Патент на изобретение №2233586
|
||||||||||||||||||||||||||
(54) СРЕДСТВО ДЛЯ РЕГУЛЯЦИИ РЕПРОДУКТИВНОЙ ФУНКЦИИ И ПОЛОВОЙ АКТИВНОСТИ ПОЗВОНОЧНЫХ ЖИВОТНЫХ И СПОСОБ РЕГУЛЯЦИИ РЕПРОДУКТИВНОЙ ФУНКЦИИ И ПОЛОВОЙ АКТИВНОСТИ ПОЗВОНОЧНЫХ ЖИВОТНЫХ
(57) Реферат: Изобретение относится к области ветеринарии и животноводства. Средство для регуляции репродуктивной функции и половой активности позвоночных животных в качестве прогестагена содержит в эффективном количестве соединение общей формулы I.
где R – заместитель, содержащий арильный или гетерильный радикал. Соединение общей формулы I вводят позвоночным животным в эффективном количестве. Изобретение позволяет стимулировать охоту у животных и повысить синхронность ее проявления, регулировать гипер- и гипофункцию яичников животных, а также снизить половую активность особей обоего пола, при этом подавление половой цикличности носит обратимый характер. 2 с. и 8 з.п. ф-лы, 4 табл.
Изобретение относится к области ветеринарии и животноводства, а именно к средству и способу регуляции репродуктивной функции и половой активности позвоночных животных.
Известно средство для регуляции половой активности позвоночных животных, содержащее комбинацию гестагена и эстрогена в эффективных количествах, где в качестве гестагена используют 3,17-дигидрокси-6-метилпрегна-4,6-диен-20-он или его эфиры – “секс-барьер”. Средство используется для ингибирования репродукции позвоночных животных (см. патент RU 2101013 С1, 10.01.98).
Известен способ регуляции репродуктивной функции и половой активности позвоночных животных, включающий последовательное парентеральное введение прогестагена и хорионического гонадотропина с эстрадиола бензоатом (см., например, SU 974981, 23.11.82).
Способ используется для синхронизации охоты у сельскохозяйственных животных.
Задачей настоящего изобретения является повышение эффективности регуляции репродуктивной функции и половой активности позвоночных животных.
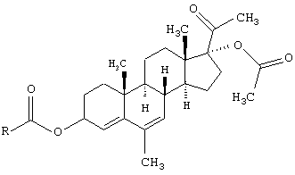
Поставленная задача в части средства и способа регуляции репродуктивной функции и половой активности позвоночных животных решается за счет того, что согласно изобретению в качестве прогестагена средство содержит в эффективном количестве соединение общей формулы I:
где R – заместитель, содержащий арильный (ароматический) или гетерильный (ароматический с гетероатомом) радикал, которое в эффективном количестве вводят животному.
Целесообразно к соединению общей формулы I добавлять в эффективном количестве природный или синтетический эстроген.
Целесообразно в качестве прогестагена использовать эффективное количество соединения формулы I, где R=-(СН3)2С6Н5 – фенилпропионат амола.
Целесообразно также в качестве прогестагена использовать эффективное количество соединения формулы I, где R=-C5H4N – изоникотинат амола.
Рекомендуется также в состав средства вводить витамины в эффективном количестве и/или вкусовые добавки и отдушки.
Целесообразно также в состав средства вводить нейротропные средства (центральные холинолитики или адреноблокаторы) в эффективном количестве.
Целесообразно вводить животным эффективное количество соединения общей формулы I в виде таблеток.
Рекомендуется также вводить животным эффективное количество соединения общей формулы I в виде порошков.
Рекомендуется также вводить животным эффективное количество соединения общей формулы I в виде капсул.
Целесообразно также вводить животным эффективное количество соединения общей формулы I в виде вагинальных свечей.
Рекомендуется также вводить животным эффективное количество соединения общей формулы I в виде маточных спиралей.
Целесообразно также вводить животным соединения общей формулы I в виде капель (с использованием в качестве растворителя полиэтиленгликоля или природных растительных масел).
Рекомендуется также вводить животным соединения общей формулы I в виде инъекций.
Целесообразно также вводить животным соединения общей формулы I в виде подкожных имплантатов.
Рекомендуется при введении животным эффективного количества соединений общей формулы I дополнительно вводить СЖК в эффективном количестве.
Целесообразно также при введении животным эффективного количества соединений общей формулы I дополнительно вводить простагландин в эффективном количестве.
Технический результат, обеспечиваемый изобретением, как в части средства, так и в части способа, состоит в том, что они позволяют стимулировать охоту у животных и повысить синхронность ее проявления, регулировать гипер- и гипофункцию яичников животных, а также снизить половую активность особей обоего пола, при этом подавление половой цикличности носит обратимый характер.
Средство и способ регуляции репродуктивной функции и половой активности позвоночных животных согласно изобретению иллюстрируются следующими примерами, которые, однако, не охватывают, а тем более не ограничивают весь объем притязаний данного изобретения.
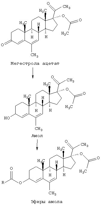
Схема получения стероидных эфиров
R см. в таблице 1 физико-химических данных
Пример 1. Получение соединений общей формулы I на примере получения фенилпропионата амола.
К раствору 10 г 17 -ацетокси-3 -гидрокси-6-метилпрегна-4,6-диен-20-она (амола) в 30 мл пиридина при перемешивании прибавляют 6,8 мл хлорангидрида фенилпропионовой (гидрокоричной) кислоты. Реакционную массу перемешивают и добавляют 10 мл концентрированного раствора аммиака, повторно перемешивают и затем добавляют 60 мл воды. Через 30 мин выдержки при комнатной температуре охлаждают до 10 С и выдерживают 2 часа при комнатной температуре. Осадок отфильтровывают, промывают водой, сушат до постоянного веса. Получают 13,21 (98,6% от теоретич.) фенилпропионата амола. Выход очищенного фенилпропионата амола 12,1 г (90,3% от теоретич.), т. пл. 140-142 С, сумма посторонних примесей менее 1% (ТСХ).
По принятой в токсикологии классификации вышеприведенные соединения, обладающие гестагенной активностью, относятся к малотоксичным соединениям (ЛД50 при введении per os более 10 г). При аппликациях на кожу и слизистые препараты не оказывают местно-раздражающего действия, однако способны проникать через неповрежденные кожные покровы, что делает их опасными в условиях производства, так как одномоментное разовое попадание препарата на кожу работающего будет оказывать действие в течение продолжительного времени (в зависимости от соблюдения работающим мер индивидуальной защиты и режима личной гигиены).
Пример 2. Влияние нейротропных средств на контрацептивный эффект заявляемой группы соединений.
Влияние нейротропных препаратов (центральных холинолитиков – амизила и спазмолитина и адреноблокаторов на примере пирроксана) было изучено на крысах при сочетанном использовании нейротропных средств с фенилпропионатом амола и этинилэстрадиолом. Результаты опытов приведены в таблице 2.
Сочетанное использование нейротропных средств с гестагенами заявленного ряда и этинилэстрадиолом приводит к усилению контрацептивного действия, что может позволить использовать изученные соединения с целью контрацепции в меньших концентрациях.
Пример 3. Подавление полового возбуждения у позвоночных животных.
В качестве подопытных животных использовали кошек и собак. Результаты опытов приведены в таблице 3.
Данные, приведенные в таблице 3, показывают, что препарат является эффективным средством для угнетения полового возбуждения у всех подопытных животных.
Пример 4. Регуляция репродуктивной функции.
Опыты поставлены на 30 половозрелых крысах-самках массой 180-200 г с нормальным эстральным циклом. Животных содержали в стандартных клетках. Для кормления использовали комбикорма, овощи и творог. Освещение вивария – режимное. Температура помещения вивария – 20 С. Препарат (фенилпропионат) вводили внутрь в масляной форме в течение 14 дней в дозе 0,6 мг/кг массы в сочетании с этинилэстрадиолом (0,03 мг/кг).
К самкам подсаживали крыс-самцов через 3 дня с начала введения испытуемым препаратов. День оплодотворения определяли по наличию сперматозоидов во влагалищных мазках. Контрацептивная активность оценивалась по числу небеременных крыс из числа оплодотворенных.
Установлено, что введение препарата вызывает противозачаточный эффект у 87,5% крыс.
Таким образом, полученные результаты позволяют судить о достижении поставленной цели – получен высокоэффективный препарат, использование которого приводит к стойкому контрацептивному эффекту у животных.
Пример 5. Изучение влияния соединений общей формулы I на синхронность проявления охоты у коров.
Опыты проводились на 3-х группах коров общей численностью 45 голов. Коров 1-ой группы обрабатывали одним из соединений общей формулы I – изоникотинатом амола в сочетании с аналогами простагландина F2 и СЖК, для обработки коров 2-ой и 3-ей групп в качестве прогестагена использовали прогестерон и ацетомепрегенол.
Результаты обработки животных приведены в таблице 4.
Данные, приведенные в таблице 4, показывают, что использование заявленных соединений позволяет получить высокий синхронизирующий эффект.
Пример 6.
Были обследованы 200 коров. Из числа обследованного поголовья были отобраны опытная и контрольная группы по 19 и 5 голов соответственно.
Коровам опытной группы ввели внутримышечно по 10,0 мл сурфагона, 10,0 мл 1,0%-ного раствора фенилпропионата амола в смеси тетравита и бензилбензоата (7 частей тетравита и 3 части бензилбензоата) и с интервалом 7 дней по 1000,00 ИЕ фоллигона и 500 мкг эструмата. В контрольной группе применяли ту же схему обработок, но вместо фенилпропионата амола вводили 10,0 мл 1,25%-ного прогестерона в смеси с тетравитом.
Все коровы опытной и контрольной группы через 48 часов после инъекции эструмата проявили признаки охоты и были осеменены; животным перед осеменением инъецировано внутримышечно по 5,0 мл сурфагона.
У 10 коров опытной группы и у всех контрольных животных 04.12; 07.12; 09.12; 13.12 взяли образцы крови для последующего определения динамики профиля половых стероидов (прогестерона и 17 -эстрадиола).
Предварительный анализ результатов показал, что испытуемый препарат фенилпропионат амола в дозе 0,1 г на голову блокирует функциональную деятельность яичников коров, как минимум на 7 дней. Побочного действия препарата не обнаружено.
Формула изобретения 1. Средство для регуляции репродуктивной функции и половой активности позвоночных животных на основе прогестагена, отличающееся тем, что в качестве прогестагена средство содержит в эффективном количестве соединение общей формулы
где R – заместитель, содержащий арильный (ароматический) или гетерильный (ароматический с гетероатомом) радикал.
2. Средство по п.1, отличающееся тем, что дополнительно содержит в эффективном количестве природный или синтетический эстроген.
3. Средство по любому из пп.1 и 2, отличающееся тем, что в качестве прогестагена содержит в эффективном количестве соединения формулы I, где R = – (СН2)2С6Н5 – фенилпропионат амола.
4. Средство по любому из пп.1 и 2, отличающееся тем, что в качестве прогестагена содержит в эффективном количестве соединение формулы I, где R = – С5Н4N – изоникотинат амола.
5. Средство по любому из пп.1-4, отличающееся тем, что дополнительно содержит витамины в эффективном количестве и/или вкусовые добавки и отдушки.
6. Средство по любому из пп.1-5, отличающееся тем, что дополнительно содержит нейротропные средства в эффективном количестве.
7. Способ регуляции репродуктивной функции и половой активности позвоночных животных, включающий введение прогестагена, отличающийся тем, что в качестве прогестагена животным вводят в эффективном количестве средство по любому из пп.1-6.
8. Способ по п.7, отличающийся тем, что средство по любому из пп.1-6 вводят или в виде таблеток, или в виде порошков, или в виде капсул, или в виде маточных спиралей, или в виде капель, или в виде инъекций, или в виде подкожных имплантатов.
9. Способ по п.7, отличающийся тем, что животным дополнительно вводят СЖК в эффективном количестве.
10. Способ по п.7, отличающийся тем, что животным дополнительно вводят простагландин.
|
||||||||||||||||||||||||||

где R – заместитель, содержащий арильный или гетерильный радикал. Соединение общей формулы I вводят позвоночным животным в эффективном количестве. Изобретение позволяет стимулировать охоту у животных и повысить синхронность ее проявления, регулировать гипер- и гипофункцию яичников животных, а также снизить половую активность особей обоего пола, при этом подавление половой цикличности носит обратимый характер. 2 с. и 8 з.п. ф-лы, 4 табл.
Изобретение относится к области ветеринарии и животноводства, а именно к средству и способу регуляции репродуктивной функции и половой активности позвоночных животных.
Известно средство для регуляции половой активности позвоночных животных, содержащее комбинацию гестагена и эстрогена в эффективных количествах, где в качестве гестагена используют 3,17-дигидрокси-6-метилпрегна-4,6-диен-20-он или его эфиры – “секс-барьер”. Средство используется для ингибирования репродукции позвоночных животных (см. патент RU 2101013 С1, 10.01.98).
Известен способ регуляции репродуктивной функции и половой активности позвоночных животных, включающий последовательное парентеральное введение прогестагена и хорионического гонадотропина с эстрадиола бензоатом (см., например, SU 974981, 23.11.82).
Способ используется для синхронизации охоты у сельскохозяйственных животных.
Задачей настоящего изобретения является повышение эффективности регуляции репродуктивной функции и половой активности позвоночных животных.
Поставленная задача в части средства и способа регуляции репродуктивной функции и половой активности позвоночных животных решается за счет того, что согласно изобретению в качестве прогестагена средство содержит в эффективном количестве соединение общей формулы I:
где R – заместитель, содержащий арильный (ароматический) или гетерильный (ароматический с гетероатомом) радикал, которое в эффективном количестве вводят животному.
Целесообразно к соединению общей формулы I добавлять в эффективном количестве природный или синтетический эстроген.
Целесообразно в качестве прогестагена использовать эффективное количество соединения формулы I, где R=-(СН3)2С6Н5 – фенилпропионат амола.
Целесообразно также в качестве прогестагена использовать эффективное количество соединения формулы I, где R=-C5H4N – изоникотинат амола.
Рекомендуется также в состав средства вводить витамины в эффективном количестве и/или вкусовые добавки и отдушки.
Целесообразно также в состав средства вводить нейротропные средства (центральные холинолитики или адреноблокаторы) в эффективном количестве.
Целесообразно вводить животным эффективное количество соединения общей формулы I в виде таблеток.
Рекомендуется также вводить животным эффективное количество соединения общей формулы I в виде порошков.
Рекомендуется также вводить животным эффективное количество соединения общей формулы I в виде капсул.
Целесообразно также вводить животным эффективное количество соединения общей формулы I в виде вагинальных свечей.
Рекомендуется также вводить животным эффективное количество соединения общей формулы I в виде маточных спиралей.
Целесообразно также вводить животным соединения общей формулы I в виде капель (с использованием в качестве растворителя полиэтиленгликоля или природных растительных масел).
Рекомендуется также вводить животным соединения общей формулы I в виде инъекций.
Целесообразно также вводить животным соединения общей формулы I в виде подкожных имплантатов.
Рекомендуется при введении животным эффективного количества соединений общей формулы I дополнительно вводить СЖК в эффективном количестве.
Целесообразно также при введении животным эффективного количества соединений общей формулы I дополнительно вводить простагландин в эффективном количестве.
Технический результат, обеспечиваемый изобретением, как в части средства, так и в части способа, состоит в том, что они позволяют стимулировать охоту у животных и повысить синхронность ее проявления, регулировать гипер- и гипофункцию яичников животных, а также снизить половую активность особей обоего пола, при этом подавление половой цикличности носит обратимый характер.
Средство и способ регуляции репродуктивной функции и половой активности позвоночных животных согласно изобретению иллюстрируются следующими примерами, которые, однако, не охватывают, а тем более не ограничивают весь объем притязаний данного изобретения.
Схема получения стероидных эфиров
R см. в таблице 1 физико-химических данных
Пример 1. Получение соединений общей формулы I на примере получения фенилпропионата амола.
К раствору 10 г 17
-ацетокси-3
-гидрокси-6-метилпрегна-4,6-диен-20-она (амола) в 30 мл пиридина при перемешивании прибавляют 6,8 мл хлорангидрида фенилпропионовой (гидрокоричной) кислоты. Реакционную массу перемешивают и добавляют 10 мл концентрированного раствора аммиака, повторно перемешивают и затем добавляют 60 мл воды. Через 30 мин выдержки при комнатной температуре охлаждают до 10
С и выдерживают 2 часа при комнатной температуре. Осадок отфильтровывают, промывают водой, сушат до постоянного веса. Получают 13,21 (98,6% от теоретич.) фенилпропионата амола. Выход очищенного фенилпропионата амола 12,1 г (90,3% от теоретич.), т. пл. 140-142
Сочетанное использование нейротропных средств с гестагенами заявленного ряда и этинилэстрадиолом приводит к усилению контрацептивного действия, что может позволить использовать изученные соединения с целью контрацепции в меньших концентрациях.
Пример 3. Подавление полового возбуждения у позвоночных животных.
В качестве подопытных животных использовали кошек и собак. Результаты опытов приведены в таблице 3.
Данные, приведенные в таблице 3, показывают, что препарат является эффективным средством для угнетения полового возбуждения у всех подопытных животных.
Пример 4. Регуляция репродуктивной функции.
Опыты поставлены на 30 половозрелых крысах-самках массой 180-200 г с нормальным эстральным циклом. Животных содержали в стандартных клетках. Для кормления использовали комбикорма, овощи и творог. Освещение вивария – режимное. Температура помещения вивария – 20
Данные, приведенные в таблице 4, показывают, что использование заявленных соединений позволяет получить высокий синхронизирующий эффект.
Пример 6.
Были обследованы 200 коров. Из числа обследованного поголовья были отобраны опытная и контрольная группы по 19 и 5 голов соответственно.
Коровам опытной группы ввели внутримышечно по 10,0 мл сурфагона, 10,0 мл 1,0%-ного раствора фенилпропионата амола в смеси тетравита и бензилбензоата (7 частей тетравита и 3 части бензилбензоата) и с интервалом 7 дней по 1000,00 ИЕ фоллигона и 500 мкг эструмата. В контрольной группе применяли ту же схему обработок, но вместо фенилпропионата амола вводили 10,0 мл 1,25%-ного прогестерона в смеси с тетравитом.
Все коровы опытной и контрольной группы через 48 часов после инъекции эструмата проявили признаки охоты и были осеменены; животным перед осеменением инъецировано внутримышечно по 5,0 мл сурфагона.
У 10 коров опытной группы и у всех контрольных животных 04.12; 07.12; 09.12; 13.12 взяли образцы крови для последующего определения динамики профиля половых стероидов (прогестерона и 17
где R – заместитель, содержащий арильный (ароматический) или гетерильный (ароматический с гетероатомом) радикал.
2. Средство по п.1, отличающееся тем, что дополнительно содержит в эффективном количестве природный или синтетический эстроген.
3. Средство по любому из пп.1 и 2, отличающееся тем, что в качестве прогестагена содержит в эффективном количестве соединения формулы I, где R = – (СН2)2С6Н5 – фенилпропионат амола.
4. Средство по любому из пп.1 и 2, отличающееся тем, что в качестве прогестагена содержит в эффективном количестве соединение формулы I, где R = – С5Н4N – изоникотинат амола.
5. Средство по любому из пп.1-4, отличающееся тем, что дополнительно содержит витамины в эффективном количестве и/или вкусовые добавки и отдушки.
6. Средство по любому из пп.1-5, отличающееся тем, что дополнительно содержит нейротропные средства в эффективном количестве.
7. Способ регуляции репродуктивной функции и половой активности позвоночных животных, включающий введение прогестагена, отличающийся тем, что в качестве прогестагена животным вводят в эффективном количестве средство по любому из пп.1-6.
8. Способ по п.7, отличающийся тем, что средство по любому из пп.1-6 вводят или в виде таблеток, или в виде порошков, или в виде капсул, или в виде маточных спиралей, или в виде капель, или в виде инъекций, или в виде подкожных имплантатов.
9. Способ по п.7, отличающийся тем, что животным дополнительно вводят СЖК в эффективном количестве.
10. Способ по п.7, отличающийся тем, что животным дополнительно вводят простагландин.