Патент на изобретение №2233288
|
||||||||||||||||||||||||||
(54) 17-ДЕЗОКСИ-1,3,5(10)-ЭСТРАТРИЕН, СПОСОБЫ ЛЕЧЕНИЯ, СПОСОБ СИНТЕЗА 7АЛЬФА-МЕТИЛЭСТРОНА, СОЕДИНЕНИЯ, ФАРМАЦЕВТИЧЕСКАЯ КОМПОЗИЦИЯ
(57) Реферат: Описываются новые антиэстрогенные соединения, которые применимы для лечения многочисленных нарушений, в частности эстрогензависимых нарушений. Предпочтительные соединения имеют 1,3,5-эстратриеновое ядро и замещены в положении С-17 или положении С-11 молекулярным фрагментом, который делает эти соединения эффективными в блокировании связывания эстрогена с его рецептором. Особенно предпочтительными соединениями являются 17-дезокси-1,3,5-эстратриены. Описаны также терапевтические способы и фармацевтические композиции. 12 c. и 9 з.п.ф-лы, 3 ил., 2 табл. Данное изобретение относится в общем к стероидным гормонам и более конкретно к новым стероидам, которые пригодны в качестве антиэстрогенных агентов. Дополнительно изобретение относится к способам лечения различных заболеваний с использованием этих новых соединений, в частности состояний или заболеваний, которые являются эстрогензависимыми, т.е. эстрогениндуцируемыми или эстрогенстимулируемыми, и к фармацевтическим композициям, содержащим одно или более из этих новых соединений. Рак молочной железы является одним из наиболее превалирующих типов рака, и эпидемиологические и клинические исследования показали, что приблизительно одна треть опухолей молочной железы является эстрогензависимой. Это означает, что для роста таких опухолей молочной железы как в предклимактерических, так и постклимактерических периодах у пациентов требуется эстроген. У женщин в постклимактерический период, у которых наиболее часто встречается рак молочной железы, концентрации эстрона и эстрадиола в опухоли молочной железы являются значительно более высокими, чем уровни эстрогена в крови. Хотя удерживание эстрогенов в опухолях молочной железы высокоаффинными связывающими белками вносит вклад в уровень эстрогенов в опухолях, концентрации эстрогена в молочной железе являются более высокими, чем уровни в плазме у пациентов с раком молочной железы, независимо от того, являются ли их опухоли положительными в отношении рецептора эстрогена (ER+) или отрицательными (ER-). В настоящее время известно, что образование in situ эстрогена из биосинтетических предшественников эстрогена в опухолях вносит основной вклад в содержание эстрогена опухолей молочной железы. Многочисленные другие эстрогензависимые состояния, нарушения и заболевания были также идентифицированы, в том числе, но не ограничивающиеся ими, рак яичников, матки и поджелудочной железы, галакторея, синдром МакКуна-Олбрайта, доброкачественное заболевание молочной железы и эндометриоз. Эстрогенные эффекты опосредованы специфическими рецепторами, локализованными в ядре чувствительных к эстрогену клеток. Этот рецептор содержит гормонсвязывающий домен для связывания эстрогена, домены активации транскрипции и ДНК-связывающий домен. Связывание комплекса рецептор-гормон с отвечающими на эстроген элементами (ERE) в ДНК генов-мишеней является необходимым для регуляции транскрипции генов. Лекарственные средства, которые конкурентно блокируют связывание эстрогена с его рецептором, называемые антиэстрогенами, способны ингибировать стимулирующие эффекты этого гормона на пролиферацию клеток и, следовательно, являются полезными в клиническом лечении рака молочной железы. Клинически положительные в отношении рецептора эстрогена опухоли отвечают с более высокой частотой на антиэстрогены, чем опухоли, не имеющие значительного уровня рецепторов. Антиэстрогенные лекарственные средства делятся на два химических класса: нестероидный и стероидный. Нестероидный антиэстроген тамоксифен (Nolvadex®) использовали в качестве вспомогательного лечения для рака молочной железы после химиотерапии или радиационной терапии. Однако сам тамоксифен проявляет эстрогенную активность в репродуктивной ткани, приводя к повышенному риску рака эндометрия и возможному рецидиву рака молочной железы после долгосрочной терапии. Кроме того, тамоксифен ведет себя как частичный агонист в матке. До настоящего времени лишь небольшая работа была проделана в развитии селективных конкурентных антагонистов эстрогена. Были синтезированы несколько стероидных антиэстрогенов, которые не обладают эстрогенной активностью. Среди них находятся ICI 164 384, ICI 182 780 и RU 58668. См., например, Wakeling et al. J. Steroid Biochem. 31:645-653 (1988), который относится к ICI 164 384; Wakeling et al. Cancer Res. 51:3867-3873 (1991), и Wakeling et al. J. Steroid Biochem. Molec. Biol. 37:771-774 (1990), которые относятся в ICI 182 780; и Van de Velde et al. Ann. N.Y. Acad. Sci. 761:164-175 (1995), Van de Velde et al., Pathol. Biol. 42:30 (1994) и Nique et al., Drugs Future 20:362-366 (1995), которые относятся к RU 58668. К сожалению, эти лекарственные средства не являются активными при пероральном введении и должны вводиться внутримышечно в высоких дозах. Кроме того, изготовление этих лекарственных средств является трудоемким, требующим сложного 14-16-стадийного синтеза с очень низкими общими выходами. Сильнодействующие антиэстрогены, которые являются активными при пероральном введении, до сих пор не были разработаны или запущены в серийное производство, хотя нестероидный смешанный агонист/антагонист “ралоксифен” является в настоящее время доступным. Таким образом, данное изобретение относится к новым стероидным агентам, которые являются чрезвычайно эффективными антиэстрогенными агентами, т.е. являются сильными антагонистами эстрогена в ткани молочной железы и/или матки. Таким образом, данное изобретение представляет собой значительный прогресс в данной области, в частности, в лечении рака молочной железы и других заболеваний и состояний, которые усиливаются присутствием эстрогена. Важным является то, что ряд соединений данного изобретения, которые являются сильнодействующими, активными при пероральном введении агентами, обнаруживают тканеселективную фармакологию. То есть, эти соединения применимы в качестве тканеселективных агонистов/антагонистов эстрогена, также называемых “селективными модуляторами рецептора эстрогена” или “SERM”. SERM производят благоприятные эстрогенподобные эффекты в некоторых отношениях, что важно, на метаболизме костей и липидов, хотя тем не менее действуют в качестве антагонистов эстрогена в молочной железе и/или матке. Профиль SERM может отличаться от профиля чистого эстрогена, такого как 17 -эстрадиол, который ведет себя как агонист эстрогена во всех тканях, и от профиля чистого антиэстрогена, который проявляет профиль антагониста эстрогена во всех типах тканей.
Следующие ссылки относятся к одному или нескольким аспектам данного изобретения и как таковые могут представлять интерес в качестве предпосылок данного изобретения для специалистов в данной области: патент США №2840581, Hogg et al., в котором описаны производные эстрадиола, замещенные в положении 17=СН-СН2OН и имеющие эстрадиол-подобную активность; патент США №3536703, Colton et al., в котором описаны антимикробные производные эстрадиола, замещенные в положении С-3 метоксигруппой и в положении С-17 различными группами, в том числе =C-CH2NR+3(где R обозначает водород или низший алкил или где две группы R образуют циклическую структуру); патент США №3716530, Krubiner et al., в котором описаны стероиды, содержащие различные заместители в положении С-17, в том числе производное эстрадиола, замещенные в положении С-17=СН-СН2Х, где Х обозначает галоген (применимое, как утверждается, в качестве промежуточного продукта в синтезе соединений, относящихся к гестагенным средствам, и противогрибковых агентов); Blickenstaff et al.. Steroids 46(4,5): 889-902 (1985), который относится к производным эстрадиола, имеющим заместители в положении 16, связанные со стероидным ядром через двойную связь, синтезированным как часть поиска новых противораковых агентов; патент Франции №1453210, в котором описаны аналоги эстрадиола, замещенные в положении 17 -СН(СН3)-О-(СН2)2NR’R”, где R’ и R” могут быть алкилом или аралкилом; французский особый патент на лекарственное вещество №М3031, который относится к синтезу 3-гидрокси-20 -диметиламиноэтокси-19-норпрегна-1,3,5(10)-триена; и Qian et al., J. Steroid Biochem. 29 (6):657-664 (1988), где оценивается корреляция между замещением в положении 17 эстрадиола и возможной антиэстрогенной активностью и описаны аналоги эстрадиола, замещенные в положении 17 -О(СН2)2-NR1R2, где R1 и R2 обозначают метил, этил, циклопентил, циклогексил или тетрагидропиранил (ни одно из этих соединений, как было обнаружено, не обладало антиэстрогенной активностью).
Кроме того, нижеследующие ссылки обсуждают тканеселективные антиэстрогены, или SERM, и как таковые они могут также представлять интерес в связи с данным изобретением:
Grese et al., (1998), Synthesis and Pharmacology of Conformationally Restricted Raloxifen Analogues: Highly Potent Selective Estrogen Receptor Modulators, J. Med. Chem. 41:1272-1283; Bryant et al., (1998), Selective Estrogen Receptor Modulators: An alternative to Hormone Replacement Therapy, J. Soc. for Exper. Biol. and Medicine, pp. 45-52; Ke et al., (1998), Effects of CP-336156, a New, Nonsteroidal Estrogen Agonist/Antagonist, on Bone, Serum Cholesterol, Uterus and Body Composition in Rat Models, Endocrinology 139 (4):2068-2076; и Kauffman et al., (1997), Hypocholesterolemic Activity of Raloxifen (LY139481): Pharmacological Characterization as a Selective Estrogen Receptor Modulator, J. Pharmacol. Experimental Therap. 280(1):146-153. Можно сослаться на патенты США с номерами 5447941, выданный Zuckerman, 5 510 370, выданный
Hock, 5552416, выданный Keohane, 5578613, выданный Bryant et al., 5578614, выданный Bryant et al., 5593987, выданный Cullinan et al., 5610167, выданный Cullinan, 5641790, выданный Draper, 5646137, выданный Black et al., 5663184, выданный Bryant et al., и 5719165, выданный Dodge, каждый из которых относится к различным применениям тканеселективных антиэстрогенов, в частности, ралоксифена.
Однако ни в одной из прежних публикаций, которые известны авторам данного изобретения, не описаны соединения, раскрываемые здесь. Насколько известно заявителям, соединения и способы данного изобретения являются ранее неизвестными и совершенно не предполагаемыми прежним уровнем техники.
Таким образом, первичная цель данного изобретения направлена на вышеупомянутую потребность в данной области путем обеспечения новых стероидных соединений, применимых в качестве антиэстрогенных агентов.
Другой целью данного изобретения является обеспечение новых соединений, которые являются антиэстрогенными и обладают пониженной эстрогенной активностью, как это может быть определено по степени ингибирования и степени стимуляции, соответственно, индуцируемой эстрадиолом активности щелочной фосфатазы в клетках Ишикава человека.
Дополнительной целью данного изобретения является обеспечение таких соединений, которые по существу не имеют эстрогенной активности, как может быть определено вышеупомянутым тестом.
Еще одной целью данного изобретения является обеспечение таких соединений в форме стероидных активных агентов, имеющих ядро 1,3,5-эстратриена, которые предпочтительно являются “17-дезокси”.
Еще одной целью данного изобретения является обеспечение способа для лечения индивидуума с нарушением, которое является эстрогензависимым, т.е. эстрогениндуцируемым или эстрогенстимулируемым состоянием или заболеванием, путем введения этому индивидууму терапевтически эффективного количества антиэстрогенного соединения, раскрытого здесь, или его фармацевтически приемлемой соли.
Следующей целью данного изобретения является обеспечение фармацевтической композиции для лечения индивидуума с нарушением, которое является эстрогензависимым, причем эта композиция содержит терапевтически эффективное количество нового соединения, раскрытого здесь, или его фармацевтически приемлемых соли или сложного эфира.
Дополнительные цели, преимущества и новые признаки данного изобретения будут представлены частично в описании, которое следует далее, и частично будут очевидными для специалистов в данной области при рассмотрении нижеследующего описания или могут стать понятными при применении на практике данного изобретения.
В одном варианте данное изобретение относится к новым соединениям, имеющим антиэстрогенную активность и пониженную эстрогенную активность, как определено по степени ингибирования и степени стимуляции, соответственно, эстрадиолиндуцируемой щелочной фосфатазы в клетках Ишикава человека.
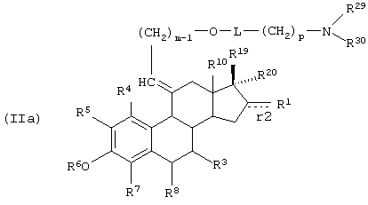
Предпочтительные соединения данного изобретения имеют ядро 1,3,5-эстратриена и замещены либо в положении С-17, либо в положении С-11 молекулярным фрагментом, который делает эти соединения эффективными в конкурентном блокировании связывания эстрогена с его рецептором. Наиболее предпочтительными соединениями из них являются “17-дезокси”, т.е. соединения, в которых нет атома кислорода, связанного непосредственно с С-17. Такие соединения здесь описываются, например, общими структурами формулы (I) и (III).
Примерами предпочтительных антиэстрогенных соединений данного изобретения являются соединения формулы (I), формулы (II) и формулы (III):
В формуле (I),
R выбран из группы, состоящей из С и N, и, когда R обозначает С, находится в Е- или Z-конфигурации;
r1 и r2 обозначают необязательно двойные связи;
Х обозначает гидрокарбил, обычно включающий в себя по меньшей мере один атом кислорода, атом серы и/или атом азота в форме -О-, -S-, -NH- или-N(алкил)-связи и необязательно содержащий дополнительные заместители и функциональные группы, такие как гидроксил, оксо, алкокси, амино, алкилзамещенный амино, галоген, арил, гетероарил, гетроцикло-алкил или т.п;
X’ обозначает водород или гидрокарбил, обычно включающий в себя по меньшей мере один атом кислорода, атом серы и/или атом азота в форме -О-, -S-, -NH- или -N(алкил)-связи и, как и для X, необязательно содержащий дополнительные заместители и функциональные группы, или
Х и Х’ могут быть связаны с образованием гетероциклической структуры, содержащей один-четыре, обычно два-три, гетероатома, выбранных из группы, состоящей из азота, кислорода или серы;
когда r2 присутствует, R1 обозначает CR11R12, где R11 и R12 обозначают водород или низший алкил, и в случае, когда r2 отсутствует, R1 обозначает водород, алкил или галоген;
R2 выбирают из группы, состоящей из водорода, гидроксила, алкила, алкенила, арила, алкарила, -ONO2, -OR13 и -SR13, где R13 обозначает алкил, ацил или арил;
R3 выбирают из группы, состоящей из водорода, гидроксила, галогена, алкила, алкенила, арила, алкарила, циано,
-OR13 и -SR13, где R13 имеет указанные выше значения;
R4 обозначает водород или низший алкил;
R5 выбирают из группы, состоящей из водорода, низшего алкокси, галогена, циано, -СН2СН=СН2, -СНО, -NR14R15 и
-(СН2)NR14R15, где R14 и R15 могут быть одинаковыми или различными и обозначают водород или алкил, или, вместе, образуют пяти- или шестичленную циклоалкильную группу, необязательно содержащую дополнительный гетероатом азота;
R6 выбирают из группы, состоящей из водорода, алкила, ацила, -С(O)-арила, -С(О)-алкила и -SO2NH2;
R7 выбирают из группы, состоящей из водорода, галогена, -NO2, -СНО, -СН2СН=СН2, -NR16R17 и -CH2NR16R17, где R16 и R17 могут быть одинаковыми или различными и обозначают водород, алкил или ацетил;
R8 выбирают из группы, состоящей из водорода, гидроксила, -OR18 и -SR18, где R16 обозначает алкил, ацил или арил;
R4 обозначает водород или алкил, при условии, что, когда R является N, R9 отсутствует; и
R10 обозначает метил или этил.
В другом варианте данное изобретение относится к новым соединениям, имеющим структуру формулы (II)
где r1, r2, R, R1, R3, R4, R5, R6, R7, R8, R9, R10, X и X’ имеют указанные выше значения; и
R13 и R20 независимо выбирают из группы, состоящей из водорода, гидроксила, алкила, алкенила, алкинила, алкокси и галогена, или R19 и R20 вместе образуют =O.
В дополнительном варианте данное изобретение относится к новым соединениям, имеющим структуру формулы (III)
где r2, R1-R8 и R10 имеют указанные выше значения;
m обозначает целое число в диапазоне от 0 до 6 включительно;
n равно 0 или 1;
R21 обозначает гидрокарбил, включающий в себя по меньшей мере один атом кислорода, атом серы и/или атом азота в форме -О-, -S-, -NH- или -N (алкил)-связи и необязательно включающий в себя дополнительные заместители и функциональные группы, такие как гидроксил, оксо, алкокси, амино, алкилзамещенный амино, галоген, арил, гетероарил, гетероциклоалкил или т.п;
R22 обозначает водород или алкил или, когда m равно О, R21 и R22 могут быть связаны с образованием пяти- или шестичленной циклической структуры, которая может быть или может не быть ароматической, содержащей 0-3 гетероатома, выбранных из группы, состоящей из N, О и S, и замещенной 0-4 заместителями, выбранными из группы, состоящей из алкила, алкенила, алкинила, алкокси, -С(О)-алкила, -С(О)-O-алкила, -О-(СО)-алкила, -С(O)-арила, гидроксила, карбоксила, галогена, нитрила, нитрата и фторированного алкила;
R23 обозначает водород или низший алкил; и
R24 и R25 обозначают оба водород или оба метилен и связаны друг с другом одной ковалентной связью.
Подразумевается, что каждая из формул (I), (II) и (III) включает в себя фармацевтически приемлемые соли, эфиры, амиды, пролекарства и другие аналоги и производные показанных соединений.
В другом варианте данное изобретение относится к фармацевтическим композициям, содержащим, в комбинации, фармацевтически приемлемый носитель и антиэстрогенное соединение данного изобретения, т.е. агент, который является антиэстрогенным, но имеет сниженную эстрогенную активность, как может быть определено по степени ингибирования и степени стимуляции соответственно эстрадиол-индуцируемой щелочной фосфатазы в клетках Ишикава человека. Предпочтительными подобными соединениями являются стероиды, имеющие ядро 1,3,5-эстратриена, которое является 17-дезокси, и особенно предпочтительные соединения имеют боковую цепь – (СН2)m-CHR21R22 в положении 17, как показано в структурной формуле (III), причем m, R21 и R22 имеют указанные выше значения. Обычно эти фармацевтические композиции содержат в качестве активного агента соединение, определенное структурными формулами (I), (II) или (III).
В дополнительном варианте данное изобретение относится к способам применения этих новых соединений в качестве антиэстрогенных агентов. Новые антиэстрогенные соединения находят применение в лечении индивидуумов с нарушениями, которые являются эстрогензависимыми, т.е. состояний или заболеваний, которые являются эстрогениндуцируемыми или эстрогенстимулируемыми. Важные примеры подобного применения включают в себя лечение раковых опухолей молочной железы, матки, яичников и поджелудочной железы. Эти соединения могут быть также применены в способах лечения некоторых состояний и нарушений, которые не являются эстрогензависимыми, например независимых от эстрогена раковых заболеваний и, в частности, заболеваний, которые являются резистентными ко многим лекарственным средствам.
Еще в одном варианте данное изобретение относится к способам применения соединений данного изобретения в качестве тканеселективных антиэстрогенных агентов, т.е. в качестве “SERM”, для лечения или предупреждения нарушений молочной железы, для увеличения костной массы и/или ингибирования потери костной массы, для снижения холестерина в сыворотке и т.п.
Фиг.1 иллюстрирует в форме графика действие двух характерных соединений данного изобретения на трабекулярную плотность кости в подвергнутых овариэктомии крысах, оцененное в примере 42 данного изобретения.
Фиг.2 иллюстрирует в форме графика действие двух характерных соединений данного изобретения на уровни пиридинолина и дезоксипиридинолина в моче в подвергнутых овариэктомии крысах, оцененное в примере 42 данного изобретения.
Фиг.3 иллюстрирует в форме графика действие двух характерных соединений данного изобретения на уровни в сыворотке щелочной фосфатазы в подвергнутых овариэктомии крысах, оцененное в примере 42 данного изобретения.
Определения и номенклатура:
Перед раскрытием и описанием соединений, композиций и способов данного изобретения следует отметить, что данное изобретение не ограничивается конкретными реагентами или условиями реакций/ конкретными фармацевтическими носителями или конкретными схемами приема, которые могут, конечно, варьироваться. Также должно быть понятно, что используемая в описании терминология предназначена только для цели описания конкретных вариантов и не предназначена для ограничения.
Следует отметить, что, в применении в описании и прилагаемой формуле изобретения, единственные формы (артикли “a”, “an” и “the”) включают в себя и множественные формы, если контекст не дает ясно других указаний. Так, например, ссылка на “антиэстрогенный агент” включает в себя смеси антиэстрогенных агентов, ссылка на “фармацевтический носитель” включает в себя смеси двух или более таких носителей, и т.п.
В этом описании и в формуле изобретения, которые следуют далее, будет приведен ряд терминов, которые должны быть определены как имеющие следующие значения:
Термин “алкил”, используемый здесь, относится к разветвленной или неразветвленной углеводородной группе из 1-24 атомов углерода, такой как метил, этил, н-пропил, изо-пропил, н-бутил, изобутил, трет-бутил, октил, децил, тетра-децил, гексадецил, эйкозил, тетракозил и т.п., а также к циклоалкильным группам, таким как циклопентил, циклогексил и т.п. Термин “низший алкил” обозначает алкильную группу из одного-шести атомов углерода, предпочтительно одного-четырех атомов углерода. Термин “циклоалкил” в применении здесь относится к циклическому углеводороду из 3-8 атомов углерода, такому как циклопропил, циклобутил, циклопентил, циклогексил, циклогептил и циклооктил.
Термин “алкенил”, используемый здесь, относится к разветвленной или неразветвленной углеводородной группе из 2-24 атомов углерода, содержащей, по меньшей мере, одну двойную связь, такой как этенил, н-пропенил, изопропенил, н-бутенил, изобутенил, октенил, деценил, тетрадеценил, гексадеценил, эйкозенил, тетракозенил и т.п. Предпочтительные здесь алкенильные группы содержит 2-12 атомов углерода. Термин “низший алкенил” подразумевает алкенильную группу из двух-шести атомов углерода, предпочтительно двух-четырех атомов углерода. Термин “циклоалкенил” подразумевает циклическую алкенильную группу из трех-восьми, предпочтительно пяти-шести атомов углерода.
Термин “алкинил”, применяемый здесь, относится к разветвленной или неразветвленной углеводородной группе из 2-24 атомов углерода, содержащей, по меньшей мере, одну тройную связь, такой как этинил, н-пропинил, изопропинил, н-бутинил, изобутинил, октинил, децинил и т.п. Предпочтительные здесь алкинильные группы содержит 2-12 атомов углерода. Термин “низший алкинил” подразумевает алкинильную группу из двух-шести атомов углерода, предпочтительно двух-четырех атомов углерода.
Термин “алкилен”, используемый здесь, относится к дифункциональной разветвленной или неразветвленной насыщенной углеводородной группе из 1-24 атомов углерода, такой как метилен, этилен, н-пропилен, н-бутилен, н-гексилен, децилен, тетрадецилен, гексадецилен и т.п. Термин “низший алкилен” относится к алкиленовой группе из одного-шести атомов углерода, предпочтительно одного-четырех атомов углерода.
Термин “алкенилен”, применяемый здесь, относится к дифункциональной разветвленной или неразветвленной углеводородной группе из 2-24 атомов углерода, содержащей по меньшей мере одну двойную связь, такой как, этенилен, н-пропенилен, н-бутенилен, н-гексенилен и т.п. Термин “низший алкенилен” относится к алкениленовой группе из двух-шести атомов углерода, предпочтительно двух-четырех атомов углерода.
Термин “алкокси”, применяемый здесь, подразумевает алкильную группу, связанную через одну концевую простую эфирную связь; т.е. группа “алкокси” может быть определена как -O-алкил, где алкил имеет укзанное выше значение. Группа “низший алкокси” подразумевает группу алкокси, содержащую один-шесть, более предпочтительно один четыре атома углерода.
Термин “ацил” используется в его общепринятом смысле для обозначения заместителя алкил-С-(О)-, где алкил имеет указанное выше значение. Термин “низший ацил” относится к ацильной группе, в которой алкильная часть этой группы содержит один-шесть, более предпочтительно один четыре атома углерода.
Термин “арил”, используемый здесь, и, если нет других указаний, относится к ароматическим группам, содержащим 1-3 ароматических кольца, конденсированных или связанных, и либо незамещенным, либо замещенным 1 или несколькими заместителями, обычно выбранными из группы, состоящей из низшего алкила, низшего алкокси, галогена и т.п. Предпочтительные арильные заместители содержат 1 ароматическое кольцо или 2 конденсированных или связанных ароматических кольца. Термин “арилен” относится к дифункциональным ароматическим разновидностям, содержащим 1-3 ароматических кольца, замещенных 1 или несколькими заместителями, описанными выше. Предпочтительные ариленовые заместители содержат одно ароматическое кольцо (например, фенилен) или 2 конденсированных или связанных ароматических кольца (например, бифенилен).
Термин “аралкил” относится к арильной группе с алкильным заместителем. Термин “аралкилен” относится к ариленовой группе с алкильным заместителем.
Термин “алкарил” относится к алкильной группе, которая имеет арильный заместитель. Термин “алкарилен” относится к алкиленовой группе, которая имеет арильный заместитель.
Термин “гетероциклический” относится к пяти- или шестичленной моноциклической структуре или к восьми-одиннадцатичленному бициклическому гетероциклу. “Гетероциклические” заместители могут быть или могут не быть ароматическими, т.е. они могут быть либо гетероарилом, либо гете-роциклоалкилом. Каждый гетероцикл состоит из атомов углерода и одного-трех, обычно одного или двух, гетероатомов, выбранных из группы, состоящей из азота, кислорода и серы, обычно азота и/или кислорода.
Термин “гало” или “галоген” используется здесь в общепринятом смысле для обозначения заместителя хлора, брома, фтора или йода. Термины “галогеналкил”, “галогеналкенил” или “галогеналкинил” (или “галогенированный алкил”, “галогенированный алкенил” или “галогенированный алкинил”) относятся к алкильной, алкенильной или алкинильной группе, соответственно, в которой, по меньшей мере, один из атомов водорода был заменен атомом галогена.
Термин “гидрокарбил” используется в его общепринятом смысле для обозначения углеводородной группы, содержащей углерод и водород, и может быть алифатическим, алициклическим или ароматическим или может содержать комбинацию алифатических, алициклических и/или ароматических частей молекулы. Алифатический и алициклический гидрокарбил могут быть насыщенными или они могут содержать одну или более ненасыщенных связей, обычно двойных связей. Гидрокарбильные заместители обычно содержат 1-24 атомов углерода, обычно более 1-12 атомов углерода, и могут быть замещены различными заместителями и функциональными группами или могут быть модифицированы таким образом, что они содержат простую эфирную, тиоэфирную связи, -NH-, -NR-, -С(О)-, -С(О)-О- и/или другие связи.
“Необязательный” или “необязательно” означают, что описанное далее обстоятельство может иметь место или не иметь места, так что это описание включает в себя случаи, в которых данное обстоятельство имеет место, и случаи, в которых оно не имеет места. Например, фраза “необязательно замещенный” означает, что заместитель, не являющийся водородом, может присутствовать или отсутствовать, и, таким образом, описание включает в себя структуры, в которых неводородный заместитель присутствует, и структуры, в которых неводородный заместитель отсутствует. Подобным образом, фраза “необязательно присутствующая” двойная связь, указанная пунктирной линией (—-) в химической формуле, означает, что двойная связь может присутствовать или отсутствовать, и, если она отсутствует, то указывается простая связь.
Термины “лечение” и “обработка”, используемые здесь, относятся к уменьшению тяжести и/или частоты симптомов, устранению симптомов и/или лежащей в их основе причины, предупреждению появления симптомов и/или лежащей в их основе причины и улучшению или излечению повреждения. Так, например, данный способ “лечения” эстрогензависимого нарушения, как используемый здесь термин, включает в себя как предупреждение этого нарушения, так и лечение нарушения в индивидууме с клиническими симптомами.
Термины “эффективное количество” или “фармацевтически эффективное количество” или “эффективное антиэстрогенное количество” агента, раскрытое данным изобретением, означают нетоксичное, но достаточное количество этого агента, необходимого для обеспечения желаемого профилактического или терапевтического эффекта. Как будет показано ниже, точное требующееся количество будет варьироваться от субъекта к субъекту в зависимости от вида, возраста и общего состояния этого субъекта, тяжести состояния, подлежащего лечению, и конкретного антиэстрогенного агента и способа введения и т.п.Таким образом, невозможно дать определение точного “эффективного количества”. Однако подходящее “эффективное” количество в каждом индивидуальном случае может быть определено специалистом в данной области с использованием лишь рутинного экспериментирования.
Под “фармацевтически приемлемым носителем” подразумевают материал, который не является биологически или иным образом нежелательным, т.е. этот материал может быть введен в индивидуум вместе с выбранным антиэстрогенным агентом без индуцирования каких-либо нежелательных биологических эффектов или взаимодействия неблагоприятным образом с любым из других компонентов фармацевтической композиции, в которой он содержится. Подобным образом, “фармацевтически приемлемая” соль или “фармацевтически приемлемый” сложный эфир нового соединения в применении здесь является солью или сложным эфиром, которые не являются биологически или иным образом нежелательными.
Под “антиэстрогенным” в применении здесь подразумевают соединение, которое имеет тенденцию ингибирования in situ продуцирование эстрогенов, таких как эстрадиол, после введения их индивидууму-млекопитающему. Не претендуя на теоретическое объяснение, авторы изобретения считают, что соединения данного изобретения являются антиэстрогенными по характеру благодаря конкурентному блокированию связывания эстрогена с его рецептором, в частности, в ткани молочной железы и матки. Антиэстрогенная активность может быть оценена по ингибированию эстрадиолиндуцированной активности щелочной фосфатазы в клетках Ишикава человека, например, с использованием процедур, описанных в примере 40 в описании.
Обычно новые антиэстрогенные агенты ингибируют стимулируемую 10-9 M эстрадиолом активность щелочной фосфатазы по меньшей мере на 30%, предпочтительно, по меньшей мере, приблизительно на 45%, более предпочтительно, по меньшей мере, приблизительно на 75% и наиболее предпочтительно, по меньшей мере, приблизительно на 90%.
Под термином “по существу не имеет эстрогенной активности”, применяемый здесь, имеют в виду соединение, которое имеет, приблизительно менее 5%, предпочтительно приблизительно менее 2% эстрогенной активности эстрадиола (как может быть определено, например, с использованием процедур, описанных в примере 40). Термин “уменьшенная эстрогенная активность” относится к соединению, которое имеет 60% или менее эстрогенной активности эстрадиола.
Термин “тканеселективный”, используемый здесь, относится к соединениям данного изобретения, которые действуют как SERM, т.е. они являются антиэстрогенными в репродуктивной ткани, в частности в ткани молочной железы и/или матки, имеют уменьшенную эстрогеннную активность или вообще не имеют эстрогенной активности в репродуктивной ткани, но производят благоприятные эстрогенподобные эффекты в других отношениях, в том числе, но не только, в отношении костного и липидного метаболизма. То-есть, такие соединения действуют как агонисты эстрогена на метаболизм костной ткани и холестерина.
В описании местоположения групп и заместителей будут использоваться приведенные выше системы нумерации, чтобы согласовать нумерацию циклопентанфенантренового ядра с конвенцией, используемой ИЮПАК или Chemical Abstracts Service. Термин “стероид” в применении здесь обозначает соединения, имеющие вышеупомянутое циклопентанфенантреновое ядро.
В этих структурах использование сплошных и пунктирных линий для обозначения конкретной конформации групп также соответствует конвенции обозначения стероидов ИЮПАК. Символы “ ” и “ ” указывают специфическую стереохимическую конфигурацию заместителя при асимметричном атоме углерода в химической структуре, как нарисовано. Так, “ “, обозначаемая прерывистой линией, указывает, что рассматриваемая группа находится ниже главной плоскости нарисованной молекулы, а “ “, обозначенная сплошной линией, указывает, что эта группа в рассматриваемом положении находится выше главной плоскости этой молекулы, как нарисовано.
Кроме того, пяти- и шестичленные кольца стероидной молекулы часто обозначаются А, В, С и D, как показано.
Новые соединения:
Новые соединения, являются антиэстрогенными агентами, которые имеют как антиэстрогенную активность, так и уменьшенную эстрогенную активность, как может быть определено по степени ингибирования и степени стимуляции соответственно эстрадиолиндуцированной активности щелочной фосфатазы в клетках Ишикава человека. Соединения данного изобретения имеют антиэстрогенную активность, эффективную для ингибирования стимулированной 10-9 М эстрадиолом активности щелочной фосфатазы по меньшей мере на 30%, и эстрогенную активность менее приблизительно 5% в отношении стимуляции активности щелочной фосфатазы 10-9 М эстрадиолом. Предпочтительные соединения данного изобретения имеют 1,3,5-эстратриеновые ядра и замещены либо в положении С-17, либо в положении С-11 молекулярной группой, которая делает эти соединения эффективными в конкурентном блокировании связывания эстрогена с его рецепторами. Из них более предпочтительными соединениями являются 17-замещенные, “17-дезокси”-соединения, т.е. не имеющие атома кислорода, связанного непосредственно с положением С-17. Особенно предпочтительными соединениями являются 17-дезокси-1,3,5-эстратриены, которые проявляют тканеспецифическую фармакологию, т.е. соединения, которые действуют как SERM благодаря проявлению антагонизма в отношении эстрогена в репродуктивной ткани, но производят благоприятные эстрогенподобные эффекты в других местах в теле, в частности, в отношении метаболизма костной ткани и липидного метаболизма.
Формула (I) представляет первую группу соединений, являющихся примерами соединений данного изобретения:
в которой r1 и r2 обозначают необязательно двойные связи и R выбран из группы, состоящей из С и N, и, когда R обозначает С, находится либо в Е-, либо в Z-конфигурации. В предпочтительных соединениях здесь R обозначает С.
Другие заместители, X, X’ и R1-R10, определяются следующим образом.
Х обозначает гидрокарбил, обычно и предпочтительно включающий в себя, по меньшей мере, один атом кислорода, атом серы и/или атом азота в форме -О-, -S-, -NH- или -N(алкил)-связи, предпочтительно -N(низший алкил)-связи, и необязательно содержащий дополнительные заместители и функциональные группы, такие как гидроксил, оксо, алкокси, амино, алкилзамещенный амино, галоген, арил, гетероарил, гетероциклоалкил или т.п. Когда присутствует r1, так что эта связь с Х осуществляется через двойную связь, предпочтительными Х-частями молекулы являются CH-Y и N-Y. Когда r1 отсутствует, так что связь с Х осуществляется через простую связь, предпочтительные Х-части молекулы представлены -Z-Y, -СН-Y1Y2 или -NR26Y, где Y, Y1 и Y2 имеют определенные выше значения, Z является кислородом или серой и R26 является водородом или низшим алкилом. В предпочтительных структурах, описанных здесь, r1 отсутствует.
X’ обозначает водород или гидрокарбил, причем, если он обозначает гидрокарбил, то обычно и предпочтительно он включает в себя, по меньшей мере, один атом кислорода, атом серы и/или атом азота в форме -О-, -S-, -NH- или -N(алкил)-связи и необязательно содержит дополнительные заместители и функциональные группы, как описано выше в отношении X. Х и X’ могут быть одинаковыми, или они могут быть различными. Альтернативно, Х и X’ могут быть связаны с образованием гетероциклического кольца, обычно шести-восьмичленного гетероциклоалкильного кольца, содержащего один-три, предпочтительно два-три, гетероатома, выбранных из группы, состоящей из азота, кислорода и серы, причем предпочтительны азот и кислород. Гетероциклоалкильная группа может, например, иметь структуру -Z1-(CH2)n1-N(R27)-(СН2)n2-Z2-, где n1 и n2 равны 1 или 2 и являются предпочтительно, хотя необязательно, одинаковыми, R27 обозначает водород или низший алкил и Z1 и Z2 независимо обозначают кислород или серу.
Y обозначает водород, – (R28)n3-JR29R30 или – (R31)n4-Z3-(R32)n5-[L-(R33)n6]n7-[Z4-(R34)n8]n9-JR29R30, где R28, R31, R32, R33 и R34 обозначают алкилен или алкенилен, обычно алкилен, предпочтительно низший алкилен, и Z3 и Z4 независимо обозначают кислород или серу. L обозначает -С(О)-, О, S или -NR35-, где R35 обозначает водород или низший алкил, или L может быть пяти- или шестичленной циклической структурой, необязательно содержащей 1-4 гетероатома, выбранных из группы, состоящей из N, О и S и их комбинаций, и необязательно замещенной одним или более заместителями, выбранными из группы, состоящей из алкила, алкенила, алкокси, галогенированного алкила, алкенила и алкокси (предпочтительно низшего алкила, низшего алкенила, низшего алкокси, галогенированного низшего алкила, галогенированного низшего алкенила и галогенированного низшего алкокси), карбоксила, гидрокси, амино, нитро, циано, галогена, галогенированного алкила, алкенила и алкокси, и L может, необязательно, быть ариленовым кольцом и, если это арилен, он представляет собой предпочтительно фенилен, галогензамещенный фенилен, (низший алкил)замещенный фенилен, (низший алкокси)замещенный фенилен или бифени-лен, более предпочтительно фенилен, метоксизамещенный фенилен или йодзамещенный фенилен (с R33, связанным с любым одним из атомов углерода кольца). J обозначает N или СН, n3 и n4 равны 0 или 1, но равны обязательно 1, когда Y связан с атомом кислорода, серы или азота, n5, n6, n7, n8 и n9 равны независимо 0 или 1 и R29 и R30 могут быть одинаковыми или различными и независимо выбраны из группы, состоящей из водорода, низшего алкила и галогеналкила или, вместе, образуют моноциклический или полициклический заместитель, с предпочтительным моноциклическим заместителем, представленным как J’, ниже,
где Q обозначает NR36, О или СН2, Q’ обозначает оксо или СН2 и i равно 0 или 1. Y необязательно замещен при одном или нескольких доступных атомах углерода галогеном, оксо, гидроксилом, низшим алкилом, низшим алкокси или низшим галогеналкилом, при условии, что, когда Х обозначает 0-Y и R обозначает С, тогда Y является иным, чем водород, и, когда J обозначает СН, тогда R29 и R30 вместе образуют J’.
Y1 и Y2 могут быть одинаковыми или различными и определяются -Z-Y. Альтернативно, Y1 и Y” могут быть связаны с образованием гетероциклического кольца, обычно гетероциклоалкильного кольца, описанного в отношении Х и X’ выше.
Идентичность R1 зависит от присутствия или отсутствия двойной связи при r2. Когда r2 присутствует, так что имеется двойная связь, связывающая R1 с атомом углерода в положении 16 эстратриенового ядра, тогда R1 представляет собой CR11R12, где R11 и R12 независимо представляют собой водород или низший алкил. Предпочтительной группой R1, когда присутствует r2, является СН2. Когда r2 отсутствует, так что имеется простая связь, связывающая R1 с атомом углерода в положении 16, тогда R1 представляет собой водород, алкил (предпочтительно низший алкил) или галоген, предпочтительно водород.
R2 выбирают из группы, состоящей из водорода, гидроксила, алкила, алкенила (предпочтительно низшего алкила и алкенила), арила, алкарила, -ONO2, -OR13 и -SR13, где R13 представляет собой алкил (предпочтительно низший алкил), низший ацил или арил. Предпочтительно, хотя и необязательно, R2 является водородом.
R3 выбирают из группы, состоящей из водорода, гидроксила, галогена, алкила, алкенила, (предпочтительно низшего алкила или алкенила), арила, алкарила, -OR13 и -SR13, где R13 имеет описанные выше значения. Предпочтительными R3-заместителями являются водород и низший алкил.
R4 обозначает водород или низший алкил, предпочтительно водород.
R5 выбирают из группы, состоящей из водорода, низшего алкокси, галогена, циано, -СН2СН=СН2, -СНО, -NR14R15 и -(CH2)NR14R15, где R14 и R15 могут быть одинаковыми или различными и обозначают водород или низший алкил или вместе образуют пяти- или шестичленную циклоалкильную группу, необязательно содержащую дополнительный гетероатом азота. Предпочтительно, R5 представляет собой водород, метокси, -NR14R15 или -(CH2)NR14R15, где R14 и R15 представляют собой низший алкил, в частности метил или этил.
R6 выбирают из группы, состоящей из водорода, алкила, ацила (предпочтительно низшего алкила или низшего ацила), -С(O)-арила, -С(О)-алкила и -SО2NН2(сульфамата). Предпочтительными R6-заместителями являются водород, сульфамат, -С(O)-С6Н5 и -С(О)-трет-бутил, причем особенно предпочтительны водород и сульфамат.
R7 выбирают из группы, состоящей из водорода, галогена, -NO2, -СНО, -СН2СН=СН2, -NR16R17 и -(СН2)NR16R17, где R16 и R17 могут быть одинаковыми или различными и обозначают водород, низший алкил или ацетил. Предпочтительно, R7 представляет собой водород.
R9 выбирают из группы, состоящей из водорода, гидроксила, -OR18 и -SR18, где R18 обозначает алкил, ацил (предпочтительно низший алкил или низший ацил), или арил. В предпочтительных соединениях R8 представляет собой водород.
R9 обозначает водород или низший алкил, при условии, что, когда R является N, R9 отсутствует. Когда R3 присутствует, он предпочтительно представляет собой водород или метил.
R10 обозначает метил или этил, обычно этил. Формула (II) представляет вторую группу соединений, являющихся примерами данного изобретения
в которой: r1, r2, R, R1, R3, R4, R5, R6, R7, R6, R9, R10, Х и X’ имеют указанные выше для формулы (I) значения; и
R19 и R20 независимо выбирают из группы, состоящей из водорода, гидроксила, алкила, алкенила, алкинила, алкокси (предпочтительно низшего алкила, низшего алкенила, низшего алкинила и низшего алкокси), и галогена, или R19 и R20 вместе образуют = O.
Предпочтительными соединениями структурных формул (I) и (II) являются соединения, в которых г1 отсутствует, R представляет собой С, R3 представляет собой водород или метил, Х представляет собой -O-Y или -S-Y, Y представляет собой -(CH2)m1-NR29R30 ИЛИ -(СН2)m2-O-(СН2)m3-[L-(СН2)m4]n7-[O-(CH2)m5]n9-NR29R30, где L обозначает фенилен, метоксизамещенный фенилен, йодзамещенный фенилен, -NH-, -N(СН3)- или -О-, m1-m5 равны 1, 2, 3 или 4, R29 и R30 обозначают водород, низший алкил, галогеналкил (предпочтительно низший галогеналкил) или связаны вместе с образованием гетероциклоалкильного кольца, такого как кольцо, определенное J’ ранее, обозначая вместе, например, -CH2CH2-NH-CH2CH2-, -CH2CH2-O-СН2СН2-, -(CH2)4-, -(CH2)5– или т.п., и R6 представляет собой водород или сульфамат. Предпочтительными соединениями структурной формулы (II), в частности, являются соединения, в которых один из R19 и R20 представляет собой водород, а другой представляет собой гидроксил, низший алкил или низший алкинил, или в которых R19 и R20 вместе образуют =O.
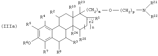
Формула (III) представляет третью группу соединений, являющихся примерами данного изобретения
в которой r2 и R1-R8 и R10 имеют определенные выше в отношении формулы (I) и (II) значения, а остальные заместители являются следующими:
R21 обозначает гидрокарбил, обычно и предпочтительно включающий в себя, по меньшей мере, один атом кислорода, атом серы и/или атом азота в форме -О-, -S-, -NH- или -N(алкил)- (предпочтительно -N(низший алкил)-) связи и, необязательно, включающий в себя дополнительные заместители и функциональные группы, такие как гидроксил, оксо, алкокси, амино, замещенный амино, галоген, арил, гетероарил, гетероциклоалкил или т.п. Типичные R21-заместители представлены -(R28)n3-JR29R30 и -(R31)n4-Z3-(R32)n5-[L-(R33)n6]n7– [Z4-(R34)n8]n9-JR29R30, где R28,R29, R30, R31, R32, R33, R34, Z3, Z4, L, J и n3-n9 имеют определенные выше значения. Примерами R21-заместителей в вышеупомянутой группе являются -(CH2)m1-NR29R30 и -(СН2)m2-O-(СН2)m3-[L-(СН2)m4]n7-[О-(CH2)m5]n9-NR29R30, где L обозначает фенилен, метоксизамещенный фенилен, йодзамещенный фенилен, -NH-, -N(СН3)- или -О-, m1-m5 равны 1, 2, 3 или 4, R29 и R30 обозначают водород, низший алкил, галогеналкил (обычно низший галогеналкил) или связаны вместе с образованием гетероциклоалкильного кольца, как объяснено выше, но предпочтительно R29 и R30 представляют собой низший алкил, наиболее предпочтительно метил или этил.
R22 обозначает водород или алкил или, когда m равно О, R21 и R22 могут быть связаны с образованием пяти- или шестичленной циклической структуры, которая может быть или не быть ароматической, содержит от 0 до 3 гетероатомов, выбранных из группы, состоящей из N, О и S, и замещена от 0 до 4 заместителями, выбранными из группы, состоящей из алкила, алкенила, алкинила, алкокси (предпочтительно низшего алкила, алкенила, алкинила и алкокси), -С(О)-алкила, -С(O)-O-алкила, -О-(СО)-алкила (предпочтительно -С(О)-низшего алкила, -С(О)-O-низшего алкила и О(СО)-низшего алкила), -С(O)-арила, гидроксила, карбоксила, галогена, нитрила, нитрата и фторированного алкила. Предпочтительно, R22 представляет собой водород или метил.
R23 обозначает водород или низший алкил, обычно водород или метил.
R24 и R25 обозначают оба водород или обозначают оба метилен и связаны друг с другом одной ковалентной связью.
Кроме того, m является целым числом в диапазоне от 0 до 6, включительно, предпочтительно 1, 2, 3 или 4, и n равно 0 или 1.
Предпочтительные соединения структурной формулы (I) имеют следующую формулу (Iа):
В структурной формуле (Ia) r2, R1-R8 и R10 имеют определенные в отношении структурной формулы (I) значения, подпись “m” является целым числом в диапазоне от 0 до 6 включительно, предпочтительно 1, 2, 3 или 4, подпись “р” является целым числом в диапазоне от 0 до 6 включительно, предпочтительно 1, 2, 3 или 4, R29 и R30 представляют собой низший алкил, предпочтительно метил или этил, или связаны вместе с образованием гетероциклоалкильного кольца, обозначая вместе, например, -СН2СH2-NН-СН2СH2-, -СH2СН2-О-СН2СН2-, (СН2)4-, -(СН2)5– или т.п., и L обозначает пяти- или шестичленную циклическую структуру, которая может быть или не быть ароматической, и необязательно содержит 1-4 гетероатома, выбранные из группы, состоящей из N, О и S и их комбинаций, и необязательно замещена одним или более заместителями, выбранными из группы, состоящей из алкила, алкенила, алкокси, галогенированного алкила, алкенила и алкокси (предпочтительно низшего алкила, низшего алкенила, низшего алкокси, галогенированного низшего алкила, галогенированного низшего алкенила и галогенированного низшего алкокси), карбоксила, гидрокси, амино, нитро, циано и галогена.
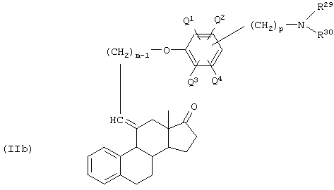
Особенно предпочтительными соединениями, охватываемыми структурной формулой (I), являются соединения, имеющие следующую формулу (Ib):
где m, р, R29 и R30 имеют определенные в отношении структуры (Iа) выше значения, и Q1, Q2, Q3 и Q4 независимо выбраны из группы, состоящей из водорода, гидроксила, карбоксила, алкокси (предпочтительно низшего алкокси), алкила (предпочтительно низшего алкила), галогена, амино и (низший алкил)-замещенного амино.
Подобным образом, предпочтительные соединения формулы (II) имеют следующую формулу (IIа):
В структуре (IIа) r2, R1, R3-R8, R10, R19 и R20 имеют определенные в отношении соединений структуры (II) значения, и т, р, L, R29 и R30 имеют определенные в отношении структуры (Iа) значения.
Особенно предпочтительные соединения структурной формулы (II) имеют структуру (IIb)
в которой m, р, R29 и R30 имеют определенные для структуры (Iа) значения и Q1, Q2, Q3, Q4 имеют определенные для соединений структурной формулы (Ib) значения.
Предпочтительные соединения формулы (III) имеют структуру (IIIa)
тогда как особенно предпочтительные соединения формулы (III) имеют структуру (IIIb), причем все заместители имеют определенные для соединений (Iа) и (Ib) значения соответственно.
Таким образом, специалистам в данной области будет понятно, что предпочтительные соединения данного изобретения являются 17-дезокси-1,3,5-эстратриенами, имеющими фрагмент молекулы
предпочтительно
и наиболее предпочтительно
при положении С-11 или положении С-17, а также 17-дезокси-1,3,5-эстратриенами, имеющими фрагмент молекулы
предпочтительно
и наиболее предпочтительно
присутствующий при С-17.
Важным является то, что новые соединения данного изобретения, в которых R6 представляет собой -SO2NH2, являются сильнодействующими антиэстрогенными агентами, а также пролекарствами для исходных антиэстрогенных соединений, которые образуются in vivo гидролизом группы – SО2NН2 при положении С-3.
Примеры характерных соединений данного изобретения включают в себя, но не ограничиваются ими, следующие соединения:
Эти соединения могут быть в форме фармацевтически приемлемых солей, сложных эфиров, амидов, пролекарств и других производных или аналогов, или они могут быть модифицированы присоединением одной или нескольких подходящих функциональных групп для усиления выбранных биологических свойств. Такие модификации известны в данной области и включают в себя те модификации, которые увеличивают биологическое проникновение в конкретную биологическую систему, увеличивают пероральную биодоступность, увеличивают растворимость, делая возможным введение при помощи инъекции, и т.п.
Соли этих соединений могут быть получены с использованием стандартных процедур, известных специалистам в области синтетической органической химии и описанных, например, J. March, Advanced Organic Chemistry: Reactions, Mechanisms and Structure, 4th Ed. (New York: Wiley-Interscience, 1992). Кислотно-аддитивные соли получают из свободного основания (например, соединений, имеющих нейтральную -NH2 или циклическую аминогруппу) с использованием общепринятых способов, включающих в себя реакцию с подходящей кислотой. Обычно, форму основания соединения растворяют в полярном органическом растворителе, таком как метанол или этанол, и добавляют кислоту при температуре от приблизительно 0°С до приблизительно 100°С, предпочтительно при температуре окружающей среды. Полученная соль либо осаждается, либо может быть выведена из раствора добавлением менее полярного растворителя. Подходящие кислоты для получения кислотно-аддитивных солей включают в себя как органические кислоты, например, уксусную кислоту, пропионовую кислоту, гликолевую кислоту, пировиноградную кислоту, щавелевую кислоту, яблочную кислоту, малоновую кислоту, янтарную кислоту, малеиновую кислоту, фумаровую кислоту, винную кислоту, лимонную кислоту, бензойную кислоту, коричную кислоту, миндальную кислоту, метансульфоновую кислоту, этансульфоновую кислоту, п-толуолсульфоновую кислоту, салициловую кислоту и т.п., так и неорганические кислоты, например хлористоводородную кислоту, бромистоводородную кислоту, серную кислоту, азотную кислоту, фосфорную кислоту и т.п. Кислотно-аддитивная соль может быть опять превращена в свободное основание обработкой подходящим основанием. Предпочтительными кислотно-аддитивными солями этих соединений являются цитратные, фумаратные, сукцинатные, бензоатные и малонатные соли.
Получение основных солей кислотных частей молекул, которые могут присутствовать (например, групп карбоновых кислот), выполняют подобным образом с использованием фармацевтически приемлемого основания, такого как гидроксид натрия, гидроксид калия, гидроксид аммония, гидроксид кальция, гидроксид магния, триметиламин или т.п.
Получение сложных эфиров включает в себя функционализацию гидроксильных и/или карбоксильных групп, которые могут присутствовать. Эти сложные эфиры являются обычно ацилзамещенными производными свободных спиртовых групп, т.е. частей молекул, которые произведены из карбоновых кислот формулы RCOOH, где R обозначает алкил и предпочтительно низший алкил. Фармацевтически приемлемые сложные эфиры могут быть получены способами, известными специалистам в данной области и/или описанными в соответствующей литературе. Сложные эфиры могут быть опять превращены в свободные кислоты, если желательно, с использованием общепринятых процедур гидрогенолиза или гидролиза. Способы получения амидов, пролекарств и других аналогов и производных данных соединений находятся также в пределах знаний специалистов в данной области и/или описаны в относящейся к этому вопросу литературе и руководствах.
Некоторые из новых соединений являются хиральными по природе и, следовательно, могут быть в энантиомерно чистой форме или в рацемической смеси. В некоторых случаях, т.е. в отношении некоторых характерных соединений, иллюстрированных здесь, хиральность указана. В других случаях она не указана, и подразумевается, что данное изобретение охватывает как изомерно чистые формы показанных соединений, так и их рацемические или диастереомерные смеси. Например, соединения структурной формулы (III) показаны как имеющие два заместителя при положении 17 стероидного ядра, без указания, какой заместитель является 17 и какой является 17 . Предполагается, что любая возможность охватывается общей структурой, т.е. R23 может быть а и -(СН2)n-CHR21R22, может быть или R23, может быть и -(СН2)n-CHR21R22, может быть а. Кроме того, некоторые соединения являются стереоизомерами, которые являются асимметричными в отношении С=С-связи. В таком случае, как показано выше в отношении структур формул (I) и (II), данное изобретение включает в себя обе такие структуры, т.е. как “Е”-, так и “Z”-изомеры и их смеси.
Применимость и введение:
Новые соединения могут быть использованы для лечения множества нарушений; прежде всего, эти соединения пригодны для лечения эстрогензависимых нарушений, т.е. состояний или заболеваний, которые являются эстрогениндуцируемыми или эстрогенстимулируемыми. Данные соединения способны индуцировать ремиссии при раке молочной железы, в том числе при метастазирующих опухолях. Кроме того, данные соединения применимы в лечении опухолей яичников, матки и поджелудочной железы, а также патологических состояний, таких как галакторея, синдром МакКуна-Олбрайта, доброкачественное заболевание молочной железы и эндометриоз. Эти соединения применимы также для лечения некоторых состояний и нарушений, которые не являются эстрогензависимыми, например, неэстрогензависимых раковых заболеваний, в частности раковых заболеваний, которые являются резистентными ко многим лекарственным средствам. Последнее преимущество этих новых соединений представляет собой важный прогресс в, данной области, так как главная проблема, влияющая на эффективность программ химиотерапии, заключается в эволюции клеток, которые при экспонировании химиотерапевтическому лекарственному средству становятся устойчивыми ко множеству структурно неродственных лекарственных средств и терапевтических агентов.
Как объясняется в другом месте данного описания, некоторые из новых соединений проявляют тканеселективную фармакологию и действуют как SERM. То есть, эти соединения являются антагонистами эстрогена в репродуктивной ткани, в том числе ткани молочной железы и/или матки, вызывая в то же время появление эстрогенподобных эффектов в других местах тела, в частности в метаболизме костной ткани и липидном метаболизме. Ряд соединений данного изобретения, в частности соединения, определяемые структурной формулой (III), приведенной здесь, являются тканеселективными антиэстрогенными агентами, как только что объяснено. Другие соединения в пределах объема и существа данного изобретения могут также проявлять тканеселективную фармакологию, и специалисты в данной области могут провести общепринятые процедуры, не включающие в себя излишнее или чрезмерное экспериментирование, для того чтобы определить потенциальную тканеселективность соединения.
Соединения, применимые как SERM, могут быть использованы для лечения всех эстрогензависимых нарушений, обсужденных выше, т.е. рака молочной железы, опухолей яичников, матки и поджелудочной железы, галактореи, синдрома МакКуна-Олбрайта, доброкачественного заболевания молочной железы и эндометриоза. Кроме того, новые соединения данного изобретения, которые являются тканеселективными по природе, могут быть также использованы следующим образом:
(1) для подавления легочных гипертензивных болезней, как описано в патенте США №5447941, выданном Zuckerman;
(2) для подавления дисфункционального маточного кровотечения, как описано в патенте США №5552416, выданном Keohane;
(3) для торможения увеличения в весе или индукции или облегчения потери веса, как описано в патентах США №5578613 и 5578614, выданных Bryant et al.;
(4) для подавления нарушений молочной железы, таких как гинекомастия, гипертрофия, полителия, мастодиния/мастальгия, гиперпролактинемия и нефибрознокистозные, нераковые мастопатии, как описано в патенте США №5593987, выданном Cullinan et al.;
(5) для задержки атрофии кожи и вагины, как описано в патенте США №5610167, выданном Cullinan;
(6) для ингибирования разрежения кости (рарефикации) и снижения сывороточного холестерина, как описано в патенте США №5641790, выданном Draper;
(7) для увеличения массы костей, как описано в патенте США №5510370, выданном Hock;
(8) для лечения остеопороза, как описано в патенте США №5646137, выданном Black et al.;
(9) для подавления проблем ЦНС у постклимактерических женщин, как описано в патенте США №5663184, выданном Bryant et al.; и
(10) для подавления дисгенезии (дисплазии) яичников, задержки полового созревания или полового инфантилизма, как описано в патенте США №5719165, выданном Dodge.
Специалистам в данной области будет понятно, что возможны также другие многочисленные применения соединений данного изобретения.
Кроме новых соединений, описанных выше, изобретение включает в себя далее способы применения некоторых известных соединений в качестве антиэстрогенных агентов, т.е. соединений, о которых ранее было известно, что они применимы только для целей, не связанных с лечением эстрогензависимых нарушений. Эти соединения включают в себя
Антиэстрогенные агенты данного изобретения могут быть легко приготовлены в виде фармацевтических композиций, состоящих из одного или нескольких этих соединений в соединении с фармацевтически приемлемым носителем. См. Remington: The Science and Practice of Pharmacy, 19th Ed. (Easton, PA: Mack Publishing Co., 1995), где описаны типичные носители и общепринятые способы приготовления фармацевтических композиций, которые могут быть использованы в том виде, в каком они описаны, или могут быть модифицированы для приготовления фармацевтических композиций, содержащих соединения данного изобретения. Эти соединения могут также вводиться в форме фармацевтически приемлемых солей или в виде фармацевтически приемлемых сложных эфиров, описанных в предыдущем разделе.
Соединения могут быть введены перорально, парентерально, трансдермально, ректально, назально, трансбуккально, вагинально или посредством имплантированного резервуара в дозированных композициях, содержащих общепринятые нетоксичные фармацевтически приемлемые носители, адъюванты и наполнители. Термин “парентеральный” в применении здесь подразумевает подкожную, внутривенную и внутримышечную инъекцию. Количество вводимого активного соединения будет, конечно, зависеть от субъекта, который проходит курс лечения, веса субъекта, способа введения и оценки лечащего врача. Однако обычно доза находится в диапазоне приблизительно 0,01 мг/кг/день-10,0 мг/кг/день, более предпочтительно в диапазоне приблизительно 1,0 мг/кг/день-5 мг/кг/день.
В зависимости от предполагаемого способа введения, фармацевтические композиции могут быть в виде твердой, полутвердой или жидкой дозированных форм, таких как, например, таблетки, суппозитории, пилюли, порошки, жидкости, суспензии или т.п., предпочтительно в унифицированной дозированной форме, пригодной для одного введения точной дозы. Композиция будет включать в себя, как отмечалось выше, эффективное количество выбранного лекарственного средства в комбинации с фармацевтически приемлемым носителем и, кроме того, может включать в себя другие фармацевтические агенты, адъюванты, разбавители, буферы и.т.д.
Для твердых композиций общепринятые нетоксичные твердые носители включают в себя, например, фармацевтически допустимые по степени очистки маннит, лактозу, крахмал, стеарат магния, натрий-сахарин, тальк, целлюлозу, глюкозу, сахарозу, карбонат магния и т.п. Жидкие фармацевтически вводимые композиции могут быть, например, приготовлены растворением, диспергированием и т.д. активного соединения, описанного здесь, и необязательных фармацевтических вспомогательных веществ в наполнителе, таком как, например, вода, солевой раствор, водная декстроза, глицерин, этанол и т.п., с образованием раствора или суспензии. Если желательно, фармацевтическая композиция, которая должна быть введена, может также содержать небольшие количества нетоксичных вспомогательных веществ, таких как увлажняющие или эмульгирующие агенты, забуферивающие рН агенты и т.п., например, ацетат натрия, монолаурат сорбитана, натрий-ацетат триэтаноламина, олеат триэтаноламина, и т.д. Фактические способы приготовления таких дозированных форм являются известными или будут очевидными для специалистов в данной области; см., например, ссылку Remington’s Pharmaceutical Sciences, на которую была дана ссылка выше.
Для перорального введения композиция будет обычно иметь форму таблетки или капсулы или она может быть водным или неводным раствором, суспензией или сиропом. Таблетки и капсулы для перорального применения, как правило, будут включать в себя один или более обычно используемых носителей, таких как лактоза и кукурузный крахмал. Смазывающие агенты, такие как стеарат магния, также обычно добавляются. При использовании жидких суспензий активный агент комбинируют с эмульгирующими и суспендирующими агентами. Если желательно, могут быть также добавлены улучшающие вкус и запах, красящие и/или подслащивающие агенты. Другие необязательные компоненты для включения в пероральную композицию включают в себя, но не ограничиваются ими, консерванты, суспендирующие агенты, загустители и т.п.
Парентеральное введение, если оно используется, обычно характеризуется инъекцией. Инъецируемые препараты могут быть приготовлены в общепринятых формах, либо в виде жидких растворов или суспензий, твердых форм, пригодных для растворения или суспендирования в жидкости перед инъекцией, или в виде эмульсий. Предпочтительно, стерильные инъецируемые суспензии готовят в соответствии со способами, известными в данной области, с использованием подходящих диспергирующих или увлажняющих агентов и суспендирующих агентов. Стерильная инъецируемая композиция может также быть стерильным инъецируемым раствором или суспензией в нетоксичном парентерально приемлемом разбавителе или растворителе. Среди приемлемых носителей и растворителей, которые могут быть использованы, находятся вода, раствор Рингера и изотонический раствор хлорида натрия. Кроме того, в качестве растворителя или суспендирующей среды обычно применяют нелетучие масла. Более недавно пересмотренный подход для парентерального введения включает в себя использование системы медленного высвобождения или системы с пролонгированным действием, так что поддерживается постоянный уровень дозы. См., например, патент США №3710795.
Соединения данного изобретения могут быть также введены через кожу или ткань слизистой оболочки с использованием общепринятых систем чрескожной доставки лекарственных средств, в которых агент содержится в пластинчатой конструкции, которая служит в качестве приспособления для доставки лекарственного средства, прикрепляемых к коже. В такой структуре лекарственная композиция содержится в слое, или “резервуаре”, подстилающем верхний подкладочный слой. Эта пластинчатая конструкция может содержать один резервуар или она может содержать множественные резервуары. В одном варианте этот резервуар содержит полимерный матрикс фармацевтически приемлемого контактного адгезивного материала, который служит для прикрепления этой системы к коже во время доставки лекарственного средства. Примеры подходящих адгезивных материалов для контактирования с кожей включают в себя, но не ограничиваются ими, полиэтилены, полисилоксаны, полиизобутилены, полиакрилаты, полиуретаны и т.п. Альтернативно, содержащий лекарственное средство резервуар и кожный контактный адгезив присутствуют в виде разделенных и отдельных слоев, с адгезивом, подстилающим резервуар, который, в каждом случае, может быть либо полимерным матриксом, описанным выше, либо он может быть резервуаром жидкости или гидрогеля или может иметь некую другую форму.
Подкладочный слой в этих пластинчатых (слоистых) материалах, который служит в качестве верхней поверхности этого приспособления, служит в качестве первого структурного элемента этой пластинчатой конструкции и обеспечивает приспособление большей частью его гибкости. Материал, выбранный для подкладочного материала, должен быть выбран таким образом, что он является по существу непроницаемым для активного агента и любых других веществ, которые присутствуют; подкладка предпочтительно изготовлена из слоя или пленки гибкого эластомерного материала. Примеры полимеров, которые являются пригодными для подкладочного слоя, включают в себя полиэтилен, полипропилен, сложные полиэфиры и т.п.
Во время хранения и перед использованием эта пластинчатая конструкция включает в себя обертку, предохраняющую от высвобождения. Непосредственно перед применением этот слой удаляют из приспособления для открывания его базальной поверхности, либо резервуара с лекарственным средством, либо отдельного контактного адгезивного слоя, так что эта система может быть прикреплена к коже. Обертка, предохраняющая от высвобождения, должна быть изготовлена из материала, непроницаемого для лекарственного средства/носителя.
Приспособления для чрескожной доставки лекарственного средства могут быть изготовлены при помощи общепринятых способов, известных в данной области, например, заливкой жидкой смеси адгезива, лекарственного средства и носителя на подкладочный слой с последующим наслаиванием обертки, предохраняющей от высвобождения. Подобным образом, адгезивная смесь может быть залита на обертку, предохраняющую от высвобождения, с последующим наслаиванием подкладочного слоя. Альтернативно, резервуар (слой) для лекарственного средства может быть приготовлен в отсутствие лекарственного средства или наполнителя и затем нагружен путем замачивания в смеси лекарственного средства/носителя.
Пластинчатые системы чрескожной доставки лекарственного средства могут, кроме того, содержать усилитель проникновения через кожу. То есть, поскольку свойственная коже проницаемость для некоторых лекарственных средств может быть слишком низкой для того, чтобы позволить терапевтическим уровням лекарственного средства проходить через площадь неповрежденной кожи разумного размера, с такими лекарственными средствами необходимо вводить совместно усилитель проникновения через кожу. Пригодные усилители хорошо известны в данной области и включают в себя, например, диме-тилсульфоксид (ДМСО), диметилформамид (ДМФ), N,N-диметил-ацетамид (ДМА), децилметилсульфоксид (С10МСО), С2-С6-алкан-диолы и 1-замещенные азациклогептан-2-оны, в частности, 1-н-додецилциклазациклогептан-2-он (доступный под товарным названием Azone® из Whitby Research Incorporated, Richmond, VA), спирты и т.п. Однако следует обратить внимание на то, что преимуществом данного изобретения является потенциал для чрескожной доставки активного агента, обеспеченного здесь, без необходимости применения усилителя проникновения через кожу; это, в частности, является верным, например, с соединениями структурной формулы (I) и (III), где нитрато-(-ONO2)-группа присутствует при положении 11.
Альтернативно, фармацевтические композиции данного изобретения могут вводиться в форме суппозиториев для ректального введения. Они могут быть изготовлены смешиванием агента с подходящим нераздражающим наполнителем, который является твердым при комнатной температуре, но жидким при ректальной температуре и, следовательно, будет плавиться в прямой кишке с высвобождением лекарственного средства. Такие материалы включают в себя какао-масло, пчелиный воск и полиэтиленгликоли.
Фармацевтические композиции данного изобретения могут также вводиться при помощи назального аэрозоля или ингаляции. Такие композиции готовят в соответствии со способами, хорошо известными в области приготовления фармацевтических препаратов и могут готовиться в виде растворов в солевом растворе, с использованием бензилового спирта или других пригодных консервантов, ускорителей абсорбции для увеличения биодоступности, фторуглеродов и/или других общепринятых солюбилизирующих или диспергирующих агентов.
Предпочтительными композициями для вагинальной доставки лекарственных средств являются мази и кремы. Мази являются полутвердыми препаратами, которые обычно готовят на основе вазелина или других производных нефти. Кремы, содержащие выбранный активный агент, являются, как известно в данной области, вязкими жидкими или полутвердыми эмульсиями, либо типа масла-в-воде, либо типа вода-в-масле. Основы кремов являются смываемыми водой и содержат масляную фазу, эмульгатор и водную фазу. Масляная фаза, иногда также называемая “внутренней” фазой, обычно состоит из вазелина и жирного спирта, такого как цетиловый или стеариловый спирт; водная фаза обычно, хотя и необязательно, превышает по объему масляную фазу и обычно содержит увлажнитель. Эмульгатором в композиции крема обычно является неионогенное, анионогенное, катионогенное или амфотерное поверхностно-активное вещество.
Характерная основа для мази или крема, которая должна быть использована, как будет понятно специалистам в данной области, является основой, которая будет обеспечивать оптимальную доставку лекарственного средства. Как и в случае других носителей или наполнителей, основа для крема должна быть инертной, стабильной, нераздражающей и несенсибилизирующей. Предпочтительными являются также вагинальные суппозитории. Суппозитории могут быть изготовлены при помощи общепринятых способов, например, уплотнением, прямым прессованием или т.п. и будут содержать носители, пригодные для вагинальной доставки лекарственных средств, обычно биораз-рушаемого материала, который обеспечивает желательный профиль высвобождения лекарственных средств.
Композиции для трансбуккального введения включают в себя таблетки, лепешки, гели и т.п. Альтернативно, трансбуккальное введение может выполняться при помощи системы доставки через слизистую оболочку.
Способ получения
Соединения данного изобретения могут быть получены с высоким выходом при помощи относительно простых, надежных способов, приведенных в качестве примеров в нижеследующем экспериментальном разделе. Синтезы характерных соединений подробно описаны в примерах 1-39. Для дополнительной информации, касающейся синтеза соединений, имеющих сульфаматную группу при положении 3, можно сослаться на ожидающую одновременного рассмотрения заявку патента США с регистрационным номером 08/997 416, озаглавленную “Estrone Sulfamate Inhibitors of Estrone Sulfatase, and Associated Pharmaceutical Compositions and Methods of Use”, авторов изобретения Tanabe et al., поданную 24 декабря 1997 года.
Экспериментальная часть
Практика данного изобретения будет использовать, если нет других указаний, общепринятые способы синтетической органической химии, биологического тестирования и т.п., которые находятся в пределах квалификации данной области. Такие способы объясняются исчерпывающе в литературе. См., например, Fieser et al., Steroids (New York: Reinhold, 1959), Djerassi, Steroid Reactions: An Outline for Organic Chemists (San Francisco: Holden-Day, 1963) и Fried et al., Organic Reactions in Steroid Chemistry, vols. 1 and 2 (New York: Reinhold, 1972) в отношении подробной информации, касающейся связанных со стероидами синтетических процедур. Ссылка может быть сделана на Littlefield et al., Endocrinology 127:2757-2762 (1990) и Wakeling et al.,
Endocrinology 99:447-453 (1983) в отношении процедур биологического тестирования, применимых для оценки соединений, таких как соединения, описанные и заявленные здесь.
Должно быть понятно, что, хотя данное изобретение было описано в связи с его предпочтительными характерными вариантами, приведенное выше описание, а также примеры, которые следуют ниже, предназначены для иллюстрации, а не для ограничения объема изобретения. Другие аспекты, преимущества и модификации в пределах объема данного изобретения будут очевидными для специалистов в данной области, к которым оно обращено.
В нижеследующих примерах были сделаны попытки обеспечения точности в отношении используемых цифровых данных (например, количеств, температуры и т.д.), но некоторые экспериментальные ошибка и отклонение должны приниматься во внимание. Если нет других указаний, температура дается в °С и давление атмосферное или вблизи атмосферного. Все растворители куплены как имеющие ВЖХ-чистоту и все реакции проводили рутинным образом в инертной атмосфере аргона, если нет иных указаний. Все реагенты получали коммерческим путем, если нет других указаний. Эстрон и эстрадиол покупали из Berlichem U.S.; этинилэстрадиол покупали из Akzo Nobel. Анализы ЯМР проводили на Varian Gemini 300 и стандартом был хлороформ при 7,27. Спектры FTIR регистрировали на Perkin-Elmer 1610.
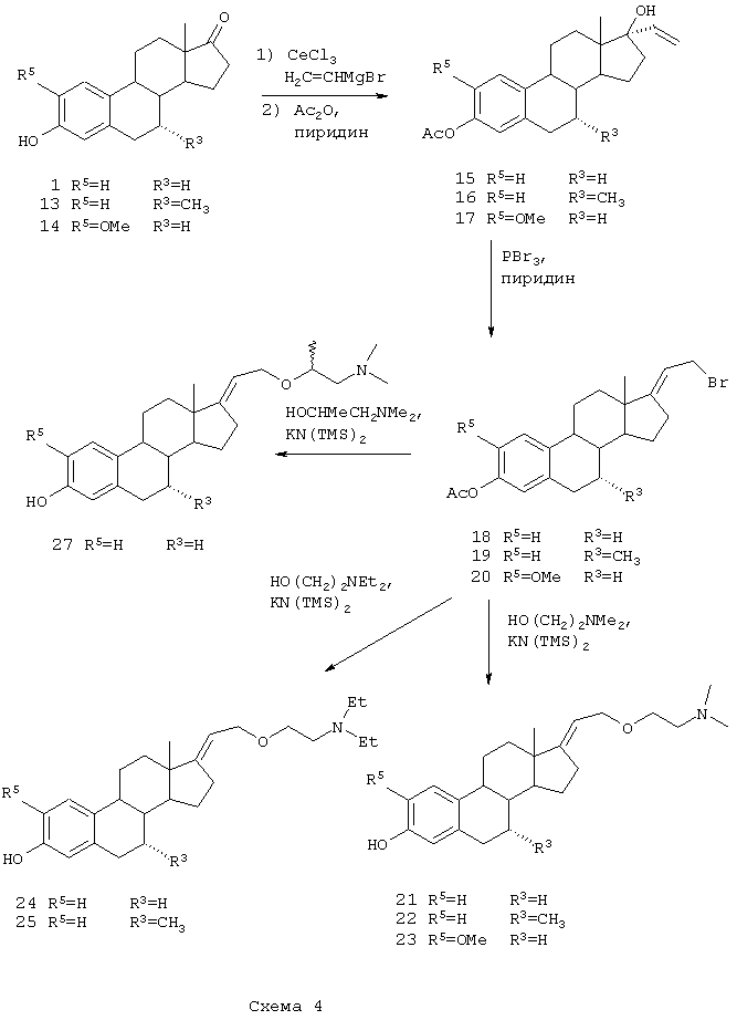
Пример 1
Получение (Е)-3-трет-бутилдиметилсилилокси-21-бром-19-норпрегна-1,3,5(10),17(20)-тетраена (4)
(а) Синтез 3-трет-бутилдиметилсилилоксиэстра-1, 3,5(10)-триен-17-она (2):
К смеси эстрона (1,29 г, 107,3 ммоль) и трет-бутилдиметилсилилхлорида (18 г, 118 ммоль) в ТГФ (350 мл) при комнатной температуре в атмосфере аргона добавляли имидазол (18 г, 264 ммоль) в ДМФ (350 мл). После перемешивания реакционной смеси в течение ночи ТГФ выпаривали и реакционную смесь выливали на смесь воды со льдом. Полученный белый осадок собирали фильтрованием, растворяли в СН2Сl2 и раствор сушили (MgSO4). Осушитель отфильтровывали и растворитель выпаривали при пониженном давлении с получением 38,8 г 2 в виде белого кристаллического твердого вещества (выход 94%), т.пл. 171-172°С.
1Н-ЯМР (300 МГц, CDCl3): 0,19 (с, 6, Si (СН3)2), 0,91 (с, 3, СН3), 0,98 (с, 9, SiС(СН3)3), 1,24-2,57 (м, 13), 2,85 (м, 2), 6,57 (д, J=2,4 Гц, 1, ArH), 6,62 (дд, J=2,4, 8,4 Гц, 1, ArH), 7,12 (д, J=8,4 Гц, 1, ArH).
(b) Синтез 3-трет-бутилдиметилсилилокси-19-нор-17 -прегна-1,3,5(10),20-тетраен-17-ола (3):
К раствору 3-трет-бутилдиметилсилилоксиэстра-1,3,5 (10) -триен-17-она (2, 4,0 г, 10,4 ммоль) в ТГФ (40 мл) при 0°С в атмосфере аргона добавляли раствор винилмагний бромида в ТГФ (15 мл, 15 ммоль). Затем полученную смесь нагревали до комнатной температуры в течение 2 часов. Реакционную смесь гасили выливанием в насыщенный водный NH4Cl, затем экстрагировали смесью 40% этилацетат/гексан. Объединенные органические слои сушили (MgSO4). Осушитель отфильтровывали и растворитель выпаривали при пониженном давлении. Флэш-хроматография (5% этилацетат/гексан) давала 2,23 г 3 в виде белого твердого вещества (выход 52%), т.пл. 127-128°С.
1Н-ЯМР (300 МГц, CDCl3): 0,18 (с, 6, Si (СН3)2), 0,95 (с, 3, СН3), 0,97 (с, 9, SiС(СН3)3), 1,25-2,3 (м, 13), 2,80 (м, 2), 5,16 (м, 2), 6,10 (дд, J=10,8, 17,1 Гц, 1), 6,54 (д, J=2,5 Гц, 1, ArH), 6,60 (дд, J= 2,5, 8,3 Гц, 1, ArH), 7,10 (д, J=8,3 Гц, 1, ArH).
(c) Синтез (Е)-3-трет-бутилдиметилсилилокси-21-бром-19-норпрегна-1,3,5(10),17(20)-тетраена (4)
К раствору РВr3 (0/3 мл, 2,0 ммоль) в толуоле (5 мл) добавляли раствор 3-трет-бутилдиметилсилилокси-19-нор-17 -прегна-1,3,5(10),20-тетраен-17-ола (3, 1,46 г, 3,54 ммоль) и пиридина (0,1 мл) в толуоле (5 мл) при 0°С в атмосфере аргона. Полученную смесь перемешивали при 0°С в течение 1 ч, затем нагревали до комнатной температуры в течение 1 ч. Реакционную смесь гасили выливанием в смесь воды со льдом, затем экстрагировали смесью 40% этилацетат/гексан. Органический слой промывали насыщенным водным NаНСО3, затем солевым раствором и сушили (MgSO4). Осущитель отфильтровывали и растворитель концентрировали с получением смолы. Быстрое фильтрование через короткую пробку силикагеля (2% этилацетат/гексан) давало 1,2 г 4 в виде бледно-желтой смолы (выход 71%).
1Н-ЯМР (300 МГц, CDCl3): 0,18 (с, 6, Si(СН3)2), 0,81 (с, 3, СН3), 0,98 (с, 9, SiС(СН3)3), 1,20-1,60 (м, 6), 1,80-1,98 (м, 3), 2,16-2,55 (м, 4), 2,82 (м, 2), 4,02 (д, J=8,5 Гц, 2), 5,41 (м, 1), 6,55 (д, J=2,7 Гц, 1, ArH), 6,61 (дд, J=2,7, 8,2 Гц,1, ArH), 7,12 (д, J=8,2 Гц, 1, ArH).
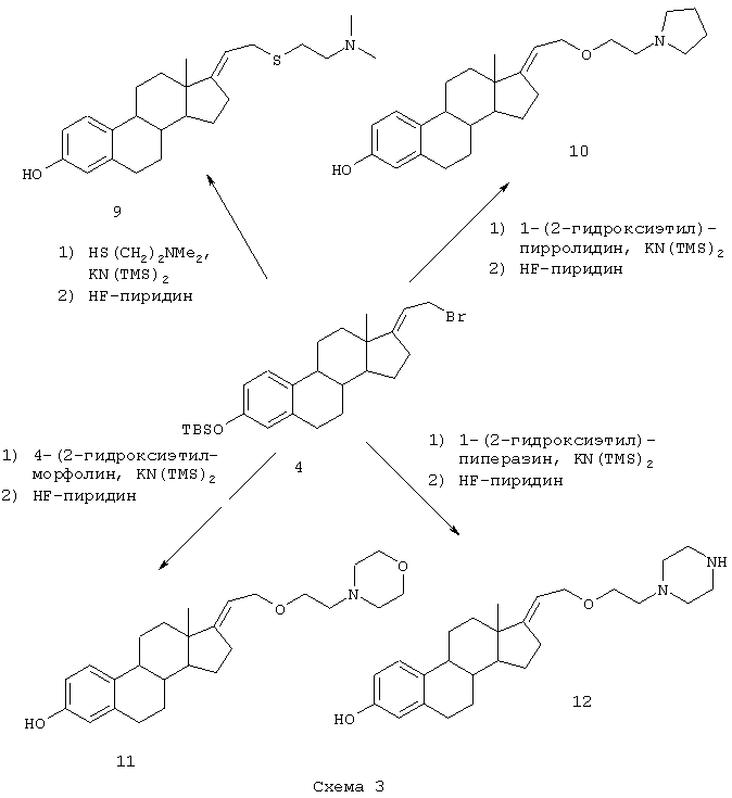
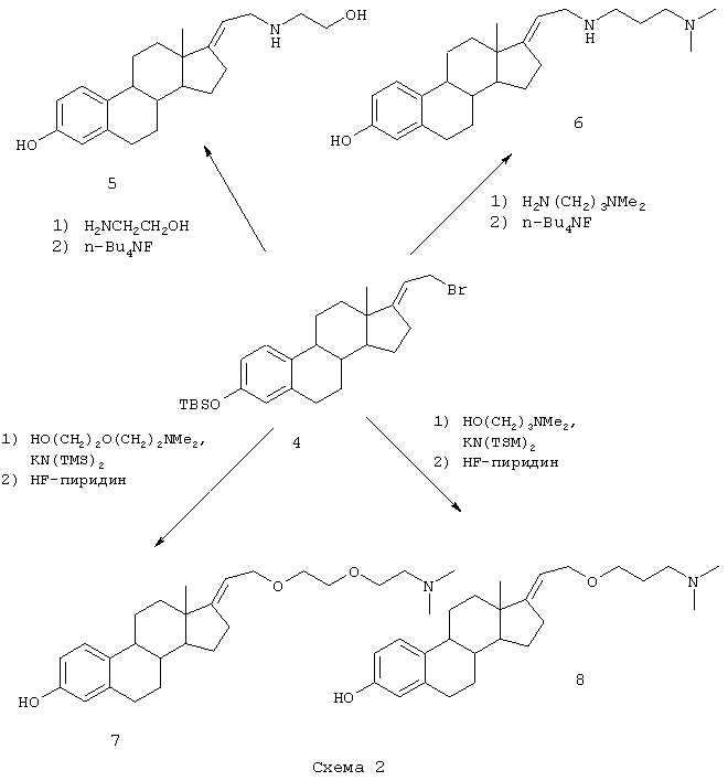
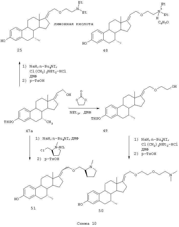
Следующая схема иллюстрирует синтетические стадии, проводимые в примерах 2-5 для получения антиэстрогенных соединений (5), (6), (7) и (8):
Пример 2
Получение (Е)-3-гидрокси-21-(2′-гидроксиэтиламино)-19-норпрегна-1,3,5(10),17(20)-тетраена (5)
К раствору этаноламина (0,5 мл, 8,3 ммоль) в ТГФ (0,5 мл) при комнатной температуре в атмосфере аргона добавляли аллилбромид 4 (0,1 г, 0,21 ммоль) в ТГФ (1 мл). Реакционную смесь перемешивали в течение 20 минут, затем выливали в насыщенный водный NаНСО3 и экстрагировали 80% этилацетат/гексан. Объединенные органические слои сушили (MgSO4). Осушитель отфильтровывали и растворитель концентрировали с получением масла. Неочищенный продукт растворяли в ТГФ (3 мл) и добавляли раствор тетрабутиламмонийфторида в ТГФ (0,5 мл, 0,5 ммоль) при 0°С и перемешивали в течение 30 минут. Реакционную смесь выливали в насыщенный водный NаНСО3 и экстрагировали смесью 80% этилацетат/гексан. Объединенные органические слои сушили (MgSO4), осушитель отфильтровывали и растворитель концентрировали с получением смолы. Флэш-хроматография (5% метанол/хлороформ) давала 0,044 г 5 в виде белого твердого вещества (выход 61%), т.пл. 203-205 C.
1Н-ЯМР (300 МГц, CD3OD): 0,84 (с, 3, СН3), 2,78 (м, 4), 3,30 (м, 2), 3,69 (т, J=5,5 Гц, 2), 5,17 (м, 1), 6,47 (д, J=2,6 Гц, 1, ArH), 6,53 (дд, J= 2,6, 8,5 Гц, 1, ArH), 7,07 (д, J=8,5 Гц, 1, ArH). HRMS рассчит. для 22H31NO2 (М+), 341,2355; найдено, 341,2355.
Пример 3
Получение (Е)-3-гидрокси-21-[3′-(N,N-диметиламино)-пропиламино]-19-норпрегна-1,3,5(10),17(20)-тетраена (6)
К раствору 3-диметиламинопропиламина (0,5 мл, 4,0 ммоль) в ТГФ (0,5 мл) при комнатной температуре в атмосфере аргона добавляли аллилбромид (4) (0,1 г, 0,21 ммоль) в ТГФ (1 мл). Процедуру, описанную в примере 2, использовали с получением 0,15 г 6 в виде белого порошка (выход 19%).
1H-ЯМР (300 МГц, ДМСО-d6): 0,81 (с, 3, СН3), 2,97 (с, 6, N(СН3)2), 3,85 (м, 2), 5,28 (м, 1), 6,46 (д, J=2,6 Гц, 1, ArH), 6,52 (дд, J=2,6, 8,5 Гц, 1, ArH), 7/08 (д, J=8,5 Гц, 1, ArH).
Пример 4
Получение (Е)-3-гидрокси-21-{2′-[2″-(N,N-диметиламино)-этокси]этокси}-19-норпрегна-1,3,5(10),17(20)-тетраена (7)
К раствору 2-[2-диметиламино)этокси]этанола (0,5 г, 3,75 ммоль) в ТГФ (8 мл) при комнатной температуре в атмосфере аргона добавляли раствор гексаметилдисилазида калия в толуоле (7,0 мл, 3,5 ммоль). Полученный раствор перемешивали в течение 5 минут, затем добавляли раствор аллилбромида 4 (0,13 г, 0,27 ммоль) в ТГФ (1,5 мл). После перемешивания в течение 5 минут реакционную смесь выливали в насыщенный водный NаНСО3 и экстрагировали смесью 80% этилацетат/гексан. Объединенные органические слои сушили (МgSO4). Осушитель отфильтровывали и растворитель концентрировали до получения масла. К раствору этого масла в пиридине (1 мл) и CH3CN (2 мл) добавляли смесь гидрофторид/пиридин (1 мл) при 0 С. Полученный мутный раствор перемешивали в течение 2 ч, затем выливали в воду и экстрагировали смесью 80% этилацетат/гексан. Объединенные органические слои сушили (MgSO4). Осушитель отфильтровывали и растворитель концентрировали до получения масла. Флэш-хроматография (этилацетат; 5% метанол/хлороформ) давала 0,032 г 7 в виде смолы (выход 29%).
1Н-ЯМР (300 МГц, CDCl3): 0,79 (с, 3, СН3), 1,12-1,56 (м, 6), 1,79-1,98 (м, 3), 2,11-2,40 (м, 4), 2,45 (с, 6, N(СН3)2), 2,74 (т, J=5,6 Гц, 2), 2,83 (м, 2), 3,56-3,67 (м, 4), 3,69 (т, J=5,6 Гц, 2), 4,01 (м, 2), 5,22 (м, 1), 6,56 (д, J=2,4 Гц, 1, ArH), 6,63 (дд, J=2,4, 8,7 Гц, 1, ArH), 7,15 (д, J=8,7 Гц, 1, ArH). HRMS рассчит. для С26Н39NО3, (М+), 413,2930; найдено, 413,2930.
Пример 5
Получение (Е)-3-гидрокси-21-[3′-(N,N-диметиламино)-пропокси]-19-норпрегна-1,3,5(10),17(20)-тетраена (8)
К раствору 3-диметиламино-1-пропанола (0,15 мл, 1,27 ммоль) в ТГФ (0,5 мл) при комнатной температуре в атмосфере аргона добавляли аллилбромид (4) (0,1 г, 0,21 ммоль) в ТГФ (1 мл). Процедуру, описанную в примере 2, использовали с получением 0,032 г 8 в виде белого порошка (выход 40%), т.пл. 159-161°С.
1Н-ЯМР (300 МГц, CDCl3): 0,79 (с, 3, СН3), 2,38 (с, 6, N(СН3)2), 2,58 (м, 2), 2,81 (м, 2), 3,48 (м, 2), 3,95 (м, 2), 5,19 (м, 1), 6,56 (д, J=2,5 Гц, 1, ArH), 6,61 (дд, J=2,5, 8,5 Гц, 1, ArH), 7,14 (д, J=8,5 Гц, 1, ArH). HRMS рассчит. для 25Н37NO2(М+), 383,2824; найдено, 383,2825.
Следующая схема иллюстрирует синтетические стадии, проводимые в примерах 6-9 с получением антиэстрогенных соединений (9), (10), (11) и (12);
Пример 6
Получение (Е)-3-гидрокси-21-[2′-(N,N-диметиламино)-этантио]-19-норпрегна-1,3,5(10),17(20)-тетраена (9)
К суспензии 2-диметиламиноэтантиола-НСl (86 мг, 0,6 ммоль) в ТГФ (3 мл) при -78°С в атмосфере аргона добавляли раствор н-бутиллития в гексане (0,7 мл, 1/1 ммоль). Полученную смесь нагревали до комнатной температуры, пока белое твердое вещество не растворялось с образованием светло-желтого раствора, и затем этот раствор охлаждали до -78°С. К охлажденному раствору добавляли аллилбромид 4 (0,1 г, 0,21 ммоль) в ТГФ (1,5 мл). После нагревания реакционной смеси до комнатной температуры и перемешивания в течение 10 минут эту смесь выливали в насыщенный водный NаНСО3 и экстрагировали смесью 80% этилацетат/гексан. Объединенные органические слои сушили (MgSO4, осушитель отфильтровывали и растворитель концентрировали с получением масла. Масло растворяли в СН3СN (2 мл) и пиридине (1 мл). HF-пиридин (1 мл) добавляли при 0°С, раствор перемешивали в течение 2 ч и затем экстрагировали смесью 80% этилацетат/гексан. Объединенные органические слои сушили (MgSO4), осушитель отфильтровывали и растворитель концентрировали с получением смолы. Флэш-хроматография (этилацетат; 5% метанол/хлороформ) давала 0,065 г 9 в виде белого твердого вещества (выход 80%), т.пл. 138-140°С.
1Н-ЯМР (300 МГц, CDCl3): 0,74 (с, 3, СН3), 1,01-1,55 (м, 6), 1,75-2,01 (м, 4), 2,32 (с, 6, N(СН3)2), 2,61 (м, 4), 2,79 (м, 2), 3,31 (м, 2), 5,09 (м, 1), 6,52 (д, J=2,7 Гц, 1, ArH), 6,56 (дд, J=2,7, 8,3, 1, ArH), 7,09 (д, J=8,3 Гц, 1, ArH). HRMS рассчит. для C24H35NOS (М+), 385,2439; найдено, 385,2436.
Пример 7
Получение (Е)-3-гидрокси-21-[2′-(пирролидинил)-этокси]-19-норпрегна-1,3,5(10),17(20)-тетраена (10)
К раствору 1-(2-гидроксиэтил)пирролидина (0,15 мл, 1,3 ммоль) в ТГФ (2 мл) при 0°С в атмосфере аргона добавляли раствор гексаметилдисилазида калия в толуоле (2,0 мл, 1,0 ммоль). После перемешивания в течение 5 минут реакционную смесь охлаждали до -78°С и добавляли раствор аллилбромида 4 (0,1 г, 0,21 ммоль) в ТГФ (2 мл). После нагревания реакционной смеси до 0°С в течение 20 минут смесь выливали в насыщенный водный NаНСО3 и экстрагировали смесью 80% этил-ацетат/гексан. Объединенные органические слои сушили (MgSO4), осушитель отфильтровывали и растворитель концентрировали с получением смолы. Смолу растворяли в СН3СN (2 мл) и пиридине (1 мл). HF-пиридин (1,0 мл) добавляли при 0°С, раствор перемешивали в течение 2 ч и затем выливали в воду и экстрагировали смесью 80% этилацетат/гексан. Объединенные органические слои сушили (MgSO4), осушитель отфильтровывали и растворитель концентрировали с получением масла. Флэш-хроматография (этилацетат; 5% метанол/хлороформ) давала 0,039 г 10 в виде белого твердого вещества (выход 47%), т.пл. 149-152°С.
1Н-ЯМР (300 МГц, CDCl3): 0,77 (с, 3, СН3), 1,12 (м, 1), 1,22-1,58 (м, 5), 1,75-1,94 (м, 7), 2,11 (м, 1), 2,33 (м, 3), 2,72-2,90 (м, 8), 3,65 (м, 2), 3,99 (м, 2), 5,19 (м, 1), 6,54 (д, J=2,3 Гц, 1, ArH), 6,60 (дд, J=2,3, 8,0 Гц, 1, ArH), 7,13 (д, J=8,0 Гц, 1, ArH). HRMS рассчит. для С26Н37NО2 (М+), 395,2824; найдено, 395/2823.
Пример 8
Получение (Е)-3-гидрокси-21-[2′-(морфолинил)-этокси]-19-норпрегна-1,3,5(10),17(20)-тетраена (11)
К раствору 4-(2-гидроксиэтил)морфолина (0,15 мл, 1/2 ммоль) в ТГФ (0,5 мл) при комнатной температуре в атмосфере аргона добавляли аллилбромид 4 (0,1 г, 0,21 ммоль) в ТГФ (1 мл). Процедуру, описанную в примере 7, использовали с получением 0,062 г 11 в виде белого порошка (выход 72%), т.пл. 140-142°С.
1Н-ЯМР (300 МГц, CDCl3): 0,79 (с, 3, СН3), 1,18 (м, 1), 1,28-1,60 (м, 5), 1,77-1,98 (м, 3), 2,15 (м, 1), 2,35 (м, 3), 2,53 (м, 4), 2,62 (т, J=5,8 Гц, 2), 2,82 (м, 2), 3,57 (м, 2), 3,74 (м, 4), 3,99 (м, 2), 5,21 (м, 1), 6,55 (д, J=2,6 Гц, 1, ArH), 6,61 (дд, J=2, 6, 8,8 Гц, 1, ArH), 7,15 (д, J=8,8 Гц, 1, ArH). HRMS рассчит. для 26Н37NО3 (М+), 411,2773; найдено, 411,2774.
Пример 9
Получение (Е)-3-гидрокси-21-[2′-(пиперазинил)-этокси]-19-норпрегна-1,3,5(10),17(20)-тетраена (12)
К раствору 1-(2-гидроксиэтил)пиперазина (0,15 мл, 1,22 ммоль) в ТГФ (0,5 мл) при комнатной температуре в атмосфере аргона добавляли аллилбромид 4 (0,1 г, 0,21 ммоль) в ТГФ (1 мл). Процедуру, описанную в примере 1, использовали с получением 0,031 г 12 в виде белого порошка (выход 36%), т.пл. 198-200°С.
1Н-ЯМР (300 МГц, CDCl3): 0,79 (с, 3, СН3), 1,15 (м, 1), 1,22-1,60 (м, 5), 1,75-1,98 (м, 3), 2,16 (м, 1), 2,32 (м, 3), 2,48-2,70 (м, 10), 2,81 (м, 2), 3,01 (м, 2), 3,64 (м, 2), 5,17 (м, 1), 6,54 (д, J=2,3 Гц, 1, ArH), 6,61 (дд, J=2,3, 8,0 Гц, 1, ArH), 7,13 (д, J=8,0 Гц, 1, ArH). HRMS рассчит. для C26H38N2O2 (M+), 410,2933; найдено, 410,2928.
Следующая схема иллюстрирует синтетические стадии, проводимые в примерах 10-14 с получением антиэстрогенных соединений (21), (22), (23), (24), (25) и (27):
Пример 10
Получение (Е)-3-гидрокси-21-[2′-(N,N-диметиламино)-этокси]-19-норпрегна-1,3,5(10),17(20)-тетраена (21)
(а) Синтез 3-ацетокси-19-нор-17 -прегна-1,3,5 (10), 20-тетраен-17-ола (15):
Смесь эстрона 1 (10,0 г, 37 ммоль) и СеСl3 (18,2 г, 74 ммоль) в ТГФ (400 мл) при комнатной температуре в атмосфере аргона перемешивали в течение 16 ч. К этой смеси добавляли раствор винилмагнийбромида в ТГФ (160 мл, 160 ммоль). После перемешивания при комнатной температуре в течение 30 минут реакционную смесь гасили выливанием в насыщенный водный NаНСО3 и экстрагировали смесью 80% этилацетат/гексан. Объединенные органические слои сушили (MgSO4), осушитель отфильтровывали и растворитель концентрировали с получением 3-гидрокси-19-нор-17 -прегна-1,3,5(10),20-тетраен-17-ола в виде твердого вещества.
1Н-ЯМР (300 МГц, CDCl3): 0,93 (с, 3, СН3), 2,80 (м, 2), 5,20 (м, 2), 6,09 (дд, J=10,7, 17,3 Гц, 1), 6,54 (д, J=2,6 Гц, 1, ArH), 6,60 (дд, J=2,6, 8,5 Гц, 1, ArH), 7,10 (д, J=8,5 Гц, 1, ArH).
К раствору 3-гидрокси-19-нор-17 -прегна-1,3,5(10), 20-тетраен-17-ола в ТГФ (150 мл) добавляли пиридин (10 мл) и Ас2О (5 мл) при комнатной температуре в атмосфере аргона. Полученную смесь перемешивали при комнатной температуре в течение 5 ч, затем разбавляли смесью 80% этилацетат/гексан и промывали водной НСl, NаНСО3 и солевым раствором. Органический слой сушили (MgSO4), осушитель отфильтровывали и растворитель концентрировали с получением твердого вещества. Флэш-хроматография (15% этилацетат/гексан) давала 11,7 г 15 в виде белого твердого вещества (выход 93%).
1Н-ЯМР (300 МГц, CDCl3): 0,95 (с, 3, СН3), 2,28 (с, 3, ОАс), 2,86 (м, 2), 5,18 (м, 2), 6,11 (дд, J=10,7, 17,3 Гц, 1), 6,79 (д, J=2,3 Гц, 1, ArH), 6,83 (дд, J=2,3, 8,3 Гц, 1, ArH), 7,27 (д, J=8,3 Гц, I/ ArH).
(b) Синтез (Е)-3-ацетокси-21-бром-19-норпрегна-1,3,5(10),17(20)-тетраена (18):
К раствору РВr3 в CH2Cl2 (0,7 мг, 0,7 ммоль) и толуола (5 мл) добавляли смесь 3-ацетокси-19-нор-17 -прегна-1,3,5(10),20-тетраен-17-ола (15) (0,25 г, 0,73 ммоль) и пиридина (0,06 мл, 0,74 ммоль) в толуоле (3 мл). Полученную смесь перемешивали при 0°С в течение 1,5 ч, затем гасили выливанием в холодную воду и экстрагировали смесью 40% этилацетат/гексан. Органический слой промывали насыщенным водным NаНСО3 и солевым раствором и сушили (МgSО4). Осушитель отфильтровывали и растворитель концентрировали с получением белого твердого вещества. Быстрое фильтрование через пробку силикагеля в смеси 10% этилацетат/гексан давало 0,25 г 18 в виде белого твердого вещества (выход 85%), т.пл. 142-145°С.
1Н-ЯМР (300 МГц, CDCl3): 0,81 (с, 3, СН3), 2,29 (с, 3, СОСН3), 2,88 (м, 2), 4,02 (д, J=8,5 Гц, 2), 5,43 (м, 1), 6,80 (д, J=2,3 Гц, 1, ArH), 6,85 (дд, J=2,3, 8,3 Гц, 1, ArH), 7,30 (д, J=8,3 Гц, 1, ArH). HRMS рассчит. для C22H27BrO2 (M+), 402,1195; найдено, 402,1203.
(c) Синтез (Е)-3-гидрокси-21-[2′-(N,N-диметиламино)-этокси]-19-норпрегна-1,3,5(10),17(20)-тетраена (21):
К раствору N,N-диметилэтаноламина (0,6 мл, 6,0 ммоль) в ТГФ (8 мл) при 0°С в атмосфере аргона добавляли гексаметилдисилазид калия в толуоле (11,5 мл, 5,75 ммоль). Раствор перемешивали в течение 5 минут, затем охлаждали до-78°С. (Е)-3-ацетокси-21-бром-19-норпрегна-1,3,5(10),17(20)-тетраен (18) (0,2 г, 0,5 ммоль) в ТГФ (3 мл) добавляли и реакционную смесь нагревали до 0°С в течение 30 минут. Полученный желтый мутный раствор выливали в насыщенный водный NaHCO3 и экстрагировали смесью 80% этилацетат/гексан. Объединенные органические слои сушили (MgSO4), осушитель отфильтровывали и растворитель концентрировали с получением масла. Флэш-хроматография (5% метанол/хлороформ) давала 0,11 г 21 в виде белого твердого вещества (выход 60%), т.пл. 123-124°С.
1Н-ЯМР (300 МГц, CDCl3): 0,75 (с, 3, СН3), 1,04 (м, 1), 1,20-1,56 (м, 5), 1,72-1,92 (м, 3), 2,04 (м, 1), 2,30 (м, 3), 2,33 (с, 6, N(СН3)2), 2,60 (т, J=5,7 Гц, 2), 2,80 (м, 2), 3,56 (м, 2), 3,98 (м, 2), 5,19 (м, 1), 6,53 (д, J=2,7 Гц, 1, ArH), 6,58 (дд, J=2,7, 8,3 Гц, 1, ArH), 7,11 (д, J=8,3 Гц, 1, ArH). Анал. рассчитано для C24H35NO2: С, 78,0; Н, 9,55; N, 3,79; найдено: С, 77,9; Н, 9,50; S, 3,80. HRMS рассчит. для C24H35NO2 (M+), 369,2667; найдено, 369,2666.
Пример 11
Получение (Е) -3-гидрокси-7 -метил-21-[2′-(N,N-диметил-амино)этокси]-19-норпрегна-1,3,5(10),17(20)-тетраена (22)
(а) Синтез (Е) -3-ацетокси-7(х-метил-21-бром-19-норпрегна-1,3,5(10),17(20)-тетраена (19):
При помощи процедуры, описанной в стадии (а) примера 10, с заменой эстрона 7 -метилэстроном (13) (0,93 г, 3,27 ммоль), получали 3-гидрокси-7 -метил-19-нор-17 -прегна-1,3,5(10),20-тетраен-17-ол в виде масла.
1H-ЯМР (300 МГц, СDСl3): 0,82 (д, J=7,0 Гц, 3, СН3), 0,95 (с, 3, СН3), 2,50 (д, J=17,0 Гц, 1), 3,04 (дд, J=6, 6, 17,0 Гц, 1), 5,19 (м, 2), 6,12 (дд, J=10,7, 17,3 Гц, 1), 6,54 (д, J=2,5 Гц, 1, ArH), 6,61 (дд, J=2,5, 8,5 Гц, 1, ArH), 7,14 (д, J=8,5 Гц, 1, ArH).
3-гидрокси-7 -метил-19-нор-17 -прегна-1, 3,5(10), 20-тетраен-17-ол ацетоксилировали, как описано в стадии (а) примера 10, с получением 16 (бледно-желтой формы).
1H-ЯМР (300 МГц, СDСl3): 0,83 (д, J=7,1 Гц, 3, СН3), 0,95 (с, 3, СН3), 2,27 (с, 3, СОСН3), 2,55 (д, J=17,0 Гц, 1), 3,09 (дд, J=6,7, 17,0 Гц, 1), 5,18 (м, 2), 6,12 (дд, J=10,7, 17,3 Гц, 1), 6,77 (д, J=2,5 Гц, 1, ArH), 6,83 (дд, J=2,5, 8,5 Гц, 1, ArH), 7,27 (д, J=8,5 Гц, 1, ArH).
При помощи процедуры, описанной в стадии (b) примера 10, 0,98 г (Е)-3-ацетокси-7а-метил-21-бром-19-норпрегна-1,3,5(10),17(20)-тетраена (19) получали из 16 в виде смолы (выход 72%).
1H-ЯМР (300 МГц, СDСl3): 0,81 (с, 3, СН3), 0,85 (д, J=7,1 Гц, 3, СН3), 2,27 (с, 3, СОСН3), 2,57 (д, J=16,8 Гц, 1), 3,10 (дд, J=6,6, 16,8 Гц, 1), 4,02 (д, J=8,5 Гц, 2), 5,42 (м, 1), 6,78 (д, J=2,3 Гц, 1, ArH), 6,84 (дд, J=2,3, 8,8 Гц, 1, ArH), 7,29 (д, J=8,8 Гц, 1, ArH).
(b) Синтез (Е)-3-гидрокси-7 -метил-21-[2′-(N,N-диметиламино)этокси]-19-норпрегна-1,3,5(10),17(20)-тетраена (22):
При помощи процедуры, описанной в стадии (с) примера 10, 0,11 г 22 получали в виде белого твердого вещества (выход 60%), т.пл. 129-132°С.
1H-ЯМР (300 МГц, СDСl3): 0,78 (с, 3, СН3), 0,81 (д, J=7,2 Гц, 3, СН3), 2,32 (с, 6, N(СН3)2), 2,50 (д, J=16,8 Гц, 2), 2,59 (т, J=5,7 Гц, 2), 3,04 (дд, J=6, 6, 16,8 Гц, 1), 3,56 (м, 2), 3,99 (м, 2), 5,22 (м, 1), 6,53 (д, J=2,5 Гц, 1, ArH), 6,61 (дд, J=2,5, 8,4 Гц, 1, ArH), 7,15 (д, J=8,4 Гц, 1, ArH).
Пример 12
Получение (Е)-3-гидрокси-2-метокси-21-[2′-(N,N-диметиламино)этокси]-19-норпрегна-1,3,5(10),17(20)-тетраена (23)
(а) Синтез 3-ацетокси-2-метокси-19-нор-17 -прегна-1,3,5(10),20-тетраен-17-ола (20):
При помощи процедуры, описанной в стадии (а) примера 10, с заменой эстрона 2-метоксиэстроном (14) (0,6 г, 2,0 ммоль), 3-гидрокси-2-метокси-19-нор-17 -прегна-1,3,5(10),20-тетраен-17-ол получали в виде масла.
1H-ЯМР (300 МГц, СDСl3): 0,95 (с, 3, СН3), 3,84 (с, 3, ОСН3), 5,17 (м, 2), 6,10 (дд, J=10,8, 17,4 Гц, 1), 6,63 (с, 1, ArH), 6,77 (с, 1, ArH).
3-гидрокси-2-метокси-19-нор-17 -прегна-1,3,5(10),20-тетраен-17-ол ацетоксилировали, как описано в стадии (а) примера 10, с получением 17 в виде смолы.
1H-ЯМР (300 МГц, СDСl3): 0,96 (с, 3, СН3), 2,30 (с, 3, ОАс), 3,80 (с, 3, ОСН3), 5,18 (м, 2), 6,11 (дд, J=10,7, 17,3 Гц, 1), 6,73 (с, 1, ArH), 6,88 (c, 1, ArH).
При помощи процедуры, описанной в стадии (b) примера 10, 0,3 г 20 получали из 17 в виде смолы (выход 35%).
1H-ЯМР (300 МГц, СDСl3): 1,00 (с, 3, СН3), 2,29 (с, 3, СОСН3), 3,80 (с, 3, ОСН3), 5,30 (м, 2), 6,14 (м, 1), 6,73 (с, 1, ArH), 6,86 (с, 1, ArH).
(b) Получение (Е)-3-гидрокси-2-метокси-21-[2′-(N,N-диметиламино)этокси]-19-норпрегна-1,3,5(10),17(20)-тетраена (23):
При помощи процедуры, описанной в стадии (с) примера 10, получали 0,15 г 23 в виде белого твердого вещества (выход 54%), т.пл. 94-95°С.
1H-ЯМР (300 МГц, СDСl3): 0,81 (с, 3, СН3), 2,29 (с, 6, N(СН3)2), 2,53 (m, J=5,8 Гц, 2), 2,77 (м, 2), 3,53 (т, J=5,8 Гц, 2), 3,86 (с, 3, ОСН3), 4,00 (м, 2), 5,24 (м, 1), 6,64 (c, 1, ArH), 6,80 (c, 1, ArH). HRMS рассчит. для С25Н37NО3 (М+), 399,2773; найдено, 399,2771.
Пример 13
Получение (Е)-3-гидрокси-21-[2′-(N,N-диэтиламино)-этокси]-19-норпрегна-1,3,5(10),17(20)-тетраена (24)
Амин 24, который получали из аллилбромида 18 (0,11 г, 0,26 ммоль) и N,N-диметилэтаноламина (0,2 мл, 1,5 ммоль) с использованием той же самой процедуры, которая описана для амина 21, получали в виде белого твердого вещества (0,074 г, 72%).
1H-ЯМР (300 МГц, СDСl3): 0,78 (с, 3, СН3), 1,24 (т, J=7,1 Гц, 6, N(СН2СН)2), 2,78 (м, 2), 3,00 (м, 6), 3,70 (м, 2), 3,96 (м, 2), 5,14 (м, 1), 6,54 (д, J=2, 5 Гц, 1, ArH), 6,60 (дд, J=2,5, 8,5 Гц, 1, ArH), 7,11 (д, J=8,5 Гц, 1, ArH). HRMS рассчит. для 25Н37NО2 (М+), 397,2981; найдено, 397,2985.
Пример 14
Получение(Е)-3-гидрокси-21-[2′-(N,N-диметиламино)-2-пропокси]-19-норпрегна-1,3,5(10),17(20)-тетраена (27)
При помощи процедуры, описанной в стадии (с) примера 10, (Е)-3-ацетокси-21-бром-19-норпрегна-1,3,5(10),17(20)-тетраен (18, 0,15 г, 0,37 ммоль) взаимодействовал с 1-диметиламино-2-пропанолом (0,3 мл, 2,4 ммоль) с образованием 0,075 г смеси диастереомеров 1:1 27 в виде белого порошка (выход 53%).
1H-ЯМР (диастереомера А) (300 МГц, CDCl3): 0,75 (с, 3, СН3), 1,17 (д, J=6,2 Гц, 3, СН3), 2,33 (с, 6, N(СН3)2), 2,79 (м, 2), 3,68 (м, 1), 4,01 (м, 2), 5,20 (м, 1), 6,54 (д, J=3,0 Гц, 1, ArH), 6,60 (дд, J=3,0, 8,3 Гц, 1, ArH), 7,10 (д, J=8,3 Гц, 1, ArH);
1H-ЯМР (диастереомера В) (300 МГц, СDСl3): 0,75 (с, 3, СН3), 1,18 (д, J=6,2 Гц, 3, СН3), 2,33 (с, 6, N(CH3)2), 2,79 (м, 2), 3,68 (м, 1), 3,90 (дд, J=5,6, 11,5 Гц, 1), 4,12 (дд, J=7,7, 11,5 Гц, 1), 5,20 (м, 1), 6,54 (д, J=3,0 Гц, 1, ArH), 6,61 (дд, J=3,0, 8,3 Гц, 1, ArH), 7,12 (д, J=8,3 Гц, 1, ArH).
Пример 15
Получение (Z)-3-гидрокси-21-[2′-(N,N-диметиламино)-этокси]-19-норпрегна-1,3,5(10),17(20)-тетраена (32)
(а) Получение этил(Е)- и (Z)-3-трет-бутилдиметил-силилокси-19-норпрегна-1,3,5(10),17(20)-тетраен-21-оата (28) и (29):
К раствору триэтилфосфоноацетата (2,24 г, 10,1 ммоль) в ТГФ (30 мл) в атмосфере аргона при комнатной температуре добавляли трет-бутоксид калия в ТГФ (9,1 мл, 9,1 ммоль). После перемешивания в течение 1,0 ч, добавляли 3-трет-бутилдиметилсилилоксиэстрон (2, 1,75 г, 4,55 ммоль) в ТГФ (10 мл) и раствор нагревали при температуре дефлегмации в течение ночи. Реакционную смесь выливали в насыщенный водный NаНСО3 и экстрагировали смесью 40% этилацетат/гексан. Объединенные органические слои сушили (МgSO4), осушитель отфильтровывали и растворитель концентрировали с получением смеси Е- и Z-изомеров, 28 и 29, в виде желтого твердого вещества. Хроматография (гексан; 2,5% EtOAc) давала 1,4 г Е-изомера 28 (выход 68%) и 0,2 г Z-изомера 29 (выход 10%).
(28): т.пл. 109-110°С; Rf 0,56 (10% EtOAc/гексан):1H-ЯМР (300 МГц, СDСl3): 0,19 (с, 6, Si(СН3)2), 0,86 (с, 3 СН3), 0,98 (с, 9, SiС(СН3)3), 1.29 (т, J=7,1 Гц, 3, СО2СН2СН3), 4,16 (к, J=7, 1 Гц, 2, СO2СН2СН3), 5,59 (т, J=2,4 Гц, 1), 6,56 (д, J=2,6 Гц, 1, ArH), 6,61 (дд, 2,6, 8,3 Гц, 1, ArH), 7,12 (д, J=8,3 Гц, 1, ArH).
(29): т.пл. 154-156°C; Rf 0,5 (10% EtOAc/гексан): 1H-ЯМР (300 МГц, СDСl3): 0,18 (с, 6, Si (СН3)2), 0,98 (с, 9, SiC (СН3)3), 1,04 (с, 3, СН3), 1,29 (т, J=7,1 Гц, 3, СО2СН2СН3), 4,14 (к, J=7,1 Гц, 2, СО2СН2СН3), 5,68 (т, J=2,0 Гц, 1), 6,55 (д, J=2,0 Гц, 1, ArH), 6,61 (дд, 2,0, 8,6 Гц, 1, ArH), 7,12 (д, J=8,6 Гц, 1, ArH).
(b) Получение (Z)-3-трет-бутилдиметилсилилокси-21-гидрокси-19-норпрегна-1,3,5(10),17(20)-тетраена (30)
К раствору (Z)-3-трет-бутилдиметилсилилокси-19-норпрегна-1,3,5(10),17(20)-тетраен-21-оата (29, 0,1 г, 0,22 ммоль) в ТГФ (5 мл) добавляли литийалюминийгидрид (0,015 г, 0,4 ммоль) при 0°С. После перемешивания в течение 1 ч в атмосфере аргона реакционную смесь гасили водой. Белый осадок удаляли фильтрованием и промывали несколько раз смесью 80% EtOAc/гексан. Фильтрат сушили (MgSO4), осушитель отфильтровывали и растворитель концентрировали с получением 30 в виде твердого вещества.
1H-ЯМР (300 МГц, СDСl3): 0,18 (с, 6, Si(CH3)2), 0,93 (с, 3, СН3), 0,98 (с, 9, SiС(СН3)3), 4,20 (м, 1), 4,34 (м, 1), 5,35 (м, 1), 6,55 (д, J=2,7 Гц, 1, ArH), 6,61 (дд, J=2,7, 8,3 Гц, 1, ArH), 7,11 (д, J=8,3 Гц, 1, ArH).
(c) Получение (Z)-3-трет-бутилдиметилсилилокси-21-бромид-19-норпрегна-1,3,5(10),17(20)-тетраена (31)
К раствору (Z)-3-трет-бутилдиметилсилилокси-21-гидрокси-19-норпрегна-1,3,5(10),17(20)-тетраена (30) в толуоле (10 мл) добавляли пиридин (0,04 мл, 0,49 ммоль) и РВr3 в СН2Сl2 (0,24 мл, 0,24 ммоль) при -78°С в атмосфере аргона. После перемешивания в течение 2 ч реакционную смесь гасили выливанием в смесь воды со льдом и экстрагировали смесью 40% этилацетат/гексан. Органический слой промывали насыщенным водным NaHCO3 и солевым раствором и сушили (MgSO4). Осушитель отфильтровывали и растворитель концентрировали с получением 31 в виде смолы.
1H-ЯМР (300 МГц, СDСl3): 0,18 (с, 6, Si(СН3)2), 0,85 (с, 3, СН3), 0,98 (с, 9, SiC(СН3)3), 4,19 (м, 2), 5,48 (м, 1), 6,55 (д, J=2,5 Гц, 1, ArH), 6,61 (дд, J=2,5, 8,5 Гц, 1, ArH), 7,12 (д, J=8,5, 1, ArH).
(d) Получение (Z)-3-гидрокси-21-[2′-(N,N-диметиламино)этокси]-19-норпрегна-1,3,5(10),17(20)-тетраена (32)
К раствору N,N-диметилэтаноламина (0,15 мл, 1,3 ммоль) в ТГФ (2 мл) при 0°С в атмосфере аргона добавляли гексаметилдисилазид калия в толуоле (2,0 мл, 1,0 ммоль). После перемешивания в течение 5 минут реакционную смесь охлаждали до -78°С и добавляли (Z)-3-трет-бутилдиметил-силилокси-21-бромид-19-норпрегна-1,3,5(10),17(20)-тетраен (31, 0,1 г, 0,21 ммоль) в ТГФ (2 мл). Раствор нагревали до 0°С в течение 20 минут, затем выливали в насыщенный водный NаНСО3 и экстрагировали смесью 80% этилацетат/гексан. Объединенные органические слои сушили (МgSO4), осушитель отфильтровывали и растворитель концентрировали с получением смолы. К раствору этой смолы в СН3СN (2 мл) и пиридине (1 мл) добавляли HF-пиридин (1,0 мл) при 0°С. После перемешивания в течение 2 ч мутный раствор выливали в воду и экстрагировали смесью 80% этилацетат/гексан. Объединенные органические слои сушили (MgSO4), осушитель отфильтровывали и растворитель концентрировали с получением масла. Флэш-хроматография (этилацетат; 5% метанол/хлороформ) давала белое твердое вещество. Перекристаллизация (СН2Сl2) давала 0,023 г 32 в виде белого твердого вещества (выход 28% из 29).
1H-ЯМР (300 МГц, СDСl3): 0,88 (с, 3, СН3), 2,38 (с, 6, N(СН3)2), 2,66 (т, J=5,8 Гц, 2), 2,79 (м, 2), 3,58 (т, J=5, 8 Гц, 2), 4,06 (м, 1), 4,17 (м, 1), 5,22 (м, 1), 6,53 (д, J=2,4 Гц, 1, ArH), 6,59 (дд, J-2,4, 8,2 Гц, 1, ArH), 7,09 (д, J=8,2 Гц, 1, ArH).
Следующая схема иллюстрирует получение соединений (33) и (34), как описано в примерах 16 и 17:
Пример 16
Получение (Е)-3-гидрокси-21-(N-метил-3-(R,S)-пирролидин-окси)-19-норпрегна-1,3,5(10),17(20)-тетраена (33)
К раствору 1-метил-3-пирролидинола (500 мкл, 4,55 ммоль) в сухом ТГФ (6 мл) при 0°С в атмосфере аргона добавляли 0,5 М раствор бис(триметилсилил)амида калия в толуоле (8,3 мл, 4,15 ммоль) и перемешивали в течение 5 минут. Раствор охлаждали до -78°С и добавляли раствор аллил-бромида, (Е)-3-ацетокси-21-бром-19-норпрегна-1,3,5(10)-17 (20)-тетраена (18, 333 г, 823 мкмоль) в сухом ТГФ (5 мл) и реакционную смесь нагревали до 0°С в течение 30 минут. Мутный желтый раствор выливали в насыщенный водный NаНСО3 и экстрагировали этилацетатом. Органический слой сушили (Na2SO4) и упаривали до масла. Флэш-хроматография (5-10% метанол/дихлорметан) давала желаемый амин 33 в виде пенооб-разного вещества нестандартного белого цвета (0,025 7,9%).
1H-ЯМР (300 МГц, СDСl3): 0,73 (с, 3, СН,), 1,10-1,54 (м, 7), 1,72-2,38 (м, 8), 2,56 (с, 3, NCH3), 2,67-2,91 (м, 4), 3,02 (м, 1), 3,21 (м, 1), 3,7 (шир. с, 1), 3,89 (м, 2), 4,12 (м, 1), 5,11 (м, 1), 6,49 (д, J=2,6 Гц, 1, ArH), 6,57 (дд, J=2,6, 8,3 Гц, 1, ArH), 7,04 (д, J=8,3 Гц, 1, ArH).
Пример 17
Получение (Е)-3-гидрокси-21-(N-метил-2(S)-пирролидинил-метокси)-19-норпрегна-1,3,5(10),17(20)-тетраена (34)
Амин 34 получали из аллилбромида (Е)-3-ацетокси-21-бром-19-норпрегна-1,3,5(10),17(20)-тетраена (0,2 г, 496 мкмоль) и (S)-1-метил-2-пирролидинметанола (314 мг, 2,73 ммоль) с использованием той же самой процедуры, которая описана в примере 16 для получения амина 33, с получением белого твердого вещества (0,070 г, 36%); т.пл. 175-177°С.
1H-ЯМР (300 МГц, СDСl3): 0,72 (с, 3, СН3), 1,07-1,98 (м, 13), 2,05-2,45 (м, 9, включает в себя с, 2,35, NCH3), 2,76 (м, 2), 2,97 (м, 1), 3,30 (дд, J=6, 8 Гц), 3,43 (дд, J=6, 12 Гц), 3,6 (шир. с, 1), 3,91 (м, 2), 5,12 (м, 1), 6,48 (д, J=2,6 Гц, 1, ArH), 6,52 (дд, J=2, 6, 8,3 Гц, 1, ArH), 7,05 (д, J=8,3 Гц, 1, ArH).
Следующая схема иллюстрирует получение соединений (35) и (36), как описано в примерах 18 и 19:
Пример 18
Получение (Е)-3-гидрокси-2-N,N-диметиламинометил-21-[2′-(N’,N’ -диметиламино)этокси]-19-норпрегна-1,3,5(10),17(20)-тетраена (35)
К перемешиваемому раствору 100 мг (0,271 ммоль) (Е)-3-гидрокси-21-[2′-(диметиламино)этокси]-19-норпрегна-1,3,5(10),17(20)-тетраена 21 в 3 мл бензола и 5 мл этанола добавляли 10 мг параформальдегида и 0,054 г (0,528 ммоль) N,N,N’,N”-тетраметилдиаминоэтана и смесь нагревали при 85°С в течение 15 ч в атмосфере аргона. Затем реакционную смесь охлаждали, летучие компоненты удаляли под высоким вакуумом и остаток подвергали хроматографии (силикагель, 5-10% Ме-ОН/СНСl3) с получением 0,077 г (67%) продукта 35.
1H-ЯМР (300 МГц, СDСl3): 0,80 (с, 3Н), 2,32 (2, 12Н), 2,57 (т, 2Н, J=5,8 Гц), 2,82 (шир.д, 2Н), 3,59-3,70 (м, 4Н), 4,00 (т, 2Н, J=5,8 Гц), 5,22 (м, 1Н), 6,56 (2, 1Н), 6,89 (с, 1Н). MS(DCI) рассчитано для CHNO, 427; найдено 427 (М+Н; 100%).
Пример 19
Получение 3-гидрокси-2-N,N-диметиламинометил-21-[2′-[N,N’-диметиламино)этокси]-19-норпрегна-1,3,5(10)триена (36)
К перемешиваемому раствору 0,040 г (0,09 ммоль) (Е)-3-гидрокси-2-диметиламинометил-21-[2-(диметиламино)этокси]-19-норпрегна-1,3,5(10),17(20)-тетраена 35 в 4 мл этанола добавляли 5 мг 10% палладия на угле и смесь перемешивали при комнатной температуре в атмосфере водорода в течение 14 ч, фильтровали через подушку целита, промывали этилацетатом и фильтрат упаривали при комнатной температуре с получением остатка, который хроматографировали (10% МеОН/СНСl3) с получением 0,039 г (96%) продукта 36.
1H-ЯМР (300 МГц, СDСl3): 0,62 (с, 3Н), 2,32 (с, 6Н), 2,42 (с, 6Н), 2,65 (т, 2Н, J=5, 8 Гц), 3,40-3,70 (м, 6Н), 6,57 (с, 1Н), 6,88 (с, 1Н). MS(DCI) рассчит. для CHNO, 429; найдено, 429 (М+Н, 100%).
Следующая схема иллюстрирует получение соединения 45, как описано в примере 20.
Пример 20
Получение 3-гидрокси-11E-[2′-(2″-N,N-диметиламино-этоксиэтилиден)-1,3,5(10)-17-эстрона (45)
(а) Получение 3-трет-бутилдифенилсилилокси-17-этилен-диоксиэстра-1,3,5 (10)-триен-11-ола (38):
К перемешиваемому раствору 6,3 г (0,019 моль) 3-гидрокси-17-этилендиоксиэстра-1,3,5(10)-11-ола (37) в 20 мл безводного ДМФ добавляли 2,86 г (0,042 моль) имидазола и 5,46 г (0,021 моль) трет-бутилдифенилсилилхлорида последовательно при комнатной температуре в атмосфере аргона и смесь перемешивали при 60°С в течение 24 ч, охлаждали до комнатной температуры, разбавляли водой и экстрагировали эфиром. Объединенный органический экстракт промывали водой, солевым раствором и сушили (Na2SO4). Выпаривание растворителя давало пену, которую хроматографировали (30% этилацетат/гексаны) с получением 6,5 г (60%) промежуточного продукта 38 в виде белого твердого вещества.
1H-ЯМР (300 МГц, СDСl3): 0,87 (с, 3Н), 1,17 (с, 9Н), 2,69 (шир.д, 2Н), 3,85-3,98 (м, 4Н), 4,15 (м, 1Н), 6,60 (м, 2Н), 7,34-7,48 (м, 6Н), 7,69 (д, 1Н, J=8,5 Гц), 7,80 (м, 4Н).
(b) Получение 3-трет-бутилдифенилсилилокси-17-этилендиоксиэстра-1,3,5(10)-триен-11-она (39):
К перемешиваемому раствору 1,5 мл (16,5 ммоль) оксалилхлорида в 15 мл свежеперегнанного дихлорметана добавляли по каплям 2,35 мл (33,0 ммоль) диметилсульфоксида при -65°С (баня со смесью хлороформ/сухой лед) в атмосфере аргона. Спустя 10 минут добавляли по каплям раствор 6,2 г (10,9 ммоль) 3-трет-бутилдифенилсилилокси-17-этилен-диоксиэстра-1,3,5(10)-триен-11-ола 38 в 15 мл дихлорметана и реакционную смесь перемешивали в течение 40 минут при той же самой температуре. Затем добавляли 12 мл (87,3 ммоль) триэтиламина при -65°С, медленно давали достичь комнатной температуры, промывали насыщенным раствором NH4Cl, водой, солевым раствором и сушили (Nа2SO4). Выпаривание растворителя давало смолу, которую хроматографировали (15% этилацетат/гексаны) с получением 5,18 г (84%) продукта 39.
1H-ЯМР (300 МГц, СDСl3): 0,91 (с, 3Н), 1,16 (с, 9Н), 2,88 (д, 1Н, J=12,7 Гц), 3,50 (д, 1Н), 3,80-4,00 (м, 4Н), 6,59 (шир.д, 1Н), 6,65 (шир.д, 1Н), 7,13 (д, 1Н, J=8,5 Гц), 7,40 (м, 6Н), 7,70 (м, 4Н). MS(DCI) 584 (M+NH4, 100%), 567 (М+Н, 30)
(c) 3-трет-бутилдифенилсилилокси-11 -(1-этенил)-17- этилендиоксиэстра-1,3,5 (10)-триен-11 -ол (40):
3,28 г (1,76 ммоль) гептагидрата хлорида церия (III) помещали в круглодонную колбу и нагревали под высоким вакуумом при 120°С в течение 2 ч, охлаждали до комнатной температуры в атмосфере аргона. Затем добавляли 10 мл сухого ТГФ и суспензию перемешивали в течение 1 ч до образования стойкой молочно-белой суспензии. Колбу охлаждали до -78°С и медленно добавляли 1 М раствор 5,28 мл (5,28 ммоль) винилмагнийбромида в атмосфере аргона и смесь перемешивали в течение 1 ч при той же самой температуре. Затем добавляли по каплям раствор 3,28 г (8,8 ммоль) 3-трет-бутилдифенилсилилокси-17-этилендиоксиэстра-1,3,5(10)-триен-11-она 39 в 20 мл ТГФ при -78°С, эту смесь перемешивали при -40°С (баня со смесью ацетонитрил/сухой лед) в течение 3 ч, гасили насыщенным раствором NH4Cl, экстрагировали эфиром. Объединенные эфирные слои промывали водой, солевым раствором и сушили (Na2SO4). Выпаривание растворителя давало 0,860 мг (82%) продукта 40 в виде белого твердого вещества.
1H-ЯМР (300 МГц, СDСl3): 1,10 (с, 9Н), 1,16 (с, 3Н), 3,80-3,95 (м, 4Н), 5,10 (д, 1Н), 6,62 (д, 1Н), 7,40 (м, 6Н), 7,68 (д, 1Н), 7,78 (м, 4Н). MS(DCI): 612 (M+NH4, 100%), 595 (М+Н, 10).
(d) 3-трет-бутилдифенилсилилокси-11E-(2′-хлорэтилиден)-17-этилендиоксиэстра-1,3,5(10)-триен (41):
К перемешиваемому раствору 0,80 г (1,34 ммоль) 3-трет-бутилдифенилсилилокси-11 -(1-этенил)-17-этилендиоксиэстра-1, 3, 5 (10)-триен-11(3–ола 40 и (0,689 г, 3,35 ммоль) дитрет-бутил-4-метилпиридина в 15 мл сухого дихлорметана добавляли по каплям 0,17 мл (1,61 ммоль) тетрахлорида ванадия при -20°С в атмосфере аргона. Смесь перемешивали в течение 3 ч, давая ей нагреться до комнатной температуры. Смесь промывали водой, солевым раствором и сушили (Na2SO4). Выпаривание растворителя давало остаток, который хроматографировали (10% этилацетат/гексаны) с получением 0,263 г (32%) продукта 41:
1H-ЯМР (300 МГц, СDСl3): 0,80 (с, 3Н), 1,10 (с, 9Н), 3,10 (д, 1Н, J=2,7 Гц), 3,92 (м, 4Н), 4,00-4,24 (м, 2Н), 5,69 (5, 1Н, J=8,5 Гц), 6,62 (м, 2Н), 6,95 (д, 1Н, J=8,5 Гц), 7,40 (м, 6Н), 7,72 (м, 4Н). MS(DCI): 630 (M+NH4, 20%), 613 (М+Н, 40), 577 (М+Н-НСl, 100).
(е) Получение 3-трет-бутилдифенилсилилокси-11E-(2′-ацетоксиэтилиден)-17-этилендиоксиэстра-1,3,5(10)-триена (42):
К перемешиваемому раствору 0,3 г (0,49 ммоль) 3-трет-бутилдифенилсилилокси-11Е-(2′-хлорэтилиден)-17-этилендиоксиэстра-1,3,5(10)-триена 41 в 5 мл безводного ДМФ добавляли 0,482 г (4,89 ммоль) ацетата калия и смесь перемешивали при комнатной температуре в течение 24 ч, выливали в воду и экстрагировали эфиром. Объединенный органический экстракт промывали водой, солевым раствором и сушили (Na2SO4). Выпаривание растворителя давало остаток, который хроматографировали
(15% этилацетат/гексаны) с получением 0,162 г (52%) продукта 42.
1H-ЯМР (300 МГц, СDСl3): 0,80 (с,3Н), 1,10 (с, 9Н), 2,00 (с, 3Н), 2,16 (д, 1Н, J=12,2 Гц), 3,07 (д, 1Н, J=10,4 Гц), 3,95 (м, 4Н), 4,54 (дд, 1Н, J=12,4 Гц, J=6,44 Гц), 4,71 (дд, 1Н, J=12,4 Гц, J=6,44 Гц), 4,71 (дд, 1Н, J=12,4 Гц, J=7,40 Гц), 5,48 (т, 1Н, J=6,7 Гц), 6,54 (м, 2Н), 6,96 (д, 1Н, J=9,5 Гц), 7,40 (м, 6Н), 7,74 (м, 4Н). MS(DCI): 654 (M+NH4, 100%), 577 (М-НОАс+Н, 80).
(f) Получение 3-трет-бутилдифенилсилилокси-11E-(2′-гидроксиэтилиден)-17-этилендиоксиэстра-1,3,5(10)-триена (43):
К перемешиваемому раствору 0,06 г (0,094 ммоль) 3-трет-бутилдифенилсилилокси-11E-(2′-ацетоксиэтилиден)-17-этилендиоксиэстра-1,3,5(10)-триена 42 в 3 мл метанола добавляли несколько капель 3% раствора метоксида натрия в метаноле и эту смесь перемешивали при комнатной температуре в течение 3 ч, гасили насыщенным раствором NH4Cl, концентрировали при комнатной температуре, остаток суспендировали в воде и экстрагировали этилацетатом. Объединенный органический экстракт промывали водой, солевым раствором и сушили (Na2SO4). Выпаривание растворителя давало остаток, который хроматографировали (20% этилацетат/гексаны) с получением 0,056 г (96%) продукта 43.
1H-ЯМР (300 МГц, СDСl3): 0,70 (с, 3Н), 0,98 (с, 9Н), 2,98 (д, 1Н, J=12,7 Гц), 3,80 (м, 4Н), 3,95-4,22 (м, 2Н), 5,48 (т, J=6,8 Гц), 6,45 (м, 2Н), 6,90 (д, 1Н, J=8,5 Гц), 7,30 (м, 6Н), 1, 65 (м, 4Н).
(g) Получение 3-гидрокси-11E-[2′-(2″-N,N-диметил-аминоэтоксиэтилиден)-1,3,5(10)-17-эстрона (45):
К суспензии 113 мг (2,83 ммоль) гидрида натрия (60% в парафине) в 3 мл безводного ДМФ добавляли 40 мг (0,283 ммоль) гидрохлорида 2-хлорэтиламина при 0°С и эту смесь перемешивали в течение 10 минут Затем добавляли по каплям раствор 54 мг (0,09 ммоль) 3-трет-бутилдифенилсилилокси-11Е-(2′-гидроксиэтилиден)-17-этилендиокси-эстра-1,3,5 (10)-триена 43 в 3 мл безводного ДМФ, и эту смесь нагревали при 50°С в атмосфере аргона в течение 2 ч, охлаждали, разбавляли водой и экстрагировали эфиром. Объединенный органический экстракт промывали водой, солевым раствором и сушили (Na2SO4). Выпаривание растворителя давало 3-трет-бутилдифенилсилилокси-11Е-(2′-(2″-диметиламиноэтоксиэтилиден)-17-этилендиоксиэстра-1,3,5(10)-триен 44, к которому добавляли 10 мл 3% раствора хлористого водорода в метаноле. Смесь перемешивали в течение 3 ч при комнатной температуре, гасили безводным раствором NH4Cl, концентрировали при комнатной температуре и остаток распределяли между водой и этилацетатом и слои разделяли. Водную фазу экстрагировали этилацетатом, который промывали водой, солевым раствором и сушили (Nа2SO4). Выпаривание растворителя давало остаток, который хроматографировали (10% МеОН/СНСl3) с получением продукта 45.
1H-ЯМР (300 МГц, СDСl3): 0,87 (с, 3Н), 2,35 (с, 6Н), 2,75 (т, 2Н, J=5,7 Гц), 2,89 (д, 1Н, J=12,7 Гц), 3,10 (д, 1H, J=9,77 Гц), 4,04 (дт, 2Н, J=5,70 Гц, J=5,7 Гц), 2,89 (д, 1H, J=12,7 Гц), 3,10 (д, 1H, J=9,77 Гц), 4,04 (дт, 2Н, J=5,70 Гц, J=1,22 Гц), 4,14 (дд, 1H, J=12,6 Гц, J=6,3 Гц), 4,34 (дд, 1H, J=12,6 Гц, J=7,12 Гц), 5,68 (т, 1H, J=6, 8 Гц), 6,7 (д, 1H, J=2,7 Гц), 6,75 (дд, 1H, J=2,7 Гц, J=8,79 Гц). MS(DCI): 384 (М+Н, 100%).
Следующая схема иллюстрирует получение соединений 13, 46, 47, 47а и 47b, как описано в примере 21.
Пример 21
Получение (Е)-3-тетрагидропиранилокси-7 -метил-19-норпрегна-1,3,5(10),17(20)-тетраена (47а) и (Е)-3-тетра-гидропиранилокси-7 -метил-19-норпрегна-1,3,5(10)-триен-21-оата (47b)
(a) Получение 7 -метилэстрона (13): К раствору 114 г 7 -метиландрост-4-ен-3,17-диона 45а в 1500 мл ледяной уксусной кислоты добавляли 106 г CuCl2. Смесь нагревали с перемешиванием до 60°С в течение 72 ч. Реакционную смесь выливали в Н2О (500 мл реакционной смеси к 3500 мл Н2О) и осадок собирали фильтрованием и сушили на воздухе в течение 18 ч. Твердое вещество растворяли в метиленхлориде (2л) и промывали насыщенным NаНСО3 (2 л), Н2O (2л) и насыщенным NaCl (2 л). Раствор в метиленхлориде сушили над MgSO4 и фильтровали. Раствор в метиленхлориде фильтровали (отсасывающей хроматографией) через 1,5 кг силикагеля 60 для флэш-хроматографии (230-400 меш). Подушку силикагеля дополнительно элюировали дополнительным количеством МеСl2. МеСl2-растворы объединяли и затем обрабатывали норитом, фильтровали через подушку целита и затем после упаривания при пониженном давлении получали 91,3 г чистого 13 (82%).
(b) Получение 3-тетрагидропиранилокси-7 -метилэстра-19-норпрегна-1,3,5(10)-триен-17-она (46):
К смеси 7 -метилэстрона 13 (8,18 г, 28,8 ммоль) и DHP (4,0 мл, 43,9 ммоль) в СН2Сl2 (100 мл) при 0°С в атмосфере аргона добавляли каталитическое количество п-TsOH и реакционную смесь перемешивали в течение 1 ч. Реакционную смесь выливали в насыщенный водный NаНСО3 и экстрагировали СН2Сl2. Объединенные органические слои сушили над безводным сульфатом MgSO4, фильтровали и концентрировали с получением бледно-желтого твердого вещества. Флэш-хроматография (5%; 10% EtOAc/гексан) давала простой эфир 46 в виде белого твердого вещества (10,12 г 95%):
1H-ЯМР (300 МГц, СDСl3): 0,88 (д, J=7,0 Гц, 3, СН3), 0,90 (с, 3, СН3), 5,39 (м, 1), 6,78 (д, J=2,5 Гц, 1, ArH), 6,85 (дд, J=2,5, 8,5 Гц, 1, ArH), 7,19 (д, J=8,5 Гц, 1, ArH).
(с) Получение этил-(Е)-3-тетрагидропиранилокси-7 -метил-19-норпрегна-1,3,5(10),17(20)-тетраен-21-оата (47):
К раствору 46 (10,12 г, 27,46 ммоль) и триэтилфосфоноацетата (28 мл, 141,1 ммоль) в EtOH (130 мл) и ТГФ (30 мл) в атмосфере аргона при 40-45°С медленно добавляли 21 мас.% раствор этоксида натрия в EtOH (52,3 мл, 140 ммоль) и раствор нагревали при температуре дефлегмации в течение ночи. Реакционную смесь охлаждали до комнатной температуры и концентрировали при пониженном давлении. Затем эту смесь разбавляли водой и экстрагировали эфиром. Объединенные органические слои сушили над безводным МgSО4, фильтровали и концентрировали с получением желтой смолы. Хроматография (5%; 10% EtOAc/гексан) давала сложный эфир 47 в виде белой пены (11 г, 91%): 1H-ЯМР (300 МГц, СDСl3): 0,85 (д, J=7,0 Гц, 3, СН3), 0,87 (с, 3, СН3), 1,30 (т, J=7,1 Гц, 3, СO2СН2СН3), 2,89 (м, 2), 3,10 (м, 1), 3,60 (м, 1), 3,94 (м, 1), 4,17 (к, J=7,1 Гц, 2, СО2СН2СН3), 5,40 (м, 1), 5,59 (м, 1), 6,77 (д, J=2,5 Гц, 1, ArH), 6,86 (дд, J=2,5, 8,7 Гц, 1, ArH), 7,21 (д, J= 8,7 Гц, 1, ArH).
(d) Синтез (Е)-3-тетрагидропиранилокси-7 -метил-21-гидрокси-19-норпрегна-1,3,5(10),17(20)-тетраена (47а):
К раствору сложного эфира 47 (11 г, 25 ммоль) в ТГФ (200 мл) добавляли 1,0 М раствор DIBAL диизобутилалюминий гидрид в гептане (60 мл, 60 ммоль) при -78°С в атмосфере аргона и реакционную смесь нагревали до 0°С и перемешивали в течение 1,5 ч. Добавляли метанол (5 мл) и воду при 0°С и раствор нагревали до комнатной температуры и перемешивали в течение 30 минут. Мутный раствор экстрагировали EtOAc. Объединенные органические экстракты сушили над безводным MgSO4, фильтровали и концентрировали с получением аллилового спирта 47а в виде белого твердого вещества (9,63 г, 97%): 1H-ЯМР (300 МГц, СDСl3): 0,82 (с, 3, СН3), 0,85 (д, J=7,0 Гц, 3, СН3), 3,09 (м, 1), 3,60 (м, 1), 3,95 (м, 1), 4,15 (м, 2), 5,30 (м, 1), 5,39 (м, 1), 6,78 (д, J=2,2 Гц, 1, ArH), 6,85 (дд, J=2,2, 8,4 Гц, 1, ArH), 7,22 (Д, J=8,4 Гц, 1, ArH).
(e) Получение этил-(Е)-3-тетрагидропиранилокси-7 -метил-19-норпрегна-1,3,5(10)-триен-21-оата (47b):
Раствор 33,4 г 47 в 450 мл этанола, содержащего 25 мл триэтиламина и 2,0 г 5% палладия карбоната кальция в колбе на 1 л гидрировали на аппарате для встряхивания Парра в течение 18 ч. Катализатор удаляли фильтрованием через слой целита. Для промывки слоя целита использовали дополнительное количество этанола. Этанольные растворы объединяли и упаривали досуха в вакууме с получением 33,5 г (количественный выход) 47b в виде прозрачного масла.
Следующая схема иллюстрирует получение соединений 48, 50 и 51, как описано в примерах 23-25.
Пример 22
Получение цитрата (Е)-3-гидрокси-7 -метил-21-[2′-N,N-диэтиламино)этокси]-19-норпрегна-1,3,5(10),17(20)-тетраена (48)
(а) Получение (Е)-3-гидрокси-7 -метил-21-[2′-N,N-диэтиламино)этокси]-19-норпрегна-1,3,5(10),17(20)-тетраена (25):
К суспензии NaH (25,0 г, 625 ммоль) в ДМФ (50 мл) при 0°С в атмосфере аргона добавляли гидрохлорид 2-N,N-диэтиламиноэтилхлорида (8,5 г, 49,4 ммоль) порциями и перемешивали до прекращения выделения водорода. Реакционную смесь нагревали до комнатной температуры и добавляли аллиловый спирт 47а (6,5 мл, 16,5 ммоль) в ДМФ (30 мл) и перемешивали в течение 10 минут. Добавляли H-Bu4NI (0,7 г, 1,9 ммоль) и реакционную смесь нагревали до 70°С в течение 2,5 ч. Реакционную смесь медленно гасили H2О при комнатной температуре и экстрагировали этилацетатом. Объединенные органические слои сушили над безводным МgSO4, фильтровали и концентрировали с получением ТНР-эфира 25 в виде неочищенной смолы (8,5 г).
К раствору ТНР-эфира (8,5 г) в МеОН (80 мл) при комнатной температуре добавляли п-TsOH (3,4 г, 18 ммоль) и перемешивали в течение 10 минут. Реакционную смесь разбавляли водой (150 мл) и метанол выпаривали при пониженном давлении. Мутную смесь выливали в насыщенный водный NаНСО3 и экстрагировали этилацетатом. Объединенные органические слои сушили над безводным MgSO4, фильтровали и концентрировали с получением белого твердого вещества. Флэш-хроматография (5% метанол/хлороформ) давала амин 25 в виде белого твердого вещества (5,76 г, 85% для двух стадий): 1H-ЯМР (300 МГц, СDСl3): 0,79 (с, 3, СН3), 0,82 (д, J=7,0 Гц, 3, СН3), 1,08 (т, J=7,2 Гц, 6, N(СН2СН3)2), 2,50 (д, J=16,5 Гц, 1), 2,68 (т, J=7,2 Гц, 4, N(СН2СН3)2), 2,76 (т, J=6, 3 Гц, 2), 3,05 (дд, J=5,5, 16,5 Гц, 1), 3,59 (м, 2), 3,99 (м, 2), 5,21 (м, 1), 6,54 (д, J=2,7 Гц, 1, ArH), 6,62 (дд, J=2,7, 8,3 Гц, 1, ArH), 7,15 (д, J=8,3 Гц, 1, ArH).
(b) Получение цитрата (Е)-3-гидрокси-7 -метил-21-[2′ -(N,N-диэтиламино)этокси]-19-норпрегна-1,3,5(10),17(20)-тетраена (48):
К раствору амина 25 (0,13 г, 0,32 ммоль) в 10 мл МеОН при комнатной температуре в атмосфере аргона добавляли лимонную кислоту (0,61 г, 0,32 ммоль) и перемешивали в течение 15 минут. Растворитель удаляли при пониженном давлении и сушили с насосом в течение ночи с получением цитратной соли 48 в виде белого твердого вещества с количественным выходом: 1Н-ЯМР (300 МГц, CD3OD): 0,83 (д, J=7,0 Гц, 3, СН3), 0,85 (С, 3, СН3), 1,31 (т, J=7,1 Гц, 6, N(СН2СН3)2), 2,72 (д, J=15,4 Гц, 2), 2,82 (д, J=15,4 Гц, 2), 3,01 (дд, J=5,7, 16,5 Гц, 1), 3,25 (т, J=7,2 Гц, 4, N(СН2СН3)2), 3,73 (м, 2), 4,07 (м, 2), 5,24 (м, 1), 6,46 (д, J=2,5 Гц, 1, ArH), 6,54 (дд, J=2,5, 8,8 Гц, 1, ArH), 7,09 (д, J=8,8 Гц, ArH).
Пример 23
Получение (Е)-3-гидрокси-7 -метил-21-{2′-[2″-(N,N-диметиламино)этокси]этокси}-19-норпрегна-1,3,5(10),17 (20)-тетраена (50)
(a) Получение (Е)-3-тетрагидропиранилокси-7 -метил-21-[2′-(гидрокси)этокси]-19-норпрегна-1,3,5(10),17(20)-тетраена (49):
Смесь аллилового спирта 47а (1,0 г, 2,52 ммоль), этиленкарбоната (0,33 г, 3,78 ммоль) и триэтиламина (0,26 г, 2,52 ммоль) в ДМФ (0,6 мл) нагревали до 120°С в течение ночи. Реакционную смесь охлаждали до комнатной температуры и подвергали флэш-хроматографии (30% EtOAc/гексан). Исходный материал 47а извлекали в виде белого твердого вещества (0,6 г) и целевой спирт 49 наблюдали в виде белой пены (0,14 г, 32% в расчете на извлеченный исходный материал):
1H-ЯМР (300 МГц, СDСl3): 0,82 (с, 3, СН3), 0,85 (д, J=7,0 Гц, 3, СН3), 2,55 (дд, J=5, 5, 17,0 Гц, 1), 3,09 (м, 1), 5,25 (м, 1), 5,39 (м, 1), 6,77 (д, J=2,5 Гц, 1, ArH), 6,85 (дд, J=2,5, 8,7 Гц, 1, АrH), 7,21 (д, J=8,7 Гц, 1, ArH).
(b) Получение (Е) -3-гидрокси-7 -метил-21-{2′-[2″-(N,N-диметиламино)этокси]этокси}-19-норпрегна-1,3,5(10),17(20)-тетраена (50):
Амин 50, который получали из спирта 49 (0,13 г, 0,30 ммоль) и гидрохлорида 2-диметиламиноэтилхлорида (0,15 г, 1,0 ммоль) и освобождали от защитных групп с использованием процедуры, описанной для амина 25, извлекали в виде белого твердого вещества (0,11 г, 85% для двух стадий): 1H-ЯМР (300 МГц, СDСl3): 0,80 (с, 3, СН3), 0,83 (д, J=7,0 Гц, 3, СН3), 2,34 (с, 6, N(СН3)2), 3,05 (дд, J=6,2, 16,4 Гц, 1), 3,62 (м, 6), 3,96 (м, 2), 5,22 (м, 1), 6,54 (д, J=2,5 Гц, 1, ArH), 6,63 (дд, J=2,5, 8,0 Гц, 1, ArH), 7,16 (д, J=8,0 Гц, 1, ArH).
Пример 24
Получение (Е)- и (Z)-3-гидрокси-7 -метил-21-[2′-(пирролидинил)метокси]-19-норпрегна-1,3,5(10),17(20)-тетраена (51)
К суспензии NaH (1,0 г, 25 ммоль) в ДМФ (30 мл) при 0°С в атмосфере аргона добавляли гидрохлорид 2-пирролидинметилхлорида (1,29 г, 7,56 ммоль) порциями и перемешивали до прекращения выделения водорода. Реакционную смесь нагревали до комнатной температуры и добавляли аллиловый спирт 46 (1,0 мл, 2,52 ммоль) в ДМФ (10 мл) и перемешивали в течение 10 минут. Добавляли H-Bu4NI (0,22 г, 0,6 ммоль) и реакционную смесь нагревали до 120°С в течение ночи. Реакционную смесь медленно гасили Н2O при комнатной температуре и экстрагировали этилацетатом. Объединенные органические слои сушили над безводным MgSO4, фильтровали и концентрировали с получением черной смолы. Неочищенную смесь растворяли в Ме-ОН и добавляли п-ТsОН до кислой реакции раствора. Реакционную смесь разбавляли водой и метанол выпаривали при пониженном давлении. Мутную смесь выливали в насыщенный водный NаНСО3 и экстрагировали этилацетатом. Объединенные органические слои сушили над безводным МgSO4, фильтровали и концентрировали с получением белого твердого вещества. Флэш-хроматография (5% метанол/хлороформ) давала Е- и Z-изомерную смесь (4:1) в виде бледно-желтого твердого вещества (0,26 г, 25%): Е-изомер 51: 1H-ЯМР (300 МГц, СDСl3): 0,79 (С, 3, СН3), 0,81 (д, J=7,0 Гц, 3, СН3), 2,46 (с, 6, N(СН3)2), 3,08 (м, 2), 3,40 (м, 1), 3,52 (м, 1), 4,00 (м, 2), 5,22 (м, 1), 6,53 (д, J=2,5 Гц, 1, ArH), 6,62 (дд, J=2,5, 8,6 Гц, 1, ArH), 7,15 (д, J=8,6 Гц, 1, ArH).
Z-изомер 51: 1H-ЯМР (300 МГц, СDСl3): 0,76 (с, 3, СН3), 0,86 (д, J=7,0 Гц, 3, СН3), 2,45 (с, 6, N(СН3)2), 3,59 (м, 1), 5,36 (м, 1), 6,53 (д, J=2,5 Гц, 1, ArH), 6,63 (дд, J=2,5, 9,0 Гц, 1, ArH), 7,14 (д, J=9,0 Гц, 1, ArH).
Следующая схема иллюстрирует получение соединения 59, как описано в примере 25.
Пример 25
Получение (Е)-3-гидрокси-7 – и 7 -этил-21-[2′-(N,N-диэтиламино)этокси]-19-норпрегна-1,3,5(10),17 (20)-тетраена (59)
(a) Получение эстра-4-ен-3,17-диона (53):
К раствору 19-нортетостерона 52 (26,85 г, 97,85 ммоль) в уксусной кислоте (200 мл) добавляли СrО3 (7,4 г, 74 ммоль) в уксусной кислоте (150 мл) и перемешивали в течение 1 ч при комнатной температуре. Реакционную смесь концентрировали при пониженном давлении до половины ее исходного объема, выливали в 1 М хлористоводородную кислоту (500 мл) и экстрагировали EtOAc. Объединенные органические слои промывали насыщенным водным NаНСО3, сушили над безводным МgSO4, фильтровали и затем концентрировали с получением диона 53 в виде белого твердого вещества (25,3 г, 95%): 1H-ЯМР (300 МГц, СDСl3): 0,94 (с, 3, СН3), 5,85 (с, 1).
(b) Получение эстра-4,6-диен-3,17-диона (54):
Раствор диона 53 (5,0 г, 18,36 ммоль) и хлоранила (5,4 г, 22 ммоль) в сухом этаноле (500 мл) перемешивали при 60-65°С в течение 2 ч. Реакционную смесь концентрировали при пониженном давлении и остаток растирали с дихлорметаном. Твердое вещество удаляли фильтрованием и фильтрат концентрировали с получением коричневой смолы. Хроматография (20% EtOAc/гексан) давала неочищенный дион 54 в виде желтого твердого вещества (2,3 г, 46%):1H-ЯМР (300 МГц, СDСl3): 0,94 (с, 3, СН3), 5,78 (с, 1), 6,25 (м, 2).
(c) Получение смеси 7 – и 7 -этилэстр-4-ен-3,17-диона (55):
К смеси СuI(Вu3Р)4 (15,7 г, 40 ммоль) в ТГФ (50 мл) добавляли 1,0 М раствор EtMgBr в ТГФ (40 мл, 40 ммоль) при -30°С и перемешивали в течение 20 минут. Реакционную смесь охлаждали до -78°С и добавляли диен 54 (3,5 г, 12,94 ммоль). Реакционную смесь нагревали до -30°С в течение 0,5 ч и выливали в насыщенный водный NH4Cl. Смесь экстрагировали EtOAc. Объединенные органические слои сушили над безводным MgSO4, фильтровали и затем концентрировали с получением твердого вещества. Хроматография (20% EtOAc/гексан) давала дион 55 в виде желтого твердого вещества (1,5 г, 39%). Основной 7 -этил-изомер 55: 1H-ЯМР (300 МГц, СDСl3): 0,89 (т, J=7,0 Гц, 3, СН2СН3), 0,93 (с, 3, СН3), 2,60 (дд, J=2,4, 14,3 Гц, 1), 5,85 (с, 1).
(d) Получение смеси 3-тетрагидропиранилокси-7 – и 7 -этилэстра-1,3,5(10)-триен-17-она (56):
К раствору енона 55 (0,35 г, 1,17 ммоль) в ацетонитриле (10 мл) добавляли СuВr2 (0,31 г, 1,4 ммоль) и перемешивали в течение ночи при комнатной температуре. Добавляли воду до исчезновения зеленой окраски и ацетонитрил удаляли при пониженном давлении. Остаток экстрагировали этилацетатом. Объединенные органические слои сушили над безводным MgSO4, фильтровали и объединенные органические слои промывали водой, солевым раствором, сушили над безводным MgSO4, фильтровали и концентрировали с получением смолы. Хроматография (20% EtOAc/гексан) давала эстрон 56 в виде желтого твердого вещества (0,28 г, 80%). Основной 7 -этил-изомер 56: 1H-ЯМР (300 МГц, СDСl3): 0,91 (с, 3, СН3), 0,95 (т, J=7,3 Гц, 3, СН2СН3), 6,59 (д, J=2,5 Гц, 1, ArH), 6,65 (дд, J-2,5, 8,4 Гц, 1, ArH), 7,13 (д, J=8,4 Гц, 1, ArH).
(e) Получение смеси этил-(Е)-3-тетрагидро-пираналокси-7 – и 7 -этил-19-норпрегна-1, 3, 5 (10), 17 (20) -тетраен-21-оата (57):
Соответствующий ТНР-эфир 56, который получали из эстрона 56 (0,28 г, 0,94 ммоль) и DНР (0,2 мл, 2,2 ммоль) с использованием той же самой процедуры, которая описана для этого эфира, получали в виде неочищенной смолы (0,4 г).
Сложный эфир 57, который получали из неочищенного ТНР-эфира 56 (0,4 г) и триэтилфосфоноацетата (1,12 г, 5,0 ммоль) с использованием той же самой процедуры, которая описана для соединения 47а, получали в виде твердого вещества (0,34 г, 81% для двух стадий). Основной 7 -этил-изомер 57: 1H-ЯМР (300 МГц, СDСl3): 0,87 (с, 3, СН3), 0,93 (т, J=66 Гц, 3, СН2СН3), 1,30 (т, J=7,1 Гц, 3, СО2СН2СН3), 2,40 (м, 2), 2,88 (м, 3), 3,60 (м, 1), 3,95 (м, 1), 4,17 (к, J=7,1 Гц, 2, СО2СН2СН3), 5,39 (м, 1), 5,59 (м, 1), 6,79 (д, J=2,5 Гц, 1, ArH), 6,85 (дд, J=2,5, 8,8 Гц, 1, ArH), 7,19 (д, J=8,8 Гц, 1, ArH).
(f) Получение смеси (Е) -3-тетрагидропираналокси- 7 и 7 -этил-21-гидрокси-19-норпрегна-1, 3, 5 (10), 17 (20) -тетраена (58):
Аллиловый спирт 58, который получали из сложного эфира 57 (0,34 г, 0,76 ммоль) и DIBAL (2,0 г, 2,0 ммоль) с использованием той же самой процедуры, которая описана для соединения 46, получали в виде белого твердого вещества (0,28 г, 89%). Основной 7 -этил-изомер 58: 1H-ЯМР (300 МГц, СDСl3): 0,81 (с, 3, СН3), 0,93 (т, J=7,1 Гц, 3, СН2СН3), 2,39 (м, 4), 2,85 (м, 3), 3,60 (м, 1), 3,95 (м, 1), 4,15 (м, 2), 5,30 (м, 1), 5,39 (м, 1), 6,79 (д, J=2,5 Гц, 1, ArH), 6,85 (дд, J=2,5, 8,7 Гц, 1, ArH), 7,21 (д, J=8,7 Гц, 1, ArH).
(g) Получение смеси (Е) -3-гидрокси-7 – и 7 -этил-21-[2′-(N,N-диметиламино) этокси] -19-норпрегна-1,3,5(10), 17 (20) -тетраена (59):
Амин 59, который получали из спирта 58 (0,28 г, 0,68 ммоль) и гидрохлорида 2-диметиламиноэтилхлорида (0,3 г, 2,1 ммоль) и освобождали от защитных групп с использованием той же самой процедуры, которая описана для амина 25, получали в виде 7 -этил- и 7 -этил-изомерной смеси (10:1) в виде твердого вещества (0,21 г, 78% для двух стадий). Основной 7 -этил-изомер 59: 1H-ЯМР (300 МГц, СDСl3): 0,77 (с, 3, СН3), 0,84-1,02 (м, 4), 2,42 (с, 6, N(СН3)2), 3,61 (м, 2), 3,99 (м, 2), 5,19 (м, 1), 6,55 (д, J=2,6 Гц, 1, ArH), 6,62 (дд, J=2,6, 8,5 Гц, 1, ArH), 7,12 (д, J=8,5 Гц, 1, ArH).
Следующая схема иллюстрирует получение соединений 67 и 68, как описано в примере 26.
Пример 26
Получение (R)- и (S)-3-гидрокси-20-метил-21-[2′-(N,N-диэтиламино)этокси]-19-норпрегна-1,3,5(10),17 (20)-триена (68)
(a) Получение 3-тетрагидропиранилоксиэстра-1,3,5(10)-триен-17-она (60):
ТНР-эфир 60, который получали из эстрона 1 (6,3 г, 23,3 ммоль) и DHP (3,0 г, 33 ммоль) с использованием той же самой процедуры, которая описана для соединения 35, получали в виде белого твердого вещества (7,5 г, 91%): 1H-ЯМР (300 МГц, СDСl3): 0,91 (с, 3, СН3), 2,89 (м, 2), 3,60 (м, 1), 3,92 (м, 1), 5,40 (м, 1), 6,81 (д, J=2,5 Гц, 1, ArH), 6,86 (дд, J=2,5, 8,5 Гц, 1, ArH), 7,20 (д, J=8,5 Гц, 1, ArH).
(b) Получение (E,Z)-3-тетрагидропиранилокси-20-метил-21-гидрокси-19-норпрегна-1,3,5(10),17(20)-тетраена (62):
К раствору диэтил-(1-цианоэтил)фосфоната (3,98 г, 20,81 ммоль) в ТГФ в атмосфере аргона при комнатной температуре добавляли 1,0 М раствор трет-бутоксида калия в ТГФ (20 мл, 20 ммоль) и перемешивали в течение 1,0 ч. Раствор эстрона 1 (3,0 г, 8,46 ммоль) в ТГФ (10 мл) добавляли и раствор нагревали при температуре дефлегмации в течение ночи. Реакционную смесь выливали в насыщенный водный NaHCO3 и экстрагировали смесью 40% этилацетат/гексан. Объединенные органические слои сушили над безводным МgSO4, фильтровали и концентрировали с получением Е- и Z-изомерной смеси в виде желтой смолы. Флэш-хроматография (10% EtOAc/гексан) давала смесь (Z)- и (Е)-20-карбонитрил-3-тетрагидропираналокси-19-норпрегна-1,3,5(10),17(20)-тетраена 61 (0,83 г, 25%).
К раствору нитрила 61 (0,83 г, 2,12 ммоль) в смеси толуол/TRF добавляли 1,0 М раствор DIBAL в гептане (2,5 мл, 2,5 ммоль) при -78°С в атмосфере аргона и реакционную смесь нагревали до комнатной температуры и перемешивали в течение 3 ч. Метанол (0,5 мл) и воду (0,5 мл) добавляли и раствор перемешивали в течение 40 минут. Мутный раствор экстрагировали EtOAc. Объединенные органические слои сушили над безводным MgSO4, фильтровали и концентрировали с получением соответствующего альдегида в виде смолы. К раствору неочищенного альдегида (0,85 г) в ТГФ добавляли 1,0 М раствор DIBAL в гептане (3,0 мл, 3,0 ммоль) при -78°С в атмосфере аргона и реакционную смесь нагревали до 0°С и перемешивали в течение 1 ч. Добавляли метанол (0,5 мл) и воду (0,5 мл) и раствор перемешивали в течение 20 минут при комнатной температуре. Мутный раствор экстрагировали EtOAc. Объединенные органические слои сушили над безводным MgSO4, фильтровали и концентрировали с получением Е- и Z-смеси аллилового спирта 62 в виде твердого вещества (0,45 г, 53% для двух стадий).
(с) Получение (Z)-3-тетрагидропиранилокси-20-метил-21-[2′-(N,N-диэтиламино)этокси]-19-норпрегна-1,3,5(10),17(20)-тетраена (63) и (Е)-3-тетрагидропиранилокси-20-метил-21-[2′-(N,N-диэтиламино)этокси]-19-норпрегна-1,3,5(10),17 (20)-тетраена (64):
Амины 63 и 64, которые получали из спирта 62 (0,45 г, 1,13 ммоль) и гидрохлорида 2-диметиламиноэтилхлорида (0,5 г, 3,5 ммоль) с использованием той же самой процедуры, которая описана для амина 25, получали в виде твердого вещества. Флэш-хроматография (5% метанол/хлороформ) давала Z-изомер 63 в виде основного продукта (0,34 г, 65%) и целевой Е-изомер 64 в виде минорного продукта (0,13 г, 25%). Z-изомер 63: 1H-ЯМР (300 МГц, СDСl3): 0,90 (с, 3, СН3), 1,65 (с, 3, СН3), 2,30 (с, 6, N(СН3)2), 2,55 (т, J=6,0 Гц, 2), 2,85 (м, 2), 3,51 (т, J=6,0 Гц, 2), 3,60 (м, 1), 3,91 (м, 1), 3,98 (д, J=11,0 Гц, 1), 3,98 (д, J=11,0 Гц, 1), 4,20 (д, J=11,0 Гц, 1), 5,39 (м, 1), 6,79 (д, J=2,5 Гц, 1, ArH), 6,85 (дд, J=2,5, 8,4 Гц, 1, ArH), 7,19 (д, J=8,4 Гц, 1, ArH). Е-изомер 64: 1H-ЯМР (300 МГц, СDСl3): 0,90 (с, 3, СН3), 1,79 (с, 3, СН3), 2,32 (с, 6, N(СН3)2), 2,57 (т, J=6, 0 Гц, 2), 2,86 (м, 2), 3,49 (м, 2), 3,60 (м, 1), 3,59 (м, 1), 3,92 (м, 3), 5,39 (м, 1), 6,79 (д, J=2,5 Гц, 1, ArH), 6,85 (дд, J=2,5, 8,4 Гц, 1, ArH), 7,19 (д, J=8,4 Гц, 1, ArH).
(d) Получение (Z)-3-гидрокси-20-метил-21-[2′-(N,N-диэтиламино)этокси]-19-норпрегна-1,3,5(10),17(20)-тетраена (65):
Амин 65, который получали из простого эфира 63 (0,34 г, 0,73 ммоль) и п-TsOH (0,15 г, 0,8 ммоль) с использованием той же самой процедуры, которая описана для амина 25, получали в виде белого твердого вещества (0,27 г, 95%):
1H-ЯМР (300 МГц, СDСl3): 0,84 (с, 3, СН3), 1,64 (с, 3, СН3), 2,39 (с, 6, N(СН3)2), 2,67 (т, J=6, 0 Гц, 2), 2,81 (м, 2), 3,58 (т, J=6,0 Гц, 2), 3,90 (д, J=11,0 Гц, 1), 4,19 (д, J=11,0 Гц, 1), 6,54 (д, J=2,5 Гц, 1, ArH), 6,61 (дд, J=2,5, 8,2 Гц, 1, ArH), 7,11 (д, J=8,2 Гц, 1, ArH).
(e) Получение (Е)-3-гидрокси-20-метил-21-[2′-(N,N-диэтиламино)этокси]-19-норпрегна-1,3,5(10),17(20)-тетраена (66):
Амин 66, который получали из простого эфира 64 (0,13 г, 0,28 ммоль) и п-TsOH (0,06 г, 0,31 ммоль) с использованием той же самой процедуры, которая описана для амина 25, получали в виде белого твердого вещества (0,1 г, 93%): 1H-ЯМР (300 МГц, СDСl3): 0,84 (с, 3, СН3), 1,77 (с, 3, СН3), 2,39 (с, 6, N(СН3)2), 2,64 (т, J=5,7 Гц, 2), 2,82 (м, 2), 3,53 (м, 2), 3,86 (д, J=11,2 Гц, 1), 3,95 (д, J=11,2 Гц, 1), 6,54 (д, J=2,7 Гц, 1, ArH), 6,59 (дд, J=2,7, 8,2 Гц, 1, ArH), 7,12 (д, J=8,2 Гц, 1, ArH).
(f) Получение (17R,20S)-20-[(4′-N,N-диметил)-2′-оксабутил]-19-норпрегна-1,3,5(10)-триен-3-ола (67):
Олефин 65 (35 мг, 0,09 ммоль) гидрировали над 10% палладием на угле (10 мг) в 5 мл этанола при комнатной температуре при атмосферном давлении в течение ночи. Катализатор удаляли фильтрованием и промывали этанолом. Растворитель удаляли в вакууме с получением белого твердого вещества. Флэш-хроматография (5% метанол/хлороформ) давал амин 67 в виде белого твердого вещества (30 мг, 86%): 1H-ЯМР (300 МГц, СDСl3): 0,68 (с, 3, СН3), 1,04 (д, J=6, 6 Гц, 3, СН3), 2,37 (с,6, N(СН3)2), 2,64 (м, 2), 2,79 (м, 2), 3,14 (дд, J=7,6, 8,8 Гц, 1), 3,40 (дд, J=3,3, 9,3 Гц, 1), 3,56 (м, 2), 6,54 (д, J=2,6 Гц, 1, ArH), 6,61 (дд, J=2,6, 8,5 Гц, 1, ArH), 7,12 (д, J=8,5 Гц, 1, ArH).
(g) Получение (17R,20R)-20-[(4′-N,N-диметил)-2′-оксабутил]-19-норпрегна-1,3,5(10)-триен-3-ола (68):
Олефин 66 (25 мг, 0,065 ммоль) гидрировали над 10% палладием на угле (10 мг) в 5 мл этанола при комнатной температуре при атмосферном давлении в течение ночи. Катализатор удаляли фильтрованием и промывали этанолом. Растворитель удаляли в вакууме с получением белого твердого вещества. Флэш-хроматография (5% метанол/хлороформ) давал амин 68 в виде белого твердого вещества (22 мг, 88%): 1H-ЯМР (300 МГц, СDСl3): 0,68 (с, 3, СН3), 0,94 (д, J=6, 6 Гц, 3, СН3), 2,36 (с, 6, N(СН3)2), 2,62 (м, 2), 2,80 (м, 2), 3,21 (дд, J-7,8, 9,0 Гц, 1), 3,55 (м, 3), 6,54 (д, J=2, 6 Гц, 1, ArH), 6,60 (дд, J=2,6, 8,5 Гц, 1, ArH), 7,12 (д, J=8,5 Гц, 1, ArH).
Следующая схема иллюстрирует получение соединений 69, 70 и 71, как описано в примерах 27, 28 и 29:
Пример 27
Получение 3-гидрокси-7 -метил-21-[2′-(N,N-диметиламино)этокси]-19-норпрегна-1,3,5(10)-триена (69)
Олефин 22 (35 мг, 0,09 ммоль) гидрировали над 10% палладием на угле (10 мг) в 5 мл этанола при комнатной температуре при атмосферном давлении в течение ночи. Катализатор удаляли фильтрованием и промывали этанолом. Растворитель удаляли в вакууме с получением белого твердого вещества. Флэш-хроматография (5% метанол/хлороформ) давал амин 69 в виде белого твердого вещества (0,030 г, 86%): т.пл. 162-165 C; 1H-ЯМР (300 МГц, СDСl3): 0,62 (с, 3, СН3), 0,84 (д, J=7,1 Гц, 3, СН3), 2,32 (с, 6, N(CH3)2), 2,49 (дд, J=1,2, 16,2 Гц, 1), 2,57 (т, J=5, 8 Гц, 2), 3,04 (м, 1), 3,44 (м, 2), 3,56 (т, J=5,8 Гц, 2), 6,54 (д, J=2,7 Гц, 1, ArH), 6,62 (дд, J=2,7, 8,0 Гц, 1, ArH), 7,16 (д, J=8,0 Гц, 1, ArH). HRMS для C25H39NO2 (M+): рассчит. 385,2981; найдено, 385,2976.
Пример 28
Получение 3-гидрокси-2-метокси-21-[2′-(N,N-диметиламино)этокси]-19-норпрегна-1,3,5(10))-триена(70)
Олефин 23 (50 мг, 0,125 ммоль) гидрировали над 10% палладием на угле (15 мг) в 5 мл этанола при комнатной температуре при атмосферном давлении в течение ночи. Катализатор удаляли фильтрованием и промывали этанолом. Растворитель удаляли в вакууме с получением белого твердого вещества. Флэш-хроматография (5% метанол/хлороформ) давал амин 70 в виде белого твердого вещества (0,041 г, 82%): 1H-ЯМР (300 МГц, СDСl3): 0,63 (с, 3, СН3), 2,31 (с, 6, N(CH3)2), 2,54 (т, J=5,8 Гц, 2), 2,77 (м, 2), 3,46 (м, 2), 3,55 (м, 2), 3,85 (с, 3, ОСН3), 6,63 (c, 1, ArH), 6,80 (c, 1, ArH). HRMS для C25H39NO3(M+): рассчит. 401,2930; найдено, 401,2940.
Пример 29
Получение 3-гидрокси-7 -метил-21-[2′-(N,N-диметиламино)этокси]-19-норпрегна-1,3,5(10)-триена (71)
Олефин 25 (1,01 мг, 2,68 ммоль) гидрировали над 10% палладием на угле (380 мг) в 50 мл этанола при комнатной температуре при атмосферном давлении в течение ночи. Катализатор удаляли фильтрованием и промывали этанолом. Растворитель удаляли в вакууме с получением белого твердого вещества. Флэш-хроматография (10% этанол/хлороформ) давала амин 71 в виде белого твердого вещества (0,90 г, 81%): 1H-ЯМР (300 МГц, СDСl3): 0,62 (с, 3, СН3), 0,84 (д, J=7,1 Гц, 3, СН3), 1,09 (т, J=7,1 Гц, 6, N(СН2СН3), 2,69 (м, 6), 3,02 (м, 1), 3,47 (м, 2), 6,52 (д, J=2,7 Гц, 1 ArH), 6,62 (дд, J=2,7, 8,0 Гц, 1, ArH), 7,16 (д, J=8,0 Гц, 1, ArH).
Пример 30
Получение 21-(2′-N,N-диметиламиноэтокси)-[17(20)Е]-19-норпрегна-1, 3,5(10),18(20) -тетраен-3-О-сульфамата (72)
К раствору хлорсульфонилизоцианата (0,14 мл, 1,5 ммоль) в СН2Сl2(0,6 мл) добавляли муравьиную кислоту (0,3 мл СН2Сl2-раствора, 5,0 М, 1,5 ммоль) при 0°С. Реакционную смесь нагревали до комнатной температуры и перемешивали в течение 1 ч. К раствору 21-(2′-N,N-диметиламиноэтокси) -[17(20)Е]-19-норпрегна-1,3,5(10),17(20)-тетраен-3-ола (21, 0,111 г, 0,3 ммоль) в ДМФ (2,0 мл) добавляли гидрид натрия (0,060 г дисперсии в минеральном масле, 60%, 1,5 ммоль) при 0°С. Реакционную смесь перемешивали в течение 1 ч, добавляли хлорсульфонилизоцианат в муравьиной кислоте и перемешивание продолжали в течение 2 ч. Реакционную смесь гасили насыщенным водным NaHCO3 при 0°С и экстрагировали EtOAc. Объединенные органические слои промывали Н2О, насыщенным водным NaCl и затем сушили (Na2SO4). Осушитель отфильтровывали и растворитель выпаривали при пониженном давлении.
Остаток очищали колоночной хроматографией на силикагеле с использованием смеси СНСl3:МеОН (10:1-5:1, об/об) с получением 0,121 г 72 (выход 90%), т.пл. 147-148°С.
1H-ЯМР: 7,30 (д, 1Н, ароматический), 7,13-7,00 (м, 2Н, ароматический), 5,30-5,18 (м, 1Н, =СН-СН2О-), 4,05-3,90 (м, 2Н, =СН-СН2О-), 3,53 (т, 2Н, -OCH2CH2N-), 2,55 (т, 2Н, -ОСН2СН2N-), 2,30 (с, 6Н, -N(СН3)2), 0,78 (с, 3Н, 18-СН3); MS(DCI): m/z 449 (M++H).
Пример 31
Соединение 75, антиэстрогенный агент данного изобретения, получали с использованием отдельных реакционных стадий, иллюстрированных в схеме 15, и аналогичных реагентов и условий реакций для этого синтеза, описанных в примере 32.
Пример 32
Этот пример описывает синтез соединения 80, соли лимонной кислоты 79, как показано в схеме 16:
(а) Синтез 2-гидрокси-4-[3′-тетрагидропиранилокси-7′ -метил-19′-норпрегна-1′,3′,5′(10′)-триен-21′-илокси]бензальдегида (76): Альдегид 76 получали из соответствующего спирта (1,20 г, 3,02 ммоль) и 2,4-дигидроксибензальдегида (0,417 г, 3,02 ммоль) и получали в виде аморфного твердого вещества (1,01 г, 65%): 1Н-ЯМР: 0,67 (с, 3Н), 0,85 (д, 3Н, J=7,1 Гц), 4,05 (м, 2Н), 5,38 (м, 1Н), 6,42 (д, 1Н, J=2,3 Гц, ArH), 6,53 (дд, 1Н, J=8,7 Гц, 2,3 Гц, АrН), 6,78 (д, 1Н, J=2,4 Гц, ArH), 6,85 (дд, 1Н, J=8,8 Гц, 2,4 Гц, ArH), 7,21 (д, 1Н, J=8,7 Гц), 7,43 (д, 1Н, J=8,8 Гц), 9,72 (с, 1Н).
(b) Синтез 2-метокси-4-[3′-тетрагидропираналокси-7′ -метил-19′-норпрегна-1′, 3′, 5′(10′)-триен-21′-илокси]бензальдегида (77): К раствору 76 (1,01 г, 1,95 ммоль) в ацетоне (20 мл) добавляли безводный 2СО3 (690 мг, 5,0 ммоль) и йод-метан (1,03 г, 7,25 ммоль) и смесь перемешивали непрерывно в течение 2 дней при комнатной температуре. Реакционную смесь гасили Н2О, экстрагировали этилацетатом, промывали солевым раствором, сушили над безводным MgSO4, фильтровали, концентрировали и очищали хроматографией (14% этилацетат/гексаны) с получением бензальдегида (77) в виде аморфного твердого вещества (780 мг, 75%): 1H-ЯМР: 0,67 (с, 3Н), 0,85 (д, 3Н, J=6,2 Гц), 3,90 (с, 3Н), 4,05 (м, 2Н), 5,38 (м, 1Н), 6,42 (д, 1Н, J=2,2 Гц, ArH), 6,53 (дд, 1Н, J=8,6 Гц, 2,2 Гц, ArH), 6,78 (д, 1Н, J=2,5 Гц, ArH), 6,85 (дд, 1Н, J=8,6 Гц, 2,5 Гц, ArH), 7,21 (д, 1Н, J=8,6 Гц), 7,43 (д, 1Н, J=8,6 Гц), 10,29 (с, 1Н).
(c) Синтез 2-метокси-4-[3′-гидрокси-7′ -метил-19′-норпрегна-1′,3′,5′(10′)-триен-21′-илокси]бензальдегида (78): Бензальдегид 78 получали из простого эфира 77 (770 мг, 1,45 ммоль); перекристаллизация из смеси этилацетат/гексаны давала 78 в виде кристаллического твердого вещества (555 мг, 85%): т.пл. 160-161°С; 1H-ЯМР: 0,68 (с, 3Н), 0,85 (д, 3Н, J=7,1 Гц), 2,50 (д, 1Н, J=16,5 Гц), 3,05 (дд, 1Н, J=16,5 Гц, 5,5 Гц), 3,90 (с, 3Н), 4,00-4,13 (м, 2Н), 4,95 (шир, 1Н, ОН), 6,43 (д, 1Н, J=2, 1 Гц, АrН), 6,53 (дд, 1Н, J=8,4 Гц, 2,1 Гц, АrН), 6,55 (д, 1Н, J=2,7 Гц, АrН), 6,63 (1Н, J=8,7 Гц, 2,7 Гц, АrН), 7,16 (д, 1Н, J=8,4 Гц, АrН), 7,82 (д, 1Н, J=8,7 Гц, АrН), 10,28 (с, 1Н).
(d) Синтез 3-гидрокси-7 -метил-21-[3′-метокси-4′-(пиперидинметил)фенокси]-19-норпрегна-1,3,5(10)-триена (79):
Амин 79 получали из бензальдегида 78 (550 мг, 1,23 ммоль) и пиперидина (136 мг, 1,60 ммоль); перекристаллизация из МеОН давала 79 в виде кристаллического твердого вещества (560 мг, 88%): т.пл. 200-202°С; 1H-ЯМР: 0,67 (с, 3Н), 0,85 (д, 3Н, J=7,0 Гц), 2,50 (шир, 4Н), 3,04 (дд, 1Н, J-16,6 Гц, 5,5 Гц), 3,53 (с, 2Н), 3,74 (с, 3Н), 3,90-4,02 (м, 2Н), 6,40-6,55 (м, 4Н, АrН), 7,12 (д, 1Н, J=8,3 Гц, АrН), 7,22 (д, 1Н, J=8,8 Гц, АrН).
(e) Получение цитратной соли 3-гидрокси-7 -метил-21-[3′-метокси-4′-(пиперидинметил)фенокси]-19-норпрегна-1,3,5(10)-триена (80):
К раствору амина 79 (517 мг, 1,0 ммоль) в 15 мл МеОН при комнатной температуре в атмосфере аргона добавляли лимонную кислоту (192 мг, 1,0 ммоль) и реакцию перемешивали в течение 10 минут. Растворитель выпаривали при пониженном давлении и сушили в вакууме с получением цитратной соли (80) в виде аморфного твердого вещества с количественным выходом: 1H-ЯМР: 5 0,68 (с, 3Н), 0,85 (д, 3Н, J=7,1 Гц), 2,45 (д, 1Н, J=16,5 Гц), 2,73 (д, 2Н, J=15,4 Гц), 2,83 (д, 2Н, J=15,4 Гц), 3,00 (дд, 1Н, J=16,5 Гц, 5,5 Гц), 3,86 (с, ЗН), 3,98-4,12 (м, 2Н), 4,18 (с, 2Н), 6,47 (д, 1Н, J=2,5 Гц, ArH), 6,52-6,62 (м, 3Н, ArH), 7,07 (д, 1Н, J=8,3 Гц, ArH), 7,33 (д, 1Н, J=8,2 Гц, ArH).
Примеры 33-36
В этом примере описан синтез соединений 81, 82, 83 и 84. Этот синтез иллюстрируется в схеме 17 следующим образом:
Соединения 81, 82, 83 и 84 получали аналогично способу, описанному в отношении получения соединения 79 из соединения 78 в предыдущем примере. Вкратце, эти соединения синтезировали и характеризовали следующим образом:
4-[3′-гидрокси-7′ -метил-19′-норпрегна-1′, 3′, 5′ (10′)-триен-21′-илокси]-3-метоксибензальдегида (78а): Простой эфир 78а получали из соответствующего спирта (2-гидрокси-этил-заместитель в положении 17(3) и ванилина (382 мг, 2,51 ммоль) и получали в виде кристаллического твердого вещества (785 мг, 66%). Перекристаллизация давала чистый 78а: т.пл. 163-164°С; 1Н-ЯМР: 0,67 (с, 3Н), 0,84 (д, 3Н, J=7,0 Гц), 2,50 (д, 1Н, J=16,5 Гц), 3,05 (дд, 1Н, J=16,5 Гц, 5,5 Гц), 3,93 (с, 3Н), 4,06-4,20 (м, 2Н), 5,12 (шир, 1Н, ОН), 6,55 (д, 1Н, J=2,5 Гц, АrН), 6,63 (дд, 1Н, J=8,4 Гц, 2,5 Гц, АrН), 6,98 (д, 1Н, J=8,0 Гц, АrН), 7,15 (д, 1Н, J=8,4 Гц, АrН), 7,42-7,48 (м, 2Н), 9,85 (с, 1Н); MS(DCI) 449 (М+Н). HRMS для С29Н36О4 (М+Н)+: рассчит. 449,2692; найдено, 449,2989. (M+NH4)+ рассчит. 466,2957; найдено 466,2976.
3-гидрокси-7 -метил-21-[2′-метокси-4′-(4″-метилпипе-разинометил)фенокси]-19-норпрегна-1,3,5(10)-триен (81):
Амин 81 получали из бензальдегида 78а (50 мг, 0,112 ммоль) и 1-метилпиперазина (0,018 мл, 0,16 ммоль); перекристаллизация из МеОН давала 81 в виде кристаллического твердого вещества (22 мг, 37%): т.пл. 214-215°С; 1H-ЯМР: 0,66 (с, 3Н), 0,84 (д, 3Н, J=7,0 Гц), 2,29 (с, 3Н), 2,45-2,56 (м, 9Н), 3,05 (дд, 1Н, J=17,0 Гц, 6,0 Гц), 3,45 (с, 2Н), 3,85 (с,3Н), 3,95-4,08 (м, 2Н), 6,52 (д, 1Н, J=2, 6 Гц, АrН),
6,60 (дд, 1H, J=8,6 Гц, 2,6 Гц, АrН), 6,80 (с, 2Н, АrН), 6,89 (с, 1Н, АrН), 7,16 (д, 1Н, J-8,6 Гц, АrН).
3-гидрокси-7 -метил-21-[2′-метокси-4′-(пирролидинометил)фенокси]-19-норпрегна-1,3,5(10)-триен (82): Амин 82 получали из бензальдегида 78а (600 мг, 1,34 ммоль) и пирролидина (0,15 мл, 1,8 ммоль); перекристаллизация из МеОН давала 82 в виде кристаллического твердого вещества (450 мг, 67%): т.пл. 192-193°С; 1Н-ЯМР: 0,65 (с, 3Н), 0,84 (д, 3Н, J=7,1 Гц), 2,45 (д, 1Н, J=16,5 Гц), 2,57 (м, 4Н), 3,02 (дд, 1Н, J=16,5 Гц, 6,0 Гц), 3,58 (с, 2Н), 3,77 (с, 3Н), 3,92-4,06 (м, 2Н), 6,47 (д, 1Н, J=2, 6 Гц, АrН), 6,52 (дд, 1Н, J=8,4 Гц, 2,6 Гц, АrН), 6,77-6,83 (м, 2Н, АrН), 6,90 (д, 1Н, J=1,6 Гц, АrН), 7,11 (д, 1Н, J=8,4 Гц, АrН).
3-гидрокси-7 -метил-21-[2′-метокси-4′-(N,N-диметилами-нометил)фенокси]-19-норпрегна-1,3,5(10)-триен (83): Амин 83 получали из бензальдегида 78 (60 мг, 0,134 ммоль) и N,N-ди-метиламина (0,08 мл, 0,16 ммоль); перекристаллизация из МеОН давала 83 в виде кристаллического твердого вещества (40 мг, 62%): т.пл. 186-187°С; 1Н-ЯМР: 0,65 (с, 3Н), 0,84 (д, 3Н, J=7,0 Гц), 2,26 (с, 6Н, N(СН3)2), 2,46 (д, 1Н, J=16,5 Гц), 3,02 (дд, 1Н, J=16,5 Гц, 6,0 Гц), 3,40 (с, 2Н), 3,80 (с, 3Н), 3,93-4,08 (м, 2Н), 6,49 (д, 1Н, J=2,6 Гц, АrН), 6,56 (дд, 1Н, J=8,4 Гц, 2,6 Гц, АrН), 6,80 (с, 2Н, АrН), 6,89 (с, 1Н, АrН), 7,13 (д, 1Н, J= 8,4 Гц, АrН).
3-гидрокси-7 -метил-21-[2′-метокси-4′-(N,N-диэтилами-нометил)фенилокси]-19-норпрегна-1,3,5(10)-триен (84): К раствору аналога метоксибензальдегида 78а (0,500 г, 1,12 ммоль) и диэтиламина (155 мкл, 1,5 ммоль) в сухом 1,2-дихлорэтане (10 мл) в атмосфере аргона добавляли триацетоксиборгидрид (0,403 г, 1,9 ммоль). Мутный раствор перемешивали в течение 18 ч при комнатной температуре. К мутной смеси добавляли насыщенный NаНСО3 с последующей экстракцией этилацетатом. Этилацетат промывали насыщенным раствором NaCl, сушили над безводным сульфатом магния, фильтровали и упаривали. Остаток кристаллизовали из МеОН с получением 350 мг 84 (выход 62%): т.пл. 123-124°С; 1Н-ЯМР: 0,65 (с, 3Н), 0,84 (д, 3Н, J=7,0 Гц), 1,07 (т, 6Н, J=7,1 Гц), 2,46 (д, 1Н, J=16 Гц), 2,57 (к, 4Н, J=7,1 Гц), 3,02 (дд, 1Н, J=16,5 Гц), 3,55 (с, 3Н), 3,81 (с, 3Н), 3,92-4,08 (м, 2Н), 6,48 (д, 1Н, J=2,6 Гц, АrН), 6,56 (дд, 1Н, J=8,4 Гц), 6,7-7,12 (м, 6Н).
Пример 37
Этот пример описывает получение соли лимонной кислоты 85 из аналога свободного основания 84, как показано в схеме 18:
Цитратная соль 3-гидрокси-7 -метил-21-[2′-метокси-4′-(N,N-диэтиламинометил)фенокси]-19-норпрегна-1,3,5(10)-триена (85):
К раствору амина (84) (100 мг, 0,198 ммоль) в 1 мл горячего EtOH в атмосфере аргона добавляли лимонную кислоту (38 мг, 0,188 ммоль) и реакцию перемешивали в течение 10 минут. Охлаждение давало белое кристаллическое твердое вещество, которое фильтровали и сушили с получением 120 мг (выход 87%) 85: т.пл. 166°С (разложение); 1Н-ЯМР (CD3OD) 0,69 (с, 3Н), 0,82 (д, 3Н, J=7,0 Гц), 1,36 (т, 6Н, J=7,2 Гц), 2,46 (д, 1Н, J=16,5 Гц), 2,77 (к, 4Н, J=7,2 Гц), 3,86 (с, 3Н), 4,24 (с, 2Н), 6,40-6,60 (м, 2Н, АrН), 6,98-7,16 (м, 4Н, АrН).
Пример 38
Соединение 90 синтезировали, как иллюстрируется в схеме 19.
Получение (Е)-3-тетрагидропиранилокси-7 -метил-21-гидрокси-19-норпрегна-1,3,5(10)-триена (86):
К раствору 33,5 г 47b в 500 мл ТГФ при -78°С добавляли 185 мл 1,0 М диизобутилалюминий гидрид а в гептане. Реакционную смесь нагревали до 0°С и перемешивали при этой температуре в течение 1,5 ч. Добавляли метанол (15 мл) и Н2О (15 мл) при 0°С и раствор нагревали до комнатной температуры и перемешивали в течение 0,5 ч. Мутную суспензию выливали в НО2 (1,4 л) и экстрагировали EtOAc (3 300 мл). Объединенные органические слои промывали насыщенным NaCl, сушили над MgSO4, фильтровали и упаривали досуха с получением 29,31 г (97%) 86 в виде белого твердого вещества. Остальные стадии реакций, реагенты и условия реакций аналогичны используемым в предыдущих примерах, примерах 31-37.
Пример 39
Этот пример описывает синтез соединения 92, как показано в схеме 20:
(a) Синтез 3-гидрокси-7 -метил-21-(2′-N,N-диэтилами-ноэтокси)-19-норпрегна-1,3,5(10)-триена (91).
Олефин 25 (18,88 г, 45,94 ммоль) гидрировали над 10% Pd-C (7 г) в 300 мл этанола при комнатной температуре при атмосферном давлении в течение ночи. Катализатор удаляли фильтрованием и промывали этанолом. Растворитель удаляли в вакууме. Остаток перекристаллизовывали из изопропилового эфира с получением амина 91 в виде кристаллического твердого вещества (16,13 г, 85%): т.пл. 106-107°С; 1H-ЯМР: 0,62 (с, 3Н), 0,84 (д, 3Н, J=7,1 Гц), 1,09 (т, 6Н, N(СН2СН3)2, J=7,2 Гц), 2,48 (д, 1Н, J=16,5 Гц), 2,68 (к, 4Н, N(СН2СН3)2, J=7,2 Гц), 2,74 (т, 2Н, J=6,3 Гц), 3,03 (дд, 1Н, J=16,5 Гц, 6,1 Гц), 3,36-3,54 (м, 2Н), 3,57 (т, 2Н, J=6, 3 Гц), 6,54 (д, 1Н, J=2,6 Гц, АrН), 6,62 (дд, 1Н, J=8,6 Гц, 2,6 Гц, АrН), 7,16 (д, 1Н, J=8,6 Гц, АrН); MS(DCI) 414 (М+Н).
(b) Цитрат 3-гидрокси-7 -метил-21-(2′-N,N-диэтилами-ноэтокси)-19-норпрегна-1,3,5(10)-триена (92).
К раствору амина 91 (0,85 г, 2,06 ммоль) в 40 мл МеОН при комнатной температуре в атмосфере аргона добавляли лимонную кислоту (0,395 г, 2,06 ммоль) и перемешивание продолжали в течение 15 минут. Растворитель выпаривали при пониженном давлении и сушили в вакууме с получением цитратной соли 92 в виде аморфного твердого вещества с количественным выходом. Аналитическую пробу готовили кристаллизацией из EtOH: т.пл. 106-107°С (разложение); 1H-ЯМР (CD3OD): 0,65 (с, 3Н), 0,84 (д, 3Н, J=7,0 Гц), 1,31 (т, 6Н, N(СН2СН3)2, J=7,3 Гц), 2,43 (д, 1Н, J=16,6 Гц), 2,67 (д, 2Н, J=15,4 Гц), 2,82 (д, 2Н, J=15,4 Гц), 2,99 (дд, 1H, J=16, 6 Гц, 5,0 Гц), 3,26 (к, 4Н, N(СН2СН3)2, J=7,3 Гц), 3,31-3,35 (м, 2Н), 3,50 (м, 2Н), 3,73 (м, 2Н), 6,46 (д, 1H, J=2,2 Гц, АrН), 6,53 (дд, 1H, J=8,7 Гц, 2,2 Гц, АrН), 7,16 (д, 1H, J=8,7 Гц, АrН); MS (DCI) 414 (М+Н).
Пример 40
Биотест для измерения эстрогенной и антиэстрогенной активности тест-соединений с использованием клеток Ишикава человека
А. Процедуры:
Клетки Ишикава человека являются очень чувствительными к эстрогенам и соединения с эстрогенной активностью индуцируют щелочную фосфатазу (AlkP) в этих клетках при таких низких уровнях, как 10-2 М. Таким образом, эстрогенная активность любого целевого соединения может быть измерена количественным определением активности AlkP, индуцированной этим соединением.
Реагенты: Клетки Ишикава человека были предоставлены д-ром Erlio Gurpide (Mount Sinai School of Medicine, N.Y.). Минимальная эссенциальная среда Игла (MEM), телячья фетальная сыворотка (ФТС) и п-нитрофенилфосфат были куплены из Sigma Chemical Company (St. Louis, МО).
Клеточная культура: Клетки Ишикава человека рутинно поддерживали в MEM, содержащей 10% ФТС и дополненной 2 мМ глутамином и 1 мМ пируватом натрия. Клетки высевали при плотности 1,5 106 клеток/75 см2 и пассировали дважды в неделю. За двадцать четыре часа перед началом эксперимента среду в почти конфлюэнтных клеточных культурах заменяли на не содержащую фенолового красного MEM, содержащую 5% ФТС, очищенную от эндогенных эстрогенов покрытым декстраном углем, плюс перечисленные выше добавки.
Обработка лекарственным средством: В день эксперимента клетки собирали 0,25% трипсином и высевали в 96-луночные плоскодонные микротитрационные планшеты в не содержащей фенолового красного MEM при плотности 1,5 104 клеток на лунку. Тест-соединения растворяли в ДМСО при 10-2 М, разбавляли подходящим образом не содержащей фенолового красного MEM (конечная концентрация ДМСО 0,1%). Разбавленные тест-соединения добавляли к культуральным лункам либо по отдельности, либо в комбинации с 10-9 М эстрадиолом. Каждый эксперимент включал в себя культуральную лунку слепого контроля (только носитель) и положительного контроля (10-9 М). Конечный объем среды в каждой культуральной лунке был 200 мкл. После всех добавлений клетки инкубировали при 37°С в увлажненной атмосфере, содержащей 5% СO2, в течение 72 ч. В конце инкубационного периода 72 ч проводили определение активности AlkP.
AlkP-тест (определение активности AlkP): Этот тест выполняли перевертыванием микротитрационных планшетов и удалением среды для выращивания резким встряхиванием кистью. Планшеты ополаскивали осторожным погружением и кружением их в 2 л ЗФР (0,15 М NaCl, 10 мМ фосфат натрия, рН 7,4) в резервуаре из пластика с размерами (27 10 9,5) см. Планшеты вынимали из резервуара, оставляя остаточный солевой раствор в каждой лунке, и процедуру промывки повторяли еще раз. После этого забуференный солевой раствор стряхивали из планшетов и планшеты перевертывали и острожно промокали на бумажном полотенце. Затем планшеты помещали на лед и в каждую лунку добавляли 50 мкл охлажденного льдом раствора, содержащего п-нитрофенилфосфат (5 мМ), MgCl2 (0,24 мМ) и диэтаноламин (1 М, рН 9,8). Затем планшеты нагревали до комнатной температуры и давали развиться желтой окраске, вызываемой образованием п-нитрофенола. Планшеты наблюдали периодически при 405 нм планшет-ридере для твер-дофазного иммуноферментного анализа (ELISA) до времени, когда максимально стимулированные клетки показали поглощение 1,2 при 405 нм. Эстрогенную активность тест-соединения рассчитывают как процентную стимуляцию активности AlkP (т.е. поглощения при 405 нм) тест-соединением, нормализованную относительно стимулируемой 10-9 М эстрадиолом активности (где поглощение 1,2 при 405 нм = 100% стимуляции). Антиэстрогенную активность тест-соединения определяют как процентное ингибирование стимулируемой 10-9 М эстрадиолом активности AlkP тест-соединением.
В. Результаты:
Характерные антиэстрогенные соединения данного изобретения оценивали на антиэстрогенную и эстрогенную активность in vitro, как описано выше. Результаты, полученные с этими тест-соединениями, показаны в таблице 1 ниже. Включены также результаты, полученные с тамоксифеном, 4-гидроксит-амоксифеном, DP-TAT-59, ТАТ-59 и ICI 164384.
Пример 41
Утеротрофический и антиутеротрофический тест
Процедура теста: Для этого эксперимента использовали самок крыс Sprague-Dawley (полученных из Simmonsen Laboratories (Gilroy, CA) весом 40-50 г. Для начала эксперимента крыс взвешивали и делили на группы по 5 животных случайным образом. Для утеротрофического теста различные дозы тест-соединений в стерильном солевом растворе (0,1 мл для подкожной инъекции, 1,0 мл для перорального чреззондо-вого питания) вводили животным один раз в день. Ту же самую процедуру использовали для антиутеротрофического теста, но суспензию 0,5 мкг бензоата эстрадиола (полученного из Sigma Chemical Co., St. Louis, МО) в носителе также вводили перорально каждому из исследуемых животных. Каждый эксперимент включал в себя две контрольные группы, одна из которых получала только носитель, а другая только бензоат эстрадиола.
Введения проводили в течение 3 дней. В день 4 животных взвешивали и затем умерщвляли. Матки немедленно извлекали из животных, освобождали от жира и затем взвешивали.
Эстрогенную активность определяли из веса матки в группах, получающих только тест-соединение, в сравнении с весом матки в группах контроля с носителем. Антиэстрогенную активность определяли из веса маток в группах, получающих тест-соединение плюс эстрадиол, в сравнении с весом матки в группах контроля с эстрадиолом (см. табл. 2).
Пример 42
Оценка тканеселективности
Тканеспецифическую эстрогенность соединений 85 и 92 оценивали в сравнении с тамоксифеном и ралоксифеном. Для этого эксперимента использовали крыс Sprague-Dawley (в возрасте семи недель), купленных из SLC Inc. (Shizuoka), и кормили их TD89222. Спустя две недели после покупки крыс подвергали овариэктомии или ложно оперировали под легкой анестезией эфиром. Спустя неделю после овариэктомии крыс произвольно делили на 21 группу из 9 животных (день 0) и вводили им перорально выбранное лекарственное средство со дня 0 до дня 28. В день после конечной дозы крыс умерщвляли и их бедренные кости, матки, кровь и мочу собирали.
Иссеченные правые бедренные кости взвешивали и их объемы определяли по принципу Архимеда. Сухие веса определяли после обработки бедренных костей при 110°С в течение 5 дней и золу взвешивали после обработки при 900°С в течение 5 часов. Плотность массы рассчитывали делением веса бедренной кости на объем и содержание минеральных соединений оценивали делением веса золы на сухой вес.
Левые бедренные кости подвергали определению трабекулярной плотности и полярной прочности с использованием периферической количественной компьютерной томографии (ХСТ-90 6А, Norland, NY). Анализировали срезы, дистальные (3-5,5 мм) относительно пластинки роста бедренной кости.
Уровни пиридиниевых сшивок в пробах мочи определяли при помощи Pyrilincs (Metra Bosystems Inc., CA) и корректировали с использованием уровней креатинина.
Уровни щелочной фосфатазы анализировали при помощи ALP-HA (Wako, Osaka). Уровни холестерина в сыворотке определяли при помощи HDL-CIL/PM (Wako pure chemicals, Osaka) и LDL-теста на холестерин (Daiichi pure chemicals, Tokyo).
Результаты:
Все соединения предотвращали потерю трабекулярной плотности костной ткани подвергнутых овариэктомии крыс (фиг.1). После 4 недель обработки трабекулярная плотность костной ткани подвергнутых овариэктомии крыс значимо уменьшалась в сравнении с ложнооперированной крысой (р<0,01) и трабекулярная плотность костной ткани крыс, обработанных соединением 92, тамоксифеном или ралоксифеном, была значимо более высокой, чем плотность подвергнутых овариэктомии крыс (р<0,05). Уровни пиридиниевых сшивок в моче, как марекр рассасывания костной ткани, в крысах, обработанных антиэстрогенами, были значимо более низкими, чем эти уровни в подвергнутых овариэктомии крысах, после 4 недель обработки, что предполагает подавление остеолиза эстрогенной активностью соединений (фиг.2). Сывороточные уровни как общей, так и полученной их костной ткани щелочной фосфатазы крыс, обработанных соединением 92, были значимо более высокими, чем эти уровни контрольных крыс (фиг.3).
Подобные результаты ожидаются со структурными аналогами, описанными и заявленными здесь.
Пример 43
Противоопухолевое тестирование in vivo против ксенотрансплантата опухоли молочной железы человека MCF-7 и ее тамоксифен-резистентной клеточной линии
Противоопухолевую активность соединений 85 и 92 против тамоксифен-резистентной карциномы молочной железы человека оценивали следующим образом.
Соединения 85, 92, тамоксифен и ралоксифен суспендировали в 0,5% растворе гидроксипропилметилцеллюлозы; faslodex растворяли в арахисовом масле. Использовали клетки карциномы молочной железы человека MCF-7 и их тамоксифен-резистентную сублинию, FST-1-клетки. Восемь мм3-фрагментов опухоли инокулировали подкожно в правый бок самок мышей BALB/c (nu/nu, “голых” мышей, т.е. бестимусных мышей с мутацией “nude”) (Japan Clea Inc.). Гранулу, содержащую 500 мкг/гранула эстрадиола, использовали для добавления эстрагена. Когда опухоли достигали диаметра 6-7 мм (через две-три недели после инокуляции), мышам давали соединения 85 (некоторым 10 мг/кг/день, некоторым 30 мг/кг/день), 92 (дозы 1 мг/кг/день, 5 мг/кг/день, 25 мг/кг/день, 1 мг/кг/день), тамоксифен (10 мг/кг/день) или ралоксифен (50 мг/кг/день) ежедневно в течение 3-4 недель, вводимые перорально, или мышам давали faslodex подкожно (5 мг/мышь/неделя) один раз в неделю, в течение 3 недель. Размер опухолей регистрировали после пальпации с использованием двух перпендикулярных диаметров.
Результаты:
В отношении опухоли MCF-7 все соединения обнаружили значимую подавляющую рост активность. Десять мг/кг/день соединения 85 и 25 мг/кг/день соединения 92 обнаружили самую сильную ингибирующую рост активность, затем 5 мг/тело faslodex, 10 мг/кг/день тамоксифена и 50 мг/кг/день ралоксифена.
В случае опухоли FST-1 не наблюдали подавления роста с тамоксифеном, что указывает на то, что FST-1 сохраняла ее резистентность в отношении тамоксифена. Десять мг/кг/день соединения 85 и 25 мг/кг/день соединения 92 обнаружили значимую подавляющую рост активность против опухоли EST. Полное подавление опухолевого роста достигалось фактически с соединением 92. В этой системе 50 мг/кг/день ралоксифена не обнаружили подавляющей рост активности, и было обнаружено, что faslodex был менее эффективным, чем соединение 85.
Пример 44
Оценка соединений изобретения на лечение женщин, страдающих от дисфункционального маточного кровотечения.
По меньшей мере отбирают пять женщин для этого клинического исследования. Эти женщины страдают от дисфункционального маточного кровотечения. Вследствие идиосинкратической и субъективной природы этих симптомов данное исследование имеет контрольную плацебо-группу, т.е. этих женщин делят на две группы, одна из которых получает соединение данного изобретения, такое как соединение 85 или 92, а другая группа женщин получает плацебо. Этих пациентов оценивают в отношении характера их дисфункционального маточного кровотечения (потери крови, тайминга и т.д.) перед началом исследования. Оценки могут также включать в себя “баллы эстрогенности” биопсии матки, определяемые гистологической оценкой, и оценки сканов с использованием изображений ультразвукового, радиоизотопного исследований, ядерно-магнитной диагностики или компьютерной аксиальной томографии (CAT) толщины эндометрия. Женщины в тест-группе получают между 30 и 600 мг лекарственного средства в день пероральным путем. Они продолжают это лечение в течение 3-12 месяцев. Точные записи хранятся в отношении состояния их дисфункционального маточного кровотечения в обеих группах и в конце этого исследования эти результаты сравнивают. Результаты сравнивают между членами каждой группы, а также сравнивают результаты для каждого пациента с симптомами, сообщенными каждым пациентом перед началом этого исследования. Применимость соединений данного изобретения иллюстрируется терапевтическим действием, которое они оказывают на дисфункциональное маточное кровотечение пациента.
Пример 45
Оценка соединений данного изобретения на ингибирование эстроген-зависимых нарушений ЦНС у женщин в постклимактерический период
Отбирают пять-пятьдесят женщин для этого клинического исследования. Эти женщины находятся в постклимактерическом периоде, т.е. у них прекратились менструации за 6 и 12 месяцев перед началом этого исследования, они имеют хорошее общее здоровье и страдают от нарушения ЦНС, т.е. тревожности, депрессии, колебаний настроения, напряженности, раздражительности, мотивационных нарушений, потери памяти или расстройства познавательной способности. Вследствие идиосинкратической и субъективной природы этих симптомов данное исследование имеет контрольную плацебо-группу, т.е. этих женщин делят на две группы, одна из которых получает соединение данного изобретения, такое как соединение 85 или 92, а другая группа женщин получает плацебо. Женщины в тест-группе получают между 30 и 600 мг лекарственного средства в день пероральным путем. Они продолжают это лечение в течение 3-12 месяцев. Точные записи хранятся в отношении числа и тяжести нарушений ЦНС в обеих группах и в конце этого исследования эти результаты сравнивают. Применимость соединений данного изобретения демонстрируется терапевтическим действием, которое они оказывают на пациентов, страдающих от нарушений ЦНС, которые могут оцениваться с использованием этой процедуры.
Пример 46
Оценка соединений изобретения на ингибирование эстрогензависимой кожной и вагинальной атрофии у женщин в постклимактерический период
Ингибирование кожной атрофии: Выбирают от трех до двадцати женщин, которые являются постклимактерическими и имеют хорошее здоровье. Этих женщин выбирают также на основе наличия у них нескольких признаков быстрой дермальной атрофии, таких как быстрое увеличение числа лицевых морщинок или “вороньих лапок”, быстрое изменение пигментации кожи, т.е. “возрастные пятна”, или другие жалобы на быстрое дермальное старение. Поскольку дермальная атрофия может быть результатом других факторов, таких как повреждение ультрафиолетовым светом от солнца или другие резкие воздействия окружающей среды, такие пациенты, которые страдают от этих воздействий, должны быть исключены из исследования.
Первый компонент этого исследования является количественым и субъективным компонентом, т.е. оценкой улучшения вида пациента. Такая оценка требует первоначального эталонного теста для последующего сравнения. Некоторые первоначальные эталонные тесты могут быть в форме стандартизованного набора вопросов относительно того, как пациент оценивает свой вид, фотографий пациента или психологического профиля образа “я” пациента. Второй компонент является количественным; подобные компоненты включают в себя измерение экскреции гидроксипролина с мочой, содержание влаги кожи, количество гликозаминогликанов в коже и изменения в упругости и мягкости кожи. Способы определения этих факторов можно найти в “The Menopause”, Ed. R.J. Beard, University Press, Chapter 7 (1977) и “Methods in Skin Research”, Ed. Skerrow, D. and Skerrow, C.J. John Wiley & Sons Ltd., Chp., 22, “Analysis of Sebaceous Lipids”, p. 587-608 (1985) и дополнительных цитируемых здесь ссылках. Также получают первоначальный эталонный тест (точку отсчета) этих количественных факторов.
Женщин, отобранных таким образом и исходно оцененных, помещают в клинический протокол получения 40-400 мг активного соединения данного изобретения путем перорального введения единственной дозы или разделенной дозы. Альтернативно, этих пациентов помещают в протокол для местного нанесения на участки кожи, наиболее пораженные атрофией. Этот протокол местного введения включает в себя использование подходящей композиции, содержащей 5-50% (по весу) активного соединения данного изобретения, наносимой на пораженный участок один раз или два раза в день. Любой из этих протоколов продолжается два-двенадцать месяцев. Последующие оценки, как количественные, так и качественные, выполняют при подходящих интервалах.
Положительный результат состоит в улучшении общего количественного индекса вида пациента и/или улучшении количественных параметров, например увеличении экскреции гидроксипролина с мочой, свидетельствующем об увеличении оборота и синтеза коллагена, увеличении содержания гликозамингликанов в жидкости, мягкости или упругости кожи.
Ингибирование вагинальной атрофии: Выбирают от трех до двадцати женщин, страдающих от вагинальной атрофии, связанной с менопаузой. Эти женщины имеют общее хорошее здоровье. Поскольку природа этого нарушения является высокоидиосинкратической и субъективной, оценка эффективности лечения должна быть обязательно субъективной по характеру. Этих пациентов просят вести ежедневный журнал, отмечая такие детали, как вагинальный зуд и шелушение и степень удовлетворения в половом акте. Этих женщин помещают в клинический протокол, подобный протоколу, описанному выше для атрофии кожи. Особое внимание уделяют использованию вагинальных суппозиториев, содержащих 5-25% активного соединения данного изобретения.
Положительным результатом является улучшение в комфорте полового акта и/или уменьшение зуда или шелушения.
Пример 47
Оценка соединений изобретения в ингибировании эстроген-зависимого легочного гипертензивного заболевания
Отбирают от пяти до пятидесяти женщин для этого клинического исследования. Эти женщины страдают от легочного гипертензивного заболевания. Вследствие идиосинкратической и субъективной природы этих симптомов данное исследование имеет контрольную плацебо-группу, т.е. этих женщин делят на две группы, одна из которых получает соединение данного изобретения, такое как соединение 85 или 92, а другая группа женщин получает плацебо. Женщины в тест-группе получают между 30 и 600 мг лекарственного средства в день пероральным путем. Они продолжают это лечение в течение 3-12 месяцев. Точные записи хранятся в отношении числа и тяжести симптомов в обеих группах и в конце этого исследования эти результаты сравнивают. Результаты сравнивают между членами каждой группы, а также результаты для каждого пациента сравнивают с симптомами, сообщенными каждым пациентом перед началом исследования. Применимость соединений данного изобретения иллюстрируется положительным влиянием, которое, как ожидается, они будут оказывать на пациентов, оцениваемых с использованием этой процедуры.
Формула изобретения 1. 17-Дезокси-1,3,5(10)-эстратриен, содержащий в положении С-17 эстратриенового ядра молекулярный фрагмент, формулы(d)
где m означает целое число от 1 до 6;
р означает целое число от 0 до 6;
R29 и R30 независимо представляют водород, низший алкил или R29 и R30 связаны вместе с образованием гетероциклоалкильного кольца, содержащего 1-3 гетероатома, выбранных из N или О;
L означает пяти- или шестичленный циклический ароматический фрагмент молекулы, необязательно содержащий 1-2 гетероатома, выбранных из N и О или их комбинации, необязательно замещенный одним или более заместителями, выбранными из группы, состоящей из алкила, алкокси, гидрокси, либо формулы(е)
где m означает целое число от 1 до 6;
р означает целое число от 0 до 6;
R29 и R30 означают низший алкил или связаны вместе с образованием пяти- или шестичленного гетероциклоалкильного кольца, содержащего 1-2 гетероатома, выбранных из N или О;
Q1, Q2, Q3 и Q4 независимо выбраны из группы, состоящей из водорода, гидроксила, алкокси и алкила.
2. Способ лечения индивидуума с эстрогензависимым нарушением, включающий введение этому индивидууму терапевтически эффективного количества соединения выбранного из 1,3,5(10)эстратриена по п.1 или соединений формул
3. Способ по п.2, где эстрогензависимое нарушение представляет собой рак молочной железы.
4. Способ по п.2, где эстрогензависимое нарушение представляет собой рак матки.
5. Способ лечения индивидуума с эстрогеннезависимым раком, включающий введение этому индивидууму терапевтически эффективного количества соединения по п.1.
6. Способ по п.5, где рак является резистентным ко множеству лекарственных средств.
7. Способ увеличения и/или подавления снижения массы костной ткани в организме млекопитающего, включающий введение индивидууму эффективного для увеличения массы костной ткани количества соединения по п.1.
8. Способ по п.7 для лечения остеопороза в организме млекопитающего, включающий введение индивидууму эффективного количества соединения по п.1.
9. Способ снижения уровня сывороточного холестерина в организме млекопитающего, включающий введение индивидууму эффективного для снижения уровня сывороточного холестерина количества соединения по п.1.
10. Способ подавления легочной гипертензии, включающий введение индивидууму, нуждающемуся в этом, терапевтически эффективного количества соединения по п.1.
11. Способ подавления кожной и/или вагинальной атрофии, включающий профилактическое введение индивидууму женского пола в постменопаузальный период эффективного количества соединения по п.1.
12. Способ подавления нарушения ЦНС, включающий введение индивидууму женского пола в постменопаузальный период эффективного количества соединения по п.1.
13. Способ по п.12, где нарушение ЦНС является эстрогензависимым нарушением ЦНС, включающий профилактическое введение индивидууму женского пола в постменопаузальный период эффективного количества соединения по п.1.
14. Способ синтеза 7 -метилэстрона, полезного в синтезе соединений 17-дезокси-1,3,5(10)эстратриена, включающий контактирование кислого раствора 7 -метиландрост-4-ен-3,17-диона с CuCl2.
15. Фармацевтическая композиция для введения антиэстрогенного агента, содержащая терапевтически эффективное количество соединения по пп.1 и 2-4 в комбинации с фармацевтически приемлемым носителем.
16. Соединения, выбранные из группы, включающей
3-гидрокси-7 -метил-21-[2′-метокси-4′-(диэтиламинометил)-фенокси]-19-норпрегна-1,3,5(10)-триен;
3-гидрокси-7 -метил-21-[3′-метокси-4′-(пиперидинометил)-фенокси]-19-норпрегна-1,3,5(10)-триен;
3-гидрокси-7 -метил-21-[2′-метокси-4′-(4″-метил пиперазинометил)фенокси]-19-норпрегна-1,3,5(10)-триен;
3-гидрокси-7 -метил-21-[2′-метокси-4′-(пирролидино метил)фенокси]-19-норпрегна-1,3,5(10)-триен;
3-гидрокси-7 -метил-21-[2′-метокси-4′-(N,N-диметил аминометил)фенокси]-19-норпрегна-1,3,5(10)-триен;
3-гидрокси-7 -метил-21-[5′-(N,N-диэтиламинометил)-2′-пиридинокси]-19-норпрегна-1,3,5(10)-триен;
3-гидрокси-7 -метил-21-[4′-(2″-(N,N-диэтиламино)этокси)фенокси]-19-норпрегна-1,3,5(10)-триен;
3-гидрокси-7 -метил-21-[4′-(2″-пиперидиноэтокси)фенокси]-19-норпрегна-1,3,5(10)-триен;
3-гидрокси-7 -метил-21-[4′-(2″-(N,N-диметиламино)этокси)фенокси]-19-норпрегна-1,3,5(10)-триен;
3-гидрокси-7 -метил-21-[4′-(2″-пиперидинометил)фенокси]-19-норпрегна-1,3,5(10)-триен,
и их фармацевтически приемлемые соли.
17.3-Гидрокси-7 -метил-21-[2′-метокси-4′-(диэтиламинометил)фенокси]-19-норпрегна-1,3,5(10)-триен.
18. Соединение по п.16, представляющее собой 3-гидрокси-7 -метил-21-[3′-метокси-4′-(пиперидинометил)фенокси]-19-норпрегна-1,3,5(10)-триен.
19. Соединение по п.16, представляющее собой 3-гидрокси-7 -метил-21-[2′-метокси-4′-(4″-метилпиперазинометил)фенокси]-19-норпрегна-1,3,5(10)-триен.
20. Соединение по п.16, представляющее собой 3-гидрокси-7 -метил-21-[2′-метокси-4′-(пирролидинометил)фенокси]-19-норпрегна-1,3,5(10)-триен.
21. Соединение по п.16, представляющее собой 3-гидрокси-7 -метил-21-[2′-метокси-4′-(N,N-диметиламинометил)фенокси]-19-норпрегна-1,3,5(10)-триен.
РИСУНКИ
|
||||||||||||||||||||||||||

-эстрадиол, который ведет себя как агонист эстрогена во всех тканях, и от профиля чистого антиэстрогена, который проявляет профиль антагониста эстрогена во всех типах тканей.
Следующие ссылки относятся к одному или нескольким аспектам данного изобретения и как таковые могут представлять интерес в качестве предпосылок данного изобретения для специалистов в данной области: патент США №2840581, Hogg et al., в котором описаны производные эстрадиола, замещенные в положении 17=СН-СН2OН и имеющие эстрадиол-подобную активность; патент США №3536703, Colton et al., в котором описаны антимикробные производные эстрадиола, замещенные в положении С-3 метоксигруппой и в положении С-17 различными группами, в том числе =C-CH2NR+3(где R обозначает водород или низший алкил или где две группы R образуют циклическую структуру); патент США №3716530, Krubiner et al., в котором описаны стероиды, содержащие различные заместители в положении С-17, в том числе производное эстрадиола, замещенные в положении С-17=СН-СН2Х, где Х обозначает галоген (применимое, как утверждается, в качестве промежуточного продукта в синтезе соединений, относящихся к гестагенным средствам, и противогрибковых агентов); Blickenstaff et al.. Steroids 46(4,5): 889-902 (1985), который относится к производным эстрадиола, имеющим заместители в положении 16, связанные со стероидным ядром через двойную связь, синтезированным как часть поиска новых противораковых агентов; патент Франции №1453210, в котором описаны аналоги эстрадиола, замещенные в положении 17
-диметиламиноэтокси-19-норпрегна-1,3,5(10)-триена; и Qian et al., J. Steroid Biochem. 29 (6):657-664 (1988), где оценивается корреляция между замещением в положении 17 эстрадиола и возможной антиэстрогенной активностью и описаны аналоги эстрадиола, замещенные в положении 17
В формуле (I),
R выбран из группы, состоящей из С и N, и, когда R обозначает С, находится в Е- или Z-конфигурации;
r1 и r2 обозначают необязательно двойные связи;
Х обозначает гидрокарбил, обычно включающий в себя по меньшей мере один атом кислорода, атом серы и/или атом азота в форме -О-, -S-, -NH- или-N(алкил)-связи и необязательно содержащий дополнительные заместители и функциональные группы, такие как гидроксил, оксо, алкокси, амино, алкилзамещенный амино, галоген, арил, гетероарил, гетроцикло-алкил или т.п;
X’ обозначает водород или гидрокарбил, обычно включающий в себя по меньшей мере один атом кислорода, атом серы и/или атом азота в форме -О-, -S-, -NH- или -N(алкил)-связи и, как и для X, необязательно содержащий дополнительные заместители и функциональные группы, или
Х и Х’ могут быть связаны с образованием гетероциклической структуры, содержащей один-четыре, обычно два-три, гетероатома, выбранных из группы, состоящей из азота, кислорода или серы;
когда r2 присутствует, R1 обозначает CR11R12, где R11 и R12 обозначают водород или низший алкил, и в случае, когда r2 отсутствует, R1 обозначает водород, алкил или галоген;
R2 выбирают из группы, состоящей из водорода, гидроксила, алкила, алкенила, арила, алкарила, -ONO2, -OR13 и -SR13, где R13 обозначает алкил, ацил или арил;
R3 выбирают из группы, состоящей из водорода, гидроксила, галогена, алкила, алкенила, арила, алкарила, циано,
-OR13 и -SR13, где R13 имеет указанные выше значения;
R4 обозначает водород или низший алкил;
R5 выбирают из группы, состоящей из водорода, низшего алкокси, галогена, циано, -СН2СН=СН2, -СНО, -NR14R15 и
-(СН2)NR14R15, где R14 и R15 могут быть одинаковыми или различными и обозначают водород или алкил, или, вместе, образуют пяти- или шестичленную циклоалкильную группу, необязательно содержащую дополнительный гетероатом азота;
R6 выбирают из группы, состоящей из водорода, алкила, ацила, -С(O)-арила, -С(О)-алкила и -SO2NH2;
R7 выбирают из группы, состоящей из водорода, галогена, -NO2, -СНО, -СН2СН=СН2, -NR16R17 и -CH2NR16R17, где R16 и R17 могут быть одинаковыми или различными и обозначают водород, алкил или ацетил;
R8 выбирают из группы, состоящей из водорода, гидроксила, -OR18 и -SR18, где R16 обозначает алкил, ацил или арил;
R4 обозначает водород или алкил, при условии, что, когда R является N, R9 отсутствует; и
R10 обозначает метил или этил.
В другом варианте данное изобретение относится к новым соединениям, имеющим структуру формулы (II)
где r1, r2, R, R1, R3, R4, R5, R6, R7, R8, R9, R10, X и X’ имеют указанные выше значения; и
R13 и R20 независимо выбирают из группы, состоящей из водорода, гидроксила, алкила, алкенила, алкинила, алкокси и галогена, или R19 и R20 вместе образуют =O.
В дополнительном варианте данное изобретение относится к новым соединениям, имеющим структуру формулы (III)
где r2, R1-R8 и R10 имеют указанные выше значения;
m обозначает целое число в диапазоне от 0 до 6 включительно;
n равно 0 или 1;
R21 обозначает гидрокарбил, включающий в себя по меньшей мере один атом кислорода, атом серы и/или атом азота в форме -О-, -S-, -NH- или -N (алкил)-связи и необязательно включающий в себя дополнительные заместители и функциональные группы, такие как гидроксил, оксо, алкокси, амино, алкилзамещенный амино, галоген, арил, гетероарил, гетероциклоалкил или т.п;
R22 обозначает водород или алкил или, когда m равно О, R21 и R22 могут быть связаны с образованием пяти- или шестичленной циклической структуры, которая может быть или может не быть ароматической, содержащей 0-3 гетероатома, выбранных из группы, состоящей из N, О и S, и замещенной 0-4 заместителями, выбранными из группы, состоящей из алкила, алкенила, алкинила, алкокси, -С(О)-алкила, -С(О)-O-алкила, -О-(СО)-алкила, -С(O)-арила, гидроксила, карбоксила, галогена, нитрила, нитрата и фторированного алкила;
R23 обозначает водород или низший алкил; и
R24 и R25 обозначают оба водород или оба метилен и связаны друг с другом одной ковалентной связью.
Подразумевается, что каждая из формул (I), (II) и (III) включает в себя фармацевтически приемлемые соли, эфиры, амиды, пролекарства и другие аналоги и производные показанных соединений.
В другом варианте данное изобретение относится к фармацевтическим композициям, содержащим, в комбинации, фармацевтически приемлемый носитель и антиэстрогенное соединение данного изобретения, т.е. агент, который является антиэстрогенным, но имеет сниженную эстрогенную активность, как может быть определено по степени ингибирования и степени стимуляции соответственно эстрадиол-индуцируемой щелочной фосфатазы в клетках Ишикава человека. Предпочтительными подобными соединениями являются стероиды, имеющие ядро 1,3,5-эстратриена, которое является 17-дезокси, и особенно предпочтительные соединения имеют боковую цепь – (СН2)m-CHR21R22 в положении 17, как показано в структурной формуле (III), причем m, R21 и R22 имеют указанные выше значения. Обычно эти фармацевтические композиции содержат в качестве активного агента соединение, определенное структурными формулами (I), (II) или (III).
В дополнительном варианте данное изобретение относится к способам применения этих новых соединений в качестве антиэстрогенных агентов. Новые антиэстрогенные соединения находят применение в лечении индивидуумов с нарушениями, которые являются эстрогензависимыми, т.е. состояний или заболеваний, которые являются эстрогениндуцируемыми или эстрогенстимулируемыми. Важные примеры подобного применения включают в себя лечение раковых опухолей молочной железы, матки, яичников и поджелудочной железы. Эти соединения могут быть также применены в способах лечения некоторых состояний и нарушений, которые не являются эстрогензависимыми, например независимых от эстрогена раковых заболеваний и, в частности, заболеваний, которые являются резистентными ко многим лекарственным средствам.
Еще в одном варианте данное изобретение относится к способам применения соединений данного изобретения в качестве тканеселективных антиэстрогенных агентов, т.е. в качестве “SERM”, для лечения или предупреждения нарушений молочной железы, для увеличения костной массы и/или ингибирования потери костной массы, для снижения холестерина в сыворотке и т.п.
Фиг.1 иллюстрирует в форме графика действие двух характерных соединений данного изобретения на трабекулярную плотность кости в подвергнутых овариэктомии крысах, оцененное в примере 42 данного изобретения.
Фиг.2 иллюстрирует в форме графика действие двух характерных соединений данного изобретения на уровни пиридинолина и дезоксипиридинолина в моче в подвергнутых овариэктомии крысах, оцененное в примере 42 данного изобретения.
Фиг.3 иллюстрирует в форме графика действие двух характерных соединений данного изобретения на уровни в сыворотке щелочной фосфатазы в подвергнутых овариэктомии крысах, оцененное в примере 42 данного изобретения.
Определения и номенклатура:
Перед раскрытием и описанием соединений, композиций и способов данного изобретения следует отметить, что данное изобретение не ограничивается конкретными реагентами или условиями реакций/ конкретными фармацевтическими носителями или конкретными схемами приема, которые могут, конечно, варьироваться. Также должно быть понятно, что используемая в описании терминология предназначена только для цели описания конкретных вариантов и не предназначена для ограничения.
Следует отметить, что, в применении в описании и прилагаемой формуле изобретения, единственные формы (артикли “a”, “an” и “the”) включают в себя и множественные формы, если контекст не дает ясно других указаний. Так, например, ссылка на “антиэстрогенный агент” включает в себя смеси антиэстрогенных агентов, ссылка на “фармацевтический носитель” включает в себя смеси двух или более таких носителей, и т.п.
В этом описании и в формуле изобретения, которые следуют далее, будет приведен ряд терминов, которые должны быть определены как имеющие следующие значения:
Термин “алкил”, используемый здесь, относится к разветвленной или неразветвленной углеводородной группе из 1-24 атомов углерода, такой как метил, этил, н-пропил, изо-пропил, н-бутил, изобутил, трет-бутил, октил, децил, тетра-децил, гексадецил, эйкозил, тетракозил и т.п., а также к циклоалкильным группам, таким как циклопентил, циклогексил и т.п. Термин “низший алкил” обозначает алкильную группу из одного-шести атомов углерода, предпочтительно одного-четырех атомов углерода. Термин “циклоалкил” в применении здесь относится к циклическому углеводороду из 3-8 атомов углерода, такому как циклопропил, циклобутил, циклопентил, циклогексил, циклогептил и циклооктил.
Термин “алкенил”, используемый здесь, относится к разветвленной или неразветвленной углеводородной группе из 2-24 атомов углерода, содержащей, по меньшей мере, одну двойную связь, такой как этенил, н-пропенил, изопропенил, н-бутенил, изобутенил, октенил, деценил, тетрадеценил, гексадеценил, эйкозенил, тетракозенил и т.п. Предпочтительные здесь алкенильные группы содержит 2-12 атомов углерода. Термин “низший алкенил” подразумевает алкенильную группу из двух-шести атомов углерода, предпочтительно двух-четырех атомов углерода. Термин “циклоалкенил” подразумевает циклическую алкенильную группу из трех-восьми, предпочтительно пяти-шести атомов углерода.
Термин “алкинил”, применяемый здесь, относится к разветвленной или неразветвленной углеводородной группе из 2-24 атомов углерода, содержащей, по меньшей мере, одну тройную связь, такой как этинил, н-пропинил, изопропинил, н-бутинил, изобутинил, октинил, децинил и т.п. Предпочтительные здесь алкинильные группы содержит 2-12 атомов углерода. Термин “низший алкинил” подразумевает алкинильную группу из двух-шести атомов углерода, предпочтительно двух-четырех атомов углерода.
Термин “алкилен”, используемый здесь, относится к дифункциональной разветвленной или неразветвленной насыщенной углеводородной группе из 1-24 атомов углерода, такой как метилен, этилен, н-пропилен, н-бутилен, н-гексилен, децилен, тетрадецилен, гексадецилен и т.п. Термин “низший алкилен” относится к алкиленовой группе из одного-шести атомов углерода, предпочтительно одного-четырех атомов углерода.
Термин “алкенилен”, применяемый здесь, относится к дифункциональной разветвленной или неразветвленной углеводородной группе из 2-24 атомов углерода, содержащей по меньшей мере одну двойную связь, такой как, этенилен, н-пропенилен, н-бутенилен, н-гексенилен и т.п. Термин “низший алкенилен” относится к алкениленовой группе из двух-шести атомов углерода, предпочтительно двух-четырех атомов углерода.
Термин “алкокси”, применяемый здесь, подразумевает алкильную группу, связанную через одну концевую простую эфирную связь; т.е. группа “алкокси” может быть определена как -O-алкил, где алкил имеет укзанное выше значение. Группа “низший алкокси” подразумевает группу алкокси, содержащую один-шесть, более предпочтительно один четыре атома углерода.
Термин “ацил” используется в его общепринятом смысле для обозначения заместителя алкил-С-(О)-, где алкил имеет указанное выше значение. Термин “низший ацил” относится к ацильной группе, в которой алкильная часть этой группы содержит один-шесть, более предпочтительно один четыре атома углерода.
Термин “арил”, используемый здесь, и, если нет других указаний, относится к ароматическим группам, содержащим 1-3 ароматических кольца, конденсированных или связанных, и либо незамещенным, либо замещенным 1 или несколькими заместителями, обычно выбранными из группы, состоящей из низшего алкила, низшего алкокси, галогена и т.п. Предпочтительные арильные заместители содержат 1 ароматическое кольцо или 2 конденсированных или связанных ароматических кольца. Термин “арилен” относится к дифункциональным ароматическим разновидностям, содержащим 1-3 ароматических кольца, замещенных 1 или несколькими заместителями, описанными выше. Предпочтительные ариленовые заместители содержат одно ароматическое кольцо (например, фенилен) или 2 конденсированных или связанных ароматических кольца (например, бифенилен).
Термин “аралкил” относится к арильной группе с алкильным заместителем. Термин “аралкилен” относится к ариленовой группе с алкильным заместителем.
Термин “алкарил” относится к алкильной группе, которая имеет арильный заместитель. Термин “алкарилен” относится к алкиленовой группе, которая имеет арильный заместитель.
Термин “гетероциклический” относится к пяти- или шестичленной моноциклической структуре или к восьми-одиннадцатичленному бициклическому гетероциклу. “Гетероциклические” заместители могут быть или могут не быть ароматическими, т.е. они могут быть либо гетероарилом, либо гете-роциклоалкилом. Каждый гетероцикл состоит из атомов углерода и одного-трех, обычно одного или двух, гетероатомов, выбранных из группы, состоящей из азота, кислорода и серы, обычно азота и/или кислорода.
Термин “гало” или “галоген” используется здесь в общепринятом смысле для обозначения заместителя хлора, брома, фтора или йода. Термины “галогеналкил”, “галогеналкенил” или “галогеналкинил” (или “галогенированный алкил”, “галогенированный алкенил” или “галогенированный алкинил”) относятся к алкильной, алкенильной или алкинильной группе, соответственно, в которой, по меньшей мере, один из атомов водорода был заменен атомом галогена.
Термин “гидрокарбил” используется в его общепринятом смысле для обозначения углеводородной группы, содержащей углерод и водород, и может быть алифатическим, алициклическим или ароматическим или может содержать комбинацию алифатических, алициклических и/или ароматических частей молекулы. Алифатический и алициклический гидрокарбил могут быть насыщенными или они могут содержать одну или более ненасыщенных связей, обычно двойных связей. Гидрокарбильные заместители обычно содержат 1-24 атомов углерода, обычно более 1-12 атомов углерода, и могут быть замещены различными заместителями и функциональными группами или могут быть модифицированы таким образом, что они содержат простую эфирную, тиоэфирную связи, -NH-, -NR-, -С(О)-, -С(О)-О- и/или другие связи.
“Необязательный” или “необязательно” означают, что описанное далее обстоятельство может иметь место или не иметь места, так что это описание включает в себя случаи, в которых данное обстоятельство имеет место, и случаи, в которых оно не имеет места. Например, фраза “необязательно замещенный” означает, что заместитель, не являющийся водородом, может присутствовать или отсутствовать, и, таким образом, описание включает в себя структуры, в которых неводородный заместитель присутствует, и структуры, в которых неводородный заместитель отсутствует. Подобным образом, фраза “необязательно присутствующая” двойная связь, указанная пунктирной линией (—-) в химической формуле, означает, что двойная связь может присутствовать или отсутствовать, и, если она отсутствует, то указывается простая связь.
Термины “лечение” и “обработка”, используемые здесь, относятся к уменьшению тяжести и/или частоты симптомов, устранению симптомов и/или лежащей в их основе причины, предупреждению появления симптомов и/или лежащей в их основе причины и улучшению или излечению повреждения. Так, например, данный способ “лечения” эстрогензависимого нарушения, как используемый здесь термин, включает в себя как предупреждение этого нарушения, так и лечение нарушения в индивидууме с клиническими симптомами.
Термины “эффективное количество” или “фармацевтически эффективное количество” или “эффективное антиэстрогенное количество” агента, раскрытое данным изобретением, означают нетоксичное, но достаточное количество этого агента, необходимого для обеспечения желаемого профилактического или терапевтического эффекта. Как будет показано ниже, точное требующееся количество будет варьироваться от субъекта к субъекту в зависимости от вида, возраста и общего состояния этого субъекта, тяжести состояния, подлежащего лечению, и конкретного антиэстрогенного агента и способа введения и т.п.Таким образом, невозможно дать определение точного “эффективного количества”. Однако подходящее “эффективное” количество в каждом индивидуальном случае может быть определено специалистом в данной области с использованием лишь рутинного экспериментирования.
Под “фармацевтически приемлемым носителем” подразумевают материал, который не является биологически или иным образом нежелательным, т.е. этот материал может быть введен в индивидуум вместе с выбранным антиэстрогенным агентом без индуцирования каких-либо нежелательных биологических эффектов или взаимодействия неблагоприятным образом с любым из других компонентов фармацевтической композиции, в которой он содержится. Подобным образом, “фармацевтически приемлемая” соль или “фармацевтически приемлемый” сложный эфир нового соединения в применении здесь является солью или сложным эфиром, которые не являются биологически или иным образом нежелательными.
Под “антиэстрогенным” в применении здесь подразумевают соединение, которое имеет тенденцию ингибирования in situ продуцирование эстрогенов, таких как эстрадиол, после введения их индивидууму-млекопитающему. Не претендуя на теоретическое объяснение, авторы изобретения считают, что соединения данного изобретения являются антиэстрогенными по характеру благодаря конкурентному блокированию связывания эстрогена с его рецептором, в частности, в ткани молочной железы и матки. Антиэстрогенная активность может быть оценена по ингибированию эстрадиолиндуцированной активности щелочной фосфатазы в клетках Ишикава человека, например, с использованием процедур, описанных в примере 40 в описании.
Обычно новые антиэстрогенные агенты ингибируют стимулируемую 10-9 M эстрадиолом активность щелочной фосфатазы по меньшей мере на 30%, предпочтительно, по меньшей мере, приблизительно на 45%, более предпочтительно, по меньшей мере, приблизительно на 75% и наиболее предпочтительно, по меньшей мере, приблизительно на 90%.
Под термином “по существу не имеет эстрогенной активности”, применяемый здесь, имеют в виду соединение, которое имеет, приблизительно менее 5%, предпочтительно приблизительно менее 2% эстрогенной активности эстрадиола (как может быть определено, например, с использованием процедур, описанных в примере 40). Термин “уменьшенная эстрогенная активность” относится к соединению, которое имеет 60% или менее эстрогенной активности эстрадиола.
Термин “тканеселективный”, используемый здесь, относится к соединениям данного изобретения, которые действуют как SERM, т.е. они являются антиэстрогенными в репродуктивной ткани, в частности в ткани молочной железы и/или матки, имеют уменьшенную эстрогеннную активность или вообще не имеют эстрогенной активности в репродуктивной ткани, но производят благоприятные эстрогенподобные эффекты в других отношениях, в том числе, но не только, в отношении костного и липидного метаболизма. То-есть, такие соединения действуют как агонисты эстрогена на метаболизм костной ткани и холестерина.
В описании местоположения групп и заместителей будут использоваться приведенные выше системы нумерации, чтобы согласовать нумерацию циклопентанфенантренового ядра с конвенцией, используемой ИЮПАК или Chemical Abstracts Service. Термин “стероид” в применении здесь обозначает соединения, имеющие вышеупомянутое циклопентанфенантреновое ядро.
В этих структурах использование сплошных и пунктирных линий для обозначения конкретной конформации групп также соответствует конвенции обозначения стероидов ИЮПАК. Символы “
в которой r1 и r2 обозначают необязательно двойные связи и R выбран из группы, состоящей из С и N, и, когда R обозначает С, находится либо в Е-, либо в Z-конфигурации. В предпочтительных соединениях здесь R обозначает С.
Другие заместители, X, X’ и R1-R10, определяются следующим образом.
Х обозначает гидрокарбил, обычно и предпочтительно включающий в себя, по меньшей мере, один атом кислорода, атом серы и/или атом азота в форме -О-, -S-, -NH- или -N(алкил)-связи, предпочтительно -N(низший алкил)-связи, и необязательно содержащий дополнительные заместители и функциональные группы, такие как гидроксил, оксо, алкокси, амино, алкилзамещенный амино, галоген, арил, гетероарил, гетероциклоалкил или т.п. Когда присутствует r1, так что эта связь с Х осуществляется через двойную связь, предпочтительными Х-частями молекулы являются CH-Y и N-Y. Когда r1 отсутствует, так что связь с Х осуществляется через простую связь, предпочтительные Х-части молекулы представлены -Z-Y, -СН-Y1Y2 или -NR26Y, где Y, Y1 и Y2 имеют определенные выше значения, Z является кислородом или серой и R26 является водородом или низшим алкилом. В предпочтительных структурах, описанных здесь, r1 отсутствует.
X’ обозначает водород или гидрокарбил, причем, если он обозначает гидрокарбил, то обычно и предпочтительно он включает в себя, по меньшей мере, один атом кислорода, атом серы и/или атом азота в форме -О-, -S-, -NH- или -N(алкил)-связи и необязательно содержит дополнительные заместители и функциональные группы, как описано выше в отношении X. Х и X’ могут быть одинаковыми, или они могут быть различными. Альтернативно, Х и X’ могут быть связаны с образованием гетероциклического кольца, обычно шести-восьмичленного гетероциклоалкильного кольца, содержащего один-три, предпочтительно два-три, гетероатома, выбранных из группы, состоящей из азота, кислорода и серы, причем предпочтительны азот и кислород. Гетероциклоалкильная группа может, например, иметь структуру -Z1-(CH2)n1-N(R27)-(СН2)n2-Z2-, где n1 и n2 равны 1 или 2 и являются предпочтительно, хотя необязательно, одинаковыми, R27 обозначает водород или низший алкил и Z1 и Z2 независимо обозначают кислород или серу.
Y обозначает водород, – (R28)n3-JR29R30 или – (R31)n4-Z3-(R32)n5-[L-(R33)n6]n7-[Z4-(R34)n8]n9-JR29R30, где R28, R31, R32, R33 и R34 обозначают алкилен или алкенилен, обычно алкилен, предпочтительно низший алкилен, и Z3 и Z4 независимо обозначают кислород или серу. L обозначает -С(О)-, О, S или -NR35-, где R35 обозначает водород или низший алкил, или L может быть пяти- или шестичленной циклической структурой, необязательно содержащей 1-4 гетероатома, выбранных из группы, состоящей из N, О и S и их комбинаций, и необязательно замещенной одним или более заместителями, выбранными из группы, состоящей из алкила, алкенила, алкокси, галогенированного алкила, алкенила и алкокси (предпочтительно низшего алкила, низшего алкенила, низшего алкокси, галогенированного низшего алкила, галогенированного низшего алкенила и галогенированного низшего алкокси), карбоксила, гидрокси, амино, нитро, циано, галогена, галогенированного алкила, алкенила и алкокси, и L может, необязательно, быть ариленовым кольцом и, если это арилен, он представляет собой предпочтительно фенилен, галогензамещенный фенилен, (низший алкил)замещенный фенилен, (низший алкокси)замещенный фенилен или бифени-лен, более предпочтительно фенилен, метоксизамещенный фенилен или йодзамещенный фенилен (с R33, связанным с любым одним из атомов углерода кольца). J обозначает N или СН, n3 и n4 равны 0 или 1, но равны обязательно 1, когда Y связан с атомом кислорода, серы или азота, n5, n6, n7, n8 и n9 равны независимо 0 или 1 и R29 и R30 могут быть одинаковыми или различными и независимо выбраны из группы, состоящей из водорода, низшего алкила и галогеналкила или, вместе, образуют моноциклический или полициклический заместитель, с предпочтительным моноциклическим заместителем, представленным как J’, ниже,
где Q обозначает NR36, О или СН2, Q’ обозначает оксо или СН2 и i равно 0 или 1. Y необязательно замещен при одном или нескольких доступных атомах углерода галогеном, оксо, гидроксилом, низшим алкилом, низшим алкокси или низшим галогеналкилом, при условии, что, когда Х обозначает 0-Y и R обозначает С, тогда Y является иным, чем водород, и, когда J обозначает СН, тогда R29 и R30 вместе образуют J’.
Y1 и Y2 могут быть одинаковыми или различными и определяются -Z-Y. Альтернативно, Y1 и Y” могут быть связаны с образованием гетероциклического кольца, обычно гетероциклоалкильного кольца, описанного в отношении Х и X’ выше.
Идентичность R1 зависит от присутствия или отсутствия двойной связи при r2. Когда r2 присутствует, так что имеется двойная связь, связывающая R1 с атомом углерода в положении 16 эстратриенового ядра, тогда R1 представляет собой CR11R12, где R11 и R12 независимо представляют собой водород или низший алкил. Предпочтительной группой R1, когда присутствует r2, является СН2. Когда r2 отсутствует, так что имеется простая связь, связывающая R1 с атомом углерода в положении 16, тогда R1 представляет собой водород, алкил (предпочтительно низший алкил) или галоген, предпочтительно водород.
R2 выбирают из группы, состоящей из водорода, гидроксила, алкила, алкенила (предпочтительно низшего алкила и алкенила), арила, алкарила, -ONO2, -OR13 и -SR13, где R13 представляет собой алкил (предпочтительно низший алкил), низший ацил или арил. Предпочтительно, хотя и необязательно, R2 является водородом.
R3 выбирают из группы, состоящей из водорода, гидроксила, галогена, алкила, алкенила, (предпочтительно низшего алкила или алкенила), арила, алкарила, -OR13 и -SR13, где R13 имеет описанные выше значения. Предпочтительными R3-заместителями являются водород и низший алкил.
R4 обозначает водород или низший алкил, предпочтительно водород.
R5 выбирают из группы, состоящей из водорода, низшего алкокси, галогена, циано, -СН2СН=СН2, -СНО, -NR14R15 и -(CH2)NR14R15, где R14 и R15 могут быть одинаковыми или различными и обозначают водород или низший алкил или вместе образуют пяти- или шестичленную циклоалкильную группу, необязательно содержащую дополнительный гетероатом азота. Предпочтительно, R5 представляет собой водород, метокси, -NR14R15 или -(CH2)NR14R15, где R14 и R15 представляют собой низший алкил, в частности метил или этил.
R6 выбирают из группы, состоящей из водорода, алкила, ацила (предпочтительно низшего алкила или низшего ацила), -С(O)-арила, -С(О)-алкила и -SО2NН2(сульфамата). Предпочтительными R6-заместителями являются водород, сульфамат, -С(O)-С6Н5 и -С(О)-трет-бутил, причем особенно предпочтительны водород и сульфамат.
R7 выбирают из группы, состоящей из водорода, галогена, -NO2, -СНО, -СН2СН=СН2, -NR16R17 и -(СН2)NR16R17, где R16 и R17 могут быть одинаковыми или различными и обозначают водород, низший алкил или ацетил. Предпочтительно, R7 представляет собой водород.
R9 выбирают из группы, состоящей из водорода, гидроксила, -OR18 и -SR18, где R18 обозначает алкил, ацил (предпочтительно низший алкил или низший ацил), или арил. В предпочтительных соединениях R8 представляет собой водород.
R9 обозначает водород или низший алкил, при условии, что, когда R является N, R9 отсутствует. Когда R3 присутствует, он предпочтительно представляет собой водород или метил.
R10 обозначает метил или этил, обычно этил. Формула (II) представляет вторую группу соединений, являющихся примерами данного изобретения
в которой: r1, r2, R, R1, R3, R4, R5, R6, R7, R6, R9, R10, Х и X’ имеют указанные выше для формулы (I) значения; и
R19 и R20 независимо выбирают из группы, состоящей из водорода, гидроксила, алкила, алкенила, алкинила, алкокси (предпочтительно низшего алкила, низшего алкенила, низшего алкинила и низшего алкокси), и галогена, или R19 и R20 вместе образуют = O.
Предпочтительными соединениями структурных формул (I) и (II) являются соединения, в которых г1 отсутствует, R представляет собой С, R3 представляет собой водород или метил, Х представляет собой -O-Y или -S-Y, Y представляет собой -(CH2)m1-NR29R30 ИЛИ -(СН2)m2-O-(СН2)m3-[L-(СН2)m4]n7-[O-(CH2)m5]n9-NR29R30, где L обозначает фенилен, метоксизамещенный фенилен, йодзамещенный фенилен, -NH-, -N(СН3)- или -О-, m1-m5 равны 1, 2, 3 или 4, R29 и R30 обозначают водород, низший алкил, галогеналкил (предпочтительно низший галогеналкил) или связаны вместе с образованием гетероциклоалкильного кольца, такого как кольцо, определенное J’ ранее, обозначая вместе, например, -CH2CH2-NH-CH2CH2-, -CH2CH2-O-СН2СН2-, -(CH2)4-, -(CH2)5– или т.п., и R6 представляет собой водород или сульфамат. Предпочтительными соединениями структурной формулы (II), в частности, являются соединения, в которых один из R19 и R20 представляет собой водород, а другой представляет собой гидроксил, низший алкил или низший алкинил, или в которых R19 и R20 вместе образуют =O.
Формула (III) представляет третью группу соединений, являющихся примерами данного изобретения
в которой r2 и R1-R8 и R10 имеют определенные выше в отношении формулы (I) и (II) значения, а остальные заместители являются следующими:
R21 обозначает гидрокарбил, обычно и предпочтительно включающий в себя, по меньшей мере, один атом кислорода, атом серы и/или атом азота в форме -О-, -S-, -NH- или -N(алкил)- (предпочтительно -N(низший алкил)-) связи и, необязательно, включающий в себя дополнительные заместители и функциональные группы, такие как гидроксил, оксо, алкокси, амино, замещенный амино, галоген, арил, гетероарил, гетероциклоалкил или т.п. Типичные R21-заместители представлены -(R28)n3-JR29R30 и -(R31)n4-Z3-(R32)n5-[L-(R33)n6]n7– [Z4-(R34)n8]n9-JR29R30, где R28,R29, R30, R31, R32, R33, R34, Z3, Z4, L, J и n3-n9 имеют определенные выше значения. Примерами R21-заместителей в вышеупомянутой группе являются -(CH2)m1-NR29R30 и -(СН2)m2-O-(СН2)m3-[L-(СН2)m4]n7-[О-(CH2)m5]n9-NR29R30, где L обозначает фенилен, метоксизамещенный фенилен, йодзамещенный фенилен, -NH-, -N(СН3)- или -О-, m1-m5 равны 1, 2, 3 или 4, R29 и R30 обозначают водород, низший алкил, галогеналкил (обычно низший галогеналкил) или связаны вместе с образованием гетероциклоалкильного кольца, как объяснено выше, но предпочтительно R29 и R30 представляют собой низший алкил, наиболее предпочтительно метил или этил.
R22 обозначает водород или алкил или, когда m равно О, R21 и R22 могут быть связаны с образованием пяти- или шестичленной циклической структуры, которая может быть или не быть ароматической, содержит от 0 до 3 гетероатомов, выбранных из группы, состоящей из N, О и S, и замещена от 0 до 4 заместителями, выбранными из группы, состоящей из алкила, алкенила, алкинила, алкокси (предпочтительно низшего алкила, алкенила, алкинила и алкокси), -С(О)-алкила, -С(O)-O-алкила, -О-(СО)-алкила (предпочтительно -С(О)-низшего алкила, -С(О)-O-низшего алкила и О(СО)-низшего алкила), -С(O)-арила, гидроксила, карбоксила, галогена, нитрила, нитрата и фторированного алкила. Предпочтительно, R22 представляет собой водород или метил.
R23 обозначает водород или низший алкил, обычно водород или метил.
R24 и R25 обозначают оба водород или обозначают оба метилен и связаны друг с другом одной ковалентной связью.
Кроме того, m является целым числом в диапазоне от 0 до 6, включительно, предпочтительно 1, 2, 3 или 4, и n равно 0 или 1.
Предпочтительные соединения структурной формулы (I) имеют следующую формулу (Iа):
В структурной формуле (Ia) r2, R1-R8 и R10 имеют определенные в отношении структурной формулы (I) значения, подпись “m” является целым числом в диапазоне от 0 до 6 включительно, предпочтительно 1, 2, 3 или 4, подпись “р” является целым числом в диапазоне от 0 до 6 включительно, предпочтительно 1, 2, 3 или 4, R29 и R30 представляют собой низший алкил, предпочтительно метил или этил, или связаны вместе с образованием гетероциклоалкильного кольца, обозначая вместе, например, -СН2СH2-NН-СН2СH2-, -СH2СН2-О-СН2СН2-, (СН2)4-, -(СН2)5– или т.п., и L обозначает пяти- или шестичленную циклическую структуру, которая может быть или не быть ароматической, и необязательно содержит 1-4 гетероатома, выбранные из группы, состоящей из N, О и S и их комбинаций, и необязательно замещена одним или более заместителями, выбранными из группы, состоящей из алкила, алкенила, алкокси, галогенированного алкила, алкенила и алкокси (предпочтительно низшего алкила, низшего алкенила, низшего алкокси, галогенированного низшего алкила, галогенированного низшего алкенила и галогенированного низшего алкокси), карбоксила, гидрокси, амино, нитро, циано и галогена.
Особенно предпочтительными соединениями, охватываемыми структурной формулой (I), являются соединения, имеющие следующую формулу (Ib):
где m, р, R29 и R30 имеют определенные в отношении структуры (Iа) выше значения, и Q1, Q2, Q3 и Q4 независимо выбраны из группы, состоящей из водорода, гидроксила, карбоксила, алкокси (предпочтительно низшего алкокси), алкила (предпочтительно низшего алкила), галогена, амино и (низший алкил)-замещенного амино.
Подобным образом, предпочтительные соединения формулы (II) имеют следующую формулу (IIа):
В структуре (IIа) r2, R1, R3-R8, R10, R19 и R20 имеют определенные в отношении соединений структуры (II) значения, и т, р, L, R29 и R30 имеют определенные в отношении структуры (Iа) значения.
Особенно предпочтительные соединения структурной формулы (II) имеют структуру (IIb)
в которой m, р, R29 и R30 имеют определенные для структуры (Iа) значения и Q1, Q2, Q3, Q4 имеют определенные для соединений структурной формулы (Ib) значения.
Предпочтительные соединения формулы (III) имеют структуру (IIIa)
тогда как особенно предпочтительные соединения формулы (III) имеют структуру (IIIb), причем все заместители имеют определенные для соединений (Iа) и (Ib) значения соответственно.
Таким образом, специалистам в данной области будет понятно, что предпочтительные соединения данного изобретения являются 17-дезокси-1,3,5-эстратриенами, имеющими фрагмент молекулы
предпочтительно
и наиболее предпочтительно
при положении С-11 или положении С-17, а также 17-дезокси-1,3,5-эстратриенами, имеющими фрагмент молекулы
предпочтительно
и наиболее предпочтительно
присутствующий при С-17.
Важным является то, что новые соединения данного изобретения, в которых R6 представляет собой -SO2NH2, являются сильнодействующими антиэстрогенными агентами, а также пролекарствами для исходных антиэстрогенных соединений, которые образуются in vivo гидролизом группы – SО2NН2 при положении С-3.
Примеры характерных соединений данного изобретения включают в себя, но не ограничиваются ими, следующие соединения:
Эти соединения могут быть в форме фармацевтически приемлемых солей, сложных эфиров, амидов, пролекарств и других производных или аналогов, или они могут быть модифицированы присоединением одной или нескольких подходящих функциональных групп для усиления выбранных биологических свойств. Такие модификации известны в данной области и включают в себя те модификации, которые увеличивают биологическое проникновение в конкретную биологическую систему, увеличивают пероральную биодоступность, увеличивают растворимость, делая возможным введение при помощи инъекции, и т.п.
Соли этих соединений могут быть получены с использованием стандартных процедур, известных специалистам в области синтетической органической химии и описанных, например, J. March, Advanced Organic Chemistry: Reactions, Mechanisms and Structure, 4th Ed. (New York: Wiley-Interscience, 1992). Кислотно-аддитивные соли получают из свободного основания (например, соединений, имеющих нейтральную -NH2 или циклическую аминогруппу) с использованием общепринятых способов, включающих в себя реакцию с подходящей кислотой. Обычно, форму основания соединения растворяют в полярном органическом растворителе, таком как метанол или этанол, и добавляют кислоту при температуре от приблизительно 0°С до приблизительно 100°С, предпочтительно при температуре окружающей среды. Полученная соль либо осаждается, либо может быть выведена из раствора добавлением менее полярного растворителя. Подходящие кислоты для получения кислотно-аддитивных солей включают в себя как органические кислоты, например, уксусную кислоту, пропионовую кислоту, гликолевую кислоту, пировиноградную кислоту, щавелевую кислоту, яблочную кислоту, малоновую кислоту, янтарную кислоту, малеиновую кислоту, фумаровую кислоту, винную кислоту, лимонную кислоту, бензойную кислоту, коричную кислоту, миндальную кислоту, метансульфоновую кислоту, этансульфоновую кислоту, п-толуолсульфоновую кислоту, салициловую кислоту и т.п., так и неорганические кислоты, например хлористоводородную кислоту, бромистоводородную кислоту, серную кислоту, азотную кислоту, фосфорную кислоту и т.п. Кислотно-аддитивная соль может быть опять превращена в свободное основание обработкой подходящим основанием. Предпочтительными кислотно-аддитивными солями этих соединений являются цитратные, фумаратные, сукцинатные, бензоатные и малонатные соли.
Получение основных солей кислотных частей молекул, которые могут присутствовать (например, групп карбоновых кислот), выполняют подобным образом с использованием фармацевтически приемлемого основания, такого как гидроксид натрия, гидроксид калия, гидроксид аммония, гидроксид кальция, гидроксид магния, триметиламин или т.п.
Получение сложных эфиров включает в себя функционализацию гидроксильных и/или карбоксильных групп, которые могут присутствовать. Эти сложные эфиры являются обычно ацилзамещенными производными свободных спиртовых групп, т.е. частей молекул, которые произведены из карбоновых кислот формулы RCOOH, где R обозначает алкил и предпочтительно низший алкил. Фармацевтически приемлемые сложные эфиры могут быть получены способами, известными специалистам в данной области и/или описанными в соответствующей литературе. Сложные эфиры могут быть опять превращены в свободные кислоты, если желательно, с использованием общепринятых процедур гидрогенолиза или гидролиза. Способы получения амидов, пролекарств и других аналогов и производных данных соединений находятся также в пределах знаний специалистов в данной области и/или описаны в относящейся к этому вопросу литературе и руководствах.
Некоторые из новых соединений являются хиральными по природе и, следовательно, могут быть в энантиомерно чистой форме или в рацемической смеси. В некоторых случаях, т.е. в отношении некоторых характерных соединений, иллюстрированных здесь, хиральность указана. В других случаях она не указана, и подразумевается, что данное изобретение охватывает как изомерно чистые формы показанных соединений, так и их рацемические или диастереомерные смеси. Например, соединения структурной формулы (III) показаны как имеющие два заместителя при положении 17 стероидного ядра, без указания, какой заместитель является 17
Антиэстрогенные агенты данного изобретения могут быть легко приготовлены в виде фармацевтических композиций, состоящих из одного или нескольких этих соединений в соединении с фармацевтически приемлемым носителем. См. Remington: The Science and Practice of Pharmacy, 19th Ed. (Easton, PA: Mack Publishing Co., 1995), где описаны типичные носители и общепринятые способы приготовления фармацевтических композиций, которые могут быть использованы в том виде, в каком они описаны, или могут быть модифицированы для приготовления фармацевтических композиций, содержащих соединения данного изобретения. Эти соединения могут также вводиться в форме фармацевтически приемлемых солей или в виде фармацевтически приемлемых сложных эфиров, описанных в предыдущем разделе.
Соединения могут быть введены перорально, парентерально, трансдермально, ректально, назально, трансбуккально, вагинально или посредством имплантированного резервуара в дозированных композициях, содержащих общепринятые нетоксичные фармацевтически приемлемые носители, адъюванты и наполнители. Термин “парентеральный” в применении здесь подразумевает подкожную, внутривенную и внутримышечную инъекцию. Количество вводимого активного соединения будет, конечно, зависеть от субъекта, который проходит курс лечения, веса субъекта, способа введения и оценки лечащего врача. Однако обычно доза находится в диапазоне приблизительно 0,01 мг/кг/день-10,0 мг/кг/день, более предпочтительно в диапазоне приблизительно 1,0 мг/кг/день-5 мг/кг/день.
В зависимости от предполагаемого способа введения, фармацевтические композиции могут быть в виде твердой, полутвердой или жидкой дозированных форм, таких как, например, таблетки, суппозитории, пилюли, порошки, жидкости, суспензии или т.п., предпочтительно в унифицированной дозированной форме, пригодной для одного введения точной дозы. Композиция будет включать в себя, как отмечалось выше, эффективное количество выбранного лекарственного средства в комбинации с фармацевтически приемлемым носителем и, кроме того, может включать в себя другие фармацевтические агенты, адъюванты, разбавители, буферы и.т.д.
Для твердых композиций общепринятые нетоксичные твердые носители включают в себя, например, фармацевтически допустимые по степени очистки маннит, лактозу, крахмал, стеарат магния, натрий-сахарин, тальк, целлюлозу, глюкозу, сахарозу, карбонат магния и т.п. Жидкие фармацевтически вводимые композиции могут быть, например, приготовлены растворением, диспергированием и т.д. активного соединения, описанного здесь, и необязательных фармацевтических вспомогательных веществ в наполнителе, таком как, например, вода, солевой раствор, водная декстроза, глицерин, этанол и т.п., с образованием раствора или суспензии. Если желательно, фармацевтическая композиция, которая должна быть введена, может также содержать небольшие количества нетоксичных вспомогательных веществ, таких как увлажняющие или эмульгирующие агенты, забуферивающие рН агенты и т.п., например, ацетат натрия, монолаурат сорбитана, натрий-ацетат триэтаноламина, олеат триэтаноламина, и т.д. Фактические способы приготовления таких дозированных форм являются известными или будут очевидными для специалистов в данной области; см., например, ссылку Remington’s Pharmaceutical Sciences, на которую была дана ссылка выше.
Для перорального введения композиция будет обычно иметь форму таблетки или капсулы или она может быть водным или неводным раствором, суспензией или сиропом. Таблетки и капсулы для перорального применения, как правило, будут включать в себя один или более обычно используемых носителей, таких как лактоза и кукурузный крахмал. Смазывающие агенты, такие как стеарат магния, также обычно добавляются. При использовании жидких суспензий активный агент комбинируют с эмульгирующими и суспендирующими агентами. Если желательно, могут быть также добавлены улучшающие вкус и запах, красящие и/или подслащивающие агенты. Другие необязательные компоненты для включения в пероральную композицию включают в себя, но не ограничиваются ими, консерванты, суспендирующие агенты, загустители и т.п.
Парентеральное введение, если оно используется, обычно характеризуется инъекцией. Инъецируемые препараты могут быть приготовлены в общепринятых формах, либо в виде жидких растворов или суспензий, твердых форм, пригодных для растворения или суспендирования в жидкости перед инъекцией, или в виде эмульсий. Предпочтительно, стерильные инъецируемые суспензии готовят в соответствии со способами, известными в данной области, с использованием подходящих диспергирующих или увлажняющих агентов и суспендирующих агентов. Стерильная инъецируемая композиция может также быть стерильным инъецируемым раствором или суспензией в нетоксичном парентерально приемлемом разбавителе или растворителе. Среди приемлемых носителей и растворителей, которые могут быть использованы, находятся вода, раствор Рингера и изотонический раствор хлорида натрия. Кроме того, в качестве растворителя или суспендирующей среды обычно применяют нелетучие масла. Более недавно пересмотренный подход для парентерального введения включает в себя использование системы медленного высвобождения или системы с пролонгированным действием, так что поддерживается постоянный уровень дозы. См., например, патент США №3710795.
Соединения данного изобретения могут быть также введены через кожу или ткань слизистой оболочки с использованием общепринятых систем чрескожной доставки лекарственных средств, в которых агент содержится в пластинчатой конструкции, которая служит в качестве приспособления для доставки лекарственного средства, прикрепляемых к коже. В такой структуре лекарственная композиция содержится в слое, или “резервуаре”, подстилающем верхний подкладочный слой. Эта пластинчатая конструкция может содержать один резервуар или она может содержать множественные резервуары. В одном варианте этот резервуар содержит полимерный матрикс фармацевтически приемлемого контактного адгезивного материала, который служит для прикрепления этой системы к коже во время доставки лекарственного средства. Примеры подходящих адгезивных материалов для контактирования с кожей включают в себя, но не ограничиваются ими, полиэтилены, полисилоксаны, полиизобутилены, полиакрилаты, полиуретаны и т.п. Альтернативно, содержащий лекарственное средство резервуар и кожный контактный адгезив присутствуют в виде разделенных и отдельных слоев, с адгезивом, подстилающим резервуар, который, в каждом случае, может быть либо полимерным матриксом, описанным выше, либо он может быть резервуаром жидкости или гидрогеля или может иметь некую другую форму.
Подкладочный слой в этих пластинчатых (слоистых) материалах, который служит в качестве верхней поверхности этого приспособления, служит в качестве первого структурного элемента этой пластинчатой конструкции и обеспечивает приспособление большей частью его гибкости. Материал, выбранный для подкладочного материала, должен быть выбран таким образом, что он является по существу непроницаемым для активного агента и любых других веществ, которые присутствуют; подкладка предпочтительно изготовлена из слоя или пленки гибкого эластомерного материала. Примеры полимеров, которые являются пригодными для подкладочного слоя, включают в себя полиэтилен, полипропилен, сложные полиэфиры и т.п.
Во время хранения и перед использованием эта пластинчатая конструкция включает в себя обертку, предохраняющую от высвобождения. Непосредственно перед применением этот слой удаляют из приспособления для открывания его базальной поверхности, либо резервуара с лекарственным средством, либо отдельного контактного адгезивного слоя, так что эта система может быть прикреплена к коже. Обертка, предохраняющая от высвобождения, должна быть изготовлена из материала, непроницаемого для лекарственного средства/носителя.
Приспособления для чрескожной доставки лекарственного средства могут быть изготовлены при помощи общепринятых способов, известных в данной области, например, заливкой жидкой смеси адгезива, лекарственного средства и носителя на подкладочный слой с последующим наслаиванием обертки, предохраняющей от высвобождения. Подобным образом, адгезивная смесь может быть залита на обертку, предохраняющую от высвобождения, с последующим наслаиванием подкладочного слоя. Альтернативно, резервуар (слой) для лекарственного средства может быть приготовлен в отсутствие лекарственного средства или наполнителя и затем нагружен путем замачивания в смеси лекарственного средства/носителя.
Пластинчатые системы чрескожной доставки лекарственного средства могут, кроме того, содержать усилитель проникновения через кожу. То есть, поскольку свойственная коже проницаемость для некоторых лекарственных средств может быть слишком низкой для того, чтобы позволить терапевтическим уровням лекарственного средства проходить через площадь неповрежденной кожи разумного размера, с такими лекарственными средствами необходимо вводить совместно усилитель проникновения через кожу. Пригодные усилители хорошо известны в данной области и включают в себя, например, диме-тилсульфоксид (ДМСО), диметилформамид (ДМФ), N,N-диметил-ацетамид (ДМА), децилметилсульфоксид (С10МСО), С2-С6-алкан-диолы и 1-замещенные азациклогептан-2-оны, в частности, 1-н-додецилциклазациклогептан-2-он (доступный под товарным названием Azone® из Whitby Research Incorporated, Richmond, VA), спирты и т.п. Однако следует обратить внимание на то, что преимуществом данного изобретения является потенциал для чрескожной доставки активного агента, обеспеченного здесь, без необходимости применения усилителя проникновения через кожу; это, в частности, является верным, например, с соединениями структурной формулы (I) и (III), где нитрато-(-ONO2)-группа присутствует при положении 11.
Альтернативно, фармацевтические композиции данного изобретения могут вводиться в форме суппозиториев для ректального введения. Они могут быть изготовлены смешиванием агента с подходящим нераздражающим наполнителем, который является твердым при комнатной температуре, но жидким при ректальной температуре и, следовательно, будет плавиться в прямой кишке с высвобождением лекарственного средства. Такие материалы включают в себя какао-масло, пчелиный воск и полиэтиленгликоли.
Фармацевтические композиции данного изобретения могут также вводиться при помощи назального аэрозоля или ингаляции. Такие композиции готовят в соответствии со способами, хорошо известными в области приготовления фармацевтических препаратов и могут готовиться в виде растворов в солевом растворе, с использованием бензилового спирта или других пригодных консервантов, ускорителей абсорбции для увеличения биодоступности, фторуглеродов и/или других общепринятых солюбилизирующих или диспергирующих агентов.
Предпочтительными композициями для вагинальной доставки лекарственных средств являются мази и кремы. Мази являются полутвердыми препаратами, которые обычно готовят на основе вазелина или других производных нефти. Кремы, содержащие выбранный активный агент, являются, как известно в данной области, вязкими жидкими или полутвердыми эмульсиями, либо типа масла-в-воде, либо типа вода-в-масле. Основы кремов являются смываемыми водой и содержат масляную фазу, эмульгатор и водную фазу. Масляная фаза, иногда также называемая “внутренней” фазой, обычно состоит из вазелина и жирного спирта, такого как цетиловый или стеариловый спирт; водная фаза обычно, хотя и необязательно, превышает по объему масляную фазу и обычно содержит увлажнитель. Эмульгатором в композиции крема обычно является неионогенное, анионогенное, катионогенное или амфотерное поверхностно-активное вещество.
Характерная основа для мази или крема, которая должна быть использована, как будет понятно специалистам в данной области, является основой, которая будет обеспечивать оптимальную доставку лекарственного средства. Как и в случае других носителей или наполнителей, основа для крема должна быть инертной, стабильной, нераздражающей и несенсибилизирующей. Предпочтительными являются также вагинальные суппозитории. Суппозитории могут быть изготовлены при помощи общепринятых способов, например, уплотнением, прямым прессованием или т.п. и будут содержать носители, пригодные для вагинальной доставки лекарственных средств, обычно биораз-рушаемого материала, который обеспечивает желательный профиль высвобождения лекарственных средств.
Композиции для трансбуккального введения включают в себя таблетки, лепешки, гели и т.п. Альтернативно, трансбуккальное введение может выполняться при помощи системы доставки через слизистую оболочку.
Способ получения
Соединения данного изобретения могут быть получены с высоким выходом при помощи относительно простых, надежных способов, приведенных в качестве примеров в нижеследующем экспериментальном разделе. Синтезы характерных соединений подробно описаны в примерах 1-39. Для дополнительной информации, касающейся синтеза соединений, имеющих сульфаматную группу при положении 3, можно сослаться на ожидающую одновременного рассмотрения заявку патента США с регистрационным номером 08/997 416, озаглавленную “Estrone Sulfamate Inhibitors of Estrone Sulfatase, and Associated Pharmaceutical Compositions and Methods of Use”, авторов изобретения Tanabe et al., поданную 24 декабря 1997 года.
Экспериментальная часть
Практика данного изобретения будет использовать, если нет других указаний, общепринятые способы синтетической органической химии, биологического тестирования и т.п., которые находятся в пределах квалификации данной области. Такие способы объясняются исчерпывающе в литературе. См., например, Fieser et al., Steroids (New York: Reinhold, 1959), Djerassi, Steroid Reactions: An Outline for Organic Chemists (San Francisco: Holden-Day, 1963) и Fried et al., Organic Reactions in Steroid Chemistry, vols. 1 and 2 (New York: Reinhold, 1972) в отношении подробной информации, касающейся связанных со стероидами синтетических процедур. Ссылка может быть сделана на Littlefield et al., Endocrinology 127:2757-2762 (1990) и Wakeling et al.,
Endocrinology 99:447-453 (1983) в отношении процедур биологического тестирования, применимых для оценки соединений, таких как соединения, описанные и заявленные здесь.
Должно быть понятно, что, хотя данное изобретение было описано в связи с его предпочтительными характерными вариантами, приведенное выше описание, а также примеры, которые следуют ниже, предназначены для иллюстрации, а не для ограничения объема изобретения. Другие аспекты, преимущества и модификации в пределах объема данного изобретения будут очевидными для специалистов в данной области, к которым оно обращено.
В нижеследующих примерах были сделаны попытки обеспечения точности в отношении используемых цифровых данных (например, количеств, температуры и т.д.), но некоторые экспериментальные ошибка и отклонение должны приниматься во внимание. Если нет других указаний, температура дается в °С и давление атмосферное или вблизи атмосферного. Все растворители куплены как имеющие ВЖХ-чистоту и все реакции проводили рутинным образом в инертной атмосфере аргона, если нет иных указаний. Все реагенты получали коммерческим путем, если нет других указаний. Эстрон и эстрадиол покупали из Berlichem U.S.; этинилэстрадиол покупали из Akzo Nobel. Анализы ЯМР проводили на Varian Gemini 300 и стандартом был хлороформ при
7,27. Спектры FTIR регистрировали на Perkin-Elmer 1610.
Пример 1
Получение (Е)-3-трет-бутилдиметилсилилокси-21-бром-19-норпрегна-1,3,5(10),17(20)-тетраена (4)
(а) Синтез 3-трет-бутилдиметилсилилоксиэстра-1, 3,5(10)-триен-17-она (2):
К смеси эстрона (1,29 г, 107,3 ммоль) и трет-бутилдиметилсилилхлорида (18 г, 118 ммоль) в ТГФ (350 мл) при комнатной температуре в атмосфере аргона добавляли имидазол (18 г, 264 ммоль) в ДМФ (350 мл). После перемешивания реакционной смеси в течение ночи ТГФ выпаривали и реакционную смесь выливали на смесь воды со льдом. Полученный белый осадок собирали фильтрованием, растворяли в СН2Сl2 и раствор сушили (MgSO4). Осушитель отфильтровывали и растворитель выпаривали при пониженном давлении с получением 38,8 г 2 в виде белого кристаллического твердого вещества (выход 94%), т.пл. 171-172°С.
1Н-ЯМР (300 МГц, CDCl3):
Пример 2
Получение (Е)-3-гидрокси-21-(2′-гидроксиэтиламино)-19-норпрегна-1,3,5(10),17(20)-тетраена (5)
К раствору этаноламина (0,5 мл, 8,3 ммоль) в ТГФ (0,5 мл) при комнатной температуре в атмосфере аргона добавляли аллилбромид 4 (0,1 г, 0,21 ммоль) в ТГФ (1 мл). Реакционную смесь перемешивали в течение 20 минут, затем выливали в насыщенный водный NаНСО3 и экстрагировали 80% этилацетат/гексан. Объединенные органические слои сушили (MgSO4). Осушитель отфильтровывали и растворитель концентрировали с получением масла. Неочищенный продукт растворяли в ТГФ (3 мл) и добавляли раствор тетрабутиламмонийфторида в ТГФ (0,5 мл, 0,5 ммоль) при 0°С и перемешивали в течение 30 минут. Реакционную смесь выливали в насыщенный водный NаНСО3 и экстрагировали смесью 80% этилацетат/гексан. Объединенные органические слои сушили (MgSO4), осушитель отфильтровывали и растворитель концентрировали с получением смолы. Флэш-хроматография (5% метанол/хлороформ) давала 0,044 г 5 в виде белого твердого вещества (выход 61%), т.пл. 203-205
C.
1Н-ЯМР (300 МГц, CD3OD):
Пример 6
Получение (Е)-3-гидрокси-21-[2′-(N,N-диметиламино)-этантио]-19-норпрегна-1,3,5(10),17(20)-тетраена (9)
К суспензии 2-диметиламиноэтантиола-НСl (86 мг, 0,6 ммоль) в ТГФ (3 мл) при -78°С в атмосфере аргона добавляли раствор н-бутиллития в гексане (0,7 мл, 1/1 ммоль). Полученную смесь нагревали до комнатной температуры, пока белое твердое вещество не растворялось с образованием светло-желтого раствора, и затем этот раствор охлаждали до -78°С. К охлажденному раствору добавляли аллилбромид 4 (0,1 г, 0,21 ммоль) в ТГФ (1,5 мл). После нагревания реакционной смеси до комнатной температуры и перемешивания в течение 10 минут эту смесь выливали в насыщенный водный NаНСО3 и экстрагировали смесью 80% этилацетат/гексан. Объединенные органические слои сушили (MgSO4, осушитель отфильтровывали и растворитель концентрировали с получением масла. Масло растворяли в СН3СN (2 мл) и пиридине (1 мл). HF-пиридин (1 мл) добавляли при 0°С, раствор перемешивали в течение 2 ч и затем экстрагировали смесью 80% этилацетат/гексан. Объединенные органические слои сушили (MgSO4), осушитель отфильтровывали и растворитель концентрировали с получением смолы. Флэш-хроматография (этилацетат; 5% метанол/хлороформ) давала 0,065 г 9 в виде белого твердого вещества (выход 80%), т.пл. 138-140°С.
1Н-ЯМР (300 МГц, CDCl3):
Пример 10
Получение (Е)-3-гидрокси-21-[2′-(N,N-диметиламино)-этокси]-19-норпрегна-1,3,5(10),17(20)-тетраена (21)
(а) Синтез 3-ацетокси-19-нор-17
(а) Получение этил(Е)- и (Z)-3-трет-бутилдиметил-силилокси-19-норпрегна-1,3,5(10),17(20)-тетраен-21-оата (28) и (29):
К раствору триэтилфосфоноацетата (2,24 г, 10,1 ммоль) в ТГФ (30 мл) в атмосфере аргона при комнатной температуре добавляли трет-бутоксид калия в ТГФ (9,1 мл, 9,1 ммоль). После перемешивания в течение 1,0 ч, добавляли 3-трет-бутилдиметилсилилоксиэстрон (2, 1,75 г, 4,55 ммоль) в ТГФ (10 мл) и раствор нагревали при температуре дефлегмации в течение ночи. Реакционную смесь выливали в насыщенный водный NаНСО3 и экстрагировали смесью 40% этилацетат/гексан. Объединенные органические слои сушили (МgSO4), осушитель отфильтровывали и растворитель концентрировали с получением смеси Е- и Z-изомеров, 28 и 29, в виде желтого твердого вещества. Хроматография (гексан; 2,5% EtOAc) давала 1,4 г Е-изомера 28 (выход 68%) и 0,2 г Z-изомера 29 (выход 10%).
(28): т.пл. 109-110°С; Rf 0,56 (10% EtOAc/гексан):1H-ЯМР (300 МГц, СDСl3):
Пример 16
Получение (Е)-3-гидрокси-21-(N-метил-3-(R,S)-пирролидин-окси)-19-норпрегна-1,3,5(10),17(20)-тетраена (33)
К раствору 1-метил-3-пирролидинола (500 мкл, 4,55 ммоль) в сухом ТГФ (6 мл) при 0°С в атмосфере аргона добавляли 0,5 М раствор бис(триметилсилил)амида калия в толуоле (8,3 мл, 4,15 ммоль) и перемешивали в течение 5 минут. Раствор охлаждали до -78°С и добавляли раствор аллил-бромида, (Е)-3-ацетокси-21-бром-19-норпрегна-1,3,5(10)-17 (20)-тетраена (18, 333 г, 823 мкмоль) в сухом ТГФ (5 мл) и реакционную смесь нагревали до 0°С в течение 30 минут. Мутный желтый раствор выливали в насыщенный водный NаНСО3 и экстрагировали этилацетатом. Органический слой сушили (Na2SO4) и упаривали до масла. Флэш-хроматография (5-10% метанол/дихлорметан) давала желаемый амин 33 в виде пенооб-разного вещества нестандартного белого цвета (0,025 7,9%).
1H-ЯМР (300 МГц, СDСl3):
Пример 18
Получение (Е)-3-гидрокси-2-N,N-диметиламинометил-21-[2′-(N’,N’ -диметиламино)этокси]-19-норпрегна-1,3,5(10),17(20)-тетраена (35)
К перемешиваемому раствору 100 мг (0,271 ммоль) (Е)-3-гидрокси-21-[2′-(диметиламино)этокси]-19-норпрегна-1,3,5(10),17(20)-тетраена 21 в 3 мл бензола и 5 мл этанола добавляли 10 мг параформальдегида и 0,054 г (0,528 ммоль) N,N,N’,N”-тетраметилдиаминоэтана и смесь нагревали при 85°С в течение 15 ч в атмосфере аргона. Затем реакционную смесь охлаждали, летучие компоненты удаляли под высоким вакуумом и остаток подвергали хроматографии (силикагель, 5-10% Ме-ОН/СНСl3) с получением 0,077 г (67%) продукта 35.
1H-ЯМР (300 МГц, СDСl3):
Пример 20
Получение 3-гидрокси-11E-[2′-(2″-N,N-диметиламино-этоксиэтилиден)-1,3,5(10)-17-эстрона (45)
(а) Получение 3-трет-бутилдифенилсилилокси-17-этилен-диоксиэстра-1,3,5 (10)-триен-11-ола (38):
К перемешиваемому раствору 6,3 г (0,019 моль) 3-гидрокси-17-этилендиоксиэстра-1,3,5(10)-11-ола (37) в 20 мл безводного ДМФ добавляли 2,86 г (0,042 моль) имидазола и 5,46 г (0,021 моль) трет-бутилдифенилсилилхлорида последовательно при комнатной температуре в атмосфере аргона и смесь перемешивали при 60°С в течение 24 ч, охлаждали до комнатной температуры, разбавляли водой и экстрагировали эфиром. Объединенный органический экстракт промывали водой, солевым раствором и сушили (Na2SO4). Выпаривание растворителя давало пену, которую хроматографировали (30% этилацетат/гексаны) с получением 6,5 г (60%) промежуточного продукта 38 в виде белого твердого вещества.
1H-ЯМР (300 МГц, СDСl3):
Пример 21
Получение (Е)-3-тетрагидропиранилокси-7
Пример 22
Получение цитрата (Е)-3-гидрокси-7
Пример 25
Получение (Е)-3-гидрокси-7
Пример 26
Получение (R)- и (S)-3-гидрокси-20-метил-21-[2′-(N,N-диэтиламино)этокси]-19-норпрегна-1,3,5(10),17 (20)-триена (68)
(a) Получение 3-тетрагидропиранилоксиэстра-1,3,5(10)-триен-17-она (60):
ТНР-эфир 60, который получали из эстрона 1 (6,3 г, 23,3 ммоль) и DHP (3,0 г, 33 ммоль) с использованием той же самой процедуры, которая описана для соединения 35, получали в виде белого твердого вещества (7,5 г, 91%): 1H-ЯМР (300 МГц, СDСl3):
Пример 27
Получение 3-гидрокси-7
К раствору хлорсульфонилизоцианата (0,14 мл, 1,5 ммоль) в СН2Сl2(0,6 мл) добавляли муравьиную кислоту (0,3 мл СН2Сl2-раствора, 5,0 М, 1,5 ммоль) при 0°С. Реакционную смесь нагревали до комнатной температуры и перемешивали в течение 1 ч. К раствору 21-(2′-N,N-диметиламиноэтокси) -[17(20)Е]-19-норпрегна-1,3,5(10),17(20)-тетраен-3-ола (21, 0,111 г, 0,3 ммоль) в ДМФ (2,0 мл) добавляли гидрид натрия (0,060 г дисперсии в минеральном масле, 60%, 1,5 ммоль) при 0°С. Реакционную смесь перемешивали в течение 1 ч, добавляли хлорсульфонилизоцианат в муравьиной кислоте и перемешивание продолжали в течение 2 ч. Реакционную смесь гасили насыщенным водным NaHCO3 при 0°С и экстрагировали EtOAc. Объединенные органические слои промывали Н2О, насыщенным водным NaCl и затем сушили (Na2SO4). Осушитель отфильтровывали и растворитель выпаривали при пониженном давлении.
Остаток очищали колоночной хроматографией на силикагеле с использованием смеси СНСl3:МеОН (10:1-5:1, об/об) с получением 0,121 г 72 (выход 90%), т.пл. 147-148°С.
1H-ЯМР:
Пример 32
Этот пример описывает синтез соединения 80, соли лимонной кислоты 79, как показано в схеме 16:
(а) Синтез 2-гидрокси-4-[3′-тетрагидропиранилокси-7′
Соединения 81, 82, 83 и 84 получали аналогично способу, описанному в отношении получения соединения 79 из соединения 78 в предыдущем примере. Вкратце, эти соединения синтезировали и характеризовали следующим образом:
4-[3′-гидрокси-7′
Цитратная соль 3-гидрокси-7
Получение (Е)-3-тетрагидропиранилокси-7
300 мл). Объединенные органические слои промывали насыщенным NaCl, сушили над MgSO4, фильтровали и упаривали досуха с получением 29,31 г (97%) 86 в виде белого твердого вещества. Остальные стадии реакций, реагенты и условия реакций аналогичны используемым в предыдущих примерах, примерах 31-37.
Пример 39
Этот пример описывает синтез соединения 92, как показано в схеме 20:
(a) Синтез 3-гидрокси-7
Пример 41
Утеротрофический и антиутеротрофический тест
Процедура теста: Для этого эксперимента использовали самок крыс Sprague-Dawley (полученных из Simmonsen Laboratories (Gilroy, CA) весом 40-50 г. Для начала эксперимента крыс взвешивали и делили на группы по 5 животных случайным образом. Для утеротрофического теста различные дозы тест-соединений в стерильном солевом растворе (0,1 мл для подкожной инъекции, 1,0 мл для перорального чреззондо-вого питания) вводили животным один раз в день. Ту же самую процедуру использовали для антиутеротрофического теста, но суспензию 0,5 мкг бензоата эстрадиола (полученного из Sigma Chemical Co., St. Louis, МО) в носителе также вводили перорально каждому из исследуемых животных. Каждый эксперимент включал в себя две контрольные группы, одна из которых получала только носитель, а другая только бензоат эстрадиола.
Введения проводили в течение 3 дней. В день 4 животных взвешивали и затем умерщвляли. Матки немедленно извлекали из животных, освобождали от жира и затем взвешивали.
Эстрогенную активность определяли из веса матки в группах, получающих только тест-соединение, в сравнении с весом матки в группах контроля с носителем. Антиэстрогенную активность определяли из веса маток в группах, получающих тест-соединение плюс эстрадиол, в сравнении с весом матки в группах контроля с эстрадиолом (см. табл. 2).
Пример 42
Оценка тканеселективности
Тканеспецифическую эстрогенность соединений 85 и 92 оценивали в сравнении с тамоксифеном и ралоксифеном. Для этого эксперимента использовали крыс Sprague-Dawley (в возрасте семи недель), купленных из SLC Inc. (Shizuoka), и кормили их TD89222. Спустя две недели после покупки крыс подвергали овариэктомии или ложно оперировали под легкой анестезией эфиром. Спустя неделю после овариэктомии крыс произвольно делили на 21 группу из 9 животных (день 0) и вводили им перорально выбранное лекарственное средство со дня 0 до дня 28. В день после конечной дозы крыс умерщвляли и их бедренные кости, матки, кровь и мочу собирали.
Иссеченные правые бедренные кости взвешивали и их объемы определяли по принципу Архимеда. Сухие веса определяли после обработки бедренных костей при 110°С в течение 5 дней и золу взвешивали после обработки при 900°С в течение 5 часов. Плотность массы рассчитывали делением веса бедренной кости на объем и содержание минеральных соединений оценивали делением веса золы на сухой вес.
Левые бедренные кости подвергали определению трабекулярной плотности и полярной прочности с использованием периферической количественной компьютерной томографии (ХСТ-90 6А, Norland, NY). Анализировали срезы, дистальные (3-5,5 мм) относительно пластинки роста бедренной кости.
Уровни пиридиниевых сшивок в пробах мочи определяли при помощи Pyrilincs (Metra Bosystems Inc., CA) и корректировали с использованием уровней креатинина.
Уровни щелочной фосфатазы анализировали при помощи ALP-HA (Wako, Osaka). Уровни холестерина в сыворотке определяли при помощи HDL-CIL/PM (Wako pure chemicals, Osaka) и LDL-теста на холестерин (Daiichi pure chemicals, Tokyo).
Результаты:
Все соединения предотвращали потерю трабекулярной плотности костной ткани подвергнутых овариэктомии крыс (фиг.1). После 4 недель обработки трабекулярная плотность костной ткани подвергнутых овариэктомии крыс значимо уменьшалась в сравнении с ложнооперированной крысой (р<0,01) и трабекулярная плотность костной ткани крыс, обработанных соединением 92, тамоксифеном или ралоксифеном, была значимо более высокой, чем плотность подвергнутых овариэктомии крыс (р<0,05). Уровни пиридиниевых сшивок в моче, как марекр рассасывания костной ткани, в крысах, обработанных антиэстрогенами, были значимо более низкими, чем эти уровни в подвергнутых овариэктомии крысах, после 4 недель обработки, что предполагает подавление остеолиза эстрогенной активностью соединений (фиг.2). Сывороточные уровни как общей, так и полученной их костной ткани щелочной фосфатазы крыс, обработанных соединением 92, были значимо более высокими, чем эти уровни контрольных крыс (фиг.3).
Подобные результаты ожидаются со структурными аналогами, описанными и заявленными здесь.
Пример 43
Противоопухолевое тестирование in vivo против ксенотрансплантата опухоли молочной железы человека MCF-7 и ее тамоксифен-резистентной клеточной линии
Противоопухолевую активность соединений 85 и 92 против тамоксифен-резистентной карциномы молочной железы человека оценивали следующим образом.
Соединения 85, 92, тамоксифен и ралоксифен суспендировали в 0,5% растворе гидроксипропилметилцеллюлозы; faslodex растворяли в арахисовом масле. Использовали клетки карциномы молочной железы человека MCF-7 и их тамоксифен-резистентную сублинию, FST-1-клетки. Восемь мм3-фрагментов опухоли инокулировали подкожно в правый бок самок мышей BALB/c (nu/nu, “голых” мышей, т.е. бестимусных мышей с мутацией “nude”) (Japan Clea Inc.). Гранулу, содержащую 500 мкг/гранула эстрадиола, использовали для добавления эстрагена. Когда опухоли достигали диаметра 6-7 мм (через две-три недели после инокуляции), мышам давали соединения 85 (некоторым 10 мг/кг/день, некоторым 30 мг/кг/день), 92 (дозы 1 мг/кг/день, 5 мг/кг/день, 25 мг/кг/день, 1 мг/кг/день), тамоксифен (10 мг/кг/день) или ралоксифен (50 мг/кг/день) ежедневно в течение 3-4 недель, вводимые перорально, или мышам давали faslodex подкожно (5 мг/мышь/неделя) один раз в неделю, в течение 3 недель. Размер опухолей регистрировали после пальпации с использованием двух перпендикулярных диаметров.
Результаты:
В отношении опухоли MCF-7 все соединения обнаружили значимую подавляющую рост активность. Десять мг/кг/день соединения 85 и 25 мг/кг/день соединения 92 обнаружили самую сильную ингибирующую рост активность, затем 5 мг/тело faslodex, 10 мг/кг/день тамоксифена и 50 мг/кг/день ралоксифена.
В случае опухоли FST-1 не наблюдали подавления роста с тамоксифеном, что указывает на то, что FST-1 сохраняла ее резистентность в отношении тамоксифена. Десять мг/кг/день соединения 85 и 25 мг/кг/день соединения 92 обнаружили значимую подавляющую рост активность против опухоли EST. Полное подавление опухолевого роста достигалось фактически с соединением 92. В этой системе 50 мг/кг/день ралоксифена не обнаружили подавляющей рост активности, и было обнаружено, что faslodex был менее эффективным, чем соединение 85.
Пример 44
Оценка соединений изобретения на лечение женщин, страдающих от дисфункционального маточного кровотечения.
По меньшей мере отбирают пять женщин для этого клинического исследования. Эти женщины страдают от дисфункционального маточного кровотечения. Вследствие идиосинкратической и субъективной природы этих симптомов данное исследование имеет контрольную плацебо-группу, т.е. этих женщин делят на две группы, одна из которых получает соединение данного изобретения, такое как соединение 85 или 92, а другая группа женщин получает плацебо. Этих пациентов оценивают в отношении характера их дисфункционального маточного кровотечения (потери крови, тайминга и т.д.) перед началом исследования. Оценки могут также включать в себя “баллы эстрогенности” биопсии матки, определяемые гистологической оценкой, и оценки сканов с использованием изображений ультразвукового, радиоизотопного исследований, ядерно-магнитной диагностики или компьютерной аксиальной томографии (CAT) толщины эндометрия. Женщины в тест-группе получают между 30 и 600 мг лекарственного средства в день пероральным путем. Они продолжают это лечение в течение 3-12 месяцев. Точные записи хранятся в отношении состояния их дисфункционального маточного кровотечения в обеих группах и в конце этого исследования эти результаты сравнивают. Результаты сравнивают между членами каждой группы, а также сравнивают результаты для каждого пациента с симптомами, сообщенными каждым пациентом перед началом этого исследования. Применимость соединений данного изобретения иллюстрируется терапевтическим действием, которое они оказывают на дисфункциональное маточное кровотечение пациента.
Пример 45
Оценка соединений данного изобретения на ингибирование эстроген-зависимых нарушений ЦНС у женщин в постклимактерический период
Отбирают пять-пятьдесят женщин для этого клинического исследования. Эти женщины находятся в постклимактерическом периоде, т.е. у них прекратились менструации за 6 и 12 месяцев перед началом этого исследования, они имеют хорошее общее здоровье и страдают от нарушения ЦНС, т.е. тревожности, депрессии, колебаний настроения, напряженности, раздражительности, мотивационных нарушений, потери памяти или расстройства познавательной способности. Вследствие идиосинкратической и субъективной природы этих симптомов данное исследование имеет контрольную плацебо-группу, т.е. этих женщин делят на две группы, одна из которых получает соединение данного изобретения, такое как соединение 85 или 92, а другая группа женщин получает плацебо. Женщины в тест-группе получают между 30 и 600 мг лекарственного средства в день пероральным путем. Они продолжают это лечение в течение 3-12 месяцев. Точные записи хранятся в отношении числа и тяжести нарушений ЦНС в обеих группах и в конце этого исследования эти результаты сравнивают. Применимость соединений данного изобретения демонстрируется терапевтическим действием, которое они оказывают на пациентов, страдающих от нарушений ЦНС, которые могут оцениваться с использованием этой процедуры.
Пример 46
Оценка соединений изобретения на ингибирование эстрогензависимой кожной и вагинальной атрофии у женщин в постклимактерический период
Ингибирование кожной атрофии: Выбирают от трех до двадцати женщин, которые являются постклимактерическими и имеют хорошее здоровье. Этих женщин выбирают также на основе наличия у них нескольких признаков быстрой дермальной атрофии, таких как быстрое увеличение числа лицевых морщинок или “вороньих лапок”, быстрое изменение пигментации кожи, т.е. “возрастные пятна”, или другие жалобы на быстрое дермальное старение. Поскольку дермальная атрофия может быть результатом других факторов, таких как повреждение ультрафиолетовым светом от солнца или другие резкие воздействия окружающей среды, такие пациенты, которые страдают от этих воздействий, должны быть исключены из исследования.
Первый компонент этого исследования является количественым и субъективным компонентом, т.е. оценкой улучшения вида пациента. Такая оценка требует первоначального эталонного теста для последующего сравнения. Некоторые первоначальные эталонные тесты могут быть в форме стандартизованного набора вопросов относительно того, как пациент оценивает свой вид, фотографий пациента или психологического профиля образа “я” пациента. Второй компонент является количественным; подобные компоненты включают в себя измерение экскреции гидроксипролина с мочой, содержание влаги кожи, количество гликозаминогликанов в коже и изменения в упругости и мягкости кожи. Способы определения этих факторов можно найти в “The Menopause”, Ed. R.J. Beard, University Press, Chapter 7 (1977) и “Methods in Skin Research”, Ed. Skerrow, D. and Skerrow, C.J. John Wiley & Sons Ltd., Chp., 22, “Analysis of Sebaceous Lipids”, p. 587-608 (1985) и дополнительных цитируемых здесь ссылках. Также получают первоначальный эталонный тест (точку отсчета) этих количественных факторов.
Женщин, отобранных таким образом и исходно оцененных, помещают в клинический протокол получения 40-400 мг активного соединения данного изобретения путем перорального введения единственной дозы или разделенной дозы. Альтернативно, этих пациентов помещают в протокол для местного нанесения на участки кожи, наиболее пораженные атрофией. Этот протокол местного введения включает в себя использование подходящей композиции, содержащей 5-50% (по весу) активного соединения данного изобретения, наносимой на пораженный участок один раз или два раза в день. Любой из этих протоколов продолжается два-двенадцать месяцев. Последующие оценки, как количественные, так и качественные, выполняют при подходящих интервалах.
Положительный результат состоит в улучшении общего количественного индекса вида пациента и/или улучшении количественных параметров, например увеличении экскреции гидроксипролина с мочой, свидетельствующем об увеличении оборота и синтеза коллагена, увеличении содержания гликозамингликанов в жидкости, мягкости или упругости кожи.
Ингибирование вагинальной атрофии: Выбирают от трех до двадцати женщин, страдающих от вагинальной атрофии, связанной с менопаузой. Эти женщины имеют общее хорошее здоровье. Поскольку природа этого нарушения является высокоидиосинкратической и субъективной, оценка эффективности лечения должна быть обязательно субъективной по характеру. Этих пациентов просят вести ежедневный журнал, отмечая такие детали, как вагинальный зуд и шелушение и степень удовлетворения в половом акте. Этих женщин помещают в клинический протокол, подобный протоколу, описанному выше для атрофии кожи. Особое внимание уделяют использованию вагинальных суппозиториев, содержащих 5-25% активного соединения данного изобретения.
Положительным результатом является улучшение в комфорте полового акта и/или уменьшение зуда или шелушения.
Пример 47
Оценка соединений изобретения в ингибировании эстроген-зависимого легочного гипертензивного заболевания
Отбирают от пяти до пятидесяти женщин для этого клинического исследования. Эти женщины страдают от легочного гипертензивного заболевания. Вследствие идиосинкратической и субъективной природы этих симптомов данное исследование имеет контрольную плацебо-группу, т.е. этих женщин делят на две группы, одна из которых получает соединение данного изобретения, такое как соединение 85 или 92, а другая группа женщин получает плацебо. Женщины в тест-группе получают между 30 и 600 мг лекарственного средства в день пероральным путем. Они продолжают это лечение в течение 3-12 месяцев. Точные записи хранятся в отношении числа и тяжести симптомов в обеих группах и в конце этого исследования эти результаты сравнивают. Результаты сравнивают между членами каждой группы, а также результаты для каждого пациента сравнивают с симптомами, сообщенными каждым пациентом перед началом исследования. Применимость соединений данного изобретения иллюстрируется положительным влиянием, которое, как ожидается, они будут оказывать на пациентов, оцениваемых с использованием этой процедуры.
где m означает целое число от 1 до 6;
р означает целое число от 0 до 6;
R29 и R30 независимо представляют водород, низший алкил или R29 и R30 связаны вместе с образованием гетероциклоалкильного кольца, содержащего 1-3 гетероатома, выбранных из N или О;
L означает пяти- или шестичленный циклический ароматический фрагмент молекулы, необязательно содержащий 1-2 гетероатома, выбранных из N и О или их комбинации, необязательно замещенный одним или более заместителями, выбранными из группы, состоящей из алкила, алкокси, гидрокси, либо формулы(е)
где m означает целое число от 1 до 6;
р означает целое число от 0 до 6;
R29 и R30 означают низший алкил или связаны вместе с образованием пяти- или шестичленного гетероциклоалкильного кольца, содержащего 1-2 гетероатома, выбранных из N или О;
Q1, Q2, Q3 и Q4 независимо выбраны из группы, состоящей из водорода, гидроксила, алкокси и алкила.
2. Способ лечения индивидуума с эстрогензависимым нарушением, включающий введение этому индивидууму терапевтически эффективного количества соединения выбранного из 1,3,5(10)эстратриена по п.1 или соединений формул
3. Способ по п.2, где эстрогензависимое нарушение представляет собой рак молочной железы.
4. Способ по п.2, где эстрогензависимое нарушение представляет собой рак матки.
5. Способ лечения индивидуума с эстрогеннезависимым раком, включающий введение этому индивидууму терапевтически эффективного количества соединения по п.1.
6. Способ по п.5, где рак является резистентным ко множеству лекарственных средств.
7. Способ увеличения и/или подавления снижения массы костной ткани в организме млекопитающего, включающий введение индивидууму эффективного для увеличения массы костной ткани количества соединения по п.1.
8. Способ по п.7 для лечения остеопороза в организме млекопитающего, включающий введение индивидууму эффективного количества соединения по п.1.
9. Способ снижения уровня сывороточного холестерина в организме млекопитающего, включающий введение индивидууму эффективного для снижения уровня сывороточного холестерина количества соединения по п.1.
10. Способ подавления легочной гипертензии, включающий введение индивидууму, нуждающемуся в этом, терапевтически эффективного количества соединения по п.1.
11. Способ подавления кожной и/или вагинальной атрофии, включающий профилактическое введение индивидууму женского пола в постменопаузальный период эффективного количества соединения по п.1.
12. Способ подавления нарушения ЦНС, включающий введение индивидууму женского пола в постменопаузальный период эффективного количества соединения по п.1.
13. Способ по п.12, где нарушение ЦНС является эстрогензависимым нарушением ЦНС, включающий профилактическое введение индивидууму женского пола в постменопаузальный период эффективного количества соединения по п.1.
14. Способ синтеза 7