Патент на изобретение №2233295
|
||||||||||||||||||||||||||
(54) 1,3-БИС-[2-(N-М-ФТОРБЕНЗИЛИДЕНАМИНО)ЭТИЛ]АДАМАНТАН В КАЧЕСТВЕ ПРОТИВОСТАРИТЕЛЯ ВУЛКАНИЗАЦИИ КАУЧУКОВ
(57) Реферат: Изобретение относится к новому химическому соединению, а именно к 1,3-бис-[2-(N-м-фторбензилиденамино)этил] адамантану формулы:
которое может быть использовано в качестве противостарителя вулканизации каучуков. Техническим результатом при использовании предлагаемого соединения является увеличение теплостойкости вулканизатов. 2 табл.
Изобретение относится к новому химическому соединению, а именно к 1,3-бис-[2-(N-м-фторбензилиден)этил]адамантану, который может быть использован в качестве противостарителя вулканизации каучуков.
Известен димер кротонилиден- -нафтиламина (амин), формулы
как противостаритель для резин (А.С. 696012, МКИ С 07 С 119/00, С 08 К 5/29, 1979).
Однако амин недостаточно эффективен, поскольку при его получении используют кротоновый альдегид, который в условиях синтеза при температуре 140 С склонен к полимеризации, а так же применение большого количества (до 10%) щавелевой кислоты или бензолсульфокислоты в качестве катализатора приводит к загрязнению продукта. Кроме того, при его использовании в качестве противостарителя для резин требуется дополнительное введение в резиновую смесь защитного воска (Цезерин-80).
Димер кротонилиден- -нафтиламина дает низкие показатели теплостойкости вулканизатов.
Известно также использование в качестве противостарителей вулканизации каучуков N-n-метоксифенил-м-феноксифенилметанимин (патент РФ №2117001, МКИ С 07 С 251/24, С 08 К 5/29, 1998), N-о-гидрокси-фенил-м-феноксифенилметанимин (патент РФ №2117000, МКИ С 07 С 251/24, С 08 К 5/29,1998), N-фенил-м-феноксифенилметанимин (патент РФ №2116999, МКИ С 07 С 251/24, С 08 К 5/29, 1998).
Однако использование данных веществ не обеспечивает достаточно эффективные показатели теплостойкости вулканизированных смесей.
Наиболее близким по структуре и по назначению является N,N’-n-изо-пропилфенил-n-фенилендиамин (диафен ФП) (Справочник резинщика. – М.: Химия, 1971. – 608 с).
Однако при использовании данного вещества в качестве противостарителя вулканизированные каучуки обладают невысокой стойкостью к тепловому старению, что приводит к необратимым изменениям их ценных технических свойств.
Задачей предлагаемого изобретения является получение нового противостарителя, который при введении в резиновую смесь обеспечивает получение резиновых изделий, стойких к тепловому старению.
Техническим результатом при использовании предлагаемых соединений является увеличение теплостойкости вулканизатов.
Технический результат достигается тем, что в качестве противостарителя вулканизации каучуков используется новое соединение 1,3-бис-[2-N-м-фторбензилиден)этил]адамантан общей формулы
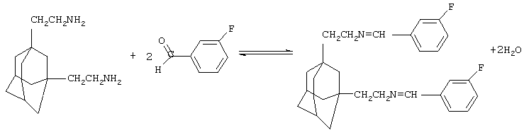
Предлагаемый нами новый 1,3-бис-[2-(N-м-фторбензилиден)этил]-адамантан (диимин) получают при взаимодействии 1,3-диаминоэтиладамантана с м-фторбензальдегидом.
Наличие двух систем сопряженных связей, а так же наличие в молекуле диимина двух подвижных атомов водорода увеличивает вероятность взаимодействия их с активным кислородсодержащим радикалом окисляющегося углеводорода каучука, которые образуются при длительном действии температуры и действии многократных деформаций, что увеличивает вероятность обрыва окислительной цепи, и, таким образом, снижает скорость окисления каучука, т.е. увеличивает теплостойкость вулканизатов. Присутствие в молекуле диимина адамантильного радикала повышает сопротивление резин разрушению при многократных деформациях. Наличие в структуре диимина-м-фторгруппы увеличивает растворимость соединения в резиновых смесях, а также снижает токсичность диимина.
1,3-бис-[2-N-м-фторбензилиден)этил] адамантан
1,3-Бис-[2-N-м-фторбензилиден)этил]адамантан получают по классической реакции конденсации альдегидов с аминами. 1,3-Диаминоэтиладамантан подвергают взаимодействию с ароматическим м-фторбензальдегидом в присутствии растворителя – этилового спирта при температуре 40-60 С в течение 1,5-2 часов.
Выпавший после охлаждения продукт отфильтровывают. Сточные воды и отходы в производстве отсутствуют. Диимин представляет собой кристаллическое вещество белого цвета, растворимый в хлороформе, ацетоне, бензоле. Продукты практически нетоксичны.
Изобретение иллюстрируется следующими примерами.
Пример 1. В четырехгорлый реактор, снабженный мешалкой, термометром и обратным холодильником, загружают 16.8 г (0.135 моль) м-фторбензальдегида и 15.0 г (0.0675 моль) 1,3-диаминоэтиладамантана в 50 мл этилового спирта. Реакционную массу выдерживают при температуре 40-60 С в течение 1,5-2 часов. Выпавший при охлаждении кристаллический продукт отфильтровывают. Выход диимина составляет 97%. Т. пл. 82-84 С.
Найдено,%: С 78.27, Н 6.95, N 6.63. Вычислено,%: С 77.42, Н 5.88, N 6.42. ИК-спектр. , см-1: 1576,1532 (Ar), 1648 (CH=N), 1312, 1108, 960 (Ad). ЯМР1Н (ДМСО), , м.д.: 6.67-7.49 м (8Н; Аr), 8.18 с (1Н, -CH=N), 1.91 т (2Н, Ad-СН2), 3.46 т (2Н, -CH2-N), 1.44 м (14Н, Ad).
Пример 2. 1,3-Бис-[2-(N-м-фторбензилиденамино)этил]адамантан испытывают в типовых резинах, состав которых указан в табл. 1. Диимин вводят вместо диафена ФП в количестве 2 массовых частей на 100 массовых частей каучука. Резины испытывают на стойкость к старению и износу при температуре 100 С (ГОСТ 9024-74, ГОСТ 270-75, ГОСТ 9026-74). Результаты испытаний представлены в табл. 2.
Как следует из представленных данных, 1,3-бис-[2-(N-м-фторбензилиденамино)этил]адамантан (диимин) является эффективным противостарителем, несколько превосходящим диафен ФП.
При применении 1,3-бис-[2-(N-м-фторбензилиденамино)этил]адамантана в качестве противостарителя резиновых смесей (пример 2) условная прочность при растяжении после старения в воздушной среде при 100 С в течение 24 часов изменяется на 74,5%, а относительное удлинение после старения в воздушной среде в тех же условиях улучшается на 37,3%. Изменение твердости после старения увеличивается на 28,6. Остальные показатели остаются на уровне прототипа.
Таким образом, вышеизложенные сведения свидетельствуют о выполнении при использовании заявленного изобретения следующей совокупности условий:
– средство, воплощающее заявленное изобретение при его использовании, предназначено для использования в качестве противостарителя резиновых смесей;
– для заявленного изобретения в том виде, как оно охарактеризовано в формуле изобретения, подтверждена возможность его осуществления с помощью описанных в заявке и известных до даты приоритета средств и методов;
– средство, воплощающее заявленное изобретение при его осуществлении, способно обеспечить достижение технического результата.
Следовательно, заявленное изобретение соответствует требованию “промышленная применимость”.
Формула изобретения 1,3-бис-[2-(N-м-фторбензилиденамино)этил]адамантан формулы
в качестве противостарителя вулканизации каучуков.
MM4A Досрочное прекращение действия патента Российской Федерации на изобретение из-за неуплаты в установленный срок пошлины за поддержание патента в силе
Дата прекращения действия патента: 05.11.2004
Извещение опубликовано: 20.10.2006 БИ: 29/2006
|
||||||||||||||||||||||||||

которое может быть использовано в качестве противостарителя вулканизации каучуков. Техническим результатом при использовании предлагаемого соединения является увеличение теплостойкости вулканизатов. 2 табл.
Изобретение относится к новому химическому соединению, а именно к 1,3-бис-[2-(N-м-фторбензилиден)этил]адамантану, который может быть использован в качестве противостарителя вулканизации каучуков.
Известен димер кротонилиден-
-нафтиламина (амин), формулы
как противостаритель для резин (А.С. 696012, МКИ С 07 С 119/00, С 08 К 5/29, 1979).
Однако амин недостаточно эффективен, поскольку при его получении используют кротоновый альдегид, который в условиях синтеза при температуре 140
С склонен к полимеризации, а так же применение большого количества (до 10%) щавелевой кислоты или бензолсульфокислоты в качестве катализатора приводит к загрязнению продукта. Кроме того, при его использовании в качестве противостарителя для резин требуется дополнительное введение в резиновую смесь защитного воска (Цезерин-80).
Димер кротонилиден-
Предлагаемый нами новый 1,3-бис-[2-(N-м-фторбензилиден)этил]-адамантан (диимин) получают при взаимодействии 1,3-диаминоэтиладамантана с м-фторбензальдегидом.
Наличие двух систем сопряженных связей, а так же наличие в молекуле диимина двух подвижных атомов водорода увеличивает вероятность взаимодействия их с активным кислородсодержащим радикалом окисляющегося углеводорода каучука, которые образуются при длительном действии температуры и действии многократных деформаций, что увеличивает вероятность обрыва окислительной цепи, и, таким образом, снижает скорость окисления каучука, т.е. увеличивает теплостойкость вулканизатов. Присутствие в молекуле диимина адамантильного радикала повышает сопротивление резин разрушению при многократных деформациях. Наличие в структуре диимина-м-фторгруппы увеличивает растворимость соединения в резиновых смесях, а также снижает токсичность диимина.
1,3-бис-[2-N-м-фторбензилиден)этил] адамантан
1,3-Бис-[2-N-м-фторбензилиден)этил]адамантан получают по классической реакции конденсации альдегидов с аминами. 1,3-Диаминоэтиладамантан подвергают взаимодействию с ароматическим м-фторбензальдегидом в присутствии растворителя – этилового спирта при температуре 40-60
Выпавший после охлаждения продукт отфильтровывают. Сточные воды и отходы в производстве отсутствуют. Диимин представляет собой кристаллическое вещество белого цвета, растворимый в хлороформе, ацетоне, бензоле. Продукты практически нетоксичны.
Изобретение иллюстрируется следующими примерами.
Пример 1. В четырехгорлый реактор, снабженный мешалкой, термометром и обратным холодильником, загружают 16.8 г (0.135 моль) м-фторбензальдегида и 15.0 г (0.0675 моль) 1,3-диаминоэтиладамантана в 50 мл этилового спирта. Реакционную массу выдерживают при температуре 40-60
, см-1: 1576,1532 (Ar), 1648 (CH=N), 1312, 1108, 960 (Ad). ЯМР1Н (ДМСО),
, м.д.: 6.67-7.49 м (8Н; Аr), 8.18 с (1Н, -CH=N), 1.91 т (2Н, Ad-СН2), 3.46 т (2Н, -CH2-N), 1.44 м (14Н, Ad).
Пример 2. 1,3-Бис-[2-(N-м-фторбензилиденамино)этил]адамантан испытывают в типовых резинах, состав которых указан в табл. 1. Диимин вводят вместо диафена ФП в количестве 2 массовых частей на 100 массовых частей каучука. Резины испытывают на стойкость к старению и износу при температуре 100
в качестве противостарителя вулканизации каучуков.