Патент на изобретение №2233452
|
||||||||||||||||||||||||||
(54) СПОСОБ ИЗВЛЕЧЕНИЯ ИНФОРМАЦИИ О ДОППЛЕРОВСКОМ СДВИГЕ ЧАСТОТЫ НЕСУЩЕЙ СИГНАЛА И УСТРОЙСТВО ДЛЯ ЕГО ОСУЩЕСТВЛЕНИЯ
(57) Реферат: Изобретение относится к технике связи и может использоваться в системах дальней космической связи и спутниковой навигации. Исследуемый сигнал разделяют на две равные компоненты, одну из которых преобразуют по частоте синфазно относительно центральной частоты сигнала, а другую – квадратурно. Из квадрата отфильтрованного синфазного сигнала вычитают квадрат отфильтрованного квадратурного сигнала. Формируют комплексный сигнал с действительной частью, равной полученному разностному сигналу, и мнимой частью, равной усиленному в два раза произведению отфильтрованных синфазного и квадратурного сигналов. Вычисляют Фурье-образ от сформированного комплексного сигнала. Вычисляют аргумент максимума Фурье-образа сигнала в области отрицательных частот и максимума Фурье-образа сигнала в области положительных частот. Допплеровский сдвиг частоты определяют как четверть суммы найденных аргументов максимумов. Техническим результатом изобретения является возможность извлечения информации о допплеровском сдвиге частоты сигнала без априорной информации о модулирующем сообщении. 2 н.п. ф-лы, 1 ил. Изобретение относится к технике связи и может использоваться для извлечения информации о допплеровском сдвиге частоты несущей сигнала в информационно-измерительных устройствах без априорной информации о модулирующем сообщении. Извлечение информации о допплеровском сдвиге частоты несущей сигнала имеет большое значение в системах дальней космической связи с космическими аппаратами (КА) типа Mars Polarlander, Mars Pathfinder [1] или с КА типа Voyager и Galileo [2], а также в перспективных системах спутниковой навигации [3, 4]. Известен ряд способов извлечения информации о допплеровском сдвиге частоты несущей для сигналов с двухпозиционной фазовой манипуляцией, основанных на априорном знании информации, содержащейся в модулирующем сообщении [5, 6], что существенно усложняет процесс обработки [7] и делает их малоприемлемыми в ситуациях, когда такая информация может оказаться недоступной. Для преодоления указанных недостатков были созданы способ и устройство извлечения информации о допплеровском сдвиге частоты несущей сигнала с двухпозиционной фазовой манипуляцией, не требующие априорного знания информации, содержащейся в модулирующем сообщении [7]. Однако в настоящее время в системах дальней космической связи с космическими аппаратами, в системах сотовой связи и в перспективных системах спутниковой навигации широкое применение нашли спектрально эффективные методы модуляции, такие как четырехпозиционная фазовая манипуляция со сдвигом (4ФМнС или OQPSK – Offset Quadrature Phase Shift Keying), манипуляция минимальным сдвигом (ММС или MSK – Minimum Shift Keying), гауссовская манипуляция минимальным сдвигом (ГММС или GMSK) [3, 4, 8-10], для которых способы извлечения информации о допплеровском сдвиге частоты несущей сигнала [5-7] неприменимы. Для сигналов, использующих спектрально эффективные методы модуляции при наличии априорного знания о модулирующем сообщении возможно точное извлечение информации о допплеровском сдвиге частоты несущей сигнала с использованием способов [11-12]. Известны для таких сигналов способы извлечения информации о допплеровском сдвиге частоты несущей сигнала [13-16] без априорной информации о модулирующем сообщении, основанные на нелинейных операциях четвертого порядка, что всегда приводит к снижению точности оценивания [17], поскольку при таких операциях примерно в четыре раза уменьшается отношение мощности несущей сигнала к спектральной плотности мощности шума [8]. Наиболее близким к предлагаемому способу извлечения информации о допплеровском сдвиге частоты несущей сигнала без априорной информации о модулирующем сообщении, по совокупности используемых действий над сигналом, является способ [7], основанный на нелинейной операции второго порядка, принятый за прототип. Согласно этому способу: 1. Разделяют сигнал на две равные компоненты. 2. Преобразуют по частоте первую компоненту сигнала, смешивая ее с гетеродинирующим сигналом, частота которого ниже частоты несущей сигнала. 3. Преобразуют по частоте вторую компоненту сигнала, смешивая ее с вторым гетеродинирующим сигналом, частота которого выше частоты несущей сигнала. 4. Низкочастотно фильтруют каждую из преобразованных по частоте компонент сигнала. 5. Перемножают отфильтрованные сигналы. 6. Низкочастотно фильтруют результат перемножения. 7. Находят преобразование Фурье от отфильтрованного результата перемножения. Недостатком способа-прототипа является невозможность извлечения информации о допплеровском сдвиге частоты несущей сигнала, использующего спектрально эффективные методы модуляции [12-15], такие как четырехпозиционная фазовая манипуляция со сдвигом (4ФМнС или OQPSK), манипуляция минимальным сдвигом (ММС или MSK), гауссовская манипуляция минимальным сдвигом (ГММС или GMSK). Устройство-прототип [7] своим входом подключено через последовательно включенные разветвитель, первый смеситель и первый фильтр нижних частот (ФНЧ) к первому входу перемножителя, второй вход которого подключен ко второму входу разветвителя через последовательно включенные второй смеситель и второй ФНЧ. Между Фурье-процессором, выход которого является выходом устройства-прототипа, и выходом перемножителя включен третий ФНЧ. К второму входу первого смесителя устройства-прототипа подключен первый гетеродин, а к второму входу второго смесителя устройства-прототипа подключен второй гетеродин. Недостатком устройства-прототипа так же является невозможность извлечения информации о допплеровском сдвиге частоты несущей сигнала, использующего спектрально эффективные методы модуляции [12-15], такие как четырехпозиционная фазовая манипуляция со сдвигом (4ФМнС или OQPSK), манипуляция минимальным сдвигом (ММС или MSK), гауссовская манипуляция минимальным сдвигом (ГММС или GMSK). Техническим результатом изобретения является возможность извлечения информации о допплеровском сдвиге частоты несущей сигнала, использующего спектрально эффективные методы модуляции, без априорной информации о модулирующем сообщении за счет квадратурного разложения входного сигнала относительно номинала центральной частоты с низкочастотной фильтрацией синфазной и квадратурной компонент, формирования комплексного сигнала из отфильтрованных компонент и за счет использования расположения дискретных составляющих в Фурье-образе квадрата комплексного сигнала. Технический результат достигается тем, что в способе извлечения информации о допплеровском сдвиге частоты несущей сигнала, включающем разделение сигнала на две равные компоненты, частотное преобразование обоих компонент с последующей низкочастотной фильтрацией каждой из преобразованных по частоте компонент сигнала, перемножение отфильтрованных сигналов и вычислении преобразования Фурье от сигнала, согласно изобретению одну компоненту сигнала преобразуют по частоте синфазно относительно номинала центральной частоты сигнала, другую – квадратурно относительно той же частоты, фильтруют каждую из преобразованных по частоте компонент сигнала в полосе низких частот, равной полуширине полосы спектра сигнала, отфильтрованные синфазный и квадратурный сигналы возводят в квадрат, из квадрата отфильтрованного синфазного сигнала вычитают квадрат отфильтрованного квадратурного сигнала, результат перемножения отфильтрованных сигналов усиливают в два раза, формируют комплексный сигнал с действительной частью, равной разностному сигналу, и мнимой частью, равной усиленному сигналу, Фурье-образ вычисляют от сформированного комплексного сигнала, определяют аргумент максимума Фурье-образа сигнала в области отрицательных частот и аргумент максимума Фурье-образа сигнала в области положительных частот, а допплеровский сдвиг частоты несущей сигнала получают как четверть суммы найденных аргументов максимума. Способ реализуется устройством для извлечения информации о допплеровском сдвиге частоты несущей сигнала, вход которого подключен через последовательно включенные разветвитель, первый смеситель и первый фильтр нижних частот (ФНЧ) к первому входу перемножителя, второй вход которого подключен ко второму входу разветвителя через последовательно включенные второй смеситель и второй ФНЧ, содержащее Фурье-процессор, при этом ко второму входу первого смесителя подключен гетеродин, в котором согласно изобретению Фурье-процессор выполнен комплексным, у которого вход мнимой компоненты сигнала через усилитель в два раза подключен к выходу перемножителя, а вход действительной компоненты сигнала Фурье-процессора через последовательно включенные квадратор и вычитатель подключен к выходу первого ФНЧ, между вычитающим входом вычитателя и выходом второго ФНЧ включен второй квадратор, второй вход второго смесителя подключен к выходу гетеродина через фазовращатель, к выходу Фурье-процессора подключено арифметическое устройство, выход которого является выходом устройства. На чертеже приведена структурная схема устройства, в котором реализуется предложенный способ. Согласно предлагаемому способу: 1. Разделяют сигнал на две равные компоненты. 2. Одну компоненту сигнала преобразуют по частоте синфазно относительно номинала центральной частоты сигнала. 3. Другую компоненту сигнала преобразуют по частоте квадратурно относительно номинала центральной частоты сигнала. 4. Фильтруют каждую из преобразованных по частоте компонент сигнала в полосе низких частот, равной полуширине полосы спектра сигнала. 5. Перемножают отфильтрованные сигналы. 6. Результат перемножения отфильтрованных сигналов усиливают в два раза. 7. Отфильтрованные синфазный и квадратурный сигналы возводят в квадрат. 8. Из квадрата отфильтрованного синфазного сигнала вычитают квадрат отфильтрованного квадратурного сигнала 9. Формируют комплексный сигнал с действительной частью, равной разностному сигналу, и мнимой частью, равной усиленному сигналу. 10. Вычисляют Фурье-образ от сформированного комплексного сигнала. 11. Определяют аргумент максимума Фурье-образа сигнала в области отрицательных частот и аргумент максимума Фурье-образа сигнала в области положительных частот. 12. Получают допплеровский сдвиг частоты несущей сигнала как четверть суммы найденных аргументов максимума. В спектрах сигналов ММС, ГММС и 4ФМнС при случайном характере модулирующего сообщения в общем случае не содержится явно выраженных дискретных компонент, позволяющих извлечь информацию о допплеровском сдвиге несущей частоты сигнала [8-10]. Покажем, что предлагаемый способ позволяет получать информацию о допплеровском сдвиге несущей частоты сигнала. Как известно [14, 16], сигнал ММС может быть представлен в виде
где – амплитуда сигнала; Ai, Bi – информационные параметры сигнала, независимо и равновероятно принимающие значения +1 и -1, сдвинутые на половину длительности символа; T – тактовая частота сигнала; D= 0+![]() D – несущая частота принимаемого сигнала, представляющая собой сумму истинного значения несущей 0 и допплеровского смещения ![]() D; , – начальные фазы, соответственно, несущей и тактовой частот принимаемого сигнала.
После синфазного и квадратурного преобразования сигнала относительно номинального значения центральной частоты сигнала 0, получаем следующие преобразованные по частоте компоненты сигнала
Видно, что каждая из двух квадратурных компонент сигнала содержит низкочастотную часть, сосредоточенную в области нулевых частот (первое и третье слагаемое в каждой из квадратных скобок выражения (2)), и высокочастотную часть, сосредоточенную в области удвоенной несущей частоты (второе и четвертое слагаемое в каждой из квадратных скобок выражения (2)).
После низкочастотной фильтрации компоненты, связанные с удвоенной несущей частотой, подавляются. Если ввести обозначения = Tt/4+ и =![]() Dt+ , то полученные отфильтрованные синфазный и, соответственно, квадратурный сигналы (волнистая черта над сигналом обозначает применение к нему операции фильтрации) можно представить в виде
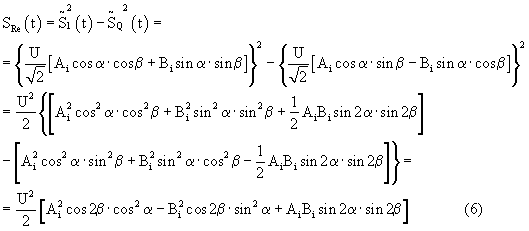
После перемножения сигналов , и усиления результата в два раза получаем
Если учесть, что A2i=В2i=I, то
Вычитание из квадрата сигнала квадрата сигнала дает следующий результат
Если учесть, что A2i=B2i=I, то
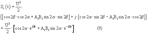
После объединения сигналов SRe(t) и SIm(t) в комплексный сигнал Sc(t)
и после подстановки значений и с использованием формулы Эйлера для представления комплексных чисел получаем комплексный сигнал Sc(t) в следующем виде
или
Для анализа полученного выражения воспользуемся свойствами преобразования Фурье [18]. Исходя из свойства линейности, спектр суммы двух слагаемых равен сумме спектров слагаемых.
Рассмотрим второе слагаемое выражения (10). Поскольку модулирующие сигналы Ai и Вi представляют собой последовательность независимых случайных величин, то спектр второго слагаемого в выражении (10) имеет шумовой характер и имеет приблизительно равномерную спектральную плотность при отсутствии дискретных компонент.
Первое слагаемое выражения (6) представляет собой произведение косинусоиды на комплексную экспоненту с аргументом 2(![]() Dt+ ).
Спектр косинусоиды, входящей в выражение (10), представляет собой две дискретные компоненты на частотах минус T/2 и плюс T/2 [18]. Исходя из свойства прямого преобразования Фурье (преобразование Фурье от сигнала во временной области в частотную область), его умножение на комплексную экспоненту с аргументом 2(![]() Dt+ ) приводит к сдвигу спектра сигнала на величину 2![]() D.
Таким образом, максимум преобразования Фурье сигнала Sc(t) в отрицательной области частот соответствует аргументу (- T/2+2![]() D), а в положительной области частот – аргументу ( T/2+2![]() D). Следовательно, четверть суммы аргументов Фурье образа сигнала Sc(t) численно равна допплеровскому сдвигу частоты сигнала ![]() D.
Устройство, реализующее предложенный способ извлечения информации о допплеровском сдвиге частоты несущей сигнала (смотри чертеж), своим входом подключено через последовательно включенные разветвитель 1, первый смеситель 2 и первый ФНЧ 3 к первому входу перемножителя 4. Второй вход перемножителя 4 подключен ко второму входу разветвителя 1 через последовательно включенные второй смеситель 5 и второй ФНЧ 6. Согласно изобретению, Фурье-процессор 7 выполнен комплексным. Вход мнимой компоненты сигнала Фурье-процессора 7 через усилитель в два раза 8 подключен к выходу перемножителя 4. Вход действительной компоненты сигнала Фурье-процессора 7 через последовательно включенные квадратор 9 и вычитаисль 10 подключен к выходу первого ФНЧ. Между вычитающим входом вычитателя 10 и выходом второго ФНЧ 6 включен второй квадратор 11. Второй вход второго смесителя 5 подключен к выходу гетеродина 12 через фазовращатель 13. К выходу Фурье-процессора 7 подключено арифметическое устройство 14, выход которого является выходом устройства.
Устройство для извлечения информации о допплеровском сдвиге частоты несущей сигнала работает следующим образом.
Модулированный сигнал в смеси с шумом через вход устройства подается на разветвитель 1. Одна из разветвленных компонент сигнала поступает на первый смеситель 2, другая – на второй смеситель 5. В первом смесителе 2 разветвленная компонента сигнала синфазно смешивается с сигналом гетеродина 12. Во втором смесителе 5 другая разветвленная компонента сигнала – через фазовращатель 13 – квадратурно смешивается с сигналом гетеродина 12. Продукты преобразования с выходов первого 2 и второго 5 смесителей фильтруются соответственно через первый 3 и второй 6 ФНЧ. Выходные сигналы первого 3 и второго 6 ФНЧ перемножаются перемножителем 4. Результат перемножения усиливается в два раза усилителем в два раза 8 и подается на вход мнимой компоненты сигнала Фурье-процессора 7. Сигнал с выхода первого ФНЧ 3 через квадратор 9 подается также на вход вычитателя 10, на вычитающий вход которого через второй квадратор 11 подается сигнал с выхода второго ФНЧ 6. Разностный сигнал с выхода вычитателя 10 поступает на вход действительной компоненты сигнала Фурье-процессора 7. Фурье-процессор 7 вычисляет Фурье-образ комплексного сигнала, полученного в устройстве как результат вышеперечисленных действий над входным сигналом. С выхода Фурье-процессора 7 Фурье-образ комплексного сигнала поступает на арифметическое устройство 14, где сначала определяют аргумент максимума Фурье-образа сигнала в области отрицательных частот и аргумент максимума Фурье-образа сигнала в области положительных частот, а затем получают допплеровский сдвиг частоты несущей сигнала как четверть суммы найденных аргументов максимума.
ИСТОЧНИКИ ИНФОРМАЦИИ
1. Наrckе, L., and G.Wood, Laboratory and Flight Performance of the Mars Pathfinder (15,1/6) Convolutionally Encoded Telemetry Link, TDA PR 42-129, January-March 1997, pp.1-11, May 15, 1997.
2. Rebold, Т.A., M.Tinto, S.W.Asmar, and E.R.Kursinski, Neptune Revisited: Synthesizing Coherent Doppler From Voyager’s Noncoherent Downlink, TDA PR 42-131, July-September 1997, pp.1-19, November 15, 1997.
3. Бортовые устройства спутниковой радионавигации /Под ред. B.C.Шебшаевича. M., Транспорт, 1988, – 201 с.
4. BROADCAST STANDARD FOR THE USCG DGPS NAVIGATION SERVICE COMDTINST M16577.1, U.S. Department of Transportation United States Coast Guard, Washington, DC, April, 1993.
5. US Patent №4490829, МПК 7, Dec., 1984. Van Etten 375/1.
6. Great Britain Patent №2120489 В, МПК 7, Feb, 1986, GB.
7. US Patent №4706286, МПК 7, Sturza; Mark A., Method and circuit for extraction of Doppler information from a pseudonoise modulated carrier, November 10, 1987 (Способ и устройство – прототип).
8. Спилкер Дж. Цифровая спутниковая связь. М., Связь, 1979, – 592 с.
9. Feher К. Digital communications: Satellite/Earth stations Engineering N-Y., Prentice-Hall, 1983, стр. 240-254.
10. DOCUMENT 705-98, SPECTRUM EFFICIENT MODULATION, Prepared by Frequency Management Group Range Commanders Council, Published by Secretariat Range Commanders Council U.S. Army White Sands Missile Range, New Mexico 88002-5110, December, 1998.
11. US Patent №5535249, МПК 7, Miyashita Toshikazu, Precise detection of frequency error for bursts modulated by predetermined symbol sequence, July 9, 1996.
12. Международный патент РСТ, WO 01/33794, МПК 7, Carrier recovery and Doppler frequency estimation, 2001.
13. United States Patent № 4384357, МПК 7, deBuda, et al., Selfsynchronization circuit for a FFSK or MSK demodulator, May 17, 1983.
17. Кау S.M., Fundamentals of Statistical Signal Processing: Estimation Theory, NJ, Prentice-Hall, 1993.
18. Радиотехнические цепи и сигналы /Под ред. К.А.Самойло. – M.: “Радио и связь”, 1982. – 528 с.
Формула изобретения 1. Способ извлечения информации о допплеровском сдвиге частоты несущей сигнала, включающий разделение сигнала на две равные компоненты, частотное преобразование обоих компонент с последующей низкочастотной фильтрацией каждой из преобразованных по частоте компонент сигнала, перемножение отфильтрованных сигналов и вычисление преобразования Фурье от сигнала, отличающийся тем, что одну компоненту сигнала преобразуют по частоте синфазно относительно номинала центральной частоты сигнала, а другую – квадратурно относительно той же частоты, фильтруют каждую из преобразованных по частоте компонент сигнала в полосе низких частот, равной полуширине полосы спектра сигнала, отфильтрованные синфазный и квадратурный сигналы возводят в квадрат, из квадрата отфильтрованного синфазного сигнала вычитают квадрат отфильтрованного квадратурного сигнала, результат перемножения отфильтрованных сигналов усиливают в два раза, формируют комплексный сигнал с действительной частью, равной разностному сигналу и мнимой частью, равной усиленному сигналу, Фурье-образ вычисляют от сформированного комплексного сигнала, определяют аргумент максимума Фурье-образа сигнала в области отрицательных частот и аргумент максимума Фурье-образа сигнала в области положительных частот, а допплеровский сдвиг частоты несущей сигнала получают как четверть суммы найденных аргументов максимума. 2. Устройство для извлечения информации о допплеровском сдвиге частоты несущей сигнала, вход которого подключен через последовательно включенные разветвитель, первый смеситель и первый фильтр нижних частот (ФНЧ) к первому входу перемножителя, второй вход которого подключен ко второму входу разветвителя через последовательно включенные второй смеситель и второй ФНЧ, содержащее Фурье-процессор, при этом ко второму входу первого смесителя подключен гетеродин, отличающееся тем, что Фурье-процессор выполнен комплексным, у которого вход мнимой компоненты сигнала через усилитель в два раза подключен к выходу перемножителя, а вход действительной компоненты сигнала Фурье-процессора через последовательно включенные квадратор и вычитатель подключен к выходу первого ФНЧ, между вычитающим входом вычитателя и выходом второго ФНЧ включен второй квадратор, второй вход второго смесителя подключен к выходу гетеродина через фазовращатель, к выходу Фурье-процессора подключено арифметическое устройство, выход которого является выходом устройства. РИСУНКИ
|
||||||||||||||||||||||||||

где
– амплитуда сигнала; Ai, Bi – информационные параметры сигнала, независимо и равновероятно принимающие значения +1 и -1, сдвинутые на половину длительности символа;
T – тактовая частота сигнала; 
,
– начальные фазы, соответственно, несущей и тактовой частот принимаемого сигнала.
После синфазного и квадратурного преобразования сигнала относительно номинального значения центральной частоты сигнала
Видно, что каждая из двух квадратурных компонент сигнала содержит низкочастотную часть, сосредоточенную в области нулевых частот (первое и третье слагаемое в каждой из квадратных скобок выражения (2)), и высокочастотную часть, сосредоточенную в области удвоенной несущей частоты (второе и четвертое слагаемое в каждой из квадратных скобок выражения (2)).
После низкочастотной фильтрации компоненты, связанные с удвоенной несущей частотой, подавляются. Если ввести обозначения
=
=
и, соответственно, квадратурный
сигналы (волнистая черта над сигналом обозначает применение к нему операции фильтрации) можно представить в виде
После перемножения сигналов
,
и усиления результата в два раза получаем
Если учесть, что A2i=В2i=I, то
Вычитание из квадрата сигнала
квадрата сигнала
дает следующий результат
Если учесть, что A2i=B2i=I, то
После объединения сигналов SRe(t) и SIm(t) в комплексный сигнал Sc(t)
и после подстановки значений
или
Для анализа полученного выражения воспользуемся свойствами преобразования Фурье [18]. Исходя из свойства линейности, спектр суммы двух слагаемых равен сумме спектров слагаемых.
Рассмотрим второе слагаемое выражения (10). Поскольку модулирующие сигналы Ai и Вi представляют собой последовательность независимых случайных величин, то спектр второго слагаемого в выражении (10) имеет шумовой характер и имеет приблизительно равномерную спектральную плотность при отсутствии дискретных компонент.
Первое слагаемое выражения (6) представляет собой произведение косинусоиды
на комплексную экспоненту с аргументом 2(