Патент на изобретение №2233454
|
||||||||||||||||||||||||||
(54) СПОСОБ ИЗМЕРЕНИЯ ПАРАМЕТРОВ СВЧ ЧЕТЫРЕХПОЛЮСНИКОВ И УСТРОЙСТВО ДЛЯ ЕГО ОСУЩЕСТВЛЕНИЯ
(57) Реферат: Изобретение относится к технике измерений на сверхвысоких частотах (СВЧ) и может быть использовано при создании приборов и систем для определения параметров СВЧ-устройств с стандартных каналах и для антенных измерений. Технической задачей изобретения является увеличение динамического диапазона измерений и расширение его функциональных возможностей. Сущность способа заключается в создании различных режимов возбуждения измеряемого объекта через два двенадцатиполюсных рефлектометра, включающий режим двух односторонних возбуждений измеряемого объекта амплитудно-модулированным сигналом и измерения рефлектометрами отношений (комплексных амплитуд отраженных b и падающих a волн на входах измеряемого устройства. При измерении проводят возбуждение измеряемого объекта со стороны первого рефлектометра амплитудно-модулированным сигналом, а со стороны второго рефлектометра немодулированным сигналом и наоборот, определяют 22, связанное с определяемыми S-параметрами приведенными соотношениями. При возбуждении измеряемого объекта со стороны первого рефлектометра немодулированным сигналом, а со стороны второго рефлектометра амплитудно-модулированным сигналом определяют 21, связанное с определяемыми S-параметрами также приведенными в формуле соотношениями. Устройство содержит генератор СВЧ с подсоединенным к его выходу делителем мощности, два амплитудных модулятора, один из которых подключен к первому выходу делителя мощности, а другой ко второму выходу делителя мощности, два двенадцатиполюсных рефлектометра, вход каждого из которых соединен с выходом соответствующего амплитудного модулятора, а выход является входом для подключения исследуемого СВЧ-четырехполюсника, два СВЧ-вентиля, каждый из которых включен между выходом модулятора напряжения и входом соответствующего рефлектометра. В варианте выполнения устройства еще два СВЧ-вентиля включены между одним из выходов делителя мощности и входом соответствующего амплитудного модулятора. 2 с. и 1 з.п. ф-лы, 2 ил.
Изобретение относится к технике измерений на сверхвысоких частотах (СВЧ) и может быть использовано при создании приборов и систем для определения параметров СВЧ-устройств в стандартных каналах и для антенных измерений.
Известен способ измерения волновых параметров рассеяния четырехполюсных устройств анализатором цепей с двумя рефлектометрами (Ноеr С.A., A. Network Analyser Incorporating two six-port Reflectometer-IEEE Trauson Microwave theory and techniques, 1977, vol. Мtt-25, №12, p. 1070-1074).
Измеряемое устройство по этому способу возбуждается с обоих входов одновременно СВЧ сигналами с разными фазовыми сдвигами. В каждом из трех режимов возбуждения (k=1, 2, 3) рефлектометры фиксируют отношения (комплексных амплитуд отраженных и падающих волн на входах (i=l, 2) измеряемого устройства ki=bki/аki. Система уравнений k2S11+ k1S22– = k1 k2; k=1, 2, 3, позволяет определить S-параметры взаимных четырехполюсных устройств, у которых S12=S21.
Известен способ измерения S-параметров элементов СВЧ-тракта по которому вычисленные в трех режимах измерения (с подключением разных нагрузок) значения коэффициентов отражения на входе и выходе СВЧ-четырехполюсника позволяют определить его S-параметры (авторское свидетельство SU №1677669, кл. G 01 R 27/28, 15.09.91), принятый в качестве прототипа.
Недостатком таких способов является ограниченный динамический диапазон измерений коэффициента передачи S21 в силу того, что через k1 определяется не S21, а произведение S12 S21, кроме того, для определения коэффициентов передачи S21 и S12 S21 невзаимных СВЧ-четырехполюсников требуются специальные меры, усложняющие процесс измерений и снижающие точность измерений.
Технической задачей предлагаемого способа измерения параметров СВЧ-четырехполюсников является увеличение динамического диапазона измерений и расширение его функциональных возможностей.
Сущность предлагаемого способа измерения параметров СВЧ-четырехполюсников заключается в создании различных режимов возбуждения измеряемого объекта через два двенадцатиполюсных рефлектометра, включающих режим двух односторонних возбуждений измеряемого объекта амплитудно-модулированным сигналом и измерения рефлектометрами отношений комплексных амплитуд отраженных b и падающих а волн на входах измеряемого устройства 11, 12, связанных с определяемыми S-параметрами соотношениями:
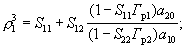
затем возбуждения измеряемого объекта со стороны первого рефлектометра амплитудно-модулированным сигналом, а со стороны второго рефлектометра немодулированным сигналом и наоборот, определения 22, связанного с определяемыми S-параметрами соотношением:
а при возбуждении измеряемого объекта со стороны первого рефлектометра немодулированным сигналом и со стороны второго рефлектометра амплитудно-модулированным сигналом определения 21, связанное с определяемыми S-параметрами соотношением:
и решением полученной системы из четырех уравнений с четырьмя неизвестными S11 S22 S12 S21.
Известен измеритель S-параметров элементов СВЧ-тракта, который содержит генератор СВЧ, четырехзондовые датчики, исследуемый четырехполюсник СВЧ, направленный ответвитель падающей волны, исследуемый двухполюсник СВЧ, трехканальный СВЧ-коммутатор, нагрузки с различными коэффициентами отражения, блок обработки информации и управления СВЧ-коммутатором (авторское свидетельство SU №1677669, кл. G 01 R 27/28, 15.09.91). Процесс измерения параметров элементов СВЧ-тракта состоит в определении коэффициентов отражения на входе устройства при подключении трех нагрузок. Полученные коэффициенты отражения на входе и выходе СВЧ-четырехполюсника позволяют определить его S-параметры.
Известно устройство для измерения параметров СВЧ-четырехполюсников, содержащее СВЧ-генератор с подсоединенным к его выходу делителем мощности, два двухпозиционных СВЧ-переключателя, управляемые блоком управления и обработки информации, два вентиля и два двенадцатиполюсных рефлектометра, между выходами которых включаются исследуемые СВЧ-четырехполюсники (Woods D. Explicite, Solution of calibration Equation for a Dual G-point Network Analyser. – Elektron Lett, 1979, vol. 15, 22, p. 718-720).
В качестве ближайшего аналога предлагаемого устройства для измерения параметров СВЧ-четырехполюсников принято устройство для измерения волновых параметров рассеяния СВЧ-устройств анализатором цепей с двумя рефлектометрами (IEEE Transactions on Microwave theory and techniques, vol. 38, 3, march 1990), содержащее СВЧ-генератор с подсоединенным к его выходу делителем мощности, два pin-модулятора напряжения, работающих на разных частотах, 3-dB квадратурный направленный ответвитель и два двенадцатиполюсных рефлектометра, между выходами которых включаются исследуемые СВЧ-четырехполюсники.
Недостатком вышеуказанных устройств является ограниченный динамический диапазон измерений, расширение которого возможно только за счет усложнения устройств, снижения их надежности и значительного повышения стоимости.
Технической задачей предлагаемого устройства, осуществляющее заявляемый способ измерения параметров СВЧ-четырехполюсников, является увеличение динамического диапазона измерения и расширение его функциональных возможностей.
Сущность технического решения заключается в том, что в устройство, содержащее генератор СВЧ с подсоединенным к его выходу делителем мощности, два амплитудных модулятора, один из которых подключен к первому выходу делителя мощности, а другой – ко второму выходу делителя мощности, два двенадцатиполюсных рефлектометра, вход каждого из которых соединен с выходом соответствующего амплитудного модулятора, а выход является входом для подключения исследуемого СВЧ-четырехполюсника, амплитудные модуляторы имеют одну частоту модуляции и дополнительно введены два СВЧ-вентиля, каждый из которых включен между выходом модулятора напряжения и входом соответствующего рефлектометра.
В варианте выполнения устройства в него введены два СВЧ-вентиля, каждый из которых включен между одним из выходов делителя мощности и входом соответствующего амплитудного модулятора. Это обеспечивает межканальную развязку в гомодинном режиме детектирования для исключения проникновения амплитудно-модулированного сигнала минуя объект измерения.
На фиг.1 и фиг.2 изображены структурные электрические схемы измерителя параметров СВЧ-четырехполюсников.
Измеритель параметров СВЧ-четырехполюсников, реализующий предложенный способ, содержит генератор СВЧ 1 с подсоединенным к его выходу делителем мощности 2, два амплитудных модулятора 3 и 4, один из которых 3 подключен к первому выходу делителя мощности 2, а другой 4 ко второму выходу делителя мощности 2, два двенадцатиполюсных рефлектометра 5 и 6, вход рефлектометра 5 соединен с выходом амплитудного модулятора 3 через вентиль 7, а вход рефлектометра 6 соединен с выходом амплитудного модулятора 4 через вентиль 8. Выходы рефлектометров 5 и 6 являются входами для подключения исследуемого СВЧ-четырехполюсника 9. Амплитудные модуляторы 5 и 6 имеют одну одинаковую частоту модуляции, они позволяют подавать на рефлектометры через вентили амплитудно-модулированный, немодулированный синусоидальный сигнал и переводить рефлектометры в режим пассивной нагрузки для измеряемого устройства. В последнем случае вход вентиля модулятор подключает к согласованной нагрузке. Вентили СВЧ 10 и 11 включены на каждом из выходов делителя мощности 2 перед входом соответствующего модулятора 3 и 4.
Схемная реализация устройства. В качестве СВЧ-генератора может быть использован генератор типа Г4-79 или встроенный синтезатор частоты. Делитель мощности выполнен в виде кольцевого делителя с развязкой порядка 20 дБ. СВЧ-вентили построены на основе У-циркуляторов. Рефлектометры могут быть выполнены аналогично прототипу (см. приложение) или по схеме свидетельства на полезную модель №23336. Модуляторы построены на транзисторных электронных ключах типа SW-439 и согласованных нагрузках (резисторы).
Способ на измерителе параметров СВЧ-четырехполюсников реализуется следующим образом.
При возбуждении исследуемого СВЧ-четырехполюсника 9 через рефлектометры 5 и 6 амплитудно-модулированным и немодулированным синусоидальными СВЧ-сигналами на выходах датчиков рефлектометров появляются напряжения, связанные с отношениями i=bi/аi комплексных амплитуд падающих и отраженных волн на соответствующих входах измеряемого устройства (i=1, 2). Измеренные при разных режимах возбуждения коэффициенты k1, k2 позволяют определить комплексные элементы волновой матрицы рассеяния S11, S22, S12, S21 устройства.
Процесс измерения параметров элементов СВЧ-тракта состоит из следующих режимов возбуждения измеряемого объекта через два двенадцатиполюсных рефлектометра 5 и 6.
Проводят режим двух поочередных односторонних возбуждений измеряемого объекта 9 амплитудно-модулированным сигналом с первого (i=1), а потом со второго (i=2) входа и измерения рефлектометром 5, а потом рефлектометром 6 отношений i комплексных амплитуд отраженных bi и падающих аi волн на соответствующих входах измеряемого устройства, связанных с определяемыми S -параметрами соотношениями:
где Гp1, Гp2 – комплексные коэффициенты отражения от рефлектометров 5 и 6 в плоскости подключения исследуемого СВЧ-четырехполюсника.
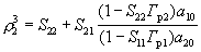
При каждом одностороннем возбуждении один рефлектометр активен и работает в режиме амплитудного детектирования, другой выполняет функцию пассивной нагрузки. Затем возбуждают измеряемый объект 9 со стороны первого рефлектометра 5 амплитудно-модулированным сигналом, а со стороны второго рефлектометра 6 немодулированным сигналом и в режиме гомодинного детектирования определяют 22, связанное с S-параметрами соотношением:
22=S21a10/(1-S11Гp2)a10.
При возбуждении измеряемого объекта 9 со стороны первого рефлектометра 5 немодулированным сигналом, а со стороны второго рефлектометра 6 амплитудно-модулированным сигналом с модулятора 4 в режиме гомодинного детектирования определяют 21, связанное с S-параметрами соотношением:
21=S12a20/(1-S22Гp2)a10.
Здесь а10/a20 – отношение комплексных амплитуд первичных падающих волн на измеряемое устройство.
Таким образом, S-параметры измеряемого устройства можно определить из системы уравнений (1), (2), (3), (4).
Существенно, что рефлектометры, возбужденные немодулированным синусоидальным сигналом, работают в режиме гомодинного детектирования, обладая повышенной чувствительностью к модулированному сигналу, прошедшему через объект измерения, и, следовательно, позволяют определить весьма малые значения коэффициентов передачи в диапазоне -40- -60 дБ.
Постоянство отношений комплексных амплитуд первичных падающих волн а20/а10 и комплексных коэффициентов отражения Гp1, Гр2 от рефлектометров обеспечивается при калибровке и измерениях развязывающими устройствами (СВЧ-вентилями 7, 8, 10, 11).
При измерении S-параметров устройств с коэффициентом передачи менее -40 дБ режим двухстороннего возбуждения амплитудно-модулированным сигналом позволяет определить 31 32, связанные с определяемыми S-параметрами соотношениями:
![]()
Эти соотношения вместе с уравнениями (1) (2) позволяют определить S-параметры устройств с КП от +10 до -40 дБ. Кроме того, каждый из рефлектометров с гомодинным детектированием информационных сигналов по существу является измерителем разности фаз и отношений уровней, что существенно расширяет функциональные возможности прибора. Так, например, для измерения амплитудно-фазового распределения электромагнитного поля в ближней зоне антенны или диаграммы направленности следует возбудить ее через рефлектометр амплитудно-модулированным сигналом, а приемную антенну подключить к другому рефлектометру с гомодинным детектированием сигналов. В устройстве отсутствуют дорогостоящие направленные ответвители, балансные смесители и ступенчатые фазовращатели, используемые в гомодинных анализаторах СВЧ-цепей. Таким образом, достоинство предлагаемого анализатора цепей с амплитудным и гомодинным детектированием информационных сигналов состоит в простоте СВЧ-тракта и прибора в целом, обладающего расширенным динамическим диапазоном и широкими функциональными возможностями.
Формула изобретения 1. Способ измерения параметров СВЧ четырехполюсников путем создания различных режимов возбуждения измеряемого объекта через два двенадцатиполюсных рефлектометра, включающий режим двух односторонних возбуждений измеряемого объекта амплитудно-модулированным сигналом и измерения рефлектометрами отношений 11, 12 комплексных амплитуд отраженных и падающих волн на входах измеряемого устройства, связанных с определяемыми S-параметрами соотношениями
и
отличающийся тем, что проводят возбуждение измеряемого объекта со стороны первого рефлектометра амплитудно-модулированным сигналом, а со стороны второго рефлектометра немодулированным сигналом и наоборот, определяют 22, связанное с определяемыми S-параметрами соотношением
а при возбуждении измеряемого объекта со стороны первого рефлектометра немодулированным сигналом, а со стороны второго рефлектометра амплитудно-модулированным сигналом определяют 21, связанное с определяемыми S-параметрами соотношением
где S11, S22, S12, S21 – комплексные элементы волновой матрицы рассеяния исследуемого СВЧ четырехполюсника;
Гр1, Гр2 – комплексные коэффициенты отражения от рефлектометров в плоскости подключения исследуемого СВЧ четырехполюсника;
10, 20 – комплексные амплитуды первичных падающих волн на исследуемый СВЧ четырехполюсник.
2. Устройство по способу п.1, содержащее генератор СВЧ с подсоединенным к его выходу делителем мощности, два амплитудных модулятора, один из которых подключен к первому выходу делителя мощности, а другой ко второму выходу делителя мощности, два двенадцатиполюсных рефлектометра, вход каждого из которых соединен с выходом соответствующего амплитудного модулятора, а выход является входом для подключения исследуемого СВЧ четырехполюсника, отличающийся тем, что амплитудные модуляторы имеют одну частоту и дополнительно введены два СВЧ вентиля, каждый из которых включен между выходом модулятора напряжения и входом соответствующего рефлектометра.
3. Устройство по п.2, отличающееся тем, что в него введены два СВЧ вентиля, каждый из которых включен между одним из выходов делителя мощности и входом соответствующего амплитудного модулятора.
РИСУНКИ
MM4A – Досрочное прекращение действия патента СССР или патента Российской Федерации на изобретение из-за неуплаты в установленный срок пошлины за поддержание патента в силе
Дата прекращения действия патента: 03.09.2006
Извещение опубликовано: 27.07.2007 БИ: 21/2007
|
||||||||||||||||||||||||||

22, связанное с определяемыми S-параметрами приведенными соотношениями. При возбуждении измеряемого объекта со стороны первого рефлектометра немодулированным сигналом, а со стороны второго рефлектометра амплитудно-модулированным сигналом определяют
=
S21, кроме того, для определения коэффициентов передачи S21 и S12
S21 невзаимных СВЧ-четырехполюсников требуются специальные меры, усложняющие процесс измерений и снижающие точность измерений.
Технической задачей предлагаемого способа измерения параметров СВЧ-четырехполюсников является увеличение динамического диапазона измерений и расширение его функциональных возможностей.
Сущность предлагаемого способа измерения параметров СВЧ-четырехполюсников заключается в создании различных режимов возбуждения измеряемого объекта через два двенадцатиполюсных рефлектометра, включающих режим двух односторонних возбуждений измеряемого объекта амплитудно-модулированным сигналом и измерения рефлектометрами отношений
затем возбуждения измеряемого объекта со стороны первого рефлектометра амплитудно-модулированным сигналом, а со стороны второго рефлектометра немодулированным сигналом и наоборот, определения
а при возбуждении измеряемого объекта со стороны первого рефлектометра немодулированным сигналом и со стороны второго рефлектометра амплитудно-модулированным сигналом определения
и решением полученной системы из четырех уравнений с четырьмя неизвестными S11 S22 S12 S21.
Известен измеритель S-параметров элементов СВЧ-тракта, который содержит генератор СВЧ, четырехзондовые датчики, исследуемый четырехполюсник СВЧ, направленный ответвитель падающей волны, исследуемый двухполюсник СВЧ, трехканальный СВЧ-коммутатор, нагрузки с различными коэффициентами отражения, блок обработки информации и управления СВЧ-коммутатором (авторское свидетельство SU №1677669, кл. G 01 R 27/28, 15.09.91). Процесс измерения параметров элементов СВЧ-тракта состоит в определении коэффициентов отражения на входе устройства при подключении трех нагрузок. Полученные коэффициенты отражения на входе и выходе СВЧ-четырехполюсника позволяют определить его S-параметры.
Известно устройство для измерения параметров СВЧ-четырехполюсников, содержащее СВЧ-генератор с подсоединенным к его выходу делителем мощности, два двухпозиционных СВЧ-переключателя, управляемые блоком управления и обработки информации, два вентиля и два двенадцатиполюсных рефлектометра, между выходами которых включаются исследуемые СВЧ-четырехполюсники (Woods D. Explicite, Solution of calibration Equation for a Dual G-point Network Analyser. – Elektron Lett, 1979, vol. 15, 22, p. 718-720).
В качестве ближайшего аналога предлагаемого устройства для измерения параметров СВЧ-четырехполюсников принято устройство для измерения волновых параметров рассеяния СВЧ-устройств анализатором цепей с двумя рефлектометрами (IEEE Transactions on Microwave theory and techniques, vol. 38, 3, march 1990), содержащее СВЧ-генератор с подсоединенным к его выходу делителем мощности, два pin-модулятора напряжения, работающих на разных частотах, 3-dB квадратурный направленный ответвитель и два двенадцатиполюсных рефлектометра, между выходами которых включаются исследуемые СВЧ-четырехполюсники.
Недостатком вышеуказанных устройств является ограниченный динамический диапазон измерений, расширение которого возможно только за счет усложнения устройств, снижения их надежности и значительного повышения стоимости.
Технической задачей предлагаемого устройства, осуществляющее заявляемый способ измерения параметров СВЧ-четырехполюсников, является увеличение динамического диапазона измерения и расширение его функциональных возможностей.
Сущность технического решения заключается в том, что в устройство, содержащее генератор СВЧ с подсоединенным к его выходу делителем мощности, два амплитудных модулятора, один из которых подключен к первому выходу делителя мощности, а другой – ко второму выходу делителя мощности, два двенадцатиполюсных рефлектометра, вход каждого из которых соединен с выходом соответствующего амплитудного модулятора, а выход является входом для подключения исследуемого СВЧ-четырехполюсника, амплитудные модуляторы имеют одну частоту модуляции и дополнительно введены два СВЧ-вентиля, каждый из которых включен между выходом модулятора напряжения и входом соответствующего рефлектометра.
В варианте выполнения устройства в него введены два СВЧ-вентиля, каждый из которых включен между одним из выходов делителя мощности и входом соответствующего амплитудного модулятора. Это обеспечивает межканальную развязку в гомодинном режиме детектирования для исключения проникновения амплитудно-модулированного сигнала минуя объект измерения.
На фиг.1 и фиг.2 изображены структурные электрические схемы измерителя параметров СВЧ-четырехполюсников.
Измеритель параметров СВЧ-четырехполюсников, реализующий предложенный способ, содержит генератор СВЧ 1 с подсоединенным к его выходу делителем мощности 2, два амплитудных модулятора 3 и 4, один из которых 3 подключен к первому выходу делителя мощности 2, а другой 4 ко второму выходу делителя мощности 2, два двенадцатиполюсных рефлектометра 5 и 6, вход рефлектометра 5 соединен с выходом амплитудного модулятора 3 через вентиль 7, а вход рефлектометра 6 соединен с выходом амплитудного модулятора 4 через вентиль 8. Выходы рефлектометров 5 и 6 являются входами для подключения исследуемого СВЧ-четырехполюсника 9. Амплитудные модуляторы 5 и 6 имеют одну одинаковую частоту модуляции, они позволяют подавать на рефлектометры через вентили амплитудно-модулированный, немодулированный синусоидальный сигнал и переводить рефлектометры в режим пассивной нагрузки для измеряемого устройства. В последнем случае вход вентиля модулятор подключает к согласованной нагрузке. Вентили СВЧ 10 и 11 включены на каждом из выходов делителя мощности 2 перед входом соответствующего модулятора 3 и 4.
Схемная реализация устройства. В качестве СВЧ-генератора может быть использован генератор типа Г4-79 или встроенный синтезатор частоты. Делитель мощности выполнен в виде кольцевого делителя с развязкой порядка 20 дБ. СВЧ-вентили построены на основе У-циркуляторов. Рефлектометры могут быть выполнены аналогично прототипу (см. приложение) или по схеме свидетельства на полезную модель №23336. Модуляторы построены на транзисторных электронных ключах типа SW-439 и согласованных нагрузках (резисторы).
Способ на измерителе параметров СВЧ-четырехполюсников реализуется следующим образом.
При возбуждении исследуемого СВЧ-четырехполюсника 9 через рефлектометры 5 и 6 амплитудно-модулированным и немодулированным синусоидальными СВЧ-сигналами на выходах датчиков рефлектометров появляются напряжения, связанные с отношениями
где Гp1, Гp2 – комплексные коэффициенты отражения от рефлектометров 5 и 6 в плоскости подключения исследуемого СВЧ-четырехполюсника.
При каждом одностороннем возбуждении один рефлектометр активен и работает в режиме амплитудного детектирования, другой выполняет функцию пассивной нагрузки. Затем возбуждают измеряемый объект 9 со стороны первого рефлектометра 5 амплитудно-модулированным сигналом, а со стороны второго рефлектометра 6 немодулированным сигналом и в режиме гомодинного детектирования определяют 
Эти соотношения вместе с уравнениями (1) (2) позволяют определить S-параметры устройств с КП от +10 до -40 дБ. Кроме того, каждый из рефлектометров с гомодинным детектированием информационных сигналов по существу является измерителем разности фаз и отношений уровней, что существенно расширяет функциональные возможности прибора. Так, например, для измерения амплитудно-фазового распределения электромагнитного поля в ближней зоне антенны или диаграммы направленности следует возбудить ее через рефлектометр амплитудно-модулированным сигналом, а приемную антенну подключить к другому рефлектометру с гомодинным детектированием сигналов. В устройстве отсутствуют дорогостоящие направленные ответвители, балансные смесители и ступенчатые фазовращатели, используемые в гомодинных анализаторах СВЧ-цепей. Таким образом, достоинство предлагаемого анализатора цепей с амплитудным и гомодинным детектированием информационных сигналов состоит в простоте СВЧ-тракта и прибора в целом, обладающего расширенным динамическим диапазоном и широкими функциональными возможностями.
и
отличающийся тем, что проводят возбуждение измеряемого объекта со стороны первого рефлектометра амплитудно-модулированным сигналом, а со стороны второго рефлектометра немодулированным сигналом и наоборот, определяют
а при возбуждении измеряемого объекта со стороны первого рефлектометра немодулированным сигналом, а со стороны второго рефлектометра амплитудно-модулированным сигналом определяют
где S11, S22, S12, S21 – комплексные элементы волновой матрицы рассеяния исследуемого СВЧ четырехполюсника;
Гр1, Гр2 – комплексные коэффициенты отражения от рефлектометров в плоскости подключения исследуемого СВЧ четырехполюсника;
10,