
2-амино-2-метил-4-{5-[3-(3-метоксифенокси)пропинил]тиофен-2-ил}бутан-1-ол,
2-амино-2-метил-4-{5-[3-(3,4-диметоксифенокси)пропинил]тиофен-2-ил}бутан-1-ол,
2-амино-2-метил-4-{5-[3-(3,5-диметоксифенокси)пропинил]тиофен-2-ил}бутан-1-ол,
2-амино-2-метил-4-{5-[3-(3-ацетилфенокси)пропинил]тиофен-2-ил}бутан-1-ол и
2-амино-2-метил-4-{5-[3-(4-ацетилфенокси)пропинил]тиофен-2-ил}бутан-1-ол.
43. Фармацевтическая композиция, обладающая иммунодепрессивной активностью, содержащая фармацевтически приемлемый разбавитель или носитель и соединение формулы (I) или его фармакологически приемлемую соль, сложный эфир или другое производное по любому из пп.1-42.
44. Фармацевтическая композиция по п.43 для профилактики или лечения аутоиммунного заболевания.
45. Фармацевтическая композиция по п.44, где указанное аутоиммунное заболевание представляет собой ревматоидный артрит.
46. Фармацевтическая композиция по п.43 для подавления иммунологического отторжения после трансплантации органов.
47. Соединение формулы (I) или его фармакологически приемлемая соль, сложный эфир или другое производное по любому из пп.1-42 для применения в качестве средства для профилактики или лечения аутоиммунного заболевания.
48. Соединение по п.47, где указанное аутоиммунное заболевание представляет собой ревматоидный артрит.
49. Соединение по п.47, где указанное средство является средством для подавления иммунологического отторжения после трансплантации органов.
50. Способ профилактики или лечения ревматоидного артрита или подавления иммунологического отторжения после трансплантации органов у теплокровного животного, которым может быть человек, включающий введение фармакологически эффективного количества соединения формулы (I) или его фармакологически приемлемой соли, сложного эфира или другого производного по любому из пп.1-42 нуждающемуся в этом теплокровному животному.
51. Способ по п.50 для профилактики или лечения ревматоидного артрита.
52. Способ по п.50 для подавления иммунологического отторжения после трансплантации органов.
53. Соединение формулы (La) или (Lb):
где R1 и R2 являются одинаковыми или различными и представляет каждый атом водорода или аминозащитную группу;
R3а представляет атом водорода или гидроксизащитную группу или, когда R1 представляет атом водорода, R2 и R3а, взятые вместе, образуют группу формулы -(С=О)-;
R4а представляет С1-С20алкильную группу, С2-С20алкильную группу, прерванную гетероатомом(ами), С1-С20алкильную группу, замещенную арильной группой(ами) или гетероарильной группой(ами), С2-С20алкинильную группу, С3-С20алкинильную группу, прерванную гетероатомом(ами), С2-С20алкинильную группу, замещенную арильной группой(ами) или гетероарильной группой(ами), С2-С20алкенильную группу, С3-С20алкенильную группу, прерванную гетероатомом(ами), С2-С20алкенильную группу, замещенную арильной группой(ами) или гетероарильной группой(ами), С2-С20алкильную группу, замещенную арильной группой(ами) или гетероарильной группой(ами) и прерванную гетероатомом(ами), или циклоалкильную группу;
m представляет целое число от 0 до 4;
Ar представляет арильную группу, гетероарильную группу, арильную группу, замещенную 1-5 заместителями, выбранными из группы а заместителей, гетероарильную группу, замещенную 1-5 заместителями, выбранными из группы а заместителей, при условии, что когда Ar представляет арильную группу, то R1 не является атомом водорода и R2 и/или R3а не представляют атом водорода;
группа а заместителей включает атом галогена, низшую алкильную группу, галогенированную низшую алкильную группу, низшую алкоксигруппу, низшую алкилтиогруппу, карбоксильную группу, низшую алкоксикарбонильную группу, гидроксильную группу, низшую алифатическую ацильную группу, аминогруппу, низшую моноалкиламиногруппу, низшую диалкиламиногруппу, низшую алифатическую ациламиногруппу, цианогруппу и нитрогруппу.
54. Соединение по п.53, где указанное соединение имеет формулу (La).
55. Соединение по п.53 или 54, где R1 представляет атом водорода.
56. Соединение по любому из пп.53-55, где R2 и R3а, взятые вместе, образуют группу формулы -(С=О)-.
57. Соединение по любому из пп.53-55, где R3а представляет атом водорода.
58. Соединение по любому из пп.53-57, где R4а представляет С1-С10алкильную группу, С2-С10алкильную группу, прерванную гетероатомом(ами), С1-С10алкильную группу, замещенную арильной группой(ами) или гетероарильной группой(ами), С2-С10алкинильную группу, С3-С10алкинильную группу, прерванную гетероатомом(ами), С2-С10алкинильную группу, замещенную арильной группой(ами) или гетероарильной группой(ами), С2-С10алкенильную группу, С3-С10алкенильную группу, прерванную гетероатомом(ами), С2-С10алкенильную группу, замещенную арильной группой(ами) или гетероарильной группой(ами), С2-С10алкильную группу, замещенную арильной группой(ами) или гетероарильной группой(ами) и прерванную гетероатомом(ами), или С5-С10циклоалкильную группу.
59. Соединение по любому из пп.53-57, где R4а представляет С1-С10алкильную группу, С2-С10алкильную группу, прерванную гетероатомом(ами), С1-С10алкильную группу, замещенную арильной группой(ами) или гетероарильной группой(ами), С2-С10алкинильную группу, С2-С10алкенильную группу или С5-С10циклоалкильную группу.
60. Соединение по любому из пп.53-57, где R4а представляет С1-С10алкильную группу.
61. Соединение по любому из пп.53-57, где R4а представляет С1-С6алкильную группу.
62. Соединение по любому из пп.53-57, где R4а представляет метильную группу или этильную группу.
63. Соединение по любому из пп.53-62, где Ar представляет фенильную, фурильную, тиенильную или бензотиенильную группу, причем указанные группы являются необязательно замещенными 1-4 заместителями, выбранными из группы а заместителей.
64. Соединение по любому из пп.53-62, где Ar представляет тиенильную группу или тиенильную группу, замещенную 1-4 заместителями, выбранными из группы а заместителей.
65. Соединение по любому из пп.53-62, где Ar представляет бензотиенильную группу или бензотиенильную группу, замещенную 1-4 заместителями, выбранными из группы а заместителей.
66. Соединение по пп.53-65, где m равно 0.
67. Соединение по любому из пп.53-66, где группа а заместителей представляет собой атом галогена, гидроксильную группу, низшую алкильную группу, галогенированную низшую алкильную группу, низшую алкоксигруппу, карбоксильную группу, низшую алифатическую ацильную группу, низшую алифатическую ациламиногруппу, аминогруппу, цианогруппу или нитрогруппу.
68. Соединение по п.53, где R1 представляет атом водорода, m равно 0, группа а заместителей представляет собой атом галогена, гидроксильную группу, низшую алкильную группу, галогенированную низшую алкильную группу, низшую алкоксигруппу, карбоксильную группу, низшую алифатическую ацильную группу, низшую алифатическую ациламиногруппу, аминогруппу, цианогруппу или нитрогруппу.
69. Способ получения соединения формулы (XLIVa) или XLIVb):
где R1 и R2 являются одинаковыми или различными и представляют каждый атом водорода или аминозащитную группу;
R4а представляет С1-С20алкильную группу, С2-С20алкильную группу, прерванную гетероатомом(ами), С1-С20алкильную группу, замещенную арильной группой(ами) или гетероарильной группой(ами), С2-С20алкинильную группу, С3-С20алкинильную группу, прерванную гетероатомом(ами), С2-С20алкинильную группу, замещенную арильной группой(ами) или гетероарильной группой(ами), С2-С20алкенильную группу, С3-С20алкенильную группу, прерванную гетероатомом(ами), С2-С20алкенильную группу, замещенную арильной группой(ами) или гетероарильной группой(ами), С2-С20алкильную группу, замещенную арильной группой(ами) или гетероарильной группой(ами) и прерванную гетероатомом(ами), или циклоалкильную группу;
R11 имеет такое же значение, как указано выше для R4а,
который включает избирательное ацилирование одной гидроксильной группы 2-замещенного производного 2-амино-1,3-пропандиола формулы (XLII)
где R1, R2 и R4а такие, как определено выше,
производным сложного эфира карбоновой кислоты формулы (XLIII)
R11СООСН=СН2 (XLIII)
где R11 такой же, как определено выше,
в присутствии липазы с получением 2-замещенного производного сложного моноэфира 2-амино-1,3-пропандиола формулы (XLIVa) или (XLIVb).
70. Способ получения по п.69, где один из R1 и R2 представляет атом водорода, а другой аминозащитную группу.
71. Способ получения по п.69 или 70, где R4а представляет С1-С10алкильную группу, С2-С10алкильную группу, прерванную гетероатомом(ами), С1-С10алкильную группу, замещенную арильной группой(ами) или гетероарильной группой(ами), С2-С10алкинильную группу, С3-С10алкинильную группу, прерванную гетероатомом(ами), С2-С10алкинильную группу, замещенную арильной группой(ами) или гетероарильной группой(ами), С2-С10алкенильную группу, С3-С10алкенильную группу, прерванную гетероатомом(ами), С2-С10алкенильную группу, замещенную арильной группой(ами) или гетероарильной группой(ами), С2-С10алкильную группу, замещенную арильной группой(ами) или гетероарильной группой(ами) и прерванную гетероатомом(ами), или С5-С10циклоалкильную группу.
72. Способ получения по п.69 или 70, где R4а представляет С1-С10алкильную группу, С2-С10алкильную группу, прерванную гетероатомом(ами), С1-С10алкильную группу, замещенную арильной группой(ами) или гетероарильной группой(ами), С2-С10алкинильную группу, С2-С10алкенильную группу или С5-С10циклоалкильную группу.
73. Способ получения по п.69-70, где R11 представляет С1-С20алкильную группу или С1-С20алкильную группу, замещенную арильной группой(ами) или гетероарильной группой(ами).
Приоритет по пунктам:
13.07.2000 по пп.69-73;
09.08.2000 по пп.1-41, 43-52;
19.09.2000 по п.68;
10.07.2001 по п.42, 53-67.
РИСУНКИ
MM4A – Досрочное прекращение действия патента СССР или патента Российской Федерации на изобретение из-за неуплаты в установленный срок пошлины за поддержание патента в силе
Дата прекращения действия патента: 11.07.2009
Извещение опубликовано: 20.07.2010 БИ: 20/2010
|
||||||||||||||||||||||||||

где R1 и R2 представляют атом водорода, аминозащитную группу; R3 представляет атом водорода, гидроксизащитную группу; R4 представляет низшую алкильную группу; n представляет целое число от 1 до 6; Х представляет этиленовую группу; Y представляет C1-С10 алкиленовую группу, C1-C10 алкиленовую группу, замещенную 1-3 заместителями, R5 представляет арильную группу; R6 и R7 представляют атом водорода, атом галогена или низшую алкильную группу, при условии, что когда R5 представляет атом водорода, то Y не является одинарной связью или неразветвленной C1-C10 алкиленовой группой, их фармакологически приемлемым солям. Соединения обладают иммунодепрессивной активностью. Описаны также фармачевтическая композиция на основе соединения I, промежуточные соединения в синтезе соединений I, способ получения промежуточных соединений и способ профилактики или лечения ревматоидного артрита. 5 н. и 68 з.п. ф-лы, 6 табл.
Область техники, к которой относится изобретение
Настоящее изобретение относится к производным аминоспиртов, обладающим высокой иммунодепрессивной активностью, их фармакологически приемлемым солям, их сложным эфирам или другим их производным, к фармацевтическим композициям, содержащим указанные соединения в качестве активного компонента, к применению указанных соединений для получения указанных фармацевтических композиций и к способам профилактики или лечения аутоиммунных заболеваний, включающим введение фармакологически эффективного количества указанного соединения теплокровным животным, нуждающимся в такой профилактике или таком лечении.
В другом аспекте настоящее изобретение относится к оптически активным новым производным аминоспиртов (в частности, оптически активным 4,4-дизамещенным производным оксазолидин-2-она), которые являются полезными синтетическими промежуточными соединениями для получения указанных производных аминоспиртов или других лекарственных средств.
В еще одном аспекте настоящее изобретение относится к новым способам высокоизбирательного получения оптически активных 2-замещенных производных сложных моноэфиров 2-амино-1,3-пропандиола, являющихся полезными синтетическими промежуточными соединениями для получения указанных производных аминоспиртов в оптически активной форме.
Предпосылки создания изобретения
В качестве терапевтических средств для воспалительных реакций, вызываемых патологическими иммунологическими реакциями при заболеваниях, связанных с иммунной системой, таких как ревматоидный артрит и другие аутоиммунные заболевания, уже использовали стероиды или противовоспалительные лекарственные средства. Но эти средства улучшают симптомы, но не лечат причины заболеваний.
Уже были сообщения о том, что патологические иммунологические реакции способствуют патогенезу сахарного диабета и нефрита [Kidney International, 51, 94 (1997); Journal of Immunology, 157, 4691 (1996)], но еще не были когда-либо разработаны средства для улучшения аномальных иммунологических реакций.
С другой стороны, создание иммунодепрессантов важно для предупреждения иммунологического отторжения при трансплантации органов или для профилактики или лечения аутоиммунных заболеваний. Но известно, что существующие иммунодепрессанты, такие как циклоспорин A (Csa) и такролимус (TRL), нефро- и гепатотоксичны. Хотя для снижения указанных вредных эффектов иммунодепрессантов вместе с ними вводили стероиды, но иммунодепрессивные эффекты не могли быть достаточно удовлетворительно обеспечены без вредных воздействий.
С учетом указанных предпосылок было сделано много попыток найти соединения с высокими иммунодепрессивными эффектами при низкой токсичности.
В качестве иммунодепрессивных средств известны следующие соединения:
(1) В описании к WО 94/08943 (ЕР627406) раскрыты в качестве иммунодепрессивных средств соединения формулы (а):
где R представляет неразветвленную или разветвленную углеродную цепь, которая может содержать группу, выбранную из группы, состоящей из двойной связи, тройной связи, атома кислорода, атома серы, -N(R6)- (где R6 представляет атом водорода), необязательно замещенного арилена, необязательно замещенного гетероарилена или тому подобное, и которая может быть замещенной на ее конце необязательно замещенным арилом, необязательно замещенным циклоалкилом, необязательно замещенным гетероарилом или тому подобное, и R2, R3, R4, R5 являются одинаковыми или различными и представляют каждый атом водорода, алкильную группу или тому подобное.
Соединения формулы (а) имеют в качестве существенных групп две оксиметильные группы (-CH2OR4 и –CH2OR5). А соединения по настоящему изобретению имеют группу –CH2OR3 и низшую алкильную группу и отличаются от соединений формулы (а) указанными заместителями.
В указанном описании типичные соединения, подобные соединениям формулы (I) по настоящему изобретению, не раскрыты вообще. Лишь следующие два соединения из соединений формулы (а) очень похожи по химической структуре на соединения формулы (I) по настоящему изобретению:
2) В описании к WО 96/06068 раскрыты как иммунодепрессивные средства соединения формулы (b):
где R1, R2 и R3 представляют каждый атом водорода или тому подобное, W представляет атом водорода, алкильную группу или тому подобное, Z представляет одинарную связь или алкиленовую группу, Х представляет атом водорода или алкоксигруппу, Y представляет атом водорода, алкильную, алкокси-, ацильную, ацилокси-, амино-, ациламиногруппу или тому подобное.
Соединения формулы (b) обязательно имеют в качестве базового скелета фенильную группу. Соединения формулы (I) по настоящему изобретению имеют вместо фенильной группы соединений формулы (b) тиофеновую группу и отличаются от соединений формулы (b) базовым скелетом.
В указанном описании типичные соединения, подобные соединениям формулы (I) по настоящему изобретению, не раскрыты вообще. Лишь следующие три соединения из соединений формулы (b) очень похожи по химической структуре на соединения формулы (I) по настоящему изобретению:
(3) В описании к WО 98/45249 раскрыты как иммунодепрессивные средства соединения формулы (с):
где R1, R2, R3, R4 являются одинаковыми или различными и представляют каждый атом водорода или ацильную группу.
Соединения формулы (с) имеют в качестве незаменимых замещающих групп две оксиметильные группы (-CH2OR3 и –CH2OR4). Соединения по настоящему изобретению имеют группу –CH2OR3 и низшую алкильную группу и отличаются от соединений формулы (а) указанными заместителями. Соединения формулы (с) имеют в качестве базового скелета фенильную группу между -(CH2)2– и -СО(СН2)4-. Соединения формулы (I) по настоящему изобретению имеют вместо фенильной группы соединений формулы (с) тиофеновую группу. Предлагаемые соединения формулы (I) также отличаются от соединений формулы (с) базовым скелетом.
Соединения формулы (с) имеют лишь фенильную группу на конце группы -СО-(СН2)4-. Соединения формулы (I) по настоящему изобретению могут иметь фенильную группу, циклоалкильную группу или гетероциклическую группу на конце молекулы.
В указанном описании типичные соединения, подобные соединениям формулы (I) по настоящему изобретению, не раскрыты вообще. Лишь следующие три соединения из соединений формулы (с) очень похожи по химической структуре на соединения формулы (I) по настоящему изобретению:
С другой стороны, различные оптически активные производные замещенных аминокислот и замещенных аминоспиртов (в частности, производные
-замещенных аминокислот и
где R1 и R2 являются одинаковыми или различными и представляют каждый атом водорода или аминозащитную группу;
R3 представляет атом водорода или гидроксизащитную группу;
R4 представляет низшую алкильную группу;
n представляет целое число от 1 до 6;
Х представляет этиленовую группу, виниленовую группу, этиниленовую группу, группу формулы -D-CH2– (где D представляет карбонильную группу, группу формулы -СН(ОН)-, атом кислорода, атом серы или атом азота), арильную группу или арильную группу, замещенную 1-3 заместителями, выбранными из группы а заместителей;
Y представляет одинарную связь, C1-С10алкиленовую группу, C1-С10алкиленовую группу, замещенную 1-3 заместителями, выбранными из групп а и b заместителей, С1-С10алкиленовую группу, содержащую атом кислорода или атом серы в указанной углеродной цепи или на конце указанной углеродной цепи, или C1-С10алкиленовую группу, замещенную 1-3 заместителями, выбранными из групп а и b заместителей, и содержащую атом кислорода или атом серы в указанной углеродной цепи или на конце указанной углеродной цепи;
R5 представляет атом водорода, циклоалкильную группу, арильную группу, гетероциклическую группу, циклоалкильную группу, замещенную 1-3 заместителями, выбранными из групп а и b заместителей, арильную группу, замещенную 1-3 заместителями, выбранными из групп а и b заместителей, или гетероциклическую группу, замещенную 1-3 заместителями, выбранными из групп а и b заместителей;
R6 и R7 являются одинаковыми или различными и представляют каждый атом водорода или группу, выбранную из группы а заместителей;
при условии, что когда R5 представляет атом водорода, то Y не является одинарной связью или неразветвленной C1-С10алкиленовой группой;
группа а заместителей состоит из атома галогена, низшей алкильной группы, галогенированной низшей алкильной группы, низшей алкоксигруппы, низшей алкилтиогруппы, карбоксильной группы, низшей алкоксикарбонильной группы, гидроксильной группы, низшей алифатической ацильной группы, аминогруппы, низшей моноалкиламиногруппы, низшей диалкиламиногруппы, низшей алифатической ациламиногруппы, цианогруппы и нитрогруппы;
группа b заместителей состоит из циклоалкильной группы, арильной группы, гетероциклической группы, циклоалкильной группы, замещенной 1-3 заместителями, выбранными из группы а заместителей, арильной группы, замещенной 1-3 заместителями, выбранными из группы а заместителей, и гетероциклической группы, замещенной 1-3 заместителями, выбранными из группы а заместителей.
Из указанных соединений, описанных в пункте (1), предпочтительные соединения включают:
(2) соединение по пункту (1), где указанное соединение имеет формулу (Iа), его фармакологически приемлемая соль, сложный эфир или другое его производное
(3) соединение по пункту (1), где указанное соединение имеет формулу (Ib), его фармакологически приемлемая соль, сложный эфир или другое его производное
(4) соединение по любому из пунктов (1)-(3), где R1 и R2 являются одинаковыми или различными и представляют каждый атом водорода, низшую алкоксикарбонильную группу, аралкилоксикарбонильную группу или аралкилоксикарбонильную группу, замещенную 1-3 заместителями, выбранными из группы а заместителей, или его фармакологически приемлемая соль;
(5) соединение по любому из пунктов (1)-(3), где каждый из R1 и R2 представляет атом водорода, или его фармакологически приемлемая соль;
(6) соединение по любому из пунктов (1)-(5), где R3 представляет атом водорода, низшую алкильную группу, низшую алифатическую ацильнуго группу, ароматическую ацильную группу или ароматическую ацильную группу, замещенную 1-3 заместителями, выбранными из группы а заместителей, или его фармакологически приемлемая соль;
(7) соединение по любому из пунктов (1)-(5), где R3 представляет атом водорода, или его фармакологически приемлемая соль;
(8) соединение по любому из пунктов (1)-(7), где R4 представляет С1-С4алкильную группу, или его фармакологически приемлемая соль;
(9) соединение по любому из пунктов (1)-(7), где R4 представляет C1-С2алкильную группу, или его фармакологически приемлемая соль;
(10) соединение по любому из пунктов (1)-(7), где R4 представляет метильную группу, или его фармакологически приемлемая соль;
(11) соединение по любому из пунктов (1)-(10), где п равно 2 или 3, или его фармакологически приемлемая соль;
(12) соединение по любому из пунктов (1)-(10), где п равно 2, или его фармакологически приемлемая соль;
(13) соединение по любому из пунктов (1)-(12), где Х представляет этиленовую группу, этиниленовую группу, арильную группу или арильную группу, замещенную 1-3 заместителями, выбранными из группы а заместителей, или его фармакологически приемлемая соль;
(14) соединение по любому из пунктов (1)-(12), где Х представляет этиленовую группу, или его фармакологически приемлемая соль;
(15) соединение по любому из пунктов (1)-(12), где Х представляет этиниленовую группу, или его фармакологически приемлемая соль;
(16) соединение по любому из пунктов (1)-(12), где Х представляет группу формулы -D-CH2-, или его фармакологически приемлемая соль;
(17) соединение по любому из пунктов (1)-(12), где Х представляет группу формулы -D-CH2– (где D представляет карбонильную группу или группу формулы -СН(ОН)-), или его фармакологически приемлемая соль;
(18) соединение по любому из пунктов (1)-(17), где Y представляет C1-С10алкиленовую группу или C1-С10алкиленовую группу, замещенную 1-3 заместителями, выбранными из групп а и b заместителей, или его фармакологически приемлемая соль;
(19) соединение по любому из пунктов (1)-(17), где Y представляет C1-С6алкиленовую группу или C1-С6алкиленовую группу, замещенную 1-3 заместителями, выбранными из групп а и b заместителей, или его фармакологически приемлемая соль;
(20) соединение по любому из пунктов (1)-(17), где Y представляет этиленовую группу, триметиленовую группу, тетраметиленовую группу, этиленовую группу, замещенную 1-3 заместителями, выбранными из групп а и b заместителей, триметиленовую группу, замещенную 1-3 заместителями, выбранными из групп а и b заместителей, или тетраметиленовую группу, замещенную 1-3 заместителями, выбранными из групп а и b заместителей, или его фармакологически приемлемая соль;
(21) соединение по любому из пунктов (1)-(17), где Y представляет этиленовую группу, триметиленовую группу или тетраметиленовую группу, или его фармакологически приемлемая соль;
(22) соединение по любому из пунктов (1)-(17), где Y представляет этиленовую группу или триметиленовую группу, или его фармакологически приемлемая соль;
(23) соединение по любому из пунктов (1)-(17), где Y представляет C1-С10алкиленовую группу, содержащую атом кислорода или атом серы в указанной углеродной цепи или на конце указанной углеродной цепи, или C1-С10алкиленовую группу, замещенную 1-3 заместителями, выбранными из групп а и b заместителей, и содержащую атом кислорода или атом серы в указанной углеродной цепи или на конце указанной углеродной цепи, или его фармакологически приемлемая соль;
(24) соединение по любому из пунктов (1)-(17), где Y представляет C1-С10алкиленовую группу, содержащую атом кислорода или атом серы в указанной углеродной цепи или на конце указанной углеродной цепи, или его фармакологически приемлемая соль;
(25) соединение по любому из пунктов (1)-(17), где Y представляет C1-С10алкиленовую группу, содержащую атом кислорода в указанной углеродной цепи или на конце указанной углеродной цепи, или его фармакологически приемлемая соль;
(26) соединение по любому из пунктов (1)-(17), где Y представляет C1-C6 алкиленовую группу, содержащую атом кислорода в указанной углеродной цепи или на конце указанной углеродной цепи, или его фармакологически приемлемая соль;
(27) соединение по любому из пунктов (1)-(17), где Y представляет группу формулы -О-СН2-, -O-(СН2)2-, -O-(СН2)3-, -СН2-O-, -(СН2)2-O- или -(СН2)3-O-, или его фармакологически приемлемая соль;
(28) соединение по любому из пунктов (1)-(17), где Y представляет группу формулы -СН2-O-, или его фармакологически приемлемая соль;
(29) соединение по любому из пунктов (1)-(17), где Y представляет группу формулы -O-(СН2)2– или (СН2)2-O-, или его фармакологически приемлемая соль;
(30) соединение по любому из пунктов (1)-(29), где R5 представляет атом водорода, или его фармакологически приемлемая соль;
(31) соединение по любому из пунктов (1)-(29), где R5 представляет циклоалкильную группу, гетероцикличесую группу, циклоалкильную группу, замещенную 1-3 заместителями, выбранными из групп а и b заместителей, или гетероциклическую группу, замещенную 1-3 заместителями, выбранными из групп а и b заместителей, или его фармакологически приемлемая соль;
(32) соединение по любому из пунктов (1)-(29), где R5 представляет циклоалкильную группу или циклоалкильную группу, замещенную 1-3 заместителями, выбранными из групп а и b заместителей, или его фармакологически приемлемая соль;
(33) соединение по любому из пунктов (1)-(29), где R5 представляет циклоалкильную группу, или его фармакологически приемлемая соль;
(34) соединение по любому из пунктов (1)-(29), где R5 представляет циклогексильную группу, или его фармакологически приемлемая соль;
(35) соединение по любому из пунктов (1)-(29), где R5 представляет арильную группу или арильную группу, замещенную 1-3 заместителями, выбранными из групп а и b заместителей, или его фармакологически приемлемая соль;
(36) соединение по любому из пунктов (1)-(29), где R5 представляет арильную группу или арильную группу, замещенную 1-3 заместителями (указанный заместитель выбран из группы, состоящей из атома галогена, низшей алкильной группы, галогенированной низшей алкильной группы, низшей алкоксигруппы, низшей алкилтиогруппы и низшей алифатической ацильной группы), или его фармакологически приемлемая соль;
(37) соединение по любому из пунктов (1)-(29), где R5 представляет арильную группу или арильную группу, замещенную 1-3 заместителями (указанный заместитель выбран из группы, состоящей из атома галогена, низшей алкильной группы, галогенированной низшей алкильной группы, низшей алкоксигруппы и низшей алифатической ацильной группы), или его фармакологически приемлемая соль;
(38) соединение по любому из пунктов (1)-(29), где R5 представляет фенильную группу или фенильную группу, замещенную 1-3 заместителями (указанный заместитель выбран из группы, состоящей из атома галогена, низшей алкильной группы, галогенированной низшей алкильной группы, низшей алкоксигруппы и низшей алифатической ацильной группы), или его фармакологически приемлемая соль;
(39) соединение по любому из пунктов (1)-(29), где R5 представляет фенильную группу или фенильную группу, замещенную 1-3 заместителями (указанный заместитель выбран из группы, состоящей из атома фтора, атома хлора, метила, трифторметила, метокси и ацетильной групы), или его фармакологически приемлемая соль;
(40) соединение по любому из пунктов (1)-(29), где R5 представляет фенил, 3-фторфенил, 4-фторфенил, 3,4-дифторфенил, 3,5-дифторфенил, 3-хлорфенил, 4-хлорфенил, 3,4-дихлорфенил, 3,5-дихлорфенил, 3-метилфенил, 4-метилфенил, 3,4-диметилфенил, 3,5-диметилфенил, 3-трифторметилфенил, 4-трифторметилфенил, 3,4-дитрифторметилфенил, 3,5-дитрифторметилфенил, 3-метоксифенил, 4-метоксифенил, 3,4-диметоксифенил, 3,5-диметоксифенил, 3,4,5-триметоксифенил, 3-ацетилфенил или 4-ацетилфенил, или его фармакологически приемлемая соль;
(41) соединение по любому из пунктов (1)-(40), где R6 и R7 являются одинаковыми или различными и представляют каждый атом водорода, атом галогена, низшую алкильную группу, галогенированную низшую алкильную группу, низшую алкоксигруппу или низшую алкилтиогруппу, или его фармакологически приемлемая соль;
(42) соединение по любому из пунктов (1)-(40), где каждый из R6 и R7 представляет атом водорода, или его фармакологически приемлемая соль;
(43) соединение по пункту (1), где указанное соединение, его фармакологически приемлемая соль, сложный эфир или другое его производное выбрано из следующих соединений, включающих:
2-амино-2-метил-4-[5-(6-циклогексилгексил)тиофен-2-ил]бутан-1-ол,
2-амино-2-метил-4-[5-(5-циклогексилпентил)тиофен-2-ил]бутан-1-ол,
2-амино-2-метил-4-[5-(4-циклогексилбутил)тиофен-2-ил]бутан-1-ол,
2-амино-2-метил-4-[5-(6-циклогексилгекс-1-инил)тиофен-2-ил]бутан-1-ол,
2-амино-2-метил-4-[5-(5-циклогексилпент-1-инил)тиофен-2-ил]бутан-1-ол,
2-амино-2-метил-4-[5-(4-циклогексилбут-1-инил)тиофен-2-ил]бутан-1-ол,
2-амино-2-метил-4-[5-(6-циклогексилгексаноил)тиофен-2-ил]бутан-1-ол,
2-амино-2-метил-4-[5-(5-циклогексилпентаноил)тиофен-2-ил]бутан-1-ол,
2-амино-2-метил-4-[5-(4-циклогексилбутаноил)тиофен-2-ил]бутан-1-ол,
2-амино-2-этил-4-[5-(6-циклогексилгексил)тиофен-2-ил]бутан-1-ол,
2-амино-2-этил-4-[5-(5-циклогексилпентил)тиофен-2-ил]бутан-1-ол,
2-амино-2-этил-4-[5-(4-циклогексилбутил)тиофен-2-ил]бутан-1-ол,
2-амино-2-этил-4-[5-(6-циклогексилгекс-1-инил)тиофен-2-ил]бутан-1-ол,
2-амино-2-этил-4-[5-(5-циклогексилпент-1-инил)тиофен-2-ил]бутан-1-ол,
2-амино-2-этил-4-[5-(4-циклогексилбут-1-инил)тиофен-2-ил]бутан-1-ол,
2-амино-2-этил-4-[5-(6-циклогексилгексаноил)тиофен-2-ил]бутан-1-ол,
2-амино-2-этил-4-[5-(5-циклогексилпентаноил)тиофен-2-ил]бутан-1-oл,
2-амино-2-этил-4-[5-(4-циклогексилбутаноил)тиофен-2-ил]бутан-1-ол,
2-амино-2-метил-4-[5-(6-фенилгексил)тиофен-2-ил]бутан-1-ол,
2-амино-2-метил-4-[5-(5-фенилпентил)тиофен-2-ил]бутан-1-ол,
2-амино-2-метил-4-[5-(4-фенилбутил)тиофен-2-ил]бутан-1-ол,
2-амино-2-метил-4-[5-(6-фенилгекс-1-инил)тиофен-2-ил]бутан-1-ол,
2-амино-2-метил-4-[5-(5-фенилпент-1-инил)тиофен-2-ил]бутан-1-ол,
2-амино-2-метил-4-[5-(4-фенилбут-1-инил)тиофен-2-ил]бутан-1-ол,
2-амино-2-метил-4-[5-(6-фенилгексаноил)тиофен-2-ил]бутан-1-ол,
2-амино-2-метил-4-[5-(5-фенилпентаноил)тиофен-2-ил]бутан-1-ол,
2-амино-2-метил-4-[5-(4-фенилбутаноил)тиофен-2-ил]бутан-1-ол
2-амино-2-метил-4-[5-(5-циклогексилоксипент-1-инил)тиофен-2-ил] бутан-1-ол,
2-амино-2-метил-4-[5-(4-циклогексилоксибут-1-инил)тиофен-2-ил]бутан-1-ол,
2-амино-2-метил-4-[5-(3-циклогексилоксипропинил)тиофен-2-ил]бутан-1-ол,
2-амино-2-метил-4-[5-(5-циклогексилоксипентил)тиофен-2-ил]бутан-1-ол,
2-амино-2-метил-4-[5-(4-циклогексилоксибутил)тиофен-2-ил]бутан-1-ол,
2-амино-2-метил-4-[5-(3-циклогексилоксипропил)тиофен-2-ил]бутан-1-ол,
2-амино-2-метил-4-[5-(5-циклогексилоксипентаноил)тиофен-2-ил]бутан-1-ол,
2-амино-2-метил-4-[5-(4-циклогексилоксибутаноил)тиофен-2-ил]бутан-1-ол,
2-амино-2-метил-4-[5-(3-циклогексилоксипропаноил)тиофен-2-ил]бутан-1-ол,
2-амино-2-метил-4-[5-(5-феноксипент-1-инил)тиофен-2-ил]бутан-1-ол,
2-амино-2-метил-4-[5-(4-феноксибут-1-инил)тиофен-2-ил]бутан-1-ол,
2-амино-2-метил-4-[5-(3-феноксипропинил)тиофен-2-ил]бутан-1-ол,
2-амино-2-метил-4-[5-(5-феноксипентил)тиофен-2-ил]бутан-1-ол
2-амино-2-метил-4-[5-(4-феноксибутил)тиофен-2-ил]бутан-1-ол,
2-амино-2-метил-4-[5-(3-феноксипропил)тиофен-2-ил]бутан-1-ол
2-амино-2-метил-4-[5-(5-феноксипентаноил)тиофен-2-ил]бутан-1-ол,
2-амино-2-метил-4-[5-(4-феноксибутаноил) тиофен-2-ил] бутан-1-ол,
2-амино-2-метил-4-[5-(3-феноксипропаноил)тиофен-2-ил]бутан-1-ол,
2-амино-2-метил-4-[5-(4-бензилоксифенил)тиофен-2-ил]бутан-1-ол,
2-амино-2-метил-4-[5-(4-циклогексилметоксифенил)тиофен-2-ил]бутан-1-ол,
2-амино-2-метил-4-[5-(4-циклогексилэтоксифенил)тиофен-2-ил]бутан-1-ол,
2-амино-2-метил-4-[5-(3-циклогексилметоксипропинил)тиофен-2-ил] бутан-1-ол,
2-амино-2-метил-4-[5-(3-циклогексилметоксипропил)тиофен-2-ил]бутан-1-ол и
2-амино-2-метил-4-[5-(3-циклогексилметоксипропаноил)тиофен-2-ил] бутан-1-ол;
(44) соединение по пункту (1), где указанное соединение, его фармакологически приемлемая соль, сложный эфир или другое его производное выбрано из следующих соединений, включающих:
2-амино-2-метил-4-[5-(4-циклогексилбутил)тиофен-2-ил]бутан-1-ол,
2-амино-2-метил-4-[5-(5-циклогексилпентил)тиофен-2-ил]бутан-1-ол,
2-амино-2-метил-4-[5-(5-фенилпентил)тиофен-2-ил]бутан-1-ол,
2-амино-2-метил-4-[5-(4-циклогексилоксибутил)тиофен-2-ил]бутан-1-ол,
2-амино-2-метил-4-{5-[4-(4-фторфенокси)бутил]тиофен-2-ил}бутан-1-ол,
2-амино-2-метил-4-{5-[4-(4-метоксифенокси)бутил]тиофен-2-ил}бутан-1-ол,
2-амино-2-метил-4-[5-(4-бензилоксибутил)тиофен-2-ил]бутан-1-ол,
2-амино-2-метил-4-[5-(4-циклогексилбут-1-инил)тиофен-2-ол]бутан-1-ол,
2-амино-2-метил-4-[5-(4-фенилбут-1-инил)тиофен-2-ил]бутан-1-ол,
2-амино-2-метил-4-[5-(5-циклогексилпент-1-инил)тиофен-2-ил]бутан-1-ол,
2-амино-2-метил-4-[5-(5-фенилпент-1-инил)тиофен-2-ил]бутан-1-ол,
2-амино-2-метил-4-{5-[5-(4-фторфенил)пент-1-инил]тиофен-2-ил}бутан-1-ол,
2-амино-2-метил-4-{5-[5-(4-метоксифенил)пент-1-инил]тиофен-2-ил}бутан-1-ол,
2-амино-2-метил-4-{5-[3-(4-метилциклогексилокси)пропинил]тиофен-2-ил}бутан-1-ол,
2-амино-2-метил-4-{5-[3-(4-метилфенокси)пропинил]тиофен-2-ил}бутан-1-ол,
2-амино-2-метил-4-{5-[3-(4-этилфенокси)пропинил]тиофен-2-ил}бутан-1-ол,
2-амино-2-метил-4-{5-[3-(4-метилтиофенокси)пропинил]тиофен-2-ил}бутан-1-ол,
2-амино-2-метил-4-[5-(4-циклогексилоксибут-1-инил)тиофен-2-ил]бутан-1-ол,
2-амино-2-метил-4-{5-[4-(4-фторфенокси)бут-1-инил]тиофен-2-ил}бутан-1-ол,
2-амино-2-метил-4-{5-[4-(4-метилфенокси)бут-1-инил]тиофен-2-ил}бутан-1-ол,
2-амино-2-метил-4-[5-(3-циклогексилметоксипропинил)тиофен-2-ил]бутан-1-ол,
2-амино-2-метил-4-[5-(4-фенилметоксибут-1-инил)тиофен-2-ил]бутан-1-ол,
2-амино-2-метил-4-[5-(4-циклогексилбутаноил)тиофен-2-ил]бутан-1-ол,
2-амино-2-метил-4-[5-(4-фенилбутаноил)тиофен-2-ил]бутан-1-ол
2-амино-2-метил-4-[5-(5-циклогексилпентаноил)тиофен-2-ил]бутан-1-ол,
2-амино-2-метил-4-[5-(5-фенилпентаноил)тиофен-2-ил]бутан-1-ол,
2-амино-2-метил-4-{5-[5-(4-фторфенил)пентаноил]тиофен-2-ил}бутан-1-ол,
2-амино-2-этил-4-[5-(5-циклогексилпентил)тиофен-2-ил]бутан-1-ол,
2-амино-2-этил-4-[5-(5-циклогексилпент-1-инил)тиофен-2-ил]бутан-1-ол,
2-амино-2-этил-4-[5-(5-циклогексилпентаноил)тиофен-2-ил]бутан-1-ол,
2-амино-2-метил-4-{5-[3-(4-хлорфенокси)пропинил]тиофен-2-ил}бутан-1-ол,
2-амино-2-метил-4-{5-[3-(3-метилфенокси)пропинил]тиофен-2-ил}бутан-1-ол,
2-амино-2-метил-4-{5-[3-(3,4-диметилфенокси)пропинил]тиофен-2-ил}бутан-1-ол,
2-амино-2-метил-4-{5-[3-(3-метоксифенокси)пропинил]тиофен-2-ил }бутан-1-ол,
2-амино-2-метил-4-{5-[3-(3,4-диметоксифенокси)пропинил]тиофен-2-ил}бутан-1-ол,
2-амино-2-метил-4-{5-[3-(3,5-диметоксифенокси)пропинил]тиофен-2-ил}бутан-1-ол,
2-амино-2-метил-4-{5-[3-(3-ацетилфенокси)пропинил]тиофен-2-ил}бутан-1-ол и
2-амино-2-метил-4-{5-[3-(4-ацетилфенокси)пропинил]тиофен-2-ил}бутан-1-ол.
Предпочтительные соединения формулы (I) включают также соединения, содержащие комбинацию одной группы, выбранной из каждой из групп, состоящих из (2) и (3), (4) и (5), (6) и (7), (8)-(10), (11) и (12), (13)-(17), (18)-(29), (30)-(40) и (41) и (42).
(45) Настоящее изобретение включает оптически активное производное аминоспирта формулы (La) или (Lb):
где R1 и R2 являются одинаковыми или различными и представляет каждый атом водорода или аминозащитную группу;
R3a представляет атом водорода или гидроксизащитную группу или, когда R1 представляет атом водорода, R2 и R3а, взятые вместе, образуют группу формулы -(С=O)-;
R4а представляет С1-С20алкильную группу, С2-С20алкильную группу, прерванную гетероатомом(ами), С1-С20алкильную группу, замещенную арильной группой(ами) или гетероарильной группой (ами), С2-С20алкинильную группу, С3-С20алкинильную группу, прерванную гетероатомом(ами), С2-С20алкинильную группу, замещенную арильной группой(ами) или гетероарильной группой (ами), С2-С20алкенильную группу, С3-С20алкенильную группу, прерванную гетероатомом(ами), С2-С20алкенильную группу, замещенную арильной группой(ами) или гетероарильной группой(ами), С2-С20алкильную группу, замещенную арильной группой(ами) или гетероарильной группой(ами) и прерванную гетероатомом(ами), или циклоалкильную группу;
m представляет целое число от 0 до 4;
Аr представляет арильную группу, гетероарильную группу, арильную группу, замещенную 1-5 заместителями, выбранными из группы а заместителей, гетероарильную группу, замещенную 1-5 заместителями, выбранными из группы а заместителей, при условии, что когда Аr представляет арильную группу, то R1 не является атомом водорода и R2 и/или R3а не представляют атом водорода;
группа а заместителей включает атом галогена, низшую алкильную группу, галогенированную низшую алкильную группу, низшую алкоксигруппу, низшую алкилтиогруппу, карбоксильную группу, низшую алкоксикарбонильную группу, гидроксильную группу, низшую алифатическую ацильную группу, аминогруппу, низшую моноалкиламиногруппу, низшую диалкиламиногруппу, низшую алифатическую ациламиногруппу, цианогруппу и нитрогруппу.
Предпочтительные соединения формулы (La) или (Lb) включают следующие соединения:
(46) соединение по пункту (45), где указанное соединение имеет формулу (La);
(47) соединение по пункту (45) или (46), где R1 представляет атом водорода;
(48) соединение по любому из пунктов (45)-(47), где R2 и R3а, взятые вместе, образуют группу формулы -(С=O)-;
(49) соединение по любому из пунктов (45)-(47), где R3а представляет атом водорода;
(50) соединение по любому из пунктов (45)-(49), где R4а представляет C1-С10алкильную группу, С2-С10 алкильную группу, прерванную гетероатомом(ами), C1-С10алкильную группу, замещенную арильной группой(ами) или гетероарильной группой(ами), С2-С10алкинильную группу, С3-С10алкинильную группу, прерванную гетероатомом(ами), С2-С10алкинильную группу, замещенную арильной группой(ами) или гетероарильной группой(ами), С2-С10алкенильную группу, С3-С10алкенильную группу, прерванную гетероатомом(ами), С2-С10алкенильную группу, замещенную арильной группой(ами) или гетероарильной группой(ами), С2-С10алкильную группу, замещенную арильной группой(ами) или гетероарильной группой(ами) и прерванную гетероатомом(ами), или С5-С10циклоалкильную группу;
(51) соединение по любому из пунктов (45)-(49), где R4а представляет C1-С10алкильную группу, С2-С10алкильную группу, прерванную гетероатомом(ами), С1-С10алкильную группу, замещенную арильной группой(ами) или гетероарильной группой(ами), С2-С10алкинильную группу, С2-С10алкенильную группу или С5-С10циклоалкильную группу;
(52) соединение по любому из пунктов (45)-(49), где R4a представляет C1-С10алкильную группу;
(53) соединение по любому из пунктов (45)-(49), где R4a представляет С1-С6алкильную группу;
(54) соединение по любому из пунктов (45)-(49), где R4a представляет метильную группу или этильную группу;
(55) соединение по любому из пунктов (45)-(54), где Аr представляет фенильную, фурильную, тиенильную или бензотиенильную группу, причем указанные группы являются необязательно замещенными 1-4 заместителями, выбранными из группы а заместителей;
(56) соединение по любому из пунктов (45)-(54), где Аr представляет тиенильную группу или тиенильную группу, замещенную 1-4 заместителями, выбранными из группы а заместителей;
(57) соединение по любому из пунктов (45)-(54), где Аr представляет бензотиенильную группу или бензотиенильную группу, замещенную 1-4 заместителями, выбранными из группы а заместителей;
(58) соединение по пунктам (45)-(57), где m равно 0;
(59) соединение по любому из пунктов (45)-(57), где группа а заместителей представляет собой атом галогена, гидроксильную группу, низшую алкильную группу, галогенированную низшую алкильную группу, низшую алкоксигруппу, карбоксильную группу, низшую алифатическую ацильную группу, низшую алифатическую ациламиногруппу, аминогруппу, цианогруппу или нитрогруппу;
(60) Настоящее изобретение относится к способу получения соединения формулы (XLIVa) или (XLIVb):
где R1 и R2 являются одинаковыми или различными и представляют каждый атом водорода или аминозащитную группу;
R4а представляет С1-С20алкильную группу, С2-С20алкильную группу, прерванную гетероатомом(ами), С1-С20алкильную группу, замещенную арильной группой(ами) или гетероарильной группой (ами), С2-С20алкинильную группу, С3-С20алкинильную группу, прерванную гетероатомом(ами), С2-С20алкинильную группу, замещенную арильной группой(ами) или гетероарильной группой (ами), С2-С20алкенильную группу, С3-С20алкенильную группу, прерванную гетероатомом(ами), С2-С20алкенильную группу, замещенную арильной группой(ами) или гетероарильной группой(ами), С2-С20алкильную группу, замещенную арильной группой(ами) или гетероарильной группой(ами) и прерванную гетероатомом(ами), или циклоалкильную группу; и
R11 имеет такое же значение, как указанно выше для R4a.
Способ включает проведение реакции избирательного ацилирования одной гидроксильной группы 2-замещенного производного 2-амино-1,3-пропандиола формулы (XLII)
(где R1, R2 и R4a имеют указанные выше значения)
с производным сложного эфира карбоновой кислоты формулы (XLIII)
R11COOCH=CH2 (XLIII)
(где R11 имеет указанные выше значения)
в присутствии липазы с получением 2-замещенного производного сложного моноэфира 2-амино-1,3-пропандиола формулы (XLIVa) или (XLIVb);
(61) способ получения по пункту (60), где один из R1 и R2 представляет атом водорода, а другой – аминозащитную группу;
(62) способ получения по пункту (60) или (61), где R4a представляет C1-С10алкильную группу, С2-С10алкильную группу, прерванную гетероатомом(ами), C1-С10алкильную группу, замещенную арильной группой(ами) или гетероарильной группой(ами), С2-С10алкинильную группу, С3-С10алкинильную группу, прерванную гетероатомом(ами), С2-С10алкинильную группу, замещенную арильной группой (ами) или гетероарилыюй группой(ами), С2-С10алкенильную группу, С3-С10алкенильную группу, прерванную гетероатомом(ами), С2-С10алкенильную группу, замещенную арильной группой(ами) или гетероарильной группой(ами), С2-С10алкильную группу, замещенную арильной группой(ами) или гетероарильной группой(ами) и прерванную гетероатомом(ами), или С5-С10циклоалкильную группу;
(63) способ получения по пункту (60) или (61), где R4a представляет C1-С10алкильную группу, С2-С10алкильную группу, прерванную гетероатомом(ами), C1-С10алкильную группу, замещенную арильной группой(ами) или гетероарильной группой(ами), С2-С10алкинильную группу, С2-С10алкенильную группу или С5-С10циклоалкильную группу;
(64) способ получения по пунктам (60) или (63), где R11 представляет С1-С20алкильную группу или С1-С20алкильную группу, замещенную арильной группой(ами) или гетероарильной группой (ами).
В приведенных выше формулах “арильная группа” и “арильная часть” арильной группы, замещенной 1-3 заместителями, выбранными из группы а заместителей, арильной группы, замещенной 1-3 заместителями, выбранными из групп а и b заместителей, и арильной группы, замещенной 1-5 заместителями, выбранными из группы а заместителей в определении X, R5, Аr и группы b заместителей, представляют собой каждая, например, ароматическую углеводородную группу, имеющую 6-10 углеродных атомов, такую как фенильная, инденильная и нафтильная группы, предпочтительно фенильная или нафтильная группа, а наиболее предпочтительно фенильная группа.
В приведенных выше формулах “алкиленовая группа” и “алкиленовая часть” C1-С10алкиленовой группы, замещенной 1-3 заместителями, выбранными из группы а заместителей в определении Y, означают, каждая, неразветвленный или разветвленный алкилен, имеющий 1-10 углеродных атомов, такой как метилен, метилметилен, этилен, пропилен, триметилен, 1-метилэтилен, тетраметилен, 1-метилтриметилен, 2-метилтриметилен, 3-метилтриметилен, 1-метилпропилен, 1,1-диметилэтилен, пентаметилен, 1-метилтетраметилен, 2-метилтетраметилен, 3-метилтетраметилен, 4-метилтетраметилен, 1,1-диметилтриметилен, 2,2-диметилтриметилен, 3,3-диметилтриметилен, гексаметилен, 1-метилпентаметилен, 2-метилпентаметилен, 3-метилпентаметилен, 4-метилпентаметилен, 5-метилпентаметилен, 1,1-диметилтетраметилен, 2,2-диметилтетраметилен, 3,3-диметилтетраметилен, 4,4-диметилтетраметилен, гептаметилен, 1-метилгексаметилен, 2-метилгексаметилен, 5-метилгексаметилен, 3-этилпентаметилен, октаметилен, 2-метилгептаметилен, 5-метилгептаметилен, 2-этилгексаметилен, 2-этил-3-метилпентаметилен, 3-этил-2-метилпентаметилен, нонаметилен, 2-метилоктаметилен, 7-метилоктаметилен, 4-этилгептаметилен, 3-этил-2-метилгексаметилен, 2-этил-1-метилгексаметилен, декаметилен, предпочтительно С1-С6алкилен, более предпочтительно С1-С5алкилен, еще более предпочтительно этилен, триметилен или тетраметилен, и наиболее предпочтительно этилен или триметилен.
В приведенных выше формулах “C1-С10алкиленовая группа, содержащая атом кислорода или атом серы в указанной углеродной цепи или на конце указанной углеродной цепи” и “C1-С10алкиленовая часть, содержащая атом кислорода или атом серы в указанной углеродной цепи или на конце указанной углеродной цепи” C1-С10алкиленовой группы, замещенной 1-3 заместителями, выбранными из групп а и b заместителей, и содержащей атом кислорода или атом серы в указанной углеродной цепи или на конце указанной углеродной цепи, в определении Y представляют собой указанную выше C1-С10алкиленовую группу, содержащую атом кислорода или атом серы в указанной углеродной цепи или на конце указанной углеродной цепи, например, группу формулы -O-CH2-, -O-(СН2)2-, -O-(СН2)3-, -O-(CH2)4-, -O-(CH2)5-, -O-(СН2)6-, -O-(СН2)7-, -O-(СН2)8-, -O-(СН2)9-, -O-(СН2)10-, -СН2-O-СН2-, -СН2-О-(CH2)2-, -СН2-O-(СН2)3-, -СН2-O-(СН2)4-, -(CH2)2-O-CH2-, -(СН2)2-O-(СН2)2-, -(СН2)2-O-(СН2)3-, -(СН2)2-O-(СН2)4-, -(СН2)3-O-СН2-, -(СН2)3-O-(СН2)2-, -(СН2)3-O-(СН2)3-, -(СН2)4-O-СН2-, -(СН2)4-O-(СН2)2-, -(СН2)5-O-СН2-, -СН2-O-, -(СН2)2-O-, -(СН2)3-O-, -(СН2)4-O-, -(СН2)5-O-, -(СН2)6-O-, -(СН2)7-O-, -(СН2)8-O-, -(СН2)9-O-, -(СН2)10-O-, -S-CH2-, -S-(CH2)2-, -S-(СН2)3-, -S-(CH2)4-, -S-(CH2)5-, -S- (СН2)6-, -S-(CH2)7-, -S-(CH2)8-, -S-(CH2)9-, -S-(CH2)10-, -CH2-S- СН2-, -СН2-S-(СН2)2-, -СН2-S-(СН2)3-, -СН2-S-(СН2)4-, -(СН2)2-S-СН2-, -(СН2)2-S-(СН2)2-, -(СН2)2-S-(СН2)3-, -(СН2)2-S-(СН2)4-, -(СH2)3-S-СН2-, -(СН2)3-S-(СН2)2-, -(СН2)3-S-(СН2)3-, -(СН2)4-S-СН2-, -(СН2)4-S-(СН2)2-, -(СН2)5-S-СН2-, -СН2-S-, -(СН2)2-S-, -(СН2)3-S-, -(СН2)4-S-, -(CH2)5-S-, -(СН2)6-S-, -(СН2)7-S-, -(СН2)8-S-, -(СН2)9-S-,-(СН2)10-S-, предпочтительно C1-С6алкиленовую группу, содержащую атом кислорода или атом серы в указанной углеродной цепи или на конце указанной углеродной цепи, более предпочтительно -O-СН2-, -O-(СН2)2-, -O-(СН2)3-, -СН2-O-, -(СН2)2-O- или -(СН2)3-O-, а наиболее предпочтительно –СН2-О-, -O-(СН2)2– или -(СН2)2-O-.
В приведенных выше формулах “циклоалкильные группы” в группах b заместителей и “циклоалкильные части” циклоалкильной группы, замещенной 1-3 заместителями, выбранными из группы а заместителей, и циклоалкильной группы, замещенной 1-3 заместителями, выбранными из групп а и b заместителей, в определениях R4а, R5 и R11 содержат, каждая, насыщенное углеродное кольцо с 3-10 углеводородными атомами, необязательно сконденсированное с циклической группой(ами), такой как бензольное кольцо, например, циклопропил, циклобутил, циклопентил, циклогексил, циклогептил, норборнил, адамантил и инданил. Предпочтительной циклоалкильной группой в определении R5 и группе b заместителей является C5-С6циклоалкильная группа, а наиболее предпочтительной – циклогексильная группа. С другой стороны, предпочтительной циклоалкильной группой в определении R4a и R11 является С5-С10циклоалкильная группа.
В приведенных выше формулах “гетероарильная группа” и “гетероарильная часть” гетероарильной группы, замещенной 1-5 заместителями, выбранными из группы а заместителей в определении Ar, содержат каждая 5-7-членную гетероциклическую группу, содержащую 1-3 атома серы, атома кислорода и/или атома азота, например, фурил, тиенил, пирролил, азепинил, пиразолил, имидазолил, оксазолил, изоксазолил, тиазолил, изотиазолил, 1,2,3-оксадиазолил, триазолил, тетразолил, тиадиазолил, пиранил, пиридил, пиридазинил, пиримидинил и пиразинил.
Кроме того, указанная выше гетероарильная группа может быть, необязательно, конденсирована с циклической группой.
Примеры такой группы включают, например, бензотиенил, изобензофуранил, хроменил, ксантенил, феноксатиинил, индолизинил, изоиндолил, индолил, индазолил, пуринил, хинолизинил, изохинолил, хинолил, фталазинил, нафтилизинил, хиноксалинил, хиназолинил, карбазолил, карболинил, акридинил и изоиндолинил. Предпочтительными гетероарильными группами являются фурильная, тиенильная и бензотиенильная группа, а наиболее предпочтительной гетероарильной группой является тиенильная или бензотиенильная группа.
В приведенных выше формулах “гетероциклические группы” в определении R5 и группы b заместителей и “гетероциклическая часть” гетероциклической группы, замещенной 1-3 заместителями, выбранными из группы а заместителей, и гетероциклической группы, замещенной 1-3 заместителями, выбранными из групп а и b заместителей, представляют собой каждая 5-7-членную гетероциклическую группу, содержащую 1-3 атома серы, атом кислорода и/или атом азота, и примеры таких гетероциклических групп включают указанные выше гетероарильные группы и гетероциклические соединения, соответствующие частично или полностью гидрированным указанным выше гетероарильным группам, таким как тетрагидропиранил, морфолинил, тиоморфолинил, пирролидинил, пирролил, имидазолидинил, пиразолидинил, пиперидинил, пиперазинил, оксазолидинил, изоксазолидинил, тиазолидинил и пиразолидинил. Предпочтительными гетероциклическими группами являются 5- или 6-членные гетероарильные группы, а наиболее предпочтительной гетероциклической группой является морфолинильная, тиоморфолинильная или пиперидинильная группа.
В приведенных выше формулах “атом галогена” в определении группы а заместителей означает атом фтора, хлора, брома или иода, предпочтительно атом фтора или атом хлора и наиболее предпочтительно атом фтора.
В приведенных выше формулах “низшие алкильные группы” в определении R4 и группы а заместителей означают каждая, например, неразветвленную или разветвленную алкильную группу, имеющую 1-6 углеродных атомов, такую как метильная, этильная, пропильная, изопропильная, бутильная, изобутильная, вторбутильная, третбутильная, пентильная, изопентильная, 2-метилбутильная, неопентильная, 1-этилпропильная, гексильная, изогексильная, 4-метилпентильная, 3-метилпентильная, 2-метилпентильная, 1-метилпентильная, 3,3-диметилбутильная, 2,2-диметилбутильная, 1,1-диметилбутильная, 1,2-диметилбутильная, 1,3-диметилбутильная, 2,3-диметилбутильная, 1-этилбутильная или 2-этилбутильная группа, предпочтительно C1-C4 алкильную группу, более предпочтительно С1-С2алкильную группу и наиболее предпочтительно метильную группу.
В приведенных выше формулах “галогенированная низшая алкильная группа” в определении группы а заместителей представляет собой описанную выше низшую алкильную группу, замещенную атомом(ами) галогена, например, галогенированную 1-С6алкильную группу, такую как трифторметильная, трихлорметильная, дифторметильная, дихлорметильная, дибромметильная, фторметильная, 2,2,2-трифторэтильная, 2,2,2-трихлорэтильная, 2-бромэтильная, 2-хлорэтильная, 2-фторэтильная, 2-иодэтильная, 3-хлорпропильная, 4-фторбутильная, 6-иодгексильная или 2,2-диброметильная группа, предпочтительно галогенированную С1-С4алкильную группу, более предпочтительно галогенированную C1-С2алкильную группу и наиболее предпочтительно трифторметильную группу.
В приведенных выше формулах “низшая алкоксигруппа” в определении группы а заместителей представляет собой атом кислорода, присоединенный к описанной выше низшей алкильной группе, например, неразветвленную или разветвленную алкоксигруппу, имеющую 1-6 углеродных атомов, такую как метокси-, этокси-, пропокси-, изопропокси-, бутокси-, изобутокси-, втор-бутокси-, трет-бутокси-, пентокси-, изопентокси-, 2-метилбутокси, 1-этилпропокси-, 2-этилпропокси-, неопентокси-, гексилокси-, 4-метилпентокси-, 3-метилпентокси-, 2-метилпентокси-, 3,3-диметилбутокси-, 2,2-диметилбутокси-, 1,1-диметилбутокси-, 1,2-диметилбутокси-, 1,3-диметилбутокси- или 2,3-диметилбутоксигруппа, предпочтительно С1-С4алкоксигруппу, более предпочтительно С1-С2алкоксигруппу и наиболее предпочтительно метоксигруппу.
В приведенных выше формулах “низшая алкилтиогруппа” в определении группы а заместителей представляет собой атом серы, присоединенный к описанной выше низшей алкильной группе, например, алкилтиогруппу, имеющую 1-6 углеродных атомов, такую как метилтио-, этилтио-, пропилтио-, изопропилтио-, бутилтио-, изобутилтио-, вторбутилтио-, третбутилтио-, пентилтио-, изопентилтио-, 2-метилбутилтио-, неопентилтио-, гексилилтио-, 4-метилпентилтио-, 3-метилпентилтио-, 2-метилпентилтио-, 3,3-диметилбутилтио-, 2,2-диметилбутилтио-, 1,1-диметилбутилтио-, 1,2-диметилбутилтио-, 1,3-диметилбутилтио- или 2,3-диметилбутилтиогруппа, предпочтительно С1-С4алкилтиогруппу, более предпочтительно С1-С2алкилтиогруппу и наиболее предпочтительно метилтиогруппу.
В приведенных выше формулах “низшая алкоксикарбонильная группа” в определении группы а заместителей представляет собой карбонильную группу, присоединенную к описанной выше низшей алкоксигруппе, например, неразветвленную или разветвленную алкоксикарбонильную группу, имеющую 1-6 углеродных атомов, такую как метоксикарбонильная, этоксикарбонильная, пропоксикарбонильная, изопропоксикарбонильная, бутоксикарбонильная, изобутоксикарбонильная, вторбутоксикарбонильная, третбутоксикарбонильная, пентоксикарбонильная, изопентоксикарбонильная, 2-метилбутоксикарбонильная, неопентоксикарбонильная, гексилоксикарбонильная, 4-метилпентоксикарбонильная, 3-метилпентоксикарбонильная, 2-метилпентоксикарбонильная, 3,3-диметилбутоксикарбонильная, 2,2-диметилбутоксикарбонильная, 1,1-диметилбутоксикарбонильная, 1,2-диметилбутоксикарбонильная, 1,3-диметилбутоксикарбонильная или 2,3-диметилбутоксикарбонильная группа, предпочтительно С1-С4алкоксикарбонильную группу, более предпочтительно С1-С2алкоксикарбонильную группу и наиболее предпочтительно метоксикарбонильную группу.
В приведенных выше формулах “низшая алифатическая ацильная группа” в определении группы а заместителей представляет собой карбонильную группу, присоединенную к атому водорода или насыщенному или ненасыщенному углеводороду, например, неразветвленную или разветвленную низшую алифатическую ацильную группу, имеющую 1-7 углеродных атомов, такую как формильная, ацетильная, пропионильная, бутирильная, изобутирильная, валерильная, изовалерильная, пивалоильная, гексаноильная, акрилоильная, метакрилоильная или кротоноильная группа, предпочтительно C1-C4 низшую алифатическую группу, более предпочтительно ацетильную или пропионильную группу и наиболее предпочтительно ацетильную группу.
В приведенных выше формулах “низшая моноалкиламиногруппа” в определении группы а заместителей представляет собой аминогруппу, присоединенную к описанной выше одной алкильной группе, например, моно-С1-С6алкиламиногруппу, такую как метиламино-, этиламино-, пропиламино-, изопропиламино-, бутиламино-, изобутиламино-, вторбутиламино-, третбутиламино-, пентиламино-, изопентиламино-, 2-метилбутиламино-, неопентиламино-, 1-этилпропиламино-, гексиламино-, изогексиламино-, 4-метилпентиламино-, 3-метилпентиламино-, 2-метилпентиламино-, 1-метилпентиламино-, 3,3-диметилбутиламино-, 2,2-диметилбутиламино-, 1,1-диметилбутиламино-, 1,2-диметилбутиламино-, 1,3-диметилбутиламино-, 2,3-диметилбутиламино- или 2-этилбутиламиногруппа, предпочтительно С1-С4алкиламиногруппу, более предпочтительно C1-С2алкиламиногруппу и наиболее предпочтительно метиламиногруппу.
В приведенных выше формулах “низшая диалкиламиногруппа” в определении группы а заместителей представляет собой аминогруппу, присоединенную к двум алкильным группам, описанным выше, например, ди-С1-С6алкиламиногруппу, такую как диметиламино-, диэтиламино-, N-этил-N-метиламино-, дипропиламино-, дибутиламино-, дипентиламино- или дигексиламиногруппа, предпочтительно ди-С1-С4алкиламиногруппу, более предпочтительно ди-С1-С2алкиламиногруппу и наиболее предпочтительно диметиламиногруппу.
В приведенных выше формулах “низшая алифатическая ациламиногруппа” в определении группы а заместителей представляет собой, например, неразветвленную или разветвленную алифатическую ациламиногруппу, имеющую 1-7 углеродных атомов, такую как формиламино-, ацетиламино-, пропиониламино-, бутириламино-, изобутириламино-, валериламино-, изовалериламино-, пивалоиламино-, гексаноиламино-, акрилоиламино-, метакрилоиламино- или кротоноиламиногруппа, предпочтительно ацетиламино- или пропиониламиногруппу и наиболее предпочтительно ацетиламиногруппу.
В приведенных выше формулах “аминозащитные группы” в определении R1 и R2 означают каждая аминозащитную группу, известную специалистам в органическом синтезе, например, низшую алкильную группу, описанную выше; алифатическую ацильную группу, например, низшую алифатическую ацильную группу, описанную выше, галогенированную низшую алифатическую ацильную группу, такую как хлорацетил, дихлорацетил, трихлорацетил или трифторацетил, или низшую алифатическую ацильную группу, замещенную низшей алкоксигруппой, такую как метоксиацетил; ароматическую ацильную группу, например, ароматическую ацильную группу, такую как бензоил, 1-инданкарбонил, 2-инданкарбонил или 1- или 2-нафтоил, или ароматическую ацильную группу, замещенную 1-3 заместителями, выбранными из группы а заместителей, такую как 4-хлорбензоил, 4-фторбензоил, 2,4,6-триметилбензоил, 4-толуоил, 4-анизоил, 4-нитробензоил, 2-нитробензоил, 2-(метоксикарбонил)бензоил или 4-фенилбензоил; алкоксикарбонильную группу, например, низшую алкоксикарбонильную группу, описанную ранее, или низшую алкоксикарбонильную группу, замещенную атомом(ами) галогена или низшей триалкилсилильной группой(ами), такую как 2,2,2-трихлорэтоксикарбонил или 2-триметилсилилэтоксикарбонил; алкенилоксикарбонильную группу, такую как винилоксикарбонил или аллилоксикарбонил; аралкилоксикарбонильную группу, например, аралкилоксикарбонильную группу, такую как бензилоксикарбонильная группа, или аралкилоксикарбонильную группу, замещенную 1-3 заместителями, выбранными из группы а заместителей, такую как 4-метоксибензилоксикарбонил, 3,4-диметоксибензилоксикарбонил, 2- нитробензилоксикарбонил или 4-нитробензилоксикарбонил; силильную группу, например, низшую алкилсилильную группу, такую как триметилсилил, триэтилсилил, изопропилдиметилсилил, третбутилдиметилсилил, метилдиизопропилсилил, метилдитретбутилсилил или триизопропилсилил, силильную группу, тризамещеннуго арильной группой(ами) или арильной(ыми) и низшей алкильной(ыми) группой(ами), такую как дифенилметилсилил или дифенилбутилсилил, дифенилизопропилсилил, фенилдиизопропилсилил; аралкильную группу, например, низшую алкильную группу, замещенную 1-3 арильными группами, такую как бензил, фенетил, 3-фенилпропил,
-нафтилметил, дифенилметил, трифенилметил,
В приведенных выше формулах термин “сложный эфир” относится к сложному эфиру соединения формулы (I), имеющего группу, способную к эстерификации. Сложный эфир включает эфир по гидроксильной группе и эфир по карбоксигруппе. Каждая сложноэфирная остаточная группа относится к обычной защитной к удалению биологическим путем, таким как гидролиз in vivo.
“Обычная защитная группа в химической реакции” может быть отщеплена химическим путем, таким как гидрогенолиз, гидролиз, электролиз или фотолиз.
“Обычная защитная группа в химических реакциях” и “защитная группа, способная к удалению биологическим путем, таким как гидролиз in vivo” в сложных эфирах по гидроксильной группе имеют такое же значение, как описанное выше для гидроксизащитной группы.
“Обычная защитная группа в химических реакциях” в сложном эфире по карбоксильной группе предпочтительно включает низшую алкильную группу, описанную выше; низшую алкенильную группу, такую как этенил, 1-пропенил, 2-пропенил, 1-метил-2-пропенил, 1-метил-1-пропенил, 2-метил-1-пропенил, 1-бутенил, 2-бутенил, 1-метил-2-бутенил, 1-метил-1-бутенил, 3-метил-2-бутенил, 1-этил-2-бутенил, 3-бутенил, 1-метил-3-бутенил, 2-метил-3-бутенил, 1-этил-3-бутенил, 1-пентенил, 2-пентенил, 1-метил-2-пентенил, 2-метил-2-пентенил, 3-пентенил, 1-метил-3-пентенил, 2-метил-3-пентенил, 4-пентенил, 1-метил-4-пентенил, 2-метил-4-пентенил, 1-гексенил, 2-гексенил, 3-гексенил, 4-гексенил или 5-гексенил;
низшую алкинильную группу, такую как этинил, 2-пропинил, 1-метил-2-пропинил, 2-бутинил, 1-метил-2-бутинил, 1-этил-2-бутинил, 3-бутинил, 1-метил-3-бутинил, 2-метил-3-бутинил, 1-этил-3-бутинил, 2-пентинил, 1-метил-2-пентинил, 3-пентинил, 1-метил-3-пентинил, 2-метил-3-пентинил, 4-пентинил, 1-метил-4-пентинил, 2-метил-4-пентинил, 2-гексинил, 3-гексинил, 4-гексинил или 5-гексинил; галогенированную низшую алкильную группу, описанную выше; гидрокси-низшую алкильную группу, такую как 2-гидроксиэтил, 2,3-дигидроксипропил, 3-гидроксипропил, 3,4-дигидроксибутил или 4-гидроксибутил; низшую алифатическую ацил-низшую алкильную группу, такую как ацетилметил; аралкильную группу, описанную выше, или силильную группу, описанную выше.
“Защитная группа, способная к удалению биологическим путем, таким как гидролиз in vivo” может быть отщеплена биологическим путем, таким как гидролиз в организме человека, с получением свободной кислоты или ее соли. Имеет ли производное формулы (I) указанную защитную группу, можно легко определить. Исследуемое производное вводят внутривенно животному для испытаний, такому как мышь или крыса, и затем исследуют жидкости в организме указанного животного. Если исходное соединение или его фармацевтически приемлемую соль обнаруживают в жидкостях организма животного для испытаний, то делают вывод, что исследуемое производное имеет указанную группу. “Защитная группа, способная к удалению биологическим путем, таким как гидролиз in vivo” предпочтительно включает низшую алкокси-низшую алкильную группу, такую как метоксиэтил, 1-этоксиэтил, 1-метил-1-метоксиэтил, 1-(изопропокси)этил, 2-метоксиэтил, 2-этоксиэтил, 1,1-диметил-1-метоксиэтил, этоксиметил, н-пропоксиметил, изопропоксиметил, н-бутоксиметил или трет-бутоксиметил; низшую алкокси-низшую алкильную группу, такую как 2-метоксиэтоксиметил; арилокси-низшую алкильную группу, такую как феноксиметил; галогенированную низшую алкокси-низшую алкильную группу, такую как 2,2,2-трихлорэтоксиметил или бис (2-хлорэтокси)метил; низшую алкоксикарбонил-низшую алкильную группу, такую как метоксикарбонилметил; циан-низшую алкильную группу, такую как цианметил или 2-цианэтил; низшую алкилтиометильную группу, такую как метилтиометил или этилтиометил; арилтиометильную группу, такую как фенилтиометил или нафтилтиометил; необязательно замещенный атомом(ами) галогена-низший алкилсульфонил-низшую алкильную группу, такую как 2-метансульфонилэтил или 2-трифторметансульфонилэтил; арилсульфонил-низшую алкильную группу, такую как 2-бензолсульфонилэтил или 2-толуолсульфонилэтил; 1-(ацилокси)-низшую алкильную группу, описанную выше; фталидильную группу, описанную выше; арильную группу, описанную вше; низшую алкильную группу, описанную выше; карбоксиалкильную группу, такую как карбоксиметил; и амидобразующую остаточную группу аминокислоты, такую как фенилаланин.
Когда соединение формулы (I) по настоящему изобретению имеет аминогруппу и/или карбоксильную группу, такое соединение может быть превращено в производное, отличное от фармакологически приемлемой соли или сложного эфира, описанных выше. “Другое производное” относится именно к такому производному, например, производному амида, такому как ацильная группа.
Типичные примеры соединений формулы (I) по настоящему изобретению представлены в следующих таблицах 1 и 2. Типичные примеры соединения формулы (La) (La-1) по настоящему изобретению перечислены в таблицах 3 и 4. Настоящее изобретение не ограничивается указанными примерами.
В указанных перечнях использованы следующие сокращения:
Ас: ацетильная группа; Вое: трет-бутоксикарбонильная группа; Вруrr: бензопирролильная группа; Вu: бутильная группа; iBu: изобутильная группа; Bz: бензильная группа; Bzt: бензотиенильная группа; Et: этильная группа; Fur: фурильная группа; сНх: циклогексильная группа; Me: метильная группа; Np(l): нафталин-1-ильная группа; Np(2): нафталин-2-ильная группа; Ph: фенильная группа; сРn: циклопентильная группа; Рr: пропильная группа; iPr: изопропильная группа; Рyr: пиридильная группа; TBDMS: трет-бутилдиметилсилильная группа и The: тиенильная группа.
Предпочтительными соединениями в таблицах 1 и 2 являются соединения под номерами: 1-19, 1-23 – 1-32, 1-36 – 1-45, 1-49 – 1-58, 1-62 – 1-71, 1-75 – 1-84, 1-88 – 1-102, 1-106 – 1-156, 1-160 – 1-214, 1-218 – 1-268, 1-272 – 1-322, 1-325 – 1-334, 1-338 – 1-347, 1-351 – 1-360, 1-364 – 1-373, 1-377 – 1-386, 1-390 – 1-404, 1-408 – 1-458, 1-462 – 1-513, 1-517 – 1-526, 1-530 – 1-544, 1-548 – 1-598, 1-602 – 1-657, 1-670, 1-674 – 1-683, 1-696, 1-700 – 1-717, 1-721 – 1-730, 1-734 – 1-743, 1-747 – 1-756, 1-760 – 1-774, 1-778 – 1-828, 1-832 – 1-886, 1-890 – 1-940, 1-944 – 1-993, 1-997 – 1-1006, 1-1010 – 1-1019, 1-1045, 1-1049 – 1-1058, 1-1062 – 1-1076, 1-1080 – 1-1130, 1-1134 – 1-1185, 1-1189 – 1-1198, 1-1202 – 1-1208, 1-1212 – 1-1216, 1-1220 – 1-1270, 1-1274 – 1-1331, 1-1335 – 1-1344, 1-1348 – 1-1357, 1-1361 – 1-1370, 1-1374 – 1-1387, 1-1391 – 1-1400, 1-1404 – 1-1418, 1-1422 – 1-1472, 1-1476 – 1-1527, 1-1531 – 1-1540, 1-1544 – 1-1558, 1-1562 – 1-1612, 1-1616 – 1-1673, 1-1677 – 1-1686, 1-1690 – 1-1699, 1-1703 – 1-1712, 1-1716 – 1-1729, 1-1733 – 1-1744, 1-1748 – 1-1767, 1-1772 – 1-1793, 1-1797 – 1-1818, 1-1824 – 1-1846, 1-1850 – 1-1869, 1-1872, 1-1876, 1-1880, 1-1884, 1-1888 – 1-1892, 1-1896, 1-1900, 1-1908 – 1-1913, 1-1917 – 1-1939, 1-1943 – 1-1966, 1-1970 – 1-1991, 1-1995 – 1-2013, 1-2017, 1-2021, 1-2025, 1-2029, 1-2033, 1-2037 -1-2042, 1-2045 – 1-2068, 1-2072 – 1-2089, 1-2093, 1-2097, 1-2101, 1-2105, 1-2109, 1-2113, 1-2117, 1-2121, 1-2125, 1-2129, 1-2133, 1-2135, 1-2139 – 1-2158, 1-2161 – 1-2164, 1-2184 – 1-2346,
2-9 – 2-18, 2-22 – 2-43, 2-47 – 2-70, 2-74 – 2-96, 2-100 – 2-119, 2-142, 2-146, 2-150, 2-154, 2-158 – 2-163, 2-167 – 2-183, 2-185 – 2-189, 2-193 – 2-216, 2-220 – 2-241, 2-245 – 2-263, 2-267, 2-271, 2-275, 2-279, 2-283, 2-287 – 2-292, 2-296 – 2-318, 2-322 – 2-338, 2-343, 2-347, 2-351, 2-371, 2-375 – 2-377, 2-381 – 2-407.
Более предпочтительными соединениями являются примеры соединений под номерами: 1-19, 1-32, 1-36 – 1-45, 1-57, 1-62 – 1-71, 1-84, 1-88, 1-97 – 1-100, 1-152 – 1-154, 1-160 – 1-214, 1-218 – 1-227, 1-264 – 1-268, 1-272 – 1-322, 1-334, 1-347, 1-360, 1-373, 1-386, 1-390 – 1-402, 1-454 – 1-458, 1-462 – 1-513, 1-526, 1-530 – 1-542, 1-594 – 1-598, 1-602 – 1-653, 1-743, 1-756, 1-760 – 1-768, 1-770 – 1-774, 1-778 – 1-828, 1-832 – 1-886, 1-890 – 1-940, 1-944 – 1-993, 1-1045, 1-1058, 1-1062 – 1-1074, 1-1126 – 1-1130, 1-1134 – 1-1185, 1-1198, 1-1202 – 1-1208, 1-1212, 1-1213, 1-1214, 1-1266 – 1-1270, 1-1274 – 1331, 1-1344, 1-1348 – 1-1357, 1-1370, 1-1374 – 1-1387, 1-1400, 1-1404 – 1-1416, 1-1468 – 1-1472, 1-1476 – 1-1527, 1-1540, 1-1544 – 1-1556, 1-1608 – 1-1612, 1-1616 – 1-1666, 1-1729, 1-1742, 1-1744, 1-1759 – 1-1767, 1-1789 – 1-1793, 1-1797 – 1-1818, 1-1842 – 1-1846, 1-1900, 1-1908 – 1-1913, 1-1935 – 1-1939, 1-1943 – 1-1966, 1-1987 – 1-1991, 1-2013, 1-2017, 1-2029, 1-2033, 1-2037 – 1-2042, 1-2064 – 1-2068, 1-2072 – 1-2089, 1-2093, 1-2097, 1-2101, 1-2105, 1-2109, 1-2129, 1-2133, 1-2135, 1-2184 – 1-2346,
2-11 – 2-18, 2-39 – 2-43, 2-47 – 2-70, 2-185 – 2-189, 2-193 – 2-216, 2-287 – 2-292, 2-338, 2-343, 2-347, 2-351.
Более предпочтительными соединениями являются примеры соединений под номерами: 1-45, 1-71, 1-84, 1-88, 1-97 – 1-100, 1-152 – 1-154, 1-160 – 1-206, 1-209 – 1-212, 1-264 – 1-266, 1-334, 1-373, 1-386, 1-390 – 1-402, 1-454 – 1-458, 1-462 – 1-485, 1-509, 1-510, 1-513, 1-526, 1-530 -1-542, 1-594 – 1-598, 1-602 -1-613, 1-649, 1-650, 1-743, 1-756, 1-760 – 1-768, 1-770 – 1-772, 1-824 – 1-828, 1-832 – 1-884, 1-936, 1-1045, 1-1058, 1-1062 – 1-1074, 1-1126 – 1-1130, 1-1134 – 1-1145, 1-1148 – 1-1151, 1-1162, 1-1163, 1-1179 – 1-1182, 1-1185, 1-1198, 1-1202 – 1-1208, 1-1212, 1-1213, 1-1214, 1-1266 – 1-1270, 1-1274 – 1-1285, 1-1288 – 1-1291, 1-1319 – 1-1322, 1-1329 – 1-1331, 1-1344, 1-1348 – 1-1357, 1-1370, 1-1387, 1-1400, 1-1404 – 1-1416, 1-1468 – 1-1472, 1-1476 – 1-1487, 1-1490 – 1-1493, 1-1504, 1-1505, 1-1521 – 1-1524, 1-1527, 1-1540, 1-1544 – 1-1556, 1-1608 – 1-1612, 1-1616 – 1-1627, 1-1663, 1-1664, 1-1729, 1-1742, 1-1744, 1-1761 – 1-1766, 1-1789 – 1-1791, 1-1815 – 1-1818, 1-1900, 1-1909, 1-1962, 1-2064 – 1-2066, 1-2089, 1-2093, 1-2097, 1-2105, 1-2133, 1-2216 – 1-2288, 1-2290 – 1-2346.
Еще более предпочтительными соединениями в таблицах 1 и 2 являются примеры соединений под номерами:
1-71: 2-амино-2-метил-4-[5-(4-циклогексилбутил)тиофен-2-ил]бутан-1-ол,
1-84: 2-амино-2-метил-4-[5-(4-фенилбутил)тиофен-2-ил]бутан-1-ол,
1-98: 2-амино-2-:метил-4-[5-(5-циклогексилпентил) тиофен-2-ил]бутан-1-ол,
1-152: 2-амино-2-метил-4-[5-(5-фенилпентил)тиофен-2-ил]бутан-1-ол,
1-210: 2-амино-2-метил-4-[5-(6-циклогексилгексил)тиофен-2-ил]бутан-1-ол,
1-264: 2-амино-2-метил-4-[5-(6-фенилгексил)тиофен-2-ил]бутан-1-ол,
1-373: 2-амино-2-метил-4-[5-(3-циклогексилпропил)тиофен-2-ил]бутан-1-ол,
1-386: 2-амино-2-метил-4-[5-(3-феноксиппропил)тиофен-2-ил]бутан-1-ол,
1-400: 2-амино-2-метил-4-[5-(4-циклогексилоксибутил)тиофен-2-ил]бутан-1-ол,
1-454: 2-амино-2-метил-4-[5-(4-феноксибутил)тиофен-2-ил]бутан-1-ол,
1-509: 2-амино-2-метил-4-[5-(5-циклогексилоксипентил)тиофен-2-ил]бутан-1-ол,
1-510: 2-амино-2-метил-4-[5-(5-феноксипентил)тиофен-2-ил]бутан-1-ол
1-513: 2-амино-2-метил-4-[5-(3-циклогексилметоксипропил)тиофен-2-ил]бутан-1-ол,
1-743: 2-амино-2-метил-4-[5-(4-циклогексилбут-1-инил)тиофен-2-ил]бутан-1-ол,
1-756: 2-амино-2-метил-4-[5-(4-фенилбут-1-инил)тиофен-2-ил]бутан-1-ол,
1-770: 2-амино-2-метил-4-[5-(5-циклогексилпент-1-инил)тиофен-2-ил]бутан-1-ол,
1-824: 2-амино-2-метил-4-[5-(5-фенилпент-1-инил)тиофен-2-ил]бутан-1-ол,
1-882: 2-амино-2-метил-4-[5-(6-циклогексилгекс-1-инил)тиофен-2-ил]бутан-1-ол,
1-936: 2-амино-2-метил-4-[5-(6-фенилгекс-1-инил)тиофен-2-ил]бутан-1-ол,
1-1045: 2-амино-2-метил-4-[5-(3-циклогексилоксипропинил)тиофен-2-ил]бутан-1-ол,
1-1058: 2-амино-2-метил-4-[5-(3-фенилоксипропинил)тиофен-2-ил]бутан-1-ол,
1-1072: 2-амино-2-метил-4-[5-(4-циклогексилоксибут-!-инил)тиофен-2-ил]бутан-1-ол,
1-1126: 2-амино-2-метил-4-[5-(6-феноксибут-1-инил)тиофен-2-ил]бутан-1-ол,
1-1181: 2-амино-2-метил-4-[5-(5-циклогексилоксипент-1-инил)тиофен-2-ил]бутан-1-ол,
1-1182: 2-амино-2-метил-4-[5-(5-феноксипент-1-инил)тиофен-2-ил]бутан-1-ол,
1-1185: 2-амино-2-метил-4-[5-(3-циклогексилметоксипропинил)тиофен-2-ил]бутан-1-ол,
1-1329: 2-амино-2-метил-4-[5-(4-циклогексилбутаноил)тиофен-2-ил] бутан-1-ол,
1-1330: 2-амино-2-метил-4-[5-(4-фенилбутаноил)тиофен-2-ил]бутан-1-ол
1-1331: 2-амино-2-метил-4-[5-(5-циклогексилпентаноил)тиофен-2-ил]бутан-1-ол,
1-1344: 2-амино-2-метил-4-[5-(5-фенилпентаноил)тиофен-2-ил]бутан-1-ол,
1-1357: 2-амино-2-метил-4-[5-(6-циклогексилгексаноил)тиофен-2-ил]бутан-1-ол,
1-1370: 2-амино-2-метил-4-[5-(6-фенилгексаноил)тиофен-2-ил]бутан-1-ол,
1-1387: 2-амино-2-метил-4-[5-(3-циклогексилоксипропаноил)тиофен-2-ил]бутан-1-ол,
1-1400: 2-амино-2-метил-4-[5-(3-феноксипропаноил)тиофен-2-ил]бутан-1-ол,
1-1414: 2-амино-2-метил-4-[5-(4-циклогексилоксибутаноил)тиофен-2-ил]бутан-1-ол,
1-1468: 2-амино-2-метил-4-[5-(3-феноксибутаноил)тиофен-2-ил]бутан-1-ол,
1-1523: 2-амино-2-метил-4-[5-(5-циклогексилоксипентаноил)тиофен-2-ил]бутан-1-ол,
1-1524: 2-амино-2-метил-4-[5-(5-феноксипентаноил)тиофен-2-ил]бутан-1-ол,
1-1527: 2-амино-2-метил-4-[5-(3-циклогексилметоксипропаноил)тиофен-2-ил]бутан-1-ол,
1-1729: 2-амино-2-метил-4-[5-(4-циклогексилметоксифенил)тиофен-2-ил]бутан-1-ол,
1-1742: 2-амино-2-метил-4-[5-(4-циклогексилэтоксифенил)тиофен-2-ил]бутан-1-ол,
1-1744: 2-амино-2-метил-4-[5-(4-бензилоксифенил)тиофен-2-ил]бутан-1-ол,
1-1761: 2-амино-2-этил-4-[5-(4-циклогексилбутил)тиофен-2-ил]бутан-1-ол,
1-1764: 2-амино-2-этил-4-[5-(5-циклогексилпентил)тиофен-2-ил]бутан-1-ол,
1-1816: 2-амино-2-этил-4-[5-(6-циклогексилгексил)тиофен-2-ил]бутан-1-ол,
1-1900: 2-амино-2-этил-4-[5-(4-циклогексилбут-1-инил)тиофен-2-ил]бутан-1-ол,
1-1909: 2-амино-2-этил-4-[5-(5-циклогексилпент-1-инил)тиофен-2-ил]бутан-1-ол,
1-1962: 2-амино-2-этил-4-[5-(6-циклогексилгекс-1-инил)тиофен-2-ил]бутан-1-ол,
1-2089: 2-амино-2-этил-4-[5-(4-циклогексилбутаноил)тиофен-2-ил] бутан-1-ол,
1-2097: 2-амино-2-этил-4-[5-(5-циклогексилпентаноил)тиофен-2-ил] бутан-1-ол,
1-2105: 2-амино-2-этил-4-[5-(6-циклогексилгексаноил)тиофен-2-ил] бутан-1-ол,
1-463: 2-амино-2-метил-4-{5-[4-(4-фторфенокси)бутил]тиофен-2-ил}бутан-1-ол,
1-479: 2-амино-2-метил-4-{5-[4-(4-метоксифенокси)бутил]тиофен-2-ил}бутан-1-ол,
1-594: 2-амино-2-метил-4-[5-(4-бензилоксибутил)тиофен-2-ил]бутан-1-ол,
1-760: 2-амино-2-метил-4-{5-[4-(4-фторфенил)бут-1-инил]тиофен-2-ил}бутан-1-ол
1-761: 2-амино-2-метил-4-{5-[4-(4-метилфенил)бут-1-инил]тиофен-2-ил}бутан-1-ол,
1-762: 2-амино-2-метил-4-{5-[4-(4-этилфенил)бут-1-инил]тиофен-2-ил}бутан-1-ол,
1-763: 2-амино-2-метил-4-{5-[4-(4-трифторметилфенил)бут-1-инил]тиофен-2-ил}бутан-1-ол,
1-764: 2-амино-2-метил-4-{5-[4-(4-метоксифенил)бут-1-инил]тиофен-2-ил}бутан-1-ол,
1-765: 2-амино-2-метил-4-{5-[4-(4-этоксифенил)бут-1-инил]тиофен-2-ил}бутан-1-ол,
1-766: 2-амино-2-метил-4-{5-[4-(4-метилтиофенил)бут-1-инил]тиофен-2-ил}бутан-1-ол,
1-832: 2-амино-2-метил-4-{5-[5-(3-фторфенил)пент-1-инил]тиофен-2-ил}бутан-1-ол,
1-833: 2-амино-2-метил-4-{5-[5-(4-фторфенил)пент-1-инил]тиофен-2-ил}бутан-1-ол,
1-834: 2-амино-2-метил-4-{5-[5-(4-хлорфенил)пент-1-инил]тиофен-2-ил}бутан-1-ол,
1-836: 2-амино-2-метил-4-{5-[5-(3-метилфенил)пент-1-инил]тиофен-2-ил}бутан-1-ол,
1-837: 2-амино-2-метил-4-{5-[5-(4-метилфенил)пент-1-инил]тиофен-2-ил}бутан-1-ол,
1-846: 2-амино-2-метил-4-{5-[5-(4-трифторметилфенил)пент-1-инил]тиофен-2-ил}бутан-1-ол,
1-847: 2-амино-2-метил-4-{5-[5-(4-трифторфенил)пент-1-инил]тиофен-2-ил}бутан-1-ол,
1-848: 2-амино-2-метил-4-{5-[5-(3-метоксифенил)пент-1-инил]тиофен-2-ил}бутан-1-ол,
1-849: 2-амино-2-метил-4-{5-[5-(4-метоксифенил)пент-1-инил]тиофен-2-ил}бутан-1-ол,
1-860: 2-амино-2-метил-4-{5-[5-(3-метилтиофенил)пент-1-инил]тиофен-2-ил}бутан-1-ол,
1-861: 2-амино-2-метил-4-{5-[5-(4-метилфенил)пент-1-инил]тиофен-2-ил}бутан-1-ол,
1-877: 2-амино-2-метил-4-{5-[5-(3,4-диметилфенил)пент-1-инил]тиофен-2-ил}бутан-1-ол,
1-878: 2-амино-2-метил-4-{5-[5-(3,5-диметилфенил)пент-1-инил]тиофен-2-ил}бутан-1-ол,
1-1050: 2-амино-2-метил-4-{5-[3-(4-метилциклогексилокси)пропинил]тиофен-2-ил}бутан-1-ол,
1-1062: 2-амино-2-метил-4-{5-[3-(4-фторфенокси)пропинил]тиофен-2-ил}бутан-1-ол,
1-1063: 2-амино-2-метил-4-{5-[3-(4-метилфенокси)пропинил]тиофен-2-ил}бутан-1-ол,
1-1064: 2-амино-2-метил-4-{5-[3-(4-этилфенокси)пропинил]тиофен-2-ил}бутан-1-ол,
1-1065: 2-амино-2-метил-4-{5-[3-(4-трифторметилфенил)пропинил]тиофен-2-ил}бутан-1-ол,
1-1066: 2-амино-2-метил-4-{5-[3-(4-метоксифенокси)пропинил]тиофен-2-ил}бутан-1-ол,
1-1067: 2-амино-2-метил-4-{5-[3-(4-метоксифенокси)пропинил]тиофен-2-ил}бутан-1-ол,
1-1068: 2-амино-2-метил-4-{5-[3-(4-метилтиофенокси)пропинил]тиофен-2-ил}бутан-1-ол,
1-1134: 2-амино-2-метил-4-{5-[4-(3-фторфенокси)бут-1-инил]тиофен-2-ил}бутан-1-ол,
1-1135: 2-амино-2-метил-4-{5-[4-(4-фторфенокси)бут-1-инил]тиофен-2-ил}бутан-1-ол,
1-1136: 2-амино-2-метил-4-{5-[4-(4-хлорфенокси)бут-1-инил]тиофен-2-ил}бутан-1-ол,
1-1138: 2-амино-2-метил-4-{5-[4-(3-метилфенокси)бут-1-инил]тиофен-2-ил}бутан-1-ол,
1-1139: 2-амино-2-метил-4-{5-[4-(4-метилфенокси)бут-1-инил]тиофен-2-ил}бутан-1-ол,
1-1148: 2-амино-2-метил-4-{5-[4-(3-трифторметилфенокси)бут-1-инил]тиофен-2-ил}бутан-1-ол,
1-1149: 2-амино-2-метил-4-{5-[4-(4-трифторметилфенокси)бут-1-инил]тиофен-2-ил}бутан-1-ол,
1-1150: 2-амино-2-метил-4-{5-[4-(3-метоксифенокси)бут-1-инил]тиофен-2-ил}бутан-1-ол,
1-1151: 2-амино-2-метил-4-{5-[4-(4-метоксифенокси)бут-1-инил]тиофен-2-ил}бутан-1-ол,
1-1162: 2-амино-2-метил-4-{5-[4-(3-метилтиофенокси)бут-1-инил]тиофен-2-ил}бутан-1-ол,
1-1163: 2-амино-2-метил-4-{5-[4-(4-метилтиофенокси)бут-1-инил]тиофен-2-ил}бутан-1-ол,
1-1179: 2-амино-2-метил-4-{5-[4-(3,4-диметилфенокси)бут-1-инил]тиофен-2-ил}бутан-1-ол,
1-1180: 2-амино-2-метил-4-{5-[4-(3,4-диметилфенокси)бут-1-инил]тиофен-2-ил}бутан-1-ол,
1-1198: 2-амино-2-метил-4-[5-(3-фенилметоксипропинил)тиофен-2-ил]бутан-1-ол,
1-1202: 2-амино-2-метил-4-{5-[3-(4-фторфенил)метоксипропинил]тиофен-2-ил}бутан-1-ол,
1-1203: 2-амино-2-метил-4-{5-[3-(4-метилфенил)метоксипропинил]тиофен-2-ил}бутан-1-ол,
1-1204: 2-амино-2-метил-4-{5-[3-(4-этилфенил)метоксипропинил]тиофен-2-ил}бутан-1-ол,
1-1205: 2-амино-2-метил-4-{5-[3-(4-трифторметилфенил)метоксипропинил]тиофен-2-ил}бутан-1-ол,
1-1206: 2-амино-2-метил-4-{5-[3-(4-метоксифенил)метоксиропинил]тиофен-2-ил}бутан-1-ол,
1-1207: 2-амино-2-метил-4-{5-[3-(4-этоксифенил)метоксипропинил]тиофен-2-ил}бутан-1-ол,
1-1208: 2-амино-2-метил-4-{5-[3-(4-метилтиофенил)метоксипропинил]тиофен-2-ил}бутан-1-ол,
1-1212: 2-амино-2-метил-4-[5-(4-циклогексилметоксибут-1-инил)тиофен-2-ил]бутан-1-ол,
1-1266: 2-амино-2-метил-4-[5-(4-фенилметоксибут-1-инил)тиофен-2-ил]бутан-1-ол,
1-1274: 2-амино-2-метил-4-{5-[4-(3-фторфенил)метоксибут-1-инил]тиофен-2-ил}бутан-1-ол,
1-1275: 2-амино-2-метил-4-{5-[4-(4-фторфенил)метоксибут-1-инил]тиофен-2-ил}бутан-1-ол,
1-1276: 2-амино-2-метил-4-{5-[4-(4-хлорфенил)метоксибут-1-инил]тиофен-2-ил}бутан-1-ол,
1-1278: 2-амино-2-метил-4-{5-[4-(3-метилфенил)метоксибут-1-инил]тиофен-2-ил}бутан-1-ол,
1-1279: 2-амино-2-метил-4-{5-[4-(4-метилфенил)метоксибут-1-инил]тиофен-2-ил}бутан-1-ол,
1-1288: 2-амино-2-метил-4-{5-[4-(3-трифторметилфенил)метоксибут-1-инил]тиофен-2-ил}бутан-1-ол,
1-1289: 2-амино-2-метил-4-{5-[4-(4-трифторметилфенил)метоксибут-1-инил]тиофен-2-ил}бутан-1-ол,
1-1290: 2-амино-2-метил-4-{5-[4-(3-метоксифенил)метоксибут-1-инил]тиофен-2-ил}бутан-1-ол,
1-1291: 2-амино-2-метил-4-{5-[4-(4-метоксифенил)метоксибут-1-инил]тиофен-2-ил}бутан-1-ол,
1-1319: 2-амино-2-метил-4-{5-[4-(3,4-диметилфенил)метоксибут-1-инил]тиофен-2-ил}бутан-1-ол,
1-1320: 2-амино-2-метил-4-{5-[4-(3,5-диметилфенил)метоксибут-1-инил]тиофен-2-ил}бутан-1-ол,
1-1348: 2-амино-2-метил-4-{5-[5-(4-фторфенил)пентаноил]тиофен-2-ил}бутан-1-ол,
1-1349: 2-амино-2-метил-4-{5-[5-(4-метилфенил)пентаноил]тиофен-2-ил}бутан-1-ол,
1-1350: 2-амино-2-метил-4-{5-[5-(4-этилфенил)пентаноил]тиофен-2-ил}бутан-1-ол,
1-1351: 2-амино-2-метил-4-{5-[5-(4-трифторметилфенил)пентаноил]тиофен-2-ил}бутан-1-ол,
1-1352: 2-амино-2-метил-4-{5-[5-(4-метоксифенил)пентаноил]тиофен-2-ил}бутан-1-ол,
1-1353: 2-амино-2-метил-4-{5-[5-(4-этоксифенил)пентаноил]тиофен-2-ил}бутан-1-ол,
1-1354: 2-амино-2-метил-4-{5-[5-(4-метилтиофенил)пентаноил]тиофен-2-ил}бутан-1-ол,
1-1476: 2-амино-2-метил-4-{5-[4-(3-фторфенокси)бутаноил]тиофен-2-ил}бутан-1-ол,
1-1477: 2-амино-2-метил-4-{5-[4-(4-фторфенокси)бутаноил]тиофен-2-ил}бутан-1-ол,
1-1478: 2-амино-2-метил-4-{5-[4-(4-хлорфенокси)бутаноил]тиофен-2-ил}бутан-1-ол,
1-1480: 2-амино-2-метил-4-{5-[4-(3-метилфенокси)бутаноил]тиофен-2-ил}бутан-1-ол,
1-1481: 2-амино-2-метил-4-{5-[4-(4-метилфенокси)бутаноил]тиофен-2-ил}бутан-1-ол,
1-1490: 2-амино-2-метил-4-{5-[4-(3-трифторметилфенокси)бутаноил]тиофен-2-ил}бутан-1-ол,
1-1491: 2-амино-2-метил-4-{5-[4-(4-трифторметилфенокси)бутаноил]тиофен-2-ил}бутан-1-ол,
1-1492: 2-амино-2-метил-4-{5-[4-(3-метоксифенокси)бутаноил]тиофен-2-ил}бутан-1-ол,
1-1493: 2-амино-2-метил-4-{5-[4-(4-метоксифенокси)бутаноил]тиофен-2-ил}бутан-1-ол,
1-1504: 2-амино-2-метил-4-{5-[4-(3-метилтиофенил)бутаноил]тиофен-2-ил}бутан-1-ол,
1-1505: 2-амино-2-метил-4-{5-[4-(4-метилтиофенокси)бутаноил]тиофен-2-ил}бутан-1-ол,
1-1521: 2-амино-2-метил-4-{5-[4-(3,4-диметилфенокси)бутаноил]тиофен-2-ил}бутан-1-ол,
1-1522: 2-амино-2-метил-4-{5-[4-(3,5-диметилфенокси)бутаноил]тиофен-2-ил]бутан-1-ол,
1-2093: 2-амино-2-этил-4-[5-(4-фенилбутаноил)тиофен-2-ил]бутан-1-ол,
1-2101: 2-амино-2-этил-4-[5-(5-фенилпентаноил)тиофен-2-ил]бутан-1-ол
1-2109: 2-амино-2-этил-4-[5-(4-фенилгексаноил)тиофен-2-ил]бутан-1-ол
1-2257: 2-амино-2-метил-4-{5-[5-(3,4-дифторфенил)пент-1-инил]тиофен-2-ил}бутан-1-ол,
1-2258: 2-амино-2-метил-4-{5-[5-(3,4-дифторфенил)пент-1-инил]тиофен-2-ил}бутан-1-ол,
1-2259: 2-амино-2-метил-4-{5-[5-(3-хлорфенил)пент-1-инил]тиофен-2-ил}бутан-1-ол,
1-2260: 2-амино-2-метил-4-{5-[5-(3,4-дихлорфенил)пент-1-инил]тиофен-2-ил}бутан-1-ол,
1-2261: 2-амино-2-метил-4-{5-[5-(3,4-дихлорфенил)пент-1-инил]тиофен-2-ил}бутан-1-ол,
1-2262: 2-амино-2-метил-4-{5-[5-(3,4-дитрифторметилфенил)пент-1-инил]тиофен-2-ил}бутан-1-ол,
1-2263: 2-амино-2-метил-4-{5-[5-(3,5-дитрифторметилфенил)пент-1-инил]тиофен-2-ил}бутан-1-ол,
1-2264: 2-амино-2-метил-4-{5-[5-(3,4-диметоксифенил)пент-1-инил]тиофен-2-ил}бутан-1-ол,
1-2265: 2-амино-2-метил-4-{5-[5-(3,5-диметоксифенил)пент-1-инил]тиофен-2-ил}бутан-1-ол,
1-2266: 2-амино-2-метил-4-{5-[5-(3,4,5-триметоксифенил)пент-1-инил]тиофен-2-ил}бутан-1-ол,
1-2267: 2-амино-2-метил-4-{5-[5-(3-ацетилфенил)пент-1-инил]тиофен-2-ил}бутан-1-ол,
1-2268: 2-амино-2-метил-4-{5-[5-(4-ацетилфенил)пент-1-инил]тиофен-2-ил}бутан-1-ол,
1-2269: 2-амино-2-метил-4-{5-[3-(3-фторфенокси)пропинил]тиофен-2-ил}бутан-1-ол,
1-2270: 2-амино-2-метил-4-{5-[3-(3,4-дифторфенокси)пропинил]тиофен-2-ил}бутан-1-ол,
1-2271: 2-амино-2-метил-4-{5-[3-(3,5-дифторфенокси)пропинил]тиофен-2-ил]бутан-1-ол,
1-2272: 2-амино-2-метил-4-{5-[3-(3-хлорфенокси)пропинил]тиофен-2-ил}бутан-1-ол,
1-2273: 2-амино-2-метил-4-{5-[3-(4-хлорфенокси)пропинил]тиофен-2-ил}бутан-1-ол,
1-2274: 2-амино-2-метил-4-{5-[3-(3,4-дихлорфенокси)пропинил]тиофен-2-ил}бутан-1-ол,
1-2275: 2-амино-2-метил-4-{5-[3-(3,5-дихлорфенокси) пропинил] тиофен-2-ил }бутан-1-ол,
1-2276: 2-амино-2-метил-4-{5-[3-(3-метилфенокси)пропинил]тиофен-2-ил}бутан-1-ол,
1-2278: 2-амино-2-метил-4-{5-[3-(3,4-диметилфенокси)пропинил]тиофен-2-ил}бутан-1-ол,
1-2279: 2-амино-2-метил-4-{5-[3-(3,5-диметилфенокси)пропинил]тиофен-2-ил}бутан-1-ол,
1-2280: 2-амино-2-метил-4-{5-[3-(3-трифторметилфенокси)пропинил]тиофен-2-ил}бутан-1-ол,
1-2281: 2-амино-2-метил-4-{5-[3-(3,4-дитрифторметилфенокси)пропинил]тиофен-2-ил}бутан-1-ол,
1-2282: 2-амино-2-метил-4-{5-[3-(3,5-дитрифторметилфенокси)пропинил]тиофен-2-ил}бутан-1-ол,
1-2283: 2-амино-2-метил-4-{5-[3-(3-метоксифенокси)пропинил]тиофен-2-ил}бутан-1-ол,
1-2284: 2-амино-2-метил-4-{5-[3-(3,4-диметоксифенил)пропинил]тиофен-2-ил}бутан-1-ол,
1-2285: 2-амино-2-метил-4-{5-[3-(3,5-диметоксифенокси)пропинил]тиофен-2-ил}бутан-1-ол,
1-2286: 2-амино-2-метил-4-{5-[3-(3,4,5-триметоксифенокси)пропинил]тиофен-2-ил}бутан-1-ол,
1-2287: 2-амино-2-метил-4-{5-[3-(3-ацетилфенокси)пропинил]тиофен-2-ил}бутан-1-ол,
1-2288: 2-амино-2-метил-4-{5-[3-(4-ацетилфенокси)пропинил]тиофен-2-ил}бутан-1-ол,
1-2290: 2-амино-2-метил-4-{5-[4-(3, 4-дифторфенокси) бут-1-инил]тиофен-2-ил}бутан-1-ол,
1-2291: 2-амино-2-метил-4-{5-[4-(3,5-дифторфенокси)бут-1-инил]тиофен-2-ил}бутан-1-ол,
1-2292: 2-амино-2-метил-4-{5-[4-(3-хлорфенокси)бут-1-инил]тиофен-2-ил}бутан-1-ол,
1-2293: 2-амино-2-метил-4-{5-[4-(3,4-дихлорфенокси)бут-1-инил]тиофен-2-ил}бутан-1-ол,
1-2294: 2-амино-2-метил-4-{5-[4-(3,5-дихлорфенокси)бут-1-инил]тиофен-2-ил}бутан-1-ол,
1-2295: 2-амино-2-метил-4-{5-[4-(3,4-дифторметилфенокси)бут-1-инил]тиофен-2-ил}бутан-1-ол,
1-2296: 2-амино-2-метил-4-{5-[4-(3,5-дифторметилфенокси)бут-1-инил]тиофен-2-ил}бутан-1-ол,
1-2297: 2-амино-2-метил-4-{5-[4-(3,4-диметоксифенокси)бут-1-инил]тиофен-2-ил}бутан-1-ол,
1-2298: 2-амино-2-метил-4-{5-[4-(3,5-диметоксифенокси)бут-1-инил]тиофен-2-ил}бутан-1-ол,
1-2299: 2-амино-2-метил-4-{5-[4-(3,4,5-триметоксифенокси)бут-1-инил]тиофен-2-ил}бутан-1-ол,
1-2300: 2-амино-2-метил-4-{5-[4-(3-ацетилфенокси)бут-1-инил]тиофен-2-ил}бутан-1-ол,
1-2301: 2-амино-2-метил-4-{5-[4-(4-ацетилфенокси)бут-1-инил]тиофен-2-ил}бутан-1-ол,
1-2328: 2-амино-2-метил-4-{5-[5-(3-фторфенил)пентаноил]тиофен-2-ил}бутан-1-ол,
1-2329: 2-амино-2-метил-4-{5-[5-(3,4-дифторфенил)пентаноил]тиофен-2-ил}бутан-1-ол,
1-2330: 2-амино-2-метил-4-{5-[5-(3,5-дифторфенил)пентаноил]тиофен-2-ил}бутан-1-ол,
1-2331: 2-амино-2-метил-4-{5-[5-(3-хлорфенил)пентаноил]тиофен-2-ил}бутан-1-ол,
1-2332: 2-амино-2-метил-4-{5-[5-(4-хлорфенил)пентаноил]тиофен-2-ил}бутан-1-ол,
1-2333: 2-амино-2-метил-4-{5-[5-(3,4-дихлорфенил)пентаноил]тиофен-2-ил}бутан-1-ол,
1-2334: 2-амино-2-метил-4-{5-[5-(3,5-дихлорфенил)пентаноил]тиофен-2-ил}бутан-1-ол,
1-2335: 2-амино-2-метил-4-{5-[5-(3-метилфенил)пентаноил]тиофен-2-ил}бутан-1-ол,
1-2336: 2-амино-2-метил-4-{5-[5-(3,4-диметилфенил)пентаноил]тиофен-2-ил}бутан-1-ол,
1-2337: 2-амино-2-метил-4-{5-[5-(3,4-диметилфенил)пентаноил]тиофен-2-ил}бутан-1-ол,
1-2338: 2-амино-2-метил-4-{5-[5-(3-трифторметилфенил)пентаноил]тиофен-2-ил}бутан-1-ол,
1-2339: 2-амино-2-метил-4-{5-[5-(3,4-дитрифторметилфенил)пентаноил]тиофен-2-ил}бутан-1-ол,
1-2340: 2-амино-2-метил-4-{5-[5-(3,5-дитрифторметилфенил)пентаноил]тиофен-2-ил}бутан-1-ол,
1-2341: 2-амино-2-метил-4-{5-[5-(3-метоксифенил)пентаноил]тиофен-2-ил}бутан-1-ол,
1-2342: 2-амино-2-метил-4-{5-[5-(3,4-диметоксифенил)пентаноил]тиофен-2-ил}бутан-1-ол,
1-2343: 2-амино-2-метил-4-{5-[5-(3,5-диметоксифенил)пентаноил]тиофен-2-ил}бутан-1-ол,
1-2344: 2-амино-2-метил-4-{5-[5-(3,4,5-триметоксифенил)пентаноил]тиофен-2-ил}бутан-1-ол,
1-2345: 2-амино-2-метил-4-{5-[5-(3-ацетилфенил)пентаноил]тиофен-2-ил}бутан-1-ол и
1-2346: 2-амино-2-метил-4-{5-[5-(4-ацетилфенил)пентаноил]тиофен-2-ил}бутан-1-ол.
Наиболее предпочтительными соединениями являются примеры соединений под номерами:
1-71: 2-амино-2-метил-4-[5-(4-циклогексилбутил)тиофен-2-ил]бутан-1-ол,
1-98: 2-амино-2-метил-4-[5-(5-циклогексилпентил)тиофен-2-ил]бутан-1-ол,
1-152: 2-амино-2-метил-4-[5-(5-фенилпентил)тиофен-2-ил]бутан-1-ол,
1-400: 2-амино-2-метил-4-[5-(4-циклогексилоксибутил)тиофен-2-ил]бутан-1-ол,
1-463: 2-амино-2-метил-4-{5-[4-(4-фторфенокси)бутил]тиофен-2-ил}бутан-1 -ол,
1-479: 2-амино-2-метил-4-{5-[4-(4-метоксифенокси)бутил]тиофен-2-ил}бутан-1-ол,
1-594: 2-амино-2-метил-4-[5-(4-бензилоксибутил)тиофен-2-ил]бутан-1-ол,
1-743: 2-амино-2-метил-4-[5-(4-циклогексилбут-1-инил)тиофен-2-ил]бутан-1-ол,
1-756: 2-амино-2-метил-4-[5-(4-фенилбут-1-инил)тиофен-2-ил]бутан-1-ол,
1-770: 2-амино-2-метил-4-[5-(5-циклогексилпент-1-инил)тиофен-2-ил]бутан-1-ол,
1-824: 2-амино-2-метил-4-[5-(5-фенилпент-1-инил)тиофен-2-ил]бутан-1-ол,
1-833: 2-амино-2-метил-4-{5-[5-(4-фторфенил)пент-1-инил]тиофен-2-ил}бутан-1-ол,
1-849: 2-амино-2-метил-4-{5-[5-(4-метоксифенил)пент-1-инил]тиофен-2-ил}бутан-1-ол,
1-1050: 2-амино-2-метил-4-{5-[3-(4-метилциклогексилокси)пропинил]тиофен-2-ил}бутан-1-ол,
1-1063: 2-амино-2-метил-4-{5-[3-(4-метилфенокси)пропинил]тиофен-2-ил}бутан-1-ол,
1-1064: 2-амино-2-метил-4-{5-[3-(4-этилфенокси)пропинил]тиофен-2-ил}бутан-1-ол,
1-1068: 2-амино-2-метил-4-{5-[3-(4-метилтиофенокси)пропинил]тиофен-2-ил}бутан-1-ол,
1-1072: 2-амино-2-метил-4-[5-(4-циклогексилоксибут-1-инил)тиофен-2-ил]бутан-1-ол,
1-1135: 2-амино-2-метил-4-{5-[4-(4-фторфенокси)бут-1-инил]тиофен-2-ил}бутан-1-ол,
1-1139: 2-амино-2-метил-4-{5-[4-(4-метилфенокси)бут-1-инил]тиофен-2-ил}бутан-1-ол,
1-1185: 2-амино-2-метил-4-[5-(3-циклогексилметоксипропинил)тиофен-2-ил]бутан-1-ол,
1-1266: 2-амино-2-метил-4-[5-(4-фенилметоксибут-1-инил)тиофен-2-ил]бутан-1-ол,
1-1329: 2-амино-2-метил-4-[5-(4-циклогексилбутаноил)тиофен-2-ил] бутан-1-ол,
1-1330: 2-амино-2-метил-4-[5-(4-фенилбутаноил)тиофен-2-ил]бутан-1-ол
1-1331: 2-амино-2-метил-4-[5-(5-циклогексилпентаноил)тиофен-2-ил]бутан-1-ол,
1-1344: 2-амино-2-метил-4-[5-(5-фенилпентаноил)тиофен-2-ил]бутан-1-ол,
1-1348: 2-амино-2-метил-4-{5-[5-(4-фторфенил)пентаноил]тиофен-2-ил}бутан-1-ол,
1-1764: 2-амино-2-этил-4-[5-(5-циклогексилпентил)тиофен-2-ил]бутан-1-ол,
1-1909: 2-амино-2-этил-4-[5-(5-циклогексилпент-1-инил)тиофен-2-ил]бутан-1-ол,
1-2097: 2-амино-2-этил-4-[5-(5-циклогексилпентаноил)тиофен-2-ил]бутан-1-ол,
1-2273: 2-амино-2-метил-4-{5-[3-(4-хлорфенокси)пропинил]тиофен-2-ил}бутан-1-ол,
1-2276: 2-амино-2-метил-4-{5-[3-(3-метилфенокси)пропинил]тиофен-2-ил}бутан-1-ол,
1-2278: 2-амино-2-метил-4-{5-[3-(3,4-диметилфенокси)пропинил]тиофен-2-ил}бутан-1-ол,
1-2283: 2-амино-2-метил-4-{5-[3-(3-метоксифенокси)пропинил]тиофен-2-ил}бутан-1-ол,
1-2284: 2-амино-2-метил-4-{5-[3-(3,4-диметоксифенил)пропинил]тиофен-2-ил}бутан-1-ол,
1-2285: 2-амино-2-метил-4-{5-[3-(3,5-диметоксифенокси)пропинил]тиофен-2-ил}бутан-1-ол,
1-2287: 2-амино-2-метил-4-{5-[3-(3-ацетилфенокси)пропинил]тиофен-2-ил}бутан-1-ол и
1-2288: 2-амино-2-метил-4-{5-[3-(4-ацетилфенокси)пропинил]тиофен-2-ил}бутан-1-ол.
Предпочтительными соединениями в таблицах 3 и 4 являются примеры соединений под номерами 3-5, 3-6, 3-7, 3-8, 3-11, 3-12, 4-4, 4-5, 4-6, 4-7, 4-8, 4-9, 4-10, 4-11, 4-12, 4-13, 4-17, 4-23, 4-24, 4-27, 4-28, 4-31 и 4-32.
Наиболее предпочтительными соединениями являются примеры соединений под номерами:
4-4: 4-метил-4-[(тиофен-2-ил)этил]оксазолидинон,
4-5: 4-метил-4-[(тиофен-3-ил)этил]оксазолидинон,
4-8: 4-метил-4-[(5-бромтиофен-2-ил)этил]оксазолидинон и
4-9: 4-метил-4-[(5-бромтиофен-3-ил)этил]оксазолидинон.
Соединения формул (I), (XLIVa), (XLIVb), (La) и (Lb) могут быть получены способом, описанным ниже.
В способе А синтезируют соединение (I) и соединение (Iс) (которое представляет собой соединение (I), где R1 представляет атом водорода и R2 представляет низшую алкоксикарбонильную группу, аралкилоксикарбонильную группу или аралкилоксикарбонильную группу, замещенную 1-3 заместителями, выбранными из группы а заместителей).
На приведенной выше схеме R1, R2, R3, R4, R5, R6, R7, X, Y и п имеют указанные выше значения, R8 представляет формильную группу, карбоксильную группу или низшую алкоксикарбонильную группу, R9 и R9a являются одинаковыми или различными и независимо представляют каждый атом водорода или низшую алкильную группу, R10 представляет низшую алкильную группу, аралкильную группу или аралкильную группу, замещенную 1-3 заместителями, выбранными из группы а заместителей, и R5a, R6a и R7a представляют аминогруппу, гидроксильную группу и/или карбоксильную группу, каждая из которых содержится в качестве заместителя в каждом определении R5, R6 и R7 и необязательно защищена подходящей защитной группой в дополнение к таким же группам, как определенные выше для R5, R6 и R7.
В данном выше описании “защитную группу” “аминогруппы, необязательно защищенной”, в определении R5a, R6a и R7a особо не ограничивают, если она представляет собой защитную группу аминогруппы, используемую в области химии органического синтеза, и является такой же, как защитная группа, определенная выше. Предпочтительной является алкоксикарбонильная группа, а наиболее предпочтительной – трет-бутоксикарбонильная группа.
В данном выше описании “защитную группу” “гидроксильной группы, необязательно защищенной”, в определении R5a, R6a и R7a особо не ограничивают, если она представляет собой защитную группу гидроксильной группы, используемую в области химии органического синтеза. Указанная защитная группа является, например, такой же, как защитная группа, определенная выше как “обычная защитная группа, используемая для защиты гидроксильной группы путем эстерификации”, и ее предпочтительные примеры включают низшую алифатическую ацильную группу, ароматическую ацильную группу, низшую алкоксикарбонильную группу или (низший алкокси)метильную группу, а более предпочтительными примерами является низшая алифатическая ацильная группа или (низший алкоксикарбонил)метильная группа. Наиболее предпочтительным примером является ацетильная группа или метоксиметильная группа.
В данном выше описании “защитную группу” “карбоксильной группы, необязательно защищенной”, в определении R5a, R6a и R7a особо не ограничивают, если она представляет собой защитную группу карбоксильной группы, используемую в области химии органического синтеза. Указанная защитная группа является, например, такой же, как защитная группа, определенная выше как “обычная защитная группа, используемая для защиты карбоксильной группы путем эстерификации”, и ее предпочтительные примеры включают низшую алкильную группу, причем наиболее предпочтительной является метильная группа.
На стадии А1 соединение общей формулы (III) получают осуществлением взаимодействия соединения общей формулы (II) с восстановителем в инертном растворителе в присутствии или в отсутствие основания (предпочтительно в присутствии основания).
Инертный растворитель, используемый в указанной выше реакции, особо не ограничивают при условии, что он не оказывает вредного влияния на реакцию и до некоторой степени растворяет исходные материалы. Примеры подходящих растворителей включают алифатические углеводороды, такие как гексан, гептан, лигроин или петролейный эфир; ароматические углеводороды, такие как бензол, толуол или ксилол; галогенированные углеводороды, такие как хлороформ, метиленхлорид, 1,2-дихлорэтан или тетрахлорид углерода; сложные эфиры, такие как метилацетат, этилацетат, пропилацетат, бутилацетат или диэтилкарбонат; простые эфиры, такие как диэтиловый эфир, диизопропиловый эфир, тетрагидрофуран, диоксан, диметоксиэтан или диметиловый эфир ди(этиленгликоля); спирты, такие как метанол, этанол, н-пропанол, изопропанол, н-бутанол, изобутанол, трет-бутанол, изоамиловый спирт, диэтиленгликоль, глицерин, октанол, циклогексанол или метилцеллозольв; амиды, такие как формамид, диметилформамид, диметилацетамид или гексаметилфосфорный триамид; воду или смеси воды и указанных растворителей или смеси указанных растворителей. Из указанных растворителей предпочтительными являются простые эфиры, а наиболее предпочтительным является тетрагидрофуран.
Восстановитель, используемый в указанной выше реакции, представляет собой, например, боргидрид щелочного металла, такой как боргидрид натрия, боргидрид лития или цианборгидрид натрия, или производное гидрида алюминия, такое как гидрид диизобутилалюминия, литийалюминийгидрид или гидрид триэтоксиалюминийлития. Предпочтительными примерами являются боргидриды щелочных металлов, а наиболее предпочтительным является боргидрид натрия.
Температура реакции, в основном, зависит от исходных соединений, восстановителя и используемого в реакции растворителя. Реакцию обычно осуществляют при температуре от -50
С до 100
в формуле R1а представляет аминозащитную группу (такую как определено выше) и Z представляет атом галогена.
В случае соединения (I), где R3 представляет атом водорода, защита гидроксильной группы может быть осуществлена взаимодействием соответствующего соединения с представленным ниже соединением общей формулы (XIII) в инертном растворителе (примеры предпочтительного растворителя включают галогенированные углеводороды, такие как хлороформ, метиленхлорид, 1,2-дихлорэтан или тетрахлорид углерода, амиды, такие как формамид, диметилформамид, диметилацетамид или гексаметилфосфорный триамид, или сульфоксиды, такие как диметилсульфоксид) в присутствии основания (примеры предпочтительного основания включают гидриды щелочных металлов, такие как гидрид лития, гидрид натрия или гидрид калия, и органические амины, такие как триэтиламин, трибутиламин, диизопропилэтиламин, N-метилморфолин или пиридин) при температуре от 0
в формуле R3а представляет гидроксилзащитную группу (такую как определено выше) и Z имеет указанные выше значения.
Кроме того, удаление амино-, гидроксил- и/или карбоксилзащитных групп и защиту аминогруппы, гидроксильной группы и/или карбоксилььной группы можно, при необходимости, осуществлять последовательным проведением подходящих реакций снятия или введения защиты без какого-либо особого порядка.
По окончании реакции целевые соединения (I) данной реакции могут быть извлечены из реакционной смеси традиционными способами. Например, целевое соединение может быть получено последовательным проведением таких стадий, как соответствующая нейтрализация реакционной смеси, удаление, при необходимости, нерастворимого вещества(в) путем фильтрования, добавление органического растворителя, не смешивающегося с водой (например, этилацетата), отделение органического слоя, содержащего целевое соединение, промывка экстракта, например, водой, и затем сушка над безводным сульфатом магния, безводным сульфатом натрия, безводным бикарбонатом натрия или тому подобное и удаление растворителя путем выпаривания. Целевое соединение может быть выделено и очищено, если это необходимо, подходящей комбинацией традиционных способов, обычно используемых для разделения и очистки органических соединений, таких как перекристаллизация, переосаждение и хроматография с использованием подходящего элюента(ов).
На стадии А9 соединение общей формулы (I) синтезируют гидролизом соединения (X) с основанием в инертном растворителе и затем, если необходимо, последовательным проведением удаления амино, гидроксил- и/или карбоксилзащитной группы в R1, R2, R3, R5a, R6a и R7a, защиты аминогруппы в R1 и/или R2 и/или защиты гидроксильной группы в R3. Данную стадию осуществляют аналогично тому, как описано выше на стадии А8 способа А.
На стадии А10 соединение общей формулы (Iс) синтезируют восстановлением сложноэфирной группы соединения (IX) и затем, если требуется, последовательным проведением удаления амино-, гидроксил- и/или карбоксилзащитной группы в R1, R2, R3, R5а, R6а и R7а, защиты аминогруппы в R1 и/или R2 и/или защиты гидроксильной группы в R3. Восстановление сложноэфирной группы соединения (IX) осуществляют аналогично тому, как описано выше на стадии А6 способа А.
В способе В получают соединение (Id), которое является соединением (I), где Х представляет этиниленовую группу, соединение (Iе), которое является соединением (I), где Х представляет виниленовую группу, соединение (If), которое является соединением (I), где Х представляет этиленовую группу, соединение (Ig), которое является соединением (I), где Х представляет группу “-СО-СН2-”, соединение (Ig), которое является соединением (I), где X представляет группу “-СО-СН2-” и R1 представляет группу “-CO2R10-”, соединение (Ih), которое является соединением (I), где Х представляет группу “-СН(ОН)-СН2-”, соединение (Ii), которое является соединением (I), где Х представляет арильную группу или арильную группу, замещенную 1-3 заместителями, выбранными из группы а заместителей, и соединение (Ij), которое является соединением (I), где Х представляет атом кислорода или атом серы
На приведенной схеме R1, R2, R3, R4, R5, R5a, R6, R6a, R7, R7a R10, Y и n имеют указанные выше значения, Ха представляет атом кислорода или атом серы, Yа представляет C1-С10алкиленовую группу или C1-С10алкиленовую группу, замещенную 1-3 заместителями, выбранными из групп а и b заместителей, кольцо А представляет арильную группу или арильную группу, замещенную 1-3 заместителями, выбранными из группы а заместителей, и W представляет группу, имеющую следующие общие формулы:
(в приведенных формулах R4 и R10 имеют указанные выше значения, R’ и R” являются одинаковыми или различными и независимо представляют каждый низшую алкильную группу, арильную группу или арильную группу, замещенную 1-3 заместителями, выбранными из группы а заместителей).
На стадии В1 соединение общей формулы (XVI) синтезируют по реакции сочетания Sonogashira соединения общей формулы (XIV) и соединения общей формулы (XV) в инертном растворителе в присутствии основания и палладиевого катализатора.
Растворитель, используемый в указанной выше реакции, особо не ограничивают при условии, что он не оказывает вредного влияния на реакцию. Примеры подходящих растворителей включают алифатические углеводороды, такие как гексан, гептан, лигроин или петролейный эфир; ароматические углеводороды, такие как бензол, толуол или ксилол; галогенированные углеводороды, такие как метиленхлорид, хлороформ, тетрахлорид углерода, дихлорэтан, хлорбензол или дихлорбензол; сложные эфиры, такие как этилформиат, этилацетат, пропилацетат, бутилацетат или диэтилкарбонат; простые эфиры, такие как диэтиловый эфир, диизопропиловый эфир, тетрагидрофуран, диоксан, диметоксиэтан или диметиловый эфир ди(этиленгликоля); кетоны, такие как ацетон, метилэтилкетон, метилизобутилкетон, изофорон или циклогексанон; нитрилы, такие как ацетонитрил или изобутиронитрил; амиды, такие как формамид, диметилформамид, диметилацетамид или гексаметилфосфорный триамид, и сульфоксиды, такие как диметилсульфоксид, или сульфолан. Предпочтительными являются простые эфиры, амиды или сульфоксиды (особенно амиды или простые эфиры). В некоторых случаях реакцию ускоряют добавлением в реакционный раствор небольшого количества воды.
Основание, используемое в данной реакции, является, например, таким же, как основание, используемое для превращения гидроксильной группы в уходящую группу, которое описано на стадии А2 способа А, причем предпочтительными являются органические амины (наиболее предпочтительно триэтиламин).
Палладиевый катализатор, используемый в данной реакции, особо не ограничивают при условии, что он является катализатором, обычно используемым в реакции сочетания по Соногашире (Sonogashira). Примеры предпочтительных катализаторов включают соли палладия, такие как ацетат палладия, хлорид палладия или карбонат палладия, и палладиевые комплексы, такие как комплекс бис(трифенилфосфин)палладийхлорид, образованный из комплексов с лигандами.
Кроме того, можно повысить выход добавлением хлорида меди (I) или бензилтриэтиламмонийхлорида в качестве добавки.
Температура реакции, в основном, зависит от используемых в реакции исходных соединений, основания и растворителя. Реакцию обычно осуществляют при температуре от -20
На приведенной выше схеме R4, R6, К7a, R8, R9, R9a, R10, n и W – такие, как определено выше.
На стадии С1 соединение общей формулы (XXIX) получают взаимодействием соединения общей формулы (XXVIII) с восстановителем в инертном растворителе в присутствии или в отсутствие основания (предпочтительно в присутствии основания). Данную стадию осуществляют так, как описано на стадии А1 способа А.
На стадии С2 соединение общей формулы (XXX) получают превращением гидроксильной группы соединения (XXIX) в уходящую группу в инертном растворителе в присутствии основания и затем проведением реакции иодирования по полученной уходящей группе иодирующим агентом. Данную стадию осуществляют так, как описано на стадии А2 способа А.
На стадии С3 соединение общей формулы (XXXI) получают взаимодействием соединения (XXX) с соединением (V) в инертном растворителе в присутствии основания. Данную стадию осуществляют так, как описано на стадии A3 способа А.
На стадии С4 соединение общей формулы (XXXII) получают гидролизом соединения (XXXI) с основанием в инертном растворителе. Данную стадию осуществляют так, как описано на стадии А4 способа А.
Стадия С5 является стадией превращения карбоксильной группы в карбамоильную группу путем проведения реакции перегруппировки по Курциусу, и на данной стадии соединение общей формулы (XXXIII) синтезируют, осуществляя взаимодействие соединения (XXXII) с производным диарилфосфорилазида, таким как дифенилфосфорилазид, в инертном растворителе в присутствии основания, и затем, осуществляя взаимодействие полученного продукта с соединением (VIII). Данную стадию осуществляют так, как описано на стадии А5 способа А.
На стадии С6 соединение (XIV) получают восстановлением сложноэфирной группы соединения (XXXIII). Данную стадию осуществляют так, как описано на стадии А6 способа А.
По окончании реакции целевые соединения (XIV) данной реакции могут быть извлечены из реакционной смеси традиционными способами. Например, целевое соединение может быть получено последовательным проведением таких стадий, как соответствующая нейтрализация реакционной смеси, удаление, при необходимости, нерастворимого вещества(в) путем фильтрования, добавление органического растворителя, не смешивающегося с водой (например, этилацетата), отделение органического слоя, содержащего целевое соединение, промывка экстракта, например, водой, и затем сушка над безводным сульфатом магния, безводным сульфатом натрия, безводным бикарбонатом натрия или тому подобное и удаление растворителя путем выпаривания. Целевое соединение может быть выделено и очищено, если это необходимо, подходящей комбинацией традиционных способов, обычно используемых для разделения и очистки органических соединений, таких как перекристаллизация, переосаждение и хроматография с использованием подходящего элюента(ов).
На стадии С7 соединение общей формулы (XXXV) получают взаимодействием соединения общей формулы (XXXIV) с восстановителем в инертном растворителе в присутствии или в отсутствие основания (предпочтительно в присутствии основания). Данную стадию осуществляют так, как описано на стадии А1 способа А.
На стадии С8 соединение общей формулы (XXXVI) получают превращением гидроксильной группы соединения (XXXV) в уходящую группу в инертном растворителе в присутствии основания и затем проведением реакции иодирования. Данную стадию осуществляют так, как описано на стадии А2 способа А.
На стадии С9 соединение общей формулы (XXXVII) получают взаимодействием соединения (XXXVI) с соединением (V) в инертном растворителе в присутствии основания. Данную стадию осуществляют так, как описано на стадии A3 способа А.
На стадии С10 соединение общей формулы (XXXVIII) получают гидролизом соединения (XXXVII) с основанием в инертном растворителе. Данную стадию осуществляют так, как описано на стадии А4 способа А.
Стадия С11 является стадией превращения карбоксильной группы в карбамоильную группу путем проведения реакции перегруппировки по Курциусу, и на данной стадии соединение общей формулы (XXXIX) синтезируют взаимодействием соединения (XXXVIII) с производным диарилфосфорилазида, таким как дифенилфосфорилазид, в инертном растворителе в присутствии основания и затем осуществлением взаимодействия полученного продукта с соединением (VIII). Данную стадию осуществляют так, как описано на стадии А5 способа А.
На стадии С12 соединение (XL) получают восстановлением сложноэфирной группы соединения (XXXIX). Данную стадию осуществляют так, как описано на стадии А6 способа А.
На стадии С13 соединение (XIVa) получают взаимодействием соединения (XL) с бромирующим агентом.
Растворитель, используемый в указанной выше реакции, особо не ограничивают при условии, что он не оказывает вредного влияния на реакцию. Примеры подходящих растворителей включают галогенированные углеводороды, такие как метиленхлорид, хлороформ, тетрахлорид углерода, дихлорэтан, хлорбензол или дихлорбензол; простые эфиры, такие как диэтиловый эфир, диизопропиловый эфир, тетрагидрофуран, диоксан, диметоксиэтан или диметиловый эфир ди(этиленгликоля), или амиды, такие как формамид, диметилформамид, диметилацетамид или гексаметилфосфотриамид. Предпочтительными являются амиды, причем наиболее предпочтительным является диметилформамид.
Бронирующий агент, используемый в данной реакции, особо не ограничивают. Примеры подходящих бромирующих агентов включают бронирующие агенты, описанные в “Comprehensive Organic Transformation” (Larock, VCH, p. 316-317), причем предпочтительным является N-бромсукцинимид или бром.
Температура реакции, в основном, зависит от исходных соединений, бромирующего агента и растворителя, используемых в реакции. Реакцию обычно осуществляют при температуре от -78
На приведенной схеме R5a, R6a, R7a, R8, n, Xa, Y, Ya и кольцо А имеет указанные выше значения.
На стадии D1 соединение (IIа) синтезируют с использованием реакции сочетания (Sonogashira) соединения (XXVIII) и соединения (XV) в инертном растворителе в присутствии основания и палладиевого катализатора. Данную стадию осуществляют так, как описано выше на стадии В1 способа В.
На стадии D2 соединение (IIb) получают восстановлением соединения (IIа) в инертном растворителе (предпочтительно каталитическим гидрированием при комнатной температуре в присутствии катализатора). Данную стадию осуществляют так, как описано выше на стадии В5 способа В.
На стадии D3 соединение (IIе) получают взаимодействием соединения (XV) с катехолбораном с последующим проведением реакции сочетания по Сузуки (Suzuki) полученного продукта и соединения (XXVIII). Данную стадию осуществляют так, как описано выше на стадии В3 способа В.
На стадии D4 соединение общей формулы (IId) получают обработкой соединения (IIa) в инертном растворителе методиками, включающими добавление воды в присутствии кислотного катализатора или реакцию оксимеркурирования с оксидом ртути. Данную стадию осуществляют так, как описано выше на стадии В8 способа В.
На стадии D5 соединение (IIе) получают восстановлением соединения (IId) в инертном растворителе. Данную стадию осуществляют так, как описано выше на стадии В11 способа В.
На стадии D6 соединение (IIf) синтезируют путем проведения реакции сочетания по Сузуки соединения (XXI) и соединения (XXVIII). Данную стадию осуществляют так, как описано выше на стадии В3 способа В.
На стадии D7 соединение (IIg) получают взаимодействием соединения (XXVIII) с солью щелочного металла соединения (XXIII) в условиях отсутствия растворителя или в инертном растворителе в присутствии медного катализатора. Данную стадию осуществляют так, как описано выше на стадии В14 способа В.
На стадии D8 соединение общей формулы (XLI) получают осуществлением взаимодействия соединения (XXVIII) с соединением (XXV). Данную стадию осуществляют так, как описано выше на стадии В1 способа В.
На стадии D9 соединение (IIа-1), которое является соединением (IIа), где Y представляет группу “-Yа-О-”, получают взаимодействием соединения (XLI) с соединением (XXVII). Данную стадию осуществляют так, как описано выше на стадии В17 способа В.
В способе Е получают соединения (XLIVa), (XLIVb), (La) и (Lb), являющиеся промежуточными продуктами для получения соединения (I) по настоящему изобретению
А
На приведенной схеме R1, R2, R3, R4a, R11, Ar, m и Z имеют указанные выше значения.
На стадии Е1 соединение общей формулы (XLIVa) или соединение общей формулы (XLIVb) получают избирательным ацилированием только одной гидроксильной группы соединения общей формулы (XLII) соединением общей формулы (XLIII) в присутствии или в отсутствие растворителя и в присутствии липазы.
Растворитель, используемый в настоящем изобретении, особо не ограничивают. Реакция протекает без проблем даже при использовании только соединения (XLIII) без всякого растворителя. Кроме того, можно использовать самые разные органические растворители и смеси воды и органических растворителей, хотя наиболее предпочтительный растворитель в данной реакции бывает разным в зависимости от характера соединения, используемого в качестве исходного соединения. Примеры предпочтительного растворителя включают простые эфиры, такие как диизопропиловый эфир, трет-бутилметиловый эфир, диэтиловый эфир или тетрагидрофуран, алифатические углеводороды, такие как н-гексан или н-пентан, ароматические углеводороды, такие как бензол или толуол, или галогенированные углеводороды, такие как метиленхлорид или 1,2-дихлорэтан. Предпочтительными являются простые эфиры, а наиболее предпочтительным является диизопропиловый эфир.
Температура реакции, в основном, зависит от исходных соединений, растворителя, липазы и характера соединения (XLIII), используемого в реакции. Реакцию обычно осуществляют при температуре от -50
На приведенной выше схеме Аr и Z имеют указанные выше значения.
На стадии 1 соединение (XLVI) получают взаимодействием соединения общей формулы (LII) с трифенилфосфином в инертном растворителе.
Инертный растворитель, используемый в указанной выше реакции, особо не ограничивают при условии, что он не оказывает вредного влияния на реакцию. Примеры подходящих растворителей включают алифатические углеводороды, такие как гексан, гептан, лигроин или петролейный эфир; ароматические углеводороды, такие как бензол, толуол или ксилол; галогенированные углеводороды, такие как метиленхлорид, хлороформ, тетрахлорид углерода, дихлорэтан, хлорбензол или дихлорбензол, или простые эфиры, такие как диэтиловый эфир, диизопропиловый эфир, тетрагидрофуран, диоксан, диметоксиэтан или диметиловый эфир ди(этиленгликоля). Из указанных растворителей предпочтительными являются ароматические углеводороды (особенно бензол).
Температура реакции, в основном, зависит от исходных соединений и растворителя, используемых в реакции. Реакцию обычно осуществляют при температуре от комнатной температуры до 200
м.д.: 7,11 (1Н, д, J=5,1 Гц), 6,90 (1H, дд, J=5,1, 3,5 Гц), 6,77 (1H, д, J=3,5 Гц), 5,69 (1Н, шс), 4,19 (2Н, kb, J=7,3 Гц), 3,66 (3Н, с), 2,84 (2Н, дд, J=10,5, 10,5 Гц), 2,64 (2Н, м), 2,20 (2Н, дд, J=10,5, 8,4 Гц), 1,61 (3Н, с), 1,28 (3Н, т, J=7,3 Гц).
ИК, Vмах см-1 (СНСl3): 3417, 2987, 1719, 1503, 1453, 1081.
MC (FAB) м/z: 286 ((М+Н)+).
Пример 1(d)
2-Метоксикарбониламино-2-метил-4-(2-тиенил)бутан-1-ол
Этиловый эфир 2-метоксикарбониламино-2-метил-4-(2-тиенил)бутановой кислоты (14,7 г, 51,6 ммоль), полученный в примере 1(с), растворяли в смеси этанола (150 мл) и тетрагидрофурана (100 мл) и затем к полученному раствору добавляли борогидрид натрия (5,07 г, 0,13 моль) и хлорид лития (5,68 г, 0,13 моль) с последующим перемешиванием в течение ночи при комнатной температуре в атмосфере азота. На следующее утро к раствору добавляли аналогичным образом борогидрид натрия (5,07 г, 0,13 моль) и хлорид лития (5,68 г, 0,13 моль) и реакционную смесь перемешивали еще раз в течение ночи при комнатной температуре в атмосфере азота. Подобные описанным выше процедуры проводили в течение еще двух суток. Реакционную смесь вливали в охлаждаемую льдом 10% хлористоводородную кислоту (500 мл) и полученный раствор экстрагировали этилацетатом. Органический слой промывали насыщенным водным раствором хлорида натрия и сушили над безводным сульфатом магния. Растворитель концентрировали в вакууме и остаток очищали флэш-хроматографией на колонке с силикагелем (элюирующий растворитель:
гексан:этилацетат = 2:1-1:5) с получением указанного в заголовке соединения (11,7 г, выход 93%) в виде белого кристаллического твердого вещества.
ИК, Vmах см-1 (КВr): 3406, 3244, 1687, 1562, 1264, 1089.
MC (FAB) м/z: 244 ((М+Н)+).
Анализ. Вычислено (%) для C11H17NO3S: С, 54,30; Н, 7,04; N, 5,76; S, 13,18.
Найдено: С, 54,18; Н, 6,98; N, 5,78; S, 13,34.
Пример 1(е)
2-Метоксикарбониламино-2-метил-4-(5-бромтиофен-2-ил)бутан-1-ол
2-Метоксикарбониламино-2-метил-4-(2-тиенил)бутан-1-ол (11,7 г, 48 ммоль), полученный в примере 1(d), растворяли в диметилформамиде (120 мл) и к полученному раствору на ледяной бане добавляли N-бромсукцинимид (10,8 г, 60,8 ммоль) с последующим перемешиванием в течение 4 часов при комнатной температуре в атмосфере азота. Реакционную смесь вливали в охлаждаемую льдом 10% хлористоводородную кислоту (300 мл) и экстрагировали этилацетатом. Органический слой промывали насыщенным водным раствором хлорида натрия и сушили над безводным сульфатом магния. Растворитель концентрировали в вакууме и остаток очищали флэш-хроматографией на колонке с силикагелем (элюирующий растворитель: гексан:этилацетат = 4:1-1:3) с получением указанного в заголовке соединения (12,4 г, выход 80%) в виде бледно-желтого масла.
ЯМР (400 МГц, CDCl3)
(220 г) и пиридинийхлорхромат (43,6 г, 0,20 моль) с последующим перемешиванием в течение 2 часов при комнатной температуре. Реакционный раствор разбавляли эфиром и затем раствор фильтровали. Фильтрат выпаривали в вакууме и остаток очищали хроматографией на колонке с силикагелем (элюирующий растворитель: н-гексан:этилацетат = 10:1-5:1) с получением указанного в заголовке соединения (28,8 г, выход 95%) в виде бесцветного масла.
ЯМР (400 МГц, CDCl3)
(10,5 г) и после перемешивания смеси в течение 10 минут при комнатной температуре добавляли пиридинийхлорхромат (2,1 г, 9,8 ммоль) с последующим перемешиванием в течение 1 часа. В реакционный раствор добавляли диэтиловый эфир и нерастворимые вещества отфильтровывали из раствора с помощью короткой колонки с силикагелем (элюирующий растворитель: диэтиловый эфир). Органические растворители фильтрата выпаривали в вакууме и полученный остаток (1,5 г) применяли в следующей реакции.
К суспензии метилтрифенилфосфонийбромида (4,5 г, 12,5 ммоль) в тетрагидрофуране (10 мл) добавляли трет-бутоксид калия (1,3 г, 11,5 ммоль) при 0
(2,0 г) и пиридинийхлорхромат (386 мг, 1,79 ммоль) с последующим перемешиванием в течение 1 часа при комнатной температуре. В реакционный раствор добавляли эфир и нерастворимые вещества отфильтровывали из раствора, после чего фильтрат выпаривали в вакууме. Остаток очищали флэш-хроматографией на колонке с силикагелем (элюирующий растворитель: н-гексан:этилацетат = 10:1) с получением указанного в заголовке соединения (160 мг, выход 90%) в виде бесцветного масла.
ЯМР (400 МГц, СDСl3)
(65,0 г) с последующим перемешиванием в течение 1 часа при комнатной температуре. Реакционный раствор разбавляли эфиром и затем раствор фильтровали на колонке с силикагелем. Фильтрат выпаривали в вакууме и остаток очищали флэш-хроматографией на колонке с силикагелем (элюирующий растворитель: н-гексан:этилацетат = 8:1) с получением указанного в заголовке соединения (8,07 г, выход 88%) в виде белого кристаллического твердого вещества.
ЯМР (400МГц, CDCl3)
(20 г) и пиридинийхлорхромат (4,07 г, 18,9 ммоль) с последующим перемешиванием в течение 1 часа при комнатной температуре. Реакционный раствор разбавляли эфиром и после отфильтровывания из реакционной смеси нерастворимых веществ фильтрат выпаривали в вакууме и остаток очищали флэш-хроматографией на колонке с силикагелем (элюирующий растворитель: н-гексан:этилацетат = 10:1) с получением указанного в заголовке соединения (2,79 г, выход 94%) в виде бесцветного масла.
ЯМР (400 МГц, СDСl3)
(58 г) и пиридинийхлорхромат (23,8 г, 0,11 моль) с последующим перемешиванием в атмосфере азота в течение 1 часа 40 минут. Реакционный раствор разбавляли эфиром и затем фильтровали его через Целит. Целит промывали диэтиловым эфиром и этот фильтрат добавляли к уже полученному фильтрату. Общий фильтрат выпаривали в вакууме и остаток очищали хроматографией на колонке с силикагелем (элюирующий растворитель: н-гексан:этилацетат = 20:1-10:1) с получением неочищенного 3-циклогексилоксипропиональдегида (8,6 г).
Дихлорметановый раствор (120 мл) трифенилфосфина (57,7 г, 0,22 моль) на ледяной бане добавляли по каплям к дихлорметановому раствору (120 мл), содержащему тетрабромид углерода (36,5 г, 0,11 моль) в атмосфере азота. По окончании прикапывания реакционную смесь перемешивали еще 5 минут. К реакционному раствору на ледяной бане добавляли по каплям в атмосфере азота дихлорметановый раствор (90 мл) неочищенного 3-циклогексилоксипропиональдегида (8,6 г), полученного выше, и по окончании прикапывания реакционную смесь перемешивали еще 25 минут. Реакционный раствор разбавляли дихлорметаном, промывали насыщенным водным раствором гидрокарбоната натрия и затем насыщенным водным раствором хлорида натрия. Дихлорметановый слой сушили над безводным сульфатом натрия и затем выпаривали в вакууме растворитель. Остаток очищали хроматографией на колонке с силикагелем (элюирующий растворитель: гексан:этилацетат = 100:1-33:1) с получением 4-циклогексилокси-1,1-дибромбут-1-ена (12,6 г, выход 55%, 2 способа).
К тетрагидрофурановому раствору (130 мл) полученного выше 4-циклогексилокси-1,1-дибромбут-1-ена (12,6 г, 40,4 ммоль) добавляли по каплям в атмосфере азота при -78
В таблице 5 соединением 1 для сравнения является соединение примера 29, описанное в WО 94/08943.
Пример 2 испытания
Определение ингибирующей активности соединений настоящего изобретения в отношении индуцирования адъювантного артрита
1. Приготовление адъюванта
Убитые тепловой обработкой бактерии Mycobacterium butylricum суспендировали в минеральном масле с концентрацией 2 мг/мл и подвергали обработке ультразвуком в ультразвуковом аппарате.
2. Приготовление испытуемого соединения
Испытуемое соединение суспендировали в 0,5% растворе трагаканта.
3. Индуцирование адъювантного артрита
Адъювант, приготовленный так, как описано в пункте 1, инъецировали внутрикожно в правую заднюю лапку крыс-самок (обычно использовали крыс Льюиса) в объеме 0,05 мл. В каждой группе было по пять крыс. В одной, контрольной группе крыс адъювант не впрыскивали.
4. Введение соединения
Раствор соединения, приготовленный так, как описано в пункте 2, вводили крысам перорально со дня инъекции адъюванта один раз в сутки в течение 21 суток в виде дозы 5 мл/кг. Одной группе крыс, обработанных адъювантом (контрольная группа), а также крысам, не обработанным адъювантом, вводили перорально раствор (0,5%) трагаканта.
5. Методика вычисления ингибирующей активности соединения
С помощью плетизмометра определяли объем правой задней лапки. Из каждого отдельного объема вычитали объем здоровой лапки и разность использовали как приращение объема. Затем из каждого отдельного приращения объема у крыс, подвергнутых обработке соединением, и у контрольных крыс вычисляли ингибирующую активность соединения. Из использованных для обработки доз и средней степени ингибирования в группе получали значения ID50 соединения.
Данный эксперимент показал, что соединение по настоящему изобретению обладает высокой ингибирующей активностью.
Результаты даны в таблице 6.
В таблице 6 соединением для сравнения является соединение примера 29, описанное в WО 94/08943.
где R1 и R2 являются одинаковыми или различными и представляют каждый атом водорода или аминозащитную группу;
R3 представляет атом водорода или гидроксизащитную группу;
R4 представляет низшую алкильную группу;
n представляет целое число от 1 до 6;
Х представляет этиленовую группу, виниленовую группу, этиниленовую группу, группу формулы -D-CH2– (где D представляет карбонильную группу, группу формулы -СН(ОН)- или атом кислорода) или арильную группу;
Y представляет одинарную связь, С1-С10алкиленовую группу, С1-С10алкиленовую группу, замещенную 1-3 заместителями, выбранными из групп а и b заместителей, С1-С10алкиленовую группу, содержащую атом кислорода в указанной углеродной цепи или на конце указанной углеродной цепи, или 1-С10алкиленовую группу, замещенную 1-3 заместителями, выбранными из групп а и b заместителей, и содержащую атом кислорода в указанной углеродной цепи или на конце указанной углеродной цепи;
R5 представляет атом водорода, циклоалкильную группу, арильную группу, циклоалкильную группу, замещенную 1-3 заместителями, выбранными из групп а и b заместителей, или арильную группу, замещенную 1-3 заместителями, выбранными из групп а и b заместителей;
R6 и R7 являются одинаковыми или различными и представляют каждый атом водорода, атом галогена или низшую алкильную группу;
при условии, что когда R5 представляет атом водорода, то Y не является одинарной связью или неразветвленной С1-С10алкиленовой группой;
группа а заместителей состоит из атома галогена, низшей алкильной группы, низшей алкоксигруппы, низшей алкилтиогруппы, карбоксильной группы и низшей алифатической ацильной группы;
группа b заместителей состоит из циклоалкильной группы, арильной группы, циклоалкильной группы, замещенной 1-3 заместителями, выбранными из группы а заместителей, и арильной группы, замещенной 1-3 заместителями, выбранными из группы а заместителей.
2. Соединение по п.1, где указанное соединение имеет формулу (Iа), или его фармакологически приемлемая соль, сложный эфир или другое производное:
3. Соединение по п.1, где указанное соединение имеет формулу (Ib), или его фармакологически приемлемая соль, сложный эфир или другое производное:
4. Соединение по любому из пп.1-3, где R1 и R2 являются одинаковыми или различными и представляют каждый атом водорода, низшую алкоксикарбонильную группу, аралкилоксикарбонильную группу или аралкилоксикарбонильную группу, замещенную 1-3 заместителями, выбранными из группы а заместителей, или его фармакологически приемлемая соль, сложный эфир или другое производное.
5. Соединение по любому из пп.1-3, где каждый из R1 и R2 представляет атом водорода, или его фармакологически приемлемая соль, сложный эфир или другое производное.
6. Соединение по любому из пп.1-5, где R3 представляет атом водорода, низшую алкильную группу, низшую алифатическую ацильную группу, ароматическую ацильную группу или ароматическую ацильную группу, замещенную 1-3 заместителями, выбранными из группы а заместителей, или его фармакологически приемлемая соль, сложный эфир или другое производное.
7. Соединение по любому из пп.1-5, где R3 представляет атом водорода, или его фармакологически приемлемая соль, сложный эфир или другое производное.
8. Соединение по любому из пп.1-7, где R4 представляет С1-С4алкильную группу, или его фармакологически приемлемая соль, сложный эфир или другое производное.
9. Соединение по любому из пп.1-7, где R4 представляет С1-С2алкильную группу, или его фармакологически приемлемая соль, сложный эфир или другое производное.
10. Соединение по любому из пп.1-7, где R4 представляет метильную группу, или его фармакологически приемлемая соль, сложный эфир или другое производное.
11. Соединение по любому из пп.1-10, где n равно 2 или 3, или его фармакологически приемлемая соль, сложный эфир или другое производное.
12. Соединение по любому из пп.1-10, где n равно 2, или его фармакологически приемлемая соль, сложный эфир или другое производное.
13. Соединение по любому из пп.1-12, где Х представляет этиленовую группу, этиниленовую группу или арильную группу, или его фармакологически приемлемая соль, сложный эфир или другое производное.
14. Соединение по любому из пп.1-12, где Х представляет этиленовую группу, или его фармакологически приемлемая соль, сложный эфир или другое производное.
15. Соединение по любому из пп.1-12, где Х представляет этиниленовую группу, или его фармакологически приемлемая соль, сложный эфир или другое производное.
16. Соединение по любому из пп.1-12, где Х представляет группу формулы -D-CH2-, или его фармакологически приемлемая соль, сложный эфир или другое производное.
17. Соединение по любому из пп.1-12, где Х представляет группу формулы -D-CH2– (где D представляет карбонильную группу или группу формулы -СН(ОН)-), или его фармакологически приемлемая соль, сложный эфир или другое производное.
18. Соединение по любому из пп.1-17, где Y представляет С1-С10алкиленовую группу или С1-С10алкиленовую группу, замещенную 1-3 заместителями, выбранными из групп а и b заместителей, или его фармакологически приемлемая соль, сложный эфир или другое производное.
19. Соединение по любому из пп.1-17, где Y представляет С1-С6алкиленовую группу или С1-С6алкиленовую группу, замещенную 1-3 заместителями, выбранными из групп а и b заместителей, или его фармакологически приемлемая соль, сложный эфир или другое производное.
20. Соединение по любому из пп.1-17, где Y представляет этиленовую группу, триметиленовую группу, тетраметиленовую группу, этиленовую группу, замещенную 1-3 заместителями, выбранными из групп а и b заместителей, триметиленовую группу, замещенную 1-3 заместителями, выбранными из групп а и b заместителей, или тетраметиленовую группу, замещенную 1-3 заместителями, выбранными из групп а и b заместителей, или его фармакологически приемлемая соль, сложный эфир или другое производное.
21. Соединение по любому из пп.1-17, где Y представляет этиленовую группу, триметиленовую группу или тетраметиленовую группу, или его фармакологически приемлемая соль, сложный эфир или другое производное.
22. Соединение по любому из пп.1-17, где Y представляет этиленовую группу или триметиленовую группу, или его фармакологически приемлемая соль, сложный эфир или другое производное.
23. Соединение по любому из пп.1-17, где Y представляет С1-С10алкиленовую группу, содержащую атом кислорода в указанной углеродной цепи или на конце указанной углеродной цепи, или 1-С10алкиленовую группу, замещенную 1-3 заместителями, выбранными из групп а и b заместителей, и содержащую атом кислорода в указанной углеродной цепи или на конце указанной углеродной цепи, или его фармакологически приемлемая соль, сложный эфир или другое производное.
24. Соединение по любому из пп.1-17, где Y представляет С1-С10алкиленовую группу, содержащую атом кислорода в указанной углеродной цепи или на конце указанной углеродной цепи, или его фармакологически приемлемая соль, сложный эфир или другое производное.
25. Соединение по любому из пп.1-17, где Y представляет С1-С6алкиленовую группу, содержащую атом кислорода в указанной углеродной цепи или на конце указанной углеродной цепи, или его фармакологически приемлемая соль, сложный эфир или другое производное.
26. Соединение по любому из пп.1-17, где Y представляет группу формулы -O-CH2-, -O-(CH2)2-, -O-(CH2)3-, -CH2-O-, -(CH2)2-O- или -(CH2)3-O-, или его фармакологически приемлемая соль, сложный эфир или другое производное.
27. Соединение по любому из пп.1-17, где Y представляет группу формулы -CH2-O-, или его фармакологически приемлемая соль, сложный эфир или другое производное.
28. Соединение по любому из пп.1-17, где Y представляет группу формулы -O-(CH2)2– или -(CH2)2-O-, или его фармакологически приемлемая соль, сложный эфир или другое производное.
29. Соединение по любому из пп.1-28, где R5 представляет атом водорода, или его фармакологически приемлемая соль, сложный эфир или другое производное.
30. Соединение по любому из пп.1-28, где R5 представляет циклоалкильную группу или циклоалкильную группу, замещенную 1-3 заместителями, выбранными из групп а и b заместителей, или его фармакологически приемлемая соль, сложный эфир или другое производное.
31. Соединение по любому из пп.1-28, где R5 представляет циклоалкильную группу, или его фармакологически приемлемая соль, сложный эфир или другое производное.
32. Соединение по любому из пп.1-28, где R5 представляет циклогексильную группу, или его фармакологически приемлемая соль, сложный эфир или другое производное.
33. Соединение по любому из пп.1-28, где R5 представляет арильную группу или арильную группу, замещенную 1-3 заместителями, выбранными из групп а и b заместителей, или его фармакологически приемлемая соль, сложный эфир или другое производное.
34. Соединение по любому из пп.1-28, где R5 представляет арильную группу или арильную группу, замещенную 1-3 заместителями (указанный заместитель выбран из группы, состоящей из атома галогена, низшей алкильной группы, низшей алкоксигруппы, низшей алкилтиогруппы и низшей алифатической ацильной группы), или его фармакологически приемлемая соль, сложный эфир или другое производное.
35. Соединение по любому из пп.1-28, где R5 представляет арильную группу или арильную группу, замещенную 1-3 заместителями (указанный заместитель выбран из группы, состоящей из атома галогена, низшей алкильной группы, низшей алкоксигруппы и низшей алифатической ацильной группы), или его фармакологически приемлемая соль, сложный эфир или другое производное.
36. Соединение по любому из пп.1-28, где R5 представляет фенильную группу или фенильную группу, замещенную 1-3 заместителями (указанный заместитель выбран из группы, состоящей из атома галогена, низшей алкильной группы, низшей алкоксигруппы и низшей алифатической ацильной группы), или его фармакологически приемлемая соль, сложный эфир или другое производное.
37. Соединение по любому из пп.1-28, где R5 представляет фенильную группу или фенильную группу, замещенную 1-3 заместителями (указанный заместитель выбран из группы, состоящей из атома фтора, атома хлора, метила, метокси и ацетильной группы), или его фармакологически приемлемая соль, сложный эфир или другое производное.
38. Соединение по любому из пп.1-28, где R5 представляет фенил, 3-фторфенил, 4-фторфенил, 3,4-дифторфенил, 3,5-дифторфенил, 3-хлорфенил, 4-хлорфенил, 3,4-дихлорфенил, 3,5-дихлорфенил, 3-метилфенил, 4-метилфенил, 3,4-диметилфенил, 3,5-диметилфенил, 3-метоксифенил, 4-метоксифенил, 3,4-диметоксифенил, 3,5-диметоксифенил, 3,4,5-триметоксифенил, 3-ацетилфенил или 4-ацетилфенил, или его фармакологически приемлемая соль, сложный эфир или другое производное.
39. Соединение по любому из пп.1-38, где каждый из R6 и R7 представляет атом галогена, или его фармакологически приемлемая соль, сложный эфир или другое производное.
40. Соединение по п.1, где указанное соединение или его фармакологически приемлемые соли, сложные эфиры или другие производные выбраны из следующих соединений, включающих:
2-амино-2-метил-4-[5-(6-циклогексилгексил)тиофен-2-ил]бутан-1-ол,
2-амино-2-метил-4-[5-(5-циклогексилпентил)тиофен-2-ил]бутан-1-ол,
2-амино-2-метил-4-[5-(4-циклогексилбутил)тиофен-2-ил]бутан-1-ол,
2-амино-2-метил-4-[5-(6-циклогексилгекс-1-инил)тиофен-2-ил]бутан-1-ол,
2-амино-2-метил-4-[5-(5-циклогексилпент-1-инил)тиофен-2-ил]бутан-1-ол,
2-амино-2-метил-4-[5-(4-циклогексилбут-1-инил)тиофен-2-ил]бутан-1-ол,
2-амино-2-метил-4-[5-(6-циклогексилгексаноил)тиофен-2-ил]бутан-1-ол,
2-амино-2-метил-4-[5-(5-циклогексилпентаноил)тиофен-2-ил]-бутан-1-ол,
2-амино-2-метил-4-[5-(4-циклогексилбутаноил)тиофен-2-ил]бутан-1-ол,
2-амино-2-этил-4-[5-(6-циклогексилгексил)тиофен-2-ил]бутан-1-ол,
2-амино-2-этил-4-[5-(5-циклогексилпентил)тиофен-2-ил]бутан-1-ол,
2-амино-2-этил-4-[5-(4-циклогексилбутил)тиофен-2-ил]бутан-1-ол,
2-амино-2-этил-4-[5-(6-циклогексилгекс-1-инил)тиофен-2-ил]бутан-1-ол,
2-амино-2-этил-4-[5-(5-циклогексилпент-1-инил)тиофен-2-ил]бутан-1-ол,
2-амино-2-этил-4-[5-(4-циклогексилбут-1-инил)тиофен-2-ил]бутан-1-ол,
2-амино-2-этил-4-[5-(6-циклогексилгексаноил)тиофен-2-ил]бутан-1-ол,
2-амино-2-этил-4-[5-(5-циклогексилпентаноил)тиофен-2-ил]бутан-1-ол,
2-амино-2-этил-4-[5-(4-циклогексилбутаноил)тиофен-2-ил]бутан-1-ол,
2-амино-2-метил-4-[5-(6-фенилгексил)тиофен-2-ил]бутан-1-ол,
2-амино-2-метил-4-[5-(5-фенилпентил)тиофен-2-ил]бутан-1-ол,
2-амино-2-метил-4-[5-(4-фенилбутил)тиофен-2-ил]бутан-1-ол,
2-амино-2-метил-4-[5-(6-фенилгекс-1-инил)тиофен-2-ил]бутан-1-ол,
2-амино-2-метил-4-[5-(5-фенилпент-1-инил)тиофен-2-ил]бутан-1-ол,
2-амино-2-метил-4-[5-(4-фенилбут-1-инил)тиофен-2-ил]бутан-1-ол,
2-амино-2-метил-4-[5-(6-фенилгексаноил)тиофен-2-ил]бутан-1-ол,
2-амино-2-метил-4-[5-(5-фенилпентаноил)тиофен-2-ил]бутан-1-ол,
2-амино-2-метил-4-[5-(4-фенилбутаноил)тиофен-2-ил]бутан-1-ол
2-амино-2-метил-4-[5-(5-циклогексилоксипент-1-инил)тиофен-2-ил]бутан-1-ол,
2-амино-2-метил-4-[5-(4-циклогексилоксибут-1-инил)тиофен-2-ил]бутан-1-ол,
2-амино-2-метил-4-[5-(3-циклогексилоксипропинил)тиофен-2-ил]-бутан-1-ол,
2-амино-2-метил-4-[5-(5-циклогексилоксипентил)тиофен-2-ил]бутан-1-ол,
2-амино-2-метил-4-[5-(4-циклогексилоксибутил)тиофен-2-ил]бутан-1-ол,
2-амино-2-метил-4-[5-(3-циклогексилоксипропил)тиофен-2-ил]бутан-1-ол,
2-амино-2-метил-4-[5-(5-циклогексилоксипентаноил)тиофен-2-ил]-бутан-1-ол,
2-амино-2-метил-4-[5-(4-циклогексилоксибутаноил)тиофен-2-ил]бутан-1-ол,
2-амино-2-метил-4-[5-(3-циклогексилоксипропаноил)тиофен-2-ил]бутан-1-ол,
2-амино-2-метил-4-[5-(5-феноксипент-1-инил)тиофен-2-ил]бутан-1-ол,
2-амино-2-метил-4-[5-(4-феноксибут-1-инил)тиофен-2-ил]бутан-1-ол,
2-амино-2-метил-4-[5-(3-феноксипропинил)тиофен-2-ил]бутан-1-ол,
2-амино-2-метил-4-[5-(5-феноксипентил)тиофен-2-ил]бутан-1-ол
2-амино-2-метил-4-[5-(4-феноксибутил)тиофен-2-ил]бутан-1-ол,
2-амино-2-метил-4-[5-(3-феноксипропил)тиофен-2-ил]бутан-1-ол
2-амино-2-метил-4-[5-(5-феноксипентаноил)тиофен-2-ил]бутан-1-ол,
2-амино-2-метил-4-[5-(4-феноксибутаноил)тиофен-2-ил]бутан-1-ол,
2-амино-2-метил-4-[5-(3-феноксипропаноил)тиофен-2-ил]бутан-1-ол,
2-амино-2-метил-4-[5-(4-бензилоксифенил)тиофен-2-ил]бутан-1-ол,
2-амино-2-метил-4-[5-(4-циклогексилметоксифенил)тиофен-2-ил]бутан-1-ол,
2-амино-2-метил-4-[5-(4-циклогексилэтоксифенил)тиофен-2-ил]бутан-1-ол,
2-амино-2-метил-4-[5-(3-циклогексилметоксипропинил)тиофен-2-ил]бутан-1-ол,
2-амино-2-метил-4-[5-(3-циклогексилметоксипропил)тиофен-2-ил]бутан-1-ол и
2-амино-2-метил-4-[5-(3-циклогексилметоксипропаноил)тиофен-2-ил]бутан-1-ол.
41. Соединение по п.1, где указанное соединение или его фармакологически приемлемые соли, сложные эфиры или другие производные выбраны из следующих соединений, включающих:
2-амино-2-метил-4-[5-(4-циклогексилбутил)тиофен-2-ил]бутан-1-ол,
2-амино-2-метил-4-[5-(5-циклогексилпентил)тиофен-2-ил]бутан-1-ол,
2-амино-2-метил-4-[5-(5-фенилпентил)тиофен-2-ил]бутан-1-ол,
2-амино-2-метил-4-[5-(4-циклогексилоксибутил)тиофен-2-ил]бутан-1-ол,
2-амино-2-метил-4-{5-[4-(4-фторфенокси)бутил]тиофен-2-ил}бутан-1-ол,
2-амино-2-метил-4-{5-[4-(4-метоксифенокси)бутил]тиофен-2-ил}бутан-1-ол,
2-амино-2-метил-4-[5-(4-бензилоксибутил)тиофен-2-ил]бутан-1-ол,
2-амино-2-метил-4-[5-(4-циклогексилбут-1-инил)тиофен-2-ол]бутан-1-ол,
2-амино-2-метил-4-[5-(4-фенилбут-1-инил)тиофен-2-ил]бутан-1-ол,
2-амино-2-метил-4-[5-(5-циклогексилпент-1-инил)тиофен-2-ил]бутан-1-ол,
2-амино-2-метил-4-[5-(5-фенилпент-1-инил)тиофен-2-ил]бутан-1-ол,
2-амино-2-метил-4-{5-[5-(4-фторфенил)пент-1-инил]тиофен-2-ил}бутан-1-ол,
2-амино-2-метил-4-{5-[5-(4-метоксифенил)пент-1-инил]тиофен-2-ил}бутан-1-ол,
2-амино-2-метил-4-{5-[3-(4-метилциклогексилокси)пропинил]тиофен-2-ил}бутан-1-ол,
2-амино-2-метил-4-{5-[3-(4-метилфенокси)пропинил]тиофен-2-ил}бутан-1-ол,
2-амино-2-метил-4-{5-[3-(4-этилфенокси)пропинил]тиофен-2-ил}бутан-1-ол,
2-амино-2-метил-4-{5-[3-(4-метилтиофенокси)пропинил]тиофен-2-ил}бутан-1-ол,
2-амино-2-метил-4-[5-(4-циклогексилоксибут-1-инил)тиофен-2-ил]бутан-1-ол,
2-амино-2-метил-4-{5-[4-(4-фторфенокси)бут-1-инил]тиофен-2-ил}бутан-1-ол,
2-амино-2-метил-4-{5-[4-(4-метилфенокси)бут-1-инил]тиофен-2-ил}бутан-1-ол,
2-амино-2-метил-4-[5-(3-циклогексилметоксипропинил)тиофен-2-ил]бутан-1-ол,
2-амино-2-метил-4-[5-(4-фенилметоксибут-1-инил)тиофен-2-ил]бутан-1-ол,
2-амино-2-метил-4-[5-(4-циклогексилбутаноил)тиофен-2-ил]бутан-1-ол,
2-амино-2-метил-4-[5-(4-фенилбутаноил)тиофен-2-ил]бутан-1-ол
2-амино-2-метил-4-[5-(5-циклогексилпентаноил)тиофен-2-ил]бутан-1-ол,
2-амино-2-метил-4-[5-(5-фенилпентаноил)тиофен-2-ил]бутан-1-ол,
2-амино-2-метил-4-{5-[5-(4-фторфенил)пентаноил]тиофен-2-ил}бутан-1-ол,
2-амино-2-этил-4-[5-(5-циклогексилпентил)тиофен-2-ил]бутан-1-ол,
2-амино-2-этил-4-[5-(5-циклогексилпент-1-инил)тиофен-2-ил]бутан-1-ол и
2-амино-2-этил-4-[5-(5-циклогексилпентаноил)тиофен-2-ил]бутан-1-ол.
42. Соединение по п.1, где указанное соединение или его фармакологически приемлемые соли, сложные эфиры или другие производные выбраны из следующих соединений, включающих:
2-амино-2-метил-4-{5-[3-(4-хлорфенокси)пропинил]тиофен-2-ил}бутан-1-ол,
2-амино-2-метил-4-{5-[3-(3-метилфенокси)пропинил]тиофен-2-ил}бутан-1-ол,
2-амино-2-метил-4-{5-[3-(3,4-диметилфенокси)пропинил]тиофен-2-ил}бутан-1-ол,
2-амино-2-метил-4-{5-[3-(3-метоксифенокси)пропинил]тиофен-2-ил}бутан-1-ол,
2-амино-2-метил-4-{5-[3-(3,4-диметоксифенокси)пропинил]тиофен-2-ил}бутан-1-ол,
2-амино-2-метил-4-{5-[3-(3,5-диметоксифенокси)пропинил]тиофен-2-ил}бутан-1-ол,
2-амино-2-метил-4-{5-[3-(3-ацетилфенокси)пропинил]тиофен-2-ил}бутан-1-ол и
2-амино-2-метил-4-{5-[3-(4-ацетилфенокси)пропинил]тиофен-2-ил}бутан-1-ол.
43. Фармацевтическая композиция, обладающая иммунодепрессивной активностью, содержащая фармацевтически приемлемый разбавитель или носитель и соединение формулы (I) или его фармакологически приемлемую соль, сложный эфир или другое производное по любому из пп.1-42.
44. Фармацевтическая композиция по п.43 для профилактики или лечения аутоиммунного заболевания.
45. Фармацевтическая композиция по п.44, где указанное аутоиммунное заболевание представляет собой ревматоидный артрит.
46. Фармацевтическая композиция по п.43 для подавления иммунологического отторжения после трансплантации органов.
47. Соединение формулы (I) или его фармакологически приемлемая соль, сложный эфир или другое производное по любому из пп.1-42 для применения в качестве средства для профилактики или лечения аутоиммунного заболевания.
48. Соединение по п.47, где указанное аутоиммунное заболевание представляет собой ревматоидный артрит.
49. Соединение по п.47, где указанное средство является средством для подавления иммунологического отторжения после трансплантации органов.
50. Способ профилактики или лечения ревматоидного артрита или подавления иммунологического отторжения после трансплантации органов у теплокровного животного, которым может быть человек, включающий введение фармакологически эффективного количества соединения формулы (I) или его фармакологически приемлемой соли, сложного эфира или другого производного по любому из пп.1-42 нуждающемуся в этом теплокровному животному.
51. Способ по п.50 для профилактики или лечения ревматоидного артрита.
52. Способ по п.50 для подавления иммунологического отторжения после трансплантации органов.
53. Соединение формулы (La) или (Lb):
где R1 и R2 являются одинаковыми или различными и представляет каждый атом водорода или аминозащитную группу;
R3а представляет атом водорода или гидроксизащитную группу или, когда R1 представляет атом водорода, R2 и R3а, взятые вместе, образуют группу формулы -(С=О)-;
R4а представляет С1-С20алкильную группу, С2-С20алкильную группу, прерванную гетероатомом(ами), С1-С20алкильную группу, замещенную арильной группой(ами) или гетероарильной группой(ами), С2-С20алкинильную группу, С3-С20алкинильную группу, прерванную гетероатомом(ами), С2-С20алкинильную группу, замещенную арильной группой(ами) или гетероарильной группой(ами), С2-С20алкенильную группу, С3-С20алкенильную группу, прерванную гетероатомом(ами), С2-С20алкенильную группу, замещенную арильной группой(ами) или гетероарильной группой(ами), С2-С20алкильную группу, замещенную арильной группой(ами) или гетероарильной группой(ами) и прерванную гетероатомом(ами), или циклоалкильную группу;
m представляет целое число от 0 до 4;
Ar представляет арильную группу, гетероарильную группу, арильную группу, замещенную 1-5 заместителями, выбранными из группы а заместителей, гетероарильную группу, замещенную 1-5 заместителями, выбранными из группы а заместителей, при условии, что когда Ar представляет арильную группу, то R1 не является атомом водорода и R2 и/или R3а не представляют атом водорода;
группа а заместителей включает атом галогена, низшую алкильную группу, галогенированную низшую алкильную группу, низшую алкоксигруппу, низшую алкилтиогруппу, карбоксильную группу, низшую алкоксикарбонильную группу, гидроксильную группу, низшую алифатическую ацильную группу, аминогруппу, низшую моноалкиламиногруппу, низшую диалкиламиногруппу, низшую алифатическую ациламиногруппу, цианогруппу и нитрогруппу.
54. Соединение по п.53, где указанное соединение имеет формулу (La).
55. Соединение по п.53 или 54, где R1 представляет атом водорода.
56. Соединение по любому из пп.53-55, где R2 и R3а, взятые вместе, образуют группу формулы -(С=О)-.
57. Соединение по любому из пп.53-55, где R3а представляет атом водорода.
58. Соединение по любому из пп.53-57, где R4а представляет С1-С10алкильную группу, С2-С10алкильную группу, прерванную гетероатомом(ами), С1-С10алкильную группу, замещенную арильной группой(ами) или гетероарильной группой(ами), С2-С10алкинильную группу, С3-С10алкинильную группу, прерванную гетероатомом(ами), С2-С10алкинильную группу, замещенную арильной группой(ами) или гетероарильной группой(ами), С2-С10алкенильную группу, С3-С10алкенильную группу, прерванную гетероатомом(ами), С2-С10алкенильную группу, замещенную арильной группой(ами) или гетероарильной группой(ами), С2-С10алкильную группу, замещенную арильной группой(ами) или гетероарильной группой(ами) и прерванную гетероатомом(ами), или С5-С10циклоалкильную группу.
59. Соединение по любому из пп.53-57, где R4а представляет С1-С10алкильную группу, С2-С10алкильную группу, прерванную гетероатомом(ами), С1-С10алкильную группу, замещенную арильной группой(ами) или гетероарильной группой(ами), С2-С10алкинильную группу, С2-С10алкенильную группу или С5-С10циклоалкильную группу.
60. Соединение по любому из пп.53-57, где R4а представляет С1-С10алкильную группу.
61. Соединение по любому из пп.53-57, где R4а представляет С1-С6алкильную группу.
62. Соединение по любому из пп.53-57, где R4а представляет метильную группу или этильную группу.
63. Соединение по любому из пп.53-62, где Ar представляет фенильную, фурильную, тиенильную или бензотиенильную группу, причем указанные группы являются необязательно замещенными 1-4 заместителями, выбранными из группы а заместителей.
64. Соединение по любому из пп.53-62, где Ar представляет тиенильную группу или тиенильную группу, замещенную 1-4 заместителями, выбранными из группы а заместителей.
65. Соединение по любому из пп.53-62, где Ar представляет бензотиенильную группу или бензотиенильную группу, замещенную 1-4 заместителями, выбранными из группы а заместителей.
66. Соединение по пп.53-65, где m равно 0.
67. Соединение по любому из пп.53-66, где группа а заместителей представляет собой атом галогена, гидроксильную группу, низшую алкильную группу, галогенированную низшую алкильную группу, низшую алкоксигруппу, карбоксильную группу, низшую алифатическую ацильную группу, низшую алифатическую ациламиногруппу, аминогруппу, цианогруппу или нитрогруппу.
68. Соединение по п.53, где R1 представляет атом водорода, m равно 0, группа а заместителей представляет собой атом галогена, гидроксильную группу, низшую алкильную группу, галогенированную низшую алкильную группу, низшую алкоксигруппу, карбоксильную группу, низшую алифатическую ацильную группу, низшую алифатическую ациламиногруппу, аминогруппу, цианогруппу или нитрогруппу.
69. Способ получения соединения формулы (XLIVa) или XLIVb):
где R1 и R2 являются одинаковыми или различными и представляют каждый атом водорода или аминозащитную группу;
R4а представляет С1-С20алкильную группу, С2-С20алкильную группу, прерванную гетероатомом(ами), С1-С20алкильную группу, замещенную арильной группой(ами) или гетероарильной группой(ами), С2-С20алкинильную группу, С3-С20алкинильную группу, прерванную гетероатомом(ами), С2-С20алкинильную группу, замещенную арильной группой(ами) или гетероарильной группой(ами), С2-С20алкенильную группу, С3-С20алкенильную группу, прерванную гетероатомом(ами), С2-С20алкенильную группу, замещенную арильной группой(ами) или гетероарильной группой(ами), С2-С20алкильную группу, замещенную арильной группой(ами) или гетероарильной группой(ами) и прерванную гетероатомом(ами), или циклоалкильную группу;
R11 имеет такое же значение, как указано выше для R4а,
который включает избирательное ацилирование одной гидроксильной группы 2-замещенного производного 2-амино-1,3-пропандиола формулы (XLII)
где R1, R2 и R4а такие, как определено выше,
производным сложного эфира карбоновой кислоты формулы (XLIII)
R11СООСН=СН2 (XLIII)
где R11 такой же, как определено выше,
в присутствии липазы с получением 2-замещенного производного сложного моноэфира 2-амино-1,3-пропандиола формулы (XLIVa) или (XLIVb).
70. Способ получения по п.69, где один из R1 и R2 представляет атом водорода, а другой аминозащитную группу.
71. Способ получения по п.69 или 70, где R4а представляет С1-С10алкильную группу, С2-С10алкильную группу, прерванную гетероатомом(ами), С1-С10алкильную группу, замещенную арильной группой(ами) или гетероарильной группой(ами), С2-С10алкинильную группу, С3-С10алкинильную группу, прерванную гетероатомом(ами), С2-С10алкинильную группу, замещенную арильной группой(ами) или гетероарильной группой(ами), С2-С10алкенильную группу, С3-С10алкенильную группу, прерванную гетероатомом(ами), С2-С10алкенильную группу, замещенную арильной группой(ами) или гетероарильной группой(ами), С2-С10алкильную группу, замещенную арильной группой(ами) или гетероарильной группой(ами) и прерванную гетероатомом(ами), или С5-С10циклоалкильную группу.
72. Способ получения по п.69 или 70, где R4а представляет С1-С10алкильную группу, С2-С10алкильную группу, прерванную гетероатомом(ами), С1-С10алкильную группу, замещенную арильной группой(ами) или гетероарильной группой(ами), С2-С10алкинильную группу, С2-С10алкенильную группу или С5-С10циклоалкильную группу.
73. Способ получения по п.69-70, где R11 представляет С1-С20алкильную группу или С1-С20алкильную группу, замещенную арильной группой(ами) или гетероарильной группой(ами).
Приоритет по пунктам:
13.07.2000 по пп.69-73;
09.08.2000 по пп.1-41, 43-52;
19.09.2000 по п.68;
10.07.2001 по п.42, 53-67.