Патент на изобретение №2233281
|
||||||||||||||||||||||||||
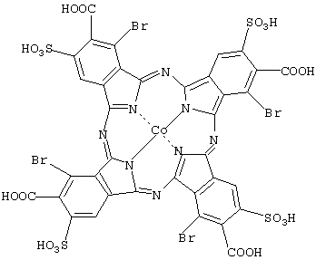
(54) ТЕТРА (3-БРОМ-4-КАРБОКСИ-5-СУЛЬФО)ФТАЛОЦИАНИН КОБАЛЬТА
(57) Реферат: Изобретение относится к новому замещенному фталоцианину, который может найти применение в качестве красителя, катализатора различных окислительно-восстановительных процессов. Описывается тетра(3-бром-4-карбокси-5-сульфо)фталоцианин кобальта формулы I
Техническим результатом является возможность синтезировать фталоцианиновое соединение, способное одновременно растворяться в более широком диапазоне рН и обладающее к тому же способностью окрашивать хлопчатобумажные волокна и ткани из них. 2 ил.
Область техники
Предлагаемое изобретение относится к новым замещенным металлфталоцианинам, представляющим интерес как красители, катализаторы различных окислительно-восстановительных процессов, биологически активные препараты и т.д.
Уровень техники
М=Со; Сu М=Со; Сu
R=Н R1=СООН (I) R=SO3Н R1=СООН (V)
R=СООН R1=Н(II) R=SO3Н R1=Сl(VI)
R=SO3Н R1=Н(III) R=SO3Н R1=Br(VII)
R=Hal R1=Н (IV)
Соединения I-IV являются монофункциональнозамещенными металлфталоцианинами, а соединения V-VII-бифункциональнозамещенными.
Наличие разных заместителей в молекуле фталоцианина придает комплекс различных полезных свойств.
Наиболее близким структурным аналогом заявляемого соединения является кобальтовый комплекс тетра(4-бром-5-сульфо)фталоцианина (VII). Однако, хотя в составе этого комплекса содержатся два различных заместителя, придающие растворимость в нейтральных и водно-щелочных средах и светоустойчивость, но это соединение не растворимо в кислых растворах, что ограничивает его использование для крашения в кислых средах.
Индивидуальные фталоцианиновые соединения, содержащие в молекуле одновременно три различных заместителя (бром, карбокси- и сульфогруппы), неизвестны.
Сущность изобретения
Изобретательская задача состояла в поиске соединения, являющегося замещенным металлфталоцианином, способным одновременно растворяться в более широком диапазоне рН (как в щелочных водных растворах, так и в нейтральных и даже слабокислых), обладающих к тому же способностью окрашивать хлопчатобумажные волокна и ткани из них.
Поставленная задача решена синтезом тетра(3-бром-4-карбокси-5-сульфо)фталоцианина кобальта
Изобретение позволяет получить следующие преимущества:
– тетра(3-бром-4-карбокси-5-сульфо)фталоцианин кобальта обладает растворимостью как в щелочных, так и в нейтральных и слабокислых водных средах, что позволяет использовать его для окрашивания хлопчатобумажных волокон и тканей из них в сине-зеленый цвет, расширяя цветовую гамму водорастворимых фталоцианиновых красителей;
– соединение обеспечивает получение светостойких окрасок хлопчатобумажных волокон и тканей из них.
Структура заявляемого соединения подтверждена данными элементного анализа, колебательной и электронной спектроскопии.
ИК-спектр в КВr тетра(3-бром-4-карбокси-5-сульфо)фталоцианина кобальта (фиг.1) имеет полосы, отвечающие валентным колебаниям связей: S=О (1100 cм-1), С=О (1700 см-1) и С-Br (600 см-1) [Гордон А., Форд Р. Спутник химика. М.: Мир, 1976, с.200-234]. В отличие от ИК-спектров незамещенных металлфталоцианинов [Сидоров А.Н., Котляр И.П. / Оптика и спектроскопия, 1961, т.11, №2, с.175] спектр заявляемого соединения имеет слабую разрешенность, что указывает на возможные межмолекулярные взаимодействия за счет наличия в бензольных кольцах полярных функциональных групп (-SO3Н и СООН), а также атомов брома.
Сведения, подтверждающие возможность воспроизведения изобретения
Для этого использовали следующие реагенты:
– мочевина ГОСТ 6691-77;
– безводный ацетат кобальта ГОСТ 5861-79;
– молибдат аммония ГОСТ 3765-78;
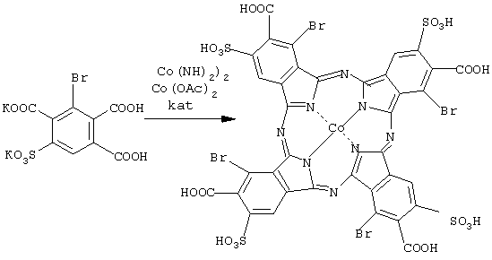
– дикалиевая соль 3-бром-4-карбокси-5-сульфофталевая кислота. Этот реагент промышленностью в настоящее время не выпускается, поэтому был нами синтезирован по следующей схеме:
8,4 г (0,03 моль) 3-бром-5-сульфопсевдокумола суспендируют в 200 мл воды, подщелиачивают КОН со слабощелочной реакции и добавляют 100 мл пиридина. Нагревают до 70 С и при перемешивании добавляют перманганат калия порциями по 3 г (0,019 моль) по мере исчезновения его окраски. После добавления первых трех порций реакционную массу нагревают до кипения. Добавление ведут в течение четырех часов до появления устойчивой окраски перманганата калия (проба на фильтровальной бумаге). Горячую суспензию отфильтровывают. Осадок двуокиси марганца промывают горячей водой. Фильтрат и промывные воды соединяют и проводят отгонку пиридина с водой до отсутствия его запаха в отгоне. Раствор упаривают до 1/3 первоначального объема, затем подкисляют соляной кислотой до слабокислой реакции (рН 4-5). Выпавший при охлаждении осадок отфильтровывают. Фильтрат снова упаривают до 1/3 первоначального объема, затем подкисляют соляной кислотой до рН 4-5. Раствор охлаждают, при этом выпадает осадок белого цвета. Второй осадок является целевым продуктом, т.е. дикалиевой солью 4-карбокси-5-сульфофталевой кислоты. Полученное вещество – порошок белого цвета, хорошо растворимое в воде.
Выход: 4 г (30%).
С9Н3BrК2О9S.
Найдено, %: Вr 17,3, S 7,8.
Вычислено, % Br 18,0, S 7,2.
ИК-спектр в КВr, , см-1: 1720 ( С=О в СООН); 1624, 1384 ( С=О в СОО–), 1100 ( S=О); 600 ( С-Br).
Пример. Получение тетра(3-бром-4-карбокси-5-сульфо)фталоцианина кобальта. 2 г (4,5 ммоль) дикалиевой соли 3-бром-4-карбокси-5-сульфофталевой кислоты смешивают с 2,2 г (36 ммоль) мочевины, 0,37 г (0,3 ммоль) безводного ацетата кобальта и 0,03 г (0,15 ммоль) молибдата аммония. Тщательно перемешанные реагенты помещают в пробирку, расположенную вертикально в электрической печи сопротивления и выдерживают при перемешивании в следующем температурно-временном режиме:
140-150 С – 90 мин; 170-180 С – 35 мин; 190 С – 15 мин; 200 С – 60 мин.
После охлаждения реакционную массу измельчают, промывают сначала 17%-ным, затем 5%-ным растворами соляной кислоты до бесцветных фильтратов. Остаток на фильтре растворяют в водном аммиаке, фильтруют и выпаривают на водяной бане. Затем полученный осадок вновь обрабатывают 17%-ной соляной кислотой и окончательную очистку проводят экстракцией примесей метанолом в аппарате Сокслета.
Продукт представляет собой порошкообразное вещество темно-фиолетового цвета с металлическим блеском, хорошо растворимое в воде, водно-щелочных и водно-кислых средах, ограничено растворимое в ДМФА и других полярных органических растворителях.
Выход 0,36 г (23%).
ИК-спектр в КВr, см-1: 1700 ( С=О в СООН); 1100 ( S=О); 600 ( С-Br).
ЭСП, нм: в ДМФА 682,2; в 1% NH4ОН 688,1; в Н2О 684,3.
Таким образом, заявляемый тетра(3-бром-4-карбокси-5-сульфо)фталоцианин кобальта является органическим веществом класса замещенных металлфталоцианинов, обладающий индивидуальностью строения, наличием в составе молекулы трех различных заместителей с фиксированным их положением в бензольных ядрах, способностью растворяться как в щелочных, так и в нейтральных и слабокислых водных средах. Эти свойства тетра(3-бром-4-карбокси-5-сульфо)фталоцианина кобальта позволяют использовать его для крашения хлопчатобумажных волокон и тканей из них; в различных средах, в качестве катализатора различных процессов, протекающих в гомогенной среде, а также в других областях науки и техники.
Формула изобретения Тетра (3-бром-4-карбокси-5-сульфо)фталоцианин кобальта формулы
РИСУНКИ
MM4A Досрочное прекращение действия патента Российской Федерации на изобретение из-за неуплаты в установленный срок пошлины за поддержание патента в силе
Дата прекращения действия патента: 15.01.2005
Извещение опубликовано: 20.10.2006 БИ: 29/2006
|
||||||||||||||||||||||||||

Техническим результатом является возможность синтезировать фталоцианиновое соединение, способное одновременно растворяться в более широком диапазоне рН и обладающее к тому же способностью окрашивать хлопчатобумажные волокна и ткани из них. 2 ил.
Область техники
Предлагаемое изобретение относится к новым замещенным металлфталоцианинам, представляющим интерес как красители, катализаторы различных окислительно-восстановительных процессов, биологически активные препараты и т.д.
Уровень техники
М=Со; Сu М=Со; Сu
R=Н R1=СООН (I) R=SO3Н R1=СООН (V)
R=СООН R1=Н(II) R=SO3Н R1=Сl(VI)
R=SO3Н R1=Н(III) R=SO3Н R1=Br(VII)
R=Hal R1=Н (IV)
Соединения I-IV являются монофункциональнозамещенными металлфталоцианинами, а соединения V-VII-бифункциональнозамещенными.
Наличие разных заместителей в молекуле фталоцианина придает комплекс различных полезных свойств.
Наиболее близким структурным аналогом заявляемого соединения является кобальтовый комплекс тетра(4-бром-5-сульфо)фталоцианина (VII). Однако, хотя в составе этого комплекса содержатся два различных заместителя, придающие растворимость в нейтральных и водно-щелочных средах и светоустойчивость, но это соединение не растворимо в кислых растворах, что ограничивает его использование для крашения в кислых средах.
Индивидуальные фталоцианиновые соединения, содержащие в молекуле одновременно три различных заместителя (бром, карбокси- и сульфогруппы), неизвестны.
Сущность изобретения
Изобретательская задача состояла в поиске соединения, являющегося замещенным металлфталоцианином, способным одновременно растворяться в более широком диапазоне рН (как в щелочных водных растворах, так и в нейтральных и даже слабокислых), обладающих к тому же способностью окрашивать хлопчатобумажные волокна и ткани из них.
Поставленная задача решена синтезом тетра(3-бром-4-карбокси-5-сульфо)фталоцианина кобальта
Изобретение позволяет получить следующие преимущества:
– тетра(3-бром-4-карбокси-5-сульфо)фталоцианин кобальта обладает растворимостью как в щелочных, так и в нейтральных и слабокислых водных средах, что позволяет использовать его для окрашивания хлопчатобумажных волокон и тканей из них в сине-зеленый цвет, расширяя цветовую гамму водорастворимых фталоцианиновых красителей;
– соединение обеспечивает получение светостойких окрасок хлопчатобумажных волокон и тканей из них.
Структура заявляемого соединения подтверждена данными элементного анализа, колебательной и электронной спектроскопии.
ИК-спектр в КВr тетра(3-бром-4-карбокси-5-сульфо)фталоцианина кобальта (фиг.1) имеет полосы, отвечающие валентным колебаниям связей: S=О (1100 cм-1), С=О (1700 см-1) и С-Br (600 см-1) [Гордон А., Форд Р. Спутник химика. М.: Мир, 1976, с.200-234]. В отличие от ИК-спектров незамещенных металлфталоцианинов [Сидоров А.Н., Котляр И.П. / Оптика и спектроскопия, 1961, т.11, №2, с.175] спектр заявляемого соединения имеет слабую разрешенность, что указывает на возможные межмолекулярные взаимодействия за счет наличия в бензольных кольцах полярных функциональных групп (-SO3Н и СООН), а также атомов брома.
Сведения, подтверждающие возможность воспроизведения изобретения
Для этого использовали следующие реагенты:
– мочевина ГОСТ 6691-77;
– безводный ацетат кобальта ГОСТ 5861-79;
– молибдат аммония ГОСТ 3765-78;
– дикалиевая соль 3-бром-4-карбокси-5-сульфофталевая кислота. Этот реагент промышленностью в настоящее время не выпускается, поэтому был нами синтезирован по следующей схеме:
8,4 г (0,03 моль) 3-бром-5-сульфопсевдокумола суспендируют в 200 мл воды, подщелиачивают КОН со слабощелочной реакции и добавляют 100 мл пиридина. Нагревают до 70
С и при перемешивании добавляют перманганат калия порциями по 3 г (0,019 моль) по мере исчезновения его окраски. После добавления первых трех порций реакционную массу нагревают до кипения. Добавление ведут в течение четырех часов до появления устойчивой окраски перманганата калия (проба на фильтровальной бумаге). Горячую суспензию отфильтровывают. Осадок двуокиси марганца промывают горячей водой. Фильтрат и промывные воды соединяют и проводят отгонку пиридина с водой до отсутствия его запаха в отгоне. Раствор упаривают до 1/3 первоначального объема, затем подкисляют соляной кислотой до слабокислой реакции (рН 4-5). Выпавший при охлаждении осадок отфильтровывают. Фильтрат снова упаривают до 1/3 первоначального объема, затем подкисляют соляной кислотой до рН 4-5. Раствор охлаждают, при этом выпадает осадок белого цвета. Второй осадок является целевым продуктом, т.е. дикалиевой солью 4-карбокси-5-сульфофталевой кислоты. Полученное вещество – порошок белого цвета, хорошо растворимое в воде.
Выход: 4 г (30%).
С9Н3BrК2О9S.
Найдено, %: Вr 17,3, S 7,8.
Вычислено, % Br 18,0, S 7,2.
ИК-спектр в КВr,
, см-1: 1720 (