Патент на изобретение №2233282
|
||||||||||||||||||||||||||
(54) АРАЛКИЛАМИНЫ ФУРОПИРИДИНОВ, СПОСОБ ИХ ПОЛУЧЕНИЯ, ФАРМАЦЕВТИЧЕСКАЯ КОМПОЗИЦИЯ НА ИХ ОСНОВЕ И ПРОМЕЖУТОЧНЫЕ ВЕЩЕСТВА
(57) Реферат: Изобретение относится к соединениям формулы (I)
где NRR1 присоединен в 5- или 6-положении кольца фуропиридина; R представляет водород, С1-С4-алкил или COR2; R1 представляет (CH2)nAr, CH2CH=CHAr или СН2С?CAr; n равно 0-3; А представляет N или NO; Ar представляет 5- или 6-членное ароматическое или гетероароматическое кольцо, которое содержит 0-4 атома азота, 0-1 атом кислорода и 0-1 атом серы; или 8-, 9- или 10-членную конденсированную ароматическую или гетероароматическую циклическую систему, содержащую 0-4 атома азота, 0-1 атом кислорода и 0-1 атом серы, любой из которых может быть необязательно замещен 1-2 заместителями, независимо выбранными из галогена, трифторметила или С1-С4-алкила; R2 представляет водород; С1-С4-алкил; С1-С4-алкокси или фенильное кольцо, необязательно замещенное 1-3 из следующих заместителей: галоген, С1-C4-алкил, С2-С4-алкенил, С2-С4-алкинил, ОН, ОС1-С4-алкил, CO2R5, -CN, -NO2, -NR3R4 или –CF3; R3, R4 и R5 могут быть водородом, С1-С4-алкилом или фенильным кольцом, необязательно замещенным 1-3 из следующих заместителей: галоген, С1-С4-алкил, С2-С4-алкенил, С2-С4-алкинил, ОН, ОС1-С4-алкил, -CN, -NO2, или -CF3; к их энантиомерам и фармацевтически приемлемым солям. Полученные соединения проявляют агонистическую активность по отношению к никотиновым рецепторам ацетилхолина и могут быть использованы для лечения или профилактики психотических нарушений или нарушений интеллектуальных способностей. 5 н. и 22 з.п. ф-лы, 1 табл.
ТЕХНИЧЕСКАЯ ОБЛАСТЬ
Данное изобретение относится к новым замещенным аминам спирофуропиридинов или их фармацевтически приемлемым солям, способам их получения, фармацевтическим композициям, содержащим их, и их применению в терапии. Следующей целью является обеспечение активных соединений, которые являются сильнодействующими лигандами для никотиновых рецепторов ацетилхолина (nAChR’s).
ПРЕДПОСЫЛКИ СОЗДАНИЯ ИЗОБРЕТЕНИЯ
Использование соединений, которые связывают никотиновые рецепторы ацетилхолина, при лечении ряда заболеваний, связанных с пониженной холинергической функцией, таких как болезнь Альцгеймера, расстройство познавательной способности или внимания, тревога, депрессия, состояние при прекращении курения, нейропротективное действие, шизофрения, аналгезия, синдром Туретта и болезнь Паркинсона, обсуждалось McDonald et al. (1995) “Nicotinic Acetylcholine Receptors: Molecular Biology, Chemistry and Pharmacology”, Chapter 5 in Annual Reports in Medicinal Chemistry, vol.30, pp.41-50, Academic Press Inc., San Diego, CA; Williams et al. (1994) “Neuronal Nicotinic Acetylcholine Receptors”, Drug News and Perspectives, vol.7, pp.205-223; and Lin and Meyer, “Recent Developments in Neuronal Nicotinic Acetylcholine Receptor Modulators”, Exp. Opin. Ther. Patents (1998), 8(8):991-1015.
В патенте США 5468875 описываются 1-азабицикло [2.2.1]-гепт-3-иловые эфиры N-алкилкарбаминовой кислоты, которые являются активными для центральной нервной системы мускариновыми агентами, полезными при лечении болезни Альцгеймера и других нарушений.
1-Азабицикло[2.2.2]октан-3-иловые эфиры N-(2-алкоксифенил)карбаминовых кислот описываются в Pharmazie, vol.48, 465-466 (1993) вместе с их местной анестезирующей активностью. 1-Азабицикло[2.2.2]октан-3-иловые эфиры N-фенилкарбаминовых кислот, замещенных в орто-положении фенильного кольца, описываются в качестве местных анестетиков в Acta Pharm. Suecica, 7, 239-246 (1970).
Фуропиридины, которые можно использовать для регулирования синаптической передачи, описываются в WO 97/05139.
ОПИСАНИЕ ИЗОБРЕТЕНИЯ
В соответствии с данным изобретением было обнаружено, что соединения формулы I
где NRR1 присоединен в 5- или 6-положении кольца фуропиридина;
R представляет водород, С1-С4-алкил, COR2;
R1 представляет (CH2)nAr, CH2CH=CHAr или CH2C CAr;
n равно числу от 0 до 3;
А представляет N или NO;
Аr представляет 5- или 6-членное ароматическое или гетероароматическое кольцо, которое содержит 0-4 атома азота, 0-1 атом кислорода и 0-1 атом серы; или 8-, 9- или 10-членную конденсированную ароматическую или гетероароматическую циклическую систему, содержащую 0-4 атома азота, 0-1 атом кислорода и 0-1 атом серы; любой из которых может быть необязательно замещен 1-2 заместителями, независимо выбранными из галогена, трифторметила или C1-C4-алкила;
R2 представляет водород; С1-С4-алкил; С1-С4-алкокси; или фенильное кольцо, необязательно замещенное 1-3 из следующих заместителей: галоген, С1-С4-алкил, С2-С4-алкенил, С2-С4-алкинил, ОН; ОС1-С4-алкил, CO2R5, -CN, -NO2, -NR3R4 или -СF3;
R3, R4 и R5 независимо представляют водород; С1-С4-алкил или фенильное кольцо, необязательно замещенное 1-3 из следующих заместителей: галоген, С1-С4-алкил, С2-С4-алкенил, С2-С4-алкинил, ОН, ОС1-С4-алкил, CO2R2, -CN; -NO2 или -СF3;
или их энантиомеры и их фармацевтически приемлемые соли, являются сильнодействующими лигандами для никотиновых рецепторов ацетилхолина.
Если не указано иначе, С1-С4-алкильные группы, указанные в описании, например метил, этил, н-пропил, н-бутил, изопропил, изобутил, трет-бутил, втор-бутил, могут быть неразветвленными или разветвленными и С3-С4-алкильные группы могут также быть циклическими, например циклопропил, циклобутил.
Если не указано иначе, С1-С4-алкоксигруппы, указанные в описании, например метокси, этокси, н-пропокси, изопропокси, н-бутокси, изобутокси, трет-бутокси, втор-бутокси, могут быть неразветвленными или разветвленными.
Если не указано иначе, С2-С4-алкенильные группы, указанные в описании, могут содержать одну или две двойные связи, например этенил, изопропенил, н-бутенил, иэобутенил, аллил, 1,3-бутадиенил.
Если не указано иначе, С2-С4-алкинильные группы, указанные в описании, могут содержать одну тройную связь, например этинил, пропинил, 1- или 2-бутинил.
Галоген, указанный в описании, может быть фтором, хлором, бромом или иодом.
Если не указано иначе, (замещенный) фенил относится к фенильному кольцу, необязательно замещенному 1-3 из следующих заместителей: водород, галоген, С1-С4-алкил, С2-С4-алкенил, С2-С4-алкинил, ОН, ОС1-С4-алкил, CO2R5, -CN, -NO2, -NR3R4, -СF3.
Предпочтительными соединениями изобретения являются соединения формулы I, где А представляет N.
Предпочтительными соединениями изобретения являются соединения формулы I, где R1 представляет (CH2)nAr.
Предпочтительными соединениями изобретения являются соединения формулы I, где R1 представляет СН2СН=СНАr.
Предпочтительными соединениями изобретения являются соединения формулы 1, где R1 представляет СН2С=CАr.
Предпочтительными соединениями изобретения являются соединения формулы I, где Аr выбирают из группы: фенильное кольцо, необязательно замещенное 1-3 из следующих заместителей: галоген, С1-С4-алкил, С2-С4-алкенил, C2-C4-алкинил, ОН, ОС1-С4-алкил, CO2R5, -CN, -NO2, -NR3R4 и -СF3; 2-, 3- или 4-пиридил; 2- или 3-фуранил; 2- или 3-тиенил; 2- или 4-имидазолил; 1-, 2- или 3-пирролил, 2- или 4-оксазолил; и 3-или 4-изоксаэолил.
Предпочтительными соединениями изобретения являются соединения формулы I, где Аr выбирают из группы: 1- или 2-нафтил; 2-, 3-, 4-, 5-, 6-, 7- или 8-хинолил; 1-, 3-, 4-, 5-, 6-, 7- или 8-изохинолил; 2-, 4-, 5-, 6- или 7-бензоксазолил и 3-, 4-, 5-, 6- или 7-бензизоксазолил.
Предпочтительными соединениями изобретения являются соединения формулы I, где R3, R4 и R5 независимо представляют водород или С1-С4-алкил.
Предпочтительными соединениями изобретения являются соединения формулы I, где n равно 1.
Предпочтительными соединениями изобретения являются соединения формулы I, где R представляет водород.
Предпочтительными соединениями изобретения являются соединения формулы I, где Аr представляет гетероароматическое кольцо.
Предпочтительными соединениями изобретения являются соединения формулы I, где n равно 1, R представляет водород и Аr представляет гетероароматическое кольцо.
Предпочтительные соединения изобретения включают следующие соединения:
R-(-)-5′-N-(фенилметил)аминоспиро[1-азабицикло[2.2.2]октан-3,2′-(3’Н)-фуро[2,3-b]пиридин];
R-(-)-5′-(2-пиридилметил)аминоспиро[1-азабицикло[2.2.2]октан-3,2′-(3’Н)-фуро[2,3-b]пиридин];
R-(-)-5′-(3-пиридилметил)аминоспиро[1-азабицикло[2.2.2]октан-3,2′-(3’Н)-фуро[2,3-b]пиридин];
R-(-)-5′-(4-п-пиридилметил)аминоспиро[1-азабицикло[2.2.2]-октан-3,2′-(3’Н)-фуро[2,3-b]пиридин];
R-(-)-5′-(2-фуранилметил)аминоспиро[1-азабицикло[2.2.2]октан-3,2′-(3’Н)-фуро[2,3-b]пиридин];
R-(-)-5′-(3-фуранилметил)аминоспиро[1-азабицикло[2.2.2]октан-3,2′-(3’Н)-фуро[2,3-b]пиридин];
R-(-}-5′-(2-тиенилметил)аминоспиро[1-азабицикло[2.2.2]октан-3,2′-(3’Н)-фуро[2,3-b]пиридин];
R-(-)-5′-(2-имидазолилметил)аминоспиро[1-азабицикло[2.2.2]октан-3,2′-(3’Н)-фуро[2,3-b]пиридин];
R-(-)-5′-N-(4-метоксифенилметил)аминоспиро[1-азабицикло[2.2.2]октан-3,2′-(3’Н)-фуро[2,3-b]пиридин];
R-(-)-5′-N-(4-хлорфенилметил)аминоспиро[1-азабицикло[2.2.2]октан-3,2′-(3’Н)-фуро[2,3-b]пиридин];
R-(-)-5′-N-(4-метилфенилметил)аминоспиро[1-азабицикло[2.2.2]октан-3,2′-(3’Н)-фуро[2,3-b]пиридин];
R-(-)-5′-N-(3,4-дихлорфенилметил)аминоспиро[1-азабицикло[2.2.2]октан-3,2′-(3’Н)-фуро[2,3-b]пиридин];
R-(-)-5′-N-ацетил-N-(фенилметил)аминоспиро[1-азабицикло[2.2.2]октан-3,2′-(3’Н)-фуро[2,3-b]пиридин];
R-(-)-5′-N-метил-N-(фенилметил)аминоспиро[1-азабицикло[2.2.2]октан-3,2′-(3’Н)-фуро[2,3-b]пиридин];
R-(-)-5′-N-(3-пиридил)аминоспиро[1-азабицикло[2.2.2]октан-3,2′-(3’Н) -фуро[2,3-b]пиридин];
R-(-)-6′-N-(фенилметил)аминоспиро[1-азабицикло[2.2.2]октан-3, 2′-(3’Н)-фуро[2,3-b]пиридин];
R-(-)-5′-N-(3-тиенилметил)аминоспиро[1-азабицикло[2.2.2]октан-3,2′-(3’Н)-фуро[2,3-b]пиридин];
R-(-)-5′-N-(2-фенилэтил)аминоспиро[1-азабицикло[2.2.2]октан-3,2′-(3’Н)-фуро[2,3-b]пиридин];
R-(-)-5′-N-(3-фенилпропил)аминоспиро[1-азабицикло[2.2.2]октан-3,2′-(3’Н)-фуро[2,3-b]пиридин];
R-(-)-5′-N-(хинолин-3-илметил)аминоспиро[1-азабицикло[2.2.2]октан-3,2′-(3’Н)-фуро[2,3-b]пиридин];
R-(-)-5′-N-(хинолин-4-илметил)аминоспиро[1-азабицикло[2.2.2]октан-3,2′-(3’Н)-фуро[2,3-b]пиридин];
R-(-)-5′-N-(1,4-бензодиоксан-6-илметил)аминоспиро[1-азабицикло[2.2.2]октан-3, 2′-(3’Н)-фуро[2,3-b]пиридин];
R-(-)-5′-N-(имидазол-4-илметил)аминоспиро[1-азабицикло[2.2.2]октан-3,2′-(3’Н)-фуро[2,3-b]пиридин];
R-(-)-5′-N-(транс-3-фенилпроп-2-енил)аминоспиро[1-азабицикло[2.2.2]октан-3,-2′-(3’Н)-фуро[2,3-b] пиридин];
R-(-)-5′-N-(тиазол-2-илметил)аминоспиро[1-азабицикло[2.2.2]октан-3,2′-(3’H)-фуро[2,3-b] пиридин];
R-(-)-5′-N-(3-метилфенилметил)аминоспиро[1-азабицикло[2.2.2]октан-3,2′-(3’H)-фуро[2,3-b]пиридин];
R-(-)-5′-N-(2-хлорфенилметил)аминоспиро[1-азабицикло[2.2.2]октан-3,2′-(3’Н)-фуро[2,3-b]пиридин];
R-(-)-5′-N-(3-хлорфенилметил)аминоспиро[1-азабицикло[2.2.2]октан-3,2′-(3’Н)-фуро[2,3-b]пиридин];
R-(-)-5′-N-(3-фенилпропинил)аминоспиро[1-азабицикло[2.2.2]октан-3,2′-(3’Н)-фуро[2,3-b]пиридин];
R-(-)-5′-N-(3-гидроксифенилметил)аминоспиро[1-азабицикло[2.2.2]октан-3,2′-(3’Н)-фуро[2,3-b]пиридин];
R-(-)-5′-N-(4-гидроксифенилметил)аминоспиро[1-азабицикло[2.2.2]октан-3,2′-(3’Н)-фуро[2,3-b]пиридин];
R-(-)-5′-N-[транс-3-(4-пиридинил)проп-2-енил]аминоспиро[1-азабицикло[2.2.2]октан-3,2′-(3’Н)-фуро[2,3-b]пиридин];
R-(-)-5′-N-ацетил-N-(3-тиенилметил)аминоспиро[1-азабицикло[2.2.2]октан-3,2′-(3’Н)-фуро[2,3-b]пиридин];
R-(-)-5′-N-метил-N-(4-пиридилметил)аминоспиро[1-азабицикло[2.2.2]октан-3,2′-(3’Н)-фуро[2,3-b]пиридин];
R-(-)-5′-N-метил-N-(3-пиридилметил)аминоспиро[1-азабицикло[2.2.2]октан-3,2′-(3’Н)-фуро[2,3-b]пиридин];
R-(-)-5′-N-(2-гидроксиэтил)-N-(3-тиенилметил)аминоспиро[1-азабицикло[2.2.2]октан-3,2′-(3’Н)-фуро[2,3-b]пиридин], и их энантиомеры, и их фармацевтически приемлемые соли.
Особенно предпочтительными соединениями изобретения являются соединения формулы I, где n равно 1; R представляет водород и Аr представляет гетероароматическое кольцо, включая следующие соединения:
R-(-)-5′-(3-пиридилметил)аминоспиро[1-азабицикло[2.2.2]октан-3,2′-(3’Н)-фуро[2,3-b]пиридин];
R-(-)-5′-(4-пиридилметил)аминоспиро[1-азабицикло[2.2.2]октан-3,2′-(3’Н)-фуро[2,3-b]пиридин], и их энантиомеры, и их фармацевтически приемлемые соли.
Соединения изобретения имеют преимущество, состоящее в том, что они могут быть менее токсичными, более эффективными, более долгодействующими, имеют более широкий диапазон активности, могут быть более сильнодействующими, вызывают меньше побочных эффектов и легче поглощаются или обладают другими полезными фармакологическими свойствами.
СПОСОБЫ ПОЛУЧЕНИЯ
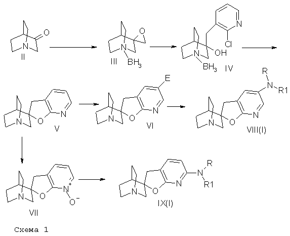
В приведенных ниже схемах реакций и тексте R и R1, если не указано иначе, имеют значения, указанные выше для формулы I. Соединение формулы VIII представляет собой соединение формулы I, где NRR1 присоединен в 5-положении кольца фуропиридина. Соединение формулы IX представляет собой соединение формулы I, где NRR1 присоединен в 6-положении кольца фуропиридина. А представляет N; Е представляет галоген, NO2 или NHR. Соединения формулы I можно получить по способам, указанным в схеме 1.
Соединения формулы I, где А представляет NO, можно получить из соединений формулы I, где А представляет N, окислением пероксидным реагентом в подходящем растворителе с последующим восстановлением оксидов третичных аминов в подходящем растворителе. Окисляющие агенты включают пероксид водорода, м-хлорпербензойную кислоту, перуксусную кислоту или монопероксифталат магния. Предпочтительным окислителем является м-хлорпербензойная кислота. Подходящие инертные растворители включают хлороформ, метиленхлорид и 1,2-дихлорэтан. Предпочтительным растворителем является дихлорметан. Взаимодействие обычно проводят при температуре от -20 С до 66 С, предпочтительно от 0 С до 20 С. Восстанавливающие агенты включают диоксид серы и трифенилфосфин. Предпочтительным агентом является диоксид серы. Подходящие инертные растворители включают воду и спирты. Предпочтительным растворителем является этанол. Взаимодействие обычно проводят при температуре от -20 С до 50 С, предпочтительно от 0 С до 25 С.
Соединения формулы I, где R представляет COR2, можно получить из соединений формулы I, где R представляет водород, с использованием подходящей методики ацилирования. Типичные методики ацилирования включают обработку карбоновой кислотой и агентом сочетания, например дициклогексилкарбодиимидом, в подходящем растворителе, например тетрагидрофуране, или обработку хлорангидридом или ангидридом карбоновой кислоты в присутствии основания. Предпочтительным способом является обработка ангидридом карбоновой кислоты. Подходящие основания включают триэтиламин, 4-(N,N-диметиламино)пиридин или пиридин. Предпочтительным основанием является пиридин. Реакцию обычно проводят при температуре от 0 С до 120 С, предпочтительно от 80 С до 100 С.
Соединения IX можно получить из соединения VII взаимодействием с галогенирующим реагентом, таким как оксихлорид фосфора, оксибромид фосфора, пентахлорид фосфора или пентабромид фосфора, с последующим взаимодействием с амином в инертном растворителе. Предпочтительным галогенирующим реагентом является оксихлорид фосфора. Реакцию галогенирования обычно проводят при температуре от С до 150 С, предпочтительно от 80 С до 120 С. Аминовым компонентом может быть любой амин HNRR1, определенный выше. Подходящие инертные растворители включают спиртовые растворители, такие как метанол и этанол, а также ароматические растворители, такие как бензол, толуол или ксилол. Предпочтительным инертным растворителем является этанол. Взаимодействие обычно проводят при температуре от 20 С до 200 С, предпочтительно от 100 С до 170 С. Взаимодействие с амином можно облегчить присутствием подходящего металлорганического катализатора и основания. Подходящие металлорганические катализаторы включают комплексы палладия и фосфинов, которые можно получить in situ из источника палладия и подходящего фосфина. Предпочтительным источником палладия является трис(дибензилиденацетон)дипалладий(0). Предпочтительным фосфином является 2,2′-бис(дифенилфосфино)-1,1′-бинафтил. Подходящие основания включают бис(триметилсилил)амид лития или трет-бутоксид натрия, предпочтительно трет-бутоксид натрия. Подходящие инертные растворители для взаимодействия в присутствии металлорганического катализатора включают тетрагидрофуран, 1,2-диметоксиэтан или 1,4-диоксан, предпочтительно 1,2-диметоксиэтан, и реакцию обычно проводят при температуре от 60 С до 120 С, предпочтительно от 80 С до 110 С.
Соединения формулы VIII можно получить из соединений формулы VI, где Е представляет NHR, подходящей методикой алкилирования. Типичные методики алкилирования включают обработку подходящим алкилгалогенидом или сульфонатным эфиром и основанием, например гидридом натрия, в подходящем растворителе, например ДМФ, или восстановительное алкилирование с использованием подходящего ароматического альдегида вместе с подходящим восстанавливающим агентом в инертном растворителе. Предпочтительным способом является способ восстановительного алкилирования. Подходящие ароматические альдегиды включают Аr(СН2)mСНО, АrСН=СНСНО или АrС ССНО, где m может быть равно 0-2 и Аr имеет указанные выше значения. Подходящие восстанавливающие алкилирующие агенты включают борогидрид натрия и цианоборогидрид натрия. Предпочтительным восстанавливающим агентом является борогидрид натрия. Подходящие инертные растворители включают воду, метанол или этанол. Предпочтительным растворителем является метанол. Взаимодействие обычно проводят при температуре от 0 С до 100 С, предпочтительно от 20 С до 65 С.
Соединения формулы VIII можно получить из соединений формулы VI, где Е представляет галоген, взаимодействием с амином формулы RR1NH в присутствии подходящего металлорганического катализатора, основания и растворителя. Подходящие металлорганические катализаторы включают комплексы палладия и фосфинов, которые можно получить in situ из источника палладия и подходящего фосфина. Предпочтительным источником палладия является трис(дибензилиденацетон)дипалладий(0). Предпочтительным фосфином является 2,2′-бис(дифенилфосфино)-1,1′-бинафтил. Подходящие основания включают бис(триметилсилил)амид лития или трет-бутоксид натрия, предпочтительно трет-бутоксид натрия. Подходящие инертные растворители включают тетрагидрофуран, 1,2-диметоксиэтан или 1,4-диоксан. Предпочтительным растворителем является 1,2-диметоксиэтан. Реакцию обычно проводят при температуре от 60 С до 120 С, предпочтительно от 80 С до 110 С.
Соединение VII можно получить из соединения V окислением пероксидным реагентом в подходящем растворителе с последующим восстановлением оксидов третичных аминов в подходящем растворителе. Окисляющие агенты включают пероксид водорода, м-хлорпербензойную кислоту, перуксусную кислоту или монопероксифталат магния. Предпочтительным окислителем является м-хлорпербензойная кислота. Подходящие инертные растворители включают хлороформ, метиленхлорид и 1,2-дихлорэтан. Предпочтительным растворителем является дихлорметан. Взаимодействие обычно проводят при температуре от -20 С до 66 С, предпочтительно от 0 С до 20 С.
Восстанавливающие агенты включают диоксид серы и трифенилфосфин. Предпочтительным агентом является диоксид серы. Подходящие инертные растворители включают воду и спирты. Предпочтительным растворителем является этанол. Взаимодействие обычно проводят при температуре от -20 С до 50 С, предпочтительно от 0 С до 25 С.
Соединения формулы VI, где Е представляет NHR и R представляет алкильную группу, можно получить из соединений формулы VI, где Е представляет NH2, подходящей методикой алкилирования. Типичные методики алкилирования включают обработку подходящим алкилгалогенидом или сульфонатным эфиром и основанием, например гидридом натрия, в подходящем растворителе, например ДМФ, или восстановительное алкилирование с использованием подходящего альдегида или кетона вместе с подходящим восстанавливающим агентом в инертном растворителе. Предпочтительным способом является восстановительное алкилирование. Подходящие восстанавливающие агенты включают борогидрид натрия и цианоборогидрид натрия. Предпочтительным восстанавливающим агентом является борогидрид натрия. Подходящие инертные растворители включают воду, метанол или этанол. Предпочтительным растворителем является метанол. Взаимодействие обычно проводят при температуре от 0 С до 100 С, предпочтительно от 20 С до 65 С.
Соединения формулы VI, где Е представляет NH2, можно получить из соединений формулы VI, где Е представляет NO2, восстановлением в подходящем растворителе. Подходящие восстанавливающие агенты включают водород в присутствии катализатора, например 5-10% палладия на угле, оксида платины или родия на угле. Предпочтительным восстанавливающим агентом является водород в присутствии 10% палладия на угле. Подходящие инертные растворители включают воду, метанол или этанол. Предпочтительным растворителем является метанол. Взаимодействие обычно проводят при температуре от 0 С до 65 С, предпочтительно от 15 С до 30 С.
Соединение VI, где Е представляет NO2, можно получить из соединения V взаимодействием с нитрующим агентом в подходящем растворителе. Предпочтительным нитрующим агентом является дымящая азотная кислота; предпочтительным растворителем является серная кислота. Взаимодействие обычно проводят при температуре от -10 С до 100 С, предпочтительно от 50 С до 80 С.
Соединения формулы VI, где Е представляет галоген, можно получить из соединения V взаимодействием с галогенирующим агентом в подходящем растворителе, например бромом в уксусной кислоте. Взаимодействие обычно проводят при температуре от 0 С до 110 С, предпочтительно от 60 С до 110 С.
Соединение V можно получить циклизацией соединения IV в присутствии основания в инертном растворителе с последующим снятием защиты у циклизованного соединения с использованием кислоты в подходящем растворителе. Подходящие основания включают гидрид натрия, амид натрия, гидрид калия, трет-амилат калия, трет-бутоксид калия и бис(триметилсилил)амид калия. Предпочтительным основанием является гидрид натрия. Подходящие инертные растворители включают N,N-диметилформамид, N-метилпирролидин-2-он, простые эфиры, такие как диэтиловый эфир, тетрагидрофуран и 1,4-диоксан, и диметилсульфоксид. Предпочтительным инертным растворителем является N,N-диметилформамид. Взаимодействие обычно проводят при температуре от -10 С до 100 С, предпочтительно от 20 С до 66 С.
Подходящие кислоты для снятия защиты у циклизованного соединения включают минеральные, органические кислоты и кислоты Льюиса, например хлористовородную и бромистоводородную кислоту, серную кислоту, трифторметансульфоновую кислоту, метансульфоновую кислоту и эфират трифторида бора. Предпочтительной кислотой является бромистоводородная кислота. Подходящие растворители включают ацетон, бутанон, этанон и пинаколон. Предпочтительным растворителем является ацетон. Взаимодействие обычно проводят при температуре от -10 С до 100 С, предпочтительно от 0 С до 60 С. В альтернативном случае снятие защиты можно проводить нагреванием комплекса борана в спиртовых растворителях. Предпочтительным способом является кипячение с обратным холодильником комплекса в растворе этанола.
Соединение IV можно получить из соединения III с использованием литиевого основания и агента переноса протонов в инертном растворителе. Подходящие основания лития включают диизопропиламид лития, н-бутиллитий, втор-бутиллитий, трет-бутиллитий и фениллитий. Предпочтительным литиевым основанием является фениллитий. Подходящие агенты переноса протонов включают (стерически) затрудненные вторичные амины, такие как диизопропиламин и 2,2,6,6-тетраметилпиперидин. Предпочтительным агентом переноса протонов является диизопропиламин. Подходящие инертные растворители включают диэтиловый простой эфир, тетрагидрофуран и 1,4-диоксан. Предпочтительным инертным растворителем является тетрагидрофуран. Реакцию обычно проводят при температуре от -100 С до 0 С, предпочтительно от -78 С до -25 С.
Соединение III можно получить взаимодействием соединения II с анионом реагента, хорошо известного в данной области, для получения оксиранов из кетонов (см., например реакции, указанные в J. March, “Advanced Organic Chemistry” (1992) 4th Edition, pages 974-975) с последующим взаимодействием с бораном (ВН3 или В2Н6) в инертном растворителе, предпочтительно бораном в тетрагидрофуране. Подходящие инертные растворители включают диэтиловый простой эфир, тетрагидрофуран и 1,4-диоксан. Предпочтительным инертным растворителем является тетрагидрофуран. Взаимодействие обычно проводят при температуре от -10 С до 66 С, предпочтительно от 0 С до 20 С. Подходящие эпоксидирующие агенты включают иодид триметилсульфоксония, иодид триметилсульфония и диазометан. Предпочтительным агентом является иодид триметилсульфоксония. Подходящие инертные растворители включают диполярные апротонные растворители. Предпочтительным растворителем является диметилсульфоксид. Взаимодействие обычно проводят при температуре от -10 С до 100 С, предпочтительно от 50 С до 75 С.
Когда необходимо, гидрокси, амино или другие реакционноспособные группы можно защитить с использованием защитной группы, как описано в стандартной монографии “Protecting groups in Organic Synthesis”, 2nd Edition (1991) by Greene and Wuts.
Вышеописанные реакции, если не указано иначе, обычно проводят при давлении от одной до трех атмосфер, предпочтительно при давлении окружающей среды (приблизительно одна атмосфера). Если не указано иначе, вышеописанные реакции проводят в инертной атмосфере, предпочтительно в атмосфере азота.
Соединения изобретения и промежуточные продукты можно выделить из их реакционных смесей стандартными способами.
Кислотно-аддитивные соли соединений формулы I, которые могут быть указаны, включают соли минеральных кислот, например гидрохлоридные и гидробромидные соли, и соли, образованные органическими кислотами, такие как формиатная, ацетатная, малеатная, бензоатная, тартратная и фумаратная соли.
Кислотно-аддитивные соли соединений формулы I можно получить взаимодействием свободного основания или его соли, энантиомера или защищенного производного с одним или несколькими эквивалентами подходящей кислоты. Взаимодействие можно проводить в растворителе или среде, в которой соль нерастворима, или в растворителе, в котором соль растворима, например воде, диоксане, этаноле, тетрагидрофуране или диэтиловом эфире, или смеси растворителей, которые можно удалить в вакууме или сушкой вымораживанием. Реакция может быть метатезисным процессом или ее можно проводить на ионообменной смоле.
Соединения формулы I существуют в таутомерных или энантиомерных формах, все из которых включены в объем изобретения. Различные оптические изомеры можно выделить разделением рацемической смеси соединений с использованием обычных методик, например фракционной кристаллизации или хиральной ВЭЖХ. В альтернативном случае индивидуальные энантиомеры можно получить взаимодействием подходящих оптически активных исходных материалов в условиях реакции, которые не вызовут рацемизацию.
Промежуточные продукты
Следующий аспект изобретения относится к новым промежуточным продуктам. Особый интерес среди этих новых промежуточных продуктов представляют соединения формулы VI и VII на схеме I. Эти промежуточные продукты можно использовать для синтеза соединений формулы I, но их использование не ограничивается синтезом указанных соединений. Формулы для этих соединений представлены ниже:
Соединения формулы VI
где Е представляет NO2, NHR или галоген;
и соединения формулы VII
Промежуточные соединения также существуют в энантиомерных формах и могут быть использованы в виде очищенных энантиомеров, рацематов или смесей.
Использование соединений VI и VII как промежуточных продуктов в синтезе лиганда для никотиновых рецепторов ацетилхолина является другим аспектом изобретения.
Фармацевтические композиции
Следующий аспект изобретения относится к фармацевтической композиции для лечения или профилактики состояния или нарушения, примеры которых приводятся ниже, являющиеся результатом дисфункции нейропереноса никотинового рецептора ацетилхолина у млекопитающего, предпочтительно человека, содержащей количество соединения формулы I, его энантиомера и его фармацевтически приемлемой соли, эффективное для лечения или профилактики такого нарушения или состояния, и инертный фармацевтически приемлемый носитель.
Для вышеуказанных применений введенная доза будет, конечно, изменяться в зависимости от используемого соединения, способа введения и требуемого лечения. Однако, в общем, удовлетворительные результаты будут получены, когда соединения изобретения вводят при суточной дозе от 0,1 мг до 20 мг на кг массы тела млекопитающего, предпочтительно данной в виде разделенных доз от 1 до 4 раз в день или в форме с длительным высвобождением (пролонгированным действием). Для человека общая суточная доза находится в диапазоне от 5 мг до 1400 мг, более предпочтительно от 10 мг до 100 мг, и единичная дозированная форма, подходящая для перорального введения, включает от 2 мг до 1400 мг соединения, смешанного с твердым или жидким фармацевтическим носителем или разбавителем.
Соединения формулы I, или его энантиомер, или его фармацевтически приемлемые соли можно использовать как таковые или в форме подходящих лекарственных препаратов для энтерального, парентерального, перорального, ректального или назального введения. В соответствии со следующим аспектом изобретения предлагается фармацевтическая композиция, предпочтительно содержащая менее чем 80% и более предпочтительно менее чем 50 мас.% соединения изобретения, в смеси с инертным фармацевтически приемлемым разбавителем или носителем.
Примерами подходящих разбавителей и носителей являются:
– для таблеток и драже: лактоза, крахмал, тальк, стеариновая кислота; для капсул: винная кислота или лактоза;
– для инъецируемых растворов: вода, спирты, глицерин, растительные масла; для суппозиториев: природные или гидрогенизированные жиры или воски.
Предлагается также способ получения такой фармацевтической композиции, который включает смешивание ингредиентов одновременно или последовательно.
Применение
Следующим аспектом изобретения является применение соединения по данному изобретению или его энантиомера и его фармацевтически приемлемой соли при изготовлении лекарственного препарата для лечения или профилактики одного из нижеуказанных заболеваний или состояний и способ лечения или профилактики одного из нижеуказанных заболеваний или состояний, который включает введение терапевтически эффективного количества соединения по изобретению или его энантиомера и его фармацевтически приемлемой соли пациенту.
Соединения по данному изобретению являются агонистами никотиновых рецепторов ацетилхолина. Не ограничиваясь теорией, считают, что агонисты nAChR (никотинового рецептора ацетилхолина) подтипа 7 должны быть полезными для лечения или профилактики психотических нарушений и нарушений интеллектуальных способностей и имеют преимущества по сравнению с соединениями, которые являются или также являются агонистами nAChR подтипа 4. Следовательно, соединения, которые являются селективными для подтипа 7 nAChR, являются предпочтительными. Соединения изобретения являются селективными для подтипа 7 nAChR. В качестве фармацевтических средств соединения изобретения предназначаются, в частности, для лечения или профилактики психотических нарушений и нарушений интеллектуальных способностей. Примеры психотических нарушений включают шизофрению, манию или маниакальную депрессию и тревожные состояния. Примеры нарушений интеллектуальных способностей включают болезнь Альцгеймера, дефицит способности обучения, дефицит познавательных способностей, дефицит внимания, потерю памяти, деменцию Lewy Body и дефицит внимания, характеризующийся гиперактивностью. Соединения изобретения могут быть также полезными в качестве аналгетиков при лечении боли (включая хроническую боль) и для лечения или профилактики болезни Паркинсона, болезни Хантингтона, болезни Туретта и нейродегенеративных нарушений, при которых происходит потеря холинергических синапсов. Соединения изобретения могут быть дополнительно показаны для лечения или профилактики расстройства нормального циркадного ритма, для использования в индуцировании прекращения курения и для лечения или профилактики никотиновой зависимости (включая зависимость, которая является результатом воздействия продуктов, содержащих никотин).
Считается также, что соединения по изобретению полезны для лечения и профилактики неспецифического язвенного колита.
ФАРМАКОЛОГИЯ
Фармакологическую активность соединений изобретения можно измерить в испытаниях, указанных ниже:
Испытание А – Анализ на аффинность к подтипу 7 nAChR
Связывание 125I- -бунгаротоксина (ВТХ) с мембранами гиппокампа крыс. Гиппокампы крыс гомогенизировали в 20 объемах холодного буфера для гомогенизации (НВ: концентрации компонентов (мМ): трис(гидроксиметил)аминометан 50; MgCl2 1; NaCl 120; KCl 5; рН 7,4). Гомогенат центрифугировали в течение 5 минут при 1000g, супернатант сохраняли, и осадок после центрифугирования снова экстрагировали. Объединенные супернатанты центрифугировали в течение 20 минут при 12000g, промывали и повторно суспендировали в НВ. Мембраны (30-80 мкг) инкубировали с 5 нМ [125I]- -ВТХ, 1 мг/мл АБС (альбумин бычьей сыворотки) испытуемым лекарственным средством и либо 2 мМ CaCl2, либо 0,5 мМ EGTA [бис-( -аминоэтиловый эфир) этиленгликоля] в течение 2 часов при 21 С и затем фильтровали и промывали 4 раза на фильтрах Ватмана из стеклянных волокон (толщина С) с использованием сборника клеток Бранделя. Предварительная обработка фильтров в течение 3 часов 1% раствором (АБС/0,01% PEI (полиэтиленимин)) в воде была критической для низких контролей фильтров (0,07% общего количества в минуту). Неспецифическое связывание описывали 100 мкМ (-)-никотином, и специфическое связывание в типичном случае было 75%.
Испытание В – Анализ на аффинность к подтипу 4 nAChR
Связывание [3H]-(-)-никотина. С использованием процедуры, модифицированной по Martino-Barrows и Kellar (Mol. Pharm (1987) 31:169-174), головной мозг (кору и гиппокамп) крыс гомогенизировали, как в анализе связывания [125I]- -BTX, центрифугировали в течение 20 минут при 12000g, промывали два раза и затем повторно суспендировали в НВ, содержащей 100 мкМ диизопропилфторфосфата. Спустя 20 минут, при 4 С мембраны (приблизительно 0,5 мг) инкубировали с 3 нМ [3H]-(-)-никотином испытуемым лекарственным средством, 1 мкМ атропина и либо 2 мМ CaCl2, либо 0,5 мМ EGTA в течение 1 часа при 4 С и затем фильтровали через фильтры Ватмана из стеклянных волокон (толщина С) (предварительно обработаны в течение 1 часа 0,5% PEI) с использованием сборника клеток Бранделя. Неспецифическое связывание описывали 100 мкМ карбахолом и специфическое связывание в типичном случае было 84%.
Анализ данных связывания для испытаний А и В
Величины IC50 и псевдокоэффициенты Хилла (nн) вычисляли с использованием программы ALLFIT нелинейной аппроксимации кривой (DeLean A, Munson P.J. and Rodbard D. (1977) Am. J. Physiol., 235:E97-E102). Кривые насыщения были аппроксимированы для односторонней модели с использованием программы ENZFITTER нелинейной регрессии (Leatherbarrow, R.J. (1987)), что давало величины КD 1/67 и 1,70 нМ для лигандов 125I- -BTX и [3H]-(-)-никотина соответственно. Величины Ki вычисляли с использованием общего уравнения Cheng-Prusoff:
Ki-[IС50]/((2+([лиганд]/[КD]n])1/n-1)
где величину n=1 использовали всякий раз, когда nн<1,5, и величину n=2 использовали, когда nн 1,5. Образцы анализировали в трех повторностях, они различались в типичном случае на ±5%. Величины Ki определяли с использованием 6 или более концентраций лекарственного средства. Соединения изобретения являются соединениями с аффинностями связывания (Ki) менее чем 1000 нМ либо в испытании А, либо в испытании В, что указывает на то, что они, как и ожидалось, обладают полезной терапевтической активностью.
ПРИМЕРЫ
Коммерческие реагенты использовали без дополнительной очистки. Масс-спектры регистрировали с использованием масс-спектрометра либо Hewlett Packard 5988А, либо MicroMass Quattro-1 и представляли в виде m/z для исходного молекулярного иона с его относительной интенсивностью. Комнатная температура относится к 20-25 С.
Следующие примеры являются предпочтительными неограничивающими примерами, воплощающими предпочтительные аспекты изобретения.
Получение 1
Комплекс спиро[1-азабицикло[2.2.2]октан-3,2′-оксиран]-N-боран (соединение III)
Смесь иодида триметилсульфоксония (16,10 г, 73,2 ммоль) и дисперсии гидрида натрия (60% в масле, 3,00 г, 75,0 ммоль) в безводном диметилсульфоксиде перемешивают при комнатной температуре в атмосфере азота в течение 30 минут. Затем хинуклидин-3-он (II) (7,05 г, 56,3 ммоль) добавляют в виде твердых порций, и образовавшуюся смесь перемешивают при 65-70 С в атмосфере азота в течение 1 часа. Реакционную смесь охлаждают, добавляют воду (200 мл) и образовавшийся раствор экстрагируют хлороформом (3 200 мл). Экстракты в хлороформе объединяют и обратно экстрагируют водой (4 200 мл). Слой хлороформа затем сушат (MgSO4), фильтруют и упаривают при пониженном давлении с получением спиро[1-азабицикло[2.2.2]-октан-3,2′-оксирана] (6,51 г, 46,8 ммоль, 83%) в виде прозрачной, бесцветной жидкости. К перемешиваемому раствору спиро[1-азабицикло[2.2.2]октан-3,2′-оксирана] (5,3 г, 38,1 ммоль) в безводном тетрагидрофуране (100 мл) при 0 С добавляют по каплям раствор борана в тетрагидрофуране (1,0 М, 38,1 мл, 38,1 ммоль) и образовавшийся раствор перемешивают при 0 С в атмосфере азота в течение 30 минут. К реакционной смеси осторожно добавляют рассол (100 мл) и образовавшуюся водную смесь экстрагируют этилацетатом (2 100 мл).
Органические экстракты объединяют, сушат (MgSO4), фильтруют и упаривают при пониженном давлении с получением вышеуказанного соединения (III) (4,3 г, 28,1 ммоль, 74%) в виде белого твердого вещества: МС с электрораспылением 152 ([М-Н]+ 15).
Получение 2
Комплекс 3-(2-хлорпиридин-3-илметил)-3-гидрокси-1-азабицикло[2.2.2]октан-N-боран (соединение IV)
Раствор фениллития (1,8 М в смеси циклогексан/эфир [7:3], 167 мл, 0,3 моль, 3 эквив.) добавляют посредством канюли к безводному тетрагидрофурану (350 мл) при -60 С в атмосфере азота. Затем по каплям добавляют диизопропиламин (0,7 мл, 5 ммоль) с последующим добавлением по каплям 2-хлорпиридина (28,4 мл, 0,3 моль, 3 эквив.) на протяжении десяти минут. Образовавшийся раствор перемешивают при -40 С в атмосфере азота в течение 1,5 часа. Раствор затем охлаждают до -60 С и по каплям добавляют раствор комплекса спиро[1-азабицикло[2.2.2]октан-3,2′-оксиран]-N-боран (15,3 г, 0,1 моль) в тетрагидрофуране (75 мл). Образовавшуюся реакционную смесь затем перемешивают при -40 С в атмосфере азота. Спустя 3 часа медленно добавляют насыщенный раствор бикарбоната натрия (150 мл), затем воду (400 мл) и образовавшейся водной смеси дают возможность нагреться до комнатной температуры. Слои разделяют, и водную фазу экстрагируют этилацетатом (3 100 мл). Органические слои объединяют, сушат (MgSO4), фильтруют и упаривают при пониженном давлении. Колоночная хроматография с использованием силикагеля и элюирования смесью этилацетат/гексаны [3:2] дает вышеуказанное соединение IV в виде рыжевато-коричневого твердого вещества (17,5 г, 65,6 ммоль, 66%): МС с электрораспылением 269 ([МН]+ с 37Cl, 10), 267 ([MH]+ с 35Cl, 26).
Получение 3
Спиро[1-азабицикло[2.2.2]октан-3,2′(3’Н)-фуро[2,3-b]пиридин] (соединение V)
Комплекс 3-(2-хлорпиридин-3-илметил)-3-гидрокси-1-азабицикло[2.2.2]октан-N-боран (17,4 г, 65,3 ммоль) растворяют в безводном N,N-диметилформамиде (500 мл), образовавшийся раствор охлаждают до 0 С в атмосфере азота и по порциям добавляют дисперсию гидрида натрия (60% в масле, 6,55 г, 163 ммоль, 2,5 эквив.). Образовавшийся раствор перемешивают при комнатной температуре в атмос фере азота в течение 16 часов. Затем при 0 С добавляют насыщенный раствор хлорида аммония (50 мл), затем ледяную воду (500 мл), и образовавшуюся водную смесь экстрагируют хлороформом (4 125 мл). Органические экстракты объединяют, сушат (MgSO4) и упаривают при пониженном давлении с получением оранжевого твердого вещества. Очистка посредством короткой колонки с силикагелем с элюированием смесью хлороформ/ацетон [от 95:5 до 85:15] с последующим перемешиванием в гексане (100 мл) и фильтрованием дает соединение в виде желтого твердого вещества (12,7 г, 55,2 ммоль, 84%) комплекс спиро[1-азабицикло[2.2.2]октан-3,2′(3’Н)-фуро[1,3-b]пиридин]-N-боран, МС с электрораспылением 231 ([МН]+ 65).
Комплекс cпиpo[l-aзaбициклo[2.2.2]oктaн-3,2′(3’Н)-фуро-[2,3-b]пиридин]-N-боран (12,2 г, 53 ммоль) растворяют в 150 мл ацетона, раствор охлаждают до 0 С и добавляют водный раствор НВr (24 ); 50 мл. Образовавшийся раствор перемешивают при комнатной температуре в атмосфере азота в течение 24 час. Реакционную смесь концентрируют при пониженном давлении и водный остаток обрабатывают насыщенным водным раствором карбоната натрия (50 мл). Раствор подщелачивают до рН>10 с использованием твердого карбоната натрия, и образовавшийся раствор экстрагируют хлороформом (3 100 мл). Органические экстракты объединяют, сушат (MgSO4), фильтруют и упаривают при пониженном давлении с получением вышеуказанного соединения VI (11,2 г, 51,8 ммоль, 98%, общий выход 54%) в виде не совсем белого твердого вещества: МС с электрораспылением 217 ([МН]+, 72).
Указанное в заголовке соединение разделяют на его (R)- и (S)-энантиомеры одним из следующих способов:
Способ А – 250 мг указанного в заголовке соединения разделяют хиральной ВЭЖХ с использованием колонки 2 см 25 см CHIRALCEL-OD на системе для препаративной хроматографии Waters Delta Prep. 3000 с элюированием смесью 2,2,4-триметилпентан/этанол (от 92:8 до 9:1) при скорости потока 20- мл/мин. Это дает 111 мг (S)-энантиомера ([ ]23=+59,7 (с=1, метанол)) и 90 мг (R)-энантиомера ([а]23=-63,9 (с=1, метанол)).
Способ В – 1 г (4,62 ммоль) указанного в заголовке соединения обрабатывают L-(+)-винной кислотой (694 мг, 4,62 ммоль) в 15% водном этаноле (10 мл) и перекристаллизовывают три раза с получением L-(+)-тартрата (S)-энантиомера (650 мг; 1,77 ммоль; [ ]23=+57,7 (с=2, Н2О)). Фильтраты концентрируют при пониженном давлении и водный остаток подщелачивают до рН>10 с использованием твердого карбоната натрия. Образовавшуюся смесь экстрагируют хлороформом (3 25 мл) и объединенные экстракты сушат (MgSO4) и упаривают при пониженном давлении. Остаток (650 мг; 3 ммоль) обрабатывают D-(-)-винной кислотой (452 мг; 3 ммоль) и перекристаллизовывают, как описано выше, с получением D-(-)-тартрата (R)-энантиомера (775 мг; 2,11 ммоль; ([а]23=-58,2 (с=2, H2O)).
Получение 4
(R)-(-)-5′-нитроспиро[1-азабицикло[2.2.2]октан-3,2′(3’Н)-фуро[2,3-b]пиридин (соединение VI, Е=NO2)
(R)-(-)-спиро[1-азабицикло[2.2.2]октан-3,2′(3’Н)-фуро-[2,3-b]пиридин (3,03 г, 14 ммоль) растворяют в концентрированной серной кислоте (7 мл) при 0-5 С, на протяжении 10 минут добавляют дымящую азотную кислоту (3,3 мл 70,2 ммоль), смесь перемешивают в течение 1 часа и нагревают при 65-70 С в течение 24 часов, охлаждают, выливают в лед (200 г), добавляют 300 мл воды, подщелачивают до рН 10 твердым карбонатом калия, перемешивают в течение 1 часа, фильтруют и сушат с получением твердого указанного в заголовке соединения (3,6 г, 13,8 ммоль, 98%): МС с электрораспылением 262 ([МН]+, 100).
Получение 5
(R)-(-)-5′-аминоспиро[1-азабицикло[2.2.2]октан-3,2′(3’Н)-фуро[2,3-b]пиридин (соединение VI, Е=NH2)
Смесь энантиомера (R)-(-)-5′-нитроспиро[1-азабицикло-[2.2.2]октан-3,2′(3’Н)-фуро[2,3-b]пиридина (3,8 г, 13,3 моль)] и 10% палладия на угле (48% влажность, 270 г) в метаноле (90 мл) гидрируют в течение 1 часа при давлении водорода 344 кПа (50 фунтов на кв. дюйм). Катализатор отделяют фильтрованием через слой целита, и растворитель выпаривают при пониженном давлении; остаток очищают флэш-хроматографией (элюирование смесью, содержащий аммиак-хлороформ/метанол, от 95:5 до 85:15) с получением указанного в заголовке соединения (2,5 г, 10,8 ммоль, 81%): МС с электрораспылением (m/z, относительная интенсивность) 232 ([МН]+, 100).
Получение 6
(R)-(-)-спиро[1-азабицикло[2.2.2]октан-3,2′(3’Н)-фуро[2,3-b]-пиридин-N-оксид] (соединение VII)
Раствор 2,03 г (9,38 ммоль) (R)-(-)-спиро[1-азабицикло-[2.2.2]октан-3,2′(3’Н)-фуро[2,3-b]пиридина] в 100 мл метиленхлорида охлаждают на ледяной бане и к нему добавляют по частям 6,90 г (22,8 ммоль) 57-86% м-хлорпербензойной кислоты на протяжении 5 минут. Реакционной смеси дают возможность нагреться постепенно до температуры окружающей среды и перемешивают в течение всего 24 часов. Растворитель удаляют в вакууме и твердый остаток растворяют в 100 мл абсолютного этанола, охлаждают на ледяной бане и через раствор барботируют диоксид серы до тех пор, пока раствор не станет мутным. Реакционную смесь перемешивают в течение 4 часов, затем растворитель удаляют в вакууме. Твердый остаток растворяют в 150 мл смеси 9:1 хлороформа и метанола, затем экстрагируют 50 мл 10% водного гидроксида натрия. Органический слой сушат над сульфатом магния, концентрируют в вакууме и флэш-хроматографируют посредством нейтрального силикагеля с использованием смеси 9:1 хлороформа и 2,0 М аммиака в метаноле в качестве элюента с получением 1,30 г (60%) указанного в заголовке соединения после кристаллизации из смеси этилацетат/гексан (1:1):([ ]23=-56,82 (с=1,09, EtOH), МС с электрораспылением 233 [МН]+, 100.
Получение 7А
5′-бромспиро[1-азабицикло[2.2.2]октан-3,2′(3’Н)-фуро[2,3-b]-пиридин] (соединение VI, Е=Вr)
Раствор спиро[1-азабицикло[2.2.2]октан-3,2′(3’Н)-фуро[2,3-b]пиридина] (100 мг, 0,462 ммоль) и ацетата натрия (410 мг, 5 ммоль) в 50% водной уксусной кислоте (4 мл) нагревают до 60 С. Через шприц на протяжении 10 минут добавляют бром (0,100 мл, 1,94 ммоль), и раствор затем нагревают при кипячении с обратным холодильником в течение 1 часа. Смеси дают возможность охладиться до температуры окружающей среды, подщелачивают до рН>10 карбонатом натрия и экстрагируют хлороформом (3 15 мл). Объединенные экстракты сушат (MgSO4), фильтруют и упаривают при пониженном давлении с получением указанного в заголовке соединения (110 мг, 0,37 ммоль, 81%) в виде не совсем белого твердого вещества: МС с электрорспылением 295 ([МН]+ с 79Вr, 100), 297 ([МН]+ с 81Вr, 98).
Получение 7В
(R)-(-)-5′-бромспиро[1-азабицикло[2.2.2]октан-3,2′(3’Н)-фуро-[2,3-b]пиридин] (соединение VI, Е=Вr)
Энантиомер (R)-(-)-спиро[1-азабицикло[2.2.2]октан-3,2′(3’Н)-фуро[2,3-b]пиридин] (1,95 г, 9 ммоль) обрабатывают таким же путем, как описано в получении 7А, с получением указанного в заголовке соединения (1,77 г, 6 ммоль, 67%) ([ ]23=-45,5 (с=1, МеОН)).
Пример 1
(R)-(-)-5′-N-(фенилметил)аминоспиро[1-азабицикло[2.2.2]октан-3,2′-(3’Н)-фуро[2,3-b]пиридин]
Сферические частицы натрия блотируют досуха от уайт-спирита, взвешивают (100 мг, 4,3 ммоль) и постепенно добавляют к 2 мл безводного метанола при перемешивании в атмосфере азота при 0 С. Реакционную смесь перемешивают при 0 С в течение 25 минут, причем за это время прекращается энергичное выделение пузырьков и почти вся твердая часть растворяется. Добавляют 5′-аминоспиро[1-азабицикло[2.2.2]октан-3,2′-(3’Н)-фуро[2,3-b]пиридин] (230 мг, 1,0 ммоль) и бензальдегид (0,23 мл, 1,0 ммоль), ледяную баню удаляют и добавляют дополнительные 2 мл безводного метанола. Раствор перемешивают при комнатной температуре в течение двух дней, затем нагревают до 50 С в течение 2 час. Добавляют борогидрид натрия (106 мг, 2,8 ммоль), и реакционную смесь нагревают при кипячении с обратным холодильником в течение 90 минут. После охлаждения до температуры окружающей среды метанол удаляют в вакууме и остаток распределяют между 8 мл хлороформа и 2 мл воды. Водный слой экстрагируют еще два раза 8 мл хлороформа, и органические слои объединяют и сушат над сульфатом магния. Хлороформ выпаривают в вакууме, и сырой продукт очищают на флэш-колонке с диоксидом кремния с использованием градиента 0-10% раствор аммиака в метаноле/хлороформ, получая 0,25 г (77%) указанного в заголовке соединения в виде белого порошка: МС с электрораспылением 322 ([МН]+, 100).
Пример 2
(R)-(-)-5′-N-(2-пиридилметил)аминоспиро[1-азабицикло[2.2.2]-октан-3,2′-(3’Н)-фуро[2,3-b]пиридин]
Указанное в заголовке соединение получают процедурой, использованной в примере 1, из 115 мг (0,5 ммоль) 5′-амино-спиро[1-азабицикло[2.2.2]октан-3,2′-(3’Н)-фуро[2,3-b]пиридина] и 0,114 мл (1,2 ммоль) 2-пиридинкарбоксальдегида с получением 84 мг указанного в заголовке соединения в виде бежевого порошка (52%): МС с электрораспылением 323 ([МН]+, 100).
Пример 3
(R)-(-)-5′-N-(3-пиридилметил)аминоспиро[1-азабицикло [2.2.2]-октан-3,2′-(3’Н)-фуро[2,3-b]пиридин]
Указанное в заголовке соединение получают процедурой, использованной в примере 1, из 115 мг (0,5 ммоль) 5′-аминоспиро[1-азабицикло[2.2.2]октан-3,2′-(3’Н)-фуро[2,3-b]пиридина] и 3-пиридинкарбоксальдегида с получением 81 мг (50%) указанного в заголовке соединения в виде бежевого порошка: МС с электрораспылением 323 ([МН]+, 100).
Пример 4
(R)-(-)-5′-N-(4-пиридилметил)аминоспиро[1-азабицикло[2.2.2]-октан-3,2′-(3’Н)-фуро[2,3-b]пиридин]
Указанное в заголовке соединение получают процедурой, использованной в примере 1, из 115 мг (0,5 ммоль) 5′-аминоспиро[1-азабицикло[2.2.2]октан-3,2′-(3’Н)-фуро[2,3-b]пиридина] и 4-пиридинкарбоксальдегида с получением 84 мг (52%) указанного в заголовке соединения в виде светло-желтого порошка: МС с электрораспылением 323 ([МН]+, 100).
Пример 5
(R)-(-)-5′-N-(2-фуранилметил)аминоспиро[1-азабицикло[2.2.2]-октан-3,2′-(3’Н)-фуро[2,3-b] пиридин]
Указанное в заголовке соединение получают процедурой, использованной в примере 1, из 50 мг (0,22 ммоль) 5′-аминоспиро[1-азабицикло[2.2.2]октан-3,2′-(3’Н)-фуро[2,3-b]пиридина и 2-фуральдегида (43 мл, 0,52 ммоль) с получением 30 мг указанного в заголовке соединения в виде темно-желтого полутвердого вещества: МС с электрораспылением 312 ([МН]+, 100).
Пример 6
(R)-(-)-5′-N- (3-фуранилметил)аминоспиро[1-азабицикло[2.2.2]-октан-3,2′-(3’Н)-фуро[2,3-b]пиридин]
Указанное в заголовке соединение получают процедурой, использованной в примере 1, из 50 мг (0,22 ммоль) 5′-аминоспиро[1-азабицикло[2.2.2]октан-3,2′-(3’Н)-фуро[2,3-b]пиридина и 3-фуральдегида с получением 25 мг указанного в заголовке соединения: МС с электрораспылением 312 ([МН]+, 100).
Пример 7
(R)-(-)-5′-N-(2-тиенилметил)аминоспиро[1-азабицикло[2.2.2]-октан-3,2′-(3’Н)-фуро[2,3-b]пиридин]
Указанное в заголовке соединение получают процедурой, использованной в примере 1, из 50 мг (0,22 ммоль) 5′-аминоспиро[1-азабицикло[2.2.2]октан-3,2′-(3’Н)-фуро[2,3-b]пиридина и 2-тиофенкарбоксальдегида с получением 9 мг указанного в заголовке соединения: МС с электрораспылением 328 ([МН]+, 100).
Пример 8
(R)-(-)-5′-N-(4-метоксифенилметил)аминоспиро[1-азабицикло-[2.2.2]октан-3, 2′-(3’Н)-фуро[2,3-b]пиридин]
Указанное в заголовке соединение получают процедурой, использованной в примере 1, из 50 мг (0,22 ммоль) 5′-аминоспиро[1-азабицикло[2.2.2]октан-3,2′-(3’Н)-фуро[2,3-b]пиридина и 4-метоксибензальдегида с получением 18 мг указанного в заголовке соединения: МС с электрораспылением 352 ([МН]+, 100).
Пример 9
(R)-(-)-5′-N-(4-хлорфенилметил)аминоспиро[1-азабицикло-[2.2.2]октан-3,2′-(3’Н)-фуро[2,3-b]пиридин]
Указанное в заголовке соединение получают процедурой, использованной в примере 1, из 50 мг (0,22 ммоль) 5′-аминоспиро[1-азабицикло[2.2.2]октан-3,2′-(3’Н)-фуро[2,3-b]пиридина и 4-хлорбензальдегида с получением 62 мг указанного в заголовке соединения: МС с электрораспылением 356 [МН]+, 37Cl 358.
Пример 10
(R)-(-)-5′-N-(4-метилфенилметил)аминоспиро[1-азабицикло-[2.2.2]октан-3,2′-(3’Н)-фуро[2,3-b]пиридин]
Указанное в заголовке соединение получают процедурой, использованной в примере 1, из 50 мг (0,22 ммоль) 5′-аминоспиро[1-азабицикло[2.2.2]октан-3,2′-(3’Н)-фуро[2,3-b]пиридина и 4-толуальдегида с получением 6 мг указанного в заголовке соединения: МС с электрораспылением 336 ([МН]+ 100).
Пример 11
(R)-(-)-5′-N-(3,4-дихлорфенилметил)аминоспиро[1-азабицикло-[2.2.2]октан-3,2′-(3’Н)-фуро[2,3-b]пиридин]
Указанное в заголовке соединение получают процедурой, использованной в примере 1, из 50 мг (0,22 ммоль) 5′-аминоспиро[1-азабицикло[2.2.2]октан-3,2′-(3’Н)-фуро[2,3-b]пиридина и 3,4-дихлорбензальдегида с получением 19 мг указанного в заголовке соединения: МС с электрораспылением 390 [МН]+, 37Cl1 392, 37Cl2 394.
Пример 12
(R)-(-)-5′-N-(2-имидазолилметил)аминоспиро[1-азабицикло-[2.2.2]октан-3,2′-(3’Н)-фуро[2,3-b]пиридин]
Указанное в заголовке соединение получают процедурой, использованной в примере 1, из 50 мг (0,22 ммоль) 5′-аминоспиро[1-азабицикло [2.2.2] октан-3,2′-(3’Н)-фуро[2,3-b]пиридина и 2-имидазолкарбоксальдегида с получением 57 мг указанного в заголовке соединения: МС с электрораспылением 312 ([МH]+, 100).
Пример 13
(R)-(-)-5′-N-ацетил-N-(фенилметил)аминоспиро[1-азабицикло-[2.2.2]октан-3,2′-(3’Н)-фуро[2,3-b]пиридин]
Уксусный ангидрид (25 мкл, 0,26 ммоль) добавляют к раствору (R)-(-)-5′-N-(фенилметил)аминоспиро[1-азабицикло-[2.2.2]oктaн-3,2′-(3’H)-фypo[2,3-b]пиpидинa] (50 мг, 0,22 ммоль) в 1 мл безводного пиридина в атмосфере азота. Реакционную смесь нагревают при 95 С на масляной бане, затем охлаждают до температуры окружающей среды и выливают в насыщенный карбонат натрия. Продукт экстрагируют четырьмя порциями хлороформа. Органические слои объединяют, сушат над сульфатом магния и упаривают в вакууме. Сырой продукт пропускают через Supelco Visiprep с использованием хлороформа и затем градиента 5-15% раствор аммиака в метаноле/хлороформ. Растворители удаляют в вакууме, и очищенный продукт растворяют в метаноле и подкисляют 0,9 мл 1,0 М хлорида водорода в эфире с получением 59 мг (61%) указанного в заголовке соединения в виде белого полутвердого вещества: МС с электрораспылением 364 ([МН]+, 100).
Пример 14
(R)-(-)-5′-N-метил-N-(фенилметил)аминоспиро[1-азабицикло-[2.2.2]октан-3,2′-(3’H) -фуро[2,3-b]пиридин]
В атмосфере азота цианоборогидрид натрия (39 мг, 0,62 ммоль) добавляют к раствору 50 мг (0,22 ммоль) (R)-(-)-5′-N-(фенилметил)аминоспиро[1-азабицикло[2.2.2]октан-3,2′-(3’Н)-фуро[2,3-b]пиридина] и 165 мкл (2,2 ммоль) 37% водного формальдегида в 1 мл деионизированной воды, доведенной до рН 3 с использованием концентрированной хлористовородной кислоты. Реакционную смесь перемешивают при комнатной температуре, добавляют кислоту для доведения рН всякий раз, когда его значение повышается выше 6. Спустя 1 час реакционную смесь выливают в насыщенный карбонат натрия, и смесь экстрагируют четырьмя порциями хлороформа. Органические слои объединяют, сушат над сульфатом магния и упаривают в вакууме. Остаток пропускают через Supelco Visiprep с использованием граднента 5-15% раствор аммиака в метаноле/хлороформ. Растворители удаляют в вакууме и остаток растворяют в метаноле и подкисляют 0,9 мл 1,0 М хлорида водорода в эфире. Удаление растворителя в вакууме дает 64 мг (98%) соли с НСl указанного в заголовке соединения в виде светло-желтого полутвердого вещества: МС с электрораспылением 336 ([MH]+, 100).
Пример 15
(R)-(-)-5′-N-(3-пиридиламино)спиро[1-азабицикло[2.2.2]октан-3,2′(3’Н)-фуро[2,3-b]пиридин]
В запаянной трубке высокого давления в атмосфере азота (R)-(-)5′-бромспиро[1-азабицикло[2.2.2]октан-3,2′(3’Н)-фуро[2,3-b]пиридин] (105,1 мг, 0,36 ммоль), 3-аминопиридин (69 мг, 0,73 ммоль), трис(дибензилидинацетон)дипалладий(0) (21 мг, 0,023 ммоль), рацемический 2,2′-бис(дифенилфосфино)-1,1′-бинафтил (34 мг, 0,055 ммоль), трет-бутоксид натрия (0,105 г, 1,09 ммоль) и 1,2-диметоксиэтан (5 мл) нагревают и перемешивают при 100 С. Спустя 3 дня раствору дают возможность охладиться и распределяют между водой и хлороформом. Слой хлороформа затем сушат добавлением сульфата магния и фильтруют через картридж для экстракции твердой фазы, содержащий 5 г диоксида кремния. Сырой продукт элюируют из картриджа смесью 1:1 (об./об.) раствора аммиака в метаноле/хлороформ; образовавшийся раствор упаривают. Остаток очищают ВЭЖХ с обращенной фазой на колонке с С-18 и использованием градиента 0-50% ацетонитрил и 0,1% водная трифторуксусная кислота в качестве элюента. Содержащие продукт фракции упаривают, и продукт растворяют в небольшом объеме метанола (приблизительно 5 мл) и добавляют избыточный хлорид водорода (1 М раствор в эфире, приблизительно 5 мл). Раствор снова упаривают с получением указанного в заголовке соединения (54 мг, 0,13 ммоль) в виде гидрохлоридной соли: МС с электрораспылением 309 ([МН]+, 100); [ ]589нм=-42,0 (c=0,1, МеОН).
Пример 16
(R)-(-)-6′-N-(фенилметил)аминоспиро[1-азабицикло[2.2.2]октан-3,2′-(3’Н)-фуро[2,3-b]пиридин]
(R)-(-)-спиро[1-азабицикло[2.2.2]октан-3,2′(3’Н)-фуро[2,3-b]пиридин-N-оксид] (VII) [970 мг (4,20 ммоль)] растворяют в 10 мл оксихлорида фосфора при перемешивании на ледяной бане. Суспензию затем нагревают при кипячении с обратным холодильником и перемешивают в течение 5 часов.
После охлаждения до температуры окружающей среды реакционную смесь выливают на 100 г льда, разбавляют 100 мл воды, подщелачивают карбонатом калия и экстрагируют хлороформом (3 50 мл). Объединенный органический экстракт сушат над безводным сульфатом магния, концентрируют в вакууме и флэш-хроматографируют при помощи нейтрального силикагеля с использованием смеси 95:5 хлороформа и 2,0 н аммиака в метаноле с получением 700 мг (R)-(-)-6-хлорспиро[1-азабицикло[2.2.2]октан-3,2′(3’Н)-фуро-[2,3-b]пиридина] в виде не совсем белого твердого вещества.
Раствор 85 мг (0,34 ммоль) хлорида в 3,0 мл бензиламина нагревают при кипячении с обратным холодильником в атмосфере азота в течение 23 часов. После охлаждения до температуры окружающей среды раствор флэш-хроматографируют при помощи нейтрального силикагеля с использованием смеси 9:1 хлороформа и 2,0 н аммиака в метаноле с получением 22 мг (20%) указанного в заголовке соединения, МС с электрораспылением 322 ([МН]2, 100).
Пример 17
(R)-(-)-5′-N-(3-тиенилметил)аминоспиро[1-азабицикло[2.2.2]-октан-3,2′-(3’Н)-фуро[2,3-b]пиридин]
Указанное в заголовке соединение получают процедурой, использованной в примере 1, из 50 мг (0,22 ммоль) (R)-(-)-5′-аминоспиро[1-азабицикло[2.2.2]октан-3,2′-(3’Н)-фуро[2,3-b]пиридина] и 3-тиофенкарбоксальдегида с получением 61 мг (85%) указанного в заголовке соединения: МС с электрораспылением 328 ([МН]+, 100).
Пример 18
(R)-(-)-5′-N-(2-фенилэтил)аминоспиро[1-азабицикло[2.2.2]-октан-3,2′-(3’Н)-фуро[2,3-b]пиридин]
Указанное в заголовке соединение получают процедурой, использованной в примере 1, из 50 мг (0,22 ммоль) (R)-(-)-5′-аминоспиро[1-азабицикло[2.2.2]октан-3,2′-(3’Н)-фуро[2,3-b]-пиридина] и фенилацетальдегида с получением 31 мг указанного в заголовке соединения: МС с электрораспылением 336 ([МН]+, 100).
Пример 19
(R)-(-)-5′-N-(3-фенилпропил)аминоспиро[1-азабицикло[2.2.2]-октан-3,2′-(3’Н)-фуро[2,3-b]пиридин]
Указанное в заголовке соединение получают процедурой, использованной в примере 1, из 50 мг (0,22 ммоль) (R)-(-)-5′-аминоспиро[1-азабицикло[2.2.2]октан-3,2′-(3’Н)-фуро[2,3-b]-пиридина] и 3-фенилпропиональдегида с получением 42 мг указанного в заголовке соединения: МС с электрораспылением 350 ([МН]+, 100).
Пример 20
(R)-(-)-5′-N-(хинолин-3-илметил)аминоспиро[1-азабицикло-[2.2.2]октан-3,2′-(3’Н)-фуро[2,3-b]пиридин]
Указанное в заголовке соединение получают процедурой, использованной в примере 1, из 50 мг (0,22 ммоль) (R)-(-)-5′-аминоспиро[1-азабицикло[2.2.2]октан-3,2′-(3’H)-фуро[2,3-b]-пиридина] и 3-хинолинкарбоксальдегида с получением 47 мг указанного в заголовке соединения: МС с электрораспылением 373 ([МН]+, 100).
Пример 21
(R)-(-)-5′-N-(хинолин-4-илметил)аминоспиро[1-азабицикло-[2.2.2]октан-3,2′-(3’Н)-фуро[2,3-b]пиридин]
Указанное в заголовке соединение получают процедурой, использованной в примере 1, из 50 мг (0,22 ммоль) (R)-(-)-5′-аминоспиро[1-азабицикло[2.2.2]октан-3,2′-(3’Н)-фуро[2,3-b]-пиридина] и 4-хинолинкарбоксальдегида с получением 3 мг указанного в заголовке соединения: МС с электрораспылением 373 ([МН]+, 100).
Пример 22
(R)-(-)-5′-N-(1,4-бензодиоксан-6-илметил)аминоспиро[1-азабицикло [2.2.2]октан-3,2′-(3’H)-фуро[2,3-b]пиридин]
Указанное в заголовке соединение получают процедурой, использованной в примере 1, из 50 мг (0,22 ммоль) (R)-(-)-5′-аминоспиро[1-азабицикло[2.2.2]октан-3,2′-(3’Н)-фуро[2,3-b]-пиридина] и 1,4-бензодиоксан-6-илкарбоксальдегида с получением 31 мг указанного в заголовке соединения: МС с электрораспылением 380 ([МН]+, 100).
Пример 23
(R)-(-)-N-(имидазол-4-илметил)аминоспиро[1-азабицикло[2.2.2]-октан-3,2′-(3’Н)-фуро[2,3-b]пиридин]
Указанное в заголовке соединение получают процедурой, использованной в примере 1, из 50 мг (0,22 ммоль) (R)-(-)-5′-аминоспиро[1-азабицикло[2.2.2]октан-3,2′-(3’Н)-фуро[2,3-b]-пиридина] и 4(5)-имидазолкарбоксальдегида с получением 1 мг указанного в заголовке соединения: МС с электрораспылением 312 ([МН]+, 100).
Пример 24
(R)-(-)-5′-N-(транс-3-пиридинилпроп-2-енил)аминоспиро[1-азабицикло[2.2.2]октан-3,2′-(3’Н)-фуро[2,3-b]пиридин]
Указанное в заголовке соединение получают процедурой, использованной в примере 1, из 50 мг (0,22 ммоль) (R)-(-)-5′-аминоспиро[1-азабицикло[2.2.2]октан-3,2′-(3’Н)-фуро[2,3-b]-пиридина] и коричного альдегида с получением 43 мг указанного в заголовке соединения: МС с электрораспылением 348 ([МН]+, 100).
Пример 25
(R)-(-)-5′-N-(тиазол-2-илметил)аминоспиро[1-азабицикло-[2.2.2]октан-3,2′-(3’Н)-фуро[2,3-b]пиридин]
Указанное в заголовке соединение получают процедурой, использованной в примере 1, из 50 мг (0,22 ммоль) (R)-(-)-5′-аминоспиро[1-азабицикло[2.2.2]октан-3,2′-(3’Н)-фуро[2,3-b]-пиридина] и 2-тиазолкарбоксальдегида с получением 13 мг указанного в заголовке соединения: МС с электрораспылением 329 ([МН]+, 100).
Пример 26
(R)-(-)-5′-N-(3-метилфенилметил)аминоспиро[1-азабицикло-[2.2.2]октан-3,2′-(3’Н)-фуро[2,3-b]пиридин]
Тетрахлорид титана (0,5 мл 1,0 М раствора в дихлорметане) добавляют к раствору 50 мг (0,22 ммоль) (R)-(-)-5′-аминоспиро[1-азабицикло[2.2.2]октан-3,2′-(3’H)-фуро[2,3-b]пиридина], 0,066 мл (0,4 ммоль) триэтиламина и 0,026 мл (0,22 ммоль) м-толуальдегида в 2 мл хлороформа в атмосфере азота. После перемешивания в течение 16 час добавляют раствор 0,65 ммоль цианоборогидрида натрия в 0,55 мл метанола; образовавшийся раствор перемешивают в течение 20 мин, затем выливают в 20 мл водного карбоната натрия и экстрагируют хлороформом (4 10 мл). Объединенный органический экстракт сушат над сульфатом магния, концентрируют в вакууме и флэш-хроматографируют при помощи нейтрального силикагеля с использованием градиента 0-15% раствор аммиака в метаноле/хлороформ с получением 60 мг (81%) указанного в заголовке соединения, МС с электрораспылением 336 ([МП]+, 100).
Пример 27
(R)-(-)-5′-N-(2-хлорфенилметил)аминоспиро[1-азабицикло-[2.2.2]октан-3,2′-(3’Н)-фуро[2,3-b]пиридин]
Указанное в заголовке соединение получают процедурой, использованной в примере 26, из 50 мг (0,22 ммоль) (R)-(-)-5′-аминоспиро[1-азабицикло[2.2.2]октан-3,2′-(3’Н)-фуро[2,3-b]пиридина] и 2-хлорбензальдегида с получением 63 мг указанного в заголовке соединения: МС с электрораспылением 356 ([МH]+, 100).
Пример 28
(R)-(-)-5′-N-(3-хлорфенилметил)аминоспиро[1-азабицикло-[2.2.2]октан-3,2′-(3’H)-фуро[2,3-b]пиридин]
Указанное в заголовке соединение получают процедурой, использованной в примере 26, из 50 мг (0,22 ммоль) (R)-(-)-5′-аминоспиро[1-азабицикло[2.2.2]октан-3,2′-(3’H)-фуро[2,3-b]-пиридина] и 2-хлорбензальдегида с получением 50 мг указанного в заголовке соединения: МС с электрораспылением 356 ([МН]+, 100).
Пример 29
(R)-(-)-5′-N-(3-фенилпропинил)аминоспиро[1-азабицикло-[2.2.2]октан-3,2′-(3’Н)-фуро[2,3-b]пиридин]
Указанное в заголовке соединение получают процедурой, использованной в примере 26, из 400 мг (1,76 ммоль) (R)-(-)-5′-аминоспиро[1-азабицикло[2.2.2]октан-3,2′-(3’Н)-фуро[2,3-b]-пиридина] и 3-фенилпропаргилового альдегида с получением 212 мг указанного в заголовке соединения: МС с электрораспылением 346 ([MH]+, 100).
Пример 30
(R)-(-)-5′-N-(3-гидроксифенилметил)аминоспиро[1-азабицикло-[2.2.2]октан-3,2′-(3’Н)-фуро[2,3-b]пиридин]
Указанное в заголовке соединение получают процедурой, использованной в примере 26, из 250 мг (1,10 ммоль) (R)-(-)-5′-аминоспиро[1-азабицикло[2.2.2]октан-3,2′-(3’H)-фуро[2,3-b]пиридина] и 3-гидроксибензальдегида с получением 117 мг указанного в заголовке соединения: МС с электрораспылением 338 ([МН]+, 100).
Пример 31
(R)-(-)-5′-N-(4-гидроксифенилметил)аминоспиро[1-азабицикло-[2.2.2]октан-3,2′-(3’Н)-фуро[2,3-b]пиридин]
Указанное в заголовке соединение получают процедурой, использованной в примере 26, из 250 мг (1,10 ммоль) (R)-(-)-5′-аминоспиро[1-азабицикло[2.2.2]октан-3,2′-(3’Н)-фуро[2,3-b]пиридина] и 4-гидроксибензальдегида с получением 31 мг указанного в заголовке соединения: МС с электрораспылением 338 ([МН]+, 100).
Пример 32
(R)-(-)-5′-М-[транс-3-(4-пиридинил)проп-2-енил]аминоспиро[1-азабицикло[2.2.2]октан-3,2′-(3’Н)-фуро[2,3-b]пиридин]
Указанное в заголовке соединение получают процедурой, использованной в примере 26, из 250 мг (1,10 ммоль) (R)-(-)-5′-аминоспиро[1-азабицикло[2.2.2]октан-3,2′-(3’Н)-фуро[2,3-b]пиридина] и транс-3-пиридилпропеналя с получением 77 мг указанного в заголовке соединения: МС с электрораспылением 349 ([МН]+ 100).
Пример 33
(R)-(-)-5′-N-ацетил-N-(3-тиенилметил)аминоспиро[1-азабицикло-[2.2.2]октан-3,2′-(3’Н)-фуро[2,3-b]пиридин]
Указанное в заголовке соединение получают процедурой, использованной в примере 13, из 100 мг (R)-(-)-5′-N-(3-тиенилметил)аминоспиро[1-азабицикло[2.2.2]октан-3,2′-(3’Н)-фуро[2,3-b]пиридина] и уксусного ангидрида с получением 25 мг указанного в заголовке соединения: МС с электрораспылением 370 ([МН]+, 100).
Пример 34
(R)-(-)-5′-N-метил-N-(4-пиридилметил)аминоспиро[1-азабицикло-[2.2.2]октан-3,2′-(3’H)-фуро[2,3-b]пиридин]
Указанное в заголовке соединение получают процедурой, использованной в примере 14, из 100 мг (R)-(-)-5′-N-(4-пиридилметил)аминоспиро[1-азабицикло[2.2.2]октан-3,2′-(3’Н)-фуро[2,3-b]пиридина] и 37% водного формальдегида с получением 26 мг указанного в заголовке соединения: МС с электрораспылением 337 ([МН]+, 100).
Пример 35
(R)-(-)-5′-N-метил-N-(3-пиридилметил)аминоспиро[1-азабицикло-[2.2.2]октан-3,2′-(3’Н)-фуро[2,3-b]пиридин]
Указанное в заголовке соединение получают процедурой, использованной в примере 14, из 200 мг (R)-(-)-5′-N-(3-пиридилметил)аминоспиро[1-азабицикло[2.2.2]октан-3,2′-(3’Н)-фуро[2,3-b]пиридина] и 37% водного формальдегида с получением 190 мг указанного в заголовке соединения: МС с электрораспылением 337 ([МН]+, 100).
Пример 36
(R)-(-)-5′-N-(2-гидроксиэтил)-N-(3-тиенилметил)аминоспиро[1-азабицикло[2.2.2]октан-3,2′-(3’Н)-фуро[2,3-b]пиридин]
Указанное в заголовке соединение получают процедурой, использованной в примере 14, из 100 мг (R)-(-)-5′-N-(3-тиенилметил)аминоспиро[1-азабицикло[2.2.2]октан-3,2′-(3’Н)-фуро[2,3-b]пиридина] и глиоксаля с получением 54 мг указанного в заголовке соединения: МС с электрораспылением 372 ([МН]+, 100).
Активность (nM) соединений представлена в таблице.
Формула изобретения 1. Аралкиламины фуропиридинов формулы I
где NRR1 присоединен в 5- или 6-положении кольца фуропиридина;
R представляет водород, С1-С4-алкил, COR2;
R1 представляет (СН2)nАr, СН2СН=СНАr или CH2C?CAr;
n = 0-3;
А представляет N или NO;
Аr представляет 5- или 6-членное ароматическое или гетероароматическое кольцо, которое содержит 0-4 атома азота, 0-1 атом кислорода и 0-1 атом серы, или 8-, 9- или 10-членную конденсированную ароматическую или гетероароматическую циклическую систему, содержащую 0-4 атома азота, 0-1 атом кислорода и 0-1 атом серы, любой из которых может быть, необязательно, замещен 1-2 заместителями, независимо выбранными из галогена, трифторметила или C1-C4-алкила;
R2 представляет водород; С1-С4-алкил; С1-С4-алкокси или фенильное кольцо, необязательно замещенное 1-3 из следующих заместителей: галоген, С1-С4-алкил, С2-С4-алкенил, С2-С4-алкинил, ОН; ОС1-С4-алкил, CO2R5, -CN, -NO2, -NR3R4 или -СF3;
R3, R4 и R5 независимо представляют водород; С1-С4-алкил или фенильное кольцо, необязательно замещенное 1-3 из следующих заместителей: галоген, С1-С4-алкил, С2-С4-алкенил, C2-C4-алкинил, ОН, ОС1-С4-алкил, CO2R2, -CN; -NO2 или -СF3,
или его энантиомер и его фармацевтически приемлемые соли.
2. Соединение по п.1, где А представляет N, или его энантиомер и его фармацевтически приемлемые соли.
3. Соединение по п.1 или 2, где R1 представляет (СН2)nАr, или его энантиомер и его фармацевтически приемлемые соли.
4. Соединение по п.1 или 2, где R1 представляет СН2СН=СНАr, или его энантиомер и его фармацевтически приемлемые соли.
5. Соединение по п.1 или 2, где R1 представляет СН2С?САr, или его энантиомер и его фармацевтически приемлемые соли.
6. Соединение по любому из пп.1-5, где Аr выбирают из группы: фенильное кольцо, необязательно замещенное 1-3 из следующих заместителей: галоген, С1-С4-алкил, С2-С4-алкенил, С2-С4-алкинил, ОН, ОС1-С4-алкил, CO2R5, -CN, -NO2, -NR3R4 и -СF3; 2-, 3- или 4-пиридил; 2- или 3-фуранил; 2- или 3-тиенил; 2- или 4-имидазолил, 1-, 2- или 3-пирролил, 2- или 4-оксазолил; и 3- или 4-изоксазолил, или его энантиомер и его фармацевтически приемлемые соли.
7. Соединение по любому из пп.1-5, где Аr выбирают из группы: 1- или 2-нафтил; 2-, 3-, 4-, 5-, 6-, 7- или 8-хинолил; 1-, 3-, 4-, 5-, 6-, 7- или 8-изохинолил; 2-, 4-, 5-, 6- или 7-бензоксазолил; и 3-, 4-, 5-, 6- или 7-бензизоксазолил, или его энантиомер и его фармацевтически приемлемые соли.
8. Соединение по любому из пп.1-6, где R3, R4 и R5 представляют, независимо водород или С1-С4-алкил, или его энантиомер и его фармацевтически приемлемые соли.
9. Соединение по любому из пп.1-8, где n = 1.
10. Соединение по любому из пп.1-8, где R представляет водород.
11. Соединение по любому из пп.1-8, где Аr представляет гетероароматическое кольцо.
12. Соединение по любому из пп.1-8, где n равно 1; R представляет водород и Аr представляет гетероароматическое кольцо.
13. Соединение по п.1, представляющее собой
R-(-)-5′-N-(фенилметил)аминоспиро[1-азабицикло[2.2.2]октан-3,2′-(3’Н)-фуро[2,3-b]пиридин];
R-(-)-5′-(2-пиридилметил)аминоспиро[1-азабицикло[2.2.2]октан-3,2′-(3’Н)-фуро[2,3-b]пиридин];
R-(-)-5′-(3-пиридилметил)аминоспиро[1-азабицикло[2.2.2]октан-3,2′-(3’Н)-фуро[2,3-b]пиридин];
R-(-)-5′-(4-пиридилметил)аминоспиро[1-азабицикло[2.2.2]октан-3,2′-(3’Н)-фуро[2,3-b]пиридин];
R-(-)-5′-(2-фуранилметил)аминоспиро[1-азабицикло[2.2.2]октан-3,2′-(3’Н)-фуро[2,3-b]пиридин];
R-(-)-5′-(3-фуранилметил)аминоспиро[1-азабицикло[2.2.2]октан-3,2′-(3’Н)-фуро[2,3-b]пиридин];
R-(-)-5′-(2-тиенилметил)аминоспиро[1-азабицикло[2.2.2]октан-3,2′-(3’Н)-фуро[2,3-b]пиридин];
R-(-)-5′-(2-имидазолилметил)аминоспиро[1-азабицикло[2.2.2]октан-3,2′-(3’Н)-фуро[2,3-b]пиридин];
R-(-)-5′-N-(4-метоксифенилметил)аминоспиро[1-азабицикло[2.2.2]октан-3,2′-(3’Н)-фуро[2,3-b]пиридин];
R-(-)-5′-N-(4-хлорфенилметил)аминоспиро[1-азабицикло[2.2.2]октан-3,2′-(3’Н)-фуро[2,3-b]пиридин];
R-(-)-5′-N-(4-метилфенилметил)аминоспиро[1-азабицикло[2.2.2]октан-3,2′-(3’Н)-фуро[2,3-b]пиридин];
R-(-)-5′-N-(3,4-дихлорфенилметил)аминоспиро[1-азабицикло[2.2.2]октан-3,2′-(3’Н)-фуро[2,3-b]пиридин];
R-(-)-5′-N-ацетил-N-(фенилметил)аминоспиро[1-азабицикло[2.2.2]октан-3,2′-(3’Н)-фуро[2,3-b]пиридин];
R-(-)-5′-N-метил-N-(фенилметил)аминоспиро[1-азабицикло[2.2.2]октан-3,2′-(3’Н)-фуро[2,3-b]пиридин];
R-(-)-5′-N-(3-пиридил)аминоспиро[1-азабицикло[2.2.2]октан-3,2′(3’Н)-фуро[2,3-b]пиридин];
R-(-)-6′-N-(фенилметил)аминоспиро[1-азабицикло[2.2.2]октан-3,2′(3’Н)-фуро[2,3-b]пиридин];
R-(-)-5′-N-(3-тиенилметил)аминоспиро[1-азабицикло[2.2.2]октан-3,2′-(3’Н)-фуро[2,3-b]пиридин];
R-(-)-5′-N-(2-фенилэтил)аминоспиро[1-азабицикло[2.2.2]октан-3,2′-(3’Н)-фуро[2,3-b]пиридин];
R-(-)-5′-N-(3-фенилпропил)аминоспиро[1-азабицикло[2.2.2]октан-3,2′-(3’Н)-фуро[2,3-b]пиридин];
R-(-)-5′-N-(хинолин-3-илметил)аминоспиро[1-азабицикло[2.2.2]октан-3,2′-(3’Н)-фуро[2,3-b]пиридин];
R-(-)-5′-N-(хинолин-4-илметил)аминоспиро[1-азабицикло[2.2.2]октан-3,2′-(3’Н)-фуро[2,3-b]пиридин];
R-(-)-5′-N-(1,4-бензодиоксан-6-илметил)аминоспиро[1-азабицикло[2.2.2]октан-3,2′-(3’Н)-фуро[2,3-b]пиридин];
R-(-)-5′-N-(имидазол-4-илметил)аминоспиро[1-азабицикло[2.2.2]октан-3,2′-(3’Н)-фуро[2,3-b]пиридин];
R-(-)-5′-N-(транс-3-фенилпроп-2-енил)аминоспиро[1-азабицикло[2.2.2]октан-3,2′-(3’Н)-фуро[2,3-b]пиридин];
R-(-)-5′-N-(тиазол-2-илметил)аминоспиро[1-азабицикло[2.2.2]октан-3,2′-(3’Н)-фуро[2,3-b]пиридин];
R-(-)-5′-N-(3-метилфенилметил)аминоспиро[1-азабицикло[2.2.2]октан-3,2′-(3’Н)-фуро[2,3-b]пиридин];
R-(-)-5′-N-(2-хлорфенилметил)аминоспиро[1-азабицикло[2.2.2]октан-3,2′-(3’Н)-фуро[2,3-b]пиридин];
R-(-)-5′-N-(3-хлорфенилметил)аминоспиро[1-азабицикло[2.2.2]октан-3,2′-(3’Н)-фуро[2,3-b]пиридин];
R-(-)-5′-N-(3-фенилпропинил)аминоспиро[1-азабицикло[2.2.2]октан-3,2′-(3’Н)-фуро[2,3-b]пиридин];
R-(-)-5′-N-(3-гидроксифенилметил)аминоспиро[1-азабицикло[2.2.2]октан-3,2′-(3’Н)-фуро[2,3-b]пиридин];
R-(-)-5′-N-(4-гидроксифенилметил)аминоспиро[1-азабицикло[2.2.2]октан-3,2′-(3’Н)-фуро[2,3-b]пиридин];
R-(-)-5′-N-[транс-3-(4-пиридинил)проп-2-енил]аминоспиро[1-азабицикло[2.2.2]октан-3,2′-(3’Н)-фуро[2,3-b]пиридин];
R-(-)-5′-N-ацетил-N-(3-тиенилметил)аминоспиро[1-азабицикло[2.2.2]октан-3,2′-(3’Н)-фуро[2,3-b]пиридин];
R-(-)-5′-N-метил-N-(4-пиридилметил)аминоспиро[1-азабицикло[2.2.2]октан-3,2′-(3’Н)-фуро[2,3-b]пиридин];
R-(-)-5′-N-метил-N-(3-пиридилметил)аминоспиро[1-азабицикло [2.2.2]октан-3,2′-(3’Н)-фуро[2,3-b]пиридин];
R-(-)-5′-N-(2-гидроксиэтил)-N-(3-тиенилметил)аминоспиро[1-азабицикло[2.2.2]октан-3,2′-(3’Н)-фуро[2,3-b]пиридин],
и их энантиомеры и их фармацевтически приемлемые соли.
14. Соединение по п.1, представляющее собой:
R-(-)-5′-(3-пиридилметил)аминоспиро[1-азабицикло[2.2.2]октан-3,2′-(3’Н)-фуро[2,3-b]пиридин];
R-(-)-5′-(4-пиридилметил)аминоспиро[1-азабицикло[2.2.2]октан-3,2′-(3’Н)-фуро[2,3-b]пиридин]
или его энантиомер и его фармацевтически приемлемые соли.
15. Соединение по любому из пп.1-14 для использования в терапии.
16. Фармацевтическая композиция, проявляющая агонистическую активность по отношению к никотиновым рецепторам ацетилхолина и содержащая соединение по любому из пп.1-14 в смеси с инертным фармацевтически приемлемым разбавителем или носителем.
17. Фармацевтическая композиция по п.16, используемая для лечения или профилактики психотических нарушений или нарушений интеллектуальных способностей.
18. Фармацевтическая композиция по п.16, используемая для лечения или профилактики болезни Альцгеймера, дефицита слабости обучения, дефицита познавательной способности, дефицита внимания, потери памяти, дефицита внимания, характеризующегося гиперактивностью, деменции Lewy Body, тревожных состояний, шизофрении, мании или маниакальной депрессии, болезни Паркинсона, болезни Хантингтона, болезни Туретта, нейродегенеративных нарушений, при которых происходит потеря холинергического синапса, расстройства нормального циркадного ритма, состояния при прекращении курения, никотиновой зависимости, включая зависимость, которая является результатом воздействия продуктов, содержащих никотин, боли или неспецифического язвенного колита.
19. Фармацевтическая композиция по п.18, используемая для лечения или профилактики тревожных состояний, шизофрении, мании или маниакальной депрессии.
20. Фармацевтическая композиция по п.18, используемая для лечения или профилактики болезни Паркинсона, болезни Хантингтона, болезни Туретта или нейродегенеративных нарушений, при которых происходит потеря холинергических синапсов.
21. Фармацевтическая композиция по п.18, используемая для лечения или профилактики расстройства нормального циркадного ритма, никотиновой зависимости, включая зависимость, которая является результатом воздействия продуктов, содержащих никотин, боли или неспецифического язвенного колита.
22. Соединение по любому из пп.1-14, используемое для изготовления лекарственного препарата для лечения или профилактики психотических нарушений или нарушений интеллектуальной способности.
23. Соединение по любому из пп.1-14, используемое при изготовлении лекарственного препарата для лечения или профилактики заболеваний или состояний человека, для которых полезна активация никотинового рецептора 7.
24. Соединение по п.22 или 23, где состояние или нарушение представляет собой болезнь Альцгеймера, дефицит способности обучения, дефицит познавательной способности, дефицит внимания, потерю памяти, дефицит внимания, характеризующийся гиперактивностью, деменцию Lewy Body, тревожные состояния, шизофрению, манию или маниакальную депрессию, болезнь Паркинсона, болезнь Хантингтона, болезнь Туретта, нейродегенеративные нарушения, при которых происходит потеря холинергического синапса, расстройство нормального циркадного ритма, состояние при прекращении курения, никотиновую зависимость, включая зависимость, которая является результатом воздействия продуктов, содержащих никотин, боль или неспецифический язвенный колит.
25. Способ получения соединений формулы I, у которых группа NRR1 находится в 5′-положении фуропиридина, общей формулы VIII(1)
где R и R1 имеют значения, указанные в п. 1, отличающийся тем, что соединение формулы (VI)
где Е представляет галоген, NO2 или NHR,
подвергают взаимодействию с амином в присутствии подходящего металлорганического катализатора, основания и растворителя.
26. Соединение формулы
27. Соединение формулы
где Е представляет NO2, NHR или галоген;
R имеет значение, указанное в п.1.
|
||||||||||||||||||||||||||

где NRR1 присоединен в 5- или 6-положении кольца фуропиридина; R представляет водород, С1-С4-алкил или COR2; R1 представляет (CH2)nAr, CH2CH=CHAr или СН2С?CAr; n равно 0-3; А представляет N или NO; Ar представляет 5- или 6-членное ароматическое или гетероароматическое кольцо, которое содержит 0-4 атома азота, 0-1 атом кислорода и 0-1 атом серы; или 8-, 9- или 10-членную конденсированную ароматическую или гетероароматическую циклическую систему, содержащую 0-4 атома азота, 0-1 атом кислорода и 0-1 атом серы, любой из которых может быть необязательно замещен 1-2 заместителями, независимо выбранными из галогена, трифторметила или С1-С4-алкила; R2 представляет водород; С1-С4-алкил; С1-С4-алкокси или фенильное кольцо, необязательно замещенное 1-3 из следующих заместителей: галоген, С1-C4-алкил, С2-С4-алкенил, С2-С4-алкинил, ОН, ОС1-С4-алкил, CO2R5, -CN, -NO2, -NR3R4 или –CF3; R3, R4 и R5 могут быть водородом, С1-С4-алкилом или фенильным кольцом, необязательно замещенным 1-3 из следующих заместителей: галоген, С1-С4-алкил, С2-С4-алкенил, С2-С4-алкинил, ОН, ОС1-С4-алкил, -CN, -NO2, или -CF3; к их энантиомерам и фармацевтически приемлемым солям. Полученные соединения проявляют агонистическую активность по отношению к никотиновым рецепторам ацетилхолина и могут быть использованы для лечения или профилактики психотических нарушений или нарушений интеллектуальных способностей. 5 н. и 22 з.п. ф-лы, 1 табл.
ТЕХНИЧЕСКАЯ ОБЛАСТЬ
Данное изобретение относится к новым замещенным аминам спирофуропиридинов или их фармацевтически приемлемым солям, способам их получения, фармацевтическим композициям, содержащим их, и их применению в терапии. Следующей целью является обеспечение активных соединений, которые являются сильнодействующими лигандами для никотиновых рецепторов ацетилхолина (nAChR’s).
ПРЕДПОСЫЛКИ СОЗДАНИЯ ИЗОБРЕТЕНИЯ
Использование соединений, которые связывают никотиновые рецепторы ацетилхолина, при лечении ряда заболеваний, связанных с пониженной холинергической функцией, таких как болезнь Альцгеймера, расстройство познавательной способности или внимания, тревога, депрессия, состояние при прекращении курения, нейропротективное действие, шизофрения, аналгезия, синдром Туретта и болезнь Паркинсона, обсуждалось McDonald et al. (1995) “Nicotinic Acetylcholine Receptors: Molecular Biology, Chemistry and Pharmacology”, Chapter 5 in Annual Reports in Medicinal Chemistry, vol.30, pp.41-50, Academic Press Inc., San Diego, CA; Williams et al. (1994) “Neuronal Nicotinic Acetylcholine Receptors”, Drug News and Perspectives, vol.7, pp.205-223; and Lin and Meyer, “Recent Developments in Neuronal Nicotinic Acetylcholine Receptor Modulators”, Exp. Opin. Ther. Patents (1998), 8(8):991-1015.
В патенте США 5468875 описываются 1-азабицикло [2.2.1]-гепт-3-иловые эфиры N-алкилкарбаминовой кислоты, которые являются активными для центральной нервной системы мускариновыми агентами, полезными при лечении болезни Альцгеймера и других нарушений.
1-Азабицикло[2.2.2]октан-3-иловые эфиры N-(2-алкоксифенил)карбаминовых кислот описываются в Pharmazie, vol.48, 465-466 (1993) вместе с их местной анестезирующей активностью. 1-Азабицикло[2.2.2]октан-3-иловые эфиры N-фенилкарбаминовых кислот, замещенных в орто-положении фенильного кольца, описываются в качестве местных анестетиков в Acta Pharm. Suecica, 7, 239-246 (1970).
Фуропиридины, которые можно использовать для регулирования синаптической передачи, описываются в WO 97/05139.
ОПИСАНИЕ ИЗОБРЕТЕНИЯ
В соответствии с данным изобретением было обнаружено, что соединения формулы I
где NRR1 присоединен в 5- или 6-положении кольца фуропиридина;
R представляет водород, С1-С4-алкил, COR2;
R1 представляет (CH2)nAr, CH2CH=CHAr или CH2C
CAr;
n равно числу от 0 до 3;
А представляет N или NO;
Аr представляет 5- или 6-членное ароматическое или гетероароматическое кольцо, которое содержит 0-4 атома азота, 0-1 атом кислорода и 0-1 атом серы; или 8-, 9- или 10-членную конденсированную ароматическую или гетероароматическую циклическую систему, содержащую 0-4 атома азота, 0-1 атом кислорода и 0-1 атом серы; любой из которых может быть необязательно замещен 1-2 заместителями, независимо выбранными из галогена, трифторметила или C1-C4-алкила;
R2 представляет водород; С1-С4-алкил; С1-С4-алкокси; или фенильное кольцо, необязательно замещенное 1-3 из следующих заместителей: галоген, С1-С4-алкил, С2-С4-алкенил, С2-С4-алкинил, ОН; ОС1-С4-алкил, CO2R5, -CN, -NO2, -NR3R4 или -СF3;
R3, R4 и R5 независимо представляют водород; С1-С4-алкил или фенильное кольцо, необязательно замещенное 1-3 из следующих заместителей: галоген, С1-С4-алкил, С2-С4-алкенил, С2-С4-алкинил, ОН, ОС1-С4-алкил, CO2R2, -CN; -NO2 или -СF3;
или их энантиомеры и их фармацевтически приемлемые соли, являются сильнодействующими лигандами для никотиновых рецепторов ацетилхолина.
Если не указано иначе, С1-С4-алкильные группы, указанные в описании, например метил, этил, н-пропил, н-бутил, изопропил, изобутил, трет-бутил, втор-бутил, могут быть неразветвленными или разветвленными и С3-С4-алкильные группы могут также быть циклическими, например циклопропил, циклобутил.
Если не указано иначе, С1-С4-алкоксигруппы, указанные в описании, например метокси, этокси, н-пропокси, изопропокси, н-бутокси, изобутокси, трет-бутокси, втор-бутокси, могут быть неразветвленными или разветвленными.
Если не указано иначе, С2-С4-алкенильные группы, указанные в описании, могут содержать одну или две двойные связи, например этенил, изопропенил, н-бутенил, иэобутенил, аллил, 1,3-бутадиенил.
Если не указано иначе, С2-С4-алкинильные группы, указанные в описании, могут содержать одну тройную связь, например этинил, пропинил, 1- или 2-бутинил.
Галоген, указанный в описании, может быть фтором, хлором, бромом или иодом.
Если не указано иначе, (замещенный) фенил относится к фенильному кольцу, необязательно замещенному 1-3 из следующих заместителей: водород, галоген, С1-С4-алкил, С2-С4-алкенил, С2-С4-алкинил, ОН, ОС1-С4-алкил, CO2R5, -CN, -NO2, -NR3R4, -СF3.
Предпочтительными соединениями изобретения являются соединения формулы I, где А представляет N.
Предпочтительными соединениями изобретения являются соединения формулы I, где R1 представляет (CH2)nAr.
Предпочтительными соединениями изобретения являются соединения формулы I, где R1 представляет СН2СН=СНАr.
Предпочтительными соединениями изобретения являются соединения формулы 1, где R1 представляет СН2С=CАr.
Предпочтительными соединениями изобретения являются соединения формулы I, где Аr выбирают из группы: фенильное кольцо, необязательно замещенное 1-3 из следующих заместителей: галоген, С1-С4-алкил, С2-С4-алкенил, C2-C4-алкинил, ОН, ОС1-С4-алкил, CO2R5, -CN, -NO2, -NR3R4 и -СF3; 2-, 3- или 4-пиридил; 2- или 3-фуранил; 2- или 3-тиенил; 2- или 4-имидазолил; 1-, 2- или 3-пирролил, 2- или 4-оксазолил; и 3-или 4-изоксаэолил.
Предпочтительными соединениями изобретения являются соединения формулы I, где Аr выбирают из группы: 1- или 2-нафтил; 2-, 3-, 4-, 5-, 6-, 7- или 8-хинолил; 1-, 3-, 4-, 5-, 6-, 7- или 8-изохинолил; 2-, 4-, 5-, 6- или 7-бензоксазолил и 3-, 4-, 5-, 6- или 7-бензизоксазолил.
Предпочтительными соединениями изобретения являются соединения формулы I, где R3, R4 и R5 независимо представляют водород или С1-С4-алкил.
Предпочтительными соединениями изобретения являются соединения формулы I, где n равно 1.
Предпочтительными соединениями изобретения являются соединения формулы I, где R представляет водород.
Предпочтительными соединениями изобретения являются соединения формулы I, где Аr представляет гетероароматическое кольцо.
Предпочтительными соединениями изобретения являются соединения формулы I, где n равно 1, R представляет водород и Аr представляет гетероароматическое кольцо.
Предпочтительные соединения изобретения включают следующие соединения:
R-(-)-5′-N-(фенилметил)аминоспиро[1-азабицикло[2.2.2]октан-3,2′-(3’Н)-фуро[2,3-b]пиридин];
R-(-)-5′-(2-пиридилметил)аминоспиро[1-азабицикло[2.2.2]октан-3,2′-(3’Н)-фуро[2,3-b]пиридин];
R-(-)-5′-(3-пиридилметил)аминоспиро[1-азабицикло[2.2.2]октан-3,2′-(3’Н)-фуро[2,3-b]пиридин];
R-(-)-5′-(4-п-пиридилметил)аминоспиро[1-азабицикло[2.2.2]-октан-3,2′-(3’Н)-фуро[2,3-b]пиридин];
R-(-)-5′-(2-фуранилметил)аминоспиро[1-азабицикло[2.2.2]октан-3,2′-(3’Н)-фуро[2,3-b]пиридин];
R-(-)-5′-(3-фуранилметил)аминоспиро[1-азабицикло[2.2.2]октан-3,2′-(3’Н)-фуро[2,3-b]пиридин];
R-(-}-5′-(2-тиенилметил)аминоспиро[1-азабицикло[2.2.2]октан-3,2′-(3’Н)-фуро[2,3-b]пиридин];
R-(-)-5′-(2-имидазолилметил)аминоспиро[1-азабицикло[2.2.2]октан-3,2′-(3’Н)-фуро[2,3-b]пиридин];
R-(-)-5′-N-(4-метоксифенилметил)аминоспиро[1-азабицикло[2.2.2]октан-3,2′-(3’Н)-фуро[2,3-b]пиридин];
R-(-)-5′-N-(4-хлорфенилметил)аминоспиро[1-азабицикло[2.2.2]октан-3,2′-(3’Н)-фуро[2,3-b]пиридин];
R-(-)-5′-N-(4-метилфенилметил)аминоспиро[1-азабицикло[2.2.2]октан-3,2′-(3’Н)-фуро[2,3-b]пиридин];
R-(-)-5′-N-(3,4-дихлорфенилметил)аминоспиро[1-азабицикло[2.2.2]октан-3,2′-(3’Н)-фуро[2,3-b]пиридин];
R-(-)-5′-N-ацетил-N-(фенилметил)аминоспиро[1-азабицикло[2.2.2]октан-3,2′-(3’Н)-фуро[2,3-b]пиридин];
R-(-)-5′-N-метил-N-(фенилметил)аминоспиро[1-азабицикло[2.2.2]октан-3,2′-(3’Н)-фуро[2,3-b]пиридин];
R-(-)-5′-N-(3-пиридил)аминоспиро[1-азабицикло[2.2.2]октан-3,2′-(3’Н) -фуро[2,3-b]пиридин];
R-(-)-6′-N-(фенилметил)аминоспиро[1-азабицикло[2.2.2]октан-3, 2′-(3’Н)-фуро[2,3-b]пиридин];
R-(-)-5′-N-(3-тиенилметил)аминоспиро[1-азабицикло[2.2.2]октан-3,2′-(3’Н)-фуро[2,3-b]пиридин];
R-(-)-5′-N-(2-фенилэтил)аминоспиро[1-азабицикло[2.2.2]октан-3,2′-(3’Н)-фуро[2,3-b]пиридин];
R-(-)-5′-N-(3-фенилпропил)аминоспиро[1-азабицикло[2.2.2]октан-3,2′-(3’Н)-фуро[2,3-b]пиридин];
R-(-)-5′-N-(хинолин-3-илметил)аминоспиро[1-азабицикло[2.2.2]октан-3,2′-(3’Н)-фуро[2,3-b]пиридин];
R-(-)-5′-N-(хинолин-4-илметил)аминоспиро[1-азабицикло[2.2.2]октан-3,2′-(3’Н)-фуро[2,3-b]пиридин];
R-(-)-5′-N-(1,4-бензодиоксан-6-илметил)аминоспиро[1-азабицикло[2.2.2]октан-3, 2′-(3’Н)-фуро[2,3-b]пиридин];
R-(-)-5′-N-(имидазол-4-илметил)аминоспиро[1-азабицикло[2.2.2]октан-3,2′-(3’Н)-фуро[2,3-b]пиридин];
R-(-)-5′-N-(транс-3-фенилпроп-2-енил)аминоспиро[1-азабицикло[2.2.2]октан-3,-2′-(3’Н)-фуро[2,3-b] пиридин];
R-(-)-5′-N-(тиазол-2-илметил)аминоспиро[1-азабицикло[2.2.2]октан-3,2′-(3’H)-фуро[2,3-b] пиридин];
R-(-)-5′-N-(3-метилфенилметил)аминоспиро[1-азабицикло[2.2.2]октан-3,2′-(3’H)-фуро[2,3-b]пиридин];
R-(-)-5′-N-(2-хлорфенилметил)аминоспиро[1-азабицикло[2.2.2]октан-3,2′-(3’Н)-фуро[2,3-b]пиридин];
R-(-)-5′-N-(3-хлорфенилметил)аминоспиро[1-азабицикло[2.2.2]октан-3,2′-(3’Н)-фуро[2,3-b]пиридин];
R-(-)-5′-N-(3-фенилпропинил)аминоспиро[1-азабицикло[2.2.2]октан-3,2′-(3’Н)-фуро[2,3-b]пиридин];
R-(-)-5′-N-(3-гидроксифенилметил)аминоспиро[1-азабицикло[2.2.2]октан-3,2′-(3’Н)-фуро[2,3-b]пиридин];
R-(-)-5′-N-(4-гидроксифенилметил)аминоспиро[1-азабицикло[2.2.2]октан-3,2′-(3’Н)-фуро[2,3-b]пиридин];
R-(-)-5′-N-[транс-3-(4-пиридинил)проп-2-енил]аминоспиро[1-азабицикло[2.2.2]октан-3,2′-(3’Н)-фуро[2,3-b]пиридин];
R-(-)-5′-N-ацетил-N-(3-тиенилметил)аминоспиро[1-азабицикло[2.2.2]октан-3,2′-(3’Н)-фуро[2,3-b]пиридин];
R-(-)-5′-N-метил-N-(4-пиридилметил)аминоспиро[1-азабицикло[2.2.2]октан-3,2′-(3’Н)-фуро[2,3-b]пиридин];
R-(-)-5′-N-метил-N-(3-пиридилметил)аминоспиро[1-азабицикло[2.2.2]октан-3,2′-(3’Н)-фуро[2,3-b]пиридин];
R-(-)-5′-N-(2-гидроксиэтил)-N-(3-тиенилметил)аминоспиро[1-азабицикло[2.2.2]октан-3,2′-(3’Н)-фуро[2,3-b]пиридин], и их энантиомеры, и их фармацевтически приемлемые соли.
Особенно предпочтительными соединениями изобретения являются соединения формулы I, где n равно 1; R представляет водород и Аr представляет гетероароматическое кольцо, включая следующие соединения:
R-(-)-5′-(3-пиридилметил)аминоспиро[1-азабицикло[2.2.2]октан-3,2′-(3’Н)-фуро[2,3-b]пиридин];
R-(-)-5′-(4-пиридилметил)аминоспиро[1-азабицикло[2.2.2]октан-3,2′-(3’Н)-фуро[2,3-b]пиридин], и их энантиомеры, и их фармацевтически приемлемые соли.
Соединения изобретения имеют преимущество, состоящее в том, что они могут быть менее токсичными, более эффективными, более долгодействующими, имеют более широкий диапазон активности, могут быть более сильнодействующими, вызывают меньше побочных эффектов и легче поглощаются или обладают другими полезными фармакологическими свойствами.
СПОСОБЫ ПОЛУЧЕНИЯ
В приведенных ниже схемах реакций и тексте R и R1, если не указано иначе, имеют значения, указанные выше для формулы I. Соединение формулы VIII представляет собой соединение формулы I, где NRR1 присоединен в 5-положении кольца фуропиридина. Соединение формулы IX представляет собой соединение формулы I, где NRR1 присоединен в 6-положении кольца фуропиридина. А представляет N; Е представляет галоген, NO2 или NHR. Соединения формулы I можно получить по способам, указанным в схеме 1.
Соединения формулы I, где А представляет NO, можно получить из соединений формулы I, где А представляет N, окислением пероксидным реагентом в подходящем растворителе с последующим восстановлением оксидов третичных аминов в подходящем растворителе. Окисляющие агенты включают пероксид водорода, м-хлорпербензойную кислоту, перуксусную кислоту или монопероксифталат магния. Предпочтительным окислителем является м-хлорпербензойная кислота. Подходящие инертные растворители включают хлороформ, метиленхлорид и 1,2-дихлорэтан. Предпочтительным растворителем является дихлорметан. Взаимодействие обычно проводят при температуре от -20
С до 66
где Е представляет NO2, NHR или галоген;
и соединения формулы VII
Промежуточные соединения также существуют в энантиомерных формах и могут быть использованы в виде очищенных энантиомеров, рацематов или смесей.
Использование соединений VI и VII как промежуточных продуктов в синтезе лиганда для никотиновых рецепторов ацетилхолина является другим аспектом изобретения.
Фармацевтические композиции
Следующий аспект изобретения относится к фармацевтической композиции для лечения или профилактики состояния или нарушения, примеры которых приводятся ниже, являющиеся результатом дисфункции нейропереноса никотинового рецептора ацетилхолина у млекопитающего, предпочтительно человека, содержащей количество соединения формулы I, его энантиомера и его фармацевтически приемлемой соли, эффективное для лечения или профилактики такого нарушения или состояния, и инертный фармацевтически приемлемый носитель.
Для вышеуказанных применений введенная доза будет, конечно, изменяться в зависимости от используемого соединения, способа введения и требуемого лечения. Однако, в общем, удовлетворительные результаты будут получены, когда соединения изобретения вводят при суточной дозе от 0,1 мг до 20 мг на кг массы тела млекопитающего, предпочтительно данной в виде разделенных доз от 1 до 4 раз в день или в форме с длительным высвобождением (пролонгированным действием). Для человека общая суточная доза находится в диапазоне от 5 мг до 1400 мг, более предпочтительно от 10 мг до 100 мг, и единичная дозированная форма, подходящая для перорального введения, включает от 2 мг до 1400 мг соединения, смешанного с твердым или жидким фармацевтическим носителем или разбавителем.
Соединения формулы I, или его энантиомер, или его фармацевтически приемлемые соли можно использовать как таковые или в форме подходящих лекарственных препаратов для энтерального, парентерального, перорального, ректального или назального введения. В соответствии со следующим аспектом изобретения предлагается фармацевтическая композиция, предпочтительно содержащая менее чем 80% и более предпочтительно менее чем 50 мас.% соединения изобретения, в смеси с инертным фармацевтически приемлемым разбавителем или носителем.
Примерами подходящих разбавителей и носителей являются:
– для таблеток и драже: лактоза, крахмал, тальк, стеариновая кислота; для капсул: винная кислота или лактоза;
– для инъецируемых растворов: вода, спирты, глицерин, растительные масла; для суппозиториев: природные или гидрогенизированные жиры или воски.
Предлагается также способ получения такой фармацевтической композиции, который включает смешивание ингредиентов одновременно или последовательно.
Применение
Следующим аспектом изобретения является применение соединения по данному изобретению или его энантиомера и его фармацевтически приемлемой соли при изготовлении лекарственного препарата для лечения или профилактики одного из нижеуказанных заболеваний или состояний и способ лечения или профилактики одного из нижеуказанных заболеваний или состояний, который включает введение терапевтически эффективного количества соединения по изобретению или его энантиомера и его фармацевтически приемлемой соли пациенту.
Соединения по данному изобретению являются агонистами никотиновых рецепторов ацетилхолина. Не ограничиваясь теорией, считают, что агонисты nAChR (никотинового рецептора ацетилхолина) подтипа
7 должны быть полезными для лечения или профилактики психотических нарушений и нарушений интеллектуальных способностей и имеют преимущества по сравнению с соединениями, которые являются или также являются агонистами nAChR подтипа
-аминоэтиловый эфир) этиленгликоля] в течение 2 часов при 21
1,5. Образцы анализировали в трех повторностях, они различались в типичном случае на ±5%. Величины Ki определяли с использованием 6 или более концентраций лекарственного средства. Соединения изобретения являются соединениями с аффинностями связывания (Ki) менее чем 1000 нМ либо в испытании А, либо в испытании В, что указывает на то, что они, как и ожидалось, обладают полезной терапевтической активностью.
ПРИМЕРЫ
Коммерческие реагенты использовали без дополнительной очистки. Масс-спектры регистрировали с использованием масс-спектрометра либо Hewlett Packard 5988А, либо MicroMass Quattro-1 и представляли в виде m/z для исходного молекулярного иона с его относительной интенсивностью. Комнатная температура относится к 20-25
200 мл). Экстракты в хлороформе объединяют и обратно экстрагируют водой (4
где NRR1 присоединен в 5- или 6-положении кольца фуропиридина;
R представляет водород, С1-С4-алкил, COR2;
R1 представляет (СН2)nАr, СН2СН=СНАr или CH2C?CAr;
n = 0-3;
А представляет N или NO;
Аr представляет 5- или 6-членное ароматическое или гетероароматическое кольцо, которое содержит 0-4 атома азота, 0-1 атом кислорода и 0-1 атом серы, или 8-, 9- или 10-членную конденсированную ароматическую или гетероароматическую циклическую систему, содержащую 0-4 атома азота, 0-1 атом кислорода и 0-1 атом серы, любой из которых может быть, необязательно, замещен 1-2 заместителями, независимо выбранными из галогена, трифторметила или C1-C4-алкила;
R2 представляет водород; С1-С4-алкил; С1-С4-алкокси или фенильное кольцо, необязательно замещенное 1-3 из следующих заместителей: галоген, С1-С4-алкил, С2-С4-алкенил, С2-С4-алкинил, ОН; ОС1-С4-алкил, CO2R5, -CN, -NO2, -NR3R4 или -СF3;
R3, R4 и R5 независимо представляют водород; С1-С4-алкил или фенильное кольцо, необязательно замещенное 1-3 из следующих заместителей: галоген, С1-С4-алкил, С2-С4-алкенил, C2-C4-алкинил, ОН, ОС1-С4-алкил, CO2R2, -CN; -NO2 или -СF3,
или его энантиомер и его фармацевтически приемлемые соли.
2. Соединение по п.1, где А представляет N, или его энантиомер и его фармацевтически приемлемые соли.
3. Соединение по п.1 или 2, где R1 представляет (СН2)nАr, или его энантиомер и его фармацевтически приемлемые соли.
4. Соединение по п.1 или 2, где R1 представляет СН2СН=СНАr, или его энантиомер и его фармацевтически приемлемые соли.
5. Соединение по п.1 или 2, где R1 представляет СН2С?САr, или его энантиомер и его фармацевтически приемлемые соли.
6. Соединение по любому из пп.1-5, где Аr выбирают из группы: фенильное кольцо, необязательно замещенное 1-3 из следующих заместителей: галоген, С1-С4-алкил, С2-С4-алкенил, С2-С4-алкинил, ОН, ОС1-С4-алкил, CO2R5, -CN, -NO2, -NR3R4 и -СF3; 2-, 3- или 4-пиридил; 2- или 3-фуранил; 2- или 3-тиенил; 2- или 4-имидазолил, 1-, 2- или 3-пирролил, 2- или 4-оксазолил; и 3- или 4-изоксазолил, или его энантиомер и его фармацевтически приемлемые соли.
7. Соединение по любому из пп.1-5, где Аr выбирают из группы: 1- или 2-нафтил; 2-, 3-, 4-, 5-, 6-, 7- или 8-хинолил; 1-, 3-, 4-, 5-, 6-, 7- или 8-изохинолил; 2-, 4-, 5-, 6- или 7-бензоксазолил; и 3-, 4-, 5-, 6- или 7-бензизоксазолил, или его энантиомер и его фармацевтически приемлемые соли.
8. Соединение по любому из пп.1-6, где R3, R4 и R5 представляют, независимо водород или С1-С4-алкил, или его энантиомер и его фармацевтически приемлемые соли.
9. Соединение по любому из пп.1-8, где n = 1.
10. Соединение по любому из пп.1-8, где R представляет водород.
11. Соединение по любому из пп.1-8, где Аr представляет гетероароматическое кольцо.
12. Соединение по любому из пп.1-8, где n равно 1; R представляет водород и Аr представляет гетероароматическое кольцо.
13. Соединение по п.1, представляющее собой
R-(-)-5′-N-(фенилметил)аминоспиро[1-азабицикло[2.2.2]октан-3,2′-(3’Н)-фуро[2,3-b]пиридин];
R-(-)-5′-(2-пиридилметил)аминоспиро[1-азабицикло[2.2.2]октан-3,2′-(3’Н)-фуро[2,3-b]пиридин];
R-(-)-5′-(3-пиридилметил)аминоспиро[1-азабицикло[2.2.2]октан-3,2′-(3’Н)-фуро[2,3-b]пиридин];
R-(-)-5′-(4-пиридилметил)аминоспиро[1-азабицикло[2.2.2]октан-3,2′-(3’Н)-фуро[2,3-b]пиридин];
R-(-)-5′-(2-фуранилметил)аминоспиро[1-азабицикло[2.2.2]октан-3,2′-(3’Н)-фуро[2,3-b]пиридин];
R-(-)-5′-(3-фуранилметил)аминоспиро[1-азабицикло[2.2.2]октан-3,2′-(3’Н)-фуро[2,3-b]пиридин];
R-(-)-5′-(2-тиенилметил)аминоспиро[1-азабицикло[2.2.2]октан-3,2′-(3’Н)-фуро[2,3-b]пиридин];
R-(-)-5′-(2-имидазолилметил)аминоспиро[1-азабицикло[2.2.2]октан-3,2′-(3’Н)-фуро[2,3-b]пиридин];
R-(-)-5′-N-(4-метоксифенилметил)аминоспиро[1-азабицикло[2.2.2]октан-3,2′-(3’Н)-фуро[2,3-b]пиридин];
R-(-)-5′-N-(4-хлорфенилметил)аминоспиро[1-азабицикло[2.2.2]октан-3,2′-(3’Н)-фуро[2,3-b]пиридин];
R-(-)-5′-N-(4-метилфенилметил)аминоспиро[1-азабицикло[2.2.2]октан-3,2′-(3’Н)-фуро[2,3-b]пиридин];
R-(-)-5′-N-(3,4-дихлорфенилметил)аминоспиро[1-азабицикло[2.2.2]октан-3,2′-(3’Н)-фуро[2,3-b]пиридин];
R-(-)-5′-N-ацетил-N-(фенилметил)аминоспиро[1-азабицикло[2.2.2]октан-3,2′-(3’Н)-фуро[2,3-b]пиридин];
R-(-)-5′-N-метил-N-(фенилметил)аминоспиро[1-азабицикло[2.2.2]октан-3,2′-(3’Н)-фуро[2,3-b]пиридин];
R-(-)-5′-N-(3-пиридил)аминоспиро[1-азабицикло[2.2.2]октан-3,2′(3’Н)-фуро[2,3-b]пиридин];
R-(-)-6′-N-(фенилметил)аминоспиро[1-азабицикло[2.2.2]октан-3,2′(3’Н)-фуро[2,3-b]пиридин];
R-(-)-5′-N-(3-тиенилметил)аминоспиро[1-азабицикло[2.2.2]октан-3,2′-(3’Н)-фуро[2,3-b]пиридин];
R-(-)-5′-N-(2-фенилэтил)аминоспиро[1-азабицикло[2.2.2]октан-3,2′-(3’Н)-фуро[2,3-b]пиридин];
R-(-)-5′-N-(3-фенилпропил)аминоспиро[1-азабицикло[2.2.2]октан-3,2′-(3’Н)-фуро[2,3-b]пиридин];
R-(-)-5′-N-(хинолин-3-илметил)аминоспиро[1-азабицикло[2.2.2]октан-3,2′-(3’Н)-фуро[2,3-b]пиридин];
R-(-)-5′-N-(хинолин-4-илметил)аминоспиро[1-азабицикло[2.2.2]октан-3,2′-(3’Н)-фуро[2,3-b]пиридин];
R-(-)-5′-N-(1,4-бензодиоксан-6-илметил)аминоспиро[1-азабицикло[2.2.2]октан-3,2′-(3’Н)-фуро[2,3-b]пиридин];
R-(-)-5′-N-(имидазол-4-илметил)аминоспиро[1-азабицикло[2.2.2]октан-3,2′-(3’Н)-фуро[2,3-b]пиридин];
R-(-)-5′-N-(транс-3-фенилпроп-2-енил)аминоспиро[1-азабицикло[2.2.2]октан-3,2′-(3’Н)-фуро[2,3-b]пиридин];
R-(-)-5′-N-(тиазол-2-илметил)аминоспиро[1-азабицикло[2.2.2]октан-3,2′-(3’Н)-фуро[2,3-b]пиридин];
R-(-)-5′-N-(3-метилфенилметил)аминоспиро[1-азабицикло[2.2.2]октан-3,2′-(3’Н)-фуро[2,3-b]пиридин];
R-(-)-5′-N-(2-хлорфенилметил)аминоспиро[1-азабицикло[2.2.2]октан-3,2′-(3’Н)-фуро[2,3-b]пиридин];
R-(-)-5′-N-(3-хлорфенилметил)аминоспиро[1-азабицикло[2.2.2]октан-3,2′-(3’Н)-фуро[2,3-b]пиридин];
R-(-)-5′-N-(3-фенилпропинил)аминоспиро[1-азабицикло[2.2.2]октан-3,2′-(3’Н)-фуро[2,3-b]пиридин];
R-(-)-5′-N-(3-гидроксифенилметил)аминоспиро[1-азабицикло[2.2.2]октан-3,2′-(3’Н)-фуро[2,3-b]пиридин];
R-(-)-5′-N-(4-гидроксифенилметил)аминоспиро[1-азабицикло[2.2.2]октан-3,2′-(3’Н)-фуро[2,3-b]пиридин];
R-(-)-5′-N-[транс-3-(4-пиридинил)проп-2-енил]аминоспиро[1-азабицикло[2.2.2]октан-3,2′-(3’Н)-фуро[2,3-b]пиридин];
R-(-)-5′-N-ацетил-N-(3-тиенилметил)аминоспиро[1-азабицикло[2.2.2]октан-3,2′-(3’Н)-фуро[2,3-b]пиридин];
R-(-)-5′-N-метил-N-(4-пиридилметил)аминоспиро[1-азабицикло[2.2.2]октан-3,2′-(3’Н)-фуро[2,3-b]пиридин];
R-(-)-5′-N-метил-N-(3-пиридилметил)аминоспиро[1-азабицикло [2.2.2]октан-3,2′-(3’Н)-фуро[2,3-b]пиридин];
R-(-)-5′-N-(2-гидроксиэтил)-N-(3-тиенилметил)аминоспиро[1-азабицикло[2.2.2]октан-3,2′-(3’Н)-фуро[2,3-b]пиридин],
и их энантиомеры и их фармацевтически приемлемые соли.
14. Соединение по п.1, представляющее собой:
R-(-)-5′-(3-пиридилметил)аминоспиро[1-азабицикло[2.2.2]октан-3,2′-(3’Н)-фуро[2,3-b]пиридин];
R-(-)-5′-(4-пиридилметил)аминоспиро[1-азабицикло[2.2.2]октан-3,2′-(3’Н)-фуро[2,3-b]пиридин]
или его энантиомер и его фармацевтически приемлемые соли.
15. Соединение по любому из пп.1-14 для использования в терапии.
16. Фармацевтическая композиция, проявляющая агонистическую активность по отношению к никотиновым рецепторам ацетилхолина и содержащая соединение по любому из пп.1-14 в смеси с инертным фармацевтически приемлемым разбавителем или носителем.
17. Фармацевтическая композиция по п.16, используемая для лечения или профилактики психотических нарушений или нарушений интеллектуальных способностей.
18. Фармацевтическая композиция по п.16, используемая для лечения или профилактики болезни Альцгеймера, дефицита слабости обучения, дефицита познавательной способности, дефицита внимания, потери памяти, дефицита внимания, характеризующегося гиперактивностью, деменции Lewy Body, тревожных состояний, шизофрении, мании или маниакальной депрессии, болезни Паркинсона, болезни Хантингтона, болезни Туретта, нейродегенеративных нарушений, при которых происходит потеря холинергического синапса, расстройства нормального циркадного ритма, состояния при прекращении курения, никотиновой зависимости, включая зависимость, которая является результатом воздействия продуктов, содержащих никотин, боли или неспецифического язвенного колита.
19. Фармацевтическая композиция по п.18, используемая для лечения или профилактики тревожных состояний, шизофрении, мании или маниакальной депрессии.
20. Фармацевтическая композиция по п.18, используемая для лечения или профилактики болезни Паркинсона, болезни Хантингтона, болезни Туретта или нейродегенеративных нарушений, при которых происходит потеря холинергических синапсов.
21. Фармацевтическая композиция по п.18, используемая для лечения или профилактики расстройства нормального циркадного ритма, никотиновой зависимости, включая зависимость, которая является результатом воздействия продуктов, содержащих никотин, боли или неспецифического язвенного колита.
22. Соединение по любому из пп.1-14, используемое для изготовления лекарственного препарата для лечения или профилактики психотических нарушений или нарушений интеллектуальной способности.
23. Соединение по любому из пп.1-14, используемое при изготовлении лекарственного препарата для лечения или профилактики заболеваний или состояний человека, для которых полезна активация никотинового рецептора
где R и R1 имеют значения, указанные в п. 1, отличающийся тем, что соединение формулы (VI)
где Е представляет галоген, NO2 или NHR,
подвергают взаимодействию с амином в присутствии подходящего металлорганического катализатора, основания и растворителя.
26. Соединение формулы
27. Соединение формулы
где Е представляет NO2, NHR или галоген;
R имеет значение, указанное в п.1.