Патент на изобретение №2233440
|
||||||||||||||||||||||||||
(54) СПОСОБ ОПРЕДЕЛЕНИЯ СВОЙСТВ ЖИДКОСТИ ИЛИ ГАЗА И УСТРОЙСТВО ДЛЯ ОСУЩЕСТВЛЕНИЯ СПОСОБА
(57) Реферат: Изобретение относится к области теплофизических измерений. Устройство для осуществления способа включает генератор, источник питания, ключ, измерительный мост, в одно плечо которого включена нагревательная пластина-датчик, в три других – переменные сопротивления. В способе измерение коэффициентов тепловой активности и кинематической вязкости осуществляется в режиме измерения коэффициента теплопроводности. Технический результат – повышение информативности. 2 с.п. ф-лы, 1 ил., 1 табл. Изобретение относится к области теплофизических измерений и вязкости и может быть использовано для определения свойств жидкости или газа, в том числе и в быстропротекающих и необратимых процессах, в потоках при неустановившемся режиме и т.п., а также для измерения нестационарных температур и скоростей. Известно устройство определения коэффициента теплопроводности жидкости или газа, содержащее генератор и измерительный мост с источником питания и ключом, в одно плечо которого включена нагревательная нить-датчик, в три других – переменные сопротивления, а одна диагональ которого параллельно подключена к последовательно соединенному источнику питания и ключу. Устройство содержит блок регистрации дискретных значений напряжения, блок памяти, вычислительный блок, усилитель и блок управления, один вход которого соединен с одним выходом генератора, второй вход – с первым выходом блока регистрации, девять других – с девятью выходами вычислительного блока, один выход блока управления соединен с первым входом блока регистрации и одним входом блоком памяти, второй выход с одним входом ключа и одним входом блока памяти, а три других – с тремя другими входами блока памяти, десять входов которого соединены с десятью выходами блока регистрации, второй вход которого соединен через усилитель с двумя выходами измерительного моста, а девять выходов блока памяти соединены с девятью входами вычислительного блока (cм. SU 1631386 A, MПK 5 G 01 N 25/18, 1991). Работа этого устройства основана на измерении и запоминании дискретных значений амплитуды импульса через известные временные интервалы, характеризующий разбаланс моста, в связи с изменением сопротивления нагревательной нити-датчика. Длительность измеряемого импульса задается с помощью генератора. По команде “ПУСК” с клавиатуры компьютера по восьми выходам проходит сигнал “Упр.”, выбирающий нужное внешнее устройство. Через элемент И проходит сигнал “Упр.” и устанавливает в ожидание элементы 4И, с выходов которых в двоичном коде по два байта будут передаваться дискретные значения напряжений через каждые (в данном случае =2 мс.). Сигнал “ВВ” с 9-го выхода компьютера n раз подтверждает состояние триггера, в течение которого на датчике генерируется импульс, амплитуда которого определяется источником напряжения. Импульс разбаланса с двух входов другой диагонали моста через дифференциальный усилитель поступает на аналоговый вход аналого-цифрового преобразователя (АЦП). Делитель частоты задает длительность импульса и длительность интервалов между дискретными измерениями, т.е. через каждые с одного выхода триггера через элемент ИЛИ подается на АЦП разрешение на измерение, через время преобразования сигнал “Конец измерения” с первого выхода АЦП поступает через некоторую задержку на другой вход триггера, чтобы по следующему сигналу с делителя частоты через интервал между дискретным измерением вновь подать разрешение на АЦП для измерения следующего дискретного значения. По сигналу “Запуск АЦП” с триггера через элемент И формируются два импульса для передачи первого и второго байтов формирователями. Сигнал “ВВ” с компьютера через формирователь дважды устанавливает триггер в исходное состояние, а по сигналу “Запуск АЦП” с триггера через элемент И и формирователи на одном выходе триггера устанавливается дважды сигнал “СИП”, который поступает на вход компьютера, он и дает разрешение на запись компьютера двух последовательных байтов с выходов элементов 4И блока. В блоке вывода информации через инвертор элементы 4И устанавливается в состояние ожидания, через инвертор и формирователь проходит сигнал “ВВ” на один из входов триггера, который формирует сигналы “СИП”, дающие разрешение на последовательное прохождение первого и второго байтов на входы компьютера. В блоке памяти компьютера запись двух байтов в двоичном коде переводится по программе измерений в десятичное число.
Известный способ и устройство для его осуществления позволяют измерение только коэффициента теплопроводности.
Наиболее близким к предлагаемому объекту по технической сущности и достигаемому результату является способ для определения свойств жидкости или газа и устройство для его осуществления.
Устройство для определения теплофизических свойств жидкости или газа, включающее генератор, источник питания, ключ, измерительный мост, в одно плечо которого включена нагревательная нить-датчик, в три других – переменные сопротивления, одна диагональ которого параллельно подключена к последовательно соединенным источнику питания и ключу, вторая диагональ параллельно подключена к измерительной системе, в плечо моста с нагревательной нитью-датчиком последовательно включено дополнительное переменное сопротивление, в другое плечо моста, один из входов которого соединен с первой нагревательной нитью-датчиком и источником питания, последовательно включена дополнительная нить-датчик с таким же температурным коэффициентом, как и у первой. Мост предварительно балансируют для эталонной, а затем для измеряемой жидкости (газа). Строят термограммы и рассчитывают искомые теплофизические характеристики.
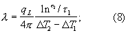
Если диаметр нити датчика столь мал, что ее тепловой инерционностью можно пренебречь, то из уравнения теплопроводности можно получить известную зависимость избыточной температуры нити во времени:
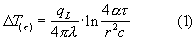
или для двух моментов времени 0 и :
где – плотность теплового потока с единицы длины нити L; – коэффициент температуропроводности жидкости или газа; r – радиус нити; – коэффициент теплопроводности жидкости или газа; с=1.781 – постоянная Эйлера; I – сила постоянного электрического тока, проходящая через нить; R – сопротивление нити до подачи нагрева.
Из (1) следует уравнение для определения теплопроводности, приведенное в описании работы устройства. В соотношение (1) также входит температуропроводность, что свидетельствует о возможности определения (см. RU 2139528 С1, МПК 6 G 01 N 25/18, 1999).
Основными недостатками этого способа являются:
1. невозможность измерения коэффициентов тепловой активности и кинематической вязкости;
2. невозможность измерения коэффициентов тепловой активности, теплопроводности и кинематической вязкости в течение одного коротковременного (0,5…3с) импульса нагрева жидкости или газа.
Задачей изобретения является повышение информативности за счет создания возможности дополнительного измерения – коэффициентов тепловой активности и кинематической вязкости.
Техническая задача решается способом определения свойств жидкости или газа, включающим построение термограмм для эталонной и исследуемой жидкости или газа, измерение коэффициента теплопроводности и коэффициента температуропроводности, в котором построение термограмм проводят при направленном потоке исследуемой жидкости или газа внутри трубки с нагревательным датчиком со скоростью w, при измерении коэффициента температуропроводности строят начальный участок термограммы, характеризующийся параметрами
где F0 – число Фурье (для реального плоского источника тепла ограниченной ширины, удовлетворяющего условию ![]() 0, L![]() F0=(![]() ![]() )/(В2/4)), – время, – коэффициент температуропроводности исследуемой жидкости, В – ширина пластины-датчика, L – длина пластины-датчика, – толщина пластины-датчика, C1=120, – число Рейнольдса, число Пекле, и рассчитывают значение коэффициента температуропроводности исследуемой жидкости или газа по зависимости:
где i и iэ – коэффициенты температуропроводности соответственно исследуемой и эталонной жидкости или газа, а измерение коэффициентов тепловой активности и кинематической вязкости проводят в режиме измерения коэффициента теплопроводности, замкнув накоротко вход и выход дополнительного датчика при значении дополнительного переменного сопротивления в мостовой схеме, равного нулю, при этом вначале строят первый участок термограммы для исследуемой жидкости или газа, характеризующийся условием
и определяют коэффициент тепловой активности из зависимости:
где Т’=Т-Т0, Т – текущая температура датчика, Т0 – начальная температура датчика, qs=(I2R)/(2BL) – плотность теплового потока, I – сила электрического тока, протекающая через датчик, R – электрическое сопротивление датчика, затем строят второй участок термограммы при условиях (3) и (4) и определяют коэффициент теплопроводности по зависимости:
где – плотность теплового потока с поверхности датчика, T1 и Т2 – значения перегрева датчика на термограмме в моменты времени 1 и 2, затем строят третий участок термограммы при условии:
где С2=140, и определяют значение коэффициента кинематической вязкости исследуемой жидкости или газа по зависимости:
где С3=0,000716, Т – перегрев нагревательного датчика до достижения горизонтального участка на третьем участке термограммы, – коэффициент теплопроводности исследуемой жидкости или газа, измеренный ранее по зависимости (8), T – температура исследуемой жидкости.
Техническая задача решается также устройством для определения свойств жидкости и газа, включающим генератор, источник питания, ключ, измерительный мост, в одно плечо которого включен нагревательный датчик, в три других – переменные сопротивления, одна диагональ которого параллельно подключена к последовательно соединенным источнику питания и ключу, а вторая диагональ параллельно подключена к измерительной системе, при этом в плечо моста с нагревательным датчиком последовательно включено дополнительное переменное сопротивление, в другое плечо моста, один из входов которого соединен с нагревательным датчиком и источником питания, последовательно включен дополнительный датчик, имеющий такой же температурный коэффициент сопротивления, как и у нагревательного датчика, в котором датчики выполнены в виде пластины, и при этом нагревательный датчик расположен внутри трубки, в которой создается направленный поток исследуемой жидкости или газа, измерение коэффициентов тепловой активности и кинематической вязкости осуществляется при замкнутых накоротко входе и выходе дополнительного датчика и при значении дополнительного переменного сопротивления в мостовой схеме, равного нулю.
Решение технической задачи позволяет определять наряду с коэффициентами теплопроводности и температуропроводности еще и коэффициенты тепловой активности и кинематической вязкости жидкости или газа. Причем коэффициенты тепловой активности, теплопроводности и кинематической вязкости определяют в течение короткого времени нагрева (~0,5…3с).
Доказательство, что при выполнении условия (6) (по способу) можно использовать асимптотическое приближение идеального плоского источника тепла, а следовательно, и зависимости (7) и при выполнении условия (3) можно использовать асимптотическое приближение идеального линейного источника тепла, а следовательно, и зависимости (8) (см. Вестник Казанского технологического университета. 1999. № 1. С.47-54).
На фиг.1 представлена функциональная схема устройства для автоматического измерения теплофизических свойств, где 1 – измерительная система, 2 – источник питания, 3 – ключ.
Два датчика RK и Ri из платиновой пластины толщиной ~ 1 мкм, шириной 22 мкм, длиной 30 мм, которые включены в разные плечи моста. Эксперименты проводились также с датчиком из платины толщиной ~ 1 мкм, шириной 79 мкм, длиной 30 мм. Причем RK во всех измерениях находится в одной и той же среде (в эксперименте использовался н-пентадекан), при одной и той же температуре (в термостате с тающим льдом). Его назначение – выдавать постоянный сигнал сравнения. Это обеспечивается тем, что силу тока в обоих плечах моста поддерживают неизменной, для чего суммы сопротивлений должны быть равны, то есть R1+R3+RK=R2+R4+Ri. При этом температурные изменения сопротивления Ri компенсируют магазином сопротивлений R4. Для обоих датчиков Ri и RK температурные коэффициенты сопротивления одинаковы.
Нагревательный датчик расположен внутри трубки. Поперечное сечение трубки может быть произвольной формы. Расстояние от поверхности нагревательного датчика до внутренней стенки трубки выбирается из условия, чтобы за время измерения температурная волна от датчика не достигла стенки. Трубка по длине должна быть прямолинейной и постоянного сечения. Длина трубки до и после датчика должна быть не меньше 40 расстояний от поверхности нагревательного датчика до внутренней стенки трубки. По трубке пропускается поток жидкости или газа, имеющий постоянную скорость.
Работа устройства основана на измерении и запоминании дискретных значений амплитуды импульса (напряжения) через известные временные интервалы, характеризующие разбаланс моста, в связи с изменением сопротивления нагревательного датчика-пластины.
Полученные амплитуды напряжения на диагонали мостовой схемы по тарировочным зависимостям пересчитываются в температуру датчика. Строятся термограммы, представляющие собой графики зависимости температуры датчика от времени. Затем по начальному участку термограммы, характеризующейся параметрами (3) и (4), по зависимости (5) определяют коэффициент температуропроводности исследуемой жидкости или газа.
Для измерения коэффициентов тепловой активности, теплопроводности и кинематической вязкости замыкают накоротко вход и выход дополнительного датчика при значении дополнительного переменного сопротивления в мостовой схеме, равного нулю. Затем строят термограмму для исследуемой жидкости или газа. На первом участке, характеризующемся условием (6), по зависимости (7) определяют коэффициент тепловой активности. На втором участке, характеризующемся условием (3) и (4), по зависимости (8) определяют коэффициент температуропроводности. На третьем участке термограммы, характеризующемся условием (9), по зависимости (10) определяют коэффициент по кинематической вязкости.
Длительность измеряемого импульса задают с помощью генератора. По команде “ПУСК” с клавиатуры компьютера по восьми выходам проходит сигнал “Упр.”, выбирающий нужное внешнее устройство. Через элемент И проходит сигнал “Упр.” и устанавливает в ожидание элементы 4И, с выходов которых в двоичном коде по два байта будут передаваться дискретные значения напряжений через каждые (в данном случае =12 мкс) сигнал с выхода элемента И блока управления измерениями в блоке синхронизации на одном входе элемента 3И устанавливает одно из разрешений и одновременно через формирователь триггер устанавливается в исходное состояние, выходной сигнал с которого устанавливает в исходное состояние делитель частоты. Сигнал “ВВ” с 9-го выхода компьютера и сигнал с выхода делителя частоты управляют состоянием триггера, т.е. Сигнал “ВВ” с компьютера n раз подтверждает состояние триггера, в течение которого на втором выходе появляется задающий импульс, в течение длительности которого через оптрон и открытый транзисторный ключ на датчике измерительного моста генерируется импульс, амплитуда которого определяется источником напряжения.
Импульс разбаланса с двух входов другой диагонали моста через дифференциальный усилитель поступает на аналоговый вход аналого-цифрового преобразователя (АЦП). Делитель частоты задает длительность импульса измерения Т на датчике измерительного моста, управляя состоянием триггера, и длительность интервалов между дискретными измерениями, т.е. через каждые с одного выхода триггера через элемент ИЛИ подается на АЦП разрешение на измерение (сигнал “Запуск АЦП”), через время преобразования сигнала “Конец измерения” с первого выхода АЦП поступает через некоторую задержку на другой вход триггера, т.е. переводит его в состояние ожидания, чтобы по следующему сигналу с делителя частоты через интервал между дискретным измерением вновь подать разрешение на АЦП для измерения следующего дискретного значения. Вместе с измерением происходит преобразование, на десяти выходах АЦП устанавливается Ui в двоичном коде. Другая особенность устройства связана с тем, что в машину можно одновременно передать код по восьми входам, а АЦП для большей точности измерения используются с точностью 8, 16, 32 выходами и т.д.
Поэтому в интервале между измерением двух соседних дискретных значений нужно передать Ui в двоичном коде двумя байтами, это передается на четвертые входы элементов 4И. Управляется эта передача сигналами “ВВ” и “СИП”. По сигналу “Запуск АЦП” с триггера через элемент И формируются два импульса для передачи первого и второго байтов формирователями. Сигнал “ВВ” с компьютера через формирователь дважды устанавливает триггер в исходное состояние, а по сигналу “Запуск АЦП” с триггера через элемент И и формирователи на одном выходе триггера устанавливается дважды сигнал “СИП”, который передается на один из трех входов элемента 3И, на двух других входах которого уже установлены разрешения сигналом “Упр.” И импульсом измерения Т дважды на выходе элемента 3И формируется сигнал “СИП”, который поступает на девятый вход компьютера, он и дает разрешение на запись компьютера двух последовательных байтов с выходов элементов 4И блока.
В блоке вывода информации через инвертор элемента 4И устанавливается в состояние ожидания, через инвертор и формирователь проходит сигнал “ВВ” на один из входов триггера, состоянием которого управляют два сигнала “ВВ” и “Запуск АЦП”, сигналы с выходов этого триггера формируют сигналы “СИП”, дающие разрешение на последовательное прохождение первого и второго байтов на входы компьютера. Первый байт передает информацию с первого по восьмой выходов АЦП, второй – с девятого и выходов. В блоке памяти компьютера запись двух байтов в двоичном коде переводится по программе измерений в десятичное число. Таким образом, чтобы провести измерение в режиме автоматизации с помощью предлагаемого устройства, достаточно ввести программу измерения и нажать клавишу “Пуск”. Время измерения равно сумме длительности измеряемого импульса и длительности машинных команд. Предлагаемое устройство позволяет измерять параметры кратковременных процессов, например коэффициент теплопроводности (температуропроводности, тепловой активности, кинематической вязкости) растворов при полимеризации, длительность которых 1с и т.п., при необходимости от программ измерения можно обратится к программе вычисления необходимого параметра с выводом на печать.
В качестве исследуемых жидкостей взяты н-октан, н-тетрадекан, н-гексан.
Результаты определения коэффициентов температуропроводности , тепловой активности , теплопроводности и кинематической вязкости на примере н-октана представлены в таблице. Из таблицы видно, что экспериментальные значения , , и хорошо согласуются с данными, приведенными в литературе.
Погрешность измерения коэффициентов температуропроводности , тепловой активности , теплопроводности и кинематической вязкости жидкости или газа в потоке оцениваются соответственно: 4-5%, 3-4%, 3-4%, и 6%.
Источники информации
1. Варгафтик Н.Б. Справочник по теплофизическим свойствам газов и жидкостей. – М.: Наука, 1972. 720 с.
2. Варгафтик Н.Б., Филиппов Л.П., Тарзиманов А.А., Тоцкий Е.Е. Справочник по теплопроводности жидкостей и газов. М.: Энергоатомиздат, 1990. – 352 с.
Формула изобретения 1. Способ определения свойств жидкости или газа, включающий построение термограмм для эталонной и исследуемой жидкости или газа, измерение коэффициента теплопроводности и коэффициента температуропроводности, отличающийся тем, что построение термограмм проводят при направленном потоке исследуемой жидкости или газа внутри трубки с нагревательным датчиком со скоростью w, при измерении коэффициента температуропроводности строят начальный участок термограммы, характеризующийся параметрами
где Fo – число Фурье для реального плоского источника тепла ограниченной ширины, удовлетворяющего условию 0; L ; Fo=( )/(В2/4), где – время, – коэффициент температуропроводности исследуемой жидкости, В – ширина пластины-датчика, L – длина пластины-датчика, – толщина пластины-датчика;
С1=120;
– число Рейнольдса;
– число Пекле,
и рассчитывают значение коэффициента температуропроводности исследуемой жидкости или газа по зависимости i=( iэ iэ)/ i, где i и iэ – коэффициенты температуропроводности соответственно исследуемой и эталонной жидкости или газа, а измерение коэффициентов тепловой активности и кинематической вязкости проводят в режиме измерения коэффициента теплопроводности, замкнув накоротко вход и выход дополнительного датчика при значении дополнительного переменного сопротивления в мостовой схеме равном нулю, при этом вначале строят первый участок термограммы для исследуемой жидкости или газа, характеризующийся условием
и определяют коэффициент тепловой активности из зависимости
где Т’=Т-Т0, Т – текущая температура датчика;
Т0 – начальная температура датчика;
qs=(I2R)/(2BL) – плотность теплового потока, где I – сила электрического тока, протекающая через датчик, R – электрическое сопротивление датчика,
затем строят второй участок термограммы при условиях (1) и (2) и определяют коэффициент теплопроводности по зависимости:
где – плотность теплового потока с поверхности датчика;
Т1 и Т2 – значения перегрева датчика на термограмме в моменты времени 1 и 2, затем строят третий участок термограммы при условии:
где С2=140,
и определяют значение коэффициента кинематической вязкости исследуемой жидкости или газа по зависимости
![]()
где
С3=0,000716;
Т – перегрев нагревательного датчика до достижения горизонтального участка на третьем участке термограммы;
– коэффициент теплопроводности исследуемой жидкости или газа, измеренный ранее по зависимости (4);
Т – температура исследуемой жидкости.
2. Устройство для определения свойств жидкости и газа, включающее генератор, источник питания, ключ, измерительный мост, в одно плечо которого включен нагревательный датчик, в три других – переменные сопротивления, одна диагональ которого параллельно подключена к последовательно соединенным источнику питания и ключу, а вторая диагональ параллельно подключена к измерительной системе, при этом в плечо моста с нагревательным датчиком последовательно включено дополнительное переменное сопротивление, в другое плечо моста, один из входов которого соединен с нагревательным датчиком и источником питания, последовательно включен дополнительный датчик, имеющий такой же температурный коэффициент сопротивления, как и у нагревательного датчика, отличающийся тем, что датчики выполнены в виде пластины и при этом нагревательный датчик расположен внутри трубки, в которой создается направленный поток исследуемой жидкости или газа, измерение коэффициентов тепловой активности и кинематической вязкости осуществляется при замкнутых накоротко входе и выходе дополнительного датчика и при значении дополнительного переменного сопротивления в мостовой схеме, равном нулю.
РИСУНКИ
|
||||||||||||||||||||||||||

(в данном случае
или для двух моментов времени
где
– плотность теплового потока с единицы длины нити L;
– коэффициент температуропроводности жидкости или газа; r – радиус нити;
– коэффициент теплопроводности жидкости или газа; с=1.781 – постоянная Эйлера; I – сила постоянного электрического тока, проходящая через нить; R – сопротивление нити до подачи нагрева.
Из (1) следует уравнение для определения теплопроводности, приведенное в описании работы устройства. В соотношение (1) также входит температуропроводность, что свидетельствует о возможности определения
и кинематической вязкости;
2. невозможность измерения коэффициентов тепловой активности, теплопроводности и кинематической вязкости в течение одного коротковременного (0,5…3с) импульса нагрева жидкости или газа.
Задачей изобретения является повышение информативности за счет создания возможности дополнительного измерения – коэффициентов тепловой активности и кинематической вязкости.
Техническая задача решается способом определения свойств жидкости или газа, включающим построение термограмм для эталонной и исследуемой жидкости или газа, измерение коэффициента теплопроводности и коэффициента температуропроводности, в котором построение термограмм проводят при направленном потоке исследуемой жидкости или газа внутри трубки с нагревательным датчиком со скоростью w, при измерении коэффициента температуропроводности строят начальный участок термограммы, характеризующийся параметрами
где F0 – число Фурье (для реального плоского источника тепла ограниченной ширины, удовлетворяющего условию 
0, L
F0=(
– число Рейнольдса,
число Пекле, и рассчитывают значение коэффициента температуропроводности исследуемой жидкости или газа по зависимости:
где
и кинематической вязкости
проводят в режиме измерения коэффициента теплопроводности, замкнув накоротко вход и выход дополнительного датчика при значении дополнительного переменного сопротивления в мостовой схеме, равного нулю, при этом вначале строят первый участок термограммы для исследуемой жидкости или газа, характеризующийся условием
и определяют коэффициент тепловой активности из зависимости:
где Т’=Т-Т0, Т – текущая температура датчика, Т0 – начальная температура датчика, qs=(I2R)/(2BL) – плотность теплового потока, I – сила электрического тока, протекающая через датчик, R – электрическое сопротивление датчика, затем строят второй участок термограммы при условиях (3) и (4) и определяют коэффициент теплопроводности
где
– плотность теплового потока с поверхности датчика,
T1 и
где С2=140, и определяют значение коэффициента кинематической вязкости
где
С3=0,000716,
1с и т.п., при необходимости от программ измерения можно обратится к программе вычисления необходимого параметра с выводом на печать.
В качестве исследуемых жидкостей взяты н-октан, н-тетрадекан, н-гексан.
Результаты определения коэффициентов температуропроводности
, теплопроводности
где Fo – число Фурье для реального плоского источника тепла ограниченной ширины, удовлетворяющего условию
– число Рейнольдса;
– число Пекле,
и рассчитывают значение коэффициента температуропроводности исследуемой жидкости или газа по зависимости
и кинематической вязкости
и определяют коэффициент тепловой активности из зависимости
где Т’=Т-Т0, Т – текущая температура датчика;
Т0 – начальная температура датчика;
qs=(I2R)/(2BL) – плотность теплового потока, где I – сила электрического тока, протекающая через датчик, R – электрическое сопротивление датчика,
затем строят второй участок термограммы при условиях (1) и (2) и определяют коэффициент теплопроводности
где
– плотность теплового потока с поверхности датчика;
где С2=140,
и определяют значение коэффициента кинематической вязкости 
где
С3=0,000716;