Патент на изобретение №2151597
|
||||||||||||||||||||||||||
(54) СПОСОБ ИНГИБИРОВАНИЯ ПРОЛИФЕРАЦИИ КЕРАТИНОЦИТОВ
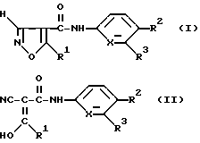
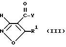
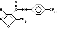
(57) Реферат: Изобретение относится к медицине. Предложен способ ингибирования пролиферации кератиноцитов, включающий введение композиции, содержащей соединение формулы I или II ![]() Способ имеет меньшее количество побочных эффектов по сравнению с аналогами. 3 з.п. ф-лы, 2 табл. Изобретение относится к способу ингибирования пролиферации кератиноцитов для предупреждения или лечения кожных нарушений. Известен N-(4-трифторметилфенил)-5-метилизоксазол-4-карбоксамид (соединение 1), проявляющий противовоспалительное действие (EP N 13376). В этом патенте также описываются способы получения этого соединения. Кроме того, известно, что соединение 1 и N-(4-трифторметилфенил)- 2-циано-3-гидроксикротонамид (соединение 2) обладают иммуномодуляционными свойствами, и поэтому могут использоваться в качестве фармацевтических препаратов при хронических graft versus host и аутоиммунных болезнях, в частности, при системной красной волчанке (Европейский патент 0217206). Патент США 4061767 описывает производные 2-гидроксиэтилиден- цианоацетанилида, используемых для получения фармацевтических препаратов, обладающих противовоспалительным и анальгезирующим действием. Псориаз представляет собой специфическую форму болезни кожи, характеризующуюся развитием красных бляшек, которые имеют тенденцию сохнуть и шелушиться. Псориаз наиболее часто встречается у взрослых. Проявления псориаза встречаются от немногочисленных повреждений до широкораспространенного поражения. Псориатические поражения вызываются аномально возрастающей пролиферацией эпидермальных клеток, например, увеличивается пролиферация кератипоцитов. Заболевание вызывает эксфолиацию, которая хотя неприятна и создает эмоциональное напряжение, редко представляет опасность для общего здоровья. Примерно подсчитано, что в 1992 году в США страдает от псориаза от 4 до 8 миллионов человек. Ежегодно выявляют около 200000 новых случаев заболевания. Псориаз представляет глобальную проблему. Известно, что в Европе от 1 до 2% населения болеют этой болезнью. Этиология псориаза остается неясной, хотя оказывается, что имеется наследственный компонент. Известные следующие типы псориаза, Vulgaris /бляшечный/. Хронический бляшечный псориаз обычно излечим у человека о помощью смягчающих веществ, дегтя, дитранола /dithranol/ и местных кортикостероидов. Механизм действия наиболее напоминает прямое регулирование пролиферации кератиноцитов и дифференциации. Пациентами часто отмечается раздражение кожи, но редко требуется прекращение лечения. Eruptive /каплевидный псориаз/. Каплевидный псориаз у детей и молодых людей отличается острым развитием множества каплеподобных повреждений, появляющихся вслед за заболеванием верхних дыхательных путей, благодаря бета-гемолитическим стрептококкам. Эритродермия. Псориаз может генерализоваться до тяжелого хронического состояния, включающего эритому /покраснение/ и шелушение чистой кожи, вызванных, вероятно, явлением Koebner. Пустулезный псориаз. Пустулезный псориаз, которым страдают, главным образом, взрослые может быть локализованным и хроническим или в более тяжелых случаях распространенным. Преципитирующие факторы, влияющие как на локальные, так и на распространенные формы, включают различные лекарственные препараты /например, литий, гидрохлорохин/, раздражающую местную терапию /например, каменноугольный деготь/, стоматологические инфекции и инфекции верхних дыхательных путей, беременность и солнечное излучение. Устранение провоцирующих факторов является первым действием при лечении. Лечение псориаза не является вполне удовлетворительным. Используются многие мази и смазывающие препараты, но реакция на них является непредсказуемой. Часто пребывание на солнце или под ультрафиолетовым светом будет вызывать улучшение состояния, и часто случаются неудачи, несмотря ни на какое лечение псориаза. Известно использование иммунодепрессантов для лечения псориаза. В частности, известно оральное применение циклоспорина A для лечения псориаза у человека. Однако циклоспорин A имеет много побочных эффектов, большинство из которых являются преходящими и не вызывающими опасений. Однако возможно нарушение функций почек /Mason I.Pharmacol. rev., 41:423, 1989; Borel and Kis, Transplantation Proc., 23: 1867-1874, 1991/. Терапия с применением иммунодепрессантов часто связана с серьезными побочными действиями, такими как токсичность, включая нейротоксичность, гипертензию, гипомагниемию, анемию, лейкопению, тромбоцитопению, склонность к инфекционным заболеваниям, снижение функции почек и тератогеннооть. При разработке средств для лечения псориаза найдено, что соединение формулы I или II показывают эффективное ингибирование пролиферации кератиноцитов. Соединения формулы I или II хорошо переносятся людьми. При лечении людей не снижается сопротивляемость инфекциям, не наблюдается дисфункции почек, не наблюдается таких изменений лабораторных показателей, как ферменты печени, число ферментных элементов крови, или вес тела. Соединения формул I или II показывают лучшее соотношение риска и пользы по сравнению с другими иммунодепрессантами, имеют длительное действие после синдрома отмены и допускают возможность кратковременного лечения и более длительных интервалов ремиссии. Таким образом, изобретение относится к способу предупреждения или лечения кожных нарушений у пациента, нуждающегося в этом, путем введения эффективного количества соединения формулы I или II ![]() в которых R1 означает a) метил, b) (C3-C6)-циклоалкил, c) (C2-C6)-алкил, имеющий по крайней мере 1 двойную или тройную связь между атомами углерода. R2 означает a) -CF3 или b) -CN; R3 означает a) (C1-C4)-алкил или b) атом водорода, X означает a) -CH-группу или b) атом азота, При этом соединение формулы II присутствует как таковое или в форме физиологически переносимой соли. Предпочтительными соединениями формулы I или II являются соединения, в которых: R1 означает a) метил, b) циклопропил или c) -CH2-CH2-C CH;R2 означает -CF3, R3 означает метил или атом водорода, и X означает группу -CH-, Особенно предпочтительным является соединение формулы I, в котором R1 означает метил, R2 означает -CF3, R3 означает атом водорода и X означает атом углерода [N-(4-трифторметилфенил)-5-метилизоксазол-4-карбоксамид], или соединение формулы II, в котором R1 означает метил, R2 означает -CF3, R3 означает атом водорода и X означает группу -CH-[N-(4-трифторметилфенил)-2-циaнo-3- гидpoкcикpoтoнaмид]. Подходящими физиологически переносимыми солями соединения формулы II являются, например, соли щелочных металлов, щелочноземельных металлов или соли аммония, включая соли физиологически переносимых органических аммониевых оснований. Соединения формул I или II могут быть получены следующим образом: Соединение формулы III ![]() в которой Y представляет собой атом галогена, предпочтительно – хлор или бром, вводят во взаимодействие с амином формулы IV ![]() и получают соединение формулы I, и это соединение затем может быть введено в реакцию в присутствии основания с образованием соединения формулы II. Упомянутые выше реакции осуществляют в стандартных условиях по известным методикам /Европейские патенты 13376, 484223, 538783, патент США 4061767/. Исходные вещества для реакций являются известными, или могут быть легко получены способами, известными из литературы. Изобретение также относится к успешному консервативному лечению экземы, дерматита, медикаментозного дерматита, аллергического дерматита, токсического дерматита, фотоаллергического дерматита и диффузного нейродермита /атопического дерматита/. Изобретение также относится к способу ингибирования пролиферации кератиноцитов, заключающемся во введении эффективного количества соединения формул I или II, или физиологически переносимой соли соединения формулы II. Изобретение относится, кроме того, к фармацевтическому препарату, который содержит эффективное количество соединения формулы I и/или соединения формулы II, в котором соединение формулы II присутствует как таковое или в виде физиологически переносимой соли, вместе с фармацевтически приемлемым и физиологически переносимым наполнителем, разбавителем и/или другим активным веществом и вспомогательным веществом. Изобретение также относится к способу получения фармацевтического препарата для лечения псориаза, который заключается во включении соединения формулы I или II и/или физиологически переносимой соли соединения формулы II в подходящую для введения форму с использованием фармацевтически подходящего и физиологически приемлемого наполнителя и, если это является подходящим, других подходящих активных веществ, добавок и вспомогательных веществ. Фармацевтический препарат, соответствующий изобретению, может вводиться орально, локально, ректально или парентерально. Подходящими для введения твердыми или жидкими формами фармацевтического препарата являются, например гранулы, порошки, таблетки о покрытием, таблетки, /микро/капсулы, суппозитории, сиропы, соки, суспензии, эмульсии, капли или растворы для инъекций и препараты с длительным выделением активного вещества, в которых используются обычные вспомогательные вещества, такие как наполнители, дезинтеграторы, связующие вещества для покрытия, агенты, вызывающие набухание, смазывающие вещества, отдушки, подслащивающие вещества или вещества, повышающие растворимость. Обычно применяемыми вспомогательными веществами являются, например, карбонат магния, диоксид титана, лактоза, маннит и другие сахара, тальк, молочный белок, желатин, крахмал, целлюлоза и ее производные, животные и растительные масла, полиэтиленгликоли и растворители, такие как, например, стерильная вода и одно- или многоатомные спирты, например глицерин. Предпочтительно, фармацевтические препараты получают и вводят в дозировочных единицах, причем каждая единица содержит в качестве активной составляющей определенную дозу соединения формулы I и/или II, при этом соединение формулы II присутствует как таковое или в виде физиологически переносимой соли. В случае твердых дозировочных единиц, таких как таблетки, капсулы или суппозитории, эта доза может составлять до 500 мг, предпочтительно – 5-400 мг, 5-200 мг, 10-100 мг и 10-25 мг. Для лечения пациента /70 кг/, страдающего от псориаза на ранней стадии, доза насыщения составляет самое большее 600 мг в день, предпочтительно – 300 мг в день и позднее на стадии реабилитации при оральном введении доза составляет 3 раза по 200 мг в день, предпочтительно – 1 раз 20 мг в день такого вещества как N-(4-трифторметилфенил)- 5-метилизоксазол-4-карбоксамид и/или N-(4-трифторметилфенил)-2-циано-3-гидроксикротонамид. В определенных случаях, однако, также могут быть подходящими более высокие или более низкие дозы. Введение дозы может быть осуществлено как путем однократного введения в виде одной единичной дозы или нескольких более мелких доз, так и путем многократного введения разделенных доз с определенными интервалами. Предупреждение заключается в профилактическом предохранении от псориаза восприимчивого млекопитающего, и лечение заключается в остановке проявления и торможения развития псориаза у восприимчивого млекопитающего. Соединение формулы I или II и/или его соответствующих солей также в процессе изготовления вышеупомянутых форм для введения фармацевтического препарата могут быть соединены с другими подходящими активными веществами, например cantiuricopathic, ингибиторами агрегации тромбоцитов, аналгетиками и стероидными и нестероидными противовоспалительными препаратами. Пример 1 Получение N-(4-трифторметилфенил)-5-метилизоксазол-4-карбоксамида /соединение 1/ ![]() Раствор 0,05 молей 5-метилизоксазол-4-карбонилхлорида /7,8 г/ в 30 мл ацетонитрила добавляют по каплям к раствору 0,1 моля 4-трифторметиламидина /16,1 г/ в 150 мл ацетонитрила при комнатной температуре. После перемешивания в течение 20 минут выпавший в осадок гидрохлорид 4-трифторметиланилина отфильтровывают при разряжении и дважды промывают ацетонитрилом, каждый раз по 20 мл, и объединенные фильтраты концентрируют при пониженном давлении. Таким образом, получают 12,8 г белого кристаллического N-(4-трифторметилфенил)-5-метилизоксазол-4- карбоксамида /соединение 1/. Пример 2 Получение N-(4-трифторметилфенил)-2-циано-3-гидроксикротонамида /соединение 2/. ![]() Растворяют 0,1 моль N-(4-трифторметилфенил)-5-метилизоксазол- 4-карбоксамида в 100 мл метанола и обрабатывают при +10oC раствором 0,11 моль /4,4 г/ гидроксида натрия в 100 мл воды. Смесь перемешивают в течение 30 минут и после разбавления водой подкисляют концентрированной соляной кислотой. Выпавшие кристаллы отфильтровывают при разряжении, промывают водой и сушат на воздухе. Выход N-(4-трифторметилфенил)-2-циано-3-гидроксикротонамида /соединение 2/ составляет 24,4 г. После перекристаллизации из метанола т.пл. 205-206oC. Пример 3 Описанный далее эксперимент оценивает способность соединений ингибировать in vitro синтез ДНК посредством измерения включения аналога тимидина 5-бром-2′-дезоксиуридина /SDY/ в ДНК клеток, воспроизводящихся в культуре. Материалы Клетки. Нормальные эпидермальные кератиноциты человека /НЧЭК, Clonetics Corp., San Diego, Ca/. Метящий реагент: водный раствор 5-бром-2′-дезоксиуридина и 5-фтор-2′-дезоксиуридина /Amersham Corp., II/. Антитело, нейтрализующее бромдезоксиуридин, содержащее нуклеазу /клон ВИ-I, Amersham Corp., II/. Пероксидаза – антимышиный иммуноглобулин /Peroxidase-antimouse Immunoglobulin/ /Io из объединенных овечьих антисывороток, Amersham Corp., II/. Субстрат пероксидазы: АБТС [2,2′- азино-ди(3-этилбенэтиазолин- сульфонат), Amersham Corp., II. Соединения. Соединения растворяют в абсолютном этаноле /конечная концентрация 0.1%/. Лекарственные препараты различной концентрации готовят в тимидине, свободном от среды для роста кератиноцитов /CPK без гидрокортизона, Clonetics Corp., CA/, в присутствии Brdu.
Регистрирующее устройство Dynatech MR 7000 с фильтром 410 нм. Фосфатно-солевой буферный раствор /PBS/, в 1 л воды.
11,5 г Na2HPO4,2,96 г NaH2PO4 2H2O,5,84 г NaCl. Твин-20/Sigma/. Бычий сывороточный альбумин/БСА; Sigma/. Фиксатор на основе уксусной кислоты и этанола; 50 мл ледяной уксусной кислоты, 900 мл этанола, 50 мл воды. Ингибитор /100 мл/; 0,01 г азида натрия, 2,10 г моногидрата лимонной кислоты. Методика Кератиноциты высевают в 96-ячеичные плоскодонные /диаметр 6,4 мм/ чашки для культивирования в количестве 5000 клеток на ячейку. Клеткам позволяют расти /2-3 дня/, а затем вносят различное количество соединений, приготовленных в КСМ без тимидина, без гидрокортизона, в присутствии ВДУ /1:200/. После 18-24 часовой выдержки при 37oC в присутствии 5% CO2 клетки промывают теплым PBS и фиксируют уксусной кислотой с этанолом в течение 30 минут при комнатной температуре. После промывания ячеек PBS с 0,1% твина-20 оставшиеся электростатические участки на полистирольных пластинах блокируют 3% БСА в PBS с 0,1% твина-20. В каждую ячейку добавляют раствор антитела, нейтрализующего бромдезоксиуридин, с нуклеазой для денатурации ДНК, и инкубируют в течение 2 часов при 37oC в присутствии 5% CO2. Пластины снова промывают PBS с 0,1% твина-20 и затем инкубируют при комнатной температуре с пероксидазой, связанной в антимышиным иммуноглобулином /1:600/. После смывания второго антитела во все ячейки добавляют 1 мМ раствор субстрата АБТС до тех пор, пока не будет достигнута нужная интенсивность окраски /зеленая/. Развитие цвета останавливают добавлением ингибитора. Затем измеряют поглощение при 410 нм с помощью регистрирующей микроплаты, используя в качестве точки отсчета клетки в ячейках, необработанных БДУ, Результаты Интенсивность цветной реакции пропорциональна количеству БДУ, связанного пролиферирующими клетками. Количество БДУ, связанного клетками в обработанных ячейках, сравнивают с клетками в необработанных ячейках следующим образом: % изменения /от контрольных/ = X поглощение при 410 нм обработанными клетками/ X поглощение при 410 нм контрольными 100(-100)Пример 4 Острая токсичность после интраперитонеального введения Острую токсичность после интраперитонеального введения испытуемых веществ определяют на мышах NMRI /20-25 г/ и крысах SD /120-195 г/. Испытуемое вещество суспендируют в 1% растворе натрийкарбоксиметилцеллюлозы. Различные дозы испытуемого вещества вводят мышам из расчета 10 мл на кг веса лета и крысам из расчета 5 мл на кг веса тела. Каждую дозу вводят 10 животным. Острую токсичность определяют через 3 недели по методу Litch-field и Wilcox. Результаты сводят в табл. 2. Пример 5 Двойное исследование по слепому методу на людях При двойном исследовании слепым методом на людях 400 наугад подобранных пациентов получают в качестве поддерживающей терапии 5, 10 и 25 мг соединения 1 ежедневно в течение 6 месяцев, которой предшествует единичная начальная доза в 50, 100 и 100 мг соответственно. В ходе этого исследования анализы мочи не показывают дисфункции почек /отсутствует нефротоксичность/. Формула изобретения
![]() ![]() в которых R1: а) метил, b) (C3-C6)-циклоалкил, с) (C2-C6)-алкил, имеющий по крайней мере 1 двойную или тройную связь между атомами углерода: R2: а) – CF3 или b) – CN; R3: а) (C1-C4)-алкил или b) атом водорода; Х: а) группа -CH- или b) атом азота, при этом соединение формулы II присутствует как таковое или в форме физиологически переносимой соли. 2. Способ по п.1, отличающийся тем, что вводимое соединение формулы I или II выбирают из соединений, в которых R1: а) метил, b) циклопропил или с) -CH2-CH2-C==CH; R2 – -CF3, R3 – метил или атом водорода и Х – группа -CH-. 3. Способ по п.1, отличающийся тем, что вводимое соединение выбирают из N-(4-трифторметилфенил)-2-циано-3-гидроксикротонамида и N-(4-трифторметилфенил)-5-метилизоксазол-4-карбоксамида. 4. Способ по пп.1 – 3, отличающийся тем, что фармацевтическую композицию вводят в виде твердой дозировочной единицы до 500 мг. РИСУНКИ
PC4A – Регистрация договора об уступке патента Российской Федерации на изобретение
Номер и год публикации бюллетеня: 22-2001
(73) Патентообладатель:
Дата и номер государственной регистрации перехода исключительного права: 19.06.2001 № 12661
Извещение опубликовано: 10.08.2001
PD4A – Изменение наименования обладателя патента Российской Федерации на изобретение
(73) Новое наименование патентообладателя:
Извещение опубликовано: 27.12.2005 БИ: 36/2005
|
||||||||||||||||||||||||||



CH;



0.1%/. Лекарственные препараты различной концентрации готовят в тимидине, свободном от среды для роста кератиноцитов /CPK без гидрокортизона, Clonetics Corp., CA/, в присутствии Brdu.
Регистрирующее устройство Dynatech MR 7000 с фильтром 410 нм. Фосфатно-солевой буферный раствор /PBS/, в 1 л воды.
11,5 г Na2HPO4,
2H2O,
