Патент на изобретение №2233401
|
||||||||||||||||||||||||||
(54) СПОСОБ ЗАГРУЗКИ КОНТЕЙНЕРОВ СЖИЖЕННЫМ ПРИРОДНЫМ ГАЗОМ ПОД ДАВЛЕНИЕМ
(57) Реферат: В способе загрузки контейнеров сжиженным природным газом под давлением, содержащих пар под давлением, контейнеры заполняют последовательно один за другим. На первой операции сжиженный газ вводят в контейнеры, в результате чего пар вытесняется из них. Пар, вышедший из контейнеров, поступает во вспомогательные резервуары для хранения, включающие первый и второй резервуары. Пар отводится, по меньшей мере, из одного из резервуаров и поступает в средство для использования пара, такое, как установка для сжижения пара, или в двигатель, или турбину для использования пара в качестве топлива. Поток текучей среды, поступающий в первый и второй резервуары и выходящий из них, регулируют с тем, чтобы гарантировать, что суммарный расход пара, поступающего в средство для использования пара, будет оставаться на относительно постоянном уровне. Использование изобретения позволит поддерживать стабильное состояние установки для сжижения газа в процессе эксплуатации. 3 н. и 21 з.п. ф-лы, 12 ил., 4 табл. ОБЛАСТЬ ТЕХНИКИ Настоящее изобретение относится к погрузочно-разгрузочным операциям и транспортировке сжиженного природного газа под давлением и, более точно, к способу загрузки контейнеров сжиженным природным газом под давлением, которые заполнены паром, богатым метаном. ПРЕДПОСЫЛКИ СОЗДАНИЯ ИЗОБРЕТЕНИЯ Благодаря своей способности к полному сгоранию и удобству применения природный газ стал широко использоваться в последние годы. Многие источники природного газа расположены на удаленных территориях, на больших расстояниях от любых рынков сбыта газа. Иногда имеется трубопровод для транспортирования поставляемого природного газа на рынок сбыта. В том случае, когда транспортировку по трубопроводам невозможно осуществить, поставляемый природный газ часто перерабатывают в сжиженный природный газ (который называют “LNG” (liquefied natural gas)) для транспортировки на рынок. Недавно было предложено транспортировать природный газ при температурах выше -112 С (-170 F) и при давлениях, достаточных для того, чтобы жидкость находилась при температуре, равной или меньшей точки начала ее кипения. Для большинства составов природного газа давление природного газа при температурах выше -112 С будет составлять от приблизительно 1380 кПа (200 фунтов на кв. дюйм абсолютного давления) до приблизительно 4480 кПа (650 фунтов на кв. дюйм абсолютного давления). Этот жидкий природный газ под давлением называют PLNG (pressurized liquefied natural gas), чтобы отличить его от сжиженного природного газа, который транспортируют при давлении, близком к атмосферному, и при температуре приблизительно -162 С (-260 F).
В одновременно находящейся на рассмотрении заявке на патент США 09/464987 на имя J.R. Rigby описан способ выгрузки находящегося под давлением, сжиженного природного газа из транспортных контейнеров путем вытеснения находящегося под давлением, сжиженного природного газа газом, при этом в резервуарах не остается сжиженного природного газа под давлением, но они остаются заполненными находящимся под давлением газом, богатым метаном. В конце способа выгрузки находящегося под давлением сжиженного природного газа все контейнеры, за исключением последнего контейнера или группы контейнеров, находятся под низким давлением, предпочтительно от приблизительно 690 кПа (100 фунтов на кв. дюйм абсолютного давления) до 1380 кПа (200 фунтов на кв. дюйм абсолютного давления), в то время как последний контейнер находится под давлением, немного превышающим исходное давление, находящегося под давлением сжиженного природного газа, соответствующее точке начала его кипения. Наличие находящегося под более низким давлением пара в контейнерах, предназначенных для обратной поездки или обратного рейса, позволяет существенно уменьшить массу метана, остающегося в контейнерах, по сравнению с ситуацией, при которой в контейнерах содержится газ высокого давления. В зависимости от давления, температуры и состава сжиженного природного газа под давлением масса остающегося пара высокого давления во всех контейнерах может составить от приблизительно 10 до 20 процентов массы груза в контейнерах перед удалением находящегося под давлением сжиженного природного газа.
Во время загрузки находящегося под давлением сжиженного природного газа богатый метаном пар в контейнерах вытесняется поступающей жидкостью. Желательно осуществить сжижение, по меньшей мере, части богатого метаном пара, вытесненного из контейнеров в процессе загрузки находящегося под давлением сжиженного природного газа. Сжижение пара предпочтительно объединяют с процессом сжижения, используемым для получения сжиженного природного газа под давлением загружаемого в контейнеры. Во время заполнения большого количества наполненных газом контейнеров скорость потока пара, выходящего из контейнеров, может изменяться в значительной степени между началом и окончанием процесса загрузки. Для поддержания стабильного состояния установки для сжижения в процессе эксплуатации желательно, чтобы скорость обратного потока пара находилась бы в относительно постоянном соотношении со скоростью потока, поступающего в установку, составляя определенную долю от нее. Существует необходимость в разработке способа загрузки находящегося под давлением, сжиженного природного газа, который обеспечил бы такую скорость обратного потока пара.
КРАТКОЕ ИЗЛОЖЕНИЕ СУЩНОСТИ ИЗОБРЕТЕНИЯ
Создан способ загрузки находящегося под давлением сжиженного природного газа в множество контейнеров, заполненных паром под давлением. Загрузку в контейнеры или группы контейнеров осуществляют последовательно, и сжиженный природный газ под давлением, поступающий в контейнер, вытесняет пар из него. Часть вышедшего пара, по меньшей мере, из одного из контейнеров поступает во вспомогательные резервуары для хранения, включающие первый резервуар и второй резервуар. Обеспечивают отвод пара, по меньшей мере, из одного из резервуаров и поступление его в средство для использования пара, предпочтительно в установку для сжижения пара или в двигатель или турбину, которая использует пар в качестве топлива. Поток сжиженного природного газа под давлением и пара из первого и второго резервуаров и в первый и второй резервуары регулируют, чтобы гарантировать по существу постоянный уровень суммарного расхода пара, поступающего в средство для использования пара.
В предпочтительном варианте осуществления данного изобретения два вспомогательных резервуара для хранения, а именно первый резервуар и второй резервуар, используются для промежуточного изменения скорости потока пара под давлением, выходящего из множества контейнеров, которые последовательно загружают находящимся под давлением, сжиженным природным газом. Находящийся под давлением сжиженный природный газ вводят в первый контейнер или группу контейнеров, и пар выходит из него или из них. Обеспечивают поступление первой части вышедшего пара в соответствующее средство для использования газа, такое, как установка для сжижения пара или двигатель или турбина, которые используют пар в качестве топлива, и обеспечивают поступление второй части в другой контейнер, подлежащий заполнению сжиженным природным газом под давлением. Пар, выходящий из последнего контейнера, заполняемого находящимся под давлением сжиженным природным газом, поступает в один из вспомогательных резервуаров для хранения, и затем пар из вспомогательных резервуаров для хранения поступает в любое пригодное средство для использования пара. Поток текучей среды (пара и сжиженного природного газа под давлением) в резервуары для хранения и из резервуаров для хранения регулируют для промежуточного изменения скорости потока пара, поступающего в средство для использования пара. В начале способа загрузки находящегося под давлением сжиженного природного газа первый резервуар заполнен паром, находящимся под относительно высоким давлением, а второй резервуар содержит сжиженный газ под давлением. Во время загрузки первого контейнера или первой группы контейнеров обеспечивают отвод находящегося под давлением сжиженного природного газа из второго резервуара и поступление его в первый контейнер или первую группу контейнеров и обеспечивают одновременный отвод пара из первого резервуара, повышение его давления, и обеспечивают поступление первой части пара под давлением во второй резервуар, и вторую часть пара под давлением нагревают и осуществляют возврат ее в первый резервуар. Когда осуществлена выгрузка всего находящегося под давлением сжиженного природного газа из второго резервуара, второй резервуар содержит пар, находящийся под относительно высоким давлением, а первый резервуар содержит пар, находящийся под относительно низким давлением. После этого осуществляют отвод пара из второго резервуара, повышение давление этого пара и поступление части пара под давлением в средство для использования пара, и вторую часть пара под давлением нагревают и осуществляют возврат ее во второй резервуар. В конце предыдущей операции оба резервуара – и первый, и второй – содержат пар, находящийся под относительно низким давлением. Во время загрузки последнего контейнера или последней группы контейнеров находящимся под давлением сжиженным природным газом пар, вышедший из последнего контейнера или группы, поступает в компрессор для повышения его давления, и обеспечивают поступление первой части пара под давлением в средство для использования пара и нагрев второй части пара под давлением и поступление ее во второй резервуар. Когда последний контейнер будет загружен находящимся под давлением сжиженным природным газом, первый резервуар содержит пар, находящийся под относительно низким давлением, и второй резервуар содержит пар, находящийся под относительно высоким давлением. Следовательно, второй резервуар готов к загрузке его сжиженным природным газом под давлением. После этого находящийся под давлением сжиженный природный газ вводят во второй резервуар, и пар выходит из него. Вышедший пар разделяют на первую часть и вторую часть. Осуществляют нагрев первой части пара и поступление ее в первый резервуар и обеспечивают поступление второй части в средство для использования газа. В конце этой операции первый резервуар содержит пар, находящийся под относительно высоким давлением, и второй резервуар содержит сжиженный природный газ под давлением. В данный момент резервуары для хранения готовы для загрузки находящимся под давлением сжиженным природным газом в другой комплект контейнеров.
КРАТКОЕ ОПИСАНИЕ ЧЕРТЕЖЕЙ
Настоящее изобретение и его преимущества будут лучше понятны при изучении нижеприведенного подробного описания и приложенных чертежей.
На Фиг.1А и 1В показано судно, пригодное для транспортировки сжиженного природного газа под давлением, при виде сбоку и виде сверху, при этом оба вида даны с частичным разрезом и иллюстрируют большое количество контейнеров, подлежащих загрузке сжиженным природным газом под давлением в соответствии со способом по данному изобретению.
На Фиг.2 показана схема загрузки находящегося под давлением, сжиженного природного газа в первый контейнер или группу контейнеров, заполняемых последовательно, таких, как контейнеры на судне типа показанного на фиг.1А и 1В.
На Фиг.3 показана схема, аналогичная на фиг.2, при загрузке находящегося под давлением сжиженного природного газа в другой контейнер в ряде контейнеров.
На Фиг.4 показана схема, аналогичная на фиг.2, при загрузке находящегося под давлением сжиженного природного газа в последний контейнер из ряда контейнеров.
На Фиг.5А, 5В, 5С, 5D, 5Е, 5F и 5G показаны вспомогательные резервуары для хранения на различных стадиях загрузки находящегося под давлением сжиженного природного газа в ряд контейнеров в соответствии со способом по данному изобретению.
Чертежи иллюстрируют конкретный вариант практической реализации способа по данному изобретению. Чертежи не предназначены для исключения из объема изобретения других вариантов осуществления, которые являются результатом типовых и ожидаемых модификаций указанного конкретного варианта осуществления. Различные необходимые подсистемы, такие, как насосы, клапаны, смесители для потоков, системы управления и датчики уровня текучей среды были удалены из чертежей для упрощения и обеспечения ясности представленного изображения.
ПОДРОБНОЕ ОПИСАНИЕ ИЗОБРЕТЕНИЯ
В соответствии с данным изобретением создан способ загрузки находящегося под давлением сжиженного природного газа в ряд контейнеров, таких, как контейнеры на судне или барже для хранения, при этом, по меньшей мере, некоторые из контейнеров заполнены находящимся под давлением паром, богатым метаном. Термин “контейнер” используется в данном описании для обозначения любого приемника, в котором можно обеспечить повышение давления, такого, как сосуд, бутылка, цилиндр, резервуар, бак или т.п., который пригоден для транспортировки сжиженного природного газа под давлением. Трубопроводы между контейнерами могут быть расположены таким образом, что загрузка находящегося под давлением сжиженного природного газа в контейнеры может происходить так, что будет осуществляться загрузка одного контейнера в каждый момент времени последовательно или контейнеры могут загружаться группами, и любой контейнер в ряде или любая группа могут быть загружены или заполнены в любой последовательности. В данном описании указания на последовательное заполнение контейнеров также следует понимать как включающие возможность загрузки групп контейнеров одна за другой. При выборе оптимальной последовательности загрузки контейнеров или групп контейнеров на плавучем транспортном средстве следует учитывать крен и остойчивость транспортного средства, которые могут быть определены специалистами в данной области техники. Вспомогательные резервуары для хранения, описанные в данной заявке, включают один или более контейнеров для хранения, которые могут иметь такой же размер или отличаться по размеру от контейнеров на судне или другом средстве для транспортировки или хранения.
В данном описании сделано предположение, что все контейнеры в начале способа загрузки находящегося под давлением сжиженного природного газа заполнены остаточным паром, богатым метаном, в результате операции выгрузки находящегося под давлением сжиженного природного газа. Во время загрузки определенного контейнера находящимся под давлением сжиженным природным газом часть пара, вытесненного из данного контейнера сжиженным природным газом под давлением, используется для повышения давления пара в другом контейнере, подлежащем загрузке находящимся под давлением сжиженным природным газом, за исключением загрузки последнего контейнера в ряду. При загрузке последнего контейнера находящимся под давлением сжиженным природным газом пар из последнего контейнера не может быть введен в другой контейнер, поскольку остальные контейнеры на судне уже заполнены находящимся под давлением сжиженным природным газом. Желательно использовать пар, удаленный из судна, предпочтительно в той же установке для сжижения, которая используется для получения сжиженного природного газа под давлением.
Кроме того, желательно чтобы скорость потока пара, возвращаемого в установку для сжижения, находилась бы в относительно постоянном соотношении со скоростью потока, поступающего в установку, составляя определенную долю от нее. Желательно сохранять характеристики сжиженного природного газа под давлением постоянными и обеспечить функционирование установки в устойчивом или почти устойчивом режиме. При отсутствии вспомогательного хранилища скорость потока, поступающего в установку, может резко увеличиться на 10-25%, когда последний контейнер будет заполнен. Возможные последствия этого резкого возрастания скорости потока могут потребовать обеспечения снижения скорости исходного потока, поступающего в установку, или чрезмерного усложнения установки для обеспечения ее возможности функционировать с этим пиком скорости потока, имеющим сравнительно низкую продолжительность (приблизительно 10% времени). Резкое возрастание скорости обратного потока пара, богатого метаном, также может привести к изменению состава и свойств получаемого сжиженного природного газа под давлением. Была создана новая система загрузки находящегося под давлением сжиженного природного газа, в которой используются вспомогательные резервуары для хранения с целью поддержания сравнительно постоянной скорости потока богатого метаном пара, возвращаемого в установку для сжижения или другое пригодное средство для использования пара.
Изобретение будет описано со ссылкой на чертежи, в которых магистрали для потока, контейнеры и резервуары, компрессоры и другое оборудование с одинаковыми номерами имеют одинаковые технологические функции. Однако специалисты в данной области техники понимают, что магистрали для потока от одного контейнера к другому могут отличаться по размеру и пропускной способности для того, чтобы иметь возможность работать с различными скоростями потока текучих сред и при различных температурах.
В предпочтительном варианте осуществления данного изобретения обеспечивают загрузку находящегося под давлением сжиженного природного газа в контейнеры на борту судна, в целом показанного на фиг.1А и 1В. На Фиг.1А показан вид сбоку соответствующего судна, имеющего большое количество контейнеров или газовых баллонов, удлиненных в вертикальном направлении и предназначенных для транспортировки сжиженного природного газа под давлением. На фиг.1В показан вид сверху того же судна, при этом часть палубы удалена для того, чтобы показать контейнеры, которые имеют вид кругов. Тем не менее следует понимать, что при практической реализации данного изобретения не ограничиваются определенной конструкцией контейнера, подлежащего разгрузке. Практическая реализация данного изобретения также не ограничивается контейнерами на судах, баржах или других транспортных средствах, предназначенных для транспортировки по воде. При реализации способа загрузки находящегося под давлением, сжиженного природного газа согласно данному изобретению может быть использован любой пригодный контейнер для хранения сжиженного природного газа под давлением, при этом он может находиться на судне или в установке на берегу. Несмотря на то, что на фиг.1А и 1В показано множество контейнеров на судне, удлиненных в вертикальном направлении, контейнеры также могут быть горизонтальными и контейнеры могут иметь какую-либо другую пригодную форму, такую, как сферическая.
Контейнеры подсоединены к системе трубопроводов, предназначенной для избирательной загрузки, продувания и выгрузка содержащихся в контейнере текучих сред. Трубопроводы, используемые для загрузки контейнеров и обеспечения поступления пара из одного контейнера в другой, могут быть изменены по отношению к схематично проиллюстрированным на чертежах в соответствии с идеями данного изобретения в зависимости от местоположения контейнеров и применимых регулировок, осуществляемых с помощью регулирующих устройств. В данном описании изобретения предусмотрено, что все операции загрузки находящегося под давлением сжиженного природного газа и подвода и отвода пара осуществляются через верх контейнеров. Хотя это и не показано на чертежах, загрузка и выгрузка жидкости могут быть осуществлены через нижние соединения.
Удлиненные контейнеры, показанные на фиг.1А и 1В, изображены закрепленными внутри трюма судна. Контейнеры могут содержаться в теплоизолированном кожухе, который имеет соответствующую изоляцию для поддержания сжиженного природного газа под давлением при криогенных температурах. В альтернативном случае может быть предусмотрена отдельная изоляция для каждого контейнера. Высота каждого контейнера обычно находится в диапазоне от приблизительно 15 до 60 м, а наружный диаметр каждого контейнера, обычно находится в диапазоне от приблизительно 3 до 10 м, однако размер контейнера не является ограничивающим фактором в данном изобретении. Контейнеры могут быть изготовлены из любого пригодного материала, способного выдерживать подвергание его внешнему воздействию и выдерживать напряжения при криогенных температурах при давлениях, необходимых для поддержания находящегося под давлением, сжиженного природного газа при температуре, равной или ниже температуры в точке начала его кипения.
Термин “точка начала кипения”, используемый в данном изобретении, относится к температуре и давлению, при которых жидкость начинает превращаться в газ. Например, если некоторый объем сжиженного природного газа под давлением удерживается при постоянном давлении, но его температура увеличивается, то температура, при которой пузырьки газа начинают образовываться в сжиженном природном газе под давлением, представляет собой точку начала кипения. Аналогичным образом, если некоторый объем сжиженного природного газа под давлением удерживается при постоянной температуре, но давление снижается, то давление, при котором начинается образование газа, определяет давление, соответствующее точке начала кипения при данной температуре. В точке начала кипения сжиженный газ представляет собой насыщенную жидкость. Для большинства составов природного газа давление природного газа, соответствующее точке начала кипения, при температурах выше -112 С будет составлять от приблизительно 1380 кПа (200 фунтов на кв. дюйм абсолютного давления) до приблизительно 4480 кПа (650 фунтов на кв. дюйм абсолютного давления).
Термин “природный газ”, используемый в данном описании, означает газообразный исходный сырьевой материал, пригодный для получения сжиженного природного газа под давлением. Природный газ может содержать газ, полученный из нефтяной скважины (попутный газ), или из газовой скважины (непопутный газ). Состав природного газа может варьироваться существенным образом. При использовании термина “природный газ” в данном описании речь идет о потоке природного газа, содержащем метан (C1) в качестве основного компонента. Как правило, природный газ также содержит этан (С2), высшие углеводороды (С3+) и незначительные количества загрязняющих примесей, таких, как вода, диоксид углерода, сульфид водорода, азот, сорные примеси, сульфид железа, парафин и сырую нефть. Растворимость этих загрязняющих примесей меняется в зависимости от температуры, давления и состава. Если поток природного газа содержит тяжелые углеводороды, которые могут вымораживаться в процессе сжижения, или если нежелательно присутствие тяжелых углеводородов в сжиженном природном газе под давлением из-за требований к составу или их ценности как газоконденсатов (NGLs – natural gas liquids), тяжелые углеводороды, как правило, удаляют с помощью процесса фракционирования перед сжижением природного газа. При рабочих давлениях и температурах сжиженного природного газа под давлением умеренные количества азота в природном газе могут быть допустимыми, поскольку азот может оставаться в жидкой фазе вместе с сжиженным природным газом под давлением. Поскольку температура, соответствующая точке начала кипения сжиженного природного газа под давлением при заданном давлении, снижается при увеличении содержания азота, обычно желательно получать сжиженный природный газ под давлением со сравнительно низкой концентрацией азота.
Минимальная температура сжиженного природного газа под давлением, подлежащего загрузке в соответствии со способом по данному изобретению, составляет свыше приблизительно -112 С (-170°F). Максимальная температура сжиженного природного газа под давлением, подлежащего загрузке, зависит в первую очередь от состава сжиженного природного газа под давлением. Сжижение природного газа, который представляет собой преимущественно метан, не может быть осуществлено при температуре окружающей среды путем простого повышения давления, как в случае с более тяжелыми углеводородами, используемыми для выработки энергии. Критическая температура метана составляет -82,5 С (-116,5 F). Это означает, что сжижение метана может быть осуществлено только при температуре ниже этой температуры независимо от приложенного давления. Поскольку природный газ представляет собой смесь углеводородов его сжижение происходит в некотором диапазоне температур. Критическая температура природного газа, как правило, составляет от приблизительно -85 С (-121 F) и -62 С (-80 F). Эта критическая температура будет представлять собой теоретическую максимальную температуру сжиженного природного газа под давлением, загружаемого в контейнеры, но предпочтительная температура хранения предпочтительно должна быть на несколько градусов ниже по сравнению с критической температурой, при этом газ находится под давлением ниже критического давления.
Предпочтительный вариант осуществления изобретения далее будет описан со ссылкой на фиг.2-5, на которых показаны схемы трех стадий загрузки большого количества контейнеров находящимся под давлением сжиженным природным газом друг за другом. Контейнеры, подлежащие загрузке находящимся под давлением сжиженным природным газом в соответствии со способом по данному изобретению, могут быть расположены на берегу или на плавучих транспортных средствах, таких, как судно, показанное на фиг.1А и 1В. На фиг.2, 3 и 4 показан один пример сообщения по текучей среде между установкой 20 для сжижения, вспомогательными резервуарами 10 и 11 для хранения и контейнерами 1, 2, 3 и 4, которые должны быть заполнены сжиженным природным газом под давлением в соответствии со способом согласно данному изобретению. На фиг.2 показана загрузка находящегося под давлением сжиженного природного газа в контейнер 1 и повышение давления в контейнере 2 для загрузки находящегося под давлением сжиженного природного газа, на фиг.3 показана загрузка находящегося под давлением сжиженного природного газа в контейнер 3 и повышение давления в контейнере 4 для загрузки находящегося под давлением сжиженного природного газа, и на фиг.4 показана загрузка контейнера 4 и обработка пара, вытесненного из контейнера 4.
Как показано на фиг.2, природный газ поступает в установку 20 для сжижения по магистрали 21, и в этой установке происходит сжижение, по меньшей мере, части газа для получения потока 22 производимого сжиженного природного газа под давлением. В результате работы установки 20 для сжижения, как правило, также получают топливо и более тяжелые углеводородные составляющие природного газа, которые называют газоконденсатами. Газоконденсаты могут включать этан, пропан, бутан, пентан, изопентан и высшие углеводороды, некоторые из которых могут быть использованы в качестве свежеприготовленных согласно стандарту холодильных агентов для одной или более систем охлаждения с замкнутым циклом, используемых в установке 20 для сжижения. Примеры пригодных установок для сжижения, предназначенных для получения сжиженного природного газа под давлением, описаны в патентах США 6023942, 6016665, 5950453 и 5956971. Контейнеры, подлежащие загрузке сжиженным природным газом под давлением в соответствии с данным изобретением, показаны со ссылочными номерами 1, 2, 3 и 4. Хотя способ загрузки согласно данному изобретению будет описан с использованием четырех контейнеров, данное изобретение не ограничено каким-либо определенным числом контейнеров. Судно, предназначенное для транспортировки сжиженного природного газа под давлением, может иметь несколько сотен цилиндров, в которых может быть создано повышенное давление и которые подлежат загрузке их находящимся под давлением, сжиженным природным газом. Контейнеры можно загружать по одному контейнеру последовательно или контейнеры можно загружать группами по несколько контейнеров.
Вспомогательные резервуары 10 и 11 для хранения используются при реализации данного изобретения для промежуточного изменения скорости потока пара, поступающего в установку 20 для сжижения во время загрузки контейнеров 1, 2, 3 и 4. Резервуары 10 и 11 могут представлять собой любые пригодные резервуары для хранения сжиженного природного газа под давлением и богатого метаном пара при температурах и давлениях находящегося под давлением, сжиженного природного газа. Оптимальная емкость резервуаров 10 и 11 зависит от количества сжиженного природного газа под давлением, подлежащего загрузке в контейнеры, емкости последнего заполняемого контейнера или группы контейнеров и требуемого времени загрузки находящегося под давлением сжиженного природного газа для контейнеров. Каждый из резервуаров 10 и 11 предпочтительно имеет приблизительно такую же емкость, какую имеет самый большой контейнер, подлежащий загрузке находящимся под давлением сжиженным природным газом, и более предпочтительно, если каждый из резервуаров 10 и 11 имеет емкость, которая немного больше емкости самого большого контейнера. Специалист в данной области техники может оптимизировать размер резервуаров 10 и 11. Резервуары 10 и 11 предпочтительны расположены внутри изолированного теплоизоляционного кожуха для уменьшения теплопередачи от среды, окружающей резервуары, к содержимому резервуаров, однако также может быть обеспечена отдельная изоляция для каждого из резервуаров. Резервуары предпочтительно расположены на барже, находящейся в прибрежной зоне, но они могут быть расположены и на берегу. Несмотря на то, что на чертежах показаны только два вспомогательных резервуара для хранения, каждый из резервуаров 10 и 11 для хранения может содержать большое количество контейнеров, соединенных друг с другом трубопроводами.
Контейнеры 1, 2, 3 и 4, а также резервуары 10 и 11 предпочтительно снабжены предохранительными клапанами, датчиками давления и температуры, указателями уровня текучей среды, чувствительными к давлению системами аварийной сигнализации и соответствующей изоляцией для эксплуатации при криогенных температурах. Эти системы исключены из чертежей, поскольку специалисты в данной области техники знакомы с конструкцией и функционированием таких систем, которые не являются существенными для понимания реализации данного изобретения.
В данном описании предпочтительного варианта осуществления предполагается, что судно для транспортировки сжиженного природного газа под давлением прибывает к грузовому причалу с контейнерами, заполненными остаточным паром, который остался в результате выгрузки находящегося под давлением сжиженного природного газа. Кроме того, контейнер 1 был последним контейнером, из которого был выгружен находящийся под давлением сжиженный природный газ, и он содержит пар, находящийся под приблизительно таким же давлением, как давление находящегося под давлением сжиженного природного газа, подлежащего загрузке в контейнер 1, и предпочтительно пар находится под давлением, немного превышающим давление находящегося под давлением сжиженного природного газа, подлежащего загрузке в контейнер 1. Кроме того, давление пара в остальных контейнерах (контейнерах 2, 3 и 4 на фиг.2) существенно ниже давления пара в контейнере 1. Однако данное изобретение не ограничено такими условиями, относящимися к давлению пара. Давление пара может, например, изменяться в диапазоне от давления окружающей среды до давления, немного превышающего давление находящегося под давлением сжиженного природного газа в точке начала его кипения. Как указано в одновременно находящейся на рассмотрении заявке на патент США 09/464987 на имя J.R. Rigby, при выпуске находящегося под давлением сжиженного природного газа из контейнеров на причале, где осуществляется выгрузка импортируемого груза, желательно оставить последний контейнер под давлением находящегося под давлением, выходящего сжиженного природного газа, чтобы облегчить следующую загрузку находящегося под давлением сжиженного природного газа на причале, где осуществляется погрузка экспортируемого груза. В других контейнерах пар предпочтительно находится под сравнительно низким давлением, чтобы уменьшить массу богатого метаном груза, возвращаемого вместе с судном.
После выгрузки находящегося под давлением сжиженного природного газа температуру контейнеров предпочтительно поддерживают на относительно постоянном уровне в течение обратной поездки или рейса, предпочтительно на том же уровне, на каком находится температура, соответствующая точке начала кипения получаемого сжиженного природного газа под давлением. Значительные колебания температуры контейнеров могут вызвать возникновение нежелательных термических напряжений в материалах контейнеров и могут возникать проблемы из-за расширения и сжатия контейнеров, систем трубопроводов и систем, обеспечивающих опору для контейнеров. Можно поддерживать температуру пара в контейнерах на относительно постоянном уровне во время обратного рейса судна с помощью любого пригодного средства. Например, система повторного сжижения может обеспечить выполнение функции охлаждения с целью охлаждения остаточного пара в контейнерах во время обратного рейса путем отвода пара из контейнеров, повторного его сжижения и распыления его обратно в контейнеры. Этот способ также может быть использован для поддержания системы коллекторов при рабочей температуре, в результате чего уменьшается подготовительное время для загрузки на терминале, где осуществляется погрузка экспортируемого груза.
Если первый контейнер, подлежащий загрузке находящимся под давлением сжиженным природным газом (контейнер 1 на фиг.2) содержит пар при температуре, которая значительно выше температуры сжиженного природного газа под давлением, подлежащего загрузке в него, температуру пара можно уменьшить с помощью любого пригодного средства до начала загрузки находящегося под давлением сжиженного природного газа или в процессе загрузки. Чем больше разница температур между более высокой температурой пара в контейнере и температурой сжиженного природного газа под давлением, тем больше количество нежелательных паров кипящей жидкости, которые будут образовываться при поступлении сжиженного природного газа под давлением в контейнер. Соответствующие способы уменьшения температуры внутри контейнера известны специалистам в данной области техники.
Если контейнер 1 наполнен паром, находящимся под давлением, которое существенно ниже давления в точке начала кипения сжиженного природного газа под давлением, когда жидкость поступает в нижнюю часть контейнера 1, то для избежания возможности мгновенного испарения сжиженного природного газа под давлением во время загрузки давление пара в контейнере 1 может быть увеличено с помощью любого пригодного средства. Например, пар из резервуара 10 для хранения может вводиться в контейнер 1 до тех пор, пока давление пара в контейнере 1 не станет по существу равным давлению, соответствующему точке начала кипения сжиженного природного газа под давлением, и предпочтительно не станет немного выше давления, соответствующего точке начала кипения.
Как показано на фиг.2, как только будет достигнуто состояние, при котором давление пара и температура пара в контейнере 1 окажутся близкими к давлению и температуре находящегося под давлением сжиженного природного газа, подлежащего загрузке в контейнер 1, сжиженный природный газ под давлением подают по магистрали 22 и по подающей трубе 23, которая обеспечивает поступление находящегося под давлением сжиженного природного газа в нижнюю часть контейнера 1. Желательно поддерживать давление находящегося под давлением сжиженного природного газа на уровне выше давления, соответствующего точке начала кипения жидкости во время загрузки. Следовательно, давление поддерживают по существу на постоянном уровне в нижней части контейнера, при этом оно равно сумме давления, соответствующего точке начала кипения сжиженного природного газа под давлением, и гидростатического напора сжиженного природного газа под давлением в контейнере 1, когда контейнер полностью заполнен жидкостью. Таким образом, давление в верхней части трубы для наполнения контейнера представляет собой, по меньшей мере, давление, соответствующее точке начала кипения сжиженного природного газа под давлением, и никакого пара не образуется в магистралях для потока во время загрузки. По мере того, как находящийся под давлением сжиженный природный газ поступает в контейнер 1, пар, содержащийся в контейнере, отводится – с обеспечением регулирования этого процесса – через верхнюю часть контейнера 1 в магистраль 24. Давление пара можно регулировать с помощью любого пригодного устройства для регулирования потока текучей среды (не показанного на чертежах) для поддержания давления находящегося под давлением сжиженного природного газа в нижней части контейнера 1 по существу на постоянном уровне.
Предпочтительно обеспечивают поступление одной части пара, вытесненного из контейнера 1, в установку 20 для сжижения по магистрали 26 (или возможно, но не обязательно, пар может быть использован полностью или частично в качестве топлива для энергоснабжения турбин или двигателей, не показанных на чертежах), и обеспечивают поступление другой части пара из контейнера 1 по магистралям 25 и 28 в контейнер 2.
На фиг.2 показано, что перед тем, как часть пара поступит в установку 20 для сжижения, осуществляют дополнительное повышение давления пара в магистрали 24 с помощью компрессора 31. Компрессор 31 может быть расположен на судне или на терминале, или он может представлять собой компрессор, используемый в установке 20 для сжижения. Хотя это не показано на фиг.2, поток пара в магистрали 26 может быть в возможном варианте, но не обязательно, отведен из магистрали 24 перед дополнительным повышением давления пара с помощью компрессора 31. Направление потока пара в установку 20 без предварительного дополнительного повышения его давления с помощью компрессора 31 может оказаться желательным, например, если такое повышение давления более экономично осуществляется в установке 20 для сжижения, или если поток пара может быть использован в установке 20 без дополнительного повышения давления. Хотя это не показано на чертежах, поток пара в магистрали 26 в возможном варианте, но не обязательно, может быть подан в систему сжижения, которая является независимой по отношению к установке 20 для сжижения, с целью сжижения потока пара, и в этом случае может быть осуществлено нагнетание получающейся в результате жидкости до более высокого давления и смешивание ее с находящимся под давлением сжиженным природным газом, выходящим из установки 20 для сжижения.
Перед тем, как пар в магистрали 25 поступит в контейнер 2, по меньшей мере, часть пара при необходимости нагревают, чтобы поддерживать температуру пара в контейнере 2 на уровне выше минимальной расчетной температуры для материала контейнера. Из компрессора 31 часть пара, находящегося в магистрали 25, поступает в теплообменник 32, в котором происходит нагрев потока пара посредством косвенного теплообмена с любым пригодным теплоносителем. Неограничивающие примеры пригодных источников тепла могут включать выхлопные газы из судовых двигателей и источники из окружающей среды, такие, как воздух, морская вода и пресная вода. Из теплообменника 32 нагретый пар поступает в контейнер 2 по магистрали 28. Хотя это не показано на фиг.2, пригодное регулирующее устройство, предпочтительно расположенное в магистрали 25, обеспечивает регулирование скорости потока пара, поступающего в контейнер 2. Скорость потока и давление потока пара, поступающего в контейнер 2, предпочтительно регулируют с тем, чтобы завершить заполнение контейнера 1 по существу в тот же момент времени, когда давление в контейнере 2 будет повышено в той степени, которая обеспечивает возможность необходимой загрузки его находящимся под давлением сжиженным природным газом.
На ранней стадии загрузки контейнера 1 находящимся под давлением сжиженным природным газом давление пара в магистрали 24 является достаточно высоким для того, чтобы обеспечить повышение давления пара в контейнере 2 без использования компрессора 31. Следовательно, на ранней стадии загрузки контейнера 1 компрессор не требуется, и часть пара, которая должна поступить в контейнер 2, может быть в возможном варианте, но не обязательно, пропущена по обводной магистрали мимо компрессора 31 и может быть направлена непосредственно в теплообменник 32. На поздней стадии загрузки контейнера 1 находящимся под давлением сжиженным природным газом поток пара в магистрали 24 постепенно уменьшается до того момента, пока незадолго до конца загрузки находящимся под давлением сжиженным природным газом давление пара не станет недостаточным для того, чтобы обеспечить повышение давления в контейнере 2 до требуемого давления без дополнительного повышения давления с помощью компрессора 31.
На ранней стадии повышения давления пара в контейнере 2, с целью поддержания температуры пара в контейнере 2 на уровне выше расчетных предельных значений для материала потребуется нагреть поступающий в контейнер пар для того, чтобы компенсировать снижение температуры, вызванное снижением давления при изоэнтальпическом процессе при переходе от состояния относительно высокого давления в контейнере 1 до состояния относительно низкого давления в контейнере 2. Во время поздней стадии загрузки контейнера 1 находящимся под давлением сжиженным природным газом давление пара в контейнере 2 будет приближаться к относительно высокому давлению пара в контейнере 1, в результате чего падение температуры будет минимальным. Следовательно, на поздней стадии загрузки контейнера 1 находящимся под давлением сжиженным природным газом пар, давление которого было повышено с помощью компрессора 31, может быть в возможном варианте, но не обязательно, пропущен в обход теплообменника 32 и направлен непосредственно в контейнер 2. Предшествующее описание возможного, но необязательного потока пара, который проходит в обход компрессора 31 на ранней стадии загрузки контейнера 1 находящимся под давлением сжиженным природным газом, и возможного, но необязательного потока, который проходит в обход теплообменника 32 на поздней стадии загрузки контейнера 1 находящимся под давлением сжиженным природным газом, не отражено на чертежах.
Источником сжиженного природного газа под давлением для загрузки контейнера 1 находящимся под давлением сжиженным природным газом частично является вспомогательный резервуар 11. В начале загрузки находящегося под давлением сжиженного природного газа этот газ из вспомогательного резервуара 11 отводится по магистрали 39, далее с помощью насоса 41 обеспечивают нагнетание этого находящегося под давлением, сжиженного природного газа до более высокого давления, при этом объединение его с находящимся под давлением сжиженным природным газом из установки происходит в магистрали 22. После этого объединенный поток сжиженного природного газа под давлением поступает в контейнер 1. Скорость потока находящегося под давлением сжиженного природного газа из резервуара 11 регулируют с помощью соответствующих регулирующих устройств, не показанных на чертежах, чтобы гарантировать то, что резервуар 11 будет по существу полностью освобожден от находящегося под давлением сжиженного природного газа перед загрузкой контейнера 4 находящимся под давлением сжиженным природным газом, и предпочтительно весь находящийся под давлением сжиженный природный газ выходит из резервуара 11 до того, как приблизительно половина контейнеров будет загружена сжиженным природным газом под давлением.
Как показано на фиг.2, во время слива находящегося под давлением сжиженного природного газа из резервуара 11 пар, находившийся ранее в резервуаре 10 для хранения, перемещается в резервуар 11 с заполнением пространства, которое остается свободным при выходе находящегося под давлением сжиженного природного газа. Чтобы свести к минимуму мгновенное испарение находящегося под давлением сжиженного природного газа, давление пара над находящимся под давлением сжиженным природным газом в резервуаре 11 поддерживают, по меньшей мере, на таком же уровне, на каком находится давление находящегося под давлением сжиженного природного газа в резервуаре, соответствующее точке начала его кипения, и предпочтительно на уровне давления, немного превышающего давление находящегося под давлением сжиженного природного газа, соответствующее точке начала его кипения. Пар отводится из резервуара 10 по магистрали 35 и проходит через компрессор 30 для обеспечения повышения давления пара до уровня относительно высокого давления пара в резервуаре 11. Пар под давлением выходит из компрессора 30 и разделяется на два потока 36 и 37. Поток 36 проходит в резервуар 11, а поток 37 пропускается через теплообменник 38 с целью нагрева потока 37 сжатого пара перед тем, как он поступит обратно в резервуар 10 по магистрали 34. Любой пригодный теплоноситель может быть использован в теплообменнике 38 для обеспечения косвенного теплообмена со сжатым паром в магистрали 37. Неограничивающие примеры пригодных источников тепла могут включать выхлопные газы из судовых двигателей и источники из окружающей среды, такие, как воздух, морская вода и пресная вода. Теплообменник 38 показан в виде теплообменника, отдельного от теплообменника 32, но можно использовать один теплообменник, чтобы по отдельности нагревать пар в магистралях 25 и 37. Из теплообменника 38 нагретый пар поступает в резервуар 10 со скоростью, которая обеспечивает поддержание температуры пара в резервуаре 10 на уровне выше расчетной температуры для резервуара по мере снижения давления в резервуаре 10. В то время как скорость потока газа в магистрали 36 является относительно постоянной, скорость потока рециркулирующего нагревающего пара в магистрали 37 может быть изменена в зависимости от того, какой нагрев должен быть обеспечен, чтобы поддержать температуру в резервуаре 10 на уровне выше минимальной расчетной температуры. Во время загрузки установка обеспечивает поддержание потока газа, входящего по магистрали 21, и подачу топлива или газоконденсатов по магистрали 27. На стадии, показанной на фиг.2, контейнеры 3 и 4 остаются по существу не задействованными за исключением процесса выпаривания.
На фиг.3 показана схема магистралей для загрузки находящегося под давлением сжиженного природного газа в контейнер 3 в соответствии с предпочтительным вариантом осуществления данного изобретения. При изображении схемы, показанной на фиг.3, предполагается, что контейнеры 1 и 2 уже были загружены находящимся под давлением сжиженным природным газом. По мере того, как находящийся под давлением сжиженный природный газ вводится в нижнюю часть контейнера 3 по магистрали 23′, пар над находящимся под давлением сжиженным природным газом в контейнере 3 вытесняется наружу по магистрали 24′. Пар в магистрали 24′ подвергается сжатию с помощью компрессора 31, и часть его проходит по магистрали 25 в теплообменник 32 и после этого поступает в контейнер 4 по магистрали 28′. Часть пара, выходящего из контейнера 3, поступает в установку 20 по магистрали 26, и пар, подлежащий направлению в установку, может быть отведен или перед, или после компрессора 31. Загрузка всех контейнеров находящимся под давлением сжиженным природным газом происходит последовательно, с заполнением контейнеров одного за другим, при этом используются одни и те же операции загрузки находящегося под давлением сжиженного природного газа, отвода пара и повышения давления пара до того момента, когда возникает необходимость загрузки последнего контейнера находящимся под давлением сжиженным природным газом. Подробные описания магистралей для потока и работы резервуара 11 приводятся в нижеследующем описании фиг.5D.
На фиг.4 показано основное оборудование, используемое при реализации способа согласно данному изобретению для загрузки находящегося под давлением сжиженного природного газа в контейнер 4, последний контейнер в группе контейнеров, описание загрузки которых приводится здесь. Сжиженный природный газ под давлением поступает из установки 20 для сжижения по магистрали 22 и подается в нижнюю часть контейнера по трубе 23″. Пар отводится из контейнера 4 с регулируемой скоростью для обеспечения создания находящейся под давлением паровой подушки над сжиженным природным газом под давлением по мере того, как жидкость поступает в нижнюю часть контейнера 4. Пар из контейнера 4 проходит по магистрали 24” в компрессор 31. Выходящий из компрессора 31 пар разделяется на два потока. Первый поток проходит по магистрали 26 в установку 20 для сжижения, а второй поток проходит по магистрали 25 через теплообменник 32 для нагрева второго потока и затем поступает в резервуар 11 по магистрали 34″. Нагрев пара осуществляют для поддержания температуры пара в резервуаре 11 на уровне выше заранее заданной расчетной температуры для материала. Пар вводят в резервуар 11 до тех пор, пока давление пара в нем не станет по существу равным сумме давления находящегося под давлением сжиженного природного газа в точке начала его кипения и гидростатического напора жидкости в полностью загруженном контейнере.
На фиг.5А-5G схематично показано состояние вспомогательных резервуаров 10 и 11 для хранения во время различных стадий загрузки находящегося под давлением сжиженного природного газа в большое число контейнеров в соответствии с реализацией настоящего изобретения. На этих чертежах обозначение LP означает относительно низкое давление, например 100 фунтов на кв. дюйм абсолютного давления, а обозначение НP означает относительно высокое давление, например давление находящегося под давлением сжиженного природного газа, которое соответствует точке начала его кипения. Обозначение LР HР (используемое на фиг.5F и 5G) означает, что в резервуаре 11 на фиг.5F и в резервуаре 10 на фиг.5G происходит повышение давления во время стадии, показанной на соответствующей фигуре, и аналогичным образом обозначение HP LP (используемое на фиг.5В и 5D) означает, что в резервуаре 10 на фиг.5В и в резервуаре 11 на фиг.5D происходит снижение давления.
На фиг.5А показано состояние резервуаров 10 и 11, когда судно вначале прибывает для загрузки его сжиженным природным газом под давлением, перед тем, как будет происходить какая-либо загрузка находящегося под давлением сжиженного природного газа. Резервуар 10 заполнен паром высокого давления, который богат метаном, при этом давление пара предпочтительно по существу равно давлению находящегося под давлением сжиженного природного газа в точке начала его кипения, а резервуар 11 заполнен находящимся под давлением сжиженным природным газом, давление и температура которого по существу такие же, как у находящегося под давлением сжиженного природного газа, подлежащего загрузке в контейнеры на судне.
На фиг.5В показано состояние резервуаров 10 и 11 в процессе загрузки контейнера 1 во время стадии загрузки, показанной на фиг.2. Пар, находящийся в резервуаре 10, отводится и сжимается, одна часть этого пара поступает в резервуар 11 для вытеснения находящегося под давлением сжиженного природного газа из этого резервуара, а другая часть подвергается нагреву и возвращается в резервуар 10. По мере того, как происходит выгрузка находящегося под давлением сжиженного природного газа из резервуара 11, давление в резервуаре 10 снижается от давления, равного давлению находящегося под давлением сжиженного природного газа в точке начала его кипения, до относительно низкого давления.
На фиг.5С показано состояние резервуаров 10 и 11 на той стадии, когда находящийся под давлением сжиженный природный газ был выгружен из резервуара 11. Резервуар 10 полностью заполнен паром низкого давления, а резервуар 11 полностью заполнен паром высокого давления.
На фиг.5D показано удаление пара из резервуара 11 и поступление, по меньшей мере, части отведенного пара по магистрали 40 в установку для сжижения и возможное, но необязательное, использование части этого пара в качестве топлива. На фиг.5D показано состояние резервуаров 10 и 11 во время загрузки находящегося под давлением сжиженного природного газа в контейнер 3, как показано на фиг.3. Пар, отведенный из резервуара 11 по магистрали 35′, подвергается сжатию с помощью компрессора 30, разделяется на два потока, при этом один поток представляет собой поток 37, который нагревается с помощью теплообменника 38 и возвращается в резервуар 11 по магистрали 34′, чтобы гарантировать то, что температура пара в резервуаре 11 не упадет ниже минимальной расчетной температуры для резервуара, а другой поток 40 возвращается в установку. Во время этой стадии давление пара в резервуаре 11 снижается.
На фиг.5Е показано состояние резервуаров 10 и 11 после того, как показанная на фиг.5D операция отвода пара будет завершена, при этом оба резервуара 10 и 11 заполнены паром низкого давления.
На фиг.5F показано состояние резервуаров 10 и 11, соответствующее стадии способа загрузки, показанной на фиг.4. На этой стадии происходит загрузка контейнера 4 находящимся под давлением сжиженным природным газом, и пар высокого давления из контейнера 4 поступает в компрессор 31, где осуществляется дополнительное повышение давления пара. Одна часть пара под давлением подвергается нагреву и поступает в резервуар 11 по магистрали 34″ для повышения давления пара в этом резервуаре. Вторая часть пара под давлением проходит по магистрали 26 в установку 20 для сжижения. Во время этой стадии давление пара в резервуаре 11 постепенно увеличивается, а температура пара в резервуаре 11 поддерживается по существу на постоянном уровне, приблизительно равном исходной температуре находящегося под давлением сжиженного природного газа в точке начала его кипения.
На фиг.5G показана стадия пополнения резервуара 11 находящимся под давлением сжиженным природным газом после того, как судно будет загружено находящимся под давлением сжиженным природным газом, при этом указанное пополнение осуществляют для того, чтобы подготовить резервуары 10 и 11 к загрузке находящегося под давлением сжиженного природного газа в другое судно. Эта стадия выполняется после того, как контейнер 4 будет загружен сжиженным природным газом под давлением. Источником находящегося под давлением сжиженного природного газа для пополнения резервуара 11 предпочтительно является установка 20 для сжижения. Находящийся под давлением сжиженный природный газ вводят в нижнюю часть резервуара 11 по магистрали 39”’, и пар высокого давления, находящийся над сжиженным природным газом под давлением, отводится из резервуара 11 по магистрали 35”’ с обеспечением регулирования этого процесса с тем, чтобы поддерживать давление находящегося под давлением сжиженного природного газа в нижней части резервуара 11 на относительно постоянном уровне. Заполнение резервуара 11 аналогично загрузке контейнера 1, описанному выше. Пар, вытесненный из резервуара 11, поступает по магистрали 35”’ в компрессор 31, предназначенный для повышения давления пара для компенсации потерь давления, связанных с потерями на трение в оборудовании для транспортировки текучих сред в процессе транспортировки пара из резервуара 11 в резервуар 10, и для создания давления, необходимого для повышения давления пара, вводимого в резервуар 10 по магистрали 25 и проходящего при этом через теплообменник 25 и по магистрали 34”’, до давления, равного по существу сумме давления находящегося под давлением сжиженного природного газа в точке начала его кипения и гидростатического напора жидкости в контейнере, полностью загруженным сжиженным природным газом под давлением. Часть находящегося под давлением пара поступает по магистрали 26 в установку 20 для сжижения. В возможном варианте, но не обязательно, часть пара, поступающего в установку, может быть отведена из магистрали для потока пара перед компрессором 31 по ходу течения пара. В конце этой стадии резервуар 11 загружен сжиженным природным газом под давлением, а резервуар 10 заполнен паром высокого давления, то есть резервуары 10 и 11 возвращаются к состоянию, показанному на фиг.5А.
ПРИМЕР
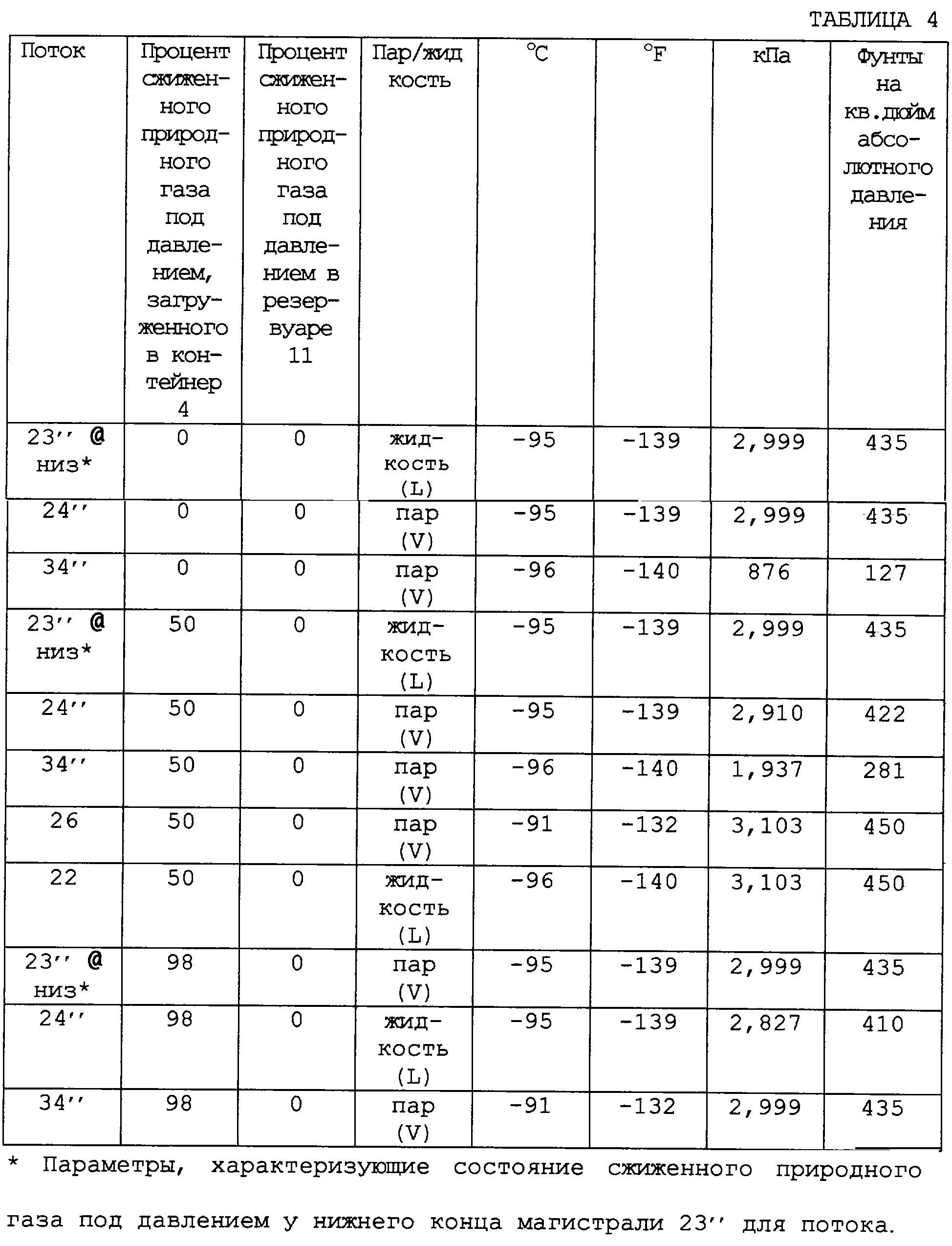
Был рассчитан гипотетический баланс массы и энергии для иллюстрации варианта осуществления, показанного на фиг.2-4, и результаты приведены ниже в таблицах 1-4.
Данные, представленные в таблицах, предназначены для того, чтобы показать давления и температуры потоков, показанных на фиг.2-4, но предполагается, что изобретение не должно быть ограничено этими данными. В таблице 1 представлены данные о составах для контейнерного груза при различных условиях. Составы являются номинальными и изменяются в зависимости от времени при реализации способа загрузки. Было сделано предположение, что каждый из контейнеров имел емкость 828 м3 и имел разницу по высоте, составляющую 46 м от верхней части контейнера до его нижней части. Следует отметить, что скорость загрузки находящегося под давлением, сжиженного природного газа повлияет на эти составы. В таблице 2 представлены данные для магистралей для потоков, показывающие стадию на фиг.2; в таблице 3 представлены данные для магистралей для потоков, показывающие стадию на фиг.3, и в таблице 4 представлены данные для магистралей для потоков, показывающие стадию на фиг.4. Не следует рассматривать значения температур, давлений и составы как ограничения изобретения, в соответствии с идеями которого может быть предусмотрено множество вариантов составов груза и скоростей потоков. В данном примере заполненные жидкостью контейнеры на 98% объема были заполнены жидкостью при объеме пара, составляющем 2%, и судовой груз был разделен на десять имеющих одинаковый размер блоков контейнеров, при этом каждый блок состоял из 24 контейнеров; емкость каждого блока составляла приблизительно 20000 м3 и суммарная емкость двух имеющих одинаковый размер резервуаров для хранения также приблизительно составляла 20000 м3.
В данном примере скорость объединенного потока пара, возвращаемого в установку для сжижения или в другое пригодное средство для использования пара по магистралям 26 и 40, поддерживали постоянной на уровне определенного процента от скорости потока, входящего в установку 20 (потока 21). При определении постоянной скорости обратного потока пара были приняты во внимание несколько факторов, включая количество пара, остающегося в контейнерах перед загрузкой судна, условия окружающей среды и температуру контейнеров и вспомогательных резервуаров для хранения перед началом загрузки находящегося под давлением сжиженного природного газа. Путем оценки этих условий специалист в данной области техники, используя идеи данного изобретения, может применить резервуары 10 и 11 для хранения в качестве буферной системы для достижения относительно постоянной скорости потока пара, возвращаемого в установку 20 для сжижения.
Для специалиста в данной области техники, в частности для специалиста, использующего идеи данной заявки на патент, будет очевидным множество модификаций и вариантов конкретных процессов, описанных выше. Например, различные температуры и давления могут быть использованы в соответствии с изобретением в зависимости от конструкции системы в целом и состава сжиженного природного газа под давлением. Условия обратного рейса и операции, связанные с повторным сжижением, в значительной степени повлияют на температуру и давление в контейнерах. Дополнительное изменение массы, оставшейся на судне, будет иметь место в том случае, если пар в контейнерах служил в качестве топлива для судна. Кроме того, соединительные трубопроводы между контейнерами с сжиженным природным газом под давлением могут быть дополнены или реконфигурированы в зависимости от требований к конструкции в целом для достижения оптимальных требуемых условий теплообмена. Как было рассмотрено выше, конкретные раскрытые варианты осуществления и примеры не должны быть использованы для ограничения объема изобретения, который должен определяться нижеприведенными пунктами формулы изобретения и их эквивалентами.
Формула изобретения 1. Способ загрузки контейнеров сжиженным природным газом под давлением, содержащих пар под давлением, при этом контейнеры заполняют последовательно один за другим, включающий следующие операции: (a) введение сжиженного газа в контейнеры, обеспечивающее вытеснение пара из них, (b) пропускание пара, вышедшего по меньшей мере из некоторых контейнеров во вспомогательные резервуары для хранения, включающие первый резервуар и второй резервуар, отвод пара по меньшей мере из одного из резервуаров и пропускание отведенного пара в средство для использования пара, и (c) регулирование потока текучей среды, поступающего в первый и второй резервуары и выходящего из них, обеспечивающее относительно постоянный уровень суммарного расхода пара, поступающего в средство для использования пара. 2. Способ по п.1, в котором средство для использования газа представляет собой установку для сжижения газа, которая обеспечивает сжижение потока поступающего газа. 3. Способ по п.2, в котором скорость потока пара, поступающего в установку для сжижения газа, является относительно постоянной и составляет некоторый процент от скорости потока газа, поступающего в установку для сжижения. 4. Способ по п.1, в котором средство для использования пара содержит оборудование, которое потребляет топливо. 5. Способ по п.1, который дополнительно включает перед операцией (а) операцию повышения давления пара по меньшей мере в одном из контейнеров по существу до давления сжиженного газа, подлежащего введению в этот контейнер. 6. Способ по п.2, который дополнительно включает в себя перед операцией (а) операцию охлаждения находящегося под давлением пара по меньшей мере в одном из контейнеров по существу до температуры сжиженного газа, подлежащего введению в этот контейнер. 7. Способ по п.1, который дополнительно включает в себя выполняемую одновременно с введением сжиженного газа в первый контейнер из множества контейнеров операцию пропускания части пара, вышедшего из первого контейнера, во второй контейнер, подлежащий загрузке сжиженным газом. 8. Способ по п.1, в котором емкость каждого резервуара, по существу, такая же, как емкость контейнера из множества контейнеров. 9. Способ по п.1, который дополнительно включает в себя повышение давления пара, вышедшего из первого контейнера из множества контейнеров, путем прохождения вышедшего пара в компрессор, разделение находящегося под давлением пара на первый поток пара и второй поток пара, пропускание первого потока пара в средство для использования пара, нагрев второго потока пара и пропускание второго потока пара во второй контейнер из множества контейнеров для повышения давления пара во втором контейнере. 10. Способ по п.9, в котором давление во втором контейнере повышают, по существу, до давления, равного давлению сжиженного газа в точке начала его кипения. 11. Способ по п.9, в котором давление во втором контейнере повышают, по существу, до давления, представляющего собой сумму давления сжиженного газа в точке начала его кипения и давления гидростатического напора во втором контейнере, когда он заполнен сжиженным газом. 12. Способ по п.1, в котором сжиженный газ, вводимый в первый контейнер, по меньшей мере частично, получают путем отвода сжиженного газа из второго резервуара. 13. Способ по п.12, в котором во время отвода сжиженного газа из второго резервуара осуществляют отвод богатого метаном пара из первого резервуара для хранения, сжатие отведенного, богатого метаном, пара, разделение сжатого, богатого метаном, пара на первый поток пара и второй поток пара, нагрев первого потока пара и пропускание его обратно в первый резервуар для хранения, пропускание второго потока пара во второй резервуар для хранения. 14. Способ по п.1, который дополнительно включает операции пропускания пара, вышедшего из последнего контейнера, заполненного находящимся под давлением сжиженным газом, в компрессор для повышения давления вышедшего пара, пропускания первой части пара, находящегося под давлением, в средство для использования пара и нагрева второй части пара, находящегося под давлением, и пропускания нагретой второй части во второй резервуар. 15. Способ по п.1, который дополнительно включает операцию регулирования давления пара, вытесненного из первого контейнера, таким образом, что давление сжиженного газа в нижней части контейнеров остается, по существу, постоянным во время загрузки сжиженного газа в первый контейнер. 16. Способ по п.1, в котором температура вышедшего пара составляет свыше -112°С. 17. Способ по п.1, в котором сжиженный газ под давлением представляет собой находящийся под давлением, сжиженный природный газ, имеющий температуру выше -112°С и давление, по существу, на уровне давления этого газа в точке начала его кипения. 18. Способ по п.1, который дополнительно включает перед операцией (а) операцию введения нагретого пара в первый контейнер и поддержания температуры пара в контейнере на уровне предварительно заданной минимальной температуры или выше нее. 19. Способ по п.1, в котором давление пара в первом контейнере или группе контейнеров в начале загрузки, по существу, равно сумме давления сжиженного газа в точке начала его кипения и гидростатического напора в контейнере, полностью заполненном сжиженным газом. 20. Способ по п.1, который дополнительно включает регулирование давления пара, вводимого во второй резервуар, для поддержания давления сжиженного газа в нижней части резервуара, по существу, на постоянном уровне во время загрузки находящегося под давлением сжиженного природного газа. 21. Способ по п.1, в котором множество контейнеров, подлежащих загрузке сжиженным газом, находятся на борту судна, а вспомогательные резервуары для хранения расположены вне судна. 22. Способ по п.1, который дополнительно включает регулирование давления пара во втором контейнере для поддержания давления сжиженного газа в нижней части второго контейнера, по существу, на постоянном уровне во время загрузки сжиженного газа во второй контейнер. 23. Способ загрузки контейнеров сжиженным природным газом под давлением, содержащих пар под давлением, причем контейнеры заполняют последовательно один за другим, включающий следующие операции: (a) введение сжиженного газа в первый контейнер, обеспечивающее вытеснение пара из них; (b) повышение давления пара, вышедшего из первого контейнера, путем пропускания вышедшего пара в компрессор, разделение пара, находящегося под давлением, на первый поток пара и второй поток пара, пропускание первого потока пара в средство для использования пара, нагрев второго потока пара и пропускание нагретого второго потока пара во второй контейнер из множества контейнеров для повышения давления пара во втором контейнере, (c) пропускание пара, вышедшего по меньшей мере из некоторых контейнеров во вспомогательные резервуары для хранения, включающие первый резервуар и второй резервуар, отвод пара по меньшей мере из одного из резервуаров и пропускание отведенного пара в средство для использования пара, (d) регулирование потока текучих сред, поступающих в первый и второй резервуары из первого и второго резервуаров, для промежуточного изменения скорости потока пара, поступающего в средство для использования пара, при этом в начале загрузки сжиженного газа в контейнеры первый резервуар заполнен паром, находящимся под относительно высоким давлением, а второй резервуар содержит сжиженный газ под давлением, причем регулирование потока текучей среды включает следующие операции: (i) отвод находящегося под давлением сжиженного газа из второго резервуара и пропускание отведенного, находящегося под давлением, сжиженного газа по меньшей мере в один из контейнеров, и одновременный отвод пара из первого резервуара, повышение давления отведенного пара и пропускание первой части пара, находящегося под давлением, во второй резервуар, и нагрев второй части пара, находящегося под давлением, и пропускание нагретой второй части в первый резервуар, при этом в конце этой операции второй резервуар оказывается по существу свободным от сжиженного газа под давлением и содержит пар, находящийся под относительно высоким давлением, а первый резервуар содержит пар, находящийся под относительно низким давлением, (ii) отвод пара из второго резервуара, повышение давления пара и пропускание части пара, находящегося под давлением, в средство для использования пара, нагрев второй части пара, находящегося под давлением, и пропускание нагретого пара во второй резервуар, причем в конце этой операции оба резервуара – и первый, и второй содержат – пар, находящийся под относительно низким давлением, (iii) пропускание пара, вышедшего из последнего контейнера, заполненного сжиженным газом под давлением, в компрессор для повышения давления пара, пропускание первой части пара, находящегося под давлением, в средство для использования пара и нагрев второй части пара, находящегося под давлением, и пропускание нагретой второй части во второй резервуар, при этом в конце этой операции первый резервуар содержит пар, находящийся под относительно низким давлением, и второй резервуар содержит пар, находящийся под относительно высоким давлением, и (iv) введение находящегося под давлением сжиженного газа во второй резервуар и отвод пара из него, повышение давления пара, отведенного на этой операции, и разделение пара на первую часть и вторую часть, нагрев первой части пара и пропускание нагретой первой части в первый резервуар и пропускание второй части в средство для использования пара, при этом в конце этой операции первый резервуар содержит пар, находящийся под относительно высоким давлением, а второй резервуар содержит сжиженный газ под давлением. 24. Способ загрузки контейнеров сжиженным природным газом под давлением, заполненных паром, который богат метаном, при этом контейнеры заполняют последовательно один за другим, включающий следующие операции: (a) введение сжиженного газа в контейнеры, обеспечивающее вытеснение пара из них, (b) пропускание первой части пара, вышедшего из контейнера, в средство для использования пара, (c) пропускание второй части вышедшего пара во вспомогательные резервуары для хранения, включающие первый резервуар и второй резервуар, и пропускание по меньшей мере части второй части пара по меньшей мере из одного из вспомогательных резервуаров в средство для использования пара, (d) регулирование количества первой части пара, пропускаемой в средство для использования пара, относительно количества второй части пара, пропускаемой в средство для использования пара, обеспечивающее, по существу, постоянный уровень суммарного расхода пара, поступающего в средство для использования пара. РИСУНКИ
|
||||||||||||||||||||||||||

С (-170
HР (используемое на фиг.5F и 5G) означает, что в резервуаре 11 на фиг.5F и в резервуаре 10 на фиг.5G происходит повышение давления во время стадии, показанной на соответствующей фигуре, и аналогичным образом обозначение HP
Для специалиста в данной области техники, в частности для специалиста, использующего идеи данной заявки на патент, будет очевидным множество модификаций и вариантов конкретных процессов, описанных выше. Например, различные температуры и давления могут быть использованы в соответствии с изобретением в зависимости от конструкции системы в целом и состава сжиженного природного газа под давлением. Условия обратного рейса и операции, связанные с повторным сжижением, в значительной степени повлияют на температуру и давление в контейнерах. Дополнительное изменение массы, оставшейся на судне, будет иметь место в том случае, если пар в контейнерах служил в качестве топлива для судна. Кроме того, соединительные трубопроводы между контейнерами с сжиженным природным газом под давлением могут быть дополнены или реконфигурированы в зависимости от требований к конструкции в целом для достижения оптимальных требуемых условий теплообмена. Как было рассмотрено выше, конкретные раскрытые варианты осуществления и примеры не должны быть использованы для ограничения объема изобретения, который должен определяться нижеприведенными пунктами формулы изобретения и их эквивалентами.