Патент на изобретение №2233284
|
||||||||||||||||||||||||||
(54) ТИЕНОПИРИМИДИНОВЫЕ ПРОИЗВОДНЫЕ, СПОСОБ ИХ ПОЛУЧЕНИЯ, ФАРМАЦЕВТИЧЕСКАЯ КОМПОЗИЦИЯ И СПОСОБ АНТАГОНИЗАЦИИ ГОНАДОТРОПИН-РИЛИЗИНГ ГОРМОНА
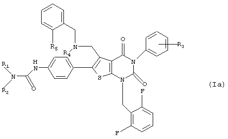
(57) Реферат: Изобретение относится к новым производным тиенопиримидина формулы (I) или его солям, которые обладают значительной GnRH-антагонистической активностью и могут быть использованы для профилактики или лечения гормонально-зависимых заболеваний. В соединениях формулы (I) R1 и R2, каждый, представляет атом водорода, гидроксигруппу, C1-4 алкоксигруппу, C1-4 алкоксикарбонильную группу или С1-4 алкильную группу, которая может быть замещена гидрокси, C1-4 алкилкарбонилоксигруппой; R3 представляет атом водорода, атом галогена, гидроксигруппу или С1-4 алкоксигруппу, которая может быть замещена C1-4 алкоксигруппой; или два соседних R3, взятые вместе, могут образовывать C1-4 алкилендиоксигруппу; R4 представляет атом водорода или С1-4 алкильную группу; R6 представляет С1-4 алкильную группу, которая может быть замещена С1-4 алкоксигруппой; или группу формулы: ,
в которой R5 представляет атом водорода, или R4 и R5, взятые вместе с атомом азота, к которому присоединена группа R6, могут образовывать 5-6-членный азотсодержащий гетероцикл; и n представляет целое число от 0 до 5. Изобретение также относится к способу получения соединений формулы (I), фармацевтической композиции на его основе и способу антагонизации гонадотропин-рилизинг гормона у млекопитающих. 5 н. и 11 з.п. ф-лы, 1 ил., 2 табл.
(I)
Область техники
Настоящее изобретение относится к производным тиено[2,3-d]пиримидина, проявляющим антагонистическую активность в отношении гонадотропин-рилизинг гормона (GnRH), их получению и применению.
Уровень техники
Секреция гормонов передней доли гипофиза подвергается регулированию с обратной связью, осуществляемому периферическими гормонами, выделяемыми из органов-мишеней соответствующих гормонов, а также посредством регулирующих секрецию гормонов из гипоталамуса, который представляет собой высший связанный с центральной нервной системой орган передней доли гипофиза (здесь и далее в настоящем описании такие гормоны в собирательном значении названы “гормонами гипоталамуса”). В настоящее время подтверждено существование девяти типов гормонов, включая, например, тиреотропин-рилизинг гормон (TRH) и гонадотропин-рилизинг гормон [GnRH, иногда называемый LH-RH (рилизинг-гормон лютеинизирующего гормона]. Как полагают, гормоны гипоталамуса оказывают свое действие с помощью рецепторов, которые, как считают, существуют в передней доле гипофиза, в связи с чем предприняты попытки обнаружить экспрессию генов для рецепторов, специфичных для данных гормонов, включая гормоны человека. Соответственно, антагонисты или агонисты, специфически и селективно воздействующие на такие рецепторы, могли бы контролировать действие гормона гипоталамуса и секрецию гормона передней долей гипофиза. В результате, такие антагонисты или агонисты, как ожидают, могли бы использоваться для профилактики и лечения заболеваний, связанных с гормонами передней доли гипофиза.
Известные соединения, обладающие антагонистической активностью в отношении GnRH, включают линейные пептиды – производные GnRH (патент США 5140009 и патент США 5171835), циклическое гексапептидное производное (JP-A-61-191698), бициклическое производное пептида [Journal of Medicinal Chemistry, Vol. 36, pp. 3265-3273 (1993)] и т. д. Соединения, не являющиеся пептидами, обладающие антагонистической активностью в отношении GnRH, включают соединения, описанные в WO 95/28405 (JP-A-8-295693), WO 97/14697 (JP-A-9-169767), WO 97/14682 (JP-A-9-169735) и WO 96/24597 (JP-A-9-169768) и т. д.
Соединения-пептиды вызывают множество проблем, которые требуют решения, в связи с возможностью пероральной абсорбции, дозированием формы, объемом дозы, стабильностью лекарственного средства, продолжительностью действия, метаболической стабильностью. Имеется острая необходимость в антагонистах GnRH, пригодных для перорального введения, особенно основанных на соединениях, не являющихся пептидами, которые обладают превосходным терапевтическим действием на гормонозависимые раковые заболевания, например рак простаты, эндометриоз, преждевременная половая зрелость и т.д.; и не оказывают неустойчивого гипофизарно-гонадотропического действия (острое действие), а также характеризуются хорошей биодоступностью.
Краткое описание чертежей
На чертеже приведена процентная концентрация LH при исследовании плазмы обезьяны. На чертеже – – представляет контрольную группу 1, – – представляет контрольную группу 2, – – представляет группу 1, получавшую соединение, – – представляет группу 2, получавшую соединение, и – – представляет группу 3, получавшую соединение, соответственно.
Сущность изобретения
Авторы настоящего изобретения исследовали различные соединения и в результате впервые обнаружили, следующие новые соединения, содержащие заместитель, группу формулы: -NH-CO-NR1R2, в которой каждое из обозначений является таким, как указано ниже, в пара-положении фенильной группы тиено[2,3-d]пиримидинового скелета, или их соль [далее иногда для краткости указываются как соединение формулы (I)]. Авторы настоящего изобретения также обнаружили, что соединение (I) неожиданно обладает прекрасной GnRH-антагонистической активностью, основанной на присутствии указанного выше особого заместителя, а также низкой токсичностью, и таким образом пригодно в качестве лекарственного средства, обладающего GnRH-антагонистической активностью, и на основе полученных данных создали настоящее изобретение.
в которой R1 и R2, каждый, представляет атом водорода, гидроксигруппу, C1-4 алкоксигруппу, C1-4 алкоксикарбонильную группу или C1-4 алкильную группу, которая может быть замещена;
R3 представляет атом водорода, атом галогена, гидроксигруппу или C1-4 алкоксигруппу, которая может быть замещена; или два соседних R3, взятые вместе, могут образовывать C1-4 алкилендиоксигруппу;
R4 представляет атом водорода или C1-4 алкильную группу;
R6 представляет C1-4 алкильную группу, которая может быть замещена, или группу формулы:
в которой R5 представляет атом водорода, или R4 и R5, взятые вместе, могут образовывать гетероцикл; и
n представляет целое число от 0 до 5.
Таким образом, настоящее изобретение относится:
[1] к соединению (I);
[2] к соединению согласно определенному выше пункту [1] или его соли, которые представляют собой соединение формулы:
в которой R1 и R2, каждый, представляет атом водорода, гидроксигруппу, C1-4 алкоксигруппу или C1-4 алкильную группу, которая может быть замещена; R3 представляет атом водорода, атом галогена или C1-4 алкоксигруппу; R4 представляет C1-4 алкильную группу; и R является таким, как определено выше;
[3] к соединению согласно определенному выше пункту [1] или его соли, где R1 представляет C1-3 алкоксигруппу;
[4] к соединению согласно определенному выше пункту [3] или его соли, где R2 представляет атом водорода;
[5] к соединению согласно определенному выше пункту [1] или его соли, где R3 представляет атом водорода;
[6] к соединению согласно определенному выше пункту [1] или его соли, где R6 представляет группу формулы:
в которой R5 является таким, как определено выше;
[7] к соединению согласно определенному выше пункту [2] или его соли, где R4 представляет C1-3 алкильную группу и R5 представляет атом водорода;
[8] к соединению согласно определенному выше пункту [1] или его соли, где n равно 1 или 2;
[9] к соединению согласно определенному выше пункту [1] или его соли, где R1 представляет (i) гидроксигруппу, (ii) C1-4 алкоксигруппу или (iii) C1-4 алкильную группу, которая может быть замещена гидрокси или 1-4 алкилкарбонилоксигруппой; R2 представляет атом водорода, C1-4 алкильную группу или C1-4 алкоксикарбонильную группу; R3 представляет атом водорода, атом галогена, гидроксигруппу или C1-4 алкокси-C1-4 алкоксигруппу; или два соседних R3, взятые вместе, могут образовывать C1-3 алкилендиоксигруппу; R4 представляет атом водорода или C1-3 алкильную группу; R6 представляет C1-4 алкокси-С1-4 алкильную группу или группу формулы:
в которой R5 представляет атом водорода, или R4 и R5, взятые вместе образуют 5- или 6-членный гетероцикл; и n равно 1 или 2;
[10] к соединению согласно определенному выше пункту [1] или его соли, где R1 представляет гидроксигруппу, метоксигруппу или C1-3 алкильную группу; R2 представляет атом водорода или C1-3 алкильную группу; R4 представляет C1-3 алкильную группу; R6 представляет бензильную группу; и n равно 0;
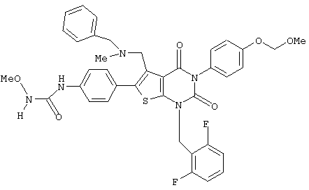
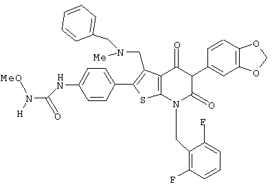
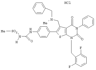
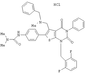
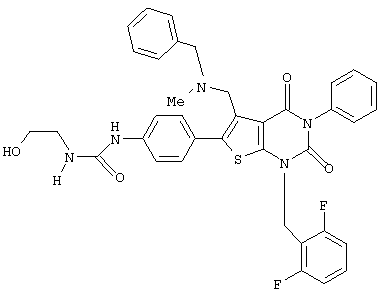
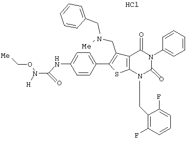
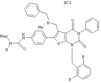
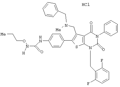
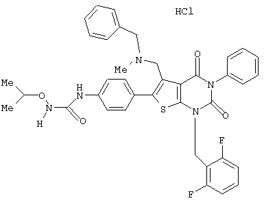
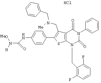
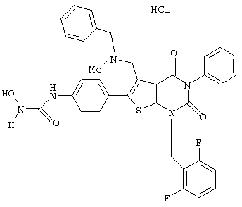
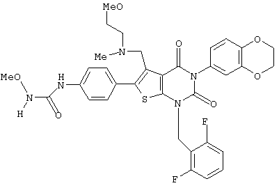
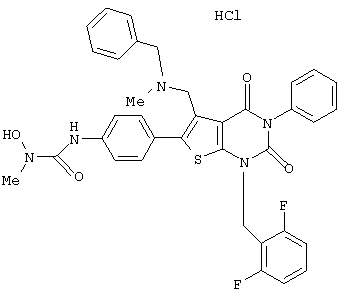
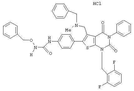
[11] к 5-(N-бензил-N-метиламинометил)-1-(2,6-дифторбензил)-6-[4-(3-метоксиуреидо)фенил]-3-фенилтиено[2,3-d]пиримидин-2,4(1Н,3Н)-диону или его соли;
[12] к способу получения соединения согласно пункту 1 или его соли, который заключается во взаимодействии соединения формулы:
в которой каждый символ имеет значение, которое определено выше, или его соли [ниже в настоящем описании иногда для краткости обозначается как “соединение (II)”] с карбонилдиимидазолом или фосгеном с последующим взаимодействием с соединением формулы
в которой каждый символ имеет значение, которое определено выше, или с его солью [ниже в настоящем описании иногда для краткости обозначается как “соединение (III)”];
[13] к фармацевтической композиции, которая содержит соединение согласно [1] или его соль;
[14] к фармацевтической композиции согласно [13], для антагонизации гонадотропин-рилизинг гормона;
[15] к фармацевтической композиции согласно [14], для профилактики или лечения половых, гормонально зависимых заболеваний;
[16] к способу антагонизации гонадотропин-рилизинг гормона у млекопитающих, нуждающихся в этом, который включает введение указанному млекопитающему эффективного количества соединения согласно [1] или его соли, с фармацевтически приемлемым эксципиентом, носителем или разбавителем;
[17] к применению соединения согласно [1] или его соли для производства фармацевтической композиции, для антагонизации гонадотропин-рилизинг гормона и так далее.
Значение каждого из символов в приведенной выше формуле далее раскрывается более подробно.
Термин “C1-4 алкоксигруппа” для R1 или R2 включает, например, метокси, этокси, пропокси, бутокси, изопропокси, трет-бутоксигруппу и т.д. Среди прочих предпочтительной является C1-3 алкоксигруппа. Более предпочтительной является метоксигруппа.
Термин “C1-4 алкоксикарбонильная группа” для R1 или R2 включает, например, метоксикарбонил, этоксикарбонил, пропоксикарбонил, изопропоксикарбонил, бутоксикарбонил, трет-бутоксикарбонил и т.д. Среди прочих предпочтительным является C1-3 алкоксикарбонил. Более предпочтительным является метоксикарбонил.
Термин “C1-4 алкильная группа” как часть термина “C1-4 алкильная группа, которая может быть замещена” для R1 или R2 включает, например, C1-4 алкильную группу с прямой цепью (например, метил, этил, пропил, бутил и т.д.), разветвленную С3-4 алкильную группу (например, изопропил, изобутил, втор-бутил, трет-бутил и т. д.) и так далее. Среди прочих, предпочтительной является C1-3 алкильная группа. Более предпочтительным является этил.
Термин “заместители” как часть термина “C1-4 алкильная группа, которая может быть замещена” для R1 или R2 включает, например, (i) гидрокси, (ii) C1-7 ацилокси (например, C1-6 алкилкарбонилокси, такой как ацетокси, пропионилокси и т.д.), (iii) бензоилокси, (iv) амино, который может быть замещен 1 или 2 заместителями, выбранными из группы, состоящей из C1-6 алкоксикарбонила (например, метоксикарбонила, этоксикарбонила, трет-бутоксикарбонила и т. д.), бензилоксикарбонила, C1-4 ацила (например, C1-3 алкилкарбонила, такого как ацетил, пропионил и т.д.), C1-4 алкила (например, метила, этила, пропила, бутила и т.д.) и 1-3 алкилсульфонила (например, метансульфонила и т. д.) и т. д. [например, амино, диметиламино, метоксикарбониламино, этоксикарбониламино, трет-бутоксикарбониламино, бензилоксикарбониламино, ацетиламино, метансульфониламино и т.д.], (v) C1-10 алкокси (например, метокси, этокси, пропокси, трет-бутокси и т.д.), (vi) С3-7 циклоалкилоксикарбонил-С1-3 алкокси (например, циклогексилоксикарбонилокси-1-этокси и т.д.), (vii) C1-3 алкокси-C1-3 алкокси (например, метоксиметокси, метоксиэтокси и т.д.) и так далее. Среди прочих предпочтительным является гидрокси.
“C1-4 Алкильная группа” как часть “C1-4 алкильной группы, которая может быть замещена” для R1 или R2 может содержать от 1 до 5, предпочтительно от 1 до 3 заместителей в возможных положениях, как указывалось выше, а в тех случаях, когда число заместителей составляет два или более, то заместители могут быть одинаковыми или отличаться один от другого.
Предпочтительно один из R1 и R2 является атомом водорода, а другой является C1-3 алкоксигруппой.
Термин “атом галогена” для R3 включает, например, фтор, хлор, бром, йод и т. д. Среди прочих предпочтительным является хлор.
Термин “C1-4 алкоксигруппа” как часть термина “C1-4 алкоксигруппа, которая может быть замещена” для R3 включает, например, метокси, этокси, пропокси, изопропокси, бутокси, трет-бутокси и т.д. Среди прочих предпочтительным является метокси.
Термин “заместители” как часть термина “C1-4 алкоксигруппа, которая может быть замещена” для R3 имеет те же самые значения, что и термин “заместители” как часть термина “C1-4 алкильная группа, которая может быть замещена” для R1 или R2. Среди прочих предпочтительной является C1-4 алкоксигруппа.
“C1-4 алкоксигруппа” может содержать от 1 до 5, предпочтительно от 1 до 3 заместителей в возможных положениях, как указывалось выше, а когда число заместителей составляет два или более, то заместители могут быть одинаковыми или отличаться один от другого.
Термин “C1-4 алкилендиоксигруппа” означает группу, образованную двумя соседними R3, и включает, например, метилендиокси, этилендиокси и т.д.
R3 предпочтительно означает атом водорода.
Термин “C1-4 алкильная группа” для R4 включает, например, C1-4 алкильную группу с прямой цепью (например, метил, этил, пропил, бутил и т.д.), разветвленную С3-4 алкильную группу (например, изопропил, изобутил, втор-бутил, трет-бутил и т. д.) и так далее. Среди прочих предпочтительной является C1-3 алкильная группа. Более предпочтительным является метил.
Термин “C1-4 алкильная группа, которая может быть замещена” для R6 имеет те же значения, как указывалось выше, что и термин “C1-4 алкильная группа, которая может быть замещена” для R1 или R2.
Термин “гетероцикл, образованный R4 и R5” включает, например, 5- или 6-членные N-содержащие гетероциклы и т. д. Примеры групп, когда R4 и R5, взятые вместе, образуют группу формулы:
включают группы формулы:
Среди прочих предпочтительной является группа формулы:
Предпочтительно R6 представляет группу формулы:
в которой R5 является таким, как определено выше.
Предпочтительно R4 представляет C1-3 алкил и R5 представляет атом водорода.
Предпочтительно n равно 1 или 2.
Предпочтительные примеры соединения (I) включают соединение (Ia).
Более предпочтительны такие соединения или их соли, в которых R1 представляет гидроксигруппу, метоксигруппу или C1-3 алкильную группу; R2 представляет атом водорода или C1-3 алкильную группу; R4 представляет C1-3 алкильную группу; R6 представляет бензильную группу; и n равно 0;
Среди прочих более предпочтительны такие соединения или их соли, в которых R1 представляет C1-3 алкоксигруппу; R2 и R5, каждый, представляет атом водорода; R4 представляет C1-3 алкильную группу; R6 представляет бензильную группу; и n равно 0;
Другие предпочтительные примеры соединения (I) включают соединения или их соли, в которых R1 представляет (i) гидроксигруппу, (ii) C1-4 алкоксигруппу или (iii) C1-4 алкильную группу, которая может быть замещена гидрокси или 1-4 алкилкарбонилоксигруппой; R2 представляет атом водорода, C1-4 алкильную группу или C1-4 алкоксикарбонильную группу; R3 представляет атом водорода, атом галогена, гидроксигруппу или C1-4 алкокси-C1-4 алкоксигруппу; или два соседних R3, взятые вместе, могут образовывать C1-3 алкилендиоксигруппу, R4 представляет атом водорода или C1-3 алкильную группу; R6 представляет C1-4 алкокси-С1-4 алкильную группу или группу формулы:
в которой R5 представляет атом водорода, или R4 и R5, взятые вместе, могут образовывать 5- или 6-членный гетероцикл; и n равно 1 или 2.
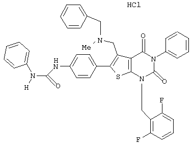
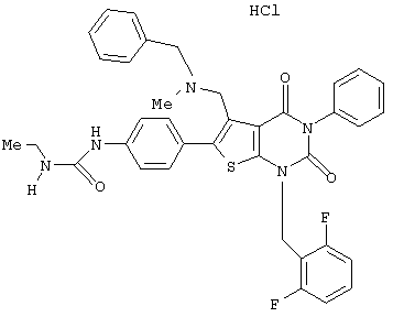
В качестве соединения (I) конкретно отмечаются:
5-(N-бензил-N-метиламинометил)-1-(2,6-дифторбензил)-6-[4-(3-метоксиуреидо)фенил]-3-фенилтиено[2,3-d]пиримидин-2, 4(1Н,3Н)-дион или его соль;
5-(N-бензил-N-метиламинометил)-1-(2,6-дифторбензил)-6-[4-(3-гидроксиуреидо)фенил]-3-фенилтиено[2,3-d]пиримидин-2, 4(1Н,3Н)-дион или его соль;
5-(N-бензил-N-метиламинометил)-1-(2,6-дифторбензил)-6-[4-(3-метилуреидо)фенил]-3-фенилтиено[2,3-d]пиримидин-2,4(1Н,3Н)-дион или его соль;
5-(N-бензил-N-метиламинометил)-1-(2,6-дифторбензил)-6-[4-(3-этилуреидо)фенил]-3-фенилтиено[2,3-d]пиримидин-2,4(1H,3Н) -дион или его соль и так далее.
Среди прочих предпочтительным является 5-(N-бензил-N-метиламинометил)-1-(2,6-дифторбензил)-6-[4-(3-метоксиуреидо)фенил]-3-фенилтиено[2,3-d]пиримидин-2,4(1Н,3Н)-дион или его соль.
Соли соединения (I) предпочтительно являются физиологически приемлемыми аддитивными солями кислот. Такие соли включают, например, соли с неорганическими кислотами (например, с хлористо-водородной кислотой, бромисто-водородной кислотой, азотной кислотой, серной кислотой, фосфорной кислотой), соли с органическими кислотами (например, с муравьиной кислотой, уксусной кислотой, трифторуксусной кислотой, фумаровой кислотой, щавелевой кислотой, винной кислотой, малеиновой кислотой, лимонной кислотой, янтарной кислотой, яблочной кислотой, метансульфоновой кислотой, бензолсульфоновой кислотой, п-толуолсульфоновой кислотой и т.д.) и так далее. В тех случаях, когда соединение (I) содержит кислотную группу, оно может образовывать физиологически приемлемую соль с неорганическим основанием (например, с щелочными и щелочно-земельными металлами, такими как натрий, калий, кальций, магний, и аммиаком) или с органическим основанием (например, с триметиламином, триэтиламином, пиридином, пиколином, этаноламином, диэтаноламином, триэтаноламином, дициклогексиламином, N,N’-дибензилэтилендиамином и т.д.).
Соединение (I) может быть получено любым известным по существу способом, например, согласно раскрытому в JP-A-9-169768, WO 96/24597 или аналогичными способами. Конкретной ссылкой являются следующие способы получения 1 и получения 2. Соединения (II)-(VII), описанные в следующих способах, включают и их соли. Что касается, например, их солей, то указания на них являются такими же, как и для солей соединения (I).
Способ получения 1
В приведенной выше формуле L представляет удаляемую группу, а другие символы являются такими же, как определено выше.
Термин “удаляемая группа”, относящийся к L, включает, например, 1-имидазолил, галоген, алкоксигруппу, которая может быть замещенной, и т.д. Термин “алкоксигруппа, которая может быть замещенной” включает, например, C1-4 алкоксигруппу, которая может быть замещена от 1 до 3 атомами галогена, например, такими как хлор, бром и т.д. (например, 2,2,2-трихлорэтокси и т.д.).
Соединение (II) может быть получено способами, раскрытыми в JP-A-9-169768, или аналогичными им способами.
Соединение (I) может быть получено взаимодействием соединения (II) с карбонилдиимидазолом (N,N’-карбонилдиимидазолом; CDI) или с фосгеном (мономером, димером или тримером) с образованием соединения (IV), с последующим взаимодействием с соединением (III). Реакция может быть проведена без выделения соединения (IV), либо соединение (IV) может быть использовано в очищенном виде в последующей реакции.
Соединение (IV) также может быть получено взаимодействием соединения (II), например, с соединением – эфиром хлормуравьиной кислоты (например, 2,2,2-трихлорэтиловым эфиром хлормуравьиной кислоты, 1-хлорэтиловым эфиром хлормуравьиной кислоты и т.д.).
При взаимодействии соединения (II) с карбонилдиимидазолом или фосгеном и т. д. карбонилдиимидазол или фосген и т. д. используют в количестве примерно от 1 до 3 молей на один моль соединения (II).
Данную реакцию преимущественно проводят в растворителе, инертном по отношению к данной реакции.
Примеры растворителей включают простые эфиры (например, такие как этиловый эфир, диоксан, диметоксиэтан, тетрагидрофуран и т.д.), ароматические углеводороды (например, такие как бензол, толуол и т. д.), амиды (например, такие как диметилформамид, диметилацетамид и т.д.), галогенированные углеводороды (например, такие как хлороформ, дихлорметан и т.д.) и так далее. Температура реакции обычно составляет примерно от 0 до 150°С, предпочтительно реакцию проводят при комнатной температуре (примерно от 15 до 25°С). Время проведения реакции обычно составляет примерно от 1 до 36 часов.
Данную реакцию также проводят в присутствии основания. Примерами такого основания являются неорганические основания, например, такие как карбонат натрия, гидрокарбонат натрия, карбонат калия, гидрокарбонат калия, гидроксид натрия, гидроксид калия и гидроксид таллия, и органические основания, например, такие как триэтиламин и пиридин и т.д.
Количество такого основания составляет примерно от 2 до 20 молей, преимущественно примерно от 5 до 12 молей на 1 моль соединения (II).
Последующая реакция с соединением (III) может быть проведена в тех же самых условиях, что и указанная выше реакция соединения (II) с карбонилдиимидазолом или фосгеном. Количество соединения (III) составляет примерно от 2 до 20 молей, преимущественно примерно от 5 до 10 молей, на 1 моль соединения (II) или соединения (IV). Температура реакции обычно составляет примерно от 0 до 150°С, предпочтительно реакцию проводят при комнатной температуре (примерно от 15 до 25°С). Время проведения реакции обычно составляет примерно от 1 до 6 часов.
Соединение (III) и карбонилдиимидазол или фосген могут взаимодействовать с соединением (II) в одно и то же время.
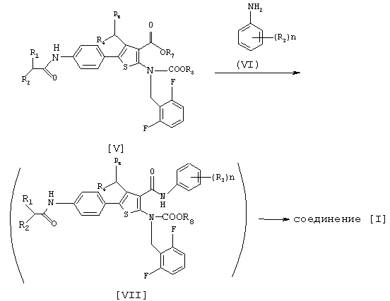
Способ получения 2
В приведенной выше формуле R7 представляет атом водорода или алкильную группу, R8 представляет алкильную группу, а остальные символы являются такими, как указано выше.
“C1-4 алкильная группа” для R7 или R8 включает, например, “C1-4 алкильную группу”, которая является “C1-4 алкильной группой, которая может быть замещена” для R1 или R2.
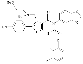
Соединение (V) может быть получено любым известным по существу способом, например, взаимодействием п-нитрофенилацетона со сложным эфиром циануксусной кислоты и серой [например. Chem. Ber., 99, 94-100 (1966)] и последующей реакцией полученного таким образом 2-амино-4-метил-5-(4-нитрофенил)тиофена по способу, раскрытому в JP-A-169768, WO 96/24597, или по способу, аналогичному указанным способам.
1) В том случае, когда R7 представляет атом водорода, соединение (I) может быть получено взаимодействием соединения (V) с соединением формулы:
в которой каждый из символов является таким, как указано выше, или его солью [далее иногда для краткости указываются как соединение (VI)], в присутствии конденсирующего агента с получением соединения (VII), которое затем подвергают циклизации.
“Конденсирующий агент” включает, например, бензотриазол-1-илокситрипирролидинофосфонийгексафторфосфат (РуВОР) и т. д.
Количество “конденсирующего агента” составляет примерно от 1 до 3 молей на один моль соединения (V).
Данную реакцию преимущественно проводят в растворителе, инертном по отношению к данной реакции.
Примеры растворителей включают спирты (например, этанол, метанол и т.д.), ароматические углеводороды (например, бензол, толуол и т.д.), амиды (например, диметилформамид, диметилацетамид и т.д.), галогенированные углеводороды (например, хлороформ, дихлорметан и т.д.) и так далее. Температура реакции обычно составляет примерно от 0 до 150°С, предпочтительно реакцию проводят при комнатной температуре (примерно от 15 до 25°С). Время проведения реакции обычно составляет примерно от 1 до 36 часов.
Продукт, полученный указанным выше способом, может быть использован в следующей реакции неочищенным, еще находящимся в реакционной смеси, или может быть выделен из реакционной смеси любым обычным способом.
Соединение (VII) подвергают циклизации в присутствии основания.
Примерами такого основания являются неорганические основания, например, такие как метоксид натрия, карбонат натрия, гидрокарбонат натрия, карбонат калия, гидрокарбонат калия, гидроксид натрия, гидроксид калия и гидроксид таллия, и органические основания, например, такие как триэтиламин и пиридин и т.д.
Количество такого основания составляет примерно от 2 до 20 молей, преимущественно примерно от 5 до 12 молей, на 1 моль соединения (VII).
Данную реакцию преимущественно проводят в растворителе, инертном по отношению к данной реакции.
Примеры растворителей включают спирты (например, этанол, метанол и т.д.), ароматические углеводороды (например, бензол, толуол и т.д.), амиды (например, диметилформамид, диметилацетамид и т.д.), галогенированные углеводороды (например, хлороформ, дихлорметан и т.д.) и так далее.
Температура реакции обычно составляет примерно от 0 до 150°С, предпочтительно реакцию проводят при комнатной температуре (примерно от 15 до 25°С). Время проведения реакции обычно составляет примерно от 1 до 36 часов.
2) В том случае, когда R7 представляет алкильную группу, соединение (I) может быть получено взаимодействием соединения (V) с активированным соединением (VI).
Активированное соединение (VI) может быть получено любым известным по существу способом, например взаимодействием алюминийорганического реагента с соединением (VI) в растворителе, инертном по отношению к реакционной смеси.
Термин “алюминийорганический реагент” включает, например, триметилалюминий, диметилалюминийхлорид и т.д. и растворы, содержащие указанные соединения и т.д.
Количество алюминийорганического реагента составляет примерно от 1 до 5 молей, преимущественно примерно 1 моль на один моль соединения (VI).
Примеры растворителей включают галогенированные углеводороды (например, хлороформ, дихлорметан и т.д.) и так далее.
Температура реакции обычно составляет примерно от 0 до 150°С, предпочтительно реакцию проводят при комнатной температуре (примерно от 15 до 25°С). Время проведения реакции обычно составляет примерно от 1 до 6 часов.
Циклизацию можно осуществлять взаимодействием соединения (V) с активированным соединением (VI) с получением при этом соединения (I).
Количество соединения (V) составляет примерно 1/5 объема смеси соединения (VI) и алюминийорганического реагента.
Данную реакцию преимущественно проводят в растворителе, инертном по отношению к данной реакции.
Такой растворитель является таким же, как растворители, используемые в реакции получения активированного соединения (VI).
Температура реакции обычно составляет примерно от 0 до 150°С, предпочтительно реакцию проводят при комнатной температуре (примерно от 15 до 25°С). Время проведения реакции обычно составляет примерно от 1 до 48 часов.
Соединение (I) может быть выделено и очищено обычными методами разделения, например, такими как перекристаллизация, дистилляция и хроматография, и т.д.
В том случае, когда соединение (I) получают в свободном виде, оно может быть превращено в соль по существу известными способами и аналогичными им способами. В том случае, когда соединение (I) получают в виде соли, оно может быть переведено в свободную форму или превращено в другую соль по существу известными способами и аналогичными им способами.
Соединение (I) может находиться в гидратированной или негидратированной форме. Примером гидратированной формы являются моногидрат, полуторагидрат и дигидрат.
В том случае, когда соединение (I) получают в виде смеси оптически активных изомеров, смесь может быть разделена на R- и S-формы с использованием обычных способов разделения оптических изомеров.
В соединение (I) может быть введена изотопная метка (например, 3H, 14С, 35S и т.д.).
Соединение (I), являющееся предметом настоящего изобретения (далее также указывается как соединение настоящего изобретения), обладает высокой GnRH-антагонистической активностью и низкой токсичностью. В дополнение к этому, оно обладает отличными характеристиками пероральной абсорбции, устойчивостью действия, стабильностью и хорошими фармакокинетическими показателями.
Кроме того, оно может быть легко получено. Соединение настоящего изобретения может быть, таким образом, безопасно использовано для профилактики и/или лечения заболеваний млекопитающих (например, заболеваний человека, обезьяны, быка, лошади, собаки, кошки, кролика, крысы, мыши и т.д.), зависящих от мужских и женских гормонов, заболеваний вследствие избытка таких гормонов, например, подавлением секреции гонадотропина путем соответствующего антагонистического действия в отношении GnRH-рецепторов для того, чтобы контролировать концентрацию половых гормонов в плазме.
Например, соединение настоящего изобретения может быть полезно для профилактики и/или лечения раковых заболеваний, зависящих от половых гормонов (например, таких как рак простаты, рак матки, рак молочной железы, опухоль гипофиза и т.д.), гипертрофии простаты, миомы матки, эндометриоза, преждевременного полового созревания, аменореи, предменструального синдрома, ячеистого синдрома яичника, образования узелков и т.д. Соединение настоящего изобретения может также быть полезно для регулирования репродуктивности у мужчин и женщин (например, регуляторы беременности, регуляторы менструального цикла и т.д.). Соединение настоящего изобретения может также быть полезно в качестве контрацептива для мужчин и женщин или в качестве средства, способствующего овуляции. На основе восстановления функций после прекращения его приема соединение настоящего изобретения может быть использовано для лечения бесплодия.
В дополнение к этому, соединение настоящего изобретения полезно для регулирования периода течки у животных, улучшения качества мяса и стимулирования роста животных в животноводстве. Соединение настоящего изобретения также полезно для стимулирования нереста рыб в рыболовстве.
Соединение настоящего изобретения также может быть использовано для подавления кратковременного повышения концентрации в плазме тестостерона (явление прилива крови к лицу), наблюдающегося при введении суперагониста GnRH, например, такого как лейпрорелинацетат. Соединение настоящего изобретения также может быть использовано в комбинации с суперагонистами GnRH, например, такими как лейпрорелинацетат, гонадрелин, бусерелин, трипторелин, госерелин, нафарелин, гистрелин, деслорелин, метерелин, лецирелин и так далее. Среди них предпочтительным является лейпрорелинацетат.
Также выгодно использовать соединение настоящего изобретения вместе (в комбинации или в дополнение) с, по меньшей мере, одним из членов, выбранных из группы, включающей стероидный или нестероидный андрогенный антагонист или антиэстроген, химиотерапевтическое средство, пептид-антагонист GnRH, ингибитор -редуктазы, ингибитор -рецептора, ингибитор ароматазы, ингибитор 17- -гидроксистероиддигидрогеназы, ингибитор продуцирования андрогена надпочечниками, ингибитор протеинкиназы, лекарственное средство для гормональной терапии и лекарственное средство, являющееся антагонистом фактора роста и соответствующих ему рецепторов и другие.
Термин “химиотерапевтическое средство”, приведенный выше, включает ифозфамид, UTF, адриамицин, пепломицин, цисплатин, циклофосфамид, 5-FU, UFT, метотрексат, митомицин С, митоксантрон и т.д.
Термин “пептид-антагонист GnRH”, приведенный выше, включает пептиды-антагонисты гормона GnRHh, не используемые для перорального применения, такие как цетрореликс, ганиреликс, абареликс и т.д.
Термин “ингибитор продуцирования андрогена надпочечниками”, приведенный выше, включает ингибиторы лиазы (C17, 20-лиазы) и т.д.
Термин “ингибитор протеинкиназы”, приведенный выше, включает ингибитор тирозинкиназы и т.д.
Термин “лекарственное средство для гормональной терапии”, приведенный выше, включает антиэстрогены, прогестероны (например, МРА и т.д.), андрогены, эстрогены и антагонисты андрогена и другие лекарственные средства.
Фактором роста может быть любое вещество, которое промотирует пролиферацию клеток и, как правило, термин “фактор роста” включает пептиды с молекулярным весом не более 20000, которые проявляют действие при низких концентрациях через связывание с рецепторами.
В особенности могут быть приведены (1) EGF (эпидермальный фактор роста) или вещества, имеющие по существу тот же самый вид активности (например, EGF, герегулин (НЕR2-лиганд), и т.д., (2) инсулин или вещества, имеющие по существу тот же самый вид активности (например, инсулин, IGF (инсулиноподобный фактор роста)-1, IGF-2 и т.д.), (3) FGF (фактор роста фибробластов) или вещества, имеющие по существу тот же самый вид активности (aFGF, bFGF, KGF (фактор роста кератиноцитов), HGF (фактор роста гепатоцитов), FGF-10 и т.д.), и (4) другие факторы роста (например, CSF (фактор стимулирования колоний), ЕРО (эритропоэтин), IL-2 (интерлейкин-2), NGF (фактор роста нервов), PDGF (фактор роста производных тромбоцитов) и TGF (трансформирующий фактор роста ) и другие.
“Рецептор фактора роста”, приведенный выше, может быть любым рецептором, способным связывать указанный фактор роста, включая EGF-рецептор, рецептор герегулина (HER2), рецептор-1 инсулина, рецептор-2 инсулина, IGF-рецептор, FGF-рецептор-1, FGF-рецептор-2 и так далее.
Лекарственное средство, обладающее антагонистическим действием в отношении указанного фактора роста, включает герцептин (антитело к рецептору HER2) и другие средства.
Может быть приведено лекарственное средство, обладающее антагонистическим действием в отношении указанного фактора роста или рецептора фактора роста, включающее гербимицин, PD153053 [например, Science, 265 (5175), р.1093 (1994)] и другие средства.
В качестве еще одного класса лекарственных средств, обладающих антагонистическим действием в отношении указанного фактора роста или рецептора фактора роста могут быть указаны НЕR2-антагонисты. НЕR2-антагонистом может быть любое вещество, которое ингибирует активность HER2 (например, фосфорилирующую активность), таким образом включая антитело, низкомолекулярное соединение (синтетического или природного происхождения), вещество, обладающее антисмысловым действием, НЕR2-лиганд, герегулин и любое из указанных веществ с частично модифицированной или подвергнутой мутации структурой. Кроме того, это может быть вещество, которое ингибирует HER2-активность посредством антагонистического действия в отношении указанного НЕR2-рецептора (например, антитело к HER2-рецептору). Низкомолекулярные соединения, проявляющие антагонистическое действие в отношении HER2, включают, например, соединения, описанные в WO 98/03505, например 1-[3-[4-[2-((Е)-2-фенилэтенил)-4-оксазолилметокси]фенил]пропил]-1,2,4-триазол и так далее.
В случае гипертрофии простаты примеры таких сочетаний включают соединение настоящего изобретения в сочетании с суперагонистом гормона GnRH, антагонистом андрогена, антиэстрогеном, пептидом-антагонистом GnRH, ингибитором -редуктазы, ингибитором -рецептора, ингибитором ароматазы, ингибитором 17- -гидроксистероиддегидрогеназы, ингибитором продуцирования андрогена надпочечниками, ингибитором фосфорилазы и так далее.
В случае рака простаты примеры таких сочетаний включают соединение настоящего изобретения в сочетании с суперагонистом гормона GnRH, антагонистом андрогена, антиэстрогеном, химиотерапевтическим средством (например, таким как ифозфамид, UTF, адриамицин, пепломицин, цисплатин и т.д.), пептидом-антагонистом гормона GnRH, ингибитором ароматазы, ингибитором 17- -гидроксистероиддегидрогеназы, ингибитором продуцирования андрогена надпочечниками, ингибитором фосфорилазы, лекарственным средством для гормональной терапии, например, таким как эстрогены (например, DSB, ЕМР и др.), антагонистом андрогена (например, СМА и т.д.), лекарственным средством, проявляющим антагонистическое действие в отношении фактора роста или его рецептора, и так далее.
В случае рака молочной железы примеры таких сочетаний включают соединение настоящего изобретения в сочетании с суперагонистом гормона GnRH, химиотерапевтическим средством (например, таким как циклофосфамид, 5-FU, UFT, метотрексат, адриамицин, митомицин С, митоксантрон и т.д.), пептидом-антагонистом гормона GnRH, ингибитором ароматазы, ингибитором продуцирования андрогена надпочечниками, ингибитором фосфорилазы, лекарственным средством для гормональной терапии, например, таким как антиэстроген (например, тамоксифен и т.д.), прогестероном (например, МРА и т.д.), андрогеном, эстрогеном и т.д., лекарственным средством, антагонизирующим фактор роста или его рецептор, и так далее.
В том случае, когда соединение настоящего изобретения используется в качестве профилактического и/или терапевтического средства для указанных выше заболеваний или используется в области животноводства или рыболовства, оно может вводиться перорально или “неперорально”, изготовленным по рецептуре с фармацевтически приемлемым носителем, обычно в виде твердого препарата, такого как таблетки, капсулы, гранулы, или порошки для перорального введения, или в форме препаратов для внутривенных, подкожных, внутримышечных или других инъекций, суппозиториев или подъязычных таблеток для “неперорального” введения. Оно также может быть введено под язык, подкожно, внутримышечно или с использованием другого способа введения в форме препаратов замедленного высвобождения – подъязычных таблеток, микрокапсул и т.д. Поскольку дневная доза зависит от степени выраженности симптомов; от возраста, пола и веса и чувствительности пациента; длительности и интервалов введения; от отличительных особенностей, рецептуры и вида фармацевтического препарата; от вида активного ингредиента и т.д., то дневная доза не поддается лимитированию. В случае применения для лечения описанных выше гормонально зависимых раковых заболеваний (например, таких как рак простаты, рак матки, рак молочной железы, опухоль гипофиза и т.д.), гипертрофии простаты, миомы матки (гистеромиома), эндометриоза, преждевременного полового созревания и т.д. суточная доза обычно составляет примерно от 0,01 до 30 мг, предпочтительно примерно от 0,02 до 10 мг и более предпочтительно от 0,1 до 10 мг, особенно предпочтительно от 0,1 до 5 мг на кг массы млекопитающего, обычно разделенная на от 1 до 4 приемов.
Указанные выше дозы применимы для использования соединения настоящего изобретения в области животноводства или рыболовства. Суточная доза обычно составляет примерно от 0,01 до 30 мг, предпочтительно примерно от 0,01 до 10 мг и более предпочтительно от 0,1 до 10 мг на кг массы организма-субъекта, обычно разделенная на от 1 до 3 приемов.
В фармацевтических композициях настоящего изобретения количество соединения (I) составляет от 0,01% до 100% по массе или, таким образом, от общей массы композиции.
Указанные выше фармацевтически приемлемые носители представляют собой органические или неорганические вещества-носители, обычно используемые в качестве фармацевтических веществ, включая эксципиенты, смазывающие вещества, связующие и вещества, способствующие распаду лекарственной формы, для твердых препаратов, и растворители, разбавляющие средства и средства, способствующие растворению, суспендирующие агенты, изотонические агенты, буферы или смягчающие средства для жидких композиций. Другие фармацевтические добавки, например, такие как консерванты, антиоксиданты, окрашивающие средства и подслащивающие средства, могут быть использованы, когда в этом имеется необходимость.
Предпочтительные эксципиенты включают, например, лактозу, сахарозу, D-маннит, крахмал, кристаллическую целлюлозу и светлый диоксид кремния. Предпочтительные смазывающие вещества включают, например, стеарат магния, стеарат кальция, тальк и легкий ангидрид кремния. Предпочтительные связующие включают, например, кристаллическую целлюлозу, сахарозу, D-маннит, декстрин, гидроксипропилцеллюлозу, гидроксипропилметилцеллюлозу и поливинилпирролидон. Предпочтительные вещества, способствующие распаду лекарственной формы, включают, например, крахмал, карбоксиметилцеллюлозу, кальциевую соль карбоксиметилцеллюлозы, натриевую соль сшитой кармеллозы и натриевую соль карбоксиметилкрахмала. Предпочтительные растворители включают, например, воду для инъекций, спирт, пропиленгликоль, макроголь, кунжутное масло и кукурузное масло. Предпочтительные средства, способствующие растворению, включают, например, полиэтиленгликоль, пропиленгликоль, D-маннит, бензилбензоат, этанол, трис-аминометан, холестерин, триэтаноламин, карбонат натрия и цитрат натрия. Предпочтительные суспендирующие агенты включают, например, поверхностно-активные вещества, например, такие как стеарилтриэтаноламин, лаурилсульфат натрия, лауриламинопропионовую кислоту, лецитин, бензалконийхлорид, бензэтонийхлорид и моностеарат глицерина; и гидрофильные полимеры, например, такие как поливиниловый спирт, поливинилпирролидон, натриевая соль карбоксиметилцеллюлозы, метилцеллюлоза, гидроксиэтилцеллюлоза и гидроксипропилцеллюлоза. Предпочтительные изотонические агенты включают, например, хлорид натрия, глицерин и D-маннит. Предпочтительные буферы включают, например, фосфатные, ацетатные, карбонатные, цитратные буферные растворы и т.д. Предпочтительные смягчающие средства включают, например, бензиловый спирт. Предпочтительные консерванты включают, например, сложные эфиры параоксибензойной кислоты, хлорбутанол, бензиловый спирт, этоксифениловый спирт, , -диацетилацетоуксусную кислоту и сорбиновую кислоту. Предпочтительные антиоксиданты включают, например, сульфиты и аскорбиновую кислоту.
При использовании общеизвестных методов добавления суспендирующих агентов, средств, способствующих растворению, стабилизаторов, изотонических агентов, консервантов и так далее, соединение настоящего изобретения может быть приготовлено в виде средства для внутривенных, подкожных и внутримышечных инъекций. В таких случаях соединение настоящего изобретения может быть высушено вымораживанием, при необходимости, с использованием общеизвестных методов. При введении человеку соединение настоящего изобретения может быть, например, безопасно введено перорально или неперорально как таковое или в виде фармацевтической композиции, полученной смешением с фармацевтически приемлемым носителем, эксципиентом или разбавителем, выбранными подходящим образом.
Такие фармацевтические композиции включают препараты для перорального введения (например, порошки, гранулы, капсулы, таблетки), препараты для инъекций, капельного внутривенного вливания, препараты для наружного применения (например, препараты для введения в нос, трансдермальные препараты) и суппозитории (например, ректальные суппозитории, вагинальные суппозитории).
Такие препараты могут быть приготовлены общеизвестными способами, обычно используемыми для изготовления фармацевтических средств.
Препараты для инъекций могут быть получены, например, приготовлением соединения настоящего изобретения в виде водного раствора для инъекций вместе с диспергирующим средством (например, таким как Твин 80, производимым Atlas Powder Company, США, средство НСО 60, производимое Nikko Chemical Cj., Ltd., полиэтиленгликоль, карбоксиметилцеллюлоза, альгинат натрия), консервантом (например, таким как метилпарабен, пропилпарабен, бензиловый спирт) и изотоническим средством (например, таким как хлорид натрия, маннит, сорбит, глюкоза) и другими добавками, или в виде масляного препарата для инъекций, в виде раствора, суспензии или эмульсии в растительном масле, например, таком как оливковое масло, кунжутное масло, хлопковое масло или кукурузное масло, пропиленгликоль или тому подобное.
Препараты для перорального введения могут быть получены путем изготовления общеизвестными методами по рецептуре, включающей соединение настоящего изобретения с добавлением эксципиента (например, такого как лактоза, сахароза, крахмал), средства, способствующего распаду лекарственной формы (например, такого как крахмал, карбонат кальция), связующего (например, такого как крахмал, аравийская камедь, карбоксиметилцеллюлоза, поливинилпирролидон, гидроксипропилцеллюлоза), смазывающего вещества, (например, такого как тальк, стеарат магния, полиэтиленгликоль 6000) и других добавок, и в тех случаях, когда в этом есть необходимость, нанесения покрытия на приготовленный продукт общеизвестными методами в целях маскировки вкуса, растворения в желудочно-кишечном тракте или для замедленного высвобождения. Средства для нанесения покрытия для этих целей включают, например, гидроксипропилметилцеллюлозу, этилцеллюлозу, гидроксиметилцеллюлозу, этилцеллюлозу, гидроксиметилцеллюлозу, гидроксипропилцеллюлозу, полиоксиэтиленгликоль, Твин 80, Прулоник F 68, фталат ацетатцеллюлозы, фталат гидроксипропилметилцеллюлозы, ацетат-сукцинат гидроксиметилцеллюлозы, “Eudgradit” производства фирмы “Rohm Company”, Германия, сополимер акриловой кислоты и метакриловой кислоты) и красители (например, оксид железа, диоксид титана). Для препаратов с энтеросолюбильной оболочкой может быть предусмотрено получение общеизвестными методами промежуточной фазы между энтеросолюбильной оболочкой и фазой, содержащей лекарственное средство, для разделения этих двух фаз.
Препараты для наружного применения могут быть получены путем смешения соединения настоящего изобретения с получением твердой, полутвердой или жидкой композиции общеизвестными методами. Такую твердую композицию получают, например, путем измельчения в порошок соединения настоящего изобретения самого по себе или в смеси с эксципиентом (например, таким как гликоль, маннит, крахмал, микрокристаллическая целлюлоза), загустителем (например, таким как натуральный каучук, производное целлюлозы, полимер акриловой кислоты) и другими добавками. Такую жидкую композицию получают приготовлением соединения настоящего изобретения в виде суспензии в масле или в воде почти таким же точно образом, как и препарат для инъекций. Полутвердая композиция предпочтительно представляет собой водный или масляный гель или мазь. Все эти композиции могут содержать регуляторы рН (например, такие как карбоновая кислота, фосфорная кислота, лимонная кислота, хлористо-водородная кислота, гидроксид натрия), консерванты (например, такие как сложные эфиры пара-оксибензойной кислоты, хлорбутанол, бензалконий хлорид) и другие добавки.
Суппозитории получают приготовлением общеизвестными методами соединения настоящего изобретения в виде содержащей масло или воду твердой, полутвердой или жидкой композиции. Подходящие масляные основы для таких композиций включают глицериды высших жирных кислот (например, масло какао, продукт “uitepsols”, производимый фирмой “Dynamite Nobel Company”, Германия), средние жирные кислоты (например, “MYGLYOL”, производимый фирмой “Dynamite Nobel Company”, Германия) и растительные масла (например, кунжутное масло, соевое масло, хлопковое масло). Водные основы включают, например, полиэтиленгликоль и пропиленгликоль. Основы для водных гелей включают, например, натуральные каучуки, производные целлюлозы, виниловые полимеры и полимеры акриловой кислоты.
Наилучший способ осуществления изобретения
Далее настоящее изобретение описывается более подробно путем приведения (но не ограничения) следующих ссылочных примеров, примеров приготовления лекарственных средств и экспериментальных примеров. Спектры 1H-ЯМР снимали с использованием в качестве внутреннего стандарта тетраметилсилана на спектрометре Varian GEVINI 200 (200 МГц), на спектрометре JEOL LAMBDA 300 (300 МГц) или на спектрометре Bruker AM 500 (500 МГц); все значения приведены в м.д. Кроме тех случаев, когда это специально указано, “%” указываются по массе. Выход кратко обозначается моль/моль, %.
Другие обозначения, используемые в настоящем описании, имеют следующие значения:
с: синглет,
д: дублет,
т: триплет,
дв. т: двойной триплет,
м: мультиплет,
шир: широкий,
ТФУ: трифторуксусная кислота (TFA)
ТГФ: тетрагидрофуран (THF),
Me: метил,
Et: этил.
Термин “комнатная температура” обозначает интервал температуры примерно от 15 до 25°С, но не должен толковаться как строго ограничивающий.
Примеры
Ссылочный пример 1
Этил 2-амино-4-метил-5-(4-нитрофенил)тиофен-3-карбоксилат
Смесь 4-нитрофенилацетона (35,0 г, 195 ммоль), этилцианоацетата (23,8 г, 195 ммоль), ацетата аммония (3,1 г, 40 ммоль) и уксусной кислоты (9,1 мл, 159 ммоль) кипятят с обратным холодильником в течение 24 часов, с удалением образующейся в ходе реакции воды с помощью ловушки Дина-Старка. После охлаждения реакционную смесь концентрируют при пониженном давлении, и полученный остаток распределяют между дихлорметаном и водным раствором гидрокарбоната натрия. Органический экстракт промывают водным раствором хлорида натрия и сушат (MgSO4), растворитель отгоняют при пониженном давлении. Полученный остаток хроматографируют на силикагеле, получая при этом вещество в виде масла. Полученное таким образом масло растворяют в этаноле, после чего добавляют серу (5,0 г, 160 ммоль) и диэтиламин (16,0 мл, 160 ммоль), и полученную смесь перемешивают при температуре от 60 до 70°С в течение 2 часов. После охлаждения реакционную смесь концентрируют при комнатной температуре при пониженном давлении, получая при этом остаток, который распределяют между дихлорметаном и водным раствором гидрокарбоната натрия. Органический экстракт промывают водным раствором хлорида натрия и сушат (MgSO4), растворитель отгоняют при пониженном давлении. Полученный остаток хроматографируют на силикагеле, получая при этом неочищенный продукт, который перекристаллизовывают из смеси эфир-гексан, получая при этом указанное в заглавии соединение в виде красных пластинок (22,2 г, 52%).
Т. пл. 168-170°С (перекристаллизовано из смеси эфир-гексан).
1H-ЯМР (200 МГц, CDCl3), : 1,39 (3Н, т, J=7,1 Гц), 2,40 (3Н, с), 4,34 (2Н, кв, J=7,1 Гц), 6,27 (2Н, шир), 7,48 (2Н, д, J=8,7 Гц), 8,23 (2Н, д, J=8,7 Гц).
ИК-спектроскопия (КВr): 3446, 3324, 1667, 1580, 1545, 1506, 1491, 1475, 1410, 1332 см-1.
Ссылочный пример 2
5-Метил-6-(4-нитрофенил)-3-фенилтиено[2,3-d]пиримидин-2,4(1Н,3Н)-дион
К раствору соединения, полученного согласно ссылочному примеру 1 (5,00 г, 16,32 ммоль), в пиридине (30 мл) добавляют фенилизоцианат (2,66 мл, 24,48 ммоль). После 6 часов перемешивания при 45°С реакционную смесь концентрируют при пониженном давлении и полученный остаток растворяют в этаноле (6 мл). К этому раствору добавляют 28% метоксид натрия (7,86 г, 40,80 ммоль), и полученную смесь перемешивают при комнатной температуре в течение 2 часов. Затем добавляют 2 н. раствор хлористо-водородной кислоты и отгоняют растворитель – этанол при пониженном давлении. Остаток отфильтровывают, промывают смесью вода-этанол и перекристаллизовывают из этанола, получая при этом указанное в заглавии соединение в виде желтого порошка (6,09 г, 98%).
Т.пл.: >300°С.
1H-ЯМР (300 МГц, СDСl3), : 2,50 (3Н, с), 7,31-7,46 (5Н, м), 7,78 (2Н, д, J=8,8 Гц), 8,32 (2Н, д, J=8,8 Гц), 12,50 (1H, с).
ИК (KBr): 1715, 1657, 1593, 1510 см-1.
Ссылочный пример 3
1-(2,6-Дифторбензил)-5-метил-6-(4-нитрофенил)-3-фенилтиено [2,3-d]пиримидин-2,4(1H,3Н)-дион
К раствору соединения, полученного согласно ссылочному примеру 2 (52,54 г, 0,131 ммоль), в N,N-диметилформамиде (1,0 л) добавляют карбонат калия (19,00 г, 0,138 моль), иодид калия (22,90 г, 0,138 моль) и 2,6-дифторбензилхлорид (22,40 г, 0,138 моль), полученную смесь перемешивают при комнатной температуре в течение 2 часов. Затем реакционную смесь концентрируют при пониженном давлении, получая при этом остаток, который распределяют между хлороформом и водным раствором хлорида натрия. Водный слой экстрагируют хлороформом. Объединенные экстракты промывают водным раствором хлорида натрия и сушат (MgSO4), растворитель отгоняют при пониженном давлении. Полученный остаток хроматографируют на силикагеле, получая при этом указанное в заглавии соединение в виде светло-желтых кристаллов (61,50 г, 93%).
Т.пл. 280-282°С.
1H-ЯМР (30 МГц, CDCl3), : 2,57 (3Н, с), 5,38 (2Н, с), 6,94 (2Н, т, J=8,1 Гц), 7,42-7,58 (8Н, м), 8,29 (2Н, д, J=8,8 Гц).
ИК (КВr): 1719, 1669, 1524, 1473 см-1.
Ссылочный пример 4
5-Бромоэтил-1-(2,6-дифтороензил)-6-(4-нитрофенил)-3-фенилтиено [2,3-d]пиримидин-2,4(1Н,3Н)-дион
Смесь соединения, полученного согласно ссылочному примеру 3 (30,34 г, 0,060 моль), N-бромсукцинимида (12,81 г, 0,072 моль), , ‘ -азобисизобутиронитрила (1,15 г, 0,007 моль) и хлорбензола (450 мл) перемешивают при 85°С в течение 3 часов. После охлаждения реакционную смесь промывают водным раствором хлорида натрия и сушат (MgSO4), после чего растворитель отгоняют при пониженном давлении. Остаток перекристаллизовывают из этилацетата, получая при этом указанное в заглавии соединение в виде желтых игл (80,21 г, 100%).
Т. пл.: 228-229°С,
1H-ЯМР (300 МГц, СDСl3), : 4,77 (2Н, с), 5,38 (2Н, с), 6,96 (2Н, т, J=8,1 Гц), 7,29-7,58 (6Н, м), 7,79 (2Н, д, J=8,5 Гц), 8,35 (2Н, д, J=8,5 Гц).
ИК (КВr): 1721, 1680, 1524, 1473, 1348 см-1.
FAB-Macc-спектроскопия (бомбардировка быстрыми атомами): m/z 584 (МН)+.
Ссылочный пример 5
5-(N-Бензил-N-метиламинометил)-1-(2,6-дифторбензил)-6-(4-нитрофенил)-3-фенилтиено[2,3-d]пиримидин-2,4(1H,3Н)-дион
К раствору соединения, полученного согласно ссылочному примеру 4 (80,00 г, 0,119 моль), в N,N-диметилформамиде (600 мл) при охлаждении льдом добавляют этилдиизопропиламин (27,00 мл, 0,155 моль) и бензилметиламин (18,45 мл, 0,143 моль). Через 2 часа перемешивания при комнатной температуре реакционную смесь концентрируют, и полученный остаток распределяют между этилацетатом и насыщенным водным раствором гидрокарбоната натрия. Водный слой экстрагируют этилацетатом. Органические экстракты объединяют и сушат (МgSO4), после чего растворитель отгоняют при пониженном давлении. Остаток хроматографируют на силикагеле, получая при этом желтое масло (74,90 г, 100%), которое перекристаллизовывают из этилацетата, получая при этом указанное в заглавии соединение в виде желтых игл.
Т. пл.: 173-174°С.
1H-ЯМР (300 МГц, CDCl3) [свободный амин], : 1,31 (3Н, с), 3,60 (2Н, с), 3,96 (2Н, с), 5,39 (2Н, с), 6,95 (2Н, т, J=8,2 Гц), 7,18-7,55 (11Н, м), 8,02 (2Н, д, J=9,0 Гц), 8,26 (2Н, д, J=9,0 Гц).
ИК (КВr) [гидрохлорид]: 1719, 1678, 1597, 1520 см-1.
Ссылочный пример 6
6-(4-Аминофенил)-5-(N-бензил-N-метиламинометил)-1-(2,6-дифторбензил)-3-фенилтиено[2,3-d]пиримидин-2,4(1Н,3Н)-дион
К раствору соединения, полученного согласно ссылочному примеру 5 (3,00 г, 4,80 ммоль), в муравьиной кислоте (30 мл) добавляют при охлаждении льдом 1 М раствор хлористого водорода в эфире (14,4 мл, 14,4 моль) и 10%-ный палладий на углероде (300 мг), и проводят гидрирование при атмосферном давлении при комнатной температуре при постоянном перемешивании в течение 2 часов. Полученную таким образом реакционную смесь фильтруют через целит и концентрируют при пониженном давлении. Полученный остаток распределяют между дихлорметаном и насыщенным водным раствором гидрокарбоната натрия. Водный слой экстрагируют дихлорметаном, органические экстракты объединяют и сушат (MgSO4). Растворитель отгоняют при пониженном давлении. Полученный остаток хроматографируют на силикагеле, получая при этом указанное в заглавии соединение в виде белых кристаллов (2,41 г, 84%).
Т. пл.: 205-207°С.
1H-ЯМР (300 МГц, CDCl3), : 2,05 (3Н, с), 3,56 (2Н, с), 3,83 (2Н, шир), 3,88 (2Н, с), 5,36 (2Н, с), 6,70 (2Н, д, J=8,8 Гц), 6,88-6,94 (2Н, м), 7,21-7,31 (8Н, м), 7,41-7,53 (5Н, м).
ИК (КВr): 1715, 1657, 1628, 1537 см-1.
Ссылочный пример 7
5-Хлорметил-1-(2,6-дифторбензил)-6-[4-(3-метоксиуреидо) фенил]-3-фенилтиено[2,3-d]пиримидин-2,4(1Н,3Н)-дион
К раствору соединения, полученного согласно примеру получения соединения №1 (2,00 г, 3,00 ммоль), описанному ниже, в тетрагидрофуране (90 мл) добавляют 1-хлорэтилхлорформиат (0,42 мл, 3,89 ммоль) при -78°С. Реакционной смеси дают нагреться до комнатной температуры, и перемешивают смесь в течение 2 часов. Реакционную смесь распределяют между хлороформом и водным раствором хлорида натрия, затем водный слой экстрагируют хлороформом. Экстракты объединяют, промывают водным раствором хлорида натрия и сушат (МgSO4), растворитель отгоняют при пониженном давлении. Полученный остаток хроматографируют на силикагеле, получая при этом указанное в заглавии соединение в виде белого порошка (1,68 г, 96%).
Т. пл.: 217-219°С.
1H-ЯМР (300 МГц, СDСl3), : 3,83 (3Н, с), 4,84 (2Н, с), 5,37 (2Н, с), 6,94 (2Н, т, J=8,2 Гц), 7,15 (1Н, с), 7,28-7,65 (11Н, м).
ИК (КВr): 1717, 1671, 1628, 1541, 1508, 1473 см-1.
FAB-Macc m/z 583 (МН)+.
Ссылочный пример 8
При использовании в качестве исходного материала соединения, полученного согласно ссылочному примеру 6, были получены соединения ссылочных примеров №8-1 – №8-3 по методике примеров 1 и 2, приведенных ниже.
Соединение согласно ссылочному примеру №8-1
Выход: 64%.
Т. пл.: 190-194°С.
Соединение согласно ссылочному примеру №8-2
Выход: 91%.
Т. пл.: 210-215°С.
Соединение согласно ссылочному примеру №8-3
Выход: 82%.
Т. пл.: 254-257°С.
Ссылочный пример 9
Этил 2-этоксикарбониламино-4-метил-5-(4-нитрофенил)тиофен-3-карбоксилат
Соединение, полученное согласно ссылочному примеру 1 (500 мг, 1,63 ммоль), растворяют в толуоле (9 мл), затем добавляют этилхлорформиат (0,19 мл, 1,96 ммоль), и полученную смесь кипятят с обратным холодильником в течение 5 часов. После охлаждения реакционную смесь концентрируют при пониженном давлении. Остаток хроматографируют на силикагеле, получая при этом указанное в заглавии соединение в виде желтого порошка (90 мг, 79%).
Т.пл.: 130-131°С (перекристаллизовано из смеси этилацетат-гексан).
1H-ЯМР (200 МГц, CDCl3), : 1,35 (3Н, т, J=7,1 Гц), 1,42 (3Н, т, J=7,2 Гц), 2,42 (3Н, с), 4,31 (2Н, кв, J=7,1 Гц), 4,39 (2Н, кв, J=7,2 Гц), 7,59 (2Н, д, J=9,0 Гц), 8,27 (2Н, д, J=9,0 Гц), 10,66 (1H, с).
ИК (KBr): 1740, 1665, 1597, 1557, 1533, 1516, 1352, 1257 см-1.
Ссылочный пример 10
Этил 2-[N-(2,6-дифторбензил)-N- этоксикарбониламино]-4-метил-5-(4-нитрофенил)тиофен-3-карбоксилат
К раствору соединения, полученного согласно ссылочному примеру 9 (490 мг, 1,30 моль), в N,N-диметилформамиде (20 мл) добавляют карбонат калия (196 мг, 1,42 моль), йодид калия (236 мг, 1,42 моль) и 2,6-дифторбензилхлорид (232 мг, 1,42 ммоль), и полученную смесь перемешивают при комнатной температуре в течение 5 часов. Реакционную смесь концентрируют, и остаток распределяют между хлороформом и водным раствором хлорида натрия. Водный слой экстрагируют хлороформом. Органические экстракты объединяют и промывают водным раствором хлорида натрия, затем сушат (MgSO4), и отгоняют растворитель при пониженном давлении. Полученный остаток хроматографируют на силикагеле и полученный аморфный порошок перекристаллизовывают из метанола, получая при этом указанное в заглавии соединение в виде желтых порошкообразных кристаллов (520 мг, 79%).
Т. пл.: 91-92°С.
1H-ЯМР (300 МГц, СDСl3), : 1,15-1,35 (6Н, м), 2,40 (3Н, с), 4,15-4,29 (4Н, м), 4,97 (2Н, с), 6,86 (2Н, т, J=7,8 Гц), 7,25-7,32 (1Н, м), 7,51 (2Н, д, J=8,8 Гц), 8,25 (2Н, д).
ИК (КВr): 1717, 1597, 1524, 1475, 1392, 1348 см-1.
Ссылочный пример 11
Этил 4-бромметил-2-[N-(2,6- дифторбензил)-N-этоксикарбониламино]-5-(4- нитрофенил)тиофен-3-карбоксилат
Смесь соединения, полученного согласно ссылочному примеру 10 (20 г, 39,64 моль), N-бромсукцинимида (7,76 г, 43,60 моль), , ‘-азобисизобутиронитрила (0,72 г, 4,36 моль) и четыреххлористого углерода (300 мл) перемешивают при 100°С в течение 2 часов. После охлаждения реакционную смесь промывают водным раствором хлорида натрия и сушат (MgSO4), после чего растворитель отгоняют при пониженном давлении. Остаток хроматографируют на силикагеле, получая при этом указанное в заглавии соединение в виде аморфного порошка (23 г, 100%).
Т. пл.: 105-108°С,
1H-ЯМР (300 МГц, СDСl3), : 1,15-1,39 (6Н, м), 4,09-4,39 (4Н, м), 4,71 (2Н, с), 4,99 (2Н, с), 6,86 (2Н, т, J=7,8 Гц), 7,22-7,32 (1Н, м), 7,72 (2Н, д, J=8,0 Гц), 8,32 (2Н, д, J=8,0 Гц).
ИК (КВr): 1725, 1628, 1522, 1475, 1379, 1348 см-1.
FAB-Macc m/z 582 (МН+).
Ссылочный пример 12
Этил 4-(N-бензил-N-метиламинометил)-2-[N-(2,6-дифторбензил)-N-этоксикарбониламино]-5-(4-нитрофенил)тиофен-3-карбоксилат
К раствору соединения, полученного согласно ссылочному примеру 11 (2,0 г, 3,43 ммоль), в N,N-диметилформамиде (20 мл) при охлаждении льдом добавляют этилдиизопропиламин (0,90 мл, 5,15 моль) и бензилметиламин (0,53 мл, 4,11 ммоль), и смесь перемешивают при комнатной температуре в течение 3 часов. Реакционную смесь концентрируют, и полученный остаток распределяют между этилацетатом и насыщенным водным раствором гидрокарбоната натрия. Водный слой экстрагируют этилацетатом. Органические экстракты объединяют и сушат (MgSO4), после чего растворитель отгоняют при пониженном давлении. Остаток хроматографируют на силикагеле, получая при этом указанное в заглавии соединение в виде желтого масла (2,1 г, 48%).
1Н-ЯМР (300 МГц, CDCl3), : 1,18-1,44 (6Н, м), 1,95 (3Н, с), 3,27 (2Н, с), 3,70 (2Н, с), 4,20-4,32 (4Н, м), 5,03 (2Н, с), 6,80 (2Н, т, J=7,8 Гц), 7,10-7,27 (6Н, м), 7,52 (2Н, д, J=8,0 Гц), 8,24 (2Н, д, J=8,0 Гц).
ИК (КВr): 1719, 1628, 1597, 1522, 1473, 1402, 1377, 1348 см-1.
Ссылочный пример 13
Этил 5-(4-аминофенил)-4-(N-бензил-N-метиламинометил)-2-[N-(2,6-дифторбензил)-N-этоксикарбониламино]тиофен-3-карбоксилат
К раствору соединения, полученного согласно ссылочному примеру 12 (10,0 г, 16,03 ммоль), в муравьиной кислоте (100 мл) добавляют при охлаждении льдом 1 М раствор НСl в эфире (48 мл, 48 ммоль) и 10%-ный палладий на углероде (1000 мг), и проводят гидрирование при атмосферном давлении при комнатной температуре в течение 5 часов. Полученную таким образом реакционную смесь фильтруют, используя целит (Celite), и фильтрат концентрируют при пониженном давлении. Полученный остаток распределяют между дихлорметаном и насыщенным водным раствором гидрокарбоната натрия, водный слой экстрагируют дихлорметаном. Органические экстракты объединяют и сушат (МgSО4), растворитель отгоняют при пониженном давлении. Остаток хроматографируют на силикагеле, получая при этом указанное в заглавии соединение в виде белого аморфного порошка (7,9 г, 83%).
1H-ЯМР (300 МГц, CDCl3), : 1,15-1,31 (6Н, м), 1,90 (3Н, с), 3,21 (2Н, с), 3,65 (2Н, с), 3,79 (2Н, с), 4,09-4,24 (4Н, м), 5,01 (2Н, с), 6,67-6,80 (4Н, м), 7,12-7,26 (8Н, м).
ИК (КВr): 1717, 1628, 1493, 1406, 1379 см-1.
Ссылочный пример 14
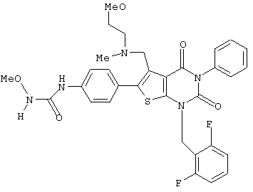
Этил 4-(N-бензил-N-метиламинометил)-2-[N-(2,6-дифторбензил)-N-этоксикарбониламино]-5-[4-(3-метоксиуреидо)фенил]тиофен-3-карбоксилат
К раствору соединения, полученного согласно ссылочному примеру 13 (0,9 г, 1,52 ммоль), в дихлорметане (20 мл) при охлаждении льдом добавляют триэтиламин (0,43 мл, 3,09 ммоль). К раствору при охлаждении льдом добавляют N,N’-карбонилдиимидазол (0,492 г, 3,03 ммоль), смеси дают нагреться до комнатной температуры и перемешивают в течение 48 часов. Реакционную смесь повторно охлаждают льдом и добавляют гидрохлорид O-метилгидроксиламина (1,27 г, 15,2 ммоль), триэтиламин (2,2 мл, 15,8 ммоль) и дихлорметан (5 мл). Реакционной смеси дают нагреться до комнатной температуры и перемешивают в течение 3 часов. Реакционную смесь распределяют между хлороформом и водным раствором гидрокарбоната натрия, водный слой экстрагируют хлороформом. Органические экстракты объединяют, промывают водным раствором хлорида натрия и сушат (МgO4), растворитель отгоняют при пониженном давлении. Остаток хроматографируют на силикагеле, получая при этом указанное в заглавии соединение в виде светло-желтого аморфного порошка (0,93 г, 92%).
1H-ЯМР (300 МГц, CDCl3), : 1,16 (3Н, шир с), 1,29 (3Н, т, J=7,1 Гц), 1,91 (3Н, с), 3,22 (2Н, с), 3,67 (2Н, с), 3,82 (3Н, с), 4,17 (2Н, шир c), 4,21 (2Н, д, J=7,1 Гц), 5,02 (2Н, с), 6,78 (2Н, т, J=7,8 Гц), 7,12-7,32 (6Н, м), 7,40 (2Н, д, J=8,6 Гц), 7,53 (2Н, д, J=8,6 Гц), 7,62 (1Н, с).
ИК (КВr): 3300, 2982, 1719, 1628, 1591, 1528, 1473, 1408 см-1.
Ссылочный пример 15
4-(N-бензил-N-метиламинометил)-2-[N-(2,6-дифторбензил)-N-этоксикарбониламино]-5-[4-(3-метоксиуреидо)фенил]тиофен-3-карбоновая кислота
К раствору соединения, полученного согласно ссылочному примеру 14 (0,1 г, 0,15 ммоль), в этаноле (2,5 мл) добавляют 2 н. раствор гидроксида натрия в воде (0,37 мл, 0,74 ммоль). Реакционную смесь перемешивают при комнатной температуре в течение 1 часа и дополнительно при 55°С в течение 18 часов. После охлаждения реакционную смесь нейтрализуют 2 н. раствором хлористо-водородной кислоты и распределяют между этилацетатом и насыщенным водным раствором гидрокарбоната натрия. Водный слой экстрагируют этилацетатом. Органические экстракты объединяют, промывают водным раствором хлорида натрия и сушат (MgSO4), растворитель отгоняют при пониженном давлении. Остаток хроматографируют на силикагеле, получая при этом указанное в заглавии соединение в виде бесцветного аморфного порошка (0,078 г, 81%).
1H-ЯМР (200 МГц, СDСl3), : 1,0-1,35 (3Н, шире), 2,16 (3Н, с), 3,84 (3Н, с), 3,84 (2Н, с), 3,88 (2Н, с), 4,10-4,30 (2Н, шир с), 6,77 (2Н, т), 6,70-6,85 (1Н, шир с), 7,15-7,35 (8Н, м), 7,58 (2Н, д, J=8,0 Гц), 7,50-7,65 (1Н, шир c), 7,90-8,00 (1H, шир с).
Ссылочный пример 16
4-(N-бензил-N-метиламинометил)-2-[N-(2,6-дифторбензил)-N-этоксикарбониламино]-3-(4-метоксиметоксифениламинокарбонил)-5-[4-(3-метоксиуреидо)фенил]тиофен
К раствору соединения, полученного согласно ссылочному примеру 15 (0,80 г, 1,23 ммоль), триэтиламина (0,88 мл, 6,31 ммоль) и 4-метоксиметоксианилина (0,96 г, 6,27 ммоль) в дихлорметане (25 мл) при охлаждении льдом добавляют бензотриазол-1-илокситрипирролидинофосфонийгексафторфосфат (РуВОР) (0,72 г, 1,38 ммоль). Смеси дают нагреться до комнатной температуры и перемешивают в течение 14 часов. Реакционную смесь распределяют между хлороформом и насыщенным водным раствором гидрокарбоната натрия, водный слой экстрагируют хлороформом. Органические экстракты объединяют, промывают водным раствором хлорида натрия и сушат (MgSO4), растворитель отгоняют при пониженном давлении. Остаток хроматографируют на силикагеле, получая при этом указанное в заглавии соединение в виде светло-желтого аморфного порошка (0,82 г, 93%).
1H-ЯМР (300 МГц, CDCl3), : 1,21 (3Н, шир с), 2,07 (3Н, шир с), 3,20 (2Н, с), 3,47 (3Н, с), 3,68 (2Н, с), 3,83 (3Н, с), 4,24 (2Н, шир с), 5,07 (2Н, шир с), 5,13 (2Н, с), 6,75 (2Н, т, J=7,9 Гц), 6,93 (2Н, д, J=9,0 Гц), 7,12-7,18 (32Н, м), 7,23-7,25 (4Н, м), 7,43 (2Н, д, J=9,0 Гц), 7,54 (2Н, д, J=8,5 Гц), 7,65 (1Н, с).
ИК (КВr): 3288, 2490, 1717, 1672, 1628, 1598, 1564, 1528, 1510, 1473 см-1.
Ссылочный пример 17
Этил 2-[N-(2,6-дифторбензил)-N-этоксикарбониламино]-4-[N-(2-метоксиэтил)-N-метиламинометил]-5-(4-нитрофенил)тиофен-3-карбоксилат
К раствору соединения, полученного согласно ссылочному примеру 11 (12,82 г, 22,0 ммоль), добавляют этилдиизопропиламин (7,7 мл, 44,2 ммоль) и N-(2-метоксиэтил)метиламин (3,5 мл, 32,6 ммоль) в этилацетате (120 мл). Смесь перемешивают в течение 20 часов при комнатной температуре. Реакционную смесь распределяют между этилацетатом и насыщенным водным раствором гидрокарбоната натрия, водный слой экстрагируют этилацетатом. Органические экстракты объединяют, промывают водным раствором хлорида натрия и сушат (MgSO4), растворитель отгоняют при пониженном давлении. Остаток хроматографируют на силикагеле, получая при этом указанное в заглавии соединение в виде коричневого масла (10,27 г, 79%).
1H-ЯМР (300 МГц, СDСl3) [свободный амин], : 1,16-1,38 (6Н, м), 2,08 (3Н, с), 2,46 (2Н, т, J=6,0 Гц), 3,28 (3Н, с), 3,36 (2Н, т, J=6,0 Гц), 3,63 (2Н, с), 4,09-4,32 (4Н, м), 5,01 (2Н, с), 6,86 (2Н, т, J=8,1 Гц), 7,21-7,32 (1Н, м), 7,70 (2Н, д, J=8,7 Гц), 8,23 (2Н, д, J=8,7 Гц).
ИК (КВr): 2984, 1725, 1628, 1597, 1520, 1473 см-1.
FAB-Macc m/z 592 (МH)+.
Ссылочный пример 18
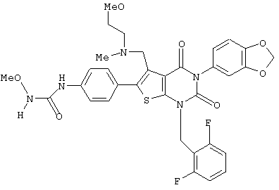
1-(2,6-дифторбензил)-5-[N-(2-метоксиэтил)-N-метиламинометил]-3-(3,4-метилендиоксифенил)-6-(4-нитрофенил)тиено[2,3-d]пиримидин-2,4(1Н,3Н)-дион
К раствору 3,4-метилендиоксианилина (3,30 г, 24,3 ммоль) в толуоле (80 мл) добавляют при охлаждении льдом 1,01 М диметилалюминийхлорид в гексане (22,2 мл, 22,0 ммоль). Реакционную смесь перемешивают в течение 1 часа, при охлаждении льдом. К реакционной смеси добавляют раствор соединения, полученного согласно ссылочному примеру 17 (2,20 г, 3,70 ммоль), в толуоле (30 мл), и перемешивают смесь в течение 20 часов при комнатной температуре. Реакционную смесь выливают в ледяную воду и распределяют между этилацетатом и насыщенным водным раствором гидрокарбоната натрия. Водный слой экстрагируют этилацетатом. Органические экстракты объединяют, промывают водным раствором хлорида натрия и сушат (Na2SO4), растворитель отгоняют при пониженном давлении. Остаток хроматографируют на силикагеле, получая при этом неочищенный продукт, который перекристаллизовывают из смеси этилацетат-гексан с получением при этом указанного в заглавии соединения в виде коричневых кристаллов (0,60 г, 68%).
Т. пл.: 190-192°С
1H-ЯМР (300 МГц, CDCl3) [свободный амин], : 2,21 (3Н, с), 2,68 (2Н, т, J=5,7 Гц), 3,31 (3Н, с), 3,44 (2Н, т, J=5,7 Гц), 3,87 (2Н, с), 5,38 (2Н, с), 6,03 (2Н, с), 6,73-6,76 (2Н, м), 6,90-6,97 (3Н, м), 7,28-7,38 (1Н, м), 8,00 (2Н, д, J=8,7 Гц), 8,26 (2Н, д, J=8,7 Гц).
ИК (КВr): 2894, 1719, 1671, 1628, 1597, 1547, 1520, 1487, 1462, 1348, 1243 см-1.
Ссылочный пример 19
6-(4-Аминофенил)-1-(2,6-дифторбензил)-5-[N-(2-метоксиэтил)-N-метиламинометил]-3-(3,4-метилендиоксифенил)тиено[2,3-d] пиримидин-2,4(1Н,3Н)-дион
К раствору соединения, полученного согласно ссылочному примеру 18 (1,56 г, 2,50 ммоль), в муравьиной кислоте (30 мл) добавляют при охлаждении льдом 1 М раствор хлористого водорода в эфире (7,4 мл, 7,4 ммоль) и 10%-ный палладий на углероде (200 мг), и проводят гидрирование при атмосферном давлении при комнатной температуре при постоянном перемешивании в течение 2 часов. Полученную таким образом реакционную смесь фильтруют через целит (Celite) и фильтрат концентрируют при пониженном давлении. Полученный остаток распределяют между хлороформом и насыщенным водным раствором гидрокарбоната натрия. Водный слой экстрагируют хлороформом, затем органические экстракты объединяют, промывают водным раствором хлорида натрия и сушат (Na2SO4). Растворитель отгоняют при пониженном давлении. Остаток хроматографируют на силикагеле, получая при этом неочищенный продукт, который перекристаллизовывают из смеси этилацетат-гексан, с получением при этом указанного в заглавии соединения в виде коричневых кристаллов (1,46 г, 96%).
Т. пл.: 200-202°С.
1H-ЯМР (300 МГц, CDCl3) [свободный амин] : 2,13 (3Н, с), 2,63 (2Н, с, J=5,7 Гц), 3,26 (3Н, с), 3,41 (2Н, т, J=5,7 Гц), 3,80 (2Н, с), 5,34 (2Н, с), 6,01 (2Н, с), 6,68-6,76 (4Н, м), 6,89-6,93 (3Н, м), 7,24-7,39 (3Н, м).
ИК (КВr): 2926, 1715, 1667, 1628, 1533, 1506, 1464 см-1.
Ссылочный пример 20
5-Хлорметил-1-(2,6-дифторбензил)-3-(3,4-этилендиоксифенил)-6-[4-(3-метоксиуреидо)фенил]тиено[2,3-d]пиримидин-2,4(1Н,3Н)-дион
При использовании в качестве исходного материала соединения, полученного согласно следующему примеру 8, было получено указанное в заглавии соединение по методике ссылочного примера 7.
Выход: 63%.
Т. пл.: 204-209°С.
Пример 1
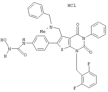
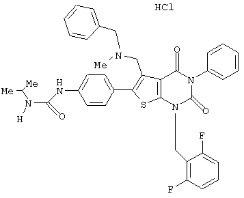
5-(N-Бензил-N-метиламинометил]-1-(2,6-дифторбензил)-6-[4-(3-метоксиуреидо)фенил]-3-фенилтиено[2,3-d]пиримидин-2,4(1Н,3Н)-дион (пример получения соединения №1)
К раствору соединения, полученного согласно ссылочному примеру 6 (5,0 г, 8,41 ммоль), в дихлорметане (120 мл) добавляют при охлаждении льдом триэтиламин (2,43 мл, 16,82 ммоль) с последующим перемешиванием. К реакционной смеси при охлаждении льдом добавляют N,N’-карбонилдиимидазол (2,73 г, 16,82 ммоль). Реакционной смеси дают нагреться до комнатной температуры и перемешивают в течение 42 часов. Реакционную смесь повторно охлаждают льдом и добавляют гидрохлорид O-метилгидроксиламина (7,02 г, 84,08 ммоль) и триэтиламин (11,7 мл, 84,08 ммоль). Реакционной смеси дают нагреться до комнатной температуры и перемешивают в течение 3 часов. Реакционную смесь распределяют между хлороформом и насыщенным водным раствором гидрокарбоната натрия. Водный слой экстрагируют хлороформом. Экстракты объединяют, промывают водным раствором хлорида натрия и сушат (MgSO4), растворитель отгоняют при пониженном давлении. Остаток хроматографируют на силикагеле, получая при этом светло-желтое твердое вещество, которое затем перекристаллизовывают из хлороформа с получением указанного в заглавии соединения в виде белых кристаллов (4,52 г, 80%).
Т. пл.: 204-205°С.
1H-ЯМР (300 МГц, CDCl3), : 2,05 (3Н, с), 3,57 (2Н, с), 3,82 (3Н, с), 3,90 (2Н, с), 5,37 (2Н, с), 6,92 (2Н, д, J=8,2 Гц), 7,16-7,31 (9Н, м), 7,42-7,57 (5Н, м), 7,63 (1Н, с), 7,73 (2Н, д, J=8,8 Гц).
ИК (KBr): 3338, 3064, 1717, 1669, 1628, 1591, 1531, 1470 см-1.
Пример 2
Гидрохлорид 5-(N-бензил-N-метиламинометил]-1-(2,6-дифторбензил)-6-[4-(3-метоксиуреидо)фенил]-3-фенилтиено[2,3-d]пиримидин-2,4(1Н,3Н)-диона (пример получения соединения №2)
К раствору белых кристаллов, полученных согласно примеру 1 (38,34 г, 57,42 ммоль), в дихлорметане (800 мл) при охлаждении льдом добавляют хлористый водород (1 М раствор в диэтиловом эфире), и перемешивают смесь при этой же температуре в течение 10 минут. Реакционную смесь концентрируют при пониженном давлении, и остаток перекристаллизовывают из смеси метанол-диэтиловый эфир, получая при этом указанное в заглавии соединение в виде белого порошка (40,0 г, 99%).
Т.пл.: 182-185°С.
ИК (KBr): 3440, 3042, 1713, 1665, 1628, 1593, 1539, 1473 см-1.
FAB-Macc m/z 668 (МН)+.
Пример 3
При использовании в качестве исходного материала соединения, полученного согласно ссылочному примеру 6, были получены соединения примеров №3-1 – №3-9 по методике примеров 1 и 2.
Пример получения соединения №3-1
Выход: 91%.
Т. пл.: 175-180°С [гидрохлорид].
Пример получения соединения №3-2
Выход: 81%.
Т. пл.: 179-182°С [гидрохлорид].
Пример получения соединения №3-3
Выход: 80%.
Т. пл.: 172-177°С [гидрохлорид].
Пример получения соединения №3-4
Выход: 99%.
Т. пл.: 193-197°С [гидрохлорид].
Пример получения соединения №3-5
Выход: 91%.
Т. пл.: 201-204°С [гидрохлорид].
Пример получения соединения №3-6
Выход: 89%.
Т. пл.: 210-215°С [гидрохлорид].
Пример получения соединения №3-7
Выход: 89%.
Т. пл.: 199-200°С [свободный амин].
Пример получения соединения №3-8
Выход: 93%.
Т. пл.: 195-198°С [гидрохлорид].
Пример получения соединения №3-9
Выход: 95%.
Т. пл.: 165-170°С [гидрохлорид].
Пример 4
При использовании в качестве исходного материала соединения, полученного согласно ссылочному примеру 7, были получены соединения примеров №4-1 – №4-5 по методике ссылочного примера 5.
Пример получения соединения №4-1
Выход: 80%.
Т. пл.: 177-180°С [гидрохлорид].
Пример получения соединения №4-2
Выход: 77%.
Т. пл.: 205-210°С [гидрохлорид].
Пример получения соединения №4-3
Выход: 77%.
Т. пл.: 182-185°С [гидрохлорид].
Пример получения соединения №4-4
Выход: 14%.
Т. пл.: 270°С (с разл.) [гидрохлорид].
Пример получения соединения №4-5
Выход: 26%.
Т. пл.: 260°С (с разл.) [свободный амин].
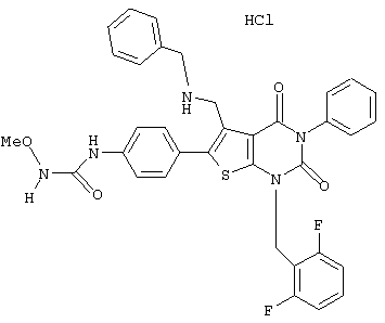
Пример 5
5-(N-Бензил-N-метиламинометил)-1-(2,6-дифторбензил)-6-[4-(3-гидроксиуреидо)фенил]-3-фенилтиено[2,3-d]пиримидин-2,4(1H,3Н), дион
К раствору соединения, полученного согласно ссылочному примеру 6 (2,0 г, 3,36 ммоль), в дихлорметане (40 мл) при охлаждении льдом добавляют триэтиламин (0,94 мл, 6,73 ммоль) с последующим перемешиванием. Затем к реакционной смеси при охлаждении льдом добавляют N,N’-карбонилдиимидазол (1,09 г, 6,73 ммоль). Реакционной смеси дают нагреться до комнатной температуры и перемешивают в течение 24 часов. Реакционную смесь повторно охлаждают льдом и добавляют О-(2,4-диметоксибензил)гидроксиламин (3,11 г, 16,98 ммоль). Затем реакционной смеси дают нагреться до комнатной температуры и перемешивают в течение 19 часов. Реакционную смесь распределяют между хлороформом и насыщенным водным раствором гидрокарбоната натрия, водный слой экстрагируют хлороформом. Экстракты объединяют, промывают водным раствором хлорида натрия и сушат (MgSO4), растворитель отгоняют при пониженном давлении. К раствору остатка в дихлорметане (50 мл) добавляют трифторуксусную кислоту (5 мл) с последующим перемешиванием при комнатной температуре в течение 20 минут. Реакционную смесь распределяют между хлороформом и насыщенным водным раствором гидрокарбоната натрия, водный слой экстрагируют хлороформом. Экстракты объединяют, промывают водным раствором хлорида натрия и сушат (MgSO4), растворитель отгоняют при пониженном давлении. Остаток хроматографируют на силикагеле, получая при этом белый аморфный порошок, который затем перекристаллизовывают из смеси хлороформ-эфир с получением указанного в заглавии соединения в виде белых кристаллов (2,2 г, 100%).
Т. пл.: 164-165°С.
1H-ЯМР (300 МГц, CDCl3), : 2,05 (3Н, с), 3,46 (2Н, с), 3,92 (2Н, с), 5,35 (2Н, с), 6,65 (1Н, шир), 6,90 (2Н, т, J=8,0 Гц), 7,28-7,65 (15Н, м), 8,04 (1Н, с), 9,73 (1Н, шир).
ИК (КВr): 3326, 2865, 1715, 1665, 1628, 1591, 1531, 1468 см-1.
FAB-Macc m/z 654 (МН)+.
Пример 6
Гидрохлорид 5-(N-бензил-N-метиламинометил)-1-(2,6-дифторбензил)-6-[4-(3-гидроксиуреидо)фенил]-3-фенилтиено[2,3-d]пиримидин-2,4(1Н,3Н)-диона
В раствор белых кристаллов, полученных согласно примеру 5 (60 мг, 0,094 ммоль), в дихлорметане (5 мл) добавляют при охлаждении льдом хлористый водород (1 М раствор в диэтиловом эфире) (0,2 мл) с последующим перемешиванием при той же самой температуре в течение 10 минут. Реакционную смесь концентрируют при пониженном давлении в течение 10 минут, и остаток перекристаллизовывают из смеси метанол-эфир с получением указанного в заглавии соединения в виде белого порошка (72 мг, 100%).
Т.пл.: 180-186°С.
ИК (KBr): 3388, 3066, 1713, 1663, 1628, 1593, 1537, 1473 см-1.
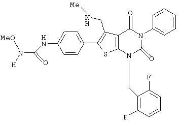
Пример 7
5-(N-Бензил-N-метиламинометил)-1-(2,6-дифторбензил)-6-[4-[3-(2-(гидроксиэтил)уреидо]фенил]-3-фенилтиено[2,3-d]пиримидин-2,4(1Н,3Н)-дион
К раствору соединения, полученного согласно примеру №3-7 (900 мг, 1,24 ммоль), в ТГФ (20 мл) при охлаждении льдом добавляют 5 н. раствор гидроксида калия в воде (7 мл) с последующим перемешиванием при 60°С в течение 1 часа. Реакционную смесь распределяют между этилацетатом и насыщенным водным раствором гидрокарбоната натрия, водный слой экстрагируют этилацетатом. Экстракты объединяют, промывают водным раствором хлорида натрия и сушат (МgSO4), растворитель отгоняют при пониженном давлении. Остаток хроматографируют на силикагеле, получая при этом белый аморфный порошок, который затем перекристаллизовывают из смеси хлороформ-метанол-эфир с получением указанного в заглавии соединения в виде белых кристаллов (850 мг, 88%).
Т.пл.: 220-222°С.
1H-ЯМР (300 МГц, DMSO-d6), : 1,93 (3Н, с), 3,17 (2Н, кв, J=4,8 Гц), 3,45-3,47 (4Н, м), 3,81 (2Н, с), 4,76 (1Н, т, J=5,1 Гц), 5,28 (2Н, с), 6,28 (1Н, т, J=5,4 Гц), 7,12-7,28 (9Н, м), 7,44-7,58 (8Н, м), 8,79 (1Н, с).
ИК (КВr): 3530, 3364, 3066, 2958, 2884, 1715, 1667, 1595, 1531, 1470 см-1.
FAB-Macc m/z 682 (MH)+.
Пример 8
5-(N-Бензил-N-метиламинометил)-1-(2,6-дифторбензил)-3-(3,4-этилендиоксифенил)-6-[4-(3-метоксиуреидо)фенил]тиено[2,3-d] пиримидин-2,4(1H,3Н)-дион
К раствору 3,4-этилендиоксианилина (3,90 г, 25,8 ммоль) в дихлорметане (100 мл) при охлаждении льдом добавляют 1,01 М раствор диметилалюминийхлорида в гексане (25,5 мл, 25,8 ммоль). Смеси дают нагреться до комнатной температуры при перемешивании в течение 1 часа. К раствору добавляют раствор соединения, полученного согласно ссылочному примеру 14 (3,44 мг, 5,16 ммоль), в дихлорметане (60 мл), и смесь перемешивают при комнатной температуре в течение 1 дня. Реакционную смесь распределяют между хлороформом и насыщенным водным раствором гидрокарбоната натрия, водный слой экстрагируют хлороформом. Органические слои объединяют, промывают водным раствором хлорида натрия и сушат (MgSO4), растворитель отгоняют при пониженном давлении. Остаток хроматографируют на силикагеле, получая при этом указанное в заглавии соединение в виде белого аморфного порошка (3,2 мг, 85%).
Т.пл.: 185-187°С.
1H-ЯМР (300 МГц, СDСl3), : 2,05 (3Н, с), 3,57 (2Н, с), 3,83 (3Н, с), 3,90 (2Н, с), 4,29 (4Н, с), 5,35 (2Н, с), 6,75-7,01 (5Н, м), 7,12-7,33 (7Н, м), 7,55 (2Н, д, J=8,0 Гц), 7,63 (1Н, с), 7,72 (2Н, д, J=8,0 Гц).
ИК (KBr): 1717, 1702, 1686, 1657, 1636, 1626, 1560, 1543, 1522, 1510, 1475 см-1.
Пример 9
При использовании в качестве исходного материала соединения, полученного согласно ссылочному примеру 14, были получены соединения примеров №9-1 – №9-2 по методике примера 8.
Пример получения соединения №9-1
Выход: 60%.
Т. пл.: 148-151°С [свободный амин].
Пример получения соединения №9-2
Выход: 54%.
Т. пл.: 169-170°С [гидрохлорид].
Пример 10
5-(N-Бензил-N-метиламинометил)-1-(2,6-дифторбензил)-3-[4-(метоксиметокси)фенил]-6-[4-(3-метоксиуреидо)фенил]тиено[2,3-d]пиримидин-2,4(1Н,3Н)-дион (пример получения соединения №10)
К раствору соединения, полученного согласно ссылочному примеру 16 (0,84 г, 1,09 ммоль), в безводном метаноле (50 мл) при охлаждении льдом добавляют раствор метоксида натрия (2,10 г, 10,4 ммоль) в безводном метаноле (20 мл). Смесь перемешивают в течение 2,5 часов, в это время температура поднимается до комнатной температуры. Реакционную смесь нейтрализуют 1 н. раствором хлористо-водородной кислоты (10,9 мл, 10,9 ммоль), растворитель отгоняют при пониженном давлении. Остаток распределяют между хлороформом и насыщенным водным раствором хлорида натрия, водный слой экстрагируют хлороформом. Органические экстракты объединяют, промывают водным раствором хлорида натрия и сушат (МgSO4), растворитель отгоняют при пониженном давлении. Остаток перекристаллизовывают из смеси этилацетат-изопропиловый эфир с получением указанного в заглавии соединения в виде белых кристаллов (0,632 г, 80%).
Т. пл.: 189-191°С.
1H-ЯМР (300 МГц, СDСl3), : 2,05 (3Н, с), 3,49 (3Н, с), 3,57 (2Н, с), 3,82 (3Н, с), 3,91 (2Н, с), 5,21 (2Н, с), 5,36 (2Н, с), 6,92 (2Н, д, J=8,0 Гц), 7,14-7,35 (11Н, м), 7,55 (2Н, д, J=8,5 Гц), 7,63 (1Н, с), 7,72 (2Н, д, J=8,5 Гц).
ИК (КВr): 3380, 2490, 2830, 1717, 1703, 1669, 1628, 1589, 1524, 1464 см-1.
Пример 11
5-(N-Бензил-N-метиламинометил)-1-(2,6-дифторбензил)-3-(4-гидроксифенил)-6-[4-(3-метоксиуреидо)фенил]тиено[2,3-d] пиримидин-2,4(1Н,3Н)-дион
Соединение, полученное согласно примеру 10 (0,35 г, 0,48 ммоль), растворяют в ацетоне (10 мл) и затем добавляют 6 н. раствор хлористо-водородной кислоты (1,0 мл, 6,0 ммоль). Смесь перемешивают при комнатной температуре в течение 6 часов и нейтрализуют при охлаждении льдом 2 н. раствором гидроксида натрия (3 мл, 6,0 ммоль) в воде, растворитель отгоняют при пониженном давлении. Остаток распределяют между хлороформом и насыщенным водным раствором хлорида натрия, водный слой экстрагируют хлороформом. Органические экстракты объединяют, промывают водным раствором хлорида натрия и сушат (МgSO4), растворитель отгоняют при пониженном давлении. Остаток хроматографируют на силикагеле, получая при этом бесцветный аморфный порошок (0,18 г, 55%), который перекристаллизовывают из смеси хлороформ-метанол с получением указанного в заглавии соединения в виде белых кристаллов (0,067 г).
Т.пл.: 178-182°С.
1H-ЯМР (300 МГц, CDCl3), : 2,04 (3Н, с), 3,56 (2Н, с), 3,80 (3Н, с), 3,90 (2Н, с), 5,35 (2Н, с), 6,89-6,98 (4Н, м), 7,08 (2Н, д, J=8,8 Гц), 7,15-7,31 (6Н, м), 7,57 (2Н, д, J=8,6 Гц), 7,69 (2Н, д, J=8,65 Гц), 7,87 (1Н, с), 8,27 (1Н, с), 8,88 (1Н, с).
ИК (КВr): 3446, 1717, 1663, 1630, 1601, 1534, 1520, 1473 см-1.
Пример 12
5-(N-Бензил-N-метиламинометил)-1-(2,6-дифторбензил)-6-[4-[(3-метокси-3-метоксикарбонил)уреидо]фенил]-3-фенилтиено[2,3-d]пиримидин-2,4(1H,3Н)-дион
К раствору соединения, полученного согласно примеру 1 (0,334 г, 0,5 ммоль), в тетрагидрофуране (10 мл) при охлаждении льдом добавляют триэтиламин (0,08 мл, 0,6 ммоль) и метилхлорформиат (0,0425 мл, 0,55 ммоль), полученную смесь перемешивают в течение 1 часа при охлаждении льдом и затем в течение 1 часа при комнатной температуре. К смеси добавляют триэтиламин (0,08 мл, 0,6 ммоль) и этилхлорформиат (0,0425 мл, 0,55 ммоль), полученную смесь перемешивают в течение 2 часов при 40°С и в течение 2 часов при комнатной температуре. К смеси добавляют водный раствор хлорида натрия и экстрагируют этилацетатом. Экстракты объединяют, промывают водным раствором хлорида натрия и сушат (MgSO4), растворитель отгоняют при пониженном давлении. Остаток хроматографируют на силикагеле, получая при этом неочищенный продукт, который перекристаллизовывают из смеси этилацетат-диэтиловый эфир с получением указанного в заглавии соединения в виде бесцветных кристаллов (0,204 г, 56%).
Т. пл.: 150-152°С.
1H-ЯМР (200 МГц, CDCl3), : 2,06 (3Н, с), 3,57 (2Н, с), 3,91 (2Н, с), 3,93 (3Н, с), 3,98 (3Н, с), 5,37 (2Н, с), 6,92 (2Н, д, J=8,6 Гц), 7,15-7,60 (11Н, м), 7,57 (2Н, д, J=8,6 Гц), 7,73 (2Н, д, J=8,6 Гц), 10,06 (1Н, с).
ИК-спектроскопия (КВr): 1746, 1714, 1663, 1537, 1460, 1339, 1200, 1034, 737 см-1.
Пример 13
1-(2,6-Дифторбензил)-5-[N-(2-метоксиэтил)-N-метиламинометил]6-[4-(3-метоксиуреидо)фенил]-3-фенилтиено[2,3-d]пиримидин-2,4(1Н,3Н)-дион
К раствору соединения, полученного согласно ссылочному примеру 7 (0,86 г, 1,48 ммоль), в N,N-диметилформамиде (15 мл) добавляют этилдиизопропиламин (0,34 мл, 1,92 ммоль) йодид калия (245 мг, 1,48 ммоль) и N-(2-метоксиэтил)метиламин (0,19 мл, 1,78 ммоль), полученную смесь перемешивают в течение 2 часов при комнатной температуре. Реакционную смесь концентрируют, получая при этом остаток, который распределяют между этилацетатом и насыщенным водным раствором гидрокарбоната натрия, водный слой экстрагируют этилацетатом. Объединенные экстракты промывают водным раствором хлорида натрия и сушат (MgSO4), растворитель отгоняют при пониженном давлении. Остаток хроматографируют на силикагеле с получением указанного в заглавии соединения в виде белых кристаллов (840 мг, 89%).
Т.пл.: 161-163°С.
1H-ЯМР (300 МГц, СDСl3) [свободный амин], : 2,14 (3Н, с), 2,64 (2Н, т, J=5,9 Гц), 3,27 (3Н, с), 3,41 (2Н, т, J=5,9 Гц), 3,83 (5Н, с), 5,37 (2Н, с), 6,93 (2Н, т, J=8,2 Гц), 7,12-7,63 (12Н, м).
ИК (КВr): 1709, 1663, 1560, 1522 см-1.
Пример 14
1-(2,6-Дифторбензил)-3-(3,4-этилендиоксифенил)-5-[N-(2-метоксиэтил)-N-метиламинометил]-6-[4-(3-метоксиуреидо)фенил]тиено[2,3-d]пиримидин-2,4(1H,3Н)-дион
При использовании в качестве исходного материала соединения, полученного согласно ссылочному примеру 20, было получено указанное в заглавии соединение по методике примера 13.
Выход: 79%.
Т. пл.: 155-156°С (свободный амин).
Пример 15
1-(2,6-Дифторбензил)-5-[N-(2-метоксиэтил)-N-метиламинометил]6-[4-(3-метоксиуреидо)фенил]-3-(3,4-метилендиоксифенил)тиено[2,3-d]пиримидин-2,4(1Н,3Н)-дион
При использовании в качестве исходного материала соединения, полученного согласно ссылочному примеру 19, было получено указанное в заглавии соединение по методике примера 1.
Выход: 72%.
Т. пл.: 150-152°С [свободный амин].
Пример 1 получения лекарственного препарата
При использовании 100 мг соединения, полученного согласно примеру 1, 165 мг лактозы, 25 мг кукурузного крахмала, 4 мг поливинилового спирта общепринятым способом были приготовлены таблетки.
Пример 2 получения лекарственного препарата
Соединение, полученное согласно примеру 2 (5 г), растворяют в дистиллированной воде для инъекций с доведением суммарного объема до 100 мл. Раствор асептически фильтруют через мембранный фильтр с размером пор 0,22 мкм (производство фирмы Sumitomo Electric Industries, Ltd. или Sartorius) и расфасовывают по 2 мл в вымытые стерильные флаконы, с последующей сушкой вымораживанием, с получением при этом высушенного вымораживанием лекарственного препарата для инъекций, 100 мг/флакон.
Пример 3 получения лекарственного препарата
При использовании 100 мг соединения, полученного согласно примеру №4-2, 165 мг лактозы, 25 мг кукурузного крахмала, 4 мг поливинилового спирта и 1 мг стеарата магния общепринятым способом были приготовлены таблетки.
Пример 4 получения лекарственного препарата
Соединение, полученное согласно примеру №4-2 (5 г), растворяют в дистиллированной воде для инъекций с доведением суммарного объема до 100 мл. Раствор асептически фильтруют через мембранный фильтр с размером пор 0,22 мкм (производство фирмы Sumitomo Electric Industries, Ltd. или Sartorius) и расфасовывают по 2 мл в вымытые стерильные флаконы, с последующей сушкой вымораживанием, с получением при этом высушенного вымораживанием лекарственного препарата для инъекций, 100 мг/флакон.
Пример 5 получения лекарственного препарата
Компоненты (1), (3), (4), (5), (6), (7) и (8) суспендируют или растворяют в очищенной воде и наносят на частицы, образующие ядро (2), получая при этом мелкие частицы основы, которые затем покрывают компонентами (9)-(11), с получением покрытых мелких частиц, которые затем смешивают с компонентом (12), получая при этом 500 г мелких частиц, содержащих 1% соединения. Полученные частички расфасовывают по 500 мг.
Экспериментальный пример 1
(1) Приготовление 125I-лейпрорелина
В пробирку, содержащую 10 мкл 3 10-4 М водного раствора лейпрорелина и 10 мкл 0,01 мг/мл лактопероксидазы, добавляют 10 мкл (37 МБк) раствора Na125I. После перемешивания добавляют 10 мкл 0,001% H2O2 и проводят реакцию в течение 20 минут при комнатной температуре. Реакцию останавливают добавлением 700 мкл 0,05% раствора ТФУ (трифторуксусной кислоты), затем проводят очистку обращенно-фазовой ВЭЖХ. Условия проведения ВЭЖХ приведены ниже. 125I-лейпрорелин элюируют при времени удерживания от 26 до 27 минут.
Колонка: TSKgel ODS-80 (ТМ означает зарегистрированную торговую марку; это же обозначение применяется и далее) CTR (4,6 мм 10 см).
Элюенты: растворитель А (0,05% ТФУ),
растворитель В (40% СН3СN – 0,05% ТФУ),
0 минут (100% растворителя А) – 3 минуты (100%
растворителя А) – 7 минут (50%
растворителя А +
50% растворителя В) – 40 минут (100%
растворителя В).
Температура элюирования: комнатная температура.
Скорость элюирования: 1 мл/мин.
(2) Получение мембранной фракции передней доли гипофиза крысы, содержащей рецепторы GnRH
Передние доли гипофиза были выделены от сорока крыс линии Вистар (возраст 8 недель, самцы) и промыты охлажденным льдом гомогенатным буфером [25 мМ трис-НСl (трис(гидроксиметил)аминометан)- НСl, 0,3 М сахарозы, 1 мМ EGTA (гликоль-эфирдиамин-N,N,N’,N’-тетрауксусная кислота), 0,25 мМ PMSF (фенилметилсульфонилфторид), 10 Ед/мл апротинина, 1 мкг/мл пепстатина, 20 мкг/мл лейпептина, 100 мкг/мл фосфорамидона, 0,03% азида натрия, рН 7,5]. Ткани гипофиза были подвергнуты флотации в 2 мл гомогенатного буфера и гомогенизированы с помощью гомогенизатора Политрон. Гомогенат центрифугировали при 700 g в течение 15 минут. Супернатант помещали в пробирки для ультрацентрифугирования и центрифугировали при 100000 g в течение 1 часа, получая при этом осадок мембраной фракции. Осадок суспендировали в 2 мл буфера для проведения исследования [25 мМ трис-HCl, 1 мМ ЭДТА (этилендиаминтетрауксусная кислота), 0,1%. БСА (бычий сывороточный альбумин), 0,25 мМ PMSF, 1 мкг/мл пепстатина, 20 мкг/мл лейпептина, 100 мкг/мл фосфорамидона, 0,03% азида натрия, рН 7,5] и центрифугировали суспензию при 100000 g в течение 1 часа. Мембранную фракцию, выделенную в виде осадка, ресуспендировали в 10 мл буфера для проведения исследования, разделяли на порции, хранили при -80°С и размораживали по мере необходимости.
(3) Получение мембранной фракции клеток яичников китайского хомяка (клетки) СНО, содержащей рецепторы GnRH человека
Клетки СНО, экспрессирующие рецепторы GnRH человека (109 клеток), суспендировали в фосфатном солевом буфере, содержащем 5 мМ ЭДТА (этилендиаминтетрауксусная кислота) (PBS-EDTA) и центрифугировали при 100 g в течение 5 минут. К осадку клеток добавляли 10 мл клеточного гомогенатного буфера (10 мМ NаНСО3, 5 мМ ЭДТА, рН 7,5) и гомогенизировали с помощью гомогенизатора Политрон. После центрифугирования при 400 g в течение 15 минут супернатант переносили в пробирки для ультрацентрифугирования и центрифугировали при 100000 g в течение 1 часа, получая при этом осадок мембранной фракции. Осадок суспендировали в 2 мл буфера для проведения исследования и центрифугировали при 100000 g в течение 1 часа. Мембранную фракцию, выделенную в виде осадка, еще раз суспендировали в 20 мл буфера для проведения исследования, разделяли на порции, хранили при -80°С, размораживая перед использованием.
(4) Оценка скорости ингибирования связывания 125I-лейпрорелина
Мембранные фракции крысы и человека, полученные, как показано выше в (2) и (3), разбавляли буфером для проведения исследования, достигая разбавления 200 мкг/мл, и распределяли по пробиркам, по 188 мкл в одну пробирку. В тех случаях, когда использовали мембранную фракцию передней доли гипофиза крысы, в каждую из пробирок одновременно добавляли 2 мкл раствора 0,1 мМ соединения в 60%-ном ДМСО (диметилсульфоксид) и 10 мкл 38 нМ 125I-лейпрорелина. В тех случаях, когда использовали мембранную фракцию клеток СНО с экспрессированными рецепторами GnRH человека, в каждую из пробирок одновременно добавляли 2 мкл раствора 2 мМ соединения в 60%-ном ДМСО и 10 мкл 38 нМ 125I-лейпрорелина. Для того чтобы количественно оценить максимальное связывание, приготавливали реакционную смесь 2 мкл 60%-ного ДМСО и 10 мкл 38 нМ 125I-лейпрорелина. Для того чтобы количественно оценить неспецифическое связывание, приготавливали реакционную смесь 2 мкл раствора 100 мкМ лейпрорелина в растворе 60%-ного ДМСО и 10 мкл 38 нМ 125I-лейпрорелина.
В тех случаях, когда использовали мембранную фракцию передней доли гипофиза крысы, реакцию проводили в течение 90 минут при 4°С. В тех случаях, когда использовали мембранную фракцию клеток СНО с экспрессированными рецепторами GnRH человека, реакцию проводили в течение 60 минут при 25°С. После каждой реакции реакционную смесь отбирали и фильтровали через обработанный полиэтиленимином стеклянный фильтр Ватмана (GF-F). После такого фильтрования с помощью -счетчика измеряли радиоактивность 125I-лейпрорелина, оставшегося на фильтровальной бумаге.
Для того чтобы определить скорость ингибирования связывания для каждого из добавляемых соединений, рассчитывали значение выражения (TB-SB)/(TB-NSB) 100 (где SB = радиоактивность с добавленным соединением, ТВ = максимум радиоактивности при связывании, NSB = максимум радиоактивности при неспецифическом связывании). Кроме того, определяли скорость ингибирования при варьировании концентрации тестируемого соединения и рассчитывали значение концентрации 50% ингибирования (значение IС50) из графика Хилла. Результаты приведены ниже.
Экспериментальный пример 2
Супрессия LH в плазме у кастрированных обезьян
Соединение, полученное согласно примеру 2, вводили перорально кастрированным самцам обезьян (cynomolgus, Macaca fascicularis), количественно определяли уровень LH (лютеинизирующий гормон) в плазме. Использовали самцов обезьян (cynomolgus), достигших ко времени эксперимента возраста от 4 лет и 9 месяцев до 6 лет и 3 месяцев, которых кастрировали ранее, чем за три месяца до начала эксперимента. Тестируемые животные [n=3] получали 30 мг/кг (3 мл/кг) соединения, суспендированого в 0,5% метилцеллюлозе с конечной концентрацией, при пероральном введении, равной 1%, а контрольные животные [n=2] получали только 3 мл/кг одного 0,5% метилцеллюлозного диспергирующего средства путем перорального введения. За 24 часа до введения, непосредственно сразу же после введения и через 2, 4, 6, 8, 24 и 48 часов после введения забирали кровь из бедренной вены в гепаринизированные пробирки для образцов плазмы и сразу же помещали на холод.
Концентрацию LH в плазме определяли путем биологического исследования с использованием тестикулярных клеток мыши. Тестикулярные клетки получали от самцов BALB/c мыши (в возрасте от 8 до 9 недель) и промывали три раза 1 мл среды Игла в модификации Дульбекко (DMEM-H), содержащей 20 мМ HEPES и 0,2% БСА на тест. После инкубирования при 37°С в течение 1 часа клетки пропускали через нейлоновый сетчатый фильтр (70 мкм) и распределяли по пробиркам для проведения теста в количестве 8 105 клеток на пробирку. После того как клетки были дважды промыты 0,4 мл DMEM-H, добавляли 0,4 мл раствора DMEM-H, содержащего либо LH лошади (Sigma Company) в качестве стандартного LH или плазму обезьян, предварительно разбавленную вплоть до 300 раз, в качестве тестируемого образца, с последующим взаимодействием при 37°С в течение 2 часов. Концентрацию тестостерона в культуре супернатанта определяют радиоиммуноанализом (CIS Diagnostics Company), а концентрацию LH в исследуемой плазме обезьян вычисляют по стандартной кривой для стандартного LH лошади.
Полученные данные приведены на чертеже.
Концентрация LH выражена в процентах (%) по отношению к базовой концентрации LH непосредственно перед введением для каждой из обезьян (cynomolgus) и показана в зависимости от времени с момента введения, обозначенного как 0 (показано стрелкой), а время до и после введения показано знаками минус и плюс соответственно. Контрольная группа 1 (- -) и контрольная группа 2 (- -) получали перорально только 0,5% метилцеллюлозного диспергирующего средства (3 мл/кг), в то время как группа 1, получавшая соединение (- -), группа 2, получавшая соединение (- -), и группа 3, получавшая соединение (- -), подобным образом получали дисперсию соединения, полученного согласно примеру 2 в 0,5% метилцеллюлозе (30 мг/кг, 3 мл/кг).
У контрольной группы даже после введения были обнаружены незначительные изменения концентрации LH в плазме. С другой стороны, в группах, получавших соединение, концентрация LH в плазме быстро падала, сразу же, начиная с момента введения, и опускалась до 20% от базовой концентрации или менее за 24 часа после введения. Затем, через 48 часов после введения, наблюдалось повышение (восстановление) концентрации LH в плазме.
Вышеуказанные результаты свидетельствуют о том, что соединение, полученное согласно примеру 2, при пероральном введении оказывает значительное снижающее действие на концентрацию LH в крови.
Из приведенных выше результатов видно, что соединения, являющиеся предметом настоящего изобретения, являются антагонистами LH-RH рецепторов гипофиза, блокирующими LH-RH стимулирование гипоталамусом для ингибирования высвобождения LH.
Промышленная применимость
Соединение настоящего изобретения обладает значительной антагонистической активностью в отношении гонадотропин-рилизинг гормона. Оно также обладает хорошими характеристиками способности к абсорбции и прекрасной стабильностью и высокими фармакокинетическими показателями. Обладая низкой токсичностью, оно также замечательно по своей безопасности. Кроме того, соединение настоящего изобретения может быть использовано в качестве профилактического или терапевтического средства в случае гормонально зависимых заболеваний и т.д. Конкретно, оно эффективно в качестве профилактического или терапевтического средства в случае гормонально зависимых раковых заболеваний (например, таких как рак простаты, рак матки, рак молочной железы, опухоль гипофиза и т.д.), при гипертрофии простаты, миоме матки, эндометриозе, преждевременном половом созревании, аменорее, ячеистом синдроме яичника, образовании узелков и т.д. или в качестве регулятора беременности (например, контрацептива), лекарственного средства против бесплодия или регулятора менструального цикла. Оно также эффективно в качестве регулятора половой активности у животных, средства для улучшения качества мяса и регулятора роста животных в животноводстве, а также полезно для стимулирования нереста рыб в рыболовстве.
Формула изобретения 1. Соединение формулы
в которой R1 и R2 каждый представляет атом водорода, гидроксигруппу, C1-4 алкоксигруппу, C1-4 алкоксикарбонильную группу или С1-4 алкильную группу, которая может быть замещена гидрокси, C1-4 алкилкарбонилоксигруппой;
R3 представляет атом водорода, атом галогена, гидроксигруппу или С1-4 алкоксигруппу, которая может быть замещена C1-4 алкоксигруппой, или два соседних R3, взятые вместе, могут образовывать C1-4 алкилендиоксигруппу;
R4 представляет атом водорода или С1-4 алкильную группу;
R6 представляет С1-4 алкильную группу, которая может быть замещена С1-4 алкоксигруппой, или группу формулы
в которой R5 представляет атом водорода, или R4 и R5, взятые вместе с атомом азота, к которому присоединена группа R6, могут образовывать 5-6-членный азотсодержащий гетероцикл;
n представляет целое число от 0 до 5,
или его соль.
2. Соединение по п.1 или его соль, которое представляет собой соединение формулы
в которой R1 и R2 каждый представляет атом водорода, гидроксигруппу, С1-4 алкоксигруппу или C1-4 алкильную группу, которая может быть замещена;
R3 представляет атом водорода, атом галогена или С1-4 алкоксигруппу;
R4 представляет C1-4 алкильную группу;
R5 является таким, как определено в п.1.
3. Соединение по п.1 или его соль, где R1 представляет C1-3 алкоксигруппу.
4. Соединение по п.3 или его соль, где R2 представляет атом водорода.
5. Соединение по п.1 или его соль, где R3 представляет атом водорода.
6. Соединение по п.1 или его соль, где R6 представляет группу формулы
в которой R5 является таким, определено в п.1.
7. Соединение по п. 2 или его соль, где R4 представляет С1-3 алкильную группу и R5 представляет атом водорода.
8. Соединение по п.1 или его соль, где n = 1 или 2.
9. Соединение по п.1 или его соль, в котором R1 представляет (i) гидроксигруппу, (ii) С1-4 алкоксигруппу или (iii) С1-4 алкильную группу, которая может быть замещена гидрокси или 1-4 алкилкарбонилоксигруппой; R2 представляет атом водорода, C1-4 алкильную группу или С1-4 алкоксикарбонильную группу; R3 представляет атом водорода, атом галогена, гидроксигруппу или С1-4 алкокси-С1-4 алкоксигруппу или два соседних R3, взятые вместе, могут образовывать С1-3 алкилендиоксигруппу; R4 представляет атом водорода или С1-3 алкильную группу; R6 представляет С1-4 алкокси-С1-4 алкильную группу или группу формулы
в которой R5 представляет атом водорода,
или R4 и R5, взятые вместе, образуют 5- или 6-членный азотсодержащий гетероцикл и n = 1 или 2.
10. Соединение по п.1 или его соль, где R1 представляет гидроксигруппу, метоксигруппу или C1-3 алкильную группу; R2 представляет атом водорода или C1-3 алкильную группу; R4 представляет C1-3 алкильную группу; R6 представляет бензильную группу; и n = 0.
11. 5-(N-Бензил-N-метиламинометил)-1-(2,6-дифторбензил)-6-[4-(3-метоксиуреидо)фенил]-3-фенилтиено[2,3-d]пиримидин-2,4(1H,3H)-дион или его соль.
12. Способ получения соединения по п.1 или его соли, который включает взаимодействие соединения формулы
в которой значения R3, R4,R6 такие, как определено в п.1,
или его соли с карбонилдиимидазолом или фосгеном с последующим взаимодействием с соединением формулы
в которой каждый R1,R2 является таким, как определено в п.1,
или его солью.
13. Фармацевтическая композиция, обладающая действием антагониста гонадотропин-рилизинг гормона, которая содержит соединение по п.1 или его соль.
14. Фармацевтическая композиция по п. 13 пригодная для профилактики или лечения половых гормонально-зависимых заболеваний.
15. Способ антагонизации гонадотропин-рилизинг гормона у млекопитающих, нуждающихся в этом, который включает введение указанному млекопитающему эффективного количества соединения по п.1 или его соли с фармацевтически приемлемым эксципиентом, носителем или разбавителем.
16. Соединения по п.1 или его соли для производства фармацевтической композиции, пригодной для антагонизации гонадотропин-рилизинг гормона.
РИСУНКИ
PD4A – Изменение наименования обладателя патента Российской Федерации на изобретение
(73) Новое наименование патентообладателя:
Извещение опубликовано: 10.08.2005 БИ: 22/2005
|
||||||||||||||||||||||||||

,
в которой R5 представляет атом водорода, или R4 и R5, взятые вместе с атомом азота, к которому присоединена группа R6, могут образовывать 5-6-членный азотсодержащий гетероцикл; и n представляет целое число от 0 до 5. Изобретение также относится к способу получения соединений формулы (I), фармацевтической композиции на его основе и способу антагонизации гонадотропин-рилизинг гормона у млекопитающих. 5 н. и 11 з.п. ф-лы, 1 ил., 2 табл.
(I)
Область техники
Настоящее изобретение относится к производным тиено[2,3-d]пиримидина, проявляющим антагонистическую активность в отношении гонадотропин-рилизинг гормона (GnRH), их получению и применению.
Уровень техники
Секреция гормонов передней доли гипофиза подвергается регулированию с обратной связью, осуществляемому периферическими гормонами, выделяемыми из органов-мишеней соответствующих гормонов, а также посредством регулирующих секрецию гормонов из гипоталамуса, который представляет собой высший связанный с центральной нервной системой орган передней доли гипофиза (здесь и далее в настоящем описании такие гормоны в собирательном значении названы “гормонами гипоталамуса”). В настоящее время подтверждено существование девяти типов гормонов, включая, например, тиреотропин-рилизинг гормон (TRH) и гонадотропин-рилизинг гормон [GnRH, иногда называемый LH-RH (рилизинг-гормон лютеинизирующего гормона]. Как полагают, гормоны гипоталамуса оказывают свое действие с помощью рецепторов, которые, как считают, существуют в передней доле гипофиза, в связи с чем предприняты попытки обнаружить экспрессию генов для рецепторов, специфичных для данных гормонов, включая гормоны человека. Соответственно, антагонисты или агонисты, специфически и селективно воздействующие на такие рецепторы, могли бы контролировать действие гормона гипоталамуса и секрецию гормона передней долей гипофиза. В результате, такие антагонисты или агонисты, как ожидают, могли бы использоваться для профилактики и лечения заболеваний, связанных с гормонами передней доли гипофиза.
Известные соединения, обладающие антагонистической активностью в отношении GnRH, включают линейные пептиды – производные GnRH (патент США 5140009 и патент США 5171835), циклическое гексапептидное производное (JP-A-61-191698), бициклическое производное пептида [Journal of Medicinal Chemistry, Vol. 36, pp. 3265-3273 (1993)] и т. д. Соединения, не являющиеся пептидами, обладающие антагонистической активностью в отношении GnRH, включают соединения, описанные в WO 95/28405 (JP-A-8-295693), WO 97/14697 (JP-A-9-169767), WO 97/14682 (JP-A-9-169735) и WO 96/24597 (JP-A-9-169768) и т. д.
Соединения-пептиды вызывают множество проблем, которые требуют решения, в связи с возможностью пероральной абсорбции, дозированием формы, объемом дозы, стабильностью лекарственного средства, продолжительностью действия, метаболической стабильностью. Имеется острая необходимость в антагонистах GnRH, пригодных для перорального введения, особенно основанных на соединениях, не являющихся пептидами, которые обладают превосходным терапевтическим действием на гормонозависимые раковые заболевания, например рак простаты, эндометриоз, преждевременная половая зрелость и т.д.; и не оказывают неустойчивого гипофизарно-гонадотропического действия (острое действие), а также характеризуются хорошей биодоступностью.
Краткое описание чертежей
На чертеже приведена процентная концентрация LH при исследовании плазмы обезьяны. На чертеже –
– представляет контрольную группу 1, –
– представляет контрольную группу 2, –
– представляет группу 1, получавшую соединение, –
– представляет группу 2, получавшую соединение, и –
– представляет группу 3, получавшую соединение, соответственно.
Сущность изобретения
Авторы настоящего изобретения исследовали различные соединения и в результате впервые обнаружили, следующие новые соединения, содержащие заместитель, группу формулы: -NH-CO-NR1R2, в которой каждое из обозначений является таким, как указано ниже, в пара-положении фенильной группы тиено[2,3-d]пиримидинового скелета, или их соль [далее иногда для краткости указываются как соединение формулы (I)]. Авторы настоящего изобретения также обнаружили, что соединение (I) неожиданно обладает прекрасной GnRH-антагонистической активностью, основанной на присутствии указанного выше особого заместителя, а также низкой токсичностью, и таким образом пригодно в качестве лекарственного средства, обладающего GnRH-антагонистической активностью, и на основе полученных данных создали настоящее изобретение.
в которой R1 и R2, каждый, представляет атом водорода, гидроксигруппу, C1-4 алкоксигруппу, C1-4 алкоксикарбонильную группу или C1-4 алкильную группу, которая может быть замещена;
R3 представляет атом водорода, атом галогена, гидроксигруппу или C1-4 алкоксигруппу, которая может быть замещена; или два соседних R3, взятые вместе, могут образовывать C1-4 алкилендиоксигруппу;
R4 представляет атом водорода или C1-4 алкильную группу;
R6 представляет C1-4 алкильную группу, которая может быть замещена, или группу формулы:
в которой R5 представляет атом водорода, или R4 и R5, взятые вместе, могут образовывать гетероцикл; и
n представляет целое число от 0 до 5.
Таким образом, настоящее изобретение относится:
[1] к соединению (I);
[2] к соединению согласно определенному выше пункту [1] или его соли, которые представляют собой соединение формулы:
в которой R1 и R2, каждый, представляет атом водорода, гидроксигруппу, C1-4 алкоксигруппу или C1-4 алкильную группу, которая может быть замещена; R3 представляет атом водорода, атом галогена или C1-4 алкоксигруппу; R4 представляет C1-4 алкильную группу; и R является таким, как определено выше;
[3] к соединению согласно определенному выше пункту [1] или его соли, где R1 представляет C1-3 алкоксигруппу;
[4] к соединению согласно определенному выше пункту [3] или его соли, где R2 представляет атом водорода;
[5] к соединению согласно определенному выше пункту [1] или его соли, где R3 представляет атом водорода;
[6] к соединению согласно определенному выше пункту [1] или его соли, где R6 представляет группу формулы:
в которой R5 является таким, как определено выше;
[7] к соединению согласно определенному выше пункту [2] или его соли, где R4 представляет C1-3 алкильную группу и R5 представляет атом водорода;
[8] к соединению согласно определенному выше пункту [1] или его соли, где n равно 1 или 2;
[9] к соединению согласно определенному выше пункту [1] или его соли, где R1 представляет (i) гидроксигруппу, (ii) C1-4 алкоксигруппу или (iii) C1-4 алкильную группу, которая может быть замещена гидрокси или 1-4 алкилкарбонилоксигруппой; R2 представляет атом водорода, C1-4 алкильную группу или C1-4 алкоксикарбонильную группу; R3 представляет атом водорода, атом галогена, гидроксигруппу или C1-4 алкокси-C1-4 алкоксигруппу; или два соседних R3, взятые вместе, могут образовывать C1-3 алкилендиоксигруппу; R4 представляет атом водорода или C1-3 алкильную группу; R6 представляет C1-4 алкокси-С1-4 алкильную группу или группу формулы:
в которой R5 представляет атом водорода, или R4 и R5, взятые вместе образуют 5- или 6-членный гетероцикл; и n равно 1 или 2;
[10] к соединению согласно определенному выше пункту [1] или его соли, где R1 представляет гидроксигруппу, метоксигруппу или C1-3 алкильную группу; R2 представляет атом водорода или C1-3 алкильную группу; R4 представляет C1-3 алкильную группу; R6 представляет бензильную группу; и n равно 0;
[11] к 5-(N-бензил-N-метиламинометил)-1-(2,6-дифторбензил)-6-[4-(3-метоксиуреидо)фенил]-3-фенилтиено[2,3-d]пиримидин-2,4(1Н,3Н)-диону или его соли;
[12] к способу получения соединения согласно пункту 1 или его соли, который заключается во взаимодействии соединения формулы:
в которой каждый символ имеет значение, которое определено выше, или его соли [ниже в настоящем описании иногда для краткости обозначается как “соединение (II)”] с карбонилдиимидазолом или фосгеном с последующим взаимодействием с соединением формулы
в которой каждый символ имеет значение, которое определено выше, или с его солью [ниже в настоящем описании иногда для краткости обозначается как “соединение (III)”];
[13] к фармацевтической композиции, которая содержит соединение согласно [1] или его соль;
[14] к фармацевтической композиции согласно [13], для антагонизации гонадотропин-рилизинг гормона;
[15] к фармацевтической композиции согласно [14], для профилактики или лечения половых, гормонально зависимых заболеваний;
[16] к способу антагонизации гонадотропин-рилизинг гормона у млекопитающих, нуждающихся в этом, который включает введение указанному млекопитающему эффективного количества соединения согласно [1] или его соли, с фармацевтически приемлемым эксципиентом, носителем или разбавителем;
[17] к применению соединения согласно [1] или его соли для производства фармацевтической композиции, для антагонизации гонадотропин-рилизинг гормона и так далее.
Значение каждого из символов в приведенной выше формуле далее раскрывается более подробно.
Термин “C1-4 алкоксигруппа” для R1 или R2 включает, например, метокси, этокси, пропокси, бутокси, изопропокси, трет-бутоксигруппу и т.д. Среди прочих предпочтительной является C1-3 алкоксигруппа. Более предпочтительной является метоксигруппа.
Термин “C1-4 алкоксикарбонильная группа” для R1 или R2 включает, например, метоксикарбонил, этоксикарбонил, пропоксикарбонил, изопропоксикарбонил, бутоксикарбонил, трет-бутоксикарбонил и т.д. Среди прочих предпочтительным является C1-3 алкоксикарбонил. Более предпочтительным является метоксикарбонил.
Термин “C1-4 алкильная группа” как часть термина “C1-4 алкильная группа, которая может быть замещена” для R1 или R2 включает, например, C1-4 алкильную группу с прямой цепью (например, метил, этил, пропил, бутил и т.д.), разветвленную С3-4 алкильную группу (например, изопропил, изобутил, втор-бутил, трет-бутил и т. д.) и так далее. Среди прочих, предпочтительной является C1-3 алкильная группа. Более предпочтительным является этил.
Термин “заместители” как часть термина “C1-4 алкильная группа, которая может быть замещена” для R1 или R2 включает, например, (i) гидрокси, (ii) C1-7 ацилокси (например, C1-6 алкилкарбонилокси, такой как ацетокси, пропионилокси и т.д.), (iii) бензоилокси, (iv) амино, который может быть замещен 1 или 2 заместителями, выбранными из группы, состоящей из C1-6 алкоксикарбонила (например, метоксикарбонила, этоксикарбонила, трет-бутоксикарбонила и т. д.), бензилоксикарбонила, C1-4 ацила (например, C1-3 алкилкарбонила, такого как ацетил, пропионил и т.д.), C1-4 алкила (например, метила, этила, пропила, бутила и т.д.) и 1-3 алкилсульфонила (например, метансульфонила и т. д.) и т. д. [например, амино, диметиламино, метоксикарбониламино, этоксикарбониламино, трет-бутоксикарбониламино, бензилоксикарбониламино, ацетиламино, метансульфониламино и т.д.], (v) C1-10 алкокси (например, метокси, этокси, пропокси, трет-бутокси и т.д.), (vi) С3-7 циклоалкилоксикарбонил-С1-3 алкокси (например, циклогексилоксикарбонилокси-1-этокси и т.д.), (vii) C1-3 алкокси-C1-3 алкокси (например, метоксиметокси, метоксиэтокси и т.д.) и так далее. Среди прочих предпочтительным является гидрокси.
“C1-4 Алкильная группа” как часть “C1-4 алкильной группы, которая может быть замещена” для R1 или R2 может содержать от 1 до 5, предпочтительно от 1 до 3 заместителей в возможных положениях, как указывалось выше, а в тех случаях, когда число заместителей составляет два или более, то заместители могут быть одинаковыми или отличаться один от другого.
Предпочтительно один из R1 и R2 является атомом водорода, а другой является C1-3 алкоксигруппой.
Термин “атом галогена” для R3 включает, например, фтор, хлор, бром, йод и т. д. Среди прочих предпочтительным является хлор.
Термин “C1-4 алкоксигруппа” как часть термина “C1-4 алкоксигруппа, которая может быть замещена” для R3 включает, например, метокси, этокси, пропокси, изопропокси, бутокси, трет-бутокси и т.д. Среди прочих предпочтительным является метокси.
Термин “заместители” как часть термина “C1-4 алкоксигруппа, которая может быть замещена” для R3 имеет те же самые значения, что и термин “заместители” как часть термина “C1-4 алкильная группа, которая может быть замещена” для R1 или R2. Среди прочих предпочтительной является C1-4 алкоксигруппа.
“C1-4 алкоксигруппа” может содержать от 1 до 5, предпочтительно от 1 до 3 заместителей в возможных положениях, как указывалось выше, а когда число заместителей составляет два или более, то заместители могут быть одинаковыми или отличаться один от другого.
Термин “C1-4 алкилендиоксигруппа” означает группу, образованную двумя соседними R3, и включает, например, метилендиокси, этилендиокси и т.д.
R3 предпочтительно означает атом водорода.
Термин “C1-4 алкильная группа” для R4 включает, например, C1-4 алкильную группу с прямой цепью (например, метил, этил, пропил, бутил и т.д.), разветвленную С3-4 алкильную группу (например, изопропил, изобутил, втор-бутил, трет-бутил и т. д.) и так далее. Среди прочих предпочтительной является C1-3 алкильная группа. Более предпочтительным является метил.
Термин “C1-4 алкильная группа, которая может быть замещена” для R6 имеет те же значения, как указывалось выше, что и термин “C1-4 алкильная группа, которая может быть замещена” для R1 или R2.
Термин “гетероцикл, образованный R4 и R5” включает, например, 5- или 6-членные N-содержащие гетероциклы и т. д. Примеры групп, когда R4 и R5, взятые вместе, образуют группу формулы:
включают группы формулы:
Среди прочих предпочтительной является группа формулы:
Предпочтительно R6 представляет группу формулы:
в которой R5 является таким, как определено выше.
Предпочтительно R4 представляет C1-3 алкил и R5 представляет атом водорода.
Предпочтительно n равно 1 или 2.
Предпочтительные примеры соединения (I) включают соединение (Ia).
Более предпочтительны такие соединения или их соли, в которых R1 представляет гидроксигруппу, метоксигруппу или C1-3 алкильную группу; R2 представляет атом водорода или C1-3 алкильную группу; R4 представляет C1-3 алкильную группу; R6 представляет бензильную группу; и n равно 0;
Среди прочих более предпочтительны такие соединения или их соли, в которых R1 представляет C1-3 алкоксигруппу; R2 и R5, каждый, представляет атом водорода; R4 представляет C1-3 алкильную группу; R6 представляет бензильную группу; и n равно 0;
Другие предпочтительные примеры соединения (I) включают соединения или их соли, в которых R1 представляет (i) гидроксигруппу, (ii) C1-4 алкоксигруппу или (iii) C1-4 алкильную группу, которая может быть замещена гидрокси или 1-4 алкилкарбонилоксигруппой; R2 представляет атом водорода, C1-4 алкильную группу или C1-4 алкоксикарбонильную группу; R3 представляет атом водорода, атом галогена, гидроксигруппу или C1-4 алкокси-C1-4 алкоксигруппу; или два соседних R3, взятые вместе, могут образовывать C1-3 алкилендиоксигруппу, R4 представляет атом водорода или C1-3 алкильную группу; R6 представляет C1-4 алкокси-С1-4 алкильную группу или группу формулы:
в которой R5 представляет атом водорода, или R4 и R5, взятые вместе, могут образовывать 5- или 6-членный гетероцикл; и n равно 1 или 2.
В качестве соединения (I) конкретно отмечаются:
5-(N-бензил-N-метиламинометил)-1-(2,6-дифторбензил)-6-[4-(3-метоксиуреидо)фенил]-3-фенилтиено[2,3-d]пиримидин-2, 4(1Н,3Н)-дион или его соль;
5-(N-бензил-N-метиламинометил)-1-(2,6-дифторбензил)-6-[4-(3-гидроксиуреидо)фенил]-3-фенилтиено[2,3-d]пиримидин-2, 4(1Н,3Н)-дион или его соль;
5-(N-бензил-N-метиламинометил)-1-(2,6-дифторбензил)-6-[4-(3-метилуреидо)фенил]-3-фенилтиено[2,3-d]пиримидин-2,4(1Н,3Н)-дион или его соль;
5-(N-бензил-N-метиламинометил)-1-(2,6-дифторбензил)-6-[4-(3-этилуреидо)фенил]-3-фенилтиено[2,3-d]пиримидин-2,4(1H,3Н) -дион или его соль и так далее.
Среди прочих предпочтительным является 5-(N-бензил-N-метиламинометил)-1-(2,6-дифторбензил)-6-[4-(3-метоксиуреидо)фенил]-3-фенилтиено[2,3-d]пиримидин-2,4(1Н,3Н)-дион или его соль.
Соли соединения (I) предпочтительно являются физиологически приемлемыми аддитивными солями кислот. Такие соли включают, например, соли с неорганическими кислотами (например, с хлористо-водородной кислотой, бромисто-водородной кислотой, азотной кислотой, серной кислотой, фосфорной кислотой), соли с органическими кислотами (например, с муравьиной кислотой, уксусной кислотой, трифторуксусной кислотой, фумаровой кислотой, щавелевой кислотой, винной кислотой, малеиновой кислотой, лимонной кислотой, янтарной кислотой, яблочной кислотой, метансульфоновой кислотой, бензолсульфоновой кислотой, п-толуолсульфоновой кислотой и т.д.) и так далее. В тех случаях, когда соединение (I) содержит кислотную группу, оно может образовывать физиологически приемлемую соль с неорганическим основанием (например, с щелочными и щелочно-земельными металлами, такими как натрий, калий, кальций, магний, и аммиаком) или с органическим основанием (например, с триметиламином, триэтиламином, пиридином, пиколином, этаноламином, диэтаноламином, триэтаноламином, дициклогексиламином, N,N’-дибензилэтилендиамином и т.д.).
Соединение (I) может быть получено любым известным по существу способом, например, согласно раскрытому в JP-A-9-169768, WO 96/24597 или аналогичными способами. Конкретной ссылкой являются следующие способы получения 1 и получения 2. Соединения (II)-(VII), описанные в следующих способах, включают и их соли. Что касается, например, их солей, то указания на них являются такими же, как и для солей соединения (I).
Способ получения 1
В приведенной выше формуле L представляет удаляемую группу, а другие символы являются такими же, как определено выше.
Термин “удаляемая группа”, относящийся к L, включает, например, 1-имидазолил, галоген, алкоксигруппу, которая может быть замещенной, и т.д. Термин “алкоксигруппа, которая может быть замещенной” включает, например, C1-4 алкоксигруппу, которая может быть замещена от 1 до 3 атомами галогена, например, такими как хлор, бром и т.д. (например, 2,2,2-трихлорэтокси и т.д.).
Соединение (II) может быть получено способами, раскрытыми в JP-A-9-169768, или аналогичными им способами.
Соединение (I) может быть получено взаимодействием соединения (II) с карбонилдиимидазолом (N,N’-карбонилдиимидазолом; CDI) или с фосгеном (мономером, димером или тримером) с образованием соединения (IV), с последующим взаимодействием с соединением (III). Реакция может быть проведена без выделения соединения (IV), либо соединение (IV) может быть использовано в очищенном виде в последующей реакции.
Соединение (IV) также может быть получено взаимодействием соединения (II), например, с соединением – эфиром хлормуравьиной кислоты (например, 2,2,2-трихлорэтиловым эфиром хлормуравьиной кислоты, 1-хлорэтиловым эфиром хлормуравьиной кислоты и т.д.).
При взаимодействии соединения (II) с карбонилдиимидазолом или фосгеном и т. д. карбонилдиимидазол или фосген и т. д. используют в количестве примерно от 1 до 3 молей на один моль соединения (II).
Данную реакцию преимущественно проводят в растворителе, инертном по отношению к данной реакции.
Примеры растворителей включают простые эфиры (например, такие как этиловый эфир, диоксан, диметоксиэтан, тетрагидрофуран и т.д.), ароматические углеводороды (например, такие как бензол, толуол и т. д.), амиды (например, такие как диметилформамид, диметилацетамид и т.д.), галогенированные углеводороды (например, такие как хлороформ, дихлорметан и т.д.) и так далее. Температура реакции обычно составляет примерно от 0 до 150°С, предпочтительно реакцию проводят при комнатной температуре (примерно от 15 до 25°С). Время проведения реакции обычно составляет примерно от 1 до 36 часов.
Данную реакцию также проводят в присутствии основания. Примерами такого основания являются неорганические основания, например, такие как карбонат натрия, гидрокарбонат натрия, карбонат калия, гидрокарбонат калия, гидроксид натрия, гидроксид калия и гидроксид таллия, и органические основания, например, такие как триэтиламин и пиридин и т.д.
Количество такого основания составляет примерно от 2 до 20 молей, преимущественно примерно от 5 до 12 молей на 1 моль соединения (II).
Последующая реакция с соединением (III) может быть проведена в тех же самых условиях, что и указанная выше реакция соединения (II) с карбонилдиимидазолом или фосгеном. Количество соединения (III) составляет примерно от 2 до 20 молей, преимущественно примерно от 5 до 10 молей, на 1 моль соединения (II) или соединения (IV). Температура реакции обычно составляет примерно от 0 до 150°С, предпочтительно реакцию проводят при комнатной температуре (примерно от 15 до 25°С). Время проведения реакции обычно составляет примерно от 1 до 6 часов.
Соединение (III) и карбонилдиимидазол или фосген могут взаимодействовать с соединением (II) в одно и то же время.
Способ получения 2
В приведенной выше формуле R7 представляет атом водорода или алкильную группу, R8 представляет алкильную группу, а остальные символы являются такими, как указано выше.
“C1-4 алкильная группа” для R7 или R8 включает, например, “C1-4 алкильную группу”, которая является “C1-4 алкильной группой, которая может быть замещена” для R1 или R2.
Соединение (V) может быть получено любым известным по существу способом, например, взаимодействием п-нитрофенилацетона со сложным эфиром циануксусной кислоты и серой [например. Chem. Ber., 99, 94-100 (1966)] и последующей реакцией полученного таким образом 2-амино-4-метил-5-(4-нитрофенил)тиофена по способу, раскрытому в JP-A-169768, WO 96/24597, или по способу, аналогичному указанным способам.
1) В том случае, когда R7 представляет атом водорода, соединение (I) может быть получено взаимодействием соединения (V) с соединением формулы:
в которой каждый из символов является таким, как указано выше, или его солью [далее иногда для краткости указываются как соединение (VI)], в присутствии конденсирующего агента с получением соединения (VII), которое затем подвергают циклизации.
“Конденсирующий агент” включает, например, бензотриазол-1-илокситрипирролидинофосфонийгексафторфосфат (РуВОР) и т. д.
Количество “конденсирующего агента” составляет примерно от 1 до 3 молей на один моль соединения (V).
Данную реакцию преимущественно проводят в растворителе, инертном по отношению к данной реакции.
Примеры растворителей включают спирты (например, этанол, метанол и т.д.), ароматические углеводороды (например, бензол, толуол и т.д.), амиды (например, диметилформамид, диметилацетамид и т.д.), галогенированные углеводороды (например, хлороформ, дихлорметан и т.д.) и так далее. Температура реакции обычно составляет примерно от 0 до 150°С, предпочтительно реакцию проводят при комнатной температуре (примерно от 15 до 25°С). Время проведения реакции обычно составляет примерно от 1 до 36 часов.
Продукт, полученный указанным выше способом, может быть использован в следующей реакции неочищенным, еще находящимся в реакционной смеси, или может быть выделен из реакционной смеси любым обычным способом.
Соединение (VII) подвергают циклизации в присутствии основания.
Примерами такого основания являются неорганические основания, например, такие как метоксид натрия, карбонат натрия, гидрокарбонат натрия, карбонат калия, гидрокарбонат калия, гидроксид натрия, гидроксид калия и гидроксид таллия, и органические основания, например, такие как триэтиламин и пиридин и т.д.
Количество такого основания составляет примерно от 2 до 20 молей, преимущественно примерно от 5 до 12 молей, на 1 моль соединения (VII).
Данную реакцию преимущественно проводят в растворителе, инертном по отношению к данной реакции.
Примеры растворителей включают спирты (например, этанол, метанол и т.д.), ароматические углеводороды (например, бензол, толуол и т.д.), амиды (например, диметилформамид, диметилацетамид и т.д.), галогенированные углеводороды (например, хлороформ, дихлорметан и т.д.) и так далее.
Температура реакции обычно составляет примерно от 0 до 150°С, предпочтительно реакцию проводят при комнатной температуре (примерно от 15 до 25°С). Время проведения реакции обычно составляет примерно от 1 до 36 часов.
2) В том случае, когда R7 представляет алкильную группу, соединение (I) может быть получено взаимодействием соединения (V) с активированным соединением (VI).
Активированное соединение (VI) может быть получено любым известным по существу способом, например взаимодействием алюминийорганического реагента с соединением (VI) в растворителе, инертном по отношению к реакционной смеси.
Термин “алюминийорганический реагент” включает, например, триметилалюминий, диметилалюминийхлорид и т.д. и растворы, содержащие указанные соединения и т.д.
Количество алюминийорганического реагента составляет примерно от 1 до 5 молей, преимущественно примерно 1 моль на один моль соединения (VI).
Примеры растворителей включают галогенированные углеводороды (например, хлороформ, дихлорметан и т.д.) и так далее.
Температура реакции обычно составляет примерно от 0 до 150°С, предпочтительно реакцию проводят при комнатной температуре (примерно от 15 до 25°С). Время проведения реакции обычно составляет примерно от 1 до 6 часов.
Циклизацию можно осуществлять взаимодействием соединения (V) с активированным соединением (VI) с получением при этом соединения (I).
Количество соединения (V) составляет примерно 1/5 объема смеси соединения (VI) и алюминийорганического реагента.
Данную реакцию преимущественно проводят в растворителе, инертном по отношению к данной реакции.
Такой растворитель является таким же, как растворители, используемые в реакции получения активированного соединения (VI).
Температура реакции обычно составляет примерно от 0 до 150°С, предпочтительно реакцию проводят при комнатной температуре (примерно от 15 до 25°С). Время проведения реакции обычно составляет примерно от 1 до 48 часов.
Соединение (I) может быть выделено и очищено обычными методами разделения, например, такими как перекристаллизация, дистилляция и хроматография, и т.д.
В том случае, когда соединение (I) получают в свободном виде, оно может быть превращено в соль по существу известными способами и аналогичными им способами. В том случае, когда соединение (I) получают в виде соли, оно может быть переведено в свободную форму или превращено в другую соль по существу известными способами и аналогичными им способами.
Соединение (I) может находиться в гидратированной или негидратированной форме. Примером гидратированной формы являются моногидрат, полуторагидрат и дигидрат.
В том случае, когда соединение (I) получают в виде смеси оптически активных изомеров, смесь может быть разделена на R- и S-формы с использованием обычных способов разделения оптических изомеров.
В соединение (I) может быть введена изотопная метка (например, 3H, 14С, 35S и т.д.).
Соединение (I), являющееся предметом настоящего изобретения (далее также указывается как соединение настоящего изобретения), обладает высокой GnRH-антагонистической активностью и низкой токсичностью. В дополнение к этому, оно обладает отличными характеристиками пероральной абсорбции, устойчивостью действия, стабильностью и хорошими фармакокинетическими показателями.
Кроме того, оно может быть легко получено. Соединение настоящего изобретения может быть, таким образом, безопасно использовано для профилактики и/или лечения заболеваний млекопитающих (например, заболеваний человека, обезьяны, быка, лошади, собаки, кошки, кролика, крысы, мыши и т.д.), зависящих от мужских и женских гормонов, заболеваний вследствие избытка таких гормонов, например, подавлением секреции гонадотропина путем соответствующего антагонистического действия в отношении GnRH-рецепторов для того, чтобы контролировать концентрацию половых гормонов в плазме.
Например, соединение настоящего изобретения может быть полезно для профилактики и/или лечения раковых заболеваний, зависящих от половых гормонов (например, таких как рак простаты, рак матки, рак молочной железы, опухоль гипофиза и т.д.), гипертрофии простаты, миомы матки, эндометриоза, преждевременного полового созревания, аменореи, предменструального синдрома, ячеистого синдрома яичника, образования узелков и т.д. Соединение настоящего изобретения может также быть полезно для регулирования репродуктивности у мужчин и женщин (например, регуляторы беременности, регуляторы менструального цикла и т.д.). Соединение настоящего изобретения может также быть полезно в качестве контрацептива для мужчин и женщин или в качестве средства, способствующего овуляции. На основе восстановления функций после прекращения его приема соединение настоящего изобретения может быть использовано для лечения бесплодия.
В дополнение к этому, соединение настоящего изобретения полезно для регулирования периода течки у животных, улучшения качества мяса и стимулирования роста животных в животноводстве. Соединение настоящего изобретения также полезно для стимулирования нереста рыб в рыболовстве.
Соединение настоящего изобретения также может быть использовано для подавления кратковременного повышения концентрации в плазме тестостерона (явление прилива крови к лицу), наблюдающегося при введении суперагониста GnRH, например, такого как лейпрорелинацетат. Соединение настоящего изобретения также может быть использовано в комбинации с суперагонистами GnRH, например, такими как лейпрорелинацетат, гонадрелин, бусерелин, трипторелин, госерелин, нафарелин, гистрелин, деслорелин, метерелин, лецирелин и так далее. Среди них предпочтительным является лейпрорелинацетат.
Также выгодно использовать соединение настоящего изобретения вместе (в комбинации или в дополнение) с, по меньшей мере, одним из членов, выбранных из группы, включающей стероидный или нестероидный андрогенный антагонист или антиэстроген, химиотерапевтическое средство, пептид-антагонист GnRH, ингибитор
-редуктазы, ингибитор
-гидроксистероиддигидрогеназы, ингибитор продуцирования андрогена надпочечниками, ингибитор протеинкиназы, лекарственное средство для гормональной терапии и лекарственное средство, являющееся антагонистом фактора роста и соответствующих ему рецепторов и другие.
Термин “химиотерапевтическое средство”, приведенный выше, включает ифозфамид, UTF, адриамицин, пепломицин, цисплатин, циклофосфамид, 5-FU, UFT, метотрексат, митомицин С, митоксантрон и т.д.
Термин “пептид-антагонист GnRH”, приведенный выше, включает пептиды-антагонисты гормона GnRHh, не используемые для перорального применения, такие как цетрореликс, ганиреликс, абареликс и т.д.
Термин “ингибитор продуцирования андрогена надпочечниками”, приведенный выше, включает ингибиторы лиазы (C17, 20-лиазы) и т.д.
Термин “ингибитор протеинкиназы”, приведенный выше, включает ингибитор тирозинкиназы и т.д.
Термин “лекарственное средство для гормональной терапии”, приведенный выше, включает антиэстрогены, прогестероны (например, МРА и т.д.), андрогены, эстрогены и антагонисты андрогена и другие лекарственные средства.
Фактором роста может быть любое вещество, которое промотирует пролиферацию клеток и, как правило, термин “фактор роста” включает пептиды с молекулярным весом не более 20000, которые проявляют действие при низких концентрациях через связывание с рецепторами.
В особенности могут быть приведены (1) EGF (эпидермальный фактор роста) или вещества, имеющие по существу тот же самый вид активности (например, EGF, герегулин (НЕR2-лиганд), и т.д., (2) инсулин или вещества, имеющие по существу тот же самый вид активности (например, инсулин, IGF (инсулиноподобный фактор роста)-1, IGF-2 и т.д.), (3) FGF (фактор роста фибробластов) или вещества, имеющие по существу тот же самый вид активности (aFGF, bFGF, KGF (фактор роста кератиноцитов), HGF (фактор роста гепатоцитов), FGF-10 и т.д.), и (4) другие факторы роста (например, CSF (фактор стимулирования колоний), ЕРО (эритропоэтин), IL-2 (интерлейкин-2), NGF (фактор роста нервов), PDGF (фактор роста производных тромбоцитов) и TGF
-диацетилацетоуксусную кислоту и сорбиновую кислоту. Предпочтительные антиоксиданты включают, например, сульфиты и аскорбиновую кислоту.
При использовании общеизвестных методов добавления суспендирующих агентов, средств, способствующих растворению, стабилизаторов, изотонических агентов, консервантов и так далее, соединение настоящего изобретения может быть приготовлено в виде средства для внутривенных, подкожных и внутримышечных инъекций. В таких случаях соединение настоящего изобретения может быть высушено вымораживанием, при необходимости, с использованием общеизвестных методов. При введении человеку соединение настоящего изобретения может быть, например, безопасно введено перорально или неперорально как таковое или в виде фармацевтической композиции, полученной смешением с фармацевтически приемлемым носителем, эксципиентом или разбавителем, выбранными подходящим образом.
Такие фармацевтические композиции включают препараты для перорального введения (например, порошки, гранулы, капсулы, таблетки), препараты для инъекций, капельного внутривенного вливания, препараты для наружного применения (например, препараты для введения в нос, трансдермальные препараты) и суппозитории (например, ректальные суппозитории, вагинальные суппозитории).
Такие препараты могут быть приготовлены общеизвестными способами, обычно используемыми для изготовления фармацевтических средств.
Препараты для инъекций могут быть получены, например, приготовлением соединения настоящего изобретения в виде водного раствора для инъекций вместе с диспергирующим средством (например, таким как Твин 80, производимым Atlas Powder Company, США, средство НСО 60, производимое Nikko Chemical Cj., Ltd., полиэтиленгликоль, карбоксиметилцеллюлоза, альгинат натрия), консервантом (например, таким как метилпарабен, пропилпарабен, бензиловый спирт) и изотоническим средством (например, таким как хлорид натрия, маннит, сорбит, глюкоза) и другими добавками, или в виде масляного препарата для инъекций, в виде раствора, суспензии или эмульсии в растительном масле, например, таком как оливковое масло, кунжутное масло, хлопковое масло или кукурузное масло, пропиленгликоль или тому подобное.
Препараты для перорального введения могут быть получены путем изготовления общеизвестными методами по рецептуре, включающей соединение настоящего изобретения с добавлением эксципиента (например, такого как лактоза, сахароза, крахмал), средства, способствующего распаду лекарственной формы (например, такого как крахмал, карбонат кальция), связующего (например, такого как крахмал, аравийская камедь, карбоксиметилцеллюлоза, поливинилпирролидон, гидроксипропилцеллюлоза), смазывающего вещества, (например, такого как тальк, стеарат магния, полиэтиленгликоль 6000) и других добавок, и в тех случаях, когда в этом есть необходимость, нанесения покрытия на приготовленный продукт общеизвестными методами в целях маскировки вкуса, растворения в желудочно-кишечном тракте или для замедленного высвобождения. Средства для нанесения покрытия для этих целей включают, например, гидроксипропилметилцеллюлозу, этилцеллюлозу, гидроксиметилцеллюлозу, этилцеллюлозу, гидроксиметилцеллюлозу, гидроксипропилцеллюлозу, полиоксиэтиленгликоль, Твин 80, Прулоник F 68, фталат ацетатцеллюлозы, фталат гидроксипропилметилцеллюлозы, ацетат-сукцинат гидроксиметилцеллюлозы, “Eudgradit” производства фирмы “Rohm Company”, Германия, сополимер акриловой кислоты и метакриловой кислоты) и красители (например, оксид железа, диоксид титана). Для препаратов с энтеросолюбильной оболочкой может быть предусмотрено получение общеизвестными методами промежуточной фазы между энтеросолюбильной оболочкой и фазой, содержащей лекарственное средство, для разделения этих двух фаз.
Препараты для наружного применения могут быть получены путем смешения соединения настоящего изобретения с получением твердой, полутвердой или жидкой композиции общеизвестными методами. Такую твердую композицию получают, например, путем измельчения в порошок соединения настоящего изобретения самого по себе или в смеси с эксципиентом (например, таким как гликоль, маннит, крахмал, микрокристаллическая целлюлоза), загустителем (например, таким как натуральный каучук, производное целлюлозы, полимер акриловой кислоты) и другими добавками. Такую жидкую композицию получают приготовлением соединения настоящего изобретения в виде суспензии в масле или в воде почти таким же точно образом, как и препарат для инъекций. Полутвердая композиция предпочтительно представляет собой водный или масляный гель или мазь. Все эти композиции могут содержать регуляторы рН (например, такие как карбоновая кислота, фосфорная кислота, лимонная кислота, хлористо-водородная кислота, гидроксид натрия), консерванты (например, такие как сложные эфиры пара-оксибензойной кислоты, хлорбутанол, бензалконий хлорид) и другие добавки.
Суппозитории получают приготовлением общеизвестными методами соединения настоящего изобретения в виде содержащей масло или воду твердой, полутвердой или жидкой композиции. Подходящие масляные основы для таких композиций включают глицериды высших жирных кислот (например, масло какао, продукт “uitepsols”, производимый фирмой “Dynamite Nobel Company”, Германия), средние жирные кислоты (например, “MYGLYOL”, производимый фирмой “Dynamite Nobel Company”, Германия) и растительные масла (например, кунжутное масло, соевое масло, хлопковое масло). Водные основы включают, например, полиэтиленгликоль и пропиленгликоль. Основы для водных гелей включают, например, натуральные каучуки, производные целлюлозы, виниловые полимеры и полимеры акриловой кислоты.
Наилучший способ осуществления изобретения
Далее настоящее изобретение описывается более подробно путем приведения (но не ограничения) следующих ссылочных примеров, примеров приготовления лекарственных средств и экспериментальных примеров. Спектры 1H-ЯМР снимали с использованием в качестве внутреннего стандарта тетраметилсилана на спектрометре Varian GEVINI 200 (200 МГц), на спектрометре JEOL LAMBDA 300 (300 МГц) или на спектрометре Bruker AM 500 (500 МГц); все значения
приведены в м.д. Кроме тех случаев, когда это специально указано, “%” указываются по массе. Выход кратко обозначается моль/моль, %.
Другие обозначения, используемые в настоящем описании, имеют следующие значения:
с: синглет,
д: дублет,
т: триплет,
дв. т: двойной триплет,
м: мультиплет,
шир: широкий,
ТФУ: трифторуксусная кислота (TFA)
ТГФ: тетрагидрофуран (THF),
Me: метил,
Et: этил.
Термин “комнатная температура” обозначает интервал температуры примерно от 15 до 25°С, но не должен толковаться как строго ограничивающий.
Примеры
Ссылочный пример 1
Этил 2-амино-4-метил-5-(4-нитрофенил)тиофен-3-карбоксилат
Смесь 4-нитрофенилацетона (35,0 г, 195 ммоль), этилцианоацетата (23,8 г, 195 ммоль), ацетата аммония (3,1 г, 40 ммоль) и уксусной кислоты (9,1 мл, 159 ммоль) кипятят с обратным холодильником в течение 24 часов, с удалением образующейся в ходе реакции воды с помощью ловушки Дина-Старка. После охлаждения реакционную смесь концентрируют при пониженном давлении, и полученный остаток распределяют между дихлорметаном и водным раствором гидрокарбоната натрия. Органический экстракт промывают водным раствором хлорида натрия и сушат (MgSO4), растворитель отгоняют при пониженном давлении. Полученный остаток хроматографируют на силикагеле, получая при этом вещество в виде масла. Полученное таким образом масло растворяют в этаноле, после чего добавляют серу (5,0 г, 160 ммоль) и диэтиламин (16,0 мл, 160 ммоль), и полученную смесь перемешивают при температуре от 60 до 70°С в течение 2 часов. После охлаждения реакционную смесь концентрируют при комнатной температуре при пониженном давлении, получая при этом остаток, который распределяют между дихлорметаном и водным раствором гидрокарбоната натрия. Органический экстракт промывают водным раствором хлорида натрия и сушат (MgSO4), растворитель отгоняют при пониженном давлении. Полученный остаток хроматографируют на силикагеле, получая при этом неочищенный продукт, который перекристаллизовывают из смеси эфир-гексан, получая при этом указанное в заглавии соединение в виде красных пластинок (22,2 г, 52%).
Т. пл. 168-170°С (перекристаллизовано из смеси эфир-гексан).
1H-ЯМР (200 МГц, CDCl3),
К раствору соединения, полученного согласно ссылочному примеру 1 (5,00 г, 16,32 ммоль), в пиридине (30 мл) добавляют фенилизоцианат (2,66 мл, 24,48 ммоль). После 6 часов перемешивания при 45°С реакционную смесь концентрируют при пониженном давлении и полученный остаток растворяют в этаноле (6 мл). К этому раствору добавляют 28% метоксид натрия (7,86 г, 40,80 ммоль), и полученную смесь перемешивают при комнатной температуре в течение 2 часов. Затем добавляют 2 н. раствор хлористо-водородной кислоты и отгоняют растворитель – этанол при пониженном давлении. Остаток отфильтровывают, промывают смесью вода-этанол и перекристаллизовывают из этанола, получая при этом указанное в заглавии соединение в виде желтого порошка (6,09 г, 98%).
Т.пл.: >300°С.
1H-ЯМР (300 МГц, СDСl3),
К раствору соединения, полученного согласно ссылочному примеру 2 (52,54 г, 0,131 ммоль), в N,N-диметилформамиде (1,0 л) добавляют карбонат калия (19,00 г, 0,138 моль), иодид калия (22,90 г, 0,138 моль) и 2,6-дифторбензилхлорид (22,40 г, 0,138 моль), полученную смесь перемешивают при комнатной температуре в течение 2 часов. Затем реакционную смесь концентрируют при пониженном давлении, получая при этом остаток, который распределяют между хлороформом и водным раствором хлорида натрия. Водный слой экстрагируют хлороформом. Объединенные экстракты промывают водным раствором хлорида натрия и сушат (MgSO4), растворитель отгоняют при пониженном давлении. Полученный остаток хроматографируют на силикагеле, получая при этом указанное в заглавии соединение в виде светло-желтых кристаллов (61,50 г, 93%).
Т.пл. 280-282°С.
1H-ЯМР (30 МГц, CDCl3),
Смесь соединения, полученного согласно ссылочному примеру 3 (30,34 г, 0,060 моль), N-бромсукцинимида (12,81 г, 0,072 моль),
К раствору соединения, полученного согласно ссылочному примеру 4 (80,00 г, 0,119 моль), в N,N-диметилформамиде (600 мл) при охлаждении льдом добавляют этилдиизопропиламин (27,00 мл, 0,155 моль) и бензилметиламин (18,45 мл, 0,143 моль). Через 2 часа перемешивания при комнатной температуре реакционную смесь концентрируют, и полученный остаток распределяют между этилацетатом и насыщенным водным раствором гидрокарбоната натрия. Водный слой экстрагируют этилацетатом. Органические экстракты объединяют и сушат (МgSO4), после чего растворитель отгоняют при пониженном давлении. Остаток хроматографируют на силикагеле, получая при этом желтое масло (74,90 г, 100%), которое перекристаллизовывают из этилацетата, получая при этом указанное в заглавии соединение в виде желтых игл.
Т. пл.: 173-174°С.
1H-ЯМР (300 МГц, CDCl3) [свободный амин],
К раствору соединения, полученного согласно ссылочному примеру 5 (3,00 г, 4,80 ммоль), в муравьиной кислоте (30 мл) добавляют при охлаждении льдом 1 М раствор хлористого водорода в эфире (14,4 мл, 14,4 моль) и 10%-ный палладий на углероде (300 мг), и проводят гидрирование при атмосферном давлении при комнатной температуре при постоянном перемешивании в течение 2 часов. Полученную таким образом реакционную смесь фильтруют через целит и концентрируют при пониженном давлении. Полученный остаток распределяют между дихлорметаном и насыщенным водным раствором гидрокарбоната натрия. Водный слой экстрагируют дихлорметаном, органические экстракты объединяют и сушат (MgSO4). Растворитель отгоняют при пониженном давлении. Полученный остаток хроматографируют на силикагеле, получая при этом указанное в заглавии соединение в виде белых кристаллов (2,41 г, 84%).
Т. пл.: 205-207°С.
1H-ЯМР (300 МГц, CDCl3),
К раствору соединения, полученного согласно примеру получения соединения №1 (2,00 г, 3,00 ммоль), описанному ниже, в тетрагидрофуране (90 мл) добавляют 1-хлорэтилхлорформиат (0,42 мл, 3,89 ммоль) при -78°С. Реакционной смеси дают нагреться до комнатной температуры, и перемешивают смесь в течение 2 часов. Реакционную смесь распределяют между хлороформом и водным раствором хлорида натрия, затем водный слой экстрагируют хлороформом. Экстракты объединяют, промывают водным раствором хлорида натрия и сушат (МgSO4), растворитель отгоняют при пониженном давлении. Полученный остаток хроматографируют на силикагеле, получая при этом указанное в заглавии соединение в виде белого порошка (1,68 г, 96%).
Т. пл.: 217-219°С.
1H-ЯМР (300 МГц, СDСl3),
Выход: 64%.
Т. пл.: 190-194°С.
Соединение согласно ссылочному примеру №8-2
Выход: 91%.
Т. пл.: 210-215°С.
Соединение согласно ссылочному примеру №8-3
Выход: 82%.
Т. пл.: 254-257°С.
Ссылочный пример 9
Этил 2-этоксикарбониламино-4-метил-5-(4-нитрофенил)тиофен-3-карбоксилат
Соединение, полученное согласно ссылочному примеру 1 (500 мг, 1,63 ммоль), растворяют в толуоле (9 мл), затем добавляют этилхлорформиат (0,19 мл, 1,96 ммоль), и полученную смесь кипятят с обратным холодильником в течение 5 часов. После охлаждения реакционную смесь концентрируют при пониженном давлении. Остаток хроматографируют на силикагеле, получая при этом указанное в заглавии соединение в виде желтого порошка (90 мг, 79%).
Т.пл.: 130-131°С (перекристаллизовано из смеси этилацетат-гексан).
1H-ЯМР (200 МГц, CDCl3),
К раствору соединения, полученного согласно ссылочному примеру 9 (490 мг, 1,30 моль), в N,N-диметилформамиде (20 мл) добавляют карбонат калия (196 мг, 1,42 моль), йодид калия (236 мг, 1,42 моль) и 2,6-дифторбензилхлорид (232 мг, 1,42 ммоль), и полученную смесь перемешивают при комнатной температуре в течение 5 часов. Реакционную смесь концентрируют, и остаток распределяют между хлороформом и водным раствором хлорида натрия. Водный слой экстрагируют хлороформом. Органические экстракты объединяют и промывают водным раствором хлорида натрия, затем сушат (MgSO4), и отгоняют растворитель при пониженном давлении. Полученный остаток хроматографируют на силикагеле и полученный аморфный порошок перекристаллизовывают из метанола, получая при этом указанное в заглавии соединение в виде желтых порошкообразных кристаллов (520 мг, 79%).
Т. пл.: 91-92°С.
1H-ЯМР (300 МГц, СDСl3),
Смесь соединения, полученного согласно ссылочному примеру 10 (20 г, 39,64 моль), N-бромсукцинимида (7,76 г, 43,60 моль),
К раствору соединения, полученного согласно ссылочному примеру 11 (2,0 г, 3,43 ммоль), в N,N-диметилформамиде (20 мл) при охлаждении льдом добавляют этилдиизопропиламин (0,90 мл, 5,15 моль) и бензилметиламин (0,53 мл, 4,11 ммоль), и смесь перемешивают при комнатной температуре в течение 3 часов. Реакционную смесь концентрируют, и полученный остаток распределяют между этилацетатом и насыщенным водным раствором гидрокарбоната натрия. Водный слой экстрагируют этилацетатом. Органические экстракты объединяют и сушат (MgSO4), после чего растворитель отгоняют при пониженном давлении. Остаток хроматографируют на силикагеле, получая при этом указанное в заглавии соединение в виде желтого масла (2,1 г, 48%).
1Н-ЯМР (300 МГц, CDCl3),
К раствору соединения, полученного согласно ссылочному примеру 12 (10,0 г, 16,03 ммоль), в муравьиной кислоте (100 мл) добавляют при охлаждении льдом 1 М раствор НСl в эфире (48 мл, 48 ммоль) и 10%-ный палладий на углероде (1000 мг), и проводят гидрирование при атмосферном давлении при комнатной температуре в течение 5 часов. Полученную таким образом реакционную смесь фильтруют, используя целит (Celite), и фильтрат концентрируют при пониженном давлении. Полученный остаток распределяют между дихлорметаном и насыщенным водным раствором гидрокарбоната натрия, водный слой экстрагируют дихлорметаном. Органические экстракты объединяют и сушат (МgSО4), растворитель отгоняют при пониженном давлении. Остаток хроматографируют на силикагеле, получая при этом указанное в заглавии соединение в виде белого аморфного порошка (7,9 г, 83%).
1H-ЯМР (300 МГц, CDCl3),
К раствору соединения, полученного согласно ссылочному примеру 13 (0,9 г, 1,52 ммоль), в дихлорметане (20 мл) при охлаждении льдом добавляют триэтиламин (0,43 мл, 3,09 ммоль). К раствору при охлаждении льдом добавляют N,N’-карбонилдиимидазол (0,492 г, 3,03 ммоль), смеси дают нагреться до комнатной температуры и перемешивают в течение 48 часов. Реакционную смесь повторно охлаждают льдом и добавляют гидрохлорид O-метилгидроксиламина (1,27 г, 15,2 ммоль), триэтиламин (2,2 мл, 15,8 ммоль) и дихлорметан (5 мл). Реакционной смеси дают нагреться до комнатной температуры и перемешивают в течение 3 часов. Реакционную смесь распределяют между хлороформом и водным раствором гидрокарбоната натрия, водный слой экстрагируют хлороформом. Органические экстракты объединяют, промывают водным раствором хлорида натрия и сушат (МgO4), растворитель отгоняют при пониженном давлении. Остаток хроматографируют на силикагеле, получая при этом указанное в заглавии соединение в виде светло-желтого аморфного порошка (0,93 г, 92%).
1H-ЯМР (300 МГц, CDCl3),
К раствору соединения, полученного согласно ссылочному примеру 14 (0,1 г, 0,15 ммоль), в этаноле (2,5 мл) добавляют 2 н. раствор гидроксида натрия в воде (0,37 мл, 0,74 ммоль). Реакционную смесь перемешивают при комнатной температуре в течение 1 часа и дополнительно при 55°С в течение 18 часов. После охлаждения реакционную смесь нейтрализуют 2 н. раствором хлористо-водородной кислоты и распределяют между этилацетатом и насыщенным водным раствором гидрокарбоната натрия. Водный слой экстрагируют этилацетатом. Органические экстракты объединяют, промывают водным раствором хлорида натрия и сушат (MgSO4), растворитель отгоняют при пониженном давлении. Остаток хроматографируют на силикагеле, получая при этом указанное в заглавии соединение в виде бесцветного аморфного порошка (0,078 г, 81%).
1H-ЯМР (200 МГц, СDСl3),
К раствору соединения, полученного согласно ссылочному примеру 15 (0,80 г, 1,23 ммоль), триэтиламина (0,88 мл, 6,31 ммоль) и 4-метоксиметоксианилина (0,96 г, 6,27 ммоль) в дихлорметане (25 мл) при охлаждении льдом добавляют бензотриазол-1-илокситрипирролидинофосфонийгексафторфосфат (РуВОР) (0,72 г, 1,38 ммоль). Смеси дают нагреться до комнатной температуры и перемешивают в течение 14 часов. Реакционную смесь распределяют между хлороформом и насыщенным водным раствором гидрокарбоната натрия, водный слой экстрагируют хлороформом. Органические экстракты объединяют, промывают водным раствором хлорида натрия и сушат (MgSO4), растворитель отгоняют при пониженном давлении. Остаток хроматографируют на силикагеле, получая при этом указанное в заглавии соединение в виде светло-желтого аморфного порошка (0,82 г, 93%).
1H-ЯМР (300 МГц, CDCl3),
К раствору соединения, полученного согласно ссылочному примеру 11 (12,82 г, 22,0 ммоль), добавляют этилдиизопропиламин (7,7 мл, 44,2 ммоль) и N-(2-метоксиэтил)метиламин (3,5 мл, 32,6 ммоль) в этилацетате (120 мл). Смесь перемешивают в течение 20 часов при комнатной температуре. Реакционную смесь распределяют между этилацетатом и насыщенным водным раствором гидрокарбоната натрия, водный слой экстрагируют этилацетатом. Органические экстракты объединяют, промывают водным раствором хлорида натрия и сушат (MgSO4), растворитель отгоняют при пониженном давлении. Остаток хроматографируют на силикагеле, получая при этом указанное в заглавии соединение в виде коричневого масла (10,27 г, 79%).
1H-ЯМР (300 МГц, СDСl3) [свободный амин],
К раствору 3,4-метилендиоксианилина (3,30 г, 24,3 ммоль) в толуоле (80 мл) добавляют при охлаждении льдом 1,01 М диметилалюминийхлорид в гексане (22,2 мл, 22,0 ммоль). Реакционную смесь перемешивают в течение 1 часа, при охлаждении льдом. К реакционной смеси добавляют раствор соединения, полученного согласно ссылочному примеру 17 (2,20 г, 3,70 ммоль), в толуоле (30 мл), и перемешивают смесь в течение 20 часов при комнатной температуре. Реакционную смесь выливают в ледяную воду и распределяют между этилацетатом и насыщенным водным раствором гидрокарбоната натрия. Водный слой экстрагируют этилацетатом. Органические экстракты объединяют, промывают водным раствором хлорида натрия и сушат (Na2SO4), растворитель отгоняют при пониженном давлении. Остаток хроматографируют на силикагеле, получая при этом неочищенный продукт, который перекристаллизовывают из смеси этилацетат-гексан с получением при этом указанного в заглавии соединения в виде коричневых кристаллов (0,60 г, 68%).
Т. пл.: 190-192°С
1H-ЯМР (300 МГц, CDCl3) [свободный амин],
К раствору соединения, полученного согласно ссылочному примеру 18 (1,56 г, 2,50 ммоль), в муравьиной кислоте (30 мл) добавляют при охлаждении льдом 1 М раствор хлористого водорода в эфире (7,4 мл, 7,4 ммоль) и 10%-ный палладий на углероде (200 мг), и проводят гидрирование при атмосферном давлении при комнатной температуре при постоянном перемешивании в течение 2 часов. Полученную таким образом реакционную смесь фильтруют через целит (Celite) и фильтрат концентрируют при пониженном давлении. Полученный остаток распределяют между хлороформом и насыщенным водным раствором гидрокарбоната натрия. Водный слой экстрагируют хлороформом, затем органические экстракты объединяют, промывают водным раствором хлорида натрия и сушат (Na2SO4). Растворитель отгоняют при пониженном давлении. Остаток хроматографируют на силикагеле, получая при этом неочищенный продукт, который перекристаллизовывают из смеси этилацетат-гексан, с получением при этом указанного в заглавии соединения в виде коричневых кристаллов (1,46 г, 96%).
Т. пл.: 200-202°С.
1H-ЯМР (300 МГц, CDCl3) [свободный амин]
При использовании в качестве исходного материала соединения, полученного согласно следующему примеру 8, было получено указанное в заглавии соединение по методике ссылочного примера 7.
Выход: 63%.
Т. пл.: 204-209°С.
Пример 1
5-(N-Бензил-N-метиламинометил]-1-(2,6-дифторбензил)-6-[4-(3-метоксиуреидо)фенил]-3-фенилтиено[2,3-d]пиримидин-2,4(1Н,3Н)-дион (пример получения соединения №1)
К раствору соединения, полученного согласно ссылочному примеру 6 (5,0 г, 8,41 ммоль), в дихлорметане (120 мл) добавляют при охлаждении льдом триэтиламин (2,43 мл, 16,82 ммоль) с последующим перемешиванием. К реакционной смеси при охлаждении льдом добавляют N,N’-карбонилдиимидазол (2,73 г, 16,82 ммоль). Реакционной смеси дают нагреться до комнатной температуры и перемешивают в течение 42 часов. Реакционную смесь повторно охлаждают льдом и добавляют гидрохлорид O-метилгидроксиламина (7,02 г, 84,08 ммоль) и триэтиламин (11,7 мл, 84,08 ммоль). Реакционной смеси дают нагреться до комнатной температуры и перемешивают в течение 3 часов. Реакционную смесь распределяют между хлороформом и насыщенным водным раствором гидрокарбоната натрия. Водный слой экстрагируют хлороформом. Экстракты объединяют, промывают водным раствором хлорида натрия и сушат (MgSO4), растворитель отгоняют при пониженном давлении. Остаток хроматографируют на силикагеле, получая при этом светло-желтое твердое вещество, которое затем перекристаллизовывают из хлороформа с получением указанного в заглавии соединения в виде белых кристаллов (4,52 г, 80%).
Т. пл.: 204-205°С.
1H-ЯМР (300 МГц, CDCl3),
К раствору белых кристаллов, полученных согласно примеру 1 (38,34 г, 57,42 ммоль), в дихлорметане (800 мл) при охлаждении льдом добавляют хлористый водород (1 М раствор в диэтиловом эфире), и перемешивают смесь при этой же температуре в течение 10 минут. Реакционную смесь концентрируют при пониженном давлении, и остаток перекристаллизовывают из смеси метанол-диэтиловый эфир, получая при этом указанное в заглавии соединение в виде белого порошка (40,0 г, 99%).
Т.пл.: 182-185°С.
ИК (KBr): 3440, 3042, 1713, 1665, 1628, 1593, 1539, 1473 см-1.
FAB-Macc m/z 668 (МН)+.
Пример 3
При использовании в качестве исходного материала соединения, полученного согласно ссылочному примеру 6, были получены соединения примеров №3-1 – №3-9 по методике примеров 1 и 2.
Пример получения соединения №3-1
Выход: 91%.
Т. пл.: 175-180°С [гидрохлорид].
Пример получения соединения №3-2
Выход: 81%.
Т. пл.: 179-182°С [гидрохлорид].
Пример получения соединения №3-3
Выход: 80%.
Т. пл.: 172-177°С [гидрохлорид].
Пример получения соединения №3-4
Выход: 99%.
Т. пл.: 193-197°С [гидрохлорид].
Пример получения соединения №3-5
Выход: 91%.
Т. пл.: 201-204°С [гидрохлорид].
Пример получения соединения №3-6
Выход: 89%.
Т. пл.: 210-215°С [гидрохлорид].
Пример получения соединения №3-7
Выход: 89%.
Т. пл.: 199-200°С [свободный амин].
Пример получения соединения №3-8
Выход: 93%.
Т. пл.: 195-198°С [гидрохлорид].
Пример получения соединения №3-9
Выход: 95%.
Т. пл.: 165-170°С [гидрохлорид].
Пример 4
При использовании в качестве исходного материала соединения, полученного согласно ссылочному примеру 7, были получены соединения примеров №4-1 – №4-5 по методике ссылочного примера 5.
Пример получения соединения №4-1
Выход: 80%.
Т. пл.: 177-180°С [гидрохлорид].
Пример получения соединения №4-2
Выход: 77%.
Т. пл.: 205-210°С [гидрохлорид].
Пример получения соединения №4-3
Выход: 77%.
Т. пл.: 182-185°С [гидрохлорид].
Пример получения соединения №4-4
Выход: 14%.
Т. пл.: 270°С (с разл.) [гидрохлорид].
Пример получения соединения №4-5
Выход: 26%.
Т. пл.: 260°С (с разл.) [свободный амин].
Пример 5
5-(N-Бензил-N-метиламинометил)-1-(2,6-дифторбензил)-6-[4-(3-гидроксиуреидо)фенил]-3-фенилтиено[2,3-d]пиримидин-2,4(1H,3Н), дион
К раствору соединения, полученного согласно ссылочному примеру 6 (2,0 г, 3,36 ммоль), в дихлорметане (40 мл) при охлаждении льдом добавляют триэтиламин (0,94 мл, 6,73 ммоль) с последующим перемешиванием. Затем к реакционной смеси при охлаждении льдом добавляют N,N’-карбонилдиимидазол (1,09 г, 6,73 ммоль). Реакционной смеси дают нагреться до комнатной температуры и перемешивают в течение 24 часов. Реакционную смесь повторно охлаждают льдом и добавляют О-(2,4-диметоксибензил)гидроксиламин (3,11 г, 16,98 ммоль). Затем реакционной смеси дают нагреться до комнатной температуры и перемешивают в течение 19 часов. Реакционную смесь распределяют между хлороформом и насыщенным водным раствором гидрокарбоната натрия, водный слой экстрагируют хлороформом. Экстракты объединяют, промывают водным раствором хлорида натрия и сушат (MgSO4), растворитель отгоняют при пониженном давлении. К раствору остатка в дихлорметане (50 мл) добавляют трифторуксусную кислоту (5 мл) с последующим перемешиванием при комнатной температуре в течение 20 минут. Реакционную смесь распределяют между хлороформом и насыщенным водным раствором гидрокарбоната натрия, водный слой экстрагируют хлороформом. Экстракты объединяют, промывают водным раствором хлорида натрия и сушат (MgSO4), растворитель отгоняют при пониженном давлении. Остаток хроматографируют на силикагеле, получая при этом белый аморфный порошок, который затем перекристаллизовывают из смеси хлороформ-эфир с получением указанного в заглавии соединения в виде белых кристаллов (2,2 г, 100%).
Т. пл.: 164-165°С.
1H-ЯМР (300 МГц, CDCl3),
В раствор белых кристаллов, полученных согласно примеру 5 (60 мг, 0,094 ммоль), в дихлорметане (5 мл) добавляют при охлаждении льдом хлористый водород (1 М раствор в диэтиловом эфире) (0,2 мл) с последующим перемешиванием при той же самой температуре в течение 10 минут. Реакционную смесь концентрируют при пониженном давлении в течение 10 минут, и остаток перекристаллизовывают из смеси метанол-эфир с получением указанного в заглавии соединения в виде белого порошка (72 мг, 100%).
Т.пл.: 180-186°С.
ИК (KBr): 3388, 3066, 1713, 1663, 1628, 1593, 1537, 1473 см-1.
Пример 7
5-(N-Бензил-N-метиламинометил)-1-(2,6-дифторбензил)-6-[4-[3-(2-(гидроксиэтил)уреидо]фенил]-3-фенилтиено[2,3-d]пиримидин-2,4(1Н,3Н)-дион
К раствору соединения, полученного согласно примеру №3-7 (900 мг, 1,24 ммоль), в ТГФ (20 мл) при охлаждении льдом добавляют 5 н. раствор гидроксида калия в воде (7 мл) с последующим перемешиванием при 60°С в течение 1 часа. Реакционную смесь распределяют между этилацетатом и насыщенным водным раствором гидрокарбоната натрия, водный слой экстрагируют этилацетатом. Экстракты объединяют, промывают водным раствором хлорида натрия и сушат (МgSO4), растворитель отгоняют при пониженном давлении. Остаток хроматографируют на силикагеле, получая при этом белый аморфный порошок, который затем перекристаллизовывают из смеси хлороформ-метанол-эфир с получением указанного в заглавии соединения в виде белых кристаллов (850 мг, 88%).
Т.пл.: 220-222°С.
1H-ЯМР (300 МГц, DMSO-d6),
К раствору 3,4-этилендиоксианилина (3,90 г, 25,8 ммоль) в дихлорметане (100 мл) при охлаждении льдом добавляют 1,01 М раствор диметилалюминийхлорида в гексане (25,5 мл, 25,8 ммоль). Смеси дают нагреться до комнатной температуры при перемешивании в течение 1 часа. К раствору добавляют раствор соединения, полученного согласно ссылочному примеру 14 (3,44 мг, 5,16 ммоль), в дихлорметане (60 мл), и смесь перемешивают при комнатной температуре в течение 1 дня. Реакционную смесь распределяют между хлороформом и насыщенным водным раствором гидрокарбоната натрия, водный слой экстрагируют хлороформом. Органические слои объединяют, промывают водным раствором хлорида натрия и сушат (MgSO4), растворитель отгоняют при пониженном давлении. Остаток хроматографируют на силикагеле, получая при этом указанное в заглавии соединение в виде белого аморфного порошка (3,2 мг, 85%).
Т.пл.: 185-187°С.
1H-ЯМР (300 МГц, СDСl3),
Выход: 60%.
Т. пл.: 148-151°С [свободный амин].
Пример получения соединения №9-2
Выход: 54%.
Т. пл.: 169-170°С [гидрохлорид].
Пример 10
5-(N-Бензил-N-метиламинометил)-1-(2,6-дифторбензил)-3-[4-(метоксиметокси)фенил]-6-[4-(3-метоксиуреидо)фенил]тиено[2,3-d]пиримидин-2,4(1Н,3Н)-дион (пример получения соединения №10)
К раствору соединения, полученного согласно ссылочному примеру 16 (0,84 г, 1,09 ммоль), в безводном метаноле (50 мл) при охлаждении льдом добавляют раствор метоксида натрия (2,10 г, 10,4 ммоль) в безводном метаноле (20 мл). Смесь перемешивают в течение 2,5 часов, в это время температура поднимается до комнатной температуры. Реакционную смесь нейтрализуют 1 н. раствором хлористо-водородной кислоты (10,9 мл, 10,9 ммоль), растворитель отгоняют при пониженном давлении. Остаток распределяют между хлороформом и насыщенным водным раствором хлорида натрия, водный слой экстрагируют хлороформом. Органические экстракты объединяют, промывают водным раствором хлорида натрия и сушат (МgSO4), растворитель отгоняют при пониженном давлении. Остаток перекристаллизовывают из смеси этилацетат-изопропиловый эфир с получением указанного в заглавии соединения в виде белых кристаллов (0,632 г, 80%).
Т. пл.: 189-191°С.
1H-ЯМР (300 МГц, СDСl3),
Соединение, полученное согласно примеру 10 (0,35 г, 0,48 ммоль), растворяют в ацетоне (10 мл) и затем добавляют 6 н. раствор хлористо-водородной кислоты (1,0 мл, 6,0 ммоль). Смесь перемешивают при комнатной температуре в течение 6 часов и нейтрализуют при охлаждении льдом 2 н. раствором гидроксида натрия (3 мл, 6,0 ммоль) в воде, растворитель отгоняют при пониженном давлении. Остаток распределяют между хлороформом и насыщенным водным раствором хлорида натрия, водный слой экстрагируют хлороформом. Органические экстракты объединяют, промывают водным раствором хлорида натрия и сушат (МgSO4), растворитель отгоняют при пониженном давлении. Остаток хроматографируют на силикагеле, получая при этом бесцветный аморфный порошок (0,18 г, 55%), который перекристаллизовывают из смеси хлороформ-метанол с получением указанного в заглавии соединения в виде белых кристаллов (0,067 г).
Т.пл.: 178-182°С.
1H-ЯМР (300 МГц, CDCl3),
К раствору соединения, полученного согласно примеру 1 (0,334 г, 0,5 ммоль), в тетрагидрофуране (10 мл) при охлаждении льдом добавляют триэтиламин (0,08 мл, 0,6 ммоль) и метилхлорформиат (0,0425 мл, 0,55 ммоль), полученную смесь перемешивают в течение 1 часа при охлаждении льдом и затем в течение 1 часа при комнатной температуре. К смеси добавляют триэтиламин (0,08 мл, 0,6 ммоль) и этилхлорформиат (0,0425 мл, 0,55 ммоль), полученную смесь перемешивают в течение 2 часов при 40°С и в течение 2 часов при комнатной температуре. К смеси добавляют водный раствор хлорида натрия и экстрагируют этилацетатом. Экстракты объединяют, промывают водным раствором хлорида натрия и сушат (MgSO4), растворитель отгоняют при пониженном давлении. Остаток хроматографируют на силикагеле, получая при этом неочищенный продукт, который перекристаллизовывают из смеси этилацетат-диэтиловый эфир с получением указанного в заглавии соединения в виде бесцветных кристаллов (0,204 г, 56%).
Т. пл.: 150-152°С.
1H-ЯМР (200 МГц, CDCl3),
К раствору соединения, полученного согласно ссылочному примеру 7 (0,86 г, 1,48 ммоль), в N,N-диметилформамиде (15 мл) добавляют этилдиизопропиламин (0,34 мл, 1,92 ммоль) йодид калия (245 мг, 1,48 ммоль) и N-(2-метоксиэтил)метиламин (0,19 мл, 1,78 ммоль), полученную смесь перемешивают в течение 2 часов при комнатной температуре. Реакционную смесь концентрируют, получая при этом остаток, который распределяют между этилацетатом и насыщенным водным раствором гидрокарбоната натрия, водный слой экстрагируют этилацетатом. Объединенные экстракты промывают водным раствором хлорида натрия и сушат (MgSO4), растворитель отгоняют при пониженном давлении. Остаток хроматографируют на силикагеле с получением указанного в заглавии соединения в виде белых кристаллов (840 мг, 89%).
Т.пл.: 161-163°С.
1H-ЯМР (300 МГц, СDСl3) [свободный амин],
При использовании в качестве исходного материала соединения, полученного согласно ссылочному примеру 20, было получено указанное в заглавии соединение по методике примера 13.
Выход: 79%.
Т. пл.: 155-156°С (свободный амин).
Пример 15
1-(2,6-Дифторбензил)-5-[N-(2-метоксиэтил)-N-метиламинометил]6-[4-(3-метоксиуреидо)фенил]-3-(3,4-метилендиоксифенил)тиено[2,3-d]пиримидин-2,4(1Н,3Н)-дион
При использовании в качестве исходного материала соединения, полученного согласно ссылочному примеру 19, было получено указанное в заглавии соединение по методике примера 1.
Выход: 72%.
Т. пл.: 150-152°С [свободный амин].
Пример 1 получения лекарственного препарата
При использовании 100 мг соединения, полученного согласно примеру 1, 165 мг лактозы, 25 мг кукурузного крахмала, 4 мг поливинилового спирта общепринятым способом были приготовлены таблетки.
Пример 2 получения лекарственного препарата
Соединение, полученное согласно примеру 2 (5 г), растворяют в дистиллированной воде для инъекций с доведением суммарного объема до 100 мл. Раствор асептически фильтруют через мембранный фильтр с размером пор 0,22 мкм (производство фирмы Sumitomo Electric Industries, Ltd. или Sartorius) и расфасовывают по 2 мл в вымытые стерильные флаконы, с последующей сушкой вымораживанием, с получением при этом высушенного вымораживанием лекарственного препарата для инъекций, 100 мг/флакон.
Пример 3 получения лекарственного препарата
При использовании 100 мг соединения, полученного согласно примеру №4-2, 165 мг лактозы, 25 мг кукурузного крахмала, 4 мг поливинилового спирта и 1 мг стеарата магния общепринятым способом были приготовлены таблетки.
Пример 4 получения лекарственного препарата
Соединение, полученное согласно примеру №4-2 (5 г), растворяют в дистиллированной воде для инъекций с доведением суммарного объема до 100 мл. Раствор асептически фильтруют через мембранный фильтр с размером пор 0,22 мкм (производство фирмы Sumitomo Electric Industries, Ltd. или Sartorius) и расфасовывают по 2 мл в вымытые стерильные флаконы, с последующей сушкой вымораживанием, с получением при этом высушенного вымораживанием лекарственного препарата для инъекций, 100 мг/флакон.
Пример 5 получения лекарственного препарата
Компоненты (1), (3), (4), (5), (6), (7) и (8) суспендируют или растворяют в очищенной воде и наносят на частицы, образующие ядро (2), получая при этом мелкие частицы основы, которые затем покрывают компонентами (9)-(11), с получением покрытых мелких частиц, которые затем смешивают с компонентом (12), получая при этом 500 г мелких частиц, содержащих 1% соединения. Полученные частички расфасовывают по 500 мг.
Экспериментальный пример 1
(1) Приготовление 125I-лейпрорелина
В пробирку, содержащую 10 мкл 3
10-4 М водного раствора лейпрорелина и 10 мкл 0,01 мг/мл лактопероксидазы, добавляют 10 мкл (37 МБк) раствора Na125I. После перемешивания добавляют 10 мкл 0,001% H2O2 и проводят реакцию в течение 20 минут при комнатной температуре. Реакцию останавливают добавлением 700 мкл 0,05% раствора ТФУ (трифторуксусной кислоты), затем проводят очистку обращенно-фазовой ВЭЖХ. Условия проведения ВЭЖХ приведены ниже. 125I-лейпрорелин элюируют при времени удерживания от 26 до 27 минут.
Колонка: TSKgel ODS-80
(ТМ означает зарегистрированную торговую марку; это же обозначение применяется и далее) CTR (4,6 мм
Экспериментальный пример 2
Супрессия LH в плазме у кастрированных обезьян
Соединение, полученное согласно примеру 2, вводили перорально кастрированным самцам обезьян (cynomolgus, Macaca fascicularis), количественно определяли уровень LH (лютеинизирующий гормон) в плазме. Использовали самцов обезьян (cynomolgus), достигших ко времени эксперимента возраста от 4 лет и 9 месяцев до 6 лет и 3 месяцев, которых кастрировали ранее, чем за три месяца до начала эксперимента. Тестируемые животные [n=3] получали 30 мг/кг (3 мл/кг) соединения, суспендированого в 0,5% метилцеллюлозе с конечной концентрацией, при пероральном введении, равной 1%, а контрольные животные [n=2] получали только 3 мл/кг одного 0,5% метилцеллюлозного диспергирующего средства путем перорального введения. За 24 часа до введения, непосредственно сразу же после введения и через 2, 4, 6, 8, 24 и 48 часов после введения забирали кровь из бедренной вены в гепаринизированные пробирки для образцов плазмы и сразу же помещали на холод.
Концентрацию LH в плазме определяли путем биологического исследования с использованием тестикулярных клеток мыши. Тестикулярные клетки получали от самцов BALB/c мыши (в возрасте от 8 до 9 недель) и промывали три раза 1 мл среды Игла в модификации Дульбекко (DMEM-H), содержащей 20 мМ HEPES и 0,2% БСА на тест. После инкубирования при 37°С в течение 1 часа клетки пропускали через нейлоновый сетчатый фильтр (70 мкм) и распределяли по пробиркам для проведения теста в количестве 8
-) и контрольная группа 2 (-
-) получали перорально только 0,5% метилцеллюлозного диспергирующего средства (3 мл/кг), в то время как группа 1, получавшая соединение (-
-), группа 2, получавшая соединение (-
-), и группа 3, получавшая соединение (-
-), подобным образом получали дисперсию соединения, полученного согласно примеру 2 в 0,5% метилцеллюлозе (30 мг/кг, 3 мл/кг).
У контрольной группы даже после введения были обнаружены незначительные изменения концентрации LH в плазме. С другой стороны, в группах, получавших соединение, концентрация LH в плазме быстро падала, сразу же, начиная с момента введения, и опускалась до 20% от базовой концентрации или менее за 24 часа после введения. Затем, через 48 часов после введения, наблюдалось повышение (восстановление) концентрации LH в плазме.
Вышеуказанные результаты свидетельствуют о том, что соединение, полученное согласно примеру 2, при пероральном введении оказывает значительное снижающее действие на концентрацию LH в крови.
Из приведенных выше результатов видно, что соединения, являющиеся предметом настоящего изобретения, являются антагонистами LH-RH рецепторов гипофиза, блокирующими LH-RH стимулирование гипоталамусом для ингибирования высвобождения LH.
Промышленная применимость
Соединение настоящего изобретения обладает значительной антагонистической активностью в отношении гонадотропин-рилизинг гормона. Оно также обладает хорошими характеристиками способности к абсорбции и прекрасной стабильностью и высокими фармакокинетическими показателями. Обладая низкой токсичностью, оно также замечательно по своей безопасности. Кроме того, соединение настоящего изобретения может быть использовано в качестве профилактического или терапевтического средства в случае гормонально зависимых заболеваний и т.д. Конкретно, оно эффективно в качестве профилактического или терапевтического средства в случае гормонально зависимых раковых заболеваний (например, таких как рак простаты, рак матки, рак молочной железы, опухоль гипофиза и т.д.), при гипертрофии простаты, миоме матки, эндометриозе, преждевременном половом созревании, аменорее, ячеистом синдроме яичника, образовании узелков и т.д. или в качестве регулятора беременности (например, контрацептива), лекарственного средства против бесплодия или регулятора менструального цикла. Оно также эффективно в качестве регулятора половой активности у животных, средства для улучшения качества мяса и регулятора роста животных в животноводстве, а также полезно для стимулирования нереста рыб в рыболовстве.
в которой R1 и R2 каждый представляет атом водорода, гидроксигруппу, C1-4 алкоксигруппу, C1-4 алкоксикарбонильную группу или С1-4 алкильную группу, которая может быть замещена гидрокси, C1-4 алкилкарбонилоксигруппой;
R3 представляет атом водорода, атом галогена, гидроксигруппу или С1-4 алкоксигруппу, которая может быть замещена C1-4 алкоксигруппой, или два соседних R3, взятые вместе, могут образовывать C1-4 алкилендиоксигруппу;
R4 представляет атом водорода или С1-4 алкильную группу;
R6 представляет С1-4 алкильную группу, которая может быть замещена С1-4 алкоксигруппой, или группу формулы
в которой R5 представляет атом водорода, или R4 и R5, взятые вместе с атомом азота, к которому присоединена группа R6, могут образовывать 5-6-членный азотсодержащий гетероцикл;
n представляет целое число от 0 до 5,
или его соль.
2. Соединение по п.1 или его соль, которое представляет собой соединение формулы
в которой R1 и R2 каждый представляет атом водорода, гидроксигруппу, С1-4 алкоксигруппу или C1-4 алкильную группу, которая может быть замещена;
R3 представляет атом водорода, атом галогена или С1-4 алкоксигруппу;
R4 представляет C1-4 алкильную группу;
R5 является таким, как определено в п.1.
3. Соединение по п.1 или его соль, где R1 представляет C1-3 алкоксигруппу.
4. Соединение по п.3 или его соль, где R2 представляет атом водорода.
5. Соединение по п.1 или его соль, где R3 представляет атом водорода.
6. Соединение по п.1 или его соль, где R6 представляет группу формулы
в которой R5 является таким, определено в п.1.
7. Соединение по п. 2 или его соль, где R4 представляет С1-3 алкильную группу и R5 представляет атом водорода.
8. Соединение по п.1 или его соль, где n = 1 или 2.
9. Соединение по п.1 или его соль, в котором R1 представляет (i) гидроксигруппу, (ii) С1-4 алкоксигруппу или (iii) С1-4 алкильную группу, которая может быть замещена гидрокси или 1-4 алкилкарбонилоксигруппой; R2 представляет атом водорода, C1-4 алкильную группу или С1-4 алкоксикарбонильную группу; R3 представляет атом водорода, атом галогена, гидроксигруппу или С1-4 алкокси-С1-4 алкоксигруппу или два соседних R3, взятые вместе, могут образовывать С1-3 алкилендиоксигруппу; R4 представляет атом водорода или С1-3 алкильную группу; R6 представляет С1-4 алкокси-С1-4 алкильную группу или группу формулы
в которой R5 представляет атом водорода,
или R4 и R5, взятые вместе, образуют 5- или 6-членный азотсодержащий гетероцикл и n = 1 или 2.
10. Соединение по п.1 или его соль, где R1 представляет гидроксигруппу, метоксигруппу или C1-3 алкильную группу; R2 представляет атом водорода или C1-3 алкильную группу; R4 представляет C1-3 алкильную группу; R6 представляет бензильную группу; и n = 0.
11. 5-(N-Бензил-N-метиламинометил)-1-(2,6-дифторбензил)-6-[4-(3-метоксиуреидо)фенил]-3-фенилтиено[2,3-d]пиримидин-2,4(1H,3H)-дион или его соль.
12. Способ получения соединения по п.1 или его соли, который включает взаимодействие соединения формулы
в которой значения R3, R4,R6 такие, как определено в п.1,
или его соли с карбонилдиимидазолом или фосгеном с последующим взаимодействием с соединением формулы
в которой каждый R1,R2 является таким, как определено в п.1,
или его солью.
13. Фармацевтическая композиция, обладающая действием антагониста гонадотропин-рилизинг гормона, которая содержит соединение по п.1 или его соль.
14. Фармацевтическая композиция по п. 13 пригодная для профилактики или лечения половых гормонально-зависимых заболеваний.
15. Способ антагонизации гонадотропин-рилизинг гормона у млекопитающих, нуждающихся в этом, который включает введение указанному млекопитающему эффективного количества соединения по п.1 или его соли с фармацевтически приемлемым эксципиентом, носителем или разбавителем.
16. Соединения по п.1 или его соли для производства фармацевтической композиции, пригодной для антагонизации гонадотропин-рилизинг гормона.