Патент на изобретение №2233444
|
||||||||||||||||||||||||||
(54) СПОСОБ ОЦЕНКИ ПРОЦЕССОВ РАЗРУШЕНИЯ КОНСТРУКЦИЙ ПРИ АКУСТИКО-ЭМИССИОННОМ КОНТРОЛЕ
(57) Реферат: Изобретение относится к неразрушающему контролю конструкций с использованием метода акустической эмиссии. Способ оценки процессов разрушения конструкций при акустико-эмиссионном контроле основан на оценке изменения характеристик сигналов акустической эмиссии при деформировании конструкций. При этом оценку процессов разрушения при деформировании конструкций производят путем анализа изменения параметров распределений акустической эмиссии, характеризуемых инвариантом
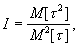
где М [ 2] – математическое ожидание квадрата временных интервалов сигналов акустической эмиссии, M2 [ ] – квадрат математического ожидания временных интервалов сигналов акустической эмиссии, а величина отклонения I от числа “2” характеризует степень разрушения конструкций. Данное изобретение позволяет осуществлять оперативную оценку процессов накопления повреждений и разрушения конструкций при периодическом и постоянном акустико-эмиссионном контроле. 3 ил.
Изобретение относится к области технической диагностики и неразрушающего контроля конструкций с использованием метода акустической эмиссии.
Для метода акустической эмиссии проблемным вопросом является разработка способов оценки процессов разрушения при деформировании конструкций. Известны, амплитудный, интегральный, локально-динамический, интегрально-динамический способы оценки процессов разрушения конструкций при акустико-эмиссионном контроле, приведенные в [1]. Данные способы основаны на анализе амплитуды и интенсивности сигналов акустической эмиссии.
Недостатки данных способов оценки процессов разрушения конструкций при акустико-эмиссионном контроле обусловлены влиянием на амплитуду и интенсивность сигналов акустической эмиссии механических шумов, предыстории эксплуатации, материала, размеров и формы контролируемых конструкций.
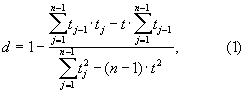
Более близким по технической сущности к заявленному способу является способ определения момента времени возникновения предразрывного состояния нагруженного материала [2], заключающийся в том, что регистрируют время tj возникновения акустико-эмиссионных сигналов от образующихся трещин и по результатам измерения по n последовательным сигналам определяют функцию
а момент времени возникновения предразрывного состояния нагруженного материала определяют по моменту равенства нулю указанной функции при превышении ею перед этим положительного и отрицательного заданных порогов.
Получаемое при реализации этого способа решение не является оптимальным, поскольку при определении предразрушающего состояния в процессе деформирования конструкций не учитываются изменения распределений параметров сигналов акустической эмиссии. Сигналы с параметрами tj могут возникать при наличии механических шумов, не связанных с акустической эмиссией (работа механизмов и др.).
Предлагаемый способ направлен на устранение упомянутых выше недостатков известных способов. Технический результат предлагаемого изобретения – оперативная оценка процессов накопления повреждений и разрушения конструкций при периодическом и постоянном акустико-эмиссионном контроле.
Существо способа заключается в следующем. Установлено, что на ранних стадиях деформирования поток сигналов акустической эмиссии от микроисточников, случайным образом распределенных по объему конструкции имеет пуассоновский характер. С ростом нагрузки объединение микродефектов в трещину и ее последующее развитие нарушает распределение Пуассона.
Второй начальный момент для случайной величины , являющийся временным интервалом между соседними событиями пуассоновского потока:
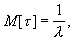
где M[ ] и D [ ] – математическое ожидание и дисперсия случайной величины . Если поток пуассоновский, то
где – интенсивность потока.
При делении (1) на М2[ ] с учетом (2) получают
Отношение (3) является инвариантом, основанным на характерных свойствах пуассоновского потока – ординарности и отсутствии последействия.
На фиг.1 изображена схема для реализации способа.
Устройство работает следующим образом.
Сигналы акустической эмиссии поступают в блок вычисления временных интервалов 1, затем в блоках 2, 4 и 3, 5 происходит вычисление M[ 2] и M2[ ]. В делителе 6 вычисляется отношение и сравнивается с числом 2 в блоке 7.
Отклонение отношения (3) от числа 2 характеризует развитие магистральных трещин.
На фиг.2 приведены результаты взаимосвязи значений деформации и инварианта I при нагружении до разрушения силовых элементов конструкций из стали 20 и сплава Д16: пунктирные кривые – сталь 20 (1 – кривая деформирования, 4 – инвариант I), 30-я секунда ( =0,3) образование макротрещины; сплошные кривые – сплав Д16 (2 – кривая деформирования, 3 – инвариант I), 20-я секунда =0,2) образование макротрещины.
Характерное увеличение “разладки” отношения (3) наблюдается при образовании и развитии магистральной трещины, что затруднительно определить существующими способами оценки процессов разрушения конструкций при акустико-эмиссионном контроле.
Справедливость использования предложенного способа для оценки процессов разрушения конструкций подтверждается экспериментальными данными и результатами металлографии.
На фиг.3 для сравнения показано изменение функции d (отношение (1)) предложенной для определения предразрушающего состояния конструкций в рассмотренном прототипе изобретения [2]: пунктирные кривые – сталь 20 (1 – кривая деформирования, 6 – функция d), 30-я секунда ( =0,3) образование макротрещины; сплошные кривые – сплав Д16 (2 – кривая деформирования, 5 – функции d), 20-я секунда ( =0,2) образование макротрещины.
Из фиг.3 видно, что использование данной функции не позволяет определять момент зарождения и последующее развитие магистральной трещины.
Преимущества предложенного способа оценки процессов разрушения конструкций при акустико-эмиссионном контроле обусловлены следующим: степень “разладки” определяется только стадией деформирования, не зависит от предыстории нагружения, амплитуды и интенсивности сигналов, что позволяет его использовать при постоянном и периодическом контроле конструкций.
Предложенный способ оценки процессов разрушения позволяет определить кинетику накопления повреждений и предотвратить разрушение конструкций ответственного назначения из сталей, сплавов алюминия, композитов, сварных швов.
Источники информации
1. Правила организации и проведения акустико-эмиссионного контроля сосудов, аппаратов, котлов и технологических трубопроводов / (РД 03-131-97). Гостехнадзор России, 1997. – 102 с.
Формула изобретения Способ оценки процессов разрушения конструкций при акустико-эмиссионном контроле, основанный на оценке изменения характеристик сигналов акустической эмиссии при деформировании конструкций, отличающийся тем, что оценку процессов разрушения при деформировании конструкций производят путем анализа изменения параметров распределений акустической эмиссии, характеризуемых инвариантом
где М[ 2] – математическое ожидание квадрата временных интервалов сигналов акустической эмиссии;
М2[ ] – квадрат математического ожидания временных интервалов сигналов акустической эмиссии,
при этом величина отклонения I от числа 2 характеризует степень разрушения конструкций.
РИСУНКИ
MM4A Досрочное прекращение действия патента Российской Федерации на изобретение из-за неуплаты в установленный срок пошлины за поддержание патента в силе
Дата прекращения действия патента: 16.01.2005
Извещение опубликовано: 27.07.2006 БИ: 21/2006
NF4A Восстановление действия патента СССР или патента Российской Федерации на изобретение
Извещение опубликовано: 10.02.2007 БИ: 04/2007
|
||||||||||||||||||||||||||

где М [
2] – математическое ожидание квадрата временных интервалов сигналов акустической эмиссии, M2 [
а момент времени возникновения предразрывного состояния нагруженного материала определяют по моменту равенства нулю указанной функции при превышении ею перед этим положительного и отрицательного заданных порогов.
Получаемое при реализации этого способа решение не является оптимальным, поскольку при определении предразрушающего состояния в процессе деформирования конструкций не учитываются изменения распределений параметров сигналов акустической эмиссии. Сигналы с параметрами tj могут возникать при наличии механических шумов, не связанных с акустической эмиссией (работа механизмов и др.).
Предлагаемый способ направлен на устранение упомянутых выше недостатков известных способов. Технический результат предлагаемого изобретения – оперативная оценка процессов накопления повреждений и разрушения конструкций при периодическом и постоянном акустико-эмиссионном контроле.
Существо способа заключается в следующем. Установлено, что на ранних стадиях деформирования поток сигналов акустической эмиссии от микроисточников, случайным образом распределенных по объему конструкции имеет пуассоновский характер. С ростом нагрузки объединение микродефектов в трещину и ее последующее развитие нарушает распределение Пуассона.
Второй начальный момент для случайной величины
где M[
где
Отношение (3) является инвариантом, основанным на характерных свойствах пуассоновского потока – ординарности и отсутствии последействия.
На фиг.1 изображена схема для реализации способа.
Устройство работает следующим образом.
Сигналы акустической эмиссии поступают в блок вычисления временных интервалов 1, затем в блоках 2, 4 и 3, 5 происходит вычисление M[
и сравнивается с числом 2 в блоке 7.
Отклонение отношения (3) от числа 2 характеризует развитие магистральных трещин.
На фиг.2 приведены результаты взаимосвязи значений деформации и инварианта I при нагружении до разрушения силовых элементов конструкций из стали 20 и сплава Д16: пунктирные кривые – сталь 20 (1 – кривая деформирования, 4 – инвариант I), 30-я секунда (
=0,3) образование макротрещины; сплошные кривые – сплав Д16 (2 – кривая деформирования, 3 – инвариант I), 20-я секунда
где М[