Патент на изобретение №2151599
|
||||||||||||||||||||||||||
(54) АНТИСЕПТИЧЕСКИЙ ПРЕПАРАТ
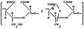
(57) Реферат: Изобретение относится к медицине, в частности к фармакологии. Предложено использовать полиацеталь эритроновой (или ее лактона) и глиоксиловой кислот в качестве антисептического средства. Препарат обладает бактериостатическими и бактерицидными свойствами в отношении ряда бактерий. 1 табл. Изобретение относится к области медицины, в частности к фармакологии, к препарату, имеющему антисептические свойства. Известен ряд антисептических препаратов, предназначенных для наружного применения и внутреннего использования (1). Однако среди широко известных антисептических препаратов нет вещества, обладающего одновременно и сорбционными свойствами, которые необходимы для наружного применения препарата при лечении ран и воспалительных поражений кожи и мягких тканей. Задачей настоящего изобретения является создание антисептического препарата, обладающего сорбционными свойствами. Поставленная задача решается путем использования биосорбента в качестве антисептического средства. Препарат представляет собой биосорбент стереоселективного действия, имеющий полимерную структуру волокнистой природы (2). Он представляет собой полимерный эцеталь эритроновой (или ее лактона) и глиоксиловой кислот следующей общей структурной формулы: ![]() В патенте указана формула вещества с примесью 5-10%, которой можно пренебречь. Препарат способен к образованию стабильных хелатных структур с радионуклидами и поливалентными токсичными металлами, его антибактериальные, антисептические свойства до настоящей разработки не были известны. Антимикробное действие препарата было обнаружено и подтверждено серией испытаний, проведенных в опытах in vitro на тест-штаммах микроорганизмов, а также in vivo в клинических условиях на добровольцах, имеющих гнойную хирургическую патологию мягких тканей. Спектр антимикробной активности препарата определяли на следующих тест-штаммах микроорганизмов: В Bacillus subtilis ATCC 6633; Bacilius cereus NCTC 8035, Eacherichia coli ATCC 25922, Salmonella abony ГИСК 103/39, Salmonella enteritidis ATCC 11272, Proteus vulgaris ГИСК 4636, Pseudomonas aeruginosa ГИСК 453, Staphylococcus aureus ATCC 6538 P, Candida albicans NCTC 775-653, Aspergillus niger BKM F-119. Антимикробное действие препарата определяли методом серийных разведений в жидких питательных средах N 8 для бактерий и в среде Сабуро – для грибов, а также в агаризованных средах N 1 и N 2, описанных в Государственной фармакопее XI, вып. 2, с. 200-208. Из исходного раствора препарата с концентрацией 100 мг/мл делали ряд 2-кратных последовательных разведений до конечной концентрации 0,3 мг/мл (300 мкг/мл). Суточные бульонные культуры бактерий и C.albicans разводили 1:1000 стерильным 0,9% изотоническим раствором натрия хлорида. Культуру A.niger, выращенную на скошенном агаре Сабуро в течение 7 суток, смывали с агара тем же раствором и стандартизовали с помощью камеры Горяева до концентрации взвеси 103 конидий в 1 мл. Полученные взвеси микроорганизмов вносили по 0,1 мл в пробирки с растворами препарата в жидких средах N 8 и Сабуро. В контрольные пробирки препарат не вносили. При использовании агаризованных сред N 1 и N 2 разведения препарата в количестве 1 мл вносили в стерильные чашки Петри, добавляли 9 мл расплавленной и охлажденной до 45-50oC среды N 1 или N 2, тщательно перемешивали и давали застыть. На поверхность агара репликатором наносили взвеси бактерий (на среду N 1) и грибов (на среду N 2). Посевы на среде N 1 инкубировали 24 – 48 часов при 30 – 35oC, на среде N 2 – 48 часов – 5 суток при 20 – 25oC. Учет результатов на жидких средах производили через 24 ч и 5 суток. По отсутствию роста бактерий и грибов определяли минимальную бактериостатическую концентрацию (МБсК) и минимальную бактерицидную концентрацию (МБцК). Данные приведены в таблице. Аналогичные данные получены и методом серийных разведений в агаризованных средах. Из данных таблицы следует, что минимальные бактериостатические и бактерицидные концентрации являются достаточно низкими и соответствуют подобным для антисептических препаратов. Препарат сохраняет свои бактерицидные свойства в течение более 3-х лет. На клинической базе кафедры военно-полевой хирургии Военно-медицинского факультета при РМАПО проведена клиническая апробация препарата в местном лечении ран у 14 больных от 25 до 55 лет с гнойной хирургической патологией мягких тканей. Патология включала абсцессы, флегмоны, анаэробный неклостридиальный фасциоцеллюлит, гнойно-гнилостную инфекцию на фоне диабетической ангиопатии, нагноившиеся гематомы, гнойные осложнения огнестрельных ран, трофические язвы. Контрольную группу представляли 10 больных с подобной патологией, где применяли общепринятые средства для местного лечения ран: бальзам по Вишневскому, стрептоцид, йод, салициловую кислоту, перекись водорода. В процессе лечения учитывались субъективные и объективные методы исследования, в т.ч. жалобы, объективный статус, клинико-лабораторные и инструментальные методы диагностики. Препарат представлен в порошкообразной сыпучей фармакологической форме, белого цвета, без запаха. В процессе оперативных вмешательств и очередных перевязок порошок препарата слоем до 1 – 1,5 мм толщиной равномерно вносили в рану. Накладывали асептическую марлевую повязку. Результаты исследований учитывали на 1, 3, 5, 7 и 10-е сутки лечения. В процессе испытаний отмечено: 1. Препарат имеет кислую реакцию в пределах pH 3 – 3,5, но после пребывания в ране pH реакция становится нейтральной или слабо щелочной. 2. Препарат относительно хорошо переносится пациентами, не вызывает аллергических, общетоксических реакций. 3. Препарат обладает выраженной сорбционной способностью и составляет: по воде 1:8,2; по жидкому раневому отделяемому 1:7,1; по крови 1: 6,7. 4. Бактериологические методы исследования свидетельствуют о выраженном бактериостатическом и антисептическом эффекте на раневую микрофлору независимо от ее видовой и штаммовой принадлежности. Бактериоскопия констатирует, что уровень микробной обсемененности ран в результате лечения препаратом снижается в среднем на 2 порядка, а бакпосевы из препарата, сорбировавшего гнойное отделяемое, в 90% случаев оказались практически стерильными. 5. Применение препарата на протяжении всего периода лечения отрицательно не сказывались на регенеративно-репаративных процессах в ране и их молодых клеточных элементах, а сроки заживления ран сокращаются на 2 – 3 суток. Заявленный препарат является нетоксичным, что подтверждено специальными испытаниями, проведенными на лабораторных животных. Они показали, что LD50 при внутривенном введении 115,0 мг/кг массы, для применения внутрь не наблюдалась гибель мышей в дозе 5000 мг/кг массы. Таким образом, препарат обладает выраженным антимикробным действием, что позволяет рекомендовать его в практическое здравоохранение в качестве антисептического средства. В настоящее время препарат проходит испытания в фармакологическом комитете. Использованная литература: 1. Машковский М.Д. Лекарственные средства. – М.: Медицина, 1993, т. 2, с. 453-459. 2. Патент Российской Федерации N 2038084, опубл. 1995 г. Формула изобретения
![]() в качестве антисептического препарата. РИСУНКИ
|
||||||||||||||||||||||||||


