Патент на изобретение №2233269
|
||||||||||||||||||||||||||
(54) ЗАМЕЩЕННЫЕ АНИЛИДЫ, ФАРМАЦЕВТИЧЕСКАЯ КОМПОЗИЦИЯ И СПОСОБ ЛЕЧЕНИЯ
(57) Реферат: Изобретение касается новых физиологически активных соединений общей формулы (I), его N-оксидов, сложноэфирных производных, а также их фармацевтически приемлемых солей и сольватов, которые обладают ценными фармацевтическими свойствами, в частности способны контролировать взаимодействие VCAM-1 и фибронектина с интегрином VLA-4 ( 4 1) и могут быть использованы при лечении воспалительных заболеваний и астмы. В соединении общей формулы (I)
где Х1 и Х2 независимо обозначают CR10;
R4 обозначает атом водорода или С1-4алкильную группу;
R10 обозначает водород, С1-4алкил, С1-4алкокси, С1-4алкилтио, С1-4алкилсульфинил или С1-4алкилсульфонил;
R12 обозначает водород, С1-4алкил или бензил;
R13 обозначает C1-6алкил, необязательно замещенный карбокси, C1-4алкоксиалкокси, -OCH2CO2H, -NY1Y2 либо одной или более гидроксигруппами; гетероарил, выбранный из имидазолила, оксазолила, пиридила, тиенила и пиридазинила, каждый из которых необязательно замещен карбокси или C1-4алкилом; гетероциклоалкил, такой как тетрагидропиранил, или арил, выбранный из фенила и нафтила, каждый из которых может быть замещен карбоксигруппой, -NY4Y5 либо одной или более C1-4алкоксигруппой, где Y4 и Y5 независимо представляют C1-4алкил; R15 обозначает -N(R12)-C(=O)-R13, -N(R12)-SO2-R13 или -NY1Y2, где Y1 и Y2 независимо представляют водород, C1-4алкил или арилC1-4алкил, или группа -NY1Y2 может образовывать 5-6-членный циклический амин, который может содержать дополнительный гетероатом, выбранный из O или NY3 [где Y3 обозначает -C(=O)-OR14 (где R14 обозначает C1-4алкил) или C1-4 алкил]; Ar1 обозначает незамещенный фенилен. Изобретение также относится к фармацевтической композиции и способу лечения с использованием соединений настоящего изобретения. 3 н. и 13 з.п. ф-лы.
Данное изобретение касается замещенных анилидов, их получения, фармацевтических композиций, содержащих эти соединения, и их фармацевтического применения в лечении болезненных состояний, модулироваться которые могут ингибированием адгезии клеток.
Клеточная адгезия является процессом, при котором клетки соединяются друг с другом, мигрируют в направлении специфического объекта или локализуются внутри внеклеточного матрикса. Многие из взаимодействий клетка-клетка или клетка-внеклеточный матрикс опосредованы белковыми лигандами (к примеру, фибронектином, витронектином и VCAM-1) и их интегринрецепторами [к примеру, VLA-4 ( 4 1)]. Последние исследования показали, что эти взаимодействия играют важную роль во многих физиологических (к примеру, эмбриональное развитие и заживление ран) и патологических состояниях (к примеру, инвазия (прорастание) опухолевых клеток и метастазов, воспалительное заболевание, атеросклероз и аутоиммунная болезнь).
Широкий ряд белков служит лигандами интегрин-рецепторов. В основном, распознаваемые интегринами белки делятся на три класса: белки внеклеточного матрикса, белки плазмы и белки клеточной поверхности. Белки внеклеточного матрикса, такие как фибронектин, коллаген, фибриноген, ламинин, тромбоспондин и витронектин связываются рядом интегринов. Многие адгезивные белки также циркулируют в плазме и связываются с активированными клетками крови. Дополнительные компоненты в плазме, являющиеся лигандами для интегринов, включают фибриноген и фактор X. Клеточный связанный комплемент C3bi и некоторые трансмембранные белки, такие как Ig-подобная клеточная адгезионная молекула (ICAM-1,2,3) и васкулярная клеточная адгезионная молекула (VCAM-1), являющиеся членами Ig-надсемейства, также служат лигандами клеточной поверхности для некоторых интегринов.
Интегрины являются гетеродимерными рецепторами клеточной поверхности, включающими две субъединицы, называемые и . Существует, по меньшей мере, двенадцать различных -субъединиц ( 1- 6, -L, -м, -Х, -Iib, -V и -Е) и, по меньшей мере, девять различных -субъединиц ( 1- 9). Семейство интегринов подразделяется на классы по -субъединицам, которые связаны с одной или более -субъединицами. Наиболее широко распространены интегрины, принадлежащие к 1-классу, известные также как очень запаздывающие антигены (VLA). Второй класс интегринов составляют лейкоцит-специфические рецепторы, включающие одну из трех -субъединиц ( -L, -М или -Х), комплексно связанных с 2-белком. Цитоадгезины -II 3 и -V 3 составляют третий класс интегринов.
Настоящее изобретение преимущественно касается агентов, модулирующих взаимодействие лиганда VCAM-1 с интегрин-рецептором 4 1 (VLA-4), который экспрессируется на многочисленных кроветворных клетках и устоявшихся линиях клеток, включающих гемопоэтические предшественники, периферические и цитотоксические Т-лимфоциты, В-лимфоциты, моноциты, тимоциты и эозинофилы.
Интегрин 4 1 опосредует как взаимодействие клетка-клетка, так и клетка-внеклеточный матрикс. Клетки, экспрессирующие 4 1, связываются с карбокси-терминальными клеточным связывающим доменом белка внеклеточного матрикса, фибронектина, с белком цитокин-активированной эндотелиальной клеточной поверхности, VCAM-1, и друг с другом, что способствует гомотипической агрегации. Экспрессия VCAM-1 эндотелиальными клетками регулируется провоспалительными цитокинами, такими как INF- , TNF- и LI-1 .
Контроль опосредованной 4 1 адгезии клеток важен при многих физиологических процессах, включающих пролиферацию Т-клеток, локализацию В-клеток на зародышевых центрах и адгезию активированных Т-клеток и эозинофилов к эндотелиальным клеткам. Данные по вовлечению в патологический процесс взаимодействия VLA-4/VCAM-1 при различных заболеваниях, таких как собраны при исследовании роли белка CS-1 (вариабельный участок фибронектина, с которым 4 1 связывается через последовательность Leu-Asp-Val) и антител, специфических для VLA-4 или VCAM-1 в различных экспериментальных моделях воспаления in vitro и in vivo. К примеру, в экспериментальной модели артрита, вызванного оболочкой стрептококовых клеток на крысах, внутривенное введение CS-1 при стимуляции артрита подавляет как острое, так и хроническое воспаление (S.M.Wahl et al.J.Clin.Invest., 1994, 94, pages 655-662). В сенсибилизированной оксазолоном модели воспаления (контактная аллергическая реакция) на мышах внутривенное введение специфических моноклональных антител к 4 существенно подавляет (50-60% ослабление реакции опухания ушей) эфферентную реакцию (P.L.Chisholm et al. J.Immunol., 1993, 23, pages 682-688).
Авторами найдена новая группа замещенных анилидов, обладающих ценными фармацевтическими свойствами, в частности способностью к регулированию взаимодействия VCAM-1 и фибронектина с интегрином VLA-4 ( 4 1).
Итак, один из аспектов настоящего изобретения направлен на соединения общей формулы А
где R1 обозначает водород, галоген, гидрокси, низший алкил или низший алкокси;
X1, X2 и X6 независимо обозначают N или CR10 и один из X3, X4 и X5 обозначает CR11, а другие независимо обозначают N или CR10, где R10 обозначает водород, амино, галоген, гидрокси, низший алкил, низший алкокси, низший алкилтио, низший алкилсульфинил, низший алкилсульфонил, нитро или трифторметил, a R11 обозначает группу -L1-Ar1-L2-Y, в которой
L1 обозначает -R2-R3-мостик, где R2 обозначает линейную или разветвленную C1-6алкиленовую цепь, линейную или разветвленную С2-6алкениленовую цепь или линейную или разветвленную С2-6алкиниленовую цепь, a R3 обозначает непосредственную химическую связь, циклоалкилен, гетероциклоалкилен, арилен, гетероарилдиил, -C(=Z)-NR4-, -NR4-C(=Z)-, -Z1-, -C(=O)-, -C(=NOR4)-, -NR4-C(=Z)-NR4-, -SO2-NR4-, -NR4-SО2-, -O-C(=O)-, -C(=O)-O-, -NR4-C(=O)-O- или -O-C(=O)-NR4– (где R4 обозначает атом водорода или низшую алкильную группу; Z обозначает О или S; Z1 обозначает О, S(O)n, или NR4 и n обозначает нуль или целое число 1 или 2), но за исключением соединений, в которых атом кислорода, азота или серы в R3 непосредственно связан с атомом углерода кратной связи в R3;
Аr1 обозначает арилен или гетероарилдиил;
L2 обозначает
(i) непосредственную химическую связь;
(ii) мостик из алкилена, алкенилена, алкинилена, циклоалкенилена, циклоалкилена, гетероарилдиила, гетероциклоалкилена или арилена, каждый из которых необязательно замещен
(a) кислотной функциональной группой (или соответствующим защищенным производным), R5, -ZH, -ZR5, -C(=O)-R, -N(R12)-C(=O)-R13, -N(R12)-C(=O)-OR13, -N(R12)-SO2-R13, -NY1Y2 или -[С(=О)-N(R6)-C(R4)(R7)]p-C(=O)-NY1Y2 или
(b) алкилом, замещенным кислотной функциональной группой (или соответствующим защищенным производным), или -ZH, -ZR5, -C(=O)-NY1Y2 или -NY1Y2;
(iii) -[С(=O)-N(R6)-С(R4)(R7)]p-мостик;
(iv) -Z2-R9-мocтик;
(v) -С(=O)-CH2-C(=O)-мостик;
(vi) -R9-Z2-R9-мостик, или
(vii) -С(R4)(R8)-[С(=O)-N(R6)-C(R4)(R7)]р-мостик,
где R5 обозначает алкил, алкенил, алкинил, арил, арилалкил, арилалкенил, арилалкинил, циклоалкил, циклоалкилалкил, циклоалкенил, циклоалкенилалкил, гетероарил, гетероарилалкил, гетероарилалкенил, гетероарилалкинил, гетероциклоалкил или гетероциклоалкилалкил;
R6 обозначает водород, R5 или алкил, замещенный алкокси, циклоалкилом, гидрокси, меркапто, алкилтио или -NY1Y2;
каждый из R7 и R8 независимо выбирают из водорода или группы, включающей аминокислотные боковые цепи и соответствующие защищенные производные, кислотной функциональной группы (или соответствующего защищенного производного), R5, -ZR5, -C(=O)-R5 или -С(=O)-NY1Y2, или алкила, замещенного кислотной функциональной группой (или соответствующим защищенным производным), или замещенного R5, -ZR5, -NY1Y2, -NH-C(=O)-R5, -C(=O)-R2-NH2, -C(=O)-Ar1-NH2, -С(=O)-R2-CO2H или -C(=O)-NY1Y2;
или R6 и R7, или R6 и R8 вместе с атомами, к которым они присоединены, образуют 3-6-членное кольцо гетероциклоалкила;
R9 обозначает C1-6алкилен, необязательно замещенный R5;
R12 обозначает водород, алкил, арил, арилалкил, циклоалкил, циклоалкилалкил, гетероарил, гетероарилалкил, гетероциклоалкил или гетероциклоалкилалкил;
R13 обозначает алкил, арил, циклоалкил, гетероарил или гетероциклоалкил, или алкил, замещенный арилом, кислотной функциональной группой (или соответствующим защищенным производным), циклоалкилом, гетероарилом, гетероциклоалкилом, -ZH, -ZR5, -C(=O)-NY1Y2 или -NY1Y2;
Y1 и Y2 независимо обозначают водород, алкенил, алкил, алкинил, арил, циклоалкенил, циклоалкил, гетероарил, гетероциклоалкил или алкил, замещенный алкокси, арилом, циано, циклоалкилом, гетероарилом, гетероциклоалкилом, гидрокси, оксо, -NY1Y2 или одной или более группами -СО2R12 или -С(=O)-NY1Y2;
либо группа -NY1Y2 может образовывать 5-7-членный циклический амин, который
(i) необязательно может быть замещен одним или более заместителями, которые выбирают из алкокси, карбоксамидо, карбокси, гидрокси, оксо (или производное ацеталя с 5, 6 или 7-членным циклом), R13;
(ii) может также содержать дополнительный гетероатом, который выбирают из О, S, SО2 или NY3 [где Y3 обозначает водород, алкил, арил, арилалкил, -C(=O)-R14, -C(=O)-OR14 или -SO2R14 (где R14 обозначает алкил, арил, арилалкил, циклоалкил, циклоалкилалкил, гетероарил, гетероарилалкил, гетероциклоалкил или гетероциклоалкилалкил) и
(iii) может также быть конденсирован с образованием дополнительных циклов арила, гетероарила, гетероциклоалкила или циклоалкила, что приводит к образованию циклической системы из двух или трех колец;
Z2 обозначает О, S(O)n, NR4, SONR4, C(=O)NR4 или С(=O);
р обозначает нуль или целое число от 1 до 4 и
Y обозначает карбокси (или кислотную биоизостеру) или -С(=O)-NY1Y2],
и соответствующие N-оксиды и их пролекарства; фармацевтически приемлемые соли и сольваты (к примеру, гидраты) таких соединений и их N-оксиды и пролекарства;
исключение составляют соединения: (2-{2-[4-(3-(2-метилфенил)уреидо)фенил]ацетиламино}тиазол-4-ил)уксусная кислота, 2-фенилацетиламино-3-{4-[4-(3-(2-метилфенил)уреидо)бензилокси]фенил}пропионовая кислота, 2-фенилацетиламино-3-(4-{2-[4-(3-(2-метилфенил)уреидо)фенил]этокси}фенил)пропионовая кислота, 2-бензилсульфониламино-3-{4-[4-(3-(2-метилфенил)уреидо)бензилокси]фенил}пропионовая кислота, (бутан-1-сульфониламино)-{2-[4-(3-(2-метилфенил)уреидо)бензил]бензофуран-6-ил}уксусная кислота, 3-(бензиламинокарбонил)-(4-{2-[4-(3-(2-метилфенил)уреидо)фенил]этокси}бензил)пропионовая кислота и 2-бензилоксикарбониламино-3-(5-{3-[4-(3-(2-метилфенил)уреидо)фенил]пропил}тиофен-2-ил)пропионовая кислота,
и при условии, что L1 не может обозначать C1-6алкилен-С(=O)-NH- или C1-6алкилен, когда Аr1 обозначает необязательно замещенный фенилен, Y обозначает -СO2Н, -SО3Н, -РO4Н2 или тетразол, а L2 обозначает
(i) непосредственную химическую связь,
(ii) мостик из алкилена или алкенилена, каждый из которых необязательно замещен
(a) алкилом, алкенилом, алкинилом, циклоалкилом, циклоалкенилом, арилом, арилалкилом, гетероарилом, гетероарилалкилом или гетероциклоалкилом или
(b) алкилом, замещенным алкокси, гидрокси, арилалкилокси, гетероарилалкилокси, алкилтио, карбокси, алкоксикарбонилом или -С(=O)-NН2,
(iii) -[С(=O)-N(R6)-C(R4)(R7)]р-мостик, где R4 обозначает водород или низший алкил, R6 обозначает водород, алкил, алкенил, алкинил, циклоалкил, циклоалкилалкил, циклоалкенил, циклоалкенилалкил, арил, арилалкил, гетероарил, гетероарилалкил, гетероциклоалкил, гетероциклоалкилалкил или алкил, замещенный алкокси, гидрокси или алкилтио, R7 обозначает водород, алкил, алкенил, алкинил, циклоалкил, циклоалкилалкил, циклоалкенил, циклоалкенилалкил, арил, арилалкил, гетероарил, гетероарилалкил, гетероциклоалкил, гетероциклоалкилалкил или алкил, замещенный алкенилом, алкинилом, алкокси, гидрокси, арилалкилокси, гетероарилалкилокси, алкилтио, карбокси, алкоксикарбонилом или карбоксамидом, и р обозначает единицу,
(iv) -Z2-R9-мостик, где Z2 обозначает О, S, NR4, SO2NR4 или C(=O)NR4 и R9 обозначает С1-4алкилен, необязательно замещенный алкилом, алкенилом, алкинилом, циклоалкилом, циклоалкилалкилом, циклоалкенилом, циклоалкенилалкилом, арилом, арилалкилом, гетероарилом, гетероарилалкилом, гетероциклоалкилом или гетероциклоалкилалкилом, или
(v) -CH2-Z2-R9-мocтик, где Z2 обозначает О, NR4 или C(=O)NR4 и R9 обозначает С1-4алкилен, необязательно замещенный алкилом, алкенилом, алкинилом, циклоалкилом, циклоалкилалкилом, циклоалкенилом, циклоалкенилалкилом, арилом, арилалкилом, гетероарилом, гетероарилалкилом, гетероциклоалкилом или гетероциклоалкилалкилом.
Подразумевается, что в настоящем описании термин “соединения по изобретению” и эквивалентные выражения охватывают соединения общей формулы (I), как она определена выше, и, где контекст это допускает, данное выражение включает пролекарства, фармацевтически приемлемые соли и сольваты, к примеру гидраты. Аналогично в отношении промежуточных соединений, не зависимо от того, перечислены они или нет в приложенных пунктах, там, где контекст это допускает, подразумевается, что понятия включают их соли и сольваты. Для ясности отдельные примеры, когда контекст это позволяет, включены в текст, но эти примеры являются чисто иллюстративными и не имеется в виду, что они исключают другие примеры, когда контекст их допускает.
Как использовано выше и в последующем тексте описания изобретения, подразумевается, что, если не указано особо, то приведенные ниже термины имеют следующие значения
“Пациент” включает как человека, так и других млекопитающих.
“Кислотная биоизостера” означает группу, имеющую химические и физические сходства с карбоксигруппой, дающие близкое подобие биологических свойств (смотри Lipinski, Annual Reports in Medicinal Chemistry, 1986, 21, page 283, “Bioisosterism In Drug Design”; Yun, Hwahak Sekye, 1993, 33, pages 576-579, “Application Of Bioisosterism To New Drug Design”; Zhao, Huaxue Tongbao, 1995, pages 34-38, “Bioisosteric Replacement And Development Of Lead Compounds In Drug Design”; Graham, Theochem., 1995, 343, 105-109, Theoretical Studies Applied To Drug Design: ab initio Electronic Distributions In Bioisosteres”). Примеры приемлемых кислотных биоизостер включают -C(=O)-NHOH, -С(=O)-CH2OH, -С(=O)-CH2SH, -С(=O)-NH-CN, сульфо, фосфоно, алкилсульфонилкарбамоил, тетразолил, арилсульфонилкарбамоил, гетеро-арилсульфонилкарбамоил, N-метоксикарбамоил, 3-гидрокси-3-циклобутен-1,2-дион, 3,5-диоксо-1,2,4-оксадиазолидинил или гетероциклические фенолы, такие как 3-гидроксиизоксазолил и 3-гидрокси-1-метилпиразолил.
“Кислотная функциональная группа” означает группу с кислотным водородом. “Соответствующими защищенными производными” являются производные, в которых кислотный атом водорода замещен на подходящую защитную группу. По подходящим защитным группа см. T.W. Greene and P.G.M. Wuts in “Protective Groups in Organic Chemistry”, John Wiley and Sons, 1991. Иллюстративные примеры кислотных функциональных групп включают карбоксил (и кислотные биоизостеры), гидрокси, меркапто и имидазол. Иллюстративные примеры защищенных производных включают сложные эфиры карбоксигрупп, простые эфиры гидроксигрупп, простые тиоэфиры меркаптогрупп и N-бензильные производные имидазолов.
“Ацил” означает Н-СО- или алкил-СО- группу, в которой алкильная группа является указанной выше.
“Ациламино” означает ацил-NH-группу, где ацил является указанным выше.
“Алкенил” означает алифатическую углеводородную группу, содержащую углерод-углеродную двойную связь, эта группа может быть линейной или разветвленной и приблизительно с 2-15 атомами углерода в цепи. Предпочтительные алкенильные группы имеют приблизительно от 2 до 12 атомов углерода в цепи, более желательно приблизительно 2-4 атома углерода в цепи. “Разветвленный”, как использовано здесь и далее в тексте, означает, что одна или более низших алкильных групп, таких как метил, этил или пропил, присоединены к линейной цепи, здесь линейной цепи алкенила. “Низший алкенил” означает, что в цепи, которая может быть линейной или разветвленной, около 2-4 атомов углерода. Характерные примеры алкенильных групп включают этенил, пропенил, н-бутенил, изобутенил, 3-метилбут-2-енил, н-пентенил, гептенил, октенил, циклогексилбутенил и деценил.
“Алкенилен” означает алифатический двухвалентный радикал, происходящий от линейной или разветвленной алкенильной группы, в котором алкенильная группа является указанной выше. Иллюстративные примеры алкенилен-радикалов включают винилен и пропилен.
“Алкокси” означает алкил-O-группу, в которой алкильная группа является указанной выше. Характерные примеры алкоксигрупп включают метокси, этокси, н-пропокси, изо-пропокси, н-бутокси и гептокси.
“Алкоксиалкокси” означает алкил-O-алкил-O-группу, в которой алкильные группы независимо являются указанными выше. Примеры алкоксиалкоксильных групп включают метоксиметокси, метоксиэтокси и тому подобные.
“Алкоксикарбонил” означает алкил-O-СО-группу, в которой алкильная группа является указанной выше. Характерные примеры алкоксикарбонильных групп включают метокси- и этоксикарбонил.
“Алкил” означает, если не оговорено особо, алифатическую углеводородную группу, которая может быть линейной или разветвленной, приблизительно с 1-15 атомами углерода в цепи, необязательно замещенной алкокси или одним или более атомами галогена. Заслуживающие особого внимания алкильные группы имеют приблизительно от 1 до 6 атомов углерода.
“Низший алкил” как группа или часть низшей алкокси-, низшей алкилтио-, низшей алкилсульфинил- или низшей алкилсульфонилгруппы означает, если не оговорено особо, алифатическую углеводородную группу, которая может быть линейной или разветвленной, приблизительно с 1-4 атомами углерода в цепи. Характерные примеры алкильных групп включают метил, этил, н-пропил, изо-пропил, н-бутил, втор-бутил, н-пентил, 3-пентил, гептил, октил, нонил, децил и додецил.
“Алкилен” означает алифатический двухвалентный радикал, происходящий от линейной или разветвленной алкильной группы, в котором алкильная группа является указанной выше. Иллюстративные примеры алкилен-радикалов включают метилен, этилен и триметилен.
“Алкилендиокси” означает -О-алкилен-O-группу, в которой алкилен является указанным выше. Характерные примеры алкилендиоксигрупп включают метилендиокси и этилендиокси.
“Алкилсульфинил” означает алкил-SO-группу, в которой алкильная группа является указанной выше. Предпочтительными алкилсульфинилгруппами являются те, в которых алкильная группа обозначает С1-4 алкил.
“Алкилсульфонил” означает алкил-SО2-группу, в которой алкильная группа является указанной выше. Предпочтительными алкилсульфонил-группами являются те, в которых алкильная группа обозначает С1-4алкил.
“Алкилсульфонилкарбамоил” означает алкил-SО2-NН-С(=O)-группу, в которой алкильная группа является указанной выше. Предпочтительными алкилсульфонилкарбамоилгруппами являются те, в которых алкильная группа обозначает С1-4алкил.
“Алкилтио” означает алкил-S-группу, в которой алкильная группа является указанной выше. Характерные примеры алкилтиогрупп включают метилтио, этилтио, изопропилтио и гептилтио.
“Алкинил” означает алифатическую углеводородную группу, содержащую углерод-углеродную тройную связь, которая может быть линейной или разветвленной, приблизительно с 2-15 атомами углерода в цепи. Предпочтительные алкинильные группы имеют приблизительно от 2 до 12 атомов углерода в цепи, более желательно приблизительно 2-4 атома углерода в цепи. Характерные примеры алкинильных групп включают этинил, пропинил, н-бутинил, изо-бутинил, 3-метилбут-2-инил и н-пентинил.
“Алкинилен” означает алифатический двухвалентный радикал, происходящий от линейной или разветвленной алкильной группы, в котором алкинильная группа является указанной выше. Иллюстративные примеры алкинилен- радикалов включают этинилен и пропинилен.
Термин “аминокислотные боковые цепи” означает заместитель на углероде, расположенном между амино- и карбоксигруппами в -аминокислотах. В отношении примеров “соответствующих защищенных производных” аминокислотных боковых цепей, см. T.W.Greene and P.G.M.Wuts in “Protective Groups in Organic Chemistry” John Wiley and Sons, 1991.
“Ароил” означает арил-СО-группу, в которой арильная группа является указанной выше. Характерные примеры групп включают бензоил и 1- и 2-нафтоил.
“Ароиламино” означает ароил-NH-группу, где ароил является указанным выше.
“Арил” как группа или часть группы обозначает
(i) необязательно замещенный моноциклический или полициклический ароматический углеводородный радикал приблизительно с 6-14 атомами углерода, такой как фенил или нафтил,
или (ii) необязательно замещенный частично насыщенный многоядерный ароматический карбоциклический радикал, в котором арил- и циклоалкил- или циклоалкенилгруппа конденсированы вместе, что дает циклическую структуру, такую как кольцо тетрагидронафтила, инденила или инданила. Арильные группы могут быть замещены одним или более заместителями арильных групп, которые могут быть одинаковыми или различными, где понятие “заместитель арильных групп” включает, к примеру, ацил, ациламино, алкокси, алкоксикарбонил, алкилендиокси, алкилсульфинил, алкилсульфонил, алкилтио, ароил, ароиламино, арил, арилалкилокси, арилалкилоксикарбонил, арилалкилтио, арилокси, арилоксикарбонил, арилсульфинил, арилсульфонил, арилтио, карбокси, циано, галоген, гетероароил, гетероарил, гетероарилалкилокси, гетероароиламино, гетероарилокси, гидрокси, нитро, трифторметил, Y4Y5N-, Y4Y5NCO-, Y4Y5NSO2– (где Y4 и Y5 независимо обозначают водород, алкил, арил, арилалкил, гетероарил и гетероарилалкил), Y4Y5N-C2-6aлкилeн-Z3-, {где Z3 обозначает О, NR6 или S(O)n}, алкилС(=O)-Y4N-, алкилSO2-Y4N- или алкил, необязательно замещенный арилом, гетероарилом, гидрокси или Y4Y5N-. Когда L2 содержит необязательно замещенную арильную групу, она, в частности, может быть представлена необязательно замещенным фенилом.
“Арилалкенил” означает арилалкенилгруппу, в которой арил и алкенил являются указанными выше. Предпочтительные арилалкенилы содержат низшую алкенилгруппу. Иллюстративные примеры арилалкенильных групп включают стирил и фенилаллил.
“Арилалкил” означает арилалкилгруппу, в которой арильная и алкильная группы являются указанными выше. Предпочтительные арилалкильные группы содержат С1-4алкил-радикал. Характерные примеры арилалкильных групп включают бензил, 2-фенетил и нафталинметил.
“Арилалкилокси” означает арилалкил-O-группу, в которой арилалкильные группы являются указанными выше. Характерные примеры арилалкилоксигрупп включают бензилокси и 1- или 2-нафталинметокси.
“Арилалкилоксикарбонил” означает арилалкил-O-СО-группу, в которой арилалкильные группы являются указанными выше. Характерным примером арилалкилоксикарбонильной группы является бензилоксикарбонил.
“Арилалкилтио” означает арилалкил-S-группу, в которой арилалкильная группа является указанной выше. Характерным примером арилалкилтиогруппы является бензилтио.
“Арилалкинил” означает арилалкинилгруппу, в которой арил и алкинил являются указанными выше. Характерные примеры арилалкинильных групп включают фенилэтинил и 3-фенилбут-2-инил.
“Арилен” означает необязательно замещенный двухвалентный радикал, происходящий от арильной группы. Иллюстративные примеры ариленгрупп включают необязательно замещенный фенилен, нафтилен и инданилен. Когда Аr1 обозначает арилен, он, в частности, может обозначать необязательно замещенный фенилен. Пригодные заместители включают один или более “заместителей арильных групп”, указанных выше, в частности галоген, метил или метокси.
“Арилокси” означает арил-O-группу, в которой арильная группа является указанной выше. Характерные примеры арилоксигрупп включают необязательно замещенный фенокси или нафтокси.
“Арилоксикарбонил” означает арил-О-С(=O)-группу, в которой арильная группа является указанной выше. Характерные примеры арилоксикарбонильных групп включают феноксикарбонил и нафтоксикарбонил.
“Арилсульфинил” означает арил-SO-группу, в которой арильная группа является указанной выше.
“Арилсульфонил” означает арил-SO2-группу, в которой арильная группа является указанной выше.
“Арилсульфонилкарбамоил” означает арил-SO2-NH-C(=O)-группу, в которой арильная группа является указанной выше.
“Арилтио” означает арил-S-группу, в которой арильная группа является указанной выше. Характерные примеры арилтиогрупп включают фенилтио и нафтилтио.
“Азагетероарил” означает ароматический карбоциклический радикал приблизительно с 5-10 членами кольца, в котором один из членов кольца является азотом, а другие члены кольца выбирают из углерода, кислорода, серы или азота. Примеры азагетероарильных групп включают пиридил, пиримидинил, хинолинил, изохинолинил, хиназолинил, имидазолил и бензимидазолил.
“Циклоалкенил” означает неароматическую систему из моноядерных или полиядерных циклов, содержащую, по меньшей мере, одну углерод-углеродную двойную связь и имеющую порядка 3-10 атомов углерода. Характерные примеры моноядерных циклоалкенильных колец включают циклопентенил, циклогексенил или циклогептенил.
“Циклоалкенилалкил” означает циклоалкенилалкилгруппу, в которой циклоалкенильная и алкильная группы являются указанными выше. Характерные примеры циклоалкенилалкильных групп включают циклопентенилметил, циклогексенилметил или циклогептенилметил.
“Циклоалкенилен” означает двухвалентный радикал, полученный из ненасыщенного моноциклического углеводорода, приблизительно с 3-10 атомами углерода, отщеплением атома водорода от каждого из двух различных атомов углерода в цикле. Иллюстративные примеры циклоалкениленрадикалов включают циклопентенилен и циклогексенилен.
“Циклоалкил” означает насыщенную систему из моноциклических или полициклических колец, приблизительно с 3-10 атомами углерода, необязательно замещенными оксо. Характерные примеры моноядерных циклоалкильных колец включают С3-8циклоалкильные кольца, такие как циклопропил, циклопентил, циклогексил и циклогептил.
“Циклоалкилалкил” означает циклоалкилалкилгруппу, в которой циклоалкильный и алкильный радикалы являются указанными выше. Характерные примеры моноциклических циклоалкильных групп включают циклопропилметил, циклопентилметил, циклогексилметил и циклогептилметил.
“Циклоалкилен” означает двухвалентный радикал, полученный из насыщенного моноциклического углеводорода, приблизительно с 3-10 атомами углерода, отщеплением атома водорода от каждого из двух различных атомов углерода в цикле. Иллюстративные примеры циклоалк(ен)илен-радикалов включают циклопентилен и циклогексилен.
“Галоид” или “галоген” означает фтор, хлор, бром или иод. Предпочтительны фтор или хлор.
“Гетероароил” означает гетероарил-С(=O)-группу, в которой гетероарильная группа является указанной выше. Характерные примеры групп включают пиридилкарбонил.
“Гетероароиламино” означает гетероароил-NH-группу, в которой гетероар(о)илгруппа является указанной выше.
“Гетероарил” как группа или часть группы означает
(i) необязательно замещенный ароматический моноядерный или полиядерный органический радикал приблизительно с 5-10 членами кольца, в котором один или более членов кольца является/являются отличающимся от углерода элементом/элементами, к примеру азотом, кислородом или серой (примеры таких групп включают бензимидазолил-, бензтиазолил-, фурил-, имидазолил-, индолил-, индолизинил-, изоксазолил-, изохинолинил-, изотиазолил-, оксадиазолил-, пиразинил-, пиридазинил-, пиразолил-, пиридил-, пиримидинил-, пирролил-, хиназолинил-, хинолинил-, 1,3,4-тиадиазолил-, тиазолил-, тиенил- и тиазолилгруппы, необязательно замещенные одним или более указанными выше “заместителями арильных групп”);
(ii) необязательно замещенный частично насыщенный полиядерный гетерокарбоциклический радикал, в котором гетероарил- и циклоалкил- или циклоалкенилгруппы конденсированы вместе, что приводит к образованию циклической структуры (примеры таких групп включают пиринданилгруппы). Необязательные заместители включают одни или более указанных выше “заместителей арильных групп”. Когда L2 содержит необязательно замещенную гетероарильную группу, он может, в частности, обозначать необязательно замещенную “азагетероарильную” группу.
“Гетероарилалкенил” означает гетероарилалкенилгруппу, в которой гетероарильный и алкенильный радикалы являются указанными выше. Предпочтительные гетероарилалкенильные группы содержат низший алкенил- радикал. Характерные примеры гетероарилалкенильных групп включают пиридилэтенил и пиридилаллил.
“Гетероарилалкил” означает гетероарилалкилгруппу, в которой гетероарильный и алкильный радикалы являются указанными выше. Предпочтительные гетероарилалкильные группы содержат 1-4алкил-радикал. Характерные примеры гетероарилалкильных групп включают пиридилметил.
“Гетероарилалкилокси” означает гетероарилалкил-O-группу, в которой гетероарилалкильная группа является указанной выше. Характерные примеры гетероарилоксигрупп включают необязательно замещенный пиридилметокси.
“Гетероарилалкинил” означает гетероарилалкинилгруппу, в которой гетероарильная и алкинильная группы являются указанными выше. Характерные примеры гетероарилалкенилгрупп включают пиридилэтинил и 3-пиридилбут-2-инил.
“Гетероарилдиил” означает двухвалентный радикал, полученный из ароматического моноциклического или полициклического органического радикала, приблизительно с 5-10 членами, в котором один или более членов цикла является/являются элементом/элементами, отличными от углерода, к примеру азотом, кислородом или серой, и необязательно замещенный одним или более указанными выше “заместителями арильных групп”. Когда Аr1 обозначает гетероарилдиил-радикал, он может, в частности, представлять собой необязательно замещенный пиридиндиил.
“Гетероарилокси” означает гетероарил-O-группу, в которой гетероарильная группа является указанной выше. Характерные примеры гетероарилоксигрупп включают необязательно замещенный пиридилокси.
“Гетероарилсульфонилкарбамоил” означает гетероарил-SO2-NH-C(=O)- группу, в которой гетероарильная группа является указанной выше.
“Гетероциклоалкил” означает
(i) циклоалкильную группу приблизительно с 3-7 членами цикла, содержащую один или более гетероатомов, которые выбирают из О, S или NY6 (где Y6 обозначает водород, алкил, арилалкил и арил);
(ii) необязательно замещенный частично насыщенный многоядерный гетероциклический радикал, в котором арил (или гетероарильный цикл) гетероциклоалкильная группа конденсированы вместе с образованием циклической структуры (примеры таких групп включают хроманил-, дигидробензофуранил-, индолинил- и пиридолинилгруппы.
“Гетероциклоалкилалкил”‘ означает гетероциклоалкилалкильную группу, в которой гетероциклоалкильная и алкильная группы являются указанными выше.
“Гетероциклоалкилен” означает двухвалентный радикал, полученный из насыщенного моноциклического углеводорода приблизительно с 5-7 атомами, содержащего один или более гетероатомов, которые выбирают из О, S или NY6 (где Y6 обозначает водород, алкил, арилалкил и арил) и необязательно замещенного оксо, отщеплением атома водорода от каждого из двух различных атомов углерода в цикле, или, когда NY6 обозначает NH, отщеплением атома водорода от одного атома углерода в цикле и атома водорода от NH, или, когда цикл содержит два NY6-гетероатома и NY6 обозначает NH, отщеплением атома водорода от обоих атомов азота.
“Y4Y5N” означает замещенную или незамещенную аминогруппу, где Y4 и Y5 являются указанными выше. Характерные примеры групп включают амино (H2N-), метиламино, этилметиламино, диметиламино и диэтиламино.
“Y7Y8NCO-” означает замещенную или незамещенную карбамоилгруппу, где Y4 и Y5 являются указанными выше. Характерными примерами групп являются карбамоил (H2NCO-) и диметилкарбамоил (Me2NCO-).
“Y4Y5NSO2-” означает замещенную или незамещенную сульфамоилгруппу, где Y4 и Y5 являются указанными выше. Характерными примерами групп являются сульфамоил (Н2NSO2-) и диметилсульфамоил (Me2NSO2-).
“Пролекарство” означает соединение, превращаемое метаболическими путями (к примеру, гидролизом) in vivo в соединение формулы (А), включая его N-оксиды. К примеру, сложный эфир соединения формулы (I), содержащий гидроксильную группу, может быть превращен гидролизом in vivo в материнскую молекулу. Или же сложный эфир соединения формулы (I), содержащий карбоксильную группу, может быть превращен гидролизом in vivo в материнскую молекулу.
Пригодными сложными эфирами соединений формулы (I), содержащими гидроксигруппу, являются, к примеру, ацетаты, цитраты, лактаты, тартраты, малонаты, оксалаты, силикаты, пропионаты, сукцинаты, фумараты, малеаты, метилен-бис- -гидроксинафтоаты, гентизаты, изоэтионаты, ди-п-толуоилтартраты, метансульфонаты, этансульфонаты, бензолсульфонаты, п-толуолсульфонаты, циклогексилсульфаматы и хинаты.
Особенно полезный класс сложных эфиров соединений формулы (А), содержащих гидроксильную группу, может быть образован из кислотных остатков, которые выбирают из числа описанных Bundgaard etal., J. Med. Chem., 1989, 32, page 2503-2507, и включает замещенные (аминометил)бензоаты, к примеру диалкиламинометилбензоаты, в которых две алкильных группы могут быть соединены вместе и/или могут разрываться атомом кислорода или необязательно замещенным атомом азота, к примеру алкилированным атомом азота, в частности (морфолинометил)бензоаты, к примеру 3- или 4-(морфолинометил)бензоаты и (4-алкилпиперазин-1-ил)бензоаты, к примеру 3- или 4-(4-алкилпиперазин-1-ил)бензоаты.
Когда соединения по изобретению содержат карбоксильную группу или достаточно кислотную биоизостеру, могут быть получены основные аддитивные соли, представляющие просто более удобную для применения форму, на практике же применение солевой формы по своему существу равноценно использованию формы свободной кислоты. Основания, которые могут быть использованы для получения основных аддитивных солей, включают предпочтительно те, которые дают в сочетании со свободной кислотой фармацевтически приемлемые соли, то есть соли, чьи катионы не токсичны для пациента при фармацевтических дозах солей, с тем чтобы полезные ингибирующие действия, присущие свободному основанию, не были испорчены побочными действиями, связанными с катионами. Фармацевтически приемлемые соли, включающие соли, происходящие от солей щелочных и щелочноземельных металлов и попадающие в объем изобретения включают соли, полученные из следующих оснований: гидрида натрия, гидроокиси натрия, гидроокиси калия, гидроокиси кальция, гидроокиси алюминия, гидроокиси лития, гидроокиси магния, гидроокиси цинка, аммиака, этилендиамина, N-метилглюкамина, лизина, аргинина, орнитина, холина, N,N’-дибензилэтилендиамина, хлорпрокаина, диэтаноламина, прокаина, N-бензилфенетиламина, диэтиламина, пиперазина, трис(гидроксиметил)аминометана, гидроокиси тетраметиламмония и тому подобных.
Некоторые из соединений по данному изобретению являются основными, и такие соединения полезны в форме свободного основания или в форме его фармацевтически приемлемой кислотной аддитивной соли.
Аддитивные соли кислоты являются более удобной для применения формой, а практически, использование солевой формы по своему существу равноценно использованию формы свободного основания. Кислоты, которые могут быть использованы для получения кислотных аддитивных солей, включают преимущественно те, которые дают в комбинации со свободным основанием фармацевтически приемлемые соли, т.е. соли, анионы которых нетоксичны для пациента при фармацевтических дозах солей, с тем, чтобы полезные ингибирующие действия, присущие свободному основанию, не были испорчены побочными действиями, связанными с анионами. Хотя фармацевтически приемлемые соли указанных основных соединений предпочтительны, все кислотные аддитивные соли пригодны в качестве источников для получения свободной основной формы, даже если конкретная соль, сама по себе, требуется только как промежуточный продукт, как, к примеру, когда соль получают только в целях очистки и идентификации или когда ее используют в качестве промежуточного соединения при получении фармацевтически приемлемой соли способом ионного обмена. Фармацевтически приемлемые соли, попадающие в объем изобретения, включают соли, полученные с неорганическими и органическими кислотами, и включают галогенводороды, к примеру хлористоводородные и бромистоводородные соли, сульфаты, фосфаты, нитраты, сульфаматы, ацетаты, цитраты, лактаты, тартраты, малонаты, оксалаты, салицилаты, пропионаты, сукцинаты, фумараты, малеаты, метилен-бис- -гидроксинафтоаты, гентизаты, изоэтионаты, ди-п-толуоилтартраты, метансульфонаты, этансульфонаты, бензолсульфонаты, п-толуолсульфонаты, циклогексилсульфаматы и хинаты.
Наряду с пригодностью их самих в качестве активных соединений соли соединений по изобретению полезны в целях очистки соединений, к примеру, на основании использования различий в растворимости между солями и материнскими соединениями, побочными продуктами и/или исходными веществами, по методикам, хорошо известным специалистам в соответствующей области.
В отношении вышеуказанной формулы (А) заслуживают внимания и предпочтительны следующие группы.
R1 может, в частности, обозначать водород, особенно, когда X1 обозначает C-R10, где R10 обозначает низший алкил, низший алкокси, низший алкилтио, низший алкилсульфинил или низший алкилсульфонил.
R1 может также, в частности, обозначать галоген, в особенности фтор и хлор.
R1 может также, в частности, обозначать низший алкил (к примеру, метил), в особенности, когда Х1 обозначает N.
R1 может также, в частности, обозначать низший алкокси (к примеру, метокси), в особенности, когда X1 обозначает N.
X1 может, в частности, обозначать CR10, в особенности, где R10 обозначает низший алкил или низший алкокси (к примеру, метил или метокси).
X1 может также, в частности, обозначать N.
X2 может, в частности, обозначать CR10, в особенности, где R10 обозначает низший алкил (к примеру, метил), низший алкокси (к примеру, метокси), низший алкилтио (к примеру, метилтио), низший алкилсульфинил (к примеру, метилсульфинил) или низший алкилсульфонил (к примеру, метилсульфонил).
X3 может, в частности, обозначать СН.
X3 может также, в частности, обозначать N.
X6 может, в частности, обозначать CR10 и предпочтительно, СН.
Один из X4 и X5 может, в частности, обозначать CR11, a другой обозначает CR10, в особенности СН.
Внутри R11 группа L1 может, в частности, обозначать -R2-R3-мостик, где R2 обозначает линейную или разветвленную цепь C1-6алкилена, в особенности линейную или разветвленную цепь С1-4алкилена, а R3 обозначает (а) -С(=Z)-NR4-, предпочтительно -C-(=O)-NH-, или (b) -Z1-, предпочтительно -О-.
Внутри R11 группа Аr1 может, в частности, обозначать (а) необязательно замещенный арилен, такой как необязательно замещенный м- или п-фенилен, предпочтительно необязательно замещенный п-фенилен, или (b) необязательно замещенный гетероарилдиил, такой как необязательно замещенный пиридиндиил, предпочтительно п-пиридиндиил, более желательно пиридин-2,5-диил. Предпочтительные необязательные заместители включают С1-4алкил, в особенности метил, и C1-4алкокси, в особенности метокси.
Внутри R11 группа L2 может, в частности, обозначать (а) непосредственную химическую связь, (b) необязательно замещенный алкиленовый мостик, в особенности необязательно замещенный этилен, (с) незамещенный алкениленовый мостик, в особенности винилен, или (d) -Z2-R9-мостик, такой как -O-CH2-, -S(O)n-CH2-, -S(О)n-СН2-СН2-, или, в особенности, -NH-CH2-. Предпочтительные необязательные заместители в (b) включают низший алкил (к примеру, метил), арил, гетероарил, -N(R12)-С(=O)-R13, -N(R12)-C(=O)-OR13, -N(R12)-SO2-R13, -NY1Y2 и -[C(=O)-N(R6)-C(R4)(R7)]p-C(=O)-NY1Y2. L2 предпочтительно обозначает группу
где R4 обозначает водород или низший алкил (к примеру, метил) и R15 обозначает низший алкил (к примеру, метил) или где R4 обозначает водород и R15 обозначает арил, гетероарил, -N(R12)-C(=O)-R13, -N(R12)-C(=O)-OR13, -N(R12)-SО2-R13, -[C(=O)-N(R6)-C(R4)(R7)]p-C(=O)-NY1Y2. L2 более предпочтительно обозначает группу
в частности
где К15 обозначает -N(R12)-С(=O)-R13, -N(R12)-С(=O)-OR13, -NT(R12)-SO2-R13 или -NY1Y2.
Внутри R11 группа Y может, в частности, обозначать карбокси или кислотную биоизостеру.
Следует учитывать, что настоящее изобретение охватывает все подходящие комбинации упомянутых здесь заслуживающих особого внимания и предпочтительных групп.
Особой группой соединений по изобретению являются соединения формулы (Iа)
где R1, R2, L2, X1, X2, X3 и Y являются указанными выше, Аr1 обозначает арилен и -R2-C(=O) -NH-Ar1-L2-Y присоединен к кольцу в положение 3 или 4, и их пролекарства и фармацевтически приемлемые соли, и сольваты (к примеру, гидраты) соединений формулы (Iа) и их пролекарства.
Предпочтительны соединения формулы (Iа), в которой R1 обозначает водород.
Предпочтительны соединения формулы (Iа), в которой R2 обозначает линейную или разветвленную C1-6алкиленовую цепь, в особенности линейную или разветвленную С1-4алкиленовую цепь, более конкретно метилен.
Предпочтительны соединения формулы (Ia), в которой Аr1 обозначает необязательно замещенный арилен, в частности необязательно замещенный м- или п-фенилен, в особенности необязательно замещенный п-фенилен. Предпочтительные заместители для Аr1 включают С1-4алкил и С1-4алкокси, в частности метил или метокси.
Предпочтительны соединения формулы (Iа), в которой L2 обозначает необязательно замещенный алкиленовый мостик, в частности этилен или замещенный этилен. Предпочтительные необязательные заместители включают низший алкил (к примеру, метил), арил, гетероарил, -N(R12)-С(=O)-R13, -N(R12)-C(=O)-OR13, -N(R12)-SO2-R13, -NY1Y2 или -[С(=O)-N(R6)-C(R4)(R7)]p-C(=O)-NY1Y2. Особенно предпочтительны соединения формулы (Iа), в которой L2 обозначает
где R4 обозначает водород или низший алкил (к примеру, метил) и R15 обозначает низший алкил (к примеру, метил), или где R4 обозначает водород и R15 обозначает арил, гетероарил, -N(R12)-С(=O)-R13, -N (R12)-С (=O)-OR13, -N(R12)-SO2-R13, -NY1Y2 и -[C(=O)-N(R6)-C(R4) (R7) ]p-C(=O)-NY1Y2.
Особенно предпочтительны соединения формулы (Ia), в которой 2 обозначает
в особенности
где R15 обозначает -N(R12)-С(=O)-R13, -N(R12)-С(=O)-OR13, -N(R12)-SО2-R13 или -NY1Y2.
Предпочтительны соединения формулы (Iа), в которой X1 обозначает CR10, в частности, где R10 обозначает низший алкил или низший алкокси (к примеру, метил или метокси).
Также предпочтительны соединения формулы (Iа), в которой X2 обозначает CR10, в частности, где R10 обозначает низший алкил (к примеру, метил), низший алкокси (к примеру, метокси), низший алкилтио (к примеру, метилтио), низший алкилсульфинил (к примеру, метилсульфинил) или низший алкилсульфонил (к примеру, метилсульфонил).
Предпочтительны также соединения формулы (Iа), в которой X3 обозначает СН.
Предпочтительны также соединения формулы (Iа), в которой Y обозначает карбокси.
Группа -R2-C(=O)-NH-Ar1-L2-Y предпочтительно может быть присоединена к кольцу в положение 4.
Предпочтительной группой соединений по изобретению являются соединения формулы (Iа), в которой R1 обозначает водород; R2 обозначает линейную или разветвленную цепь C1-4алкилена (в особенности, метилен), Аr1 обозначает необязательно замещенный арилен [в особенности, п-фенилен и метил- (или метокси-)замещенный п-фенилен]; L2 обозначает мостик из замещенного алкилена [в особенности,
где R15 обозначает -N(R12)-С(=O)-R13, -N(R12)-С(=O)-OR13, -N(R12)-SO2-R13 или -NY1Y2]; X1 и X2 обозначают CR10 (в особенности, где R10 обозначает метил, метокси, метилтио, метилсульфинил или метилсульфонил); X3 обозначает СН; Y обозначает карбокси и группа -R2-C(=O)-NH-Ar1-L2-Y присоединена к кольцу в положение 4, и соответствующие N-оксиды и их пролекарства; фармацевтически приемлемые соли и сольваты (к примеру, гидраты) таких соединений, их N-оксиды и пролекарства.
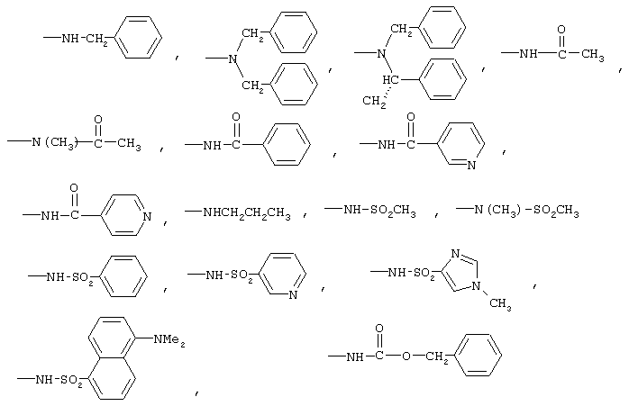
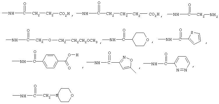
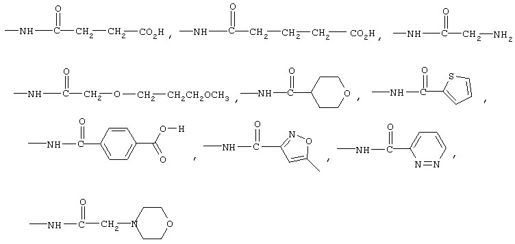
Предпочтительны также соединения формулы (Iа), в которой R15 обозначает -N(R12)-С(=O)-R13, в особенности, где R12 обозначает водород или низший алкил (к примеру, метил) и R13 обозначает низший алкил (к примеру, метил), арил (к примеру, необязательно замещенный фенил), гетероарил (к примеру, необязательно замещенный пиридил, необязательно замещенный тиенил, необязательно замещенный изоксазолил, необязательно замещенный пиридазил), гетероциклоалкил (к примеру, тетрагидропиран-4-ил), алкил, замещенный карбокси (к примеру, -СН2-СН2-СО2Н и -CH2-CH2-CH2-CO2H), алкил, замещенный -NY1Y2 (к примеру, аминометил и морфолин-1-илметил) или алкил, замещенный алкоксиалкокси (к примеру, -СН2-O-СН2-СН2-О-СН3).
Предпочтительны также соединения формулы (Iа), в которой R15 обозначает -N(R12)-С(=O)-OR13, в особенности, где R12 обозначает водород или низший алкил (к примеру, метил) и R13 обозначает низший алкил (к примеру, этил) или алкил, замещенный арилом (к примеру, бензил).
Предпочтительны также соединения формулы (Iа), в которой R15 обозначает -N(R12)-SO2-R13, в особенности, где R12 обозначает водород или низший алкил (к примеру, метил) и R13 обозначает низший алкил (к примеру, метил), арил [к примеру, необязательно замещенный фенил или необязательно замещенный нафтил (в особенности, диметиламинонафт-1-ил)]), гетероарил (к примеру, необязательно замещенный пиридил или необязательно замещенный имидазолил).
Предпочтительны также соединения формулы (Iа), в которой R15 обозначает -NY1Y2, в особенности, где Y1 и Y2 обозначают водород.
Предпочтительны также соединения формулы (Iа), в которой R15 обозначает -NY1Y2, в особенности, где Y1 обозначает водород, а Y2 обозначает либо низший алкил (к примеру, пропил), либо алкил, замещенный арилом (к примеру, -CH2-Ph, -СН(СН3)-Рh или -СН2-СН2-Рh).
Особенно предпочтительны те соединения формулы (Iа), в которых R15 обозначает -NH2,
![]()
Другую особую группу соединений по изобретению составляют соединения формулы (Ib)
где R1, R2, L2, X1, X2, X3 и Y являются указанными выше, Ar1 обозначает гетероарилдиил и -R2-C(=C)-NH-Ar1-L2-Y присоединен к кольцу в положение 3 или 4, их пролекарства и фармацевтически приемлемые соли, сольваты (к примеру, гидраты) соединений формулы (Ib) и их пролекарства.
Предпочтительны соединения формулы (Ib), в которой R1 обозначает водород.
Предпочтительны соединения формулы (Ib), в которой, R2 обозначает линейную или разветвленную С1-6алкиленовую цепь, в особенности линейную или разветвленную С1-4алкиленовую цепь, более конкретно метилен.
Предпочтительны также соединения формулы (Ib), в которой Аr1 обозначает необязательно замещенный гетероарилдиил, в частности необязательно замещенный пиридиндиил, в особенности необязательно замещенный п-пиридиндиил, предпочтительно пиридин-2,5-диил. Предпочтительные заместители включают С1-4алкил и С1-4алкокси, в частности метил или метокси.
Предпочтительны соединения формулы (Ib), в которой L2 обозначает необязательно замещенный алкиленовый мостик, в частности этилен или замещенный этилен. Предпочтительные необязательные заместители включают низший алкил (к примеру, метил), арил, гетероарил, -N(R12)-С(=O)-R13, -N(R12)-С(=O)-OR13, -N(R12)-SO2-R13, -NY1Y2 или -[C(=O)-N(R6)-C(R4)(R7)]р-С(=O)-NY1Y2.
Особенно предпочтительны соединения формулы (Ib), в которой 2 обозначает
где R4 обозначает водород или низший алкил (к примеру, метил) и R15 обозначает низший алкил (к примеру, метил) или где R4 обозначает водород и R15 обозначает арил, гетероарил, -N(R12)-С(=O)-R13, -N(R12)-С(=O)-OR13, -N(R12)-SO2-R13, -NY1Y2 и -[C(=O)-N(R6)-C(R4)(R7)]p-C(=O)-NY1Y2.
Особенно предпочтительны соединения формулы (Ib), в которой 2 обозначает
в особенности
где R15 обозначает -N(R12)-С(=O)-R13, -N(R12)-С(=O)-OR13, -N(R12)-SO2-R13 или -NY1Y2.
Предпочтительны соединения формулы (Ib), в которой X1 обозначает CR10, в частности, где R10 обозначает низший алкил или низший алкокси (к примеру, метил или метокси).
Также предпочтительны соединения формулы (Ib), в которой X2 обозначает CR10, в частности, где R10 обозначает низший алкил (к примеру, метил), низший алкокси (к примеру, метокси), низший алкилтио (к примеру, метилтио), низший алкилсульфинил (к примеру, метилсульфинил) или низший алкилсульфонил (к примеру, метилсульфонил).
Предпочтительны также соединения формулы (Ib), в которой X3 обозначает СН.
Предпочтительны также соединения формулы (Ib), в которой Y обозначает карбокси.
Группа -R2-С(=O)-NH-Ar1-L2-Y предпочтительно может быть присоединена к кольцу в положение 4.
Предпочтительной группой соединений по изобретению являются соединения формулы (Ib), в которой R1 обозначает водород; R2 обозначает линейную или разветвленную цепь С1-4алкилена (в особенности, метилен), Аr1 обозначает необязательно замещенный гетероарилдиил (в особенности, пиридин-2,5-диил); L2 обозначает мостик из необязательно замещенного алкилена (в особенности, этилена) или
в особенности
где R15 обозначает метил, арил, гетероарил, -N(R12)-C(=O)-R13, -N(R12)-C(=O)-OR13, -N(R12)-SO2-R13 или -NY1Y2 и -[C(=O)-N(R6)-C(R4)(R7)]p-C(=O)-NY1Y2 [в особенности, -N(R12)-C(=O)-R13, -N(R12)-C(=O)-OR13, -N(R12)-SO2-R13 или -NY1Y2]; X1 и X2 обозначают CR10 (в особенности, где R10 обозначает метил, метокси, метилтио, метилсульфинил или метилсульфонил); X3 обозначает СН; Y обозначает карбокси и группа -R2-C(=O)-NH-Ar1-L2-Y присоединена к кольцу в положение 4, соответствующие N-оксиды и их пролекарства, фармацевтически приемлемые соли и сольваты (к примеру, гидраты) таких соединений и их N-оксиды и пролекарства.
Предпочтительны соединения формулы (Ib), в которой R15 обозначает -N(R12)-С(=O)-R13, в особенности, где R12 обозначает водород или низший алкил (к примеру, метил) и R13 обозначает низший алкил (к примеру, метил), арил (к примеру, необязательно замещенный фенил), гетероарил (к примеру, необязательно замещенный пиридил, необязательно замещенный тиенил, необязательно замещенный изоксазолил, необязательно замещенный пиридазил), гетероциклоалкил (к примеру, тетрагидропиран-4-ил), алкил, замещенный карбокси (к примеру, -СН2-СН2-СО2Н и -СН2-СН2-СН2-СO2Н), алкил, замещенный -NY1Y2(к примеру, аминометил и морфолин-1-илметил) или алкил, замещенный алкоксиалкокси (к примеру, -СН3-О-СН2-СН2-О-СН3).
Предпочтительны также соединения формулы (Ib), в которой R15 обозначает -N(R12)-С(=O)-OR13, в особенности, где R12 обозначает водород или низший алкил (к примеру, метил) и R13 обозначает низший алкил (к примеру, этил) или алкил, замещенный арилом (к примеру, бензил).
Предпочтительны также соединения формулы (Ib), в которой R15 обозначает -N(R12)-SO2-R13, в особенности, где R12 обозначает водород или низший алкил (к примеру, метил), и R13 обозначает низший алкил (к примеру, метил), арил [к примеру, необязательно замещенный фенил или необязательно замещенный нафтил (в особенности, диметиламинонафт-1-ил)], гетероарил (к примеру, необязательно замещенный пиридил или необязательно замещенный имидазолил).
Предпочтительны также соединения формулы (Ib), в которой R15 обозначает -NY1Y2, в особенности, где Y1 и Y2 обозначают водород.
Предпочтительны также соединения формулы (Ib), в которой R15 обозначает -NY1Y2, в особенности, где Y1 обозначает водород, а Y2 обозначает либо низший алкил (к примеру, пропил), либо алкил, замещенный арилом (к примеру, -CH2-Ph или -СН2-СН2-Рh).
Предпочтительны также соединения формулы (Ib), в которой R15 обозначает -NY1Y2, в особенности, где Y1 и Y2 оба обозначают алкил, замещенный арилом (к примеру, -CH2-Ph или -СН(СН3)-Ph).
Особенно предпочтительны те соединения формулы (Ib), в которых R15 обозначает -NH2,
![]()
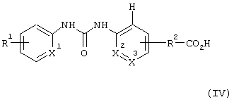
Более конкретно изобретение касается соединений общей формулы (I)
где X1 и X2 независимо обозначают CR10; R4 обозначает атом водорода или С1-4алкильную группу; R10 обозначает водород, С1-4алкил, С1-4алкокси, С1-4алкилтио, С1-4алкилсульфинил или С1-4алкилсульфонил; R12 обозначает водород, С1-4алкил или бензил; R13 обозначает необязательно замещенный C1-6алкилом карбокси, C1-4алкоксиалкокси, -OCH2CO2H, -NY1Y2 либо одной или более гидроксигруппами; гетероарил, выбранный из имидазолила, оксазолила, пиридила, тиенила и пиридазинила, каждый из которых необязательно замещен карбокси или С1-4алкилом; гетероциклоалкил, такой как тетрагидропиранил, или арил, выбранный из фенила и нафтила, каждый из которых может быть замещен карбоксигруппой, -NY4Y5 либо одной или более С1-4алкоксигруппой, где Y4 и Y5 независимо представляют С1-4алкил; R15 обозначает -N(R12)-C(=O)-R13, -N(R12)-SO2-R13 или -MY1Y2, где Y1 и Y2 независимо представляют водород, С1-4алкил или арилС1-4алкил, или группа -NY1Y2 может образовывать 5-6-членный циклический амин, который может содержать дополнительный гетероатом выбранный из О или NY3 [где Y3 обозначает -C(=O)-OR14 (где R14 обозначает С1-4алкил) или C1-4 алкил]; Аr1 обозначает незамещенный фенилен, их N-оксидов, сложноэфирных производных, а также их фармацевтических солей и сольватов.
Заслуживающие особого внимания соединения по изобретению выбирают из группы, включающей следующие соединения:
(5-{4-[3-(2-метилфенил)уреидо]-фенилацетиламино}пирид-2-ил)-тиоуксусная кислота;
3-(5-{3-метокси-4-[3-(2-метилфенил)уреидо]-фенилацетиламино}пирид-2-ил)-пропановая кислота;
3-(5-{3-метокси-4-[3-(2-метилфенил)уреидо]-фенилацетиламино}пирид-2-ил)-2-метилпропановая кислота;
3-(6-{3-метокси-4-[3-(2-метилфенил)уреидо]-фенилацетиламино}пирид-3-ил)-пропановая кислота;
3-ацетиламино-3-(6-{2-метокси-4-(3-(2-метилфенил)уреидо)фенил]-ацетиламино}-пиридин-3-ил)-пропионовая кислота;
3-(3,4-диметоксибензоиламино)-3-(6-{2-[3-метокси-4-(3-(2-метилфенил)уреидо)фенил]-ацетиламино}-пиридин-3-ил)-пропионовая кислота;
N-[2-карбокси-1-(6-{2-[3-метокси-4-(3-(2-метилфенил)уреидо)фенил]-ацетиламино}-пиридин-3-ил)-этил]-терефталамовая кислота;
3-бензоиламино-3-(6-{2-[3-метокси-4-(3-(2-метилфенил)уреидо)фенил]-ацетиламино}-пиридин-3-ил)-пропионовая кислота;
3-(6-{2-[3-метокси-4-(3-(2-метилфенил)уреидо)фенил]-ацетиламино}-пиридин-3-ил)-3-[(тетрагидропиран-4-карбонил)-амино]-пропионовая кислота;
3-(6-{2-[3-метокси-4-(3-(2-метилфенил)уреидо)фенил]-ацетиламино}-пиридин-3-ил)-3-[(пиридазин-3-карбонил)-амино]-пропионовая кислота;
3-(6-{2-[3-метокси-4-(3-(2-метилфенил)уреидо)фенил]-ацетиламино}-пиридин-3-ил)-3-[(тиофен-2-карбонил)-амино]-пропионовая кислота;
N-[2-карбокси-1-(6-{2-[3-метокси-4-(3-(2-метилфенил)уреидо)фенил]-ацетиламино}-пиридин-3-ил)-этил]-сукцинамовая кислота;
4-[2-карбокси-1-(6-{2-[3-метокси-4-(3-(2-метилфенил)уреидо)фенил]-ацетиламино}-пиридин-3-ил)-этилкарбамоил]-масляная кислота;
3-(2-аминоацетиламино)-3-(6-{2-[3-метокси-4-(3-(2-метилфенил)уреидо)фенил]-ацетиламино}-пиридин-3-ил)-пропио-новая кислота;
3-(6-{2-[3-метокси-4-(3-(2-метилфенил)уреидо)фенил]-ацетиламино}-пиридин-3-ил)-3-(2-морфолин-4-илацетиламино)-пропионовая кислота;
3-[2-(2-метоксиэтокси)-ацетиламино]-3-(6-{2-[3-метокси-4-(3-(2-метилфенил)уреидо)фенил]-ацетиламино}-пиридин-3-ил)-пропионовая кислота;
3-метансульфониламино-3-(6-{2-[3-метокси-4-(3-(2-метилфенил)уреидо)фенил]-ацетиламино}-пиридин-3-ил)-пропионовая кислота;
3-(6-{2-[3-метокси-4-(3-(2-метилфенил)уреидо)фенил]-ацетиламино}-пиридин-3-ил)-3-(пиридин-3-сульфониламино)-пропионовая кислота;
3-(6-{2-[3-метокси-4-(3-(2-метилфенил)уреидо)фенил]-ацетиламино}-пиридин-3-ил)-3-(1-метил-5Н-имидазол-4-сульфониламино)-пропионовая кислота;
3-ацетиламино-3-{6-({[3-метокси-4-(3-(2-метилфенил)уреидо)фенил]-ацетил}-метиламино)-пиридин-3-ил}-пропионовая кислота;
3-(3,4-диметокси-бензоиламино)-3-[6-({[3-метокси-4-(3-(2-метилфенил)уреидо)фенил]-ацетил}-метиламино)-пиридин-3-ил]-пропионовая кислота;
N-{2-карбокси-1-[6-({[3-метокси-4-(3-(2-метилфенил)уре-идо)фенил]-ацетил}-метиламино)-пиридин-3-ил]-этил}-терефта-ламовая кислота;
3-бензоиламино-3-[6-({[3-метокси-4-(3-(2-метилфенил)уреидо)фенил]-ацетил}-метиламино)-пиридин-3-ил]-пропионовая кислота;
3-[6-{2-({[3-метокси-4-(3-(2-метилфенил)уреидо)фенил]-ацетил}-метиламино)-пиридин-3-ил]-3-[(тетрагидро-пиран-4-карбонил)-амино]-пропионовая кислота;
3-[6-({[3-метокси-4-(3-(2-метилфенил)уреидо)фенил]-ацетил}-метиламино)-пиридин-3-ил]-3-[(пиридазин-3-карбонил)-амино]-пропионовая кислота;
3-[6-({[3-метокси-4-(3-(2-метилфенил)уреидо)фенил]-ацетил}-метиламино)-пиридин-3-ил]-3-[(тиофен-2-карбонил)-амино]-пропионовая кислота;
N-{2-карбокси-1-[6-({[3-метокси-4-(3-(2-метилфенил)уреидо)фенил]-ацетил}-метиламино)-пиридин-3-ил]-этил}-сукцинамовая кислота;
4-{2-карбокси-1-[6-({[3-метокси-4-(3-(2-метилфенил)уреидо) фенил]-ацетил}-метиламино)-пиридин-3-ил]-этилкарбамоил}-масляная кислота;
3-(2-аминоацетиламино)-3-[6-({[3-метокси-4-(3-(2-метилфенил)уреидо)фенил]-ацетил}-метиламино)-пиридин-3-ил]пропионовая кислота;
3-[6-({[3-метокси-4-(3-(2-метилфенил)уреидо)фенил]-ацетил}-метиламино)-пиридин-3-ил]-3-(2-морфолин-4-илацетиламино)-пропионовая кислота;
3-[2-(2-метоксиэтокси)-ацетиламино]-3-[6-({[3-метокси-4-(3-(2-метилфенил)уреидо)фенил]-ацетил}-метиламино)-пиридин-3-ил]-пропионовая кислота;
3-метансульфониламино-3-[6-({[3-метокси-4-(3-(2-метилфенил)уреидо)фенил]-ацетил}-метиламино)-пиридин-3-ил]-пропионовая кислота;
3-[6-({[3-метокси-4-(3-(2-метилфенил)уреидо)фенил]-ацетил}-метиламино)-пиридин-3-ил]-3-(пиридин-3-сульфониламино)-пропионовая кислота;
3-[6-({[3-метокси-4-(3-(2-метилфенил)уреидо)фенил]-ацетил}-метиламино)-пиридин-3-ил]-3-(1-метил-5Н-имидазол-4-сульфониламино)-пропионовая кислота;
3-(ацетилметиламино)-3-(6-{2-[3-метокси-4-(3-(2-метилфенил)уреидо)фенил]-ацетиламино}-пиридин-3-ил)-пропионовая кислота;
3-[(3,4-диметоксибензоил)-метиламино]-3-(6-{2-[3-метокси-4-(3-(2-метилфенил)уреидо)фенил]-ацетиламино}-пиридин-3-ил)-пропионовая кислота;
N-[2-карбокси-1-(6-{2-[3-метокси-4-(3-(2-метилфенил)уреидо)фенил]-ацетиламино}-пиридин-3-ил)-этил]-N-метилтерефталамовая кислота;
3-(бензоилметиламино)-3-(6-{2-[3-метокси-4-(3-(2-метилфенил)уреидо)фенил]-ацетиламино}-пиридин-3-ил)-пропионовая кислота;
3-(6-{2-[3-метокси-4-(3-(2-метилфенил)уреидо)фенил]-ацетиламино}-пиридин-3-ил)-3-[метил(тетрагидропиран-4-карбонил)-амино]-пропионовая кислота;
3-(6-{2-[3-метокси-4-(3-(2-метилфенил)уреидо)фенил]-ацетиламино}-пиридин-3-ил)-3-[метил(пиридазин-3-карбонил)-амино]-пропионовая кислота;
3-(6-{2-[3-метокси-4-(3-(2-метилфенил)уреидо)фенил]-ацетиламино}-пиридин-3-ил)-3-[метил(тиофен-2-карбонил)-амино]-пропионовая кислота;
N-[2-карбокси-1-(6-{2-[3-метокси-4-(3-(2-метилфенил) уреидо)фенил]-ацетиламино}-пиридин-3-ил)-этил]-N-метилсукцинамовая кислота;
4-{[2-карбокси-1-(6-{2-[3-метокси-4-(3-(2-метилфенил)уреидо)фенил]-ацетиламино}-пиридин-3-ил)-этил]-метилкарбамоил}-масляная кислота;
3-(аминоацетилметиламино)-3-(6-{2-[3-метокси-4-(3-(2-метилфенил)уреидо)фенил]-ацетиламино}-пиридин-3-ил)-пропионовая кислота;
3-(6-{2-[3-метокси-4-(3-(2-метилфенил)уреидо)фенил]-ацетиламино}-пиридин-3-ил)-3-[метил(морфолин-4-илацетил)-амино]-пропионовая кислота;
3-{[(2-метоксиэтокси)-ацетил]-метиламино}-3-(6-{2-[3-метокси-4-(3-(2-метилфенил)уреидо)фенил]-ацетиламино}-пиридин-3-ил)-пропионовая кислота;
3-(метансульфонилметиламино)-3-(6-{2-[3-метокси-4-(3-(2-метилфенил)уреидо)фенил]-ацетиламино}-пиридин-3-ил)-пропионовая кислота;
3-(6-{2-[3-метокси-4-(3-(2-метилфенил)уреидо)фенил]-ацетиламино}-пиридин-3-ил)-3-[метил(пиридин-3-сульфонил)-амино]-пропионовая кислота;
3-(6-{2-[3-метокси-4-(3-(2-метилфенил)уреидо)фенил]-ацетиламино}-пиридин-3-ил)-3-[метил(1-метил-5Н-имидазол-4-сульфонил)-амино]-пропионовая кислота;
3-ацетиламино-3-(6-{2-[4-(3-(2-метилфенил)уреидо)фенил]-ацетиламино}-пиридин-3-ил)-пропионовая кислота;
3-(3,4-диметоксибензоиламино)-3-(6-{2-[4-(3-(2-метилфенил)уреидо)фенил]-ацетиламино}-пиридин-3-ил)-пропионовая кислота;
N-[2-карбокси-1-(6-{2-[4-(3-(2-метилфенил)уреидо)фенил]-ацетиламино}-пиридин-3-ил)-этил]-терефталамовая кислота;
3-бензоиламино-3-(6-{2-[4-(3-(2-метилфенил)уреидо)фенил]-ацетиламино}-пиридин-3-ил)-пропионовая кислота;
3-[(тетрагидропиран-4-карбонил)-амино]-3-(6-{2-[4-(3-(2-метилфенил)уреидо)фенил]-ацетиламино}-пиридин-3-ил)-пропионовая кислота;
3-[(пиридазин-3-карбонил)-амино]-3-(6-{2-[4-(3-(2-метилфенил)уреидо)фенил]-ацетиламино}-пиридин-3-ил)-пропионовая кислота;
3-[(тиофен-2-карбонил)-амино]-(6-{2-[4-(3-(2-метилфенил)уреидо)фенил]-ацетиламино}-пиридин-3-ил)-пропионовая кислота;
N-[2-карбокси-1-(6-{2-[4-(3-(2-метилфенил)уреидо)фенил]-ацетиламино}-пиридин-3-ил)-этил]-сукцинамовая кислота;
4-[2-карбокси-1-(6-{2-[4-(3-(2-метилфенил)уреидо)фенил]-ацетиламино}-пиридин-3-ил)-этилкарбамоил]-масляная кислота;
3-(2-аминоацетиламино)-3-(6-{2-[4-(3-(2-метилфенил)уреидо)фенил]-ацетиламино}-пиридин-3-ил)-пропионовая кислота;
3-(2-морфолин-4-илацетиламино)-3-(6-{2-[4-(3-(2-метилфенил)уреидо)фенил]-ацетиламино}-пиридин-3-ил)-пропионовая кислота;
3-[2-(2-метоксиэтокси)-ацетиламино]-3-(6-{2-[4-(3-(2-метилфенил)уреидо)фенил]-ацетиламино}-пиридин-3-ил)-пропионовая кислота;
3-метансульфониламино-3-(6-{2-[4-(3-(2-метилфенил)уреидо)фенил]-ацетиламино}-пиридин-3-ил)-пропионовая кислота;
3-(пиридин-3-сульфониламино)-(6-{2-[4-(3-(2-метилфенил)уреидо)фенил]-ацетиламино}-пиридин-3-ил)-пропионовая кислота;
3-(1-метил-5Н-имидазол-4-сульфониламино)-3-(6-{2-[4-(3-(2-метилфенил)уреидо)фенил]-ацетиламино}-пиридин-3-ил)-3-пропионовая кислота;
3-(ацетилметиламино)-3-[6-({[3-метокси-4-(3-(2-метилфенил)уреидо)фенил]-ацетил}-метиламино)-пиридин-3-ил]-пропионовая кислота;
3-[(3,4-диметоксибензоил)-метиламино]-3-[6-({[3-метокси-4-(3-(2-метилфенил)уреидо)фенил]-ацетил}-метиламино)-пиридин-3-ил]-пропионовая кислота;
N-{2-карбокси-1-[6-({[3-метокси-4-(3-(2-метилфенил)уреидо)фенил]-ацетил}-метиламино)-пиридин-3-ил]-этил}-N-метилтерефталамовая кислота;
3-(бензоилметиламино)-3-[6-({[3-метокси-4-(3-(2-метилфенил)уреидо)фенил]-ацетил}-метиламино)-пиридин-3-ил] пропионовая кислота;
3-[6-({[3-метокси-4-(3-(2-метилфенил)уреидо)фенил]-ацетил}-метиламино)-пиридин-3-ил]-3-[метил(тетрагидропиран-4-карбонил)-амино]-пропионовая кислота;
3-[6-({[3-метокси-4-(3-(2-метилфенил)уреидо)фенил]-ацетил}-метиламино)-пиридин-3-ил]-3-[метил(пиридазин-3-карбонил)-амино]-пропионовая кислота;
3-[6-({[3-метокси-4-(3-(2-метилфенил)уреидо)фенил]-ацетил}-метиламино)-пиридин-3-ил]-3-[метил(тиофен-2-карбонил)-амино]-пропионовая кислота;
N-{2-карбокси-1-[6-({[3-метокси-4-(3-(2-метилфенил)уреидо)фенил]-ацетил}-метиламино)-пиридин-3-ил]этил}-N-метил-сукцинамовая кислота;
4-({2-карбокси-1-[6-({[3-метокси-4-(3-(2-метилфенил)уреидо)фенил]-ацетил}-метиламино)-пиридин-3-ил]-этил}-метилкарбамоил)-масляная кислота;
3-(аминоацетилметиламино)-3-[6-({[3-метокси-4-(3-(2-метилфенил)уреидо)фенил]-ацетил}-метиламино)-пиридин-3-ил]пропионовая кислота;
3-[6-({[3-метокси-4-(3-(2-метилфенил)уреидо)фенил]-ацетил}-метиламино)-пиридин-3-ил]-3-[метил-(морфолин-4-илацетил)-амино]-пропионовая кислота;
3-{[(2-метоксиэтокси)-ацетил]-метиламино}-3-[6-({[3-метокси-4-(3-(2-метилфенил)уреидо)фенил]-ацетил}-метиламино)-пиридин-3-ил]-пропионовая кислота;
3-(метансульфонилметиламино)-3-[6-({[3-метокси-4-(3-(2-метилфенил)уреидо)фенил]-ацетил}-метиламино)-пиридин-3-ил]-пропионовая кислота;
3-[6-({[3-метокси-4-(3-(2-метилфенил)уреидо)фенил]-ацетил}-метиламино)-пиридин-3-ил]-3-[метил(пиридин-3-сульфонил)-амино]-пропионовая кислота;
3-[6-({[3-метокси-4-(3-(2-метилфенил)уреидо)фенил]-ацетил}-метиламино)-пиридин-3-ил]-3-[метил-(1-метил-5Н-имидазол-4-сульфонил)-амино]-пропионовая кислота;
3-ацетиламино-3-(5-{2-[3-метокси-4-(3-(2-метилфенил)уреидо)фенил]-ацетиламино}-пиридин-2-ил)-пропионовая кислота;
3-(3,4-диметоксибензоиламино)-3-(5-{2-[3-метокси-4-(3-(2-метилфенил)уреидо)фенил]-ацетиламино}-пиридин-2-ил)-пропионовая кислота;
N-[2-карбокси-1-(5-{2-[3-метокси-4-(3-(2-метилфенил)уреидо)фенил]-ацетиламино}-пиридин-2-ил)-этил]-терефталамовая кислота;
3-бензоиламино-3-(5-{2-[3-метокси-4-(3-(2-метилфенил)уреидо)фенил]-ацетиламино}-пиридин-2-ил)-пропионовая кислота;
3-(5-{2-[3-метокси-4-(3-(2-метилфенил)уреидо)фенил]-ацетиламино}-пиридин-2-ил)-3-[(тетрагидропиран-4-карбонил)амино]-пропионовая кислота;
3-(5-{2-[3-метокси-4-(3-(2-метилфенил)уреидо)фенил]-ацетиламино}-пиридин-2-ил)-3-[(пиридазин-3-карбонил)-амино] пропионовая кислота;
3-(5-{2-[3-метокси-4-(3-(2-метилфенил)уреидо)фенил]-ацетиламино}-пиридин-2-ил)-3-[(тиофен-2-карбонил)-амино]-пропионовая кислота;
N-[2-карбокси-1-(5-{2-[3-метокси-4-(3-(2-метилфенил)уреидо)фенил]-ацетиламино}-пиридин-2-ил)-этил]-сукцинамовая кислота;
4-[2-карбокси-1-(5-{2-[3-метокси-4-(3-(2-метилфенил)уреидо)фенил]-ацетиламино}-пиридин-2-ил)-этилкарбамоил]-масляная кислота;
3-(2-аминоацетиламино)-3-(5-{2-[3-метокси-4-(3-(2-метилфенил)уреидо)фенил]-ацетиламино}-пиридин-2-ил)-пропионовая кислота;
3-(5-{2-[3-метокси-4-(3-(2-метилфенил)уреидо)фенил]-ацетиламино}-пиридин-2-ил)-3-(2-морфолин-4-илацетиламино)-пропионовая кислота;
3-[2-(2-метоксиэтокси)-ацетиламино]-3-(5-{2-[3-метокси-4-(3-(2-метилфенил)уреидо)фенил]-ацетиламино}-пиридин-2-ил)-пропионовая кислота;
3-метансульфониламино-3-(5-{2-[3-метокси-4-(3-(2-метилфенил)уреидо)фенил]-ацетиламино}-пиридин-2-ил)-пропионовая кислота;
3-(5-{2-[3-метокси-4-(3-(2-метилфенил)уреидо)фенил]-ацетиламино}-пиридин-2-ил)-3-(пиридин-3-сульфониламино)-пропионовая кислота;
3-(5-{2-[3-метокси-4-(3-(2-метилфенил)уреидо)фенил]-ацетиламино}-пиридин-2-ил)-3-(1-метил-5Н-имидазол-4-сульфониламино)-пропионовая кислота;
3-ацетиламино-3-[5-({[3-метокси-4-(3-(2-метилфенил)уреидо)фенил]-ацетил}-метиламино)-пиридин-2-ил]-пропионовая кислота;
3-(3,4-диметоксибензоиламино)-3-[5-({[3-метокси-4-(3-(2-метилфенил)уреидо)фенил]-ацетил}-метиламино)-пиридин-2-ил]-пропионовая кислота;
N-{2-карбокси-1-[5-({[3-метокси-4-(3-(2-метилфенил)уреидо)фенил]-ацетил}-метиламино)-пиридин-2-ил]-этил}-терефталамовая кислота;
3-бензоиламино-3-[5-({[3-метокси-4-(3-(2-метилфенил)уреидо)фенил]-ацетил}-метиламино)-пиридин-2-ил]-пропионовая кислота;
3-[5-({[3-метокси-4-(3-(2-метилфенил)уреидо)фенил]-ацетил}-метиламино)-пиридин-2-ил]-3-[(тетрагидропиран-4-карбонил)-амино]-пропионовая кислота;
3-[5-({[3-метокси-4-(3-(2-метилфенил)уреидо)фенил]-ацетил}-метиламино)-пиридин-2-ил]-3-[(пиридазин-3-карбонил)-амино]-пропионовая кислота;
3-[5-({[3-метокси-4-(3-(2-метилфенил)уреидо)фенил]-ацетил}-метиламино)-пиридин-2-ил]-3-[(тиофен-2-карбонил)-амино]-пропионовая кислота;
N-{2-карбокси-1-[5-({[3-метокси-4-(3-(2-метилфенил)уреидо)фенил]-ацетил}-метиламино)-пиридин-2-ил]-этил}-сукцинамовая кислота;
4-{2-карбокси-1-[5-({[3-метокси-4-(3-(2-метилфенил)уреидо)фенил]-ацетил}-метиламино)-пиридин-2-ил]-этилкарбамоил}-масляная кислота;
3-(2-аминоацетиламино)-3-[5-({[3-метокси-4-(3-(2-метилфенил)уреидо)фенил]-ацетил}-метиламино)-пиридин-2-ил]-пропионовая кислота;
3-[5-({[3-метокси-4-(3-(2-метилфенил)уреидо)фенил]-ацетил}-метиламино)-пиридин-2-ил]-3-(2-морфолин-4-илацетиламино)-пропионовая кислота;
3-[2-(2-метокси-этокси)-ацетиламино]-3-[5-({[3-метокси-4-(3-(2-метилфенил)уреидо)фенил]-ацетил}-метиламино)-пиридин-2-ил]-пропионовая кислота;
3-метансульфониламино-3-[5-({[3-метокси-4-(3-(2-метилфенил)уреидо)фенил]-ацетил}-метиламино)-пиридин-2-ил]-пропионовая кислота;
3-[5-({[3-метокси-4-(3-(2-метилфенил)уреидо)фенил]-ацетил}-метиламино)-пиридин-2-ил]-3-(пиридин-3-сульфониламино)-пропионовая кислота;
3-[5-({[3-метокси-4-(3-(2-метилфенил)уреидо)фенил]-ацетил}-метиламино)-пиридин-2-ил]-3-(1-метил-5Н-имидазол-4-сульфониламино)-пропионовая кислота;
3-(ацетилметиламино)-3-(5-{2-[3-метокси-4-(3-(2-метилфенил)уреидо)фенил]-ацетиламино}-пиридин-2-ил)-пропионовая кислота;
3-[(3,4-диметоксибензоил)-метиламино]-3-(5-{2-[3-метокси-4-(3-(2-метилфенил)уреидо)фенил]-ацетиламино}-пиридин-2-ил)-пропионовая кислота;
N-[2-карбокси-1-(5-{2-[3-метокси-4-(3-(2-метилфенил)уреидо)фенил]-ацетиламино}-пиридин-2-ил)-этил]-N-метилтерефталамовая кислота;
3-(бензоилметиламино)-3-(5-{2-[3-метокси-4-(3-(2-метилфенил)уреидо)фенил]-ацетиламино}-пиридин-2-ил)-пропионовая кислота;
3-(5-{2-[3-метокси-4-(3-(2-метилфенил)уреидо)фенил]-ацетиламино}-пиридин-2-ил)-3-[метил(тетрагидропиран-4-карбонил)-амино]-пропионовая кислота;
3-(5-{2-[3-метокси-4-(3-(2-метилфенил)уреидо)фенил]-ацетиламино}-пиридин-2-ил)-3-[метил(пиридазин-3-карбонил)-амино]-пропионовая кислота;
3-(5-{2-[3-метокси-4-(3-(2-метилфенил)уреидо)фенил]-ацетиламино}-пиридин-2-ил)-3-[метил(тиофен-2-карбонил)-амино]-пропионовая кислота;
N-[2-карбокси-1-(5-{2-[3-метокси-4-(3-(2-метилфенил)уреидо)фенил]-ацетиламино}-пиридин-2-ил)-этил]-N-метилсукцинамовая кислота;
4-{[2-карбокси-1-(5-{2-[3-метокси-4-(3-(2-метилфенил)уреидо)фенил]-ацетиламино}-пиридин-2-ил)-этил]-метилкарбамоил}масляная кислота;
3-(аминоацетилметиламино)-3-(5-{2-[3-метокси-4-(3-(2-метилфенил)уреидо)фенил]-ацетиламино}-пиридин-2-ил)-пропионовая кислота;
3-(5-{2-[3-метокси-4-(3-(2-метилфенил)уреидо)фенил]-ацетиламино}-пиридин-2-ил)-3-[метил(морфолин-4-илацетил)-амино]-пропионовая кислота;
3-{[(2-метоксиэтокси)-ацетил]-метиламино}-3-(5-{2-[3-метокси-4-(3-(2-метилфенил)уреидо)фенил]-ацетиламино}-пиридин-2-ил)-пропионовая кислота;
3-(метансульфонилметиламино)-3-(5-{2-[3-метокси-4-(3-(2-метилфенил)уреидо)фенил]-ацетиламино}-пиридин-2-ил)-пропионовая кислота;
3-(5-(2-[3-метокси-4-(3-(2-метилфенил)уреидо)фенил]-ацетиламино}-пиридин-2-ил)-3-[метил(пиридин-3-сульфонил)-амино]-пропионовая кислота;
3-(5-{2-[3-метокси-4-(3-(2-метилфенил)уреидо)фенил]-ацетиламино}-пиридин-2-ил)-3-[метил-(1-метил-5Н-имидазол-4-сульфонил)-амино]-пропионовая кислота;
3-ацетиламино-3-(5-{2-[4-(3-(2-метилфенил)уреидо)фенил]-ацетиламино}-пиридин-2-ил)-пропионовая кислота;
3-(3,4-диметоксибензоиламино)-3-(5-{2-[4-(3-(2-метилфенил)уреидо)фенил]-ацетиламино}-пиридин-2-ил)-пропионовая кислота;
N-[2-карбокси-1-(5-{2-[4-(3-(2-метилфенил)уреидо)фенил]-ацетиламино}-пиридин-2-ил)-этил]-терефталамовая кислота;
3-(бензоиламино)-3-(5-{2-[4-(3-(2-метилфенил)уреидо)фенил]-ацетиламино}-пиридин-2-ил)-пропионовая кислота;
3-[(тетрагидропиран-4-карбонил)-амино]-3-(5-{2-[4-(3-(2-метилфенил)уреидо)фенил]-ацетиламино}-пиридин-2-ил)-пропионовая кислота;
3-[(пиридазин-3-карбонил)-амино]-3-(5-{2-[4-(3-(2-метилфенил)уреидо)фенил]-ацетиламино}-пиридин-2-ил)-пропионовая кислота;
3-[(тиофен-2-карбонил)-амино]-3-(5-{2-[4-(3-(2-метилфенил)уреидо)фенил]-ацетиламино}-пиридин-2-ил)-пропионовая кислота;
N-[2-карбокси-1-(5-{2-[4-(3-(2-метилфенил)уреидо)фенил]-ацетиламино}-пиридин-2-ил)-этил]-сукцинамовая кислота;
4-[2-карбокси-1-(5-{2-[4-(3-(2-метилфенил)уреидо)фенил]-ацетиламино}-пиридин-2-ил)-этилкарбамоил]-масляная кислота;
3-(2-аминоацетиламино)-3-(5-{2-[4-(3-(2-метилфенил)уреидо)фенил]-ацетиламино}-пиридин-2-ил)-пропионовая кислота;
3-(2-морфолин-4-илацетиламино)-3-(5-{2-[4-(3-(2-метилфенил)уреидо)фенил]-ацетиламино}-пиридин-2-ил)-пропионовая кислота;
3-[2-(2-метоксиэтокси)-ацетиламино]-3-(5-{2-[4-(3-(2-метилфенил)уреидо)фенил]-ацетиламино}-пиридин-2-ил)-пропионовая кислота;
3-метансульфониламино-3-(5-{2-[4-(3-(2-метилфенил)уреидо)фенил]-ацетиламино}-пиридин-2-ил)-пропионовая кислота;
3-(пиридин-3-сульфониламино)-3-(5-{2-[4-(3-(2-метилфенил)уреидо)фенил]-ацетиламино}-пиридин-2-ил)-пропионовая кислота;
3-(1-метил-5Н-имидазол-4-сульфониламино)-3-(5-{2-[4-(3-(2-метилфенил)уреидо)фенил]-ацетиламино}-пиридин-2-ил)-пропионовая кислота;
3-(ацетилметиламино)-3-[5-({[3-метокси-4-(3-(2-метилфенил)уреидо)фенил]-ацетил}-метиламино)-пиридин-2-ил]пропионовая кислота;
3-[(3,4-диметоксибензоил)-метиламино]-3-[5-({[3-метокси-4-(3-(2-метилфенил)уреидо)фенил]-ацетил}-метиламино)-пиридин-2-ил]-пропионовая кислота;
N-{2-карбокси-1-[5-({[3-метокси-4-(3-(2-метилфенил)уреидо)фенил]-ацетил}-метиламино)-пиридин-2-ил]-этил}-N-метилтерефталамовая кислота;
3-(бензоилметиламино)-3-[5-({[3-метокси-4-(3-(2-метилфенил)уреидо)фенил]-ацетил}-метиламино)-пиридин-2-ил]-пропионовая кислота;
3-[5-({[3-метокси-4-(3-(2-метилфенил)уреидо)фенил]-ацетил}-метиламино)-пиридин-2-ил]-3-[метил(тетрагидропиран-4-карбонил)-амино]-пропионовая кислота;
3-[5-({[3-метокси-4-(3-(2-метилфенил)уреидо)фенил]-ацетил}-метиламино)-пиридин-2-ил]-3-[метил(пиридазин-3-карбонил)-амино]-пропионовая кислота;
3-[5-({[3-метокси-4-(3-(2-метилфенил)уреидо)фенил]-ацетил}-метиламино)-пиридин-2-ил]-3-[метил(тиофен-2-карбонил)-амино]-пропионовая кислота;
N-{2-карбокси-1-[5-({[3-метокси-4-(3-(2-метилфенил)уреидо)фенил]-ацетил}-метиламино)-пиридин-2-ил]-этил}-N-метилсукцинамовая кислота;
4-({2-карбокси-1-[5-({[3-метокси-4-(3-(2-метилфенил)уреидо)фенил]-ацетил}-метиламино)-пиридин-2-ил]-этил}-метилкарбамоил)-масляная кислота;
3-(аминоацетилметиламино)-3-[5-({[3-метокси-4-(3-(2-метилфенил)уреидо)фенил]-ацетил}-метиламино)-пиридин-2-ил]-пропионовая кислота;
3-[5-({[3-метокси-4-(3-(2-метилфенил)уреидо)фенил]-ацетил}-метиламино)-пиридин-2-ил]-3-[метил(морфолин-4-ил-ацетил)-амино]-пропионовая кислота;
3-{[(2-метоксиэтокси)-ацетил]-метиламино}-3-[5-({[3-метокси-4-(3-(2-метилфенил)уреидо)фенил]-ацетил}-метиламино)-пиридин-2-ил]-пропионовая кислота;
3-(метансульфонилметиламино)-3-[5-({[3-метокси-4-(3-(2-метилфенил)уреидо)фенил]-ацетил}-метиламино)-пиридин-2-ил]-пропионовая кислота;
3-[5-({[3-метокси-4-(3-(2-метилфенил)уреидо)фенил]-ацетил}-метиламино)-пиридин-2-ил]-3-[метил(пиридин-3-сульфонил)-амино]-пропионовая кислота;
3-[5-({[3-метокси-4-(3-(2-метилфенил)уреидо)фенил]-ацетил}-метиламино)-пиридин-2-ил]-3-[метил-(1-метил-5Н-имидазол-4-сульфонил)-амино]-пропионовая кислота;
3-(4-{3-метокси-4-[3-(2-метилфенил)уреидо]-фенилацетиламино}фенил)-3-(метансульфониламино)-пропановая кислота;
3-(ацетиламино)-3-(4-{3-метокси-4-[3-(2-метилфенил)уреидо]-фенилацетиламино}фенил)-пропановая кислота;
3-(бензоиламино)-3-(4-{3-метокси-4-[3-(2-метилфенил)уреидо]-фенилацетиламино}фенил)-пропановая кислота;
3-(4-{3-метокси-4-[3-(2-метилфенил)уреидо]-фенилацетиламино}фенил)-3-(3-пиридилацетиламино)-пропановая кислота;
3-амино-3-(4-{3-метокси-4-[3-(2-метилфенил)уреидо]-фенилацетиламино}фенил)-пропановая кислота;
3-(н-бутиламино)-3-(4-{3-метокси-4-[3-(2-метилфенил)уреидо]-фенилацетиламино}фенил)-пропановая кислота;
3-бензиламино-3-(4-{3-метокси-4-[3-(2-метилфенил)уреидо]-фенилацетиламино}фенил)-пропановая кислота;
3-(4-{3-метокси-4-[3-(2-метилфенил)уреидо]-фенилацетиламино}фенил)-3-(2-фенилэтиламино)-пропановая кислота;
3-(4-{3-метокси-4-[3-(2-метилфенил)уреидо]-фенилацетиламино}фенил)-3-(морфолин-4-ил)-пропановая кислота;
3-(4-{3-метокси-4-[3-(2-метилфенил)уреидо]-фенилацетиламино}фенил)-3-(4-метилпиперазин-1-ил)-пропановая кислота;
3-(N-ацетил-N-метиламино)-3-(4-{4-[3-(2-метилфенил)уреидо]-фенилацетил-N-метиламино}фенил)-пропионовая кислота;
3-бензилоксикарбониламино-3-(4-{3-метокси-4-[3-(2-метилфенил)уреидо]-фенилацетиламино}фенил)-пропановая кислота;
3-фенилсульфониламино-3-(4-(3-метокси-4-[3-(2-метилфенил)уреидо]-фенилацетиламино}фенил)-пропановая кислота;
3-(пиридин-3-карбониламино)-3-(4-{3-метокси-4-[3-(2-метилфенил)уреидо]-фенилацетиламино}фенил)-пропановая кислота;
3-(пиридин-3-сульфониламино)-3-(4-{3-метокси-4-[3-(2-метилфенил)уреидо]-фенилацетиламино}фенил)-пропановая кислота;
3-(5-диметиламино-1-нафталинсульфониламино)-3-(4-{3-метокси-4-[3-(2-метилфенил)уреидо]-фенилацетиламино}фенил)-пропановая кислота;
3-(4-карбоксибутаноиламино)-3-(4-{3-метокси-4-[3-(2-метилфенил)уреидо]-фенилацетиламино}фенил)-пропановая кислота;
3-(3-карбоксипропаноиламино)-3-(4-{3-метокси-4-[3-(2-метилфенил)уреидо]-фенилацетиламино}фенил)-пропановая кислота;
3-(1-метилимидазол-4-илсульфониламино)-3-(4-{3-метокси-4-[3-(2-метилфенил)уреидо]-фенилацетиламино}фенил)-пропановая кислота;
3-(N-ацетилметиламино)-3-(4-{3-метокси-4-[3-(2-метилфенил)уреидо]-фенилацетиламино}фенил)-пропановая кислота;
3-(N-метансульфонилметиламино)-3-(4-{3-метокси-4-[3-(2-метилфенил)уреидо]-фенилацетиламино}фенил)-пропановая кислота;
3-(морфолин-1-илацетиламино)-3-(4-{3-метокси-4-[3-(2-метилфенил)уреидо]-фенилацетиламино}фенил)-пропановая кислота;
3-(ацетиламино)-3-(4-{3-метилтио-4-[3-(2-метилфенил)уреидо]-фенилацетиламино}фенил)-пропановая кислота;
3-(ацетиламино)-3-(4-{3-метилсульфинил-4-[3-(2-метилфенил)уреидо]-фенилацетиламино}фенил)-пропановая кислота;
3-(ацетиламино)-3-(4-{3-метилсульфонил-4-[3-(2-метилфенил)уреидо]-фенилацетиламино}фенил)-пропановая кислота;
3-[2-(2-метоксиэтокси)ацетиламино]-3-(4-{3-метокси-4-[3-(2-метилфенил)уреидо]-фенилацетиламино}фенил)-пропановая кислота;
3-[(тетрагидропиран-4-карбонил)амино]-3-(4-{3-метокси-4-[3-(2-метилфенил)уреидо]-фенилацетиламино}фенил)-пропановая кислота;
3-[(5-метилизоксазол-3-карбонил)-амино]-3-(4-{3-метокси-4-[3-(2-метилфенил)уреидо]-фенилацетиламино}фенил)-пропановая кислота;
3-(ацетиламино)-3-(4-{3-метокси-4-[3-(2-метилфенил)уреидо]-фенилацетиламино}фенил)-пропановая кислота;
3-[(4-карбоксибензоил)-амино]-3-(4-{3-метокси-4-[3-(2-метилфенил)уреидо]-фенилацетиламино}фенил)-пропановая кислота;
3-[(пиридазин-3-карбонил)-амино]-3-(4-{3-метокси-4-[3-(2-метилфенил)уреидо]-фенилацетиламино}фенил)-пропановая кислота;
3-[(3,4-диметоксибензоил)-амино]-3-(4-{3-метокси-4-[3-(2-метилфенил)уреидо]-фенилацетиламино}фенил)-пропановая кислота;
3-[(пиридазин-3-карбонил)-амино]-3-(4-{4-[3-(2-метилфенил)уреидо]-фенилацетиламино}фенил)-пропановая кислота;
3-(4-карбокси-3,3-диметилбутаноиламино)-3-(4-{3-метокси-4-[3-(2-метилфенил)уреидо]-фенилацетиламино}фенил) пропановая кислота;
3-(бензоиламино)-3-(4-{4-[3-(2-метилфенил)уреидо]-фенилацетиламино}фенил)-пропановая кислота;
3-(4-карбоксибутаноиламино)-3-(4-{4-[3-(2-метилфенил)уреидо]-фенилацетиламино}фенил)-пропановая кислота;
3-[4-({3-метокси-4-[3-(2-метилфенил)уреидо]-фенилацетил}-N-метиламино)-фенил]-бутановая кислота;
3-[(4-карбоксипиридин-3-карбонил)-амино]-3-(4-{3-метокси-4-[3-(2-метилфенил)уреидо]-фенилацетиламино}фенил) пропановая кислота;
3-[2,2-ди(гидроксиметил)пропаноиламино]-3-(4-{3-метокси-4-[3-(2-метилфенил)уреидо]-фенилацетиламино}фенил)-пропановая кислота;
3-[2-(карбоксиметилокси)-ацетиламино]-3-(4-{3-метокси-4-[3-(2-метилфенил)уреидо]-фенилацетиламино}фенил)-пропановая кислота;
3-[(1-карбоксиметил-пиперидин-4-карбонил)-амино]-3-(4-{3-метокси-4-[3-(2-метилфенил)уреидо]-фенилацетиламино}фенил)-пропановая кислота;
3-[2-(4-метилпиперазин-1-ил)-ацетиламино]-3-(4-{3-метокси-4-[3-(2-метилфенил)уреидо]-фенилацетиламино}фенил)-пропановая кислота;
3-(пирролидин-1-ил)-3-[4-({4-[3-(2-метилфенил)уреидо]-фенилацетил}-метиламино)-фенил]-пропановая кислота;
3-(N-ацетилметиламино)-3-[4-({4-[3-(2-метилфенил)уреидо]-фенилацетил}-метиламино)-фенил]-пропановая кислота;
3-(4-{3-метокси-4-[3-(2-метилфенил)уреидо]-фенилацетиламино}фенил)-5-(4-метилпиперазин-1-ил)-5-оксопентановая кислота;
3-(4-{3-метокси-4-[3-(2-метилфенил)уреидо]-фенилацетиламино}фенил)-5-(морфолин-4-ил)-5-оксо-пентановая кислота
и соответствующие N-оксиды и их пролекарства; фармацевтически приемлемые соли и сольваты (к примеру, гидраты) таких соединений и их N-оксиды и пролекарства.
В группу предпочтительных соединений по изобретению входят:
3-(5-{3-метокси-4-[3-(2-метилфенил)уреидо]-фенилацетиламино}пирид-2-ил)-пропановая кислота;
3-(6-{3-метокси-4-[3-(2-метилфенил)уреидо]-фенилацетиламино}пирид-3-ил)-пропановая кислота;
3-(4-{3-метокси-4-[3-(2-метилфенил)уреидо]-фенилацетиламино}фенил)-3-(метансульфониламино)-пропановая кислота;
3-(ацетиламино)-3-(4-{3-метокси-4-[3-(2-метилфенил)уреидо]-фенилацетиламино}фенил)-пропановая кислота;
3-(бензоиламино)-3-(4-{3-метокси-4-[3-(2-метилфенил)уреидо]-фенилацетиламино}фенил)-пропановая кислота;
3-(4-{3-метокси-4-[3-(2-метилфенил)уреидо]-фенилацетиламино}фенил)-3-(3-пиридилацетиламино)-пропановая кислота;
3-амино-3-(4-{3-метокси-4-[3-(2-метилфенил)уреидо]-фенилацетиламино}фенил)-пропановая кислота;
3-(н-бутиламино)-3-(4-{3-метокси-4-[3-(2-метилфенил)уреидо]-фенилацетиламино}фенил)-пропановая кислота;
3-бензиламино-3-(4-{3-метокси-4-[3-(2-метилфенил)уреидо]-фенилацетиламино}фенил)-пропановая кислота;
3-(4-{3-метокси-4-[3-(2-метилфенил)уреидо]-фенилацетиламино}фенил)-3-(2-фенилэтиламино)-пропановая кислота;
3-(4-{3-метокси-4-[3-(2-метилфенил)уреидо]-фенилацетиламино}фенил)-3-(морфолин-4-ил)-пропановая кислота;
3-(4-{3-метокси-4-[3-(2-метилфенил)уреидо]-фенилацетиламино}фенил)-3-(4-метилпиперазин-1-ил)-пропановая кислота;
3-(N-ацетил-N-метиламино)-3-(4-{4-[3-(2-метилфенил)уреидо]-фенилацетил-N-метиламино}фенил)-пропионовая кислота;
3-бензилоксикарбониламино-3-(4-{3-метокси-4-[3-(2-метилфенил)уреидо]-фенилацетиламино}фенил)-пропановая кислота;
3-фенилсульфониламино-3-(4-{3-метокси-4-[3-(2-метилфенил)уреидо]-фенилацетиламино}фенил)-пропановая кислота;
3-(пиридин-3-карбониламино)-3-(4-{3-метокси-4-[3-(2-метилфенил)уреидо]-фенилацетиламино}фенил)-пропановая кислота;
3-(пиридин-3-сульфониламино)-3-(4-{3-метокси-4-[3-(2-метилфенил)уреидо]-фенилацетиламино}фенил)-пропановая кислота;
3-(5-диметиламино-1-нафталинсульфониламино)-3-(4-{3-метокси-4-[3-(2-метилфенил)уреидо]-фенилацетиламино}фенил)-пропановая кислота;
3-(4-карбоксибутаноиламино)-3-(4-{3-метокси-4-[3-(2-метилфенил)уреидо]-фенилацетиламино}фенил)-пропановая кислота;
3-(3-карбоксипропаноиламино)-3-(4-{3-метокси-4-[3-(2-метилфенил)уреидо]-фенилацетиламино}фенил)-пропановая кислота;
3-(1-метилимидазол-4-илсульфониламино)-3-(4-{3-метокси-4-[3-(2-метилфенил)уреидо]-фенилацетиламино}фенил)-пропановая кислота;
3-(N-ацетилметиламино)-3-(4-{3-метокси-4-[3-(2-метилфенил)уреидо]-фенилацетиламино}фенил)-пропионовая кислота;
3-(N-метансульфонилметиламино)-3-(4-{3-метокси-4-[3-(2-метилфенил)уреидо]-фенилацетиламино}фенил)-пропионовая кислота;
3-(морфолин-1-илацетиламино)-3-(4-{3-метокси-4-[3-(2-метилфенил)уреидо]-фенилацетиламино}фенил)-пропановая кислота;
3-(ацетиламино)-3-(4-{3-метилтио-4-[3-(2-метилфенил)уреидо]-фенилацетиламино}фенил)-пропановая кислота;
3-(ацетиламино)-3-(4-{3-метилсульфинил-4-[3-(2-метилфенил)уреидо]-фенилацетиламино}фенил)-пропановая кислота;
3-(ацетиламино)-3-(4-{3-метилсульфонил-4-[3-(2-метилфенил)уреидо]-фенилацетиламино}фенил)-пропановая кислота;
3-[2-(2-метоксиэтокси)ацетиламино]-3-(4-{3-метокси-4-[3-(2-метилфенил)уреидо]-фенилацетиламино}фенил)-пропановая кислота;
3-[(тетрагидропиран-4-карбонил)амино]-3-(4-{3-метокси-4-[3-(2-метилфенил)уреидо]-фенилацетиламино}фенил)-пропановая кислота;
3-[(5-метилизоксазол-3-карбонил)-амино]-3-(4-{3-метокси-4-[3-(2-метилфенил)уреидо]-фенилацетиламино}фенил)-пропановая кислота;
3-[(тиофен-2-карбонил)-амино]-3-(4-{3-метокси-4-[3-(2-метилфенил)уреидо]фенилацетиламино}-фенил)-пропановая кислота;
3-[(4-карбоксибензоил)-амино]-3-(4-{3-метокси-4-[3-(2-метилфенил)уреидо]-фенилацетиламино}фенил)-пропановая кислота;
3-[(пиридазин-3-карбонил)-амино]-3-(4-(3-метокси-4-[3-(2-метилфенил)уреидо]-фенилацетиламино}фенил)-пропановая кислота;
3-[(3,4-диметоксибензоил)-амино]-3-(4-{3-метокси-4-[3-(2-метилфенил)уреидо]-фенилацетиламино}фенил)-пропановая кислота;
3-[(пиридазин-3-карбонил)-амино]-3-(4-{4-[3-(2-метилфенил)уреидо]-фенилацетиламино}фенил)-пропановая кислота;
3-(4-карбокси-3,3-диметилбутаноиламино)-3-(4-{3-метокси-4-[3-(2-метилфенил)уреидо]-фенилацетиламино}-фенил)-пропановая кислота;
3-(бензоиламино)-3-(4-{4-[3-(2-метилфенил)уреидо]-фенилацетиламино}фенил)-пропановая кислота;
3-(4-карбоксибутаноиламино)-3-(4-{4-[3-(2-метилфенил)уреидо]-фенилацетиламино}фенил)-пропановая кислота;
3-[4-({3-метокси-4-[3-(2-метилфенил)уреидо]-фенилацетил}-N-метиламино)-фенил]-бутановая кислота;
3-(4-{3-метокси-4-[3-(2-метилфенил)уреидо]-фенилацетиламино}фенил)-5-(4-метилпиперазин-1-ил)-5-оксопентановая кислота;
3-(4-{3-метокси-4-[3-(2-метилфенил)уреидо]-фенилацетиламино}фенил)-5-(морфолин-4-ил)-5-оксопентановая кислота
и соответствующие N-оксиды и их пролекарства; фармацевтически приемлемые соли и сольваты (к примеру, гидраты) таких соединений и их N-оксиды и пролекарства.
В группу особенно предпочтительных соединений по изобретению входят
(R)-3-ацетиламино-3-(4-{3-метокси-4-[3-(2-метилфенил)уреидо)фенил]-ацетиламино}-фенил)-пропановая кислота;
(R)-3-(4-карбоксибутаноиламино)-3-(4-{3-метокси-4-[3-(2-метилфенил)уреидо]фенилацетиламино}фенил)-пропановая кислота;
(R)-3-(3-карбоксипропаноиламино)-3-(4-{3-метокси-4-[3-(2-метилфенил)уреидо]-фенилацетиламино}фенил)-пропановая кислота;
(R)-3-(пиридин-3-карбониламино)-3-(4-{3-метокси-4-[3-(2-метилфенил)уреидо]-фенилацетиламино}фенил)-пропановая кислота;
(R)-3-бензоиламино-3-(4-{3-метокси-4-[3-(2-метилфенил)уреидо]фенилацетиламино}фенил)-пропановая кислота;
(R)-3-[2-(2-метоксиэтокси)ацетиламино]-3-(4-{3-метокси-4-[3-(2-метилфенил)уреидо]-фенилацетиламино}фенил)-пропановая кислота;
(R)-3-[(тетрагидропиран-4-карбонил)амино]-3-(4-{3-метокси-4-[3-(2-метилфенил)уреидо]-фенилацетиламино}фенил)-пропановая кислота;
(R)-3-[(5-метилизоксазол-3-карбонил)-амино]-3-(4-{3-метокси-4-[3-(2-метилфенил)уреидо]-фенилацетиламино}фенил)-пропановая кислота;
(R)-3-[(тиофен-2-карбонил)-амино]-3-(4-{3-метокси-4-[3-(2-метилфенил)уреидо]фенилацетиламино}-фенил)-пропановая кислота;
(R)-3-[(4-карбоксибензоил)-амино]-3-(4-{3-метокси-4-[3-(2-метилфенил)уреидо]-фенилацетиламино}фенил)-пропановая кислота;
(R)-3-[(пиридазин-3-карбонил)-амино]-3-(4-{3-метокси-4-[3-(2-метилфенил)уреидо]-фенилацетиламино}фенил)-пропановая кислота;
(R)-3-[(3,4-диметоксибензоил)-амино]-3-(4-{3-метокси-4-[3-(2-метилфенил)уреидо]-фенилацетиламино}фенил)-пропановая кислота;
(R)-3-[(пиридазин-3-карбонил)-амино]-3-(4-{4-[3-(2-метилфенил)уреидо]-фенилацетиламино}фенил)-пропановая кислота;
(R)-3-(4-карбокси-3,3-диметилбутаноиламино)-3-(4-{3-метокси-4-[3-(2-метилфенил)уреидо]-фенилацетиламино}-фенил)-пропановая кислота;
(R)-3-(бензоиламино)-3-(4-{4-[3-(2-метилфенил)уреидо]-фенилацетиламино}фенил)-пропановая кислота;
(R)-3-(4-карбоксибутаноиламино)-3-(4-{4-[3-(2-метилфенил)уреидо]-фенилацетиламино}-фенил)-пропановая кислота
и соответствующие N-оксиды и их пролекарства; фармацевтически приемлемые соли и сольваты (к примеру, гидраты) таких соединений и их N-оксиды и пролекарства.
Соединения по изобретению обладают полезным фармакологическим действием и поэтому их включают в фармацевтические композиции и используют для лечения пациентов, страдающих определенным заболеванием. Таким образом, согласно еще одному аспекту настоящее изобретение раскрывает применение в терапии соединений по изобретению и композиций, содержащих соединения по изобретению.
Соединения, охватываемые рамками объема настоящего изобретения и приложенных пунктов, согласно описанным в литературе испытаниям и описанным здесь методикам испытаний in vitro и in vivo блокируют взаимодействие лиганда VCAM-1 с его интегрин-рецептором VLA-1 ( 4 1), считается, что эти результаты испытаний коррелируются с фармакологической активностью на людях и других млекопитающих. Таким образом, в дополнительном варианте практического воплощения настоящее изобретение дает соединения по изобретению и композиции, содержащие соединения по изобретению, для применения в лечении пациентов, страдающих заболеваниями или склонных к заболеваниям, которые могут быть облегчены введением ингибитора опосредованной 4 1 клеточной адгезии. К примеру, соединения по изобретению полезны в лечении воспалительных заболеваний, к примеру воспаления суставов, включая артрит, ревматоидный артрит и другие состояния артрита, такие как ревматоидный спондилит, подагрический артрит, травматический артрит, артрит после коревой краснухи, псориатический артрит и остеоартрит. Кроме того, соединения пригодны для лечения острого синовита, аутоиммунного диабета, аутоиммунного энцефаломиелита, колита, атеросклероза, заболевания периферических сосудов, сердечно-сосудистых заболеваний, рассеянного склероза, астмы, псориатического рестеноза, миокардита, воспалительных заболеваний кишечника и деления клеток меланомы в метастазы.
Особым вариантом воплощения терапевтических способов по данному изобретению является лечение астмы.
Другой особый вариант воплощения терапевтических способов по данному изобретению составляет лечение воспаления суставов.
Еще один особый вариант воплощения терапевтических способов по данному изобретению составляет лечение воспалительных заболеваний кишечника.
Согласно еще одной отличительной особенности данного изобретения, предложен способ лечения пациентов, человека или животных, страдающих заболеваниями или склонных к заболеваниям, симптомы которых могут быть улучшены введением ингибитора взаимодействия лиганда VCAM-1 с его интегрин-рецептором VLA-1 ( 4 1), что касается, к примеру, указанных выше заболеваний, способ включает введение пациенту эффективного количества соединения по изобретению или композиции, содержащей соединение по изобретению. Подразумевается, что “эффективное количество” соответствует количеству соединения по изобретению, эффективному в ингибировании взаимодействия лиганда VCAM-1 с его интегрин-рецептором VLA-1 ( 4 1), а следовательно, в оказании желаемого терапевтического действия.
Подразумевается, что ссылка на лечение включает кроме профилактической терапии также и лечение существующих состояний.
Настоящее изобретение также охватывает фармацевтические композиции, включающие, по меньшей мере, одно из соединений по изобретению в сочетании с фармацевтически приемлемым носителем или эксципиентом.
Соединения по изобретению могут быть введены любыми подходящими способами. На практике соединения по изобретению могут быть введены парентерально, местно, ректально, перорально или путем ингаляции, в особенности оральным путем.
Композиции по изобретению могут быть получены обычными способами с применением одного или большего числа фармацевтически приемлемых адъювантов или эксципиентов. Адъюванты включают, в частности, разбавители, стерильную водную среду и различные нетоксические органические растворители. Композиции могут быть представлены в форме таблеток, пилюль, гранул, порошков, водных растворов или суспензий, растворов для инъекции, эликсиров или сиропов, и могут содержать один или большее число агентов, которые выбирают из группы, включающей подсластители, корригенты, красители или стабилизаторы, чтобы получить фармацевтически приемлемые препараты. Выбор среды для лекарства и содержания активного вещества в ней обычно осуществляется в соответствии с растворимостью и химическими свойствами активного соединения, конкретным способом введения и с учетом мер предосторожности, которые должны соблюдаться в фармацевтической практике. К примеру, для получения таблеток могут быть использованы эксципиенты, такие как лактоза, цитрат натрия, карбонат кальция, дикальцийфосфат, и дезинтегрирующие средства, такие как крахмал, альгиновые кислоты и некоторые комплексные силикаты, объединенные со смазывающими веществами, такими как стеарат магния, натрийлаурилсульфат и тальк. Для получения капсул удобно использовать лактозу и высокомолекулярные полиэтиленгликоли. Когда используют водные суспензии, они могут содержать эмульгирующие средства или агенты, способствующие образованию суспензии. Могут также быть использованы разбавители, такие как сахароза, этанол, полиэтиленгликоль, глицерин и хлороформ или их смеси.
Для парентерального введения применяют эмульсии, суспензии или растворы продуктов по изобретению в растительном масле, к примеру, кунжутовом масле, арахисовом масле или оливковом масле, или водно-органические растворы, такие как в воде и пропиленгликоле, в пригодных для инъекции сложных органических эфирах, таких как этилолеат, а также стерильные водные растворы фармацевтически приемлемых солей. Растворы солей продуктов по изобретению особенно пригодны для введения путем внутримышечной или подкожной инъекции. Водные растворы, включающие также растворы солей в чистой дистиллированной воде, могут быть использованы для внутривенного введения при условии, что их рН доведен до пригодного, что они в разумной степени содержат буфер и превращены в изотонические с помощью достаточного количества глюкозы или хлористого натрия и что они стерилизованы путем нагревания, облучения или микрофильтрации.
Для местного введения могут быть использованы гели (с водной или спиртовой основой), кремы или мази, содержащие соединения по изобретению. Соединения по изобретению могут также быть включены в гель или матричную основу для нанесения на пластырь, что дает возможность регулируемого высвобождения соединения через трансдермальный барьер.
Для введения путем ингаляции соединения по изобретению могут быть растворены или суспендированы в пригодном носителе для использования в распылителе или в аэрозоле суспензии или раствора, или могут быть абсорбированы или адсорбированы на пригодном твердом носителе для применения в ингаляторе с сухим порошком.
Твердые композиции для ректального введения включают суппозитории, сформулированные в соответствии с хорошо известными способами и содержащие, по меньшей мере, одно соединение по изобретению.
Процентное содержание активного ингредиента в композициях по изобретению может варьироваться, необходимо, чтобы оно составляло количество, позволяющее получить пригодную дозировку. Очевидно, несколько форм унифицированных, стандартных доз может быть введено приблизительно в одно и тоже время. Используемая доза определяется лечащим врачом и зависит от желаемого терапевтического воздействия, способа введения и продолжительности лечения и состояния пациента. Для взрослых доза обычно составляет приблизительно от 0,001 до 50, предпочтительно приблизительно от 0,001 до 5, мг/кг веса тела в день при ингаляции, приблизительно от 0,01 до 100, предпочтительно приблизительно от 0,1 до 70, в особенности от 0,5 до 10, мг/кг веса тела в день при пероральном введении и приблизительно от 0,001 до 10, предпочтительно приблизительно от 0,01 до 1, мг/кг веса тела в день при внутривенном введении. В каждом конкретном случае доза определяется в соответствии с факторами, характерными для нуждающегося в лечении пациента, такими как возраст, вес, общее состояние здоровья и другими характеристиками, которые могут влиять на эффективность медицинского препарата.
Соединения по изобретению можно вводить так часто, как это необходимо в целях получения желаемого терапевтического воздействия. Некоторые пациенты могут быстро реагировать на большую или меньшую дозу и могут найти достаточной более слабую поддерживающую дозу. Для других пациентов может возникнуть необходимость подвергаться длительному лечению при норме от 1 до 4 доз ежедневно, согласно с физиологическими потребностями каждого конкретного пациента. Обычно активный продукт может быть введен перорально 1-4 раза в день. Конечно, некоторым пациентам необходимо предписывать не более одной или двух доз на день.
Соединения по изобретению могут быть получены применением или адаптацией известных способов, под которыми подразумеваются использованные прежде или описанные в литературе способы, к примеру способы, описанные R.C.Larok’ом в Comprehensive Organic Transformations, VCH publishers, 1989.
В описанных ниже реакциях может возникнуть необходимость защиты реакционноспособных функциональных групп, к примеру гидрокси-, амино-, имино-, тио- или карбоксигрупп, когда их требуется сохранить в конечном продукте, чтобы избежать их нежелательного участия в реакциях. Обычные защитные группы могут быть использованы согласно стандартным методикам, к примеру, смотри Т.W.Green and P.G.M.Wuts в “Protective Groups in Organic Chemestry” John Wiley and Sons, 1991.
Соединения формулы (I), где R1, X1, X2, X3, X4, X5 и X6 принимают вышеуказанные значения и где радикал Y в одном из 3, X4 и X5 обозначает карбокси, могут быть получены гидролизом сложного эфира формулы (I), где R1, X1, X2, X3, X4, X5 и X6 принимают вышеуказанные значения и где радикал Y в одном из X3, X4 и X5 обозначает -CO2R16-группу (где R16 обозначает алкил, алкенил или арилалкил). Гидролиз удобно осуществлять посредством щелочного гидролиза с применением основания, такого как гидроокись щелочного металла, к примеру гидроокись лития, или карбонат щелочного металла, к примеру карбонат калия, в присутствии смеси водно-органических растворителей с применением органических растворителей, таких как диоксан, тетрагидрофуран или метанол, при температуре приблизительно от температуры окружающей среды до температуры перегонки. Гидролиз также может быть осуществлен посредством кислотного гидролиза с применением неорганической кислоты, такой как соляная кислота, и в присутствии смеси водно-органических растворителей с применением органических растворителей, таких как диоксан или тетрагидрофуран, при температуре приблизительно от 50 до 80°С.
В качестве другого примера, соединения формулы (I), где R1, X1, X2, X3, X4, X5 и X6 принимают вышеуказанные значения и где радикал Y в одном из X3, X4 и X5 обозначает карбокси, могут быть получены катализируемым кислотой отщеплением трет-бутиловой группы от третбутилового сложного эфира формулы (I), где R1, X1, X2, X3, X4, X5 и X6 принимают вышеуказанные значения и где радикал Y в одном из X3, X4 и X5 обозначает -СО2R16-группу (где R16 обозначает трет-бутил) с применением стандартных условий реакции, к примеру, по реакции с трифторуксусной кислотой при температуре, близкой к комнатной.
В качестве иного примера соединения формулы (I), где R1, Х1, X2, X3, X4, X5 и X6 принимают вышеуказанные значения и где радикал Y в одном из X3, X4 и X5 обозначает карбокси, могут быть получены гидрированием соединений формулы (I), где R1, X1, X2, X3, X4, X5 и X6 принимают вышеуказанные значения и где радикал Y в одном из X3, X4 и X5 обозначает -CO2R16-группу (где R16 обозначает бензил). Реакция может быть проведена в присутствии формиата аммония и подходящего металлического катализатора, к примеру палладия, нанесенного на инертный носитель, такой как углерод, предпочтительно в растворителе, таком как метанол или этанол, и при температуре, близкой к температуре перегонки. Или же реакция может быть проведена в присутствии подходящего металлического катализатора, к примеру палладия, необязательно нанесенного на инертный носитель, такой как углерод, предпочтительно в растворителе, таком как метанол или этанол. Эта реакция наиболее удобна для соединений формулы (I), где L1 и L2 не содержат кратных углерод-углеродных связей.
В качестве другого примера соединения формулы (Iа) или (Ib), где R1, R2, Ar1, L2, X1 и X2 принимают вышеуказанные значения, X3 обозначает CR10 (где R10 принимает вышеуказанные значения) и Y обозначает карбокси, представленные формулой (II), могут быть получены использованием методики с применением смол, приведенной в схеме 1.
К примеру, смола Wang’a может быть обработана на стадии 1 кислотами формулы (III)
О2N-Аr1-L2-CО2Н (III)
где Аr1 и L2 принимают вышеуказанные значения, и диизопропилкабодиимидом в диметилформамиде в присутствии диметиламинопиридина при комнатной температуре. Полученные сложные эфиры (смола 2), где Аr1 и L2 принимают вышеуказанные значения, могут быть затем обработаны на стадии 2 хлористым оловом в диметилформамиде при комнатной температуре, что дает смолу 3, где Аr1 и L2 принимают вышеуказанные значения. Смола 3 может быть затем подвергнута на стадии 3 реакции сочетания с кислотой общей формулы (IV)
где R1, R2, Xх и X2 принимают вышеуказанные значения, а X3 обозначает CR10 (где R10 принимает вышеуказанные значения), в присутствии О-(7-азабензотриазол-1-ил)-1,1,3,3-тетраметилуронийгексафторфосфата и диизопропилэтиламина в диметилформамиде при комнатной температуре. Полученная смола 4, где R1, R2, Аr1, L2, X1 и X2 принимают вышеуказанные значения и X3 обозначает CR10 (где R10 принимает вышеуказанные значения), может быть затем обработана на стадии 4 трифторуксусной кислотой в инертном растворителе, таком как дихлорметан, при комнатной температуре, что приводит к выделению кислот общей формулы (II), где R1, R2, Ar1, L2, X1 и X2 принимают вышеуказанные значения, а X3 обозначает CR10 (где R10 принимает вышеуказанные значения).
В качестве другого примера, соединения формулы (Ib), где R1, R2, Ar1, X1 и X2 принимают вышеуказанные значения, L2 обозначает -Z2-R9-мостик [где R9 принимает вышеуказанные значения и Z2 обозначает О, S или NR4 (где R4 принимает вышеуказанные значения)], X3 обозначает CR10 (где R10 принимает вышеуказанные значения) и Y обозначает карбокси, представленные формулой (V), могут быть получены использованием методики с применением смол, приведенной в схеме 1.
Схема 2
К примеру, смола Wang’a по схеме 2 может быть обработана на стадии 1 кислотами формулы (VI)
где R17 обозначает Br-R9– [где R9 принимает вышеуказанные значения], и диизопропилкабодиимидом в диметилформамиде или смеси диметилформамида и тетрагидрофурана, в присутствии диметиламинопиридина при комнатной температуре. Полученные сложные эфиры (смола 5, где R17 обозначает Br-R9-) могут реагировать на стадии 2 с соединениями формулы (VII)
где Аr1 обозначает гетероарилдиил, a Z2 обозначает О, S или NR4 (где R4 принимает вышеуказанные значения), в присутствии основания, такого как третичное органическое основание, к примеру диизопропилэтиламин, в диметилсульфоксиде и при температуре, близкой к комнатной, что дает смолу 6, где R9 и Аr1 обозначает гетероарилдиил, а Z2 обозначает О, S или NR4 (где R4 принимает вышеуказанные значения). Смола 6 может быть затем подвергнута, на стадии 3, реакции сочетания с кислотой общей формулы (IV), где R1, R2, X1 и X2 принимают вышеуказанные значения, а X3 обозначает CR10 (где R10 принимает вышеуказанные значения), в присутствии О-(7-азабензотриазол-1-ил)-1,1,3,3-тетраметилуронийгесафторфосфата и диизопропилэтиламина в диметилформамиде при комнатной температуре. Полученная смола 7 [где R1, R2, R9, Х1 и X2 принимают вышеуказанные значения, Аr1 обозначает гетероарилдиил, X3 обозначает CR10 (где R10 принимает вышеуказанные значения) и Z2 обозначает О, S или NR4 (где R4 принимает вышеуказанные значения)], может быть затем обработана на стадии 4 трифторуксусной кислотой в инертном растворителе, таком как дихлорметан, и при температуре, близкой к комнатной, что приводит к выделению кислот общей формулы (V), где R1, R2, R9, Х1 и X2 принимают вышеуказанные значения, Аr1 обозначает гетероарилдиил, X3 обозначает CR10 (где R10 принимает вышеуказанные значения) и Z2 обозначает О, S или NR4 (где R4 принимает вышеуказанные значения). Этот способ особенно подходит для получения соединений формулы (V), где L2 обозначает -S-СН2-мостик.
В качестве другого примера, смола Wang’a по схеме 2 может быть обработана на стадии 1 хлорангидридами кислот формулы (VIII)
где R17 обозначает винильную группу, необязательно замещенную R5, в присутствии третичного амина, такого как диизопропилэтиламин, в инертном растворителе, таком как дихлорметан, при температуре, близкой к комнатной. Полученный необязательно замещенный сложный виниловый эфир (смола 5, где винильная группа необязательно замещена R5) может затем реагировать с соединениями формулы (VII), где Аr1 обозначает гетероарилдиил и Z2 обозначает S, в присутствии основания, такого как третичное органическое основание, к примеру диизопропилэтиламин, в диметилсульфоксиде и при температуре, близкой к комнатной, с образованием смолы 6 [где Аr1 обозначает гетероарилдиил, R9 обозначает этилен (необязательно замещенный R5) и Z2 обозначает S]. Смола 6 может затем вступать в реакцию сочетания с кислотой общей формулы (IV), где R1, R2, X1 и X2 принимают вышеуказанные значения и X3 обозначает CR10 (где R10 принимает вышеуказанные значения), в присутствии О-(7-азабензотриазол-1-ил)-1,1,3,3-тетраметилуронийгесафторфосфата и диизопропилэтиламина в диметилформамиде при комнатной температуре. Полученная смола 7 [где R1, R2, X1 и X2 принимают вышеуказанные значения, Аr1 обозначает гетероарилдиил, R9 обозначает этилен (необязательно замещенный R5), X3 обозначает CR10 (где R10 принимает вышеуказанные значения) и Z2 обозначает S] может быть затем обработана трифторуксусной кислотой в инертном растворителе, таком как дихлорметан, и при температуре, близкой к комнатной, что приводит к выделению кислот общей формулы (V), где R1, R2, X1 и X2 принимают вышеуказанные значения, Аr1 обозначает гетероарилдиил, R9 обозначает этилен (необязательно замещенный R5), X3 обозначает CR10 (где R10 принимает вышеуказанные значения) и Z2 обозначает S.
В качестве другого примера, соединения формулы (Iа) или (Ib), где R1, R2, L2, Аr1, X1 и X2 принимают вышеуказанные значения и X3 обозначает CR10 (где R10 принимает вышеуказанные значения), a Y обозначает карбокси, могут быть получены по реакции сочетания кислот формулы (IV), где R1, R2, X1 и X2 принимают вышеуказанные значения и X3 обозначает CR10 (где R10 принимает вышеуказанные значения) с аминами формулы (IX)
H2N-Ar1-L2-CO2H (IX)
где Аr1 и L2 принимают вышеуказанные значения, с применением стандартных условий сочетания, к примеру условий, указанных выше.
В качестве другого примера, соединения формулы (I), где R1, Х1, X2, X3, X4, X5 и X6 принимают вышеуказанные значения и где радикалы L2 и Y в одном из X3, X4 и X5 обозначают алкиленовый мостик, замещенный -CONY1Y2 и карбокси соответственно и могут быть получены по реакции соединений формулы (I), где R1, Х1, X2, X3, X4, X5 и X6 принимают вышеуказанные значения и где радикалы L2 и Y в одном из X3, X4 и X5 обозначают алкиленовый мостик, замещенный -CO2H и карбокси соответственно с ангидридом, таким как трифторуксусный ангидрид, в инертном растворителе, к примеру тетрагидрофуране, с последующей обработкой НNY1Y2.
Согласно еще одному аспекту настоящего изобретения, соединения по изобретению могут быть получены взаимопревращением других соединений по изобретению.
К примеру, соединения формулы (I), где R1, X1, X2, X3, X4, X5 и X6 принимают вышеуказанные значения и где радикал Y в одном из X3, X4 и X5 обозначает -С(=O)-NHOH, могут быть получены по реакции соединений формулы (I), где R1, X1, X2, X3, X4, X5 и X6 принимают вышеуказанные значения и где радикал Y в одном из X3, X4 и X5 обозначает карбокси, с гидроксиламином с применением стандартных методик пептидного сочетания (конденсации), таких как обработка карбодиимидом, к примеру дициклогексилкарбодиимидом, в присутствии триэтиламина в инертном растворителе, таком как дихлорметан или тетрагидрофуран, при температуре, близкой к комнатной. Сочетание можно также осуществлять, используя 1-гидроксибензотриазол и 1-(3-диметиламинопропил)-3-этилкарбодиимид в дихлорметане при комнатной температуре. Получение соединения можно также осуществлять, используя O-защищенный гидроксиламин, такой как О-(триметилсилил)гидроксиламин, O-(трет-бутилдиметилсилил)гидроксиламин или О-(тетрагидропиранил)гидроксиламин, с последующей обработкой кислотой.
В качестве примера способа взаимопревращения, соединения формулы (I), содержащие сульфоксидные мостики, могут быть получены окислением соответствующих соединений, содержащих -S-мостики. К примеру, окисление обычно осуществляют посредством реакции с надкислотой, к примеру 3-хлорнад-бензойной кислотой, предпочтительно в инертном растворителе, к примеру дихлорметане, преимущественно при температуре, близкой к комнатной, или же иначе, посредством реакции с кислым пероксомоносульфатом калия в среде, такой как метанол, доведенной буфером до рН 5, при температурах от 0°С до комнатной температуры. Этот последний способ предпочтителен для соединений, содержащих лабильную кислотную группу.
В качестве другого примера способа взаимопревращения, соединения формулы (I), содержащие сульфоксидные мостики, могут быть получены окислением соответствующих соединений, содержащих -S- или сульфоксидные мостики. К примеру, окисление обычно осуществляют посредством реакции с надкислотой, к примеру 3-хлорнадбензойной кислотой, предпочтительно в инертном растворителе, к примеру дихлорметане, преимущественно при температуре, близкой к комнатной.
В качестве другого примера способа взаимопревращения, соединения формулы (I), где R1, X1, X2, X3, X4, X5 и X6 принимают вышеуказанные значения и где радикал L2 в одном из X3, X4 и X5 обозначает необязательно замещенный алкиленовый мостик, могут быть получены гидрированием соответствующих соединений формулы (I), где радикал L2 в одном из X3, X4 и X5 обозначает необязательно замещенный алкениленовый мостик. Гидрирование можно осуществлять, применяя водород (необязательно под давлением) в присутствии к примеру, платины или палладия, необязательно нанесенного на инертный носитель, такой как углерод, предпочтительно в растворителе, таком как метанол или этанол, и при температуре, близкой к комнатной.
В качестве другого примера способа взаимопревращения, соединения формулы (I), в которой R1, Х1, X2, X3, X4, X5 и X6 принимают вышеуказанные значения и где радикал L1 в одном из X3, X4 и X5 обозначает -R2-R3-мостик, где R2 обозначает линейную или разветвленную цепь С2-6алкилена и R3 обозначает непосредственную химическую связь, могут быть так же получены гидрированием соответствующих соединений формулы (I), в которой L1 радикал в одном из X3, X4 и X5 обозначает -R2-R3-мостик, где R2 обозначает линейную или разветвленную цепь С2-6алкенилена и R3 обозначает непосредственную химическую связь.
В качестве еще одного примера способа взаимопревращения, соединения формулы (I), где R1, X1, X2, X3, X4, X5 и X6 принимают вышеуказанные значения и где радикал L2 в одном из X3, X4 и X5 содержит аминогруппу, могут быть получены по реакции соединений формулы (I), где R1, X1, X2, X3, X4, X5 и X6 принимают вышеуказанные значения и где радикал L2 в одном из X3, X4 и X5 содержит ацетамидогруппу, с основанием, таким как водная гидроокись щелочного металла, к примеру гидроокись натрия.
В качестве примера способа взаимопревращения, соединения по изобретению, содержащие гетероциклическую группу, где гетероатомом является атом азота, могут быть окислены до соответствующих N-оксидов. Окисление обычно можно осуществить по реакции со смесью из перекиси водорода и органической кислоты, к примеру уксусной кислоты, предпочтительно, при температуре, равной комнатной или выше, к примеру при температуре приблизительно 60-90°С. Или же окисление можно осуществлять по реакции с надкислотой, к примеру надуксусной кислотой или м-хлорнадбензойной кислотой, в инертном растворителе, таком как хлороформ или дихлорметан, при температуре приблизительно от комнатной до температуры перегонки, предпочтительно при повышенной температуре. Или же окисление может быть выполнено по реакции с перекисью водорода в присутствии вольфрамата натрия при температурах между комнатной температурой и приблизительно 60°С.
Следует учитывать, что соединения по изобретению могут содержать асимметрические центры. Эти асимметрические центры могут независимо быть R- или S-конфигурации. Для специалистов в соответствующей области очевидно, что некоторые соединения по изобретению могут также обладать геометрической изомерией. Понятно, что настоящее изобретение включает отдельные геометрические изомеры и стереоизомеры соединений вышеуказанной формулы (I) и их смеси, включая рацемические смеси. Такие изомеры могут быть выделены из их смесей применением или адаптацией известных способов, к примеру хроматографическими способами и способами перекристаллизации, или их получают раздельно из соответствующих изомеров их промежуточных соединений.
Согласно еще одной отличительной особенности изобретения, кислотно-аддитивные соли соединений по изобретению могут быть получены по реакции свободного основания с соответствующей кислотой с применением или адаптацией известных способов. К примеру, кислотные аддитивные соли соединений по данному изобретению могут быть получены либо растворением свободного основания в воде или водном спиртовом растворе, или в других пригодных растворителях, содержащих соответствующую кислоту, и выделением соли путем упаривания раствора, либо по реакции свободного основания и кислоты в органическом растворителе, в этом случае соли разделяют непосредственно или они могут быть получены путем концентрации раствора.
Соединения по изобретению могут быть восстановлены из их солей с применением или адаптацией известных способов. (Соединения по изобретению могут быть восстановлены из их кислотных аддитивных солей с применением или адаптацией известных способов.) К примеру, исходные соединения по изобретению могут быть восстановлены из их кислотно-аддитивных солей при обработке щелочью, к примеру водным раствором бикарбоната натрия или водным раствором аммиака.
Соединения по изобретению могут быть восстановлены из их основных аддитивных солей с применением или адаптацией известных способов. К примеру, исходные соединения по изобретению могут быть восстановлены из их основных аддитивных солей при обработке кислотой, к примеру соляной кислотой.
Соединения по настоящему изобретению удобно получать, либо они образуются при получении по способу изобретения, в виде сольватов (к примеру, гидратов). Гидраты соединений по данному изобретению удобно получать перекристаллизацией из смеси воды и органических растворителей, используя такие органические растворители, как диоксан, тетрагидрофуран или метанол.
Согласно еще одному аспекту изобретения, основные аддитивные соли соединений по изобретению могут быть получены по реакции свободной кислоты с соответствующим основанием с применением или адаптацией известных способов. К примеру, основные аддитивные соли соединений по данному изобретению могут быть получены либо растворением свободной кислоты в воде или водном спиртовом растворе, или в других пригодных растворителях, содержащих соответствующее основание, и выделением соли путем упаривания раствора, либо по реакции свободной кислоты и основания в органическом растворителе, в этом случае соли разделяют непосредственно или они могут быть получены путем концентрации раствора.
Исходные вещества и промежуточные соединения могут быть получены применением или адаптацией известных способов, к примеру, способами, описанными в стандартных примерах или по их очевидным химическим эквивалентам.
Сложные эфиры формулы (I), где R1, X1, X2, X3, X4, X5 и X6 принимают вышеуказанные значения и где радикалы L1 и Y в одном из X3, X4 и X5 обозначают -R2-R3-мостик (где R2 принимает вышеуказанные значения и R3 обозначает -C(=O)-NH-) и -СО2R16-группу (где R16 принимает вышеуказанные значения) соответственно могут быть получены по реакции соединений формулы (1)
где R1, X1, X2 и X6 принимают вышеуказанные значения и один из X7, X8 и X9 обозначает C-R18 [где R18 обозначает -R2-C(=O)Х10 (где R2 принимает вышеуказанные значения и X10 обозначает гидроксильную группу или атом галогена, предпочтительно атом хлора)], а другие независимо обозначают N или CR10 (где R10 принимает вышеуказанные значения), с аминами формулы (2)
где R1, R16, Ar1 и L2 принимают вышеуказанные значения. Когда X10 обозначает гидроксильную группу, реакция может быть выполнена с применением вышеуказанных стандартных методик пептидного сочетания. Когда X10 обозначает атом галогена, реакция может быть выполнена с помощью основания, такого как пиридин, предпочтительно в растворителе, таком как тетрагидрофуран, и при температуре, близкой к комнатной.
Сложные эфиры формулы (I), где R1, X1, X2, X3, X4, X5 и X6 принимают вышеуказанные значения и где радикалы L1 и Y в одном из X3, X4 и X5 обозначают -R2-R3-мостик [где R2 принимает вышеуказанные значения и R3 обозначает -NR4-C(=O)- (где R4 принимает вышеуказанные значения) и -CO2R16-группу (где R16 принимает вышеуказанные значения) соответственно, могут быть получены по реакции соединений формулы (1), где R1, X1, X2 и X6 принимают вышеуказанные значения, один из X7, X8 и X9 обозначает C-R18 [где R18 обозначает -R2-NHR4 (где R2 и R4 принимают вышеуказанные значения)], а другие независимо обозначают N или CR10 (где R10 принимает вышеуказанные значения), с соединениями формулы (3)
где R16, Ar1, L2, и Х10 принимают вышеуказанные значения, используя вышеуказанные методики для сочетания галоидангидридов кислот с аминами.
Сложные эфиры формулы (I), где R1, X1, X2, X3, X4, X5 и X6 принимают вышеуказанные значения и где радикалы L1 и Y в одной из групп X3, X4 и X5 обозначают -R2-R3-мостик [где R2 принимает вышеуказанные значения и R3 обозначает -О-] и группу -CO2R16 (где R16 принимает вышеуказанные значения) соответственно, могут быть получены по реакции соединений формулы (1), где R1, X1, X2 и X6 принимают вышеуказанные значения, один из X7, X8 и X9 обозначает C-R18 [где R18 обозначает -R2-OH), а другие независимо обозначают N или CR10 (где R10 принимает вышеуказанные значения), с соединениями формулы (4)
где R16, Ar1 и L2 принимают вышеуказанные значения, в присутствии диалкилазодикарбоксилата, такого как диэтилазодикарбоксилат, и трифенилфосфина предпочтительно в сухом эфирном растворителе, к примеру диэтиловом эфире или тетрагидрофуране, предпочтительно при температуре, близкой к комнатной. Или же, сложные эфиры формулы (I), где R1, X1, X2, X3, X4, X5 и X6 принимают вышеуказанные значения и где радикалы L1 и Y в одном из X3, X4 и X5 обозначают -R2-R3-мостик [где R2 принимает вышеуказанные значения и R3 обозначает -О-] и группу -CO2R16 (где R16 принимает вышеуказанные значения) соответственно, могут также быть получены алкилированием соединений формулы (4), где R16, Ar1 и L2 принимают вышеуказанные значения. Реакция может быть осуществлена с применением стандартных условий алкилирования, к примеру, реакции с соответствующими алкилбромидами формулы (I), где R1, Х1, X2 и X6 принимают вышеуказанные значения, один из X7, X8 и X9 обозначает C-R18 [где R18 обозначает -R2-Br (где R2 принимает вышеуказанные значения], а другие независимо обозначают N или CR10 (где R10 принимает вышеуказанные значения).
Сложные эфиры формулы (I), где R1, X1, X2, X3, X4, X5 и X6 принимают вышеуказанные значения и где радикалы L1 и Y в одном из X3, X4 и X5 обозначают -R2-R3-мостик [где R2 принимает вышеуказанные значения и R3 обозначает -S-] и группу -CO2R16 (где R16 принимает вышеуказанные значения) соответственно, могут быть получены похожим способом путем алкилирования соединений формулы (5)
где R16, Ar1 и L2 принимают вышеуказанные значения.
Сложные эфиры формулы (I), где R1, X1, X2, X3, X4, X5 и X6 принимают вышеуказанные значения и где радикалы L1 и Y в одном из X3, X4 и X5 обозначают -R2-R3-мостик [где R2 принимает вышеуказанные значения и R3 обозначает -NR4– (где R4 принимает вышеуказанные значения)] и группу -СО2R16 (где R16 принимает вышеуказанные значения) соответственно, могут быть получены похожим способом путем алкилирования соединений формулы (2), где R4, R16, Ar1 и L2 принимают вышеуказанные значения.
Сложные эфиры формулы (I), где R1, X1, X2, X3, X4, X5 и X6 принимают вышеуказанные значения и где радикалы L1 и Y в одной из групп X3, X4 и X5 обозначают -R2-R3-мостик [где R2 принимает вышеуказанные значения и R3 обозначает -С(=O)-] и группу -СО2R16 (где R16 принимает вышеуказанные значения) соответственно, могут быть получены по реакции соединений формулы (1), где R1, X1, X2 и X6 принимают вышеуказанные значения, один из X7, X8 и X9 обозначает C-R18 [где R18 обозначает -R2-CO2R16 (где R2 и R16 принимают вышеуказанные значения)] с реактивами Гриньяра, полученными при реакции соединений формулы (6)
где R16, Ar1 и L2 принимают вьшгеуказанные значения, с магнием при использовании стандартных условий реакции.
Сложные эфиры формулы (I), где R1, X1, X2, X3, X4, X5 и X6 принимают вышеуказанные значения и где радикалы L1 и Y в одной из групп X3, X4 и X5 обозначают -R2-R3-мостик [где R2 принимает вышеуказанные значения и R3 обозначает -NR4-C(=O)-NH- (где R4 принимает вышеуказанные значения)] и группу -CO2R16 (где R16 принимает вышеуказанные значения) соответственно, могут быть получены по реакции соединений формулы (1), где R1, X1, X2 и X6 принимают вышеуказанные значения, один из X7, X8 и X9 обозначает C-R18 [где R18 обозначает -R2-NHR4 (где R2 и R4 принимают вышеуказанные значения)], а другие независимо обозначают N или CR10 (где R10 принимает вышеуказанные значения), с изоцианатами формулы (7)
где R16, Ar1 и L2 принимают вышеуказанные значения. Реакцию предпочтительно осуществляют с помощью основания, такого как третичный амин, к примеру триэтиламин, предпочтительно в растворителе, таком как дихлорметан, и при температуре, близкой к комнатной.
Сложные эфиры формулы (I), где R1, X1, X2, X3, X4, X5 и X6 принимают вышеуказанные значения и где радикалы L1 и Y в одной из групп X3, X4 и X5 обозначают -R2-R3-мостик [где R2 принимает вышеуказанные значения и R3 обозначает -NH-C(=O)-NR4– (где R4 принимает вышеуказанные значения)] и группу -СО2R16 (где R16 принимает вышеуказанные значения) соответственно, могут быть так же получены по реакции аминов формулы (2), где R4, R16, Аr1 и L2 принимают вышеуказанные значения, с соединениями формулы (I), где R1, X1, X2 и X6 принимают вышеуказанные значения, один из X7, X8 и X9 обозначает C-R18 [где R18 обозначает -R2-N=C=O (где R2 принимает вышеуказанные значения)], а другие независимо обозначают N или CR10 (где R10 принимает вышеуказанные значения).
Сложные эфиры формулы (I), где R1, X1, X2, X3, X4, X5 и X6 принимают вышеуказанные значения и где радикалы L1 и Y в одной из групп X3, X4 и X5 обозначают -R2-R3-мостик [где R2 принимает вышеуказанные значения и R3 обозначает -SO2-NR4– (где R4 принимает вышеуказанные значения)] и группу -CO2R16 (где R16 принимает вышеуказанные значения) соответственно, могут быть получены по реакции соединений формулы (1), где R1, X1, X2 и X6 принимают вышеуказанные значения, один из X7, X8 и X9 обозначает C-R18 [где R18 обозначает -R2-SO2Cl (где R2 принимает вышеуказанные значения), а другие независимо обозначают N или CR10 (где R10 принимает вышеуказанные значения), с аминами формулы (2), где R4, R16, Аr1 и L2 принимают вышеуказанные значения. Реакцию предпочтительно осуществляют с помощью основания, такого как третичный амин, к примеру триэтиламин, предпочтительно в растворителе, таком как тетрагидрофуран, и при температуре, близкой к комнатной.
Сложные эфиры формулы (I), где R1, X1, X2, X3, X4, X5 и X6 принимают вышеуказанные значения и где радикалы L1 и Y в одной из групп X3, X4 и X5 обозначают -R2-R3-мостик [где R2 принимает вышеуказанные значения и R3 обозначает -NR4-SO- (где R4 принимает вышеуказанные значения)] и группу -CO2R16 (где R16 принимает вышеуказанные значения) соответственно, могут быть получены по реакции соединений формулы (1), где R1, X1, X2 и X6 принимают вышеуказанные значения, один из X7, X8 и X9 обозначает C-R18 [где R18 обозначает -R2-NHR4 (где R2 и R4 принимают вышеуказанные значения), а другие независимо обозначают N или CR10 (где R10 принимает вышеуказанные значения), с сульфонилхлоридами формулы (8)
где R16, Ar1 и L2 принимают вышеуказанные значения.
Сложные эфиры формулы (I), где R1, X1, X2, X3, X4, X5 и X6 принимают вышеуказанные значения и где радикалы L1 и Y в одной из групп X3, X4 и X5 обозначают -R2-R3-мостик [где R2 принимает вышеуказанные значения и R3 обозначает -O-C(=O)-O-] и группу -CO2R16 (где R16 принимает вышеуказанные значения) соответственно, могут так же быть получены путем O-ацилирования соединений формулы (1), где R1, X1, X2 и X6 принимают вышеуказанные значения, один из X7, X8 и X9 обозначает С-R18 [где R18 обозначает -R2-OH (где R2 принимает вышеуказанные значения), а другие независимо обозначают N или CR10 (где R10 принимает вышеуказанные значения), с соединениями формулы (3), где R16, Ar1 и L2 принимают вышеуказанные значения X10 обозначает атом галогена. Реакция может быть осуществлена с применением стандартных условий О-ацилирования, к примеру, реакции с хлорангидридами кислот формулы (3), где 10 обозначает атом хлора.
Сложные эфиры формулы (I), где R1, X1, X2, X3, X4, X5 и X6 принимают вышеуказанные значения и где радикалы L1 и Y в одной из групп X3, X4 и X5 обозначают -R2-R3-мостик [где R2 принимает вышеуказанные значения и R3 обозначает -O-С(=O)-O-] и группу -СО2R16 (где R16 принимает вышеуказанные значения) соответственно, могут так же быть получены путем O-ацилирования соединений формулы (4), где R16, Ar1 и L2 принимают вышеуказанные значения, с соединениями формулы (1), где R1, X1, X2 и X6 принимают вышеуказанные значения, один из X7, X8 и X9 обозначает C-R18 [где R18 обозначает -R2-C(=O)X10 (где R2 принимает вышеуказанные значения и X10 обозначает атом галогена)], а другие независимо обозначают N или CR10 (где R10 принимает вышеуказанные значения).
Сложные эфиры формулы (I), где R1, X1, X2, X3, X4, X5 и X6 принимают вышеуказанные значения и где радикалы L1 и Y в одной из групп X3, X4 и X5 обозначают -R2-R3-мостик [где R2 принимает вышеуказанные значения и R3 обозначает -O-С(=O)-NH-] и группу -CO2R16 (где R16 принимает вышеуказанные значения) соответственно, могут быть получены по реакции соединений формулы (1), где R1, X1, X2 и X6 принимают вышеуказанные значения, один из X7, X8 и X9 обозначает C-R18 [где R18 обозначает -R2-OH (где R2 принимает вышеуказанные значения)], а другие независимо обозначают N или CR10 (где R10 принимает вышеуказанные значения), с изоцианатами формулы (7), где R15, Аr1 и L2 принимают вышеуказанные значения. Реакцию предпочтительно осуществлять с помощью основания, такого как третичный амин, к примеру триэтиламин, предпочтительно в растворителе, таком как дихлорметан, и при температуре, близкой к комнатной.
Сложные эфиры формулы (I), где R1, X1, X2, X3, X4, X5 и X6 принимают вышеуказанные значения и где радикалы L1 и Y в одной из групп X3, X4 и X5 обозначают -R2-R3-мостик [где R2 принимает вышеуказанные значения и R3 обозначает -NH-C(=O)-O-] и группу -CO2R16 (где R16 принимает вышеуказанные значения) соответственно, могут быть так же получены по реакции соединений формулы (1), где 1, X1, X2 и X6 принимают вышеуказанные значения, один из X7, X8 и X9 обозначает C-R18 [где R18 обозначает -R2-N=С=О (где R2 принимает вышеуказанные значения)], а другие независимо обозначают N или CR10 (где R10 принимает вышеуказанные значения), с изоцианатами формулы (4), где R16, Аr1 и L2 принимают вышеуказанные значения.
Сложные эфиры формулы (I), где R1, X1, X2, X3, X4, X5 и X6 принимают вышеуказанные значения и где один из X3, X4 и X5 обозначает С-R2-R3-Аr1L2-СО2R16, где R3 обозначает непосредственную химическую связь, R2 обозначает линейную или разветвленную цепь С2-6алкенилена, где двойная углерод-углеродная связь непосредственно соединена с Аr1, и R16 принимает вышеуказанные значения, могут быть получены из соединений формулы (9)
где R16, Ar1 и L2 принимают вышеуказанные значения, с применением стандартных методик сочетания по Виттигу с соответствующим фосфораном, полученным по реакции соответствующих соединений формулы (1), где R1, X1, X2 и X6 принимают вытеуказанные значения, один из X7, X8 и X9 обозначает C-R18 [где R18 обозначает -R2-Br (где R2 обозначает линейную или разветвленную цепь С1-5алкенилена) ], а другие независимо обозначают N или CR10 (где R10 принимает вышеуказанные значения), с трифенилфосфином и последующей обработкой основанием с применением стандартных методик.
Сложные эфиры формулы (I), где R1, Х1, X2, X3, X4, X5 и X6 принимают вышеуказанные значения, Y обозначает -CO2R16 и радикал L2 в одной из групп X3, X4 и X5 обозначает алкиленовый мостик, замещенный -NY1Y2 (где один из Y1 и Y2 обозначает водород, а другой обозначает алкил или алкил, замещенный алкокси, арилом, циано, циклоалкилом, гетероарилом, гетероциклоалкилом, гидрокси, оксо, -NY1Y2 или одной или более группами -CO2R12 или -С(=O)-NY1Y2), могут быть получены по реакции сложных эфиров формулы (1), где R, Х1, Х2, Х3, Х4, X5 и X6 принимают вышеуказанные значения, Y обозначает -CO2R16 и радикал L2 в одной из групп X3, X4 и X5 обозначает алкиленовый мостик, замещенный -NH2, с альдегидами формулы (10)
где R19 обозначает алкил, замещенный алкокси, арилом, циано, циклоалкилом, гетероарилом, гетероциклоалкилом, гидрокси, оксо, -NY1Y2 или одной или более группами -CO2R12 или -С(=O)-NY1Y2, в присутствии цианоборогидрида натрия. Реакция обычно может быть проведена в метаноле, необязательно в присутствии ацетата натрия и молекулярных сит А4 и при температуре, близкой к комнатной.
Сложные эфиры формулы (I), где R1, X1, X2, X3, X4, X5 и X6 принимают вышеуказанные значения, Y обозначает -CO2R16 и радикал L2 в одной из групп X3, X4 и X5 содержит группу -N(R4)-С(=O)-R13, могут быть получены по реакции аминов формулы (1), где R1, X1, X2, X3, X4, X5 и X6 принимают вышеуказанные значения, Y обозначает -CO2R16 и радикал L2 в одной из групп X3, X4 и X5 содержит группу -NH(R4), с соединениями формулы (11)
где R13 и X10 принимают вышеуказанные значения. Когда X10 обозначает гидроксильную группу, реакция может быть проведена с применением вышеуказанных стандартных методик пептидного сочетания. Когда X10 обозначает атом галогена, реакция может быть осуществлена с помощью основания, такого как пиридин, предпочтительно в растворителе, таком как тетрагидрофуран, и при температуре, близкой к комнатной.
Сложные эфиры формулы (I), где R1, X1, X2, X3, X4, X3 и X6 принимают вышеуказанные значения, Y обозначает -CO2R16 и радикал L2 в одной из групп X3, X4 и X5 содержит группу -N(R4)-С(=O)-OR13, могут быть получены по реакции аминов формулы (1), где R1, X1, X2, X3, X4, X5 и X6 принимают вышеуказанные значения, Y обозначает -CO2R16 и радикал L2 в одной из групп X3, X4 и X5 содержит группу -NH(R4), с соответствующим хлорформиатом, к примеру соединениями этил- (или бензил-) хлорформиата, в стандартных реакционных условиях.
Сложные эфиры формулы (I), где R1, X1, X2, X3, X4, X5 и X6 принимают вышеуказанные значения, Y обозначает -COsR16 и радикал L2 в одной из групп X3, X4 и X5 содержит группу -N(R4)-SO2-R13, могут быть получены по реакции аминов формулы (I), где R1, X1, X2, X3, X4, X5 и X6 принимают вышеуказанные значения, Y обозначает -CO2R16 и радикал L2 в одной из групп X3, X4 и X5 содержит группу -NH(R4), с соответствующим сульфонилхлоридом, к примеру фенил- (или пиридил-) сульфонилхлоридом, в стандартных реакционных условиях.
Сложные эфиры формулы (I), где R1, X1, X2, X3, X4, X5 и X6 принимают вышеуказанные значения, Y обозначает -CO2R16 и радикал L2 в одной из групп X3, X4 и X5 обозначает
могут быть получены гидрированием сложных эфиров формулы (I), где R1, X1, X2, X3, X4, X5 и X6 принимают вышеуказанные значения, Y обозначает -CO2R16 и радикал L2 в одной из групп X3, X4 и X5 обозначает
Реакция может быть проведена в присутствии муравьиной кислоты и подходящего металлического катализатора, к примеру палладия, нанесенного на инертный носитель, такой как углерод, при температуре порядка 60°С. Реакция обычно может быть проведена в присутствии подходящего металлического катализатора, к примеру платины или палладия, необязательно нанесенного на инертный носитель, такой как углерод, предпочтительно в растворителе, таком как метанол или этанол.
Сложные эфиры формулы (I), где R1, X1, X2, X3, X4, X5 и X6 принимают вышеуказанные значения, Y обозначает -CO2R16 и радикал L2 в одной из групп X3, X4 и X5 обозначает
выше указанные значения, Y обозначает -CO2R16 и радикал L2 в одной из групп X3, X4 и X5 обозначает
Сложные эфиры формулы (I), где R1, X1, X2, X3, X4, X5 и X6 принимают вышеуказанные значения, Y обозначает -CO2R16 и радикал L2 в одной из групп Х3, X4 и X5 обозначает
или
могут так же быть получены последующей стандартной перекристаллизацией солей рацемической смеси, к примеру перекристаллизацией соли-тартрата.
Сложные эфиры формулы (I), где R1, X1, X2, X3, X4, X5 и X6 принимают вышеуказанные значения, Y обозначает -CO2R10 и радикал L2 в одной из групп X3, X4 и X5 обозначает
или
могут так же быть получены с применением стандартных методик ферментативного разделения, к примеру, описанных Soloshonok V.A. et.al., Tetrahedrone: Asymmetry 6 (1995), 7, 1601-1610.
Сложные эфиры формулы (I), где R1, X1, X2, X3, X4, X5 и X6 принимают вышеуказанные значения, Y обозначает -CO2R16 и радикал L2 в одной из групп X3, X4 и X5 обозначает
или
могут быть получены по реакции сложных эфиров формулы (I), где R1, X1, X2, X3, X4, X5 и X6 принимают вышеуказанные значения, Y обозначает -CO2R16 и радикал L2 в одной из групп X3, X4 и X5 обозначает -СН=СН-мостик, с гидридом щелочного металла, таким как гидрид натрия, в инертном растворителе, к примеру тетрагидрофуране, при температуре, близкой к комнатной, и последующей реакцией с анионом, полученным при обработке дибензиламина, или (3) -N-бензил- -метилбензиламина, бутиллитием, при температуре около -78°С.
Сложные эфиры формулы (I), где R1, X1, X2, X3, X4, X5 и X6 принимают вышеуказанные значения, Y обозначает -СО2R16 и радикал L2 в одной из групп X3, X4 и X5 обозначает -СН=СН-мостик, могут быть получены по реакции соединений формулы (1), где R1, X1, X2 и X6 принимают вышеуказанные значения, один из X7, X8 и X9 обозначает C-R18 [где R18 обозначает -R2-R3-Ar-I (где R2, R3, и Аr1 принимают вышеуказанные значения), а другие независимо обозначают N или CR10 (где R10 принимает вышеуказанные значения), с эфиром акриловой кислоты, таким как трет-бутилакрилат, в присутствии ацетата палладия, триарилфосфина, такого как три(2-метилфенил)фосфин, и третичного амина, такого как трибутиламин, в инертном растворителе, таком как диметилформамид, и при температуре порядка 100°С.
Соединения формулы (1), где R1, X1, X2 и X6 принимают вышеуказанные значения, один из X7, X8 и X9 обозначает C-R18 [где R18 принимает вышеуказанные значения или обозначает соответственно защищенное производное), а другие независимо обозначают N или CR10 (где R10 принимает вышеуказанные значения), могут быть получены, как указано в описании международной патентной заявки №WO 96/22966.
Соединения формулы (2), где R16, Аr1 и L2 принимают вышеуказанные значения и R4 обозначает водород, могут быть получены восстановлением соответствующих нитросоединений. Восстановление можно осуществлять с применением железа в порошке и хлористого аммония в водном этаноле при температуре, близкой к температуре перегонки. Восстановление можно осуществлять гидрированием с применением стандартных условий, к примеру условий, указанных выше.
Промежуточные соединения формул (смола 3), (смола 4), (смола 6) и (смола 7) являются новыми соединениями и как таковые они сами и описанные здесь способы их получения составляют дополнительные аспект настоящего изобретения.
Настоящее изобретение дополнительно раскрывается, но не ограничивается, последующими иллюстративными примерами и стандартными (ссылочными) примерами.
Масс-спектр снимают на масс-спектрометре Micromass Platform II с вмонтированным источником электрораспыления и жидкостным хроматографом НР1100, используя в качестве подвижной фазы смесь ацетонитрила и воды (1:1, в отношении объемов), скорость потока 0,3 мл/мин, впрыскиваемый объем 20 мкл, рабочее время 2,0 минуты, интервал сканирования 150-850 дальтон положительный/отрицательный, время сканирования 2,0 секунды, ESI-напряжение 3,5 киловольт, ESI-давление азота 20 н/м2. Регистрируются положительные ионы.
ПРИМЕР 1
(5-{4-[3-(2-Метилфенил)уреидо]-фенилацетиламино}пирид-2-ил)-тиоуксусная кислота
Смесь метилового эфира 5-амино-(пирид-2-ил)-тиоуксусной кислоты [930 мг, стандартный (ссылочный) пример 1(а)], 4-[3-(2-метилфенил)уреидо]-фенилуксусной кислоты (1,26 г, полученной по описанию примера 21 международной патентной заявки №WO 96/22966), О-(7-азабензотриазол-1-ил)-1,1,3,3-тетраметилуронийгексафторфосфата (1,69 г) и диизопропилэтиламина (1,2 г) в диметилформамиде (50 мл) перемешивают при температуре окружающей среды в течение 1 часа. Смесь упаривают и затем выливают в воду (500 мл). Полученный твердый продукт промывают водой (50 мл) и затем дважды промывают диэтиловым эфиром (50 мл). Твердый продукт суспендируют в метаноле (100 мл), после чего обрабатывают раствором гидроокиси натрия (10 мл, 1 М). Смесь нагревают при температуре кипения с обратным холодильником в течение 5 часов, затем охлаждают и упаривают. Полученный остаток обрабатывают соляной кислотой (200 мл, 1 М). Образовавшийся твердый продукт фильтруют, промывают водой (20 мл) и затем дважды промывают диэтиловым эфиром (20 мл), после чего перекристаллизовывают из этанола, получая указанное в заглавии соединение (220 мг) в виде желтого твердого вещества, т.пл. >235°С (с разложением). МС: NH+ 451.
ПРИМЕР 2
(а) 3-(5-{3-Метокси-4-[3-(2-метилфенил)уреидо]-фенилацетиламино}пирид-2-ил)-пропановая кислота
Перемешиваемую смесь этилового эфира 3-(5-{3-метокси-4-[3-(2-метилфенил)уреидо]-фенилацетиламино}пирид-2-ил)-пропановой кислоты [0,62 г, стандартный пример 3(а)] и этанола (40 мл) обрабатывают 4% водным раствором гидроокиси натрия (3,2 мл) и затем нагревают до 50°С. После перемешивания при 50°С в течение 7 часов реакционную смесь охлаждают и затем оставляют стоять при комнатной температуре в течение ночи. Реакционную смесь частично концентрируют в вакууме, промывают диэтиловым эфиром и затем подкисляют до рН 1,0, добавляя соляную кислоту (1 М). Полученный белый твердый продукт собирают, промывают водой и затем сушат в вакууме. Перекристаллизация из водного ацетонитрила дает указанное в заглавии соединение (0,32 г) в виде белого кристаллического вещества, т.пл. 191-192°С (с разложением). МС: NH+ 463.
(b) Обрабатывая способом, аналогичным примеру 2(а), но используя этиловый эфир 3-(5-{3-метокси-4-[3-(2-метилфенил)уреидо]-фенилацетиламино}пирид-2-ил)-метилпропановой кислоты [стандартный пример 3(b)], получают 3-(5-{3-метокси-4-[3-(2-метилфенил)уреидо]-фенилацетиламино}пирид-2-ил)-метилпропановую кислоту, т.пл. 196-197°С (с разложением). МС: NH+ 477. Элементный анализ: С 65,2; Н 6,1; N 11,6%. Рассчитано для С26Н28N4O5: С 65,5; Н 5,9; N 11, 8%].
(c) Обрабатывая способом, аналогичным примеру 2(а), но используя этиловый эфир 3-(6-{3-метокси-4-[3-(2-метилфенил)уреидо]-фенилацетиламино}пирид-3-ил)-пропановой кислоты [стандартный пример 3 (с)], получают 3-(6-{3-метокси-4-[3-(2-метилфенил)уреидо]-фенилацетиламино}пирид-3-ил)-пропановую кислоту, т.пл. 175-176°С (с разложением). МС: NH+ 463. Элементный анализ: С 64,9; Н 5,7; N 12,1%. Рассчитано для C25H26N4O5: С 64,9; Н 5,7; N 12,0%].
ПРИМЕР 3
(a) (R)-3-(4-{3-Метокси-4-[3-(2-метилфенил)уреидо]-фенилацетиламино}фенил)-пропановая кислота
трет-Бутиловый эфир (R)-3-(4-{3-метокси-4-[3-(2-метилфенил)уреидо]-фенилацетиламино}фенил)-3-(метансульфониламино)-пропановой кислоты [55 мг, стандартный пример 6(а)] растворяют в безводной трифторуксусной кислоте (2 мл) и оставляют стоять при комнатной температуре на 30 минут. Реакционную смесь упаривают и остаток растирают с диэтиловым эфиром, получая указанное в заглавии соединение (42 мг) в виде аморфного белого вещества. МС: NH+ 555. Элементный анализ: С 55,3; Н 5,1; N 9,2%. Рассчитано для C27H30N4O7S: С 58,5; Н 5,45; N 10,1%.
(b) Обрабатывая способом, аналогичным примеру 3(а), но используя трет-бутиловый эфир 3-(ацетиламино)-3-(4-{3-метокси-4-[3-(2-метилфенил)уреидо]-фенилацетиламино}фенил)-пропановой кислоты [стандартный пример 6(b)], получают 3-(ацетиламино)-3-(4-{3-метокси-4-[3-(2-метилфенил)уреидо]-фенилацетиламино}фенил)-пропановую кислоту. МС: NH+ 519.
Элементный анализ: С 61,9; Н 5,05; N 10,1%. Рассчитано для C28H30N4O6: С 64,8; Н 5,8; N 10,8%.
(c) Обрабатывая способом, аналогичным примеру 3(а), но используя трет-бутиловый эфир 3-(4-{3-метокси-4-[3-(2-метилфенил)уреидо]-фенилацетиламино}фенил)-3-(бензоиламино)-пропановой кислоты [стандартный пример 6(с)], получают 3-(бензоиламино)-3-(4-{3-метокси-4-[3-(2-метилфенил)уреидо]-фенилацетиламино}фенил)-пропановую кислоту. МС: MNa+ 603.
Элементный анализ: С 66,65; Н 5,05; N 9,35%. Рассчитано для 33H32N4O6: С 68,3; Н 5,55; N 9,65%.
(d) Обрабатывая способом, аналогичным примеру 3(а), но используя трет-бутиловый эфир 3-(4-{3-метокси-4-[3-(2-метилфенил)уреидо]-фенилацетиламино}фенил)-3-(пиридин-3-карбониламино)-пропановой кислоты [стандартный пример 6(d)], получают трифторацетатную соль 3-(4-{3-метокси-4-[3-(2-метилфенил)уреидо]-фенилацетиламино}фенил)-3-(пиридин-3-карбониламино)-пропановой кислоты. МС: МН+ 582. Элементный анализ: С 56,85; Н 4,4; N 9,65%. Рассчитано для С32Н31N5O6·СF3СO2Н: С 58,7; Н 4,6; N 10,05%.
(e) Обрабатывая способом, аналогичным примеру 3(а), но используя трет-бутиловый эфир (R)-3-амино-3-(4-{3-метокси-4-[3-(2-метилфенил)уреидо]-фенилацетиламино}фенил)-пропановой кислоты [стандартный пример 7(а)], получают трифторацетатную соль (R)-3-амино-3-(4-{3-метокси-4-[3-(2-метилфенил)уреидо]-фенилацетиламино}фенил)-пропановой кислоты. МС:
МН+ 477. Элементный анализ: С 55,55; Н 5,15; N 9,3%. Рассчитано для C26H28N4O5·CF3CO2H: С 56,9; Н 4,95; N 9,5%.
(f) Обрабатывая способом, аналогичным примеру 3(а), но используя трет-бутиловый эфир 3-амино-3-(4-{3-метокси-4-[3-(2-метилфенил)уреидо]-фенилацетиламино}фенил)-пропановой кислоты [стандартный пример 7 (b)], получают ди-трифторацетатную соль 3-амино-3-(4-{3-метокси-4-[3-(2-метилфенил)уреидо]-фенилацетиламино}фенил)-пропановой кислоты. МС: МН+ 477. Элементный анализ: С 51,95; Н 4,3; N 8,4%. Рассчитано для C26H28N4O5·2CF3CO2H: С 51,1; Н 4,5; N 7,95%.
(g) Обрабатывая способом, аналогичным примеру 3(а), но используя трет-бутиловый эфир 3-(н-бутиламино)-3-(4-{3-метокси-4-[3-(2-метилфенил)уреидо]-фенилацетиламино}фенил)-пропановой кислоты [стандартный пример 10(а)], получают трифторацетатную соль 3-(н-бутиламино)-3-(4-{3-метокси-4-[3-(2-метилфенил)уреидо]-фенилацетиламино}фенил)-пропановой кислоты, т.пл. 110-130°С (аморфное.). МС: МН+ 533.
(h) Обрабатывая способом, аналогичным примеру 3(а), но используя трет-бутиловый эфир 3-бензиламино-3-(4-{3-метокси-4-[3-(2-метилфенил)уреидо]-фенилацетиламино}фенил)-пропановой кислоты [стандартный пример 10(b)], получают трифторацетатную соль 3-бензиламино-3-(4-(3-метокси-4-[3-(2-метилфенил)уреидо]-фенилацетиламино}фенил)-пропановой кислоты. МС: MH+ 566. Элементный анализ: С 61,05; Н 5,05; N 8,0%. Рассчитано для С33H34N4О5·СF3СO2Н: С 61,75; Н 5,2; N 8,2%.
(i) Обрабатывая способом, аналогичным примеру 3(а), но используя трет-бутиловый эфир 3-(4-{3-метокси-4-[3-(2-метилфенил)уреидо]-фенилацетиламино}фенил)-3-(2-фенилэтиламино)-пропановой кислоты [стандартный пример 10(с)], получают трифторацетатную соль 3-(4-{3-метокси-4-[3-(2-метилфенил)уреидо]-фенилацетиламино}фенил)-3-(2-фенилэтиламино)-пропановой кислоты, т.пл. 105-140°С (аморф.). МС: МН+ 580.
(j) Обрабатывая способом, аналогичным примеру 3(а), но используя метиловый эфир (R)-3-[(1-трет-бутоксикарбонилметилпиперидин-4-карбонил)-амино-3-(4-{3-метокси-4-[3-(2-метилфенил)уреидо]-фенилацетиламино}фенил)-пропановой кислоты [стандартный пример 37(b)], получают трифторацетатную соль (R)-3-[(1-карбоксиметилпиперидин-4-карбонил)-амино-3-(4-{3-метокси-4-[3-(2-метилфенил)уреидо]-фенилацетиламино}фенил)-пропановой кислоты. МС: МН+ 660.
ПРИМЕР 4
Хлористоводородная соль 3-(4-{3-метокси-4-[3-(2-метилфенил)уреидо]-фенилацетиламино}фенил)-3-(морфолин-4-ил)-пропановой кислоты
(a) Смесь трет-бутилового эфира 3-(4-{3-метокси-4-[3-(2-метилфенил)уреидо]-фенилацетиламино}фенил)-3-(морфолин-4-ил)-пропановой кислоты [100 мг, стандартный пример 11(а)], безводной трифторуксусной кислоты (3 мл) и дихлорметана (5 мл) оставляют стоять при температуре окружающей среды на 1 час. Реакционную смесь упаривают и остаток распределяют между этилацетатом и 1,0 М соляной кислотой. Водный слой упаривают и остаток растирают со смесью метанола и диэтилового эфира, получая указанное в заглавии соединение (46 мг) в виде белого твердого вещества, т.пл. 164-171°С (аморфное). МС: MH+ 547.
(b) Обрабатывая способом, аналогичным примеру 4(а), но используя трет-бутиловый эфир 3-(4-{3-метокси-4-[3-(2-метилфенил)уреидо]-фенилацетиламино}фенил)-3-(4-метилпиперазин-1-ил)-пропановой кислоты [стандартный пример 11(b)], получают хлористоводородную соль 3-(4-{3-метокси-4-[3-(2-метилфенил)уреидо]-фенилацетиламино}фенил)-3-(4-метилпиперазин-1-ил)-пропановой кислоты, т.пл. 174-184°С (аморфное). МС: МH+ 560.
(с) Обрабатывая способом, аналогичным примеру 4(а), но используя трет-бутиловый эфир (R)-3-(N-ацетил-N-метиламино)-3-(4-{4-[3-(2-метилфенил)уреидо]-фенилацетил-N-метиламино}фенил)-пропионовой кислоты (0,65 г, стандартный пример 21), получают (R)-3-(N-ацетил-N-метиламино)-3-(4-{4-[3-(2-метилфенил)уреидо]-фенилацетил-N-метиламино}фенил)-пропионовую кислоту в виде белой пены. ЖХВР: время удерживания (RT)=11,9 минут. М– 515 (ES–).
ПРИМЕР 5
(R)-3-Бензоиламино-3-(4-{3-метокси-4-[3-(2-метилфенил)уреидо]фенилацетиламино}фенил)-пропановая кислота
Смесь метилового эфира (R)-3-бензоиламино-3-(4-{3-метокси-4-[3-(2-метилфенил)уреидо]фенилацетиламино}фенил)-пропановой кислоты [4,08 г, стандартный пример 12(а)] и метанола (40 мл) нагревают до 40°С и затем обрабатывают 10% водным раствором гидроокиси натрия (34 мл). После перемешивания при 40°С в течение 2,5 часов реакционную смесь охлаждают и затем подкисляют до рН 1,0, добавляя соляную кислоту (1 М). Полученный белый твердый продукт собирают, промывают водой и затем сушат в вакууме. Перекристаллизация из уксусной кислоты дает указанное в заглавии соединение в виде белого кристаллического вещества (3,2 г), т.пл. 220-222°С. МС: MH+ 581. [Элементный анализ: С 68,0; Н 5,4; N 9,5%. Рассчитано для С33Н32N4О6: С 68,3; Н 5,6; N 9,65%.
99% ее (исключая ошибки) по ЖХВР-анализу на колонке CHIRALPAK AD F294, элюирование гептаном:изопропанолом:этанолом:трифторуксусной кислотой (200:25:25:1) при скорости 0,7 мл/мин.
(b) Полугидрат (R)-3-ацетиламино-3-(4-{3-метокси-4-[3-(2-метилфенил)уреидо]фенилацетиламино}фенил)-пропановой кислоты
Обрабатывая способом, аналогичным примеру 5(а), но используя метиловый эфир (R)-3-ацетиламино-3-(4-{3-метокси-4-[3-(2-метилфенил)уреидо]фенилацетиламино}фенил)-пропановой кислоты [стандартный пример 12(b)] и гидроокись лития вместо гидроокиси натрия, получают полугидрат (R)-3-ацетиламино-3-(4-{3-метокси-4-[3-(2-метилфенил)уреидо]фенил-ацетиламино}фенил)-пропановой кислоты, т.пл. 244°С (с разложением). МС: МН+ 519. Элементный анализ: С 63,8; Н 5,5; N 10,5%. Рассчитано для С28Н30N4O6·0,5 H2O: С 63,75; Н 5,9; N 10,6%.
99% ее по ЖХВР-анализу на колонке CHIRALPAK AD F294, элюирование гептаном, изопропанолом, этанолом и трифторуксусной кислотой (200:25:25:1 в отношении объемов) при скорости 0,7 мл/мин (RT R-изомера=36,5 минут; RT энантиомера=47,4 минуты).
(с) Обрабатывая способом, аналогичным примеру 5(а), но используя метиловый эфир (R)-3-бензилоксикарбониламино-3-(4{3-метокси-4-[3-(2-метилфенил)уреидо]-фенилацетиламино}фенил)-пропановой кислоты [стандартный пример 12(с)], получают (R)-3-бензилоксикарбониламино-3-(4-{3-метокси-4-[3-(2-метилфенил)уреидо]-фенилацетиламино}фенил)-пропановую кислоту, т.пл. 170-173°С (с разложением). МС: МH+ 611. Элементный анализ: С 65,7; Н 5,4; N 8,9%. Рассчитано для С34Н34N4O7·0,5 Н2O: С 65,9; Н 5,7; N 9,0%.
d) Обрабатывая способом, аналогичным примеру 5(а), но используя метиловый эфир (R)-3-фенилсульфониламино-3-(4-{3-метокси-4-[3-(2-метилфенил)уреидо]-фенилацетиламино}фенил)-пропановой кислоты [стандартный пример 12(d)], получают (R)-3-фенилсульфониламино-3-(4-{3-метокси-4-[3-(2-метилфенил)-уреидо]-фенилацетиламино}фенил)-пропановую кислоту, т.пл. 181-184°С (с разложением). МС: МН+ 617. Элементный анализ: С 61,6; Н 5,1; N 9,0%. Рассчитано для С32Н32N4O7S·0,25 Н2О: С 61,9; Н 5,3; N 9,0%.
(е) Обрабатывая способом, аналогичным примеру 5(а), но используя метиловый эфир (R)-3-(пиридин-3-карбониламино)-3-(4-{3-метокси-4-[3-(2-метилфенил)уреидо]-фенилацетиламино}-фенил)-пропановой кислоты [стандартный пример 12(е)], получают (R)-3-(пиридин-3-карбониламино)-3-(4-{3-метокси-4-[3-(2-метилфенил)уреидо]-фенилацетиламино}фенил)-пропановую кислоту, т.пл. 218-220°С. МС: MH+ 582. Элементный анализ: С 62,3; Н 5,1; N 11,1%. Рассчитано для С32Н31N5O6S·2 Н2О: С 62,2; Н 5,8; N 11,4%.
(f) Обрабатывая способом, аналогичным примеру 5(а), но используя метиловый эфир (R)-3-(пиридин-3-сульфониламино)-3-(4-{3-метокси-4-[3-(2-метилфенил)уреидо]-фенилацетиламино}фенил)-пропановой кислоты [стандартный пример 12(f)], получают (R)-3-(пиридин-3-сульфониламино)-3-(4-{3-метокси-4-[3-(2-метилфенил)уреидо]-фенилацетиламино}фенил)-пропановую кислоту, т.пл. 191-193°С. МС: МН+ 618. Элементный анализ: С 58,5; Н 5,1; N 11,0%. Рассчитано для С31Н31N5О7S·Н2О: С 58,6; Н 5,0; N 11,0%.
(g) Обрабатывая способом, аналогичным примеру 5(а), но используя метиловый эфир (R)-3-(5-диметиламино-1-нафталинсульфониламино)-3-(4-{3-метокси-4-[3-(2-метилфенил)уреидо]-фенилацетиламино}фенил)-пропановой кислоты [стандартный пример 29(а)], получают (R)-3-(5-диметиламино-1-нафталинсульфониламино)-3-(4-{3-метокси-4-[3-(2-метилфенил)уреидо]-фенилацетиламино}фенил)-пропановую кислоту, т.пл. 160°С (с разложением). МС: МН+ 710. Элементный анализ: С 62,8; Н 6,2; N 9,3%. Рассчитано для C38H39N5O7S·H2O·C3H8O: С 62,5; Н 6,3; N 8,9%.
(h) Обрабатывая способом, аналогичным примеру 5(а), но используя метиловый эфир (R)-3-(4-карбоксибутаноиламино)-3-(4-{3-метокси-4-[3-(2-метилфенил)уреидо]-фенилацетиламино}фенил)-пропановой кислоты [стандартный пример 28 (а)], получают (R)-3-(4-карбоксибутаноиламино)-3-(4-{3-метокси-4-[3-(2-метилфенил)уреидо]-фенилацетиламино}фенил)-пропановую кислоту, т.пл. 217-219°С. МС: МH+ 591. Элементный анализ: С 62,3; Н 5,4; N 9,45%. Рассчитано для С31Н34N4O8·0,5Н2O: С 62, 1; Н 5, 9; N 9,3%.
(i) Обрабатывая способом, аналогичным примеру 5(а), но используя метиловый эфир (R)-3-(3-карбоксипропаноиламино)-3(4-{3-метокси-4-[3-(2-метилфенил)уреидо]-фенилацетиламино}фенил)-пропановой кислоты [стандартный пример 28(b)], получают (R)-3-(3-карбоксипропаноиламино)-3-(4-(3-метокси-4-[3-(2-метилфенил)уреидо]-фенилацетиламино}фенил)-пропановую кислоту, т.пл. 177-180°С. МС: МН+ 577. Элементный анализ: С 60,6; Н 5,3; N 9,2%. Рассчитано для С32Н32N4О8·Н2О: С 60, 6; Н 5,75; N 9,4%.
(j) Обрабатывая способом, аналогичным примеру 5(а), но используя метиловый эфир (R)-3-(1-метилимидазол-4-илсульфониламино)-3-(4-{3-метокси-4-[3-(2-метилфенил)уреидо]-фенилацетиламино}фенил)-пропановой кислоты [стандартный пример 29(b)], получают (R)-3-(1-метилимидазол-4-илсульфониламино)-3-(4-{3-метокси-4-[3-(2-метилфенил)уреидо]-фенилацетиламино}фенил)-пропановую кислоту, т.пл. 194-195°С. МС: МН+ 621.
(k) Обрабатывая способом, аналогичным примеру 5(а), но используя метиловый эфир (R)-3-(N-ацетил-N-метиламино)-3-(4-{3-метокси-4-[3-(2-метилфенил)уреидо]-фенилацетиламино}фенил)-пропановой кислоты [стандартный пример 12(g)], получают (R)-3-(N-ацетил-N-метиламино)-3-(4-{3-метокси-4-[3-(2-метилфенил)уреидо]-фенилацетиламино}фенил)-пропановую кислоту, т. пл. 227-229°С. МС: MH+ 533.
(l) Обрабатывая способом, аналогичным примеру 5(а), но используя метиловый эфир (R)-3-(N-метансульфонилметиламино)-3-(4-{3-метокси-4-[3-(2-метилфенил)уреидо]-фенилацетиламино}фенил)-пропановой кислоты [стандартный пример 12(h)], получают (R)-3-(N-метансульфонилметиламино)-3-(4-{3-метокси-4-[3-(2-метилфенил)уреидо]-фенилацетиламино}фенил)-пропановую кислоту, т.пл. 201-203°С. МС: МH+ 569.
(m) Обрабатывая способом, аналогичным примеру 5(а), но используя метиловый эфир (R)-3-[(морфолин-1-ил)-ацетиламино)]-3-(4-{3-метокси-4-[3-(2-метилфенил)уреидо]-фенилацетиламино}фенил)-пропановой кислоты [стандартный пример 37(а)], получают (R)-3-(морфолин-1-илацетиламино)-3-(4-{3-метокси-4-[3-(2-метилфенил)уреидо]-фенилацетиламино}фенил)-пропановую кислоту, т.пл. 183-184°С. МС: МН+ 604.
(n) Обрабатывая способом, аналогичным примеру 5(а), но используя метиловый эфир (R)-3-ацетиламино-3-(4-{3-метилтио-4-[3-(2-метилфенил)уреидо]-фенилацетиламино}фенил)-пропановой кислоты [стандартный пример 12(m)], получают (R)-3-ацетиламино-3-[4-{3-метилтио-4-[3-(2-метилфенил)уреидо]-фенилацетиламино}фенил)-пропановую кислоту, т.пл. 205-207°С. МС: MH+ 535. Элементный анализ: С 61,4; H 5,6; N 10,0%. Рассчитано для C28H30N4O5S: С 62,9; H 5,6; N 10,5%.
(о) Обрабатывая способом, аналогичным примеру 5(а), но используя метиловый эфир (R)-3-ацетиламино-3-(4-{3-метилсульфинил-4-[3-(2-метилфенил)уреидо]-фенилацетиламино}фенил)-пропановой кислоты [стандартный пример 12(n) ], получают (R)-3-ацетиламино-3-(4-{3-метилсульфинил-4-[3-(2-метилфенил)уреидо]-фенилацетиламино}фенил)-пропановую кислоту, т. пл. 202-295°С. МС: МН+ 551. Элементный анализ: С 56,3; Н 5,2; N 9,4%. Рассчитано для С28Н30N4O6S·0,25Н2O: С 56,5; Н 5,9; N 9,4%.
(р) Обрабатывая способом, аналогичным примеру 5(а), но используя метиловый эфир (R)-3-ацетиламино-3-(4-{3-метилсульфонил-4-[3-(2-метилфенил)уреидо]-фенилацетиламино}фенил)-пропановой кислоты [стандартный пример 12(о)], получают (R)-3-ацетиламино-3-(4-{3-метилсульфонил-4-[3-(2-метилфенил)уреидо]-фенилацетиламино}фенил)-пропановую кислоту, т. пл. 220-223°С. МС: MH+ 567.
(q) Обрабатывая способом, аналогичным примеру 5(а), но используя метиловый эфир (R)-3-[2-(2-метоксиэтокси)ацетиламино]-3-(4-{3-метокси-4-[3-(2-метилфенил)уреидо]-фенилацетиламино}фенилпропановой кислоты [стандартный пример 12(р)], получают (R)-3-[2-(2-метоксиэтокси)ацетиламино]-3-(4-{3-метокси-4-[3-(2-метилфенил)уреидо]-фенилацетиламино}фенил)-пропановую кислоту, т.пл. 193-195°С. МС: МН+ 593.
Элементный анализ: С 62,5; Н 6,5; N 9,4%. Рассчитано для C31H36N4O8: С 62,8; Н 6,1; N 9,45%.
(r) Обрабатывая способом, аналогичным примеру 5(а), но используя метиловый эфир (R)-3-[(тетрагидропиран-4-карбонил)амино]-3-(4-{3-метокси-4-[3-(2-метилфенил)уреидо]-фенилацетиламино}фенил)-пропановой кислоты [стандартный пример 12(q)], получают (R)-3-[(тетрагидропиран-4-карбонил)амино]-3-(4-(3-метокси-4-[3-(2-метилфенил)уреидо]-фенилацетилами-но}фенил)-пропановую кислоту, т.пл. 227-230°С (разложения.). МС: MH+ 589. Элементный анализ: С 64,9; Н 6,5; N 9,4%. Рассчитано для C32H36N4O7: С 65,3; Н 6,2; N 9,5%.
(s) Обрабатывая способом, аналогичным примеру 5(а), но используя метиловый эфир (R)-3-[(5-метилизоксазол-3-карбонил)-амино]-3-(4-{3-метокси-4-[3-(2-метилфенил)уреидо]-фенилацетиламино}фенил)-пропановой кислоты [стандартный пример 12(i)], получают (R)-3-[(5-метилизоксазол-3-карбонил)-амино]-3-(4-{3-метокси-4-[3-(2-метилфенил)уреидо]-фенилацетиламино}фенил)-пропановую кислоту, т.пл. 200°С. МС: МН+ 586. Элементный анализ: С 63,6; Н 5,15; N 12,0%. Рассчитано для C31H31N5O7: С 63,6; Н 5,3; N 12,0%.
(t) Обрабатывая способом, аналогичным примеру 5(а), но используя метиловый эфир (R)-3-[(тиофен-2-карбонил)-амино]-3-(4-{3-метокси-4-[3-(2-метилфенил)уреидо]фенилацетиламино}-фенил)-пропановой кислоты [стандартный пример 12(j)], получают (R)-3-[(тиофен-2-карбонил)-амино]-3-(4-{3-метокси-4-[3-(2-метилфенил)уреидо]фенилацетиламино}-фенил)-пропановую кислоту, т.пл. 222-224°С (разложение). МС: МН+ 587. Элементный анализ: С, 63,1; Н 5,3; N 9,5%. Рассчитано для С31Н31N4O6S: С 63,5; Н 5,15; N 9,55%.
(u) Обрабатывая способом, аналогичным примеру 5(а), но используя метиловый эфир (R)-3-[(4-метоксикарбонилбензоил)-амино]-3-(4-{3-метокси-4-[3-(2-метилфенил)уреидо]-фенилацетиламино}фенил)-пропановой кислоты [стандартный пример 12(k)], получают (R)-3-[(4-карбоксибензоил)-амино]-3-(4-{3-метокси-4-[3-(2-метилфенил)уреидо]-фенилацетиламино}фенил)-пропановую кислоту, т.пл. 178-180°С (разложение). МС:МН+ 625. Элементный анализ: С 62,0; Н 5,1; N 8,6%. Рассчитано для C34H32N4O8·2H2O: С 62,0; Н 5,5; N 8,5%.
(v) Обрабатывая способом, аналогичным примеру 5(а), но используя метиловый эфир (R)-3-[(пиридазин-3-карбонил)-амино]-3-(4-{3-метокси-4-[3-(2-метилфенил)уреидо]-фенилацетиламино}фенилпропановой кислоты [стандартный пример 12 (r)], получают (R)-3-[(пиридазин-3-карбонил)-амино]-3-(4-{3-метокси-4-[3-(2-метилфенил)уреидо]-фенилацетиламино}фенил)-пропановую кислоту, т.пл. 190°С (разложение). МС: МН+ 583. Элементный анализ: С 61,1; Н 5,1; N 13,5%. Рассчитано для С31Н30N6О6·1,5Н2O: С 61,1; Н 5,5; N 13,8%.
(w) Обрабатывая способом, аналогичным примеру 5(а), но используя метиловый эфир (R)-3-[(3,4-диметоксибензоил)-амино]-3-(4-{3-метокси-4-[3-(2-метилфенил)уреидо]-фенилацетиламино}фенил)-пропановой кислоты [стандартный пример 12(1)], получают (R)-3-[(3,4-диметоксибензоил)-амино]-3-(4-{3-метокси-4-[3-(2-метилфенил)уреидо]-фенилацетиламино}фенил)-пропановую кислоту, т.пл. 184-186°С (разложение). МС: МН+ 641. Элементный анализ: С 62,6; Н 5,45; N 8,3%. Рассчитано для C35H36N4O8·1,75H2O: С 62,5; Н 5,9; N 8,3%.
(х) Обрабатывая способом, аналогичным примеру 5(а), но используя метиловый эфир (R)-3-[(пиридазин-3-карбонил)-амино]-3-(4-{4-[3-(2-метилфенил)уреидо]-фенилацетиламино}фенил)-пропановой кислоты [стандартный пример 12(s)], получают (R)-3-[(пиридазин-3-карбонил)-амино]-3-(4-{4-[3-(2-метилфенил)уреидо]-фенилацетиламино}фенил)-пропановую кислоту, т.пл. 231-234°С (разл.). МС: МН+ 553.
(у) Обрабатывая способом, аналогичным примеру 5(а), но используя метиловый эфир (R)-3-[(4-карбокси-3,3-диметилбутаноил)амино]-3-(4-{3-метокси-4-[3-(2-метилфенил)уреидо]-фенилацетиламино}-фенил)-пропановой кислоты [стандартный пример 28 (с)], получают (R)-3-[(4-карбокси-3,3-диметилбутаноил)амино]-3-(4-{3-метокси-4-[3-(2-метилфенил)уреидо]-фенилацетиламино}-фенил)-пропановую кислоту, т.пл. 164°С. МС: MH+ 619. Элементный анализ: С 62,0; Н 5,7; N 8,9%. Рассчитано для C33H38N4O8·1,25H2O: С 61,8; Н 6,3; N 8,7%.
(z) Обрабатывая способом, аналогичным примеру 5(а), но используя метиловый эфир (R)-3-(бензоиламино)-3-(4-{4-[3-(2-метилфенил)уреидо]-фенилацетиламино}фенил)-пропановой кислоты [стандартный пример 12(t)], получают (R)-3-(бензоиламино)-3-(4-{4-[3-(2-метилфенил)уреидо]-фенилацетиламино}фенил)-пропановую кислоту, т.пл. 203-204°С (разложение). МС: МН+ 551. Элементный анализ: С 66,9; Н 5,5; N 9,7%. Рассчитано для С32Н30N4O5·1,2Н2O: С 67,2; Н 5,5; N 9,8%.
(аа) Обрабатывая способом, аналогичным примеру 5(а), но используя метиловый эфир (R)-3-[4-карбоксибутаноил)амино]-3-(4-{4-[3-(2-метилфенил)уреидо]-фенилацетиламино}фенил)-пропановой кислоты [стандартный пример 12(y)], получают (R)-3-(4-карбоксибутаноиламино)-3-(4-{4-[3-(2-метилфенил)уреидо]-фенилацетиламино}фенил)-пропановую кислоту, т.пл. 233-235°С. МС:MH+ 561. Элементный анализ: С 63,7; Н 5,95; N 9,85%. Рассчитано для C30H32N4O7·0,35H2O: С 63,6; Н 5,8; N 9,9%.
(ab) Обрабатывая способом, аналогичным примеру 5(а), но используя этиловый эфир 3-[4-({3-метокси-4-[3-(2-метилфенил)уреидо]-фенилацетил}-N-метиламино)фенил]-бутановой кислоты [стандартный пример 12(w)], получают 3-[4-({3-метокси-4-[3-(2-метилфенил)уреидо]-фенилацетил}-N-метиламино)фенил]-бутановую кислоту. МС: МН+ 490. ЖХВР-RТ=14,46 минут [градиентное элюирование с использованием смеси ацетонитрила и воды (1:4-4:1, в отношении объемов)].
(ac) Обрабатывая способом, аналогичным примеру 5(а), но используя диметиловый эфир (R)-3-[(4-карбоксипиридин-3-карбонил)-амино]-3-(4-{3-метокси-4-[3-(2-метилфенил)уреидо]-фенилацетиламино}фенил)-пропановой кислоты [стандартный пример 12(у)], получают (R)-3-[(4-карбоксипиридин-3-карбонил)-амино]-3-(4-{3-метокси-4-[3-(2-метилфенил)уреидо]-фенилацетиламино}фенил)-пропановую кислоту, т.пл. 293-295°С. МС: МН+ 626. Элементный анализ: С 56,5; Н 5,3; N 9,8%. Рассчитано для С33Н31N5О8·Н2О: С 56,8; Н 5,6; N, 10,0%.
(ad) Обрабатывая способом, аналогичным примеру 5(а), но используя метиловый эфир (R)-3-[2,2-ди(гидроксиметил)пропаноиламино]-3-(4-{3-метокси-4-[3-(2-метилфенил)уреидо]-фенилацетиламино}фенил)-пропановой кислоты [стандартный пример 12(z)], получают (R)-3-[2,2-ди(гидроксиметил)пропаноиламино]-3-(4-{3-метокси-4-[3-(2-метилфенил)уреидо]-фенилацетиламино}фенил)-пропановую кислоту, т.пл. 194°С. МС: MH+ 593.
(ae) Обрабатывая способом, аналогичным примеру 5(а), но используя метиловый эфир (R)-3-[2-(4-метилпиперазин-1-ил)-ацетиламино]-3-(4-{3-метокси-4-[3-(2-метилфенил)уреидо]-фенилацетиламино}фенил)-пропановой кислоты [стандартный пример 12(аа)], получают (R)-3-[2-(4-метилпиперазин-1-ил)-ацетиламино]-3-(4-{3-метокси-4-[3-(2-метилфенил)уреидо]-фенилаце-тиламино}фенил)-пропановую кислоту, МС: МН+ 617.
(af) Обрабатывая способом, аналогичным примеру 5(а), но используя метиловый эфир (R)-3-[(1-карбоксиметилпиперидин-4-карбонил)-амино]-3-(4-{3-метокси-4-[3-(2-метилфенил)уреидо]-фенилацетиламино}фенил)-пропановой кислоты [стандартный пример 3(k)], получают (R)-3-[(1-карбоксиметилпиперидин-4-карбонил)-амино]-3-(4-(3-метокси-4-[3-(2-метилфенил)уреидо]-фенилацетиламино}фенил)-пропановую кислоту. МС: МН+ 646.
(ае) Обрабатывая способом, аналогичным примеру 5(а), но используя диметиловый эфир (R)-3-[2-(карбоксиметилокси)-ацетиламино]-3-(4-{3-метокси-4-[3-(2-метилфенил)уреидо]-фенилацетиламино}фенил)-пропановой кислоты [стандартный пример 12(ab)], получают (R)-3-[2-(карбоксиметилокси)-ацетиламино]-3-(4-{3-метокси-4-[3-(2-метилфенил)уреидо]-фенилацетиламино}фенил)-пропановую кислоту, т.пл. 181-183°С. МС: МН+ 593. Элементный анализ: С 59,5; Н 5,6; N 9,2%. Рассчитано для C30H32N4O9: С 59,5; Н 5,6; N 9,3%.
ПРИМЕР 6
Гидрат натриевой соли (R)-3-ацетиламино-3-(4-{3-метокси-4-[3-(2-метилфенил)уреидо)фенил]-ацетиламино}-фенил)-пропановой кислоты
Суспензию (R)-3-ацетиламино-3-(4-{3-метокси-4-[3-(2-метилфенил)уреидо]фенилацетиламино}фенил)-пропановой кислоты [260 мг, пример 5(b)] в воде (5 мл) обрабатывают водным раствором гидроокиси натрия (0,6 мл, 1 М). После перемешивания при температуре окружающей среды в течение 4 часов реакционную смесь упаривают. Остаток перекристаллизовывают из 5% водного изопропанола, получая указанное в заглавии соединение (200 мг) в виде белого кристаллического вещества, т.пл. 214-217°С (с разложением). Элементный анализ: С 60,0; Н 5,8; N 9,8%. Рассчитано для C28H29N4O6Na·H2O·0,25 С3Н8О: С 60,2; Н 5,6; N 9,8%.
ПРИМЕР 7
(а) 3-(4-{3-Метокси-4-[3-(2-метилфенил)уреидо]-фенилацетиламино}фенил)-5-(4-метилпиперазин-1-ил)-5-оксопентановая кислота
Смесь 3-(4-{3-метокси-4-[3-(2-метилфенил)уреидо]фенилацетиламино}фенил)-пентадионовой кислоты [740 мг, стандартный пример 34], дихлорметана (50 мл) и тетрагидрофурана (10 мл) обрабатывают трифторуксусным ангидридом (84 мг). После перемешивания при температуре окружающей среды в течение 3 часов реакционную смесь упаривают. Остаток обрабатывают дихлорметаном (20 мл), затем N-метилпиперазином (80 мг). Смесь перемешивают при температуре окружающей среды в течение 2 часов, затем упаривают. Остаток растирают с диэтиловым эфиром, получая указанное в заглавии соединение (35 мг) в виде светло-коричневого аморфного вещества. МС: МН+ 602.
(b) Обрабатывая тем же способом, что в примере 7(а), но используя морфолин вместо N-метилпиперазина, получают 3-(4-{3-метокси-4-[3-(2-метилфенил)уреидо]-фенилацетиламино}фенил)-5-(морфолин-4-ил)-5-оксопентановую кислоту. МС:МН+ 589.
ПРИМЕР 8
Триэтаноламиновая соль (R)-3-бензоиламино-3-(4-{3-метокси-4-[3-(2-метилфенил)уреидо]фенилацетиламино}фенил)-пропановой кислоты
Смесь (R)-3-бензоиламино-3-(4-{3-метокси-4-[3-(2-метилфенил)уреидо]фенилацетиламино}фенил)-пропановой кислоты [1,0 г, пример 5(а)], трис(гидроксиметил)аминометана (0,208 г), тетрагидрофурана (80 мл) и воды (15 мл) перемешивают при 50°С в течение 1,5 часа, затем охлаждают до комнатной температуры и упаривают. Остаток перекристаллизовывают из этанола, получая указанное в заглавии соединение в виде белого кристаллического вещества (1,1 г), т.пл. 135-140°С (с разложением). Элементный анализ: С 61,6; Н 6,1; N 9,5%. Рассчитано для C33H32N4O6Na·C4H11NO3·H2O: С 61,75; Н 6,3; N 9,7%.
ПРИМЕР 9
(а) Трифторацетатная соль (R)-3-[(S)-N-бензил- -метилбензиламино]-3-(4-{3-метокси-4-[3-(2-метилфенил)уреидо]фенилацетиламино}фенил)-пропановой кислоты
Перемешиваемую суспензию трет-бутилового эфира 3-(4-{3-метокси-4-[3-(2-метилфенил)уреидо]фенилацетиламино}фенил)-пропеновой кислоты (1,0 г, стандартный пример 8) в безводном тетрагидрофуране (50 мл) обрабатывают гидридом натрия (0,23 г, 60% дисперсия в минеральном масле) в атмосфере азота. После перемешивания в течение 30 минут образовавшийся желтый раствор добавляют по каплям к раствору (S)-N-бензил- -метилбензиламина (0,82 г) в безводном тетрагидрофуране (50 мл), охлаждают до -78°С в атмосфере азота и затем обрабатывают раствором н-бутиллития в гексане (1,55 мл, 2,5 М). Эту смесь дополнительно перемешивают в течение 15 минут при -78°С, затем выливают в смесь этилацетата (200 мл) и насыщенного водного раствора хлористого аммония (200 мл). Органический слой отделяют, затем сушат над сульфатом магния и потом упаривают. Остаток подвергают флэш-хроматографии на силикагеле, элюируя смесью этилацетата и дихлорметана (1:4, в отношении объемов), получают желтую пену (840 мг). Часть этого продукта (100 мг) обрабатывают трифторуксусной кислотой (2 мл) и оставляют стоять при температуре окружающей среды на 30 минут. Реакционную смесь упаривают и остаток упаривают, остаток растирают с диэтиловым эфиром, получая указанное в заглавии соединение в виде светло-желтого твердого вещества (20 мг). МС: МН+ 671.
(b) Обрабатывая тем же способом, что в примере 9(а), но используя дибензиламин вместо (S)-N-бензил- -метилбензиламина, получают трифторацетатную соль 3-(N,N-дибензиламино)-3-(4-{3-метокси-4-[3-(2-метилфенил)уреидо]-фенилацетиламино}фенил)-пропановой кислоты. МС: МН+ 657.
ПРИМЕР 10
(R)-3-[(2-Аминоацетил)амино]-3-(4-{3-метокси-4-[3-(2-метилфенил)уреидо)фенил]-ацетиламино}-фенил)-пропановая кислота
Смесь метилового эфира (R)-3-амино-3-(4-{3-метокси-4-[3-(2-метилфенил)уреидо)фенилацетиламино}-фенил)-пропановой кислоты (1,0 г, стандартный пример 30), N-(трет-бутоксикарбонил)глицина (0,36 г), О-(7-азабензотриазол-1-ил)-1,1,3,3-тетраметилуронийгексафторфосфата (0,81 г) и диизопропилэтиламина (0,75 мл) в сухом диметилформамиде (20 мл) перемешивают при температуре окружающей среды в течение 30 минут. Реакционную смесь выливают в соляную кислоту (25 мл, 0,1 М) и затем дважды экстрагируют этилацетатом (50 мл). Объединенные органические экстракты промывают насыщенным водным раствором бикарбоната натрия (25 мл), затем водой (25 мл), после чего сушат над сульфатом магния и упаривают. Остаток подвергают флэш-хроматографии на силикагеле, элюируя растворяют в тетрагидрофуране (10 мл), затем обрабатывают водным раствором гидроокиси натрия (1,5 мл, 1,0 М). Реакционную смесь нагревают до 40°С в течение 4 часов, затем упаривают. Остаток обрабатывают водой (30 мл) и смесь подкисляют до рН 1, добавляя концентрированную соляную кислоту. Полученный твердый продукт фильтруют, сушат в вакууме, затем обрабатывают охлажденным (0°С) раствором трифторуксусной кислоты (4 мл) в дихлорметане (9 мл). Смесь нагревают до температуры окружающей среды, затем перемешивают в течение 4,5 часов, потом упаривают. Остаток растирают с диэтиловым эфиром, получая указанное в заглавии соединение в виде белого твердого вещества (150 мг), т.пл. 105-108°С (с разложением). МС: МН+ 534.
ПРИМЕР 11
(R)-3-[(1-Оксидопиридин-3-карбонил)амино]-3-(4-{3-метокси-4-[3-(2-метилфенил)уреидо)фенилацетиламино}фенил)-пропановая кислота
Смесь метилового эфира (R)-3-[(пиридин-3-карбонил)амино]-3-(4-{3-метокси-4-[3-(2-метилфенил)уреидо)фенилацетиламино}-фенил)-пропановой кислоты [0,4 г, пример 5(е)] и перекиси водорода (0,75 мл) в сухом диметилформамиде (0,5 мл) перемешивают при 80°С в течение 6 часов. Реакционную смесь упаривают и остаток растирают с водой. Полученный твердый продукт подвергают флэш-хроматографии на силикагеле, элюируя смесью дихлорметана, метанола и уксусной кислоты (9:1:0,5, в отношении объемов), получают указанное в заглавии соединение в виде светло-коричневого твердого вещества (50 мг), т.пл. 190°С (с разложением). МС: МН+ 598.
ПРИМЕР 12
(R)-3-(4-Карбоксибутаноиламино)-3-(4-{3-метокси-4-[3-(2-метилфенил)уреидо]-фенилацетидамино}-фенил)-пропановая кислота
Смесь метилового эфира (R)-3-амино-3-[4-(трет-бутоксикарбониламино)фенил]-пропановой кислоты [1,5 г, стандартный пример 7(с)], монометилглутарата (0,7 мл), О-(7-азабензотриазол-1-ил)-1,1,3,3-тетраметилуронийгексафторфосфата (2,05 г), диизопропилэтиламина (1,8 мл) и диметилформамида (40 мл) перемешивают при температуре окружающей среды в течение 18 часов. Реакционную смесь упаривают досуха и разбавляют водой (75 мл), образовавшуюся смесь подкисляют до рН 1,0, добавляя концентрированную соляную кислоту. Смесь дважды экстрагируют этилацетатом (75 мл). Объединенные экстракты промывают водой (75 мл), затем сушат над сульфатом магния и упаривают. Образовавшийся воскообразный желтовато-коричневый продукт (3,8 г) растворяют в дихлорметане (20 мл), охлаждают до 0°С и раствор обрабатывают трифторуксусной кислотой (4 мл). После перемешивания при температуре окружающей среды в течение 2 часов смесь упаривают и остаток поглощают этилацетатом (50 мл). Полученный раствор обрабатывают охлажденным льдом насыщенным водным раствором карбоната калия (20 мл) при перемешивании в течение 5 минут при температуре окружающей среды. Органический слой отделяют, промывают водой (30 мл), сушат над сульфатом магния и затем упаривают, получая метиловый эфир (R)-3-(4-карбоксибутаноиламино)-3-(4-аминофенил)-пропановой кислоты (1,32 г) в виде желтого масла.
Раствор 3-метокси-4-[3-(2-метилфенил)уреидо]-фенилуксусной кислоты (1,28 г, полученной, как указано в стандартном примере 31) в безводном диметилформамиде (50 мл) в атмосфере аргона обрабатывают последовательно О-(7-азабензотриазол-1-ил)-1,1,3,3-тетраметилуронийгексафторфосфатом (1,55 г), диизопропилэтиламином (1,35 мл) и раствором метилового эфира (R)-3-(4-карбоксибутаноиламино)-3-(4-аминофенил)-пропановой кислоты (1,25 г, полученной, как указано непосредственно выше) в диметилформамиде (5 мл). После перемешивания в течение 2 часов при температуре окружающей среды реакционную смесь упаривают. Остаток обрабатывают соляной кислотой (50 мл, 1 М) и экстрагируют этилацетатом (100 мл). Перед тем, как высушить над сульфатом магния и упарить досуха, объединенные органические экстракты промывают водой (50 мл) и насыщенным водным раствором карбоната калия (50 мл). Остаток подвергают флэш-хроматографии на силикагеле, элюируя смесью метанола и дихлорметана (1:29, в отношении объемов), что дает метиловый эфир (R)-3-(4-карбоксибутаноиламино)-3-(4-{3-метокси-4-[3-(2-метилфенил)-уреидо]-фенилацетиламино}-фенил)-пропановой кислоты в виде желтовато-коричневого твердого вещества (1,32 г). Раствор этого продукта в тетрагидрофуране (40 мл) нагревают до температуры кипения с обратным холодильником и обрабатывают водным раствором гидроокиси натрия (34 мл, 2 М). После дополнительного перемешивания при температуре кипения в течение 2,5 часов реакционную смесь охлаждают и затем упаривают. Остаток разбавляют водой и смесь подкисляют до рН 1,0 добавляя концентрированную соляную кислоту. Полученный белый твердый продукт промывают водой, затем сушат в вакууме, после чего перекристаллизовывают из смеси этанола и воды (9:1, в отношении объемов), получая указанное в заглавии соединение в виде белого кристаллического вещества (3,2 г), т.пл. 220-222°С. МС: MH+ 591. Элементный анализ: С 63,1; Н 5,3; N 9,3%. Рассчитано для C31H34N4O8: С 63,0; Н 5,8; N 9,5%. >99 ее по ЖХВР-анализу на CHIRALPAK AD F294, элюирование гептаном:изопропанолом:этанолом:трифторуксусной кислотой (200:25:25:1) при скорости 0,7 мл/мин.
СТАНДАРТНЫЙ ПРИМЕР 1
Метил-5-амино-(пирид-2-ил)-тиоацетат
Смесь метил-5-нитро-(пирид-2-ил)-тиоацетата (6,3 г, стандартный пример 2), железа в порошке (12 г), хлористого аммония (1 г), этанола (150 мл) и воды (150 мл) нагревают до температуры кипения с обратным холодильником в течение 2 часов. Реакционную смесь охлаждают и затем фильтруют через слой диатомовой земли. Фильтрат упаривают и остаток подвергают флэш-хроматографии на силикагеле, элюируя смесью этилацетата и пентана (1:1, в отношении объемов), получают желтую пену (840 мг). Получают указанное в заглавии соединение в виде желтого масла (3,0 г).
СТАНДАРТНЫЙ ПРИМЕР 2
Метил-5-нитро(пирид-2-ил)-тиоацетат
Смесь метилтиоацетата (3 г), железа в порошке (12 г), диизопропилэтиламина (8,14 г), 2-хлор-5-нитропиридина (5 г) и диметилформамида (50 мл) нагревают до 80°С в течение 18 часов. Реакционную смесь охлаждают и выливают в воду (500 мл). После перемешивания в течение 1 часа при температуре окружающей среды смесь фильтруют, получая указанное в заглавии соединение (2,03 г) в виде коричневого твердого вещества.
СТАНДАРТНЫЙ ПРИМЕР 3
(а) Этиловый эфир 3-(5-{3-метокси-4-[3-(2-метилфенил)уреидо]-фенилацетиламино}пирид-2-ил)-пропановой кислоты
Раствор 3-метокси-4-[3-(2-метилфенил)уреидо]-фенилуксусной кислоты (0,7 г, стандартный пример 31) в безводном диметилформамиде (25 мл) обрабатывают последовательно О-(7-азабензотриазол-1-ил)-1,1,3,3-тетраметилуронийгесафторфосфатом (0,85 г), диизопропилэтиламином (0,54 г), раствором этилового эфира 3-(5-аминопирид-2-ил)пропановой кислоты [0,42 г, стандартный пример 4(а)] в диметилформамиде (5 мл). После перемешивания при комнатной температуре в течение 5 часов и выдерживания в течение ночи реакционную смесь упаривают. Остаток обрабатывают этилацетатом и полученный раствор трижды промывают водой, потом раствором соли и затем упаривают. Остаток подвергают флэш-хроматографии на силикагеле, элюируя смесью дихлорметана и метанола (97:3, в отношении объемов), получают указанное в заглавии соединение (0,68 г) в виде белой пены.
(b) Обрабатывая тем же способом, что в стандартном примере 3(а), но используя этиловый эфир 3-(6-аминопирид-3-ил)-пропановой кислоты [стандартный пример 4(с)], получают этиловый эфир 3-(6-{3-метокси-4-[3-(2-метилфенил)уреидо]-фенилацетиламино}пирид-3-ил)-пропановой кислоты.
СТАНДАРТНЫЙ ПРИМЕР 4
(a) Этиловый эфир 3-(5-аминопирид-2-ил)-пропановой кислоты
Смесь этилового эфира 3-(5-нитропирид-2-ил)-пропеновой кислоты [0,8 г, стандартный пример 5(а)], этанола (930 мл) и 5% палладия на углероде (0,13 г) перемешивают при температуре окружающей среды в атмосфере водорода в течение 7 часов, оставляют стоять в течение ночи и затем дополнительно перемешивают 24 часа. Реакционную смесь фильтруют через небольшой слой диатомовой земли. Фильтрат упаривают, получая указанное в заглавии соединение (0,7 г) в виде зеленого масла.
(b) Обрабатывая тем же способом, что в стандартном примере 4(а), но используя этиловый эфир 3-(5-нитропирид-2-ил)-2-метилпропеновой кислоты [стандартный пример 5(b)], получают этиловый эфир 3-(5-аминопирид-2-ил)-метилпропановой кислоты.
(с) Обрабатывая тем же способом, что в стандартном примере 4(а), но используя этиловый эфир 3-(6-аминопирид-3-ил)-пропеновой кислоты [стандартный пример 5(с)], получают этиловый эфир 3-(6-аминопирид-3-ил)-пропановой кислоты.
СТАНДАРТНЫЙ ПРИМЕР 5
(a) Этиловый эфир 3-(5-нитропирид-2-ил)-пропеновой кислоты
Смесь 5-нитро-2-пиридинкарбальдегида (2,85 г, полученного по методике, описанной в J. Med. Chem., 1992, 35, 3675) и (карбоксиметилен)трифенилфосфорана (6,0 г) в сухом толуоле (120 мл) в атмосфере азота перемешивают и нагревают при температуре кипения с обратным холодильником в течение 6 часов. После выдерживания при комнатной температуре в течение ночи реакционную смесь упаривают. Остаток подвергают флэш-хроматографии на силикагеле, элюируя дихлорметаном, получают указанное в заглавии соединение (0,8 г) в виде желтого твердого вещества.
(b) Обрабатывая тем же способом, что в приведенном выше стандартном примере 5(а), но используя (карбэтоксиэтилиден)трифенилфосфоран, получают этиловый эфир 3-(5-нитропирид-2-ил)-метилпропеновой кислоты.
(c) Обрабатывая тем же способом, что в приведенном выше стандартном примере 5(а), но используя 6-амино-3-пиридинкарбальдегид (полученный способом, подобным описанному в Dolk. Akad. Nauk. SSSR, 1949, 65, 843), получают этиловый эфир 3-(6-аминопирид-3-ил)-пропеновой кислоты.
СТАНДАРТНЫЙ ПРИМЕР 6
(a) Этиловый эфир (R)-3-(4-{3-метокси-4-[3-(2-метилфенил)уреидо]-фенилацетиламино}фенил)-3-(метансульфониламино)-пропановой кислоты
Смесь трет-бутилового эфира (R)-3-амино-3-(4-{3-метокси-4-[3-(2-метилфенил)уреидо]-фенилацетиламино}фенил)-пропановой кислоты [100 мг, стандартный пример 7(а)], дихлорметана (10 мл) и триэтиламина (38 мг) перемешивают при температуре окружающей среды и затем обрабатывают метансульфонилхлоридом (22 мг). После перемешивания в течение 1 часа реакционную смесь разбавляют дихлорметаном (20 мл) и затем промывают соляной кислотой (20 мл, 1 М), затем насыщенным водным раствором бикарбоната натрия (20 мл). Органический слой сушат над сульфатом магния и затем упаривают, получая указанное в заглавии соединение (55 мг) в виде белого твердого вещества.
(b) Обрабатывая способом, аналогичным стандартному примеру 6(а), но используя трет-бутиловый эфир 3-амино-3-(4-{3-метокси-4-[3-(2-метилфенил)уреидо]-фенилацетиламино}фенил)-пропановой кислоты [стандартный пример 7(b)] и ацетилхлорид вместо метансульфонилхлорида, получают трет-бутиловый эфир 3-(ацетиламино)-3-(4-{3-метокси-4-[3-(2-метилфенил) уреидо]-фенилацетиламино}фенил)-пропановой кислоты.
(c) Обрабатывая способом, аналогичным стандартному примеру 6(а), но используя трет-бутиловый эфир 3-амино-3-(4-{3-метокси-4-[3-(2-метилфенил)уреидо]-фенилацетиламино}фенил)-пропановой кислоты [стандартный пример 7(b)] и бензоилхлорид вместо метансульфонилхлорида, получают трет-бутиловый эфир 3-(бензоиламино)-3-(4-{3-метокси-4-[3-(2-метилфенил)уреидо]-фенилацетиламино}фенил)-пропановой кислоты.
(а) Обрабатывая способом, аналогичным стандартному примеру 6(а), но используя трет-бутиловый эфир 3-амино-3-(4-{3-метокси-4-[3-(2-метилфенил)уреидо]-фенилацетиламино}фенил)-пропановой кислоты [стандартный пример 7(b)] и пиридин-3-карбонилхлорид вместо метансульфонилхлорида, получают трет-бутиловый эфир 3-(4-{3-метокси-4-[3-(2-метилфенил)уреидо]-фенилацетиламино}фенил)-3-(пиридинкарбониламино)-пропановой кислоты.
СТАНДАРТНЫЙ ПРИМЕР 7
(а) трет-Бутиловый эфир (R)-3-амино-3-(4-{3-метокси-4-[3-(2-метилфенил)уреидо]-фенилацетиламино}фенил)-пропановой кислоты
Суспензию трет-бутилового эфира 3-(4-{3-метокси-4-[3-(2-метилфенил)уреидо]фенилацетиламино}фенил)-пропеновой кислоты (1,0 г, стандартный пример 8) в безводном тетрагидрофуране (50 мл) обрабатывают гидридом натрия (0,23 г, 60% дисперсия в минеральном масле) и затем перемешивают в течение 30 минут в атмосфере азота, получая желтый раствор. Этот раствор добавляют по каплям к раствору (S)-N-бензил- -метилбензиламина (0,82 г) в безводном тетрагидрофуране (50 мл), охлаждают до -78°С в атмосфере азота обрабатывают раствором н-бутиллития в гексане (1,55 мл, 2,5 М). После дополнительного перемешивания в течение 15 минут при -78°С реакционную смесь выливают в смесь этилацетата (200 мл) и насыщенного водного раствора хлористого аммония (200 мл). Органический слой отделяют, затем сушат над сульфатом магния и потом упаривают. Остаток подвергают флэш-хроматографии на силикагеле, элюируя смесью этилацетата и дихлорметана (1:4, в отношении объемов), получают желтую пену (840 мг). Этот продукт растворяют в этаноле (50 мл), затем обрабатывают муравьиной кислотой (3 мл), подогревая до 60°С, после чего обрабатывают 10% палладием на углероде (0,5 г). Смесь перемешивают при 60°С в течение 15 минут, затем фильтруют через небольшой слой диатомовой земли. Фильтрат упаривают, снижая объем, и остаток распределяют между дихлорметаном (50 мл) и насыщенным водным раствором бикарбоната натрия (50 мл). Органическую фазу сушат над сульфатом магния и затем упаривают, получая указанное в заглавии соединение (360 мг) в виде белого твердого вещества.
(b) Обрабатывая тем же способом, что в стандартном примере 7(а), но используя N,N-дибензиламин вместо (S)-N-бензил- -метилбензиламина, получают трет-бутиловый эфир 3-амино-3-(4-{3-метокси-4-[3-(2-метилфенил)уреидо]-фенилацетиламино}фенил)-пропановой кислоты.
(c) Обрабатывая способом, подобным стандартному примеру 7(а), но используя метиловый эфир 3-[4-(трет-бутоксикарбониламино)фенил]-пропеновой кислоты (стандартный пример 35) вместо трет-бутилового эфира 3-(4-{3-метокси-4-[3-(2-метилфенил)уреидо]фенилацетиламино}фенил)-пропеновой кислоты, получают метиловый эфир (R)-3-амино-3-[4-(трет-бутоксикарбониламино)фенил]-пропановой кислоты
(d) Обрабатывая способом, подобным стандартному примеру 7(а), но используя метиловый эфир 3-[4-(трет-бутоксикарбониламино)фенил]-пропеновой кислоты (стандартный пример 35) вместо трет-бутилового эфира 3-(4-{3-метокси-4-[3-(2-метилфенил)уреидо]фенилацетиламино}фенил)-пропеновой кислоты и (S)-N, -диметилбензиламин вместо (S)-N-бензил- -метилбен-зиламина, получают метиловый эфир (R)-3-метиламино-3-[4-(трет-бутоксикарбониламино)фенил]-пропановой кислоты
СТАНДАРТНЫЙ ПРИМЕР 8
трет-Бутиловый эфир 3-(4-{3-метокси-4-[3-(2-метилфенил)уреидо]-фенилацетиламино}фенил)-пропеновой кислоты
Смесь 4-{3-метокси-4-[3-(2-метилфенил)уреидо]-фенилацетиламино}-иодбензола [4,0 г, стандартный пример 9(а)], ацетата палладия (50 мг), три-(о-толил)фосфина (125 мг) и трибутиламина (1,85 г) в безводном диметилформамиде (10 мл) обрабатывают трет-бутилакрилатом (1,0 г). Реакционную смесь перемешивают при 100°С в атмосфере азота 4 часа, затем охлаждают до комнатной температуры и после этого выливают в смесь этилацетата (50 мл) и соляной кислоты (50 мл, 1 М). Полученный твердый продукт фильтруют и последовательно промывают, порциями по 50 мл, насыщенным водным раствором бикарбоната натрия, водой и диэтиловым эфиром. Остаток сушат в вакууме, получая указанное в заглавии соединение (3,6 г) в виде белого твердого вещества.
СТАНДАРТНЫЙ ПРИМЕР 9
(a) 4-{3-Метокси-4-[3-(2-метилфенил)уреидо]-фенилацетиламино}-иодбензол
Смесь 3-метокси-4-[3-(2-метилфенил)уреидо]-фенилуксусной кислоты (2,9 г, стандартный пример 31), 1-гидроксибензотриазола (2,13 г), 1-(3-диметиламинопропил)-3-этилкарбодиимида (2,67 г) и диизопропилэтиламина (93,6 г) в безводном диметилформамиде (30 мл) обрабатывают 4-иоданилином (2,43 г). После перемешивания при температуре окружающей среды в течение 18 часов реакционную смесь выливают в смесь этилацетата (50 мл) и соляной кислоты (50 мл, 1 М). Полученный твердый продукт фильтруют и затем последовательно промывают, порциями по 50 мл, насыщенным водным раствором бикарбоната натрия, водой и диэтиловым эфиром. Остаток сушат в вакууме, получая указанное в заглавии соединение (4,05 г) в виде светло-коричневого твердого вещества, т.пл. >200°С.
(b) Обрабатывая тем же способом, что в стандартном примере 9(а), но используя 4-[3-(2-метилфенил)уреидо]-фенил-уксуснуюкислоту (2,9 г, полученную, как описано в примере 21 международной патентной заявки №WO 96/22966) вместо 3-метокси-4-[3-(2-метилфенил)уреидо]-фенилуксусной кислоты, получают 4-{4-[3-(2-метилфенил)уреидо]-фенилацетиламино}-иодбензол.
СТАНДАРТНЫЙ ПРИМЕР 10
(a) трет-Бутиловый эфир 3-(н-бутиламино)-3-(4-{3-метокси-4-[3-(2-метилфенил)уреидо]-фенилацетиламино}фенил)-пропановой кислоты
Смесь трет-бутилового эфира 3-амино-3-(4-{3-метокси-4-[3-(2-метилфенил)уреидо]-фенилацетиламино}фенил)-пропановой кислоты [53 мг, стандартный пример 7(b)], бутиральдегида (14 мг), ацетата натрия (16 мг) и молекулярных сит 4 (0,2 г) в метаноле (5 мл) перемешивают при температуре окружающей среды в атмосфере азота и затем обрабатывают цианоборогидридом натрия (13 мг). После перемешивания в течение 1 часа реакционную смесь обрабатывают, добавляя по каплям соляную кислоту (0,5 мл, 1 М), затем выливают в 10% водный раствор карбоната калия (10 мл). Смесь экстрагируют этилацетатом (30 мл). Органическую фазу сушат над сульфатом магния и затем упаривают. Остаток подвергают флэш-хроматографии на силикагеле, элюируя этилацетатом, что дает указанное в заглавии соединение (44 мг) в виде желтой пены.
(b) Обрабатывая тем же способом, что в стандартном примере 10(а), но используя бензальдегид вместо бутиральдегида, получают трет-бутиловый эфир 3-бензиламино-3-(4-{3-метокси-4-[3-(2-метилфенил)уреидо]-фенилацетиламино}фенил)-пропановой кислоты
(c) Обрабатывая тем же способом, что в стандартном примере 10(а), но используя фенилацетальдегид вместо бутиральдегида, получают трет-бутиловый эфир 3-(4-{3-метокси-4-[3-(2-метилфенил)уреидо]-фенилацетиламино}фенил)-3-(2-фенилэтиламино)-пропановой кислоты.
СТАНДАРТНЫЙ ПРИМЕР 11
(a) трет-Бутиловый эфир 3-(4-{3-метокси-4-[3-(2-метилфенил)уреидо]-фенилацетиламино}фенил)-3-(морфолин-4-ил)-пропановой кислоты
Раствор морфолина (87 мг) в безводном тетрагидрофуране (10 мл), охлажденный до -78°С, и в атмосфере азота обрабатывают раствором н-бутиллития в гексане (0,4 мл, 2,5 М). После перемешивания при -78°С в течение 15 минут к смеси добавляют по каплям раствор, полученный обработкой перемешиваемой суспензии трет-бутилового эфира 3-(4-{3-метокси-4-[3-(2-метилфенил)уреидо]фенилацетиламино}фенил)-пропеновой кислоты (0,25 г, стандартный пример 8) в безводном тетрагидрофуране (10 мл) гидридом натрия (58 мг 60% дисперсии в минеральном масле), в атмосфере азота. Образовавшуюся смесь дополнительно перемешивают в течение 30 минут при -78°С, затем выливают в смесь этилацетата (50 мл) и насыщенного водного раствора хлористого натрия (50 мл). Органический слой отделяют, затем сушат над сульфатом магния и потом упаривают. Остаток растирают с диэтиловым эфиром, получая указанное в заглавии соединение (165 мг) в виде белого твердого вещества.
(b) Обрабатывая тем же способом, что в стандартном примере 11(а), но используя N-метилпиперазин вместо морфолина, получают трет-бутиловый эфир 3-(4-{3-метокси-4-[3-(2-метилфенил)уреидо]-фенилацетиламино}фенил)-3-(4-метилпиперазин-1-ил)-пропановой кислоты.
СТАНДАРТНЫЙ ПРИМЕР 12
(a) Метиловый эфир (R)-3-бензоиламино-3-(4-{3-метокси-4-[3-(2-метилфенил)уреидо]фенилацетиламино}фенил)-пропановой кислоты
Раствор 3-метокси-4-[3-(2-метилфенил)уреидо]-фенилуксусной кислоты (1,52 г, полученной, как описано в стандартном примере 31) в безводном диметилформамиде (40 мл) в атмосфере азота обрабатывают последовательно О-(7-азабензотриазол-1-ил)-1,1,3,3-тетраметилуронийгесафторфосфатом (1,84 г), диизопропилэтиламином (3,4 мл) и раствором метилового эфира (R)-3-бензоиламино-3-(4-аминофенил)-пропановой кислоты [2,0 г, стандартный пример 13(а)] в диметилформамиде (10 мл). После перемешивания в течение 45 минут при температуре окружающей среды реакционную смесь упаривают. Остаток обрабатывают водой (150 мл) и к водной суспензии добавляют соляную кислоту (10 мл, 1 М). Смесь фильтруют и нерастворимое вещество трижды промывают водой (50 мл), затем сушат в вакууме, получая указанное в заглавии соединение в виде белого твердого вещества (2,53 г).
(b) Обрабатывая тем же способом, что в стандартном примере 12(а), но используя метиловый эфир (R)-3-ацетиламино-3-(4-аминофенил)-пропановой кислоты [стандартный пример 13(b)], получают метиловый эфир (R)-3-ацетиламино-3-(4-(3-метокси-4-[3-(2-метилфенил)уреидо]-фенилацетиламино}фенил)-пропановой кислоты.
(c) Обрабатывая тем же способом, что в стандартном примере 12(а), но используя метиловый эфир (R)-3-бензилоксикарбониламино-3-(4-аминофенил)-пропановой кислоты [стандартный пример 13(с)], получают метиловый эфир (R)-3-бензилоксикарбониламино-3-(4-{3-метокси-4-[3-(2-метилфенил)-уреидо]-фенилацетиламино}фенил)-пропановой кислоты.
(d) Обрабатывая тем же способом, что в стандартном примере 12(а), но используя метиловый эфир (R)-3-фенилсульфониламино-3-(4-аминофенил)-пропановой кислоты [стандартный пример 13(d)], получают метиловый эфир (R)-3-фенилсульфониламино-3-(4-{3-метокси-4-[3-(2-метилфенил)уреидо]-фенилацетиламино }фенил)-пропановой кислоты.
(e) Обрабатывая тем же способом, что в стандартном примере 12(а), но используя метиловый эфир (R)-3-(пиридин-3-карбониламино)-3-(4-аминофенил)-пропановой кислоты [стандартный пример 13(е)], получают метиловый эфир (R)-3-(пиридин-3-карбониламино)-3-(4-{3-метокси-4-[3-(2-метилфенил)уреидо]-фенилацетиламино}фенил)-пропановой кислоты.
(f) Обрабатывая тем же способом, что в стандартном примере 12(а), но используя метиловый эфир (R)-3-(пиридин-3-сульфониламино)-3-(4-аминофенил)-пропановой кислоты [стандартный пример 13(f)], получают метиловый эфир (R)-3-(пиридин-3-сульфониламино)-3-(4-{3-метокси-4-[3-(2-метилфенил) уреидо]-фенилацетиламино}фенил)-пропановой кислоты.
(g) Обрабатывая тем же способом, что в стандартном примере 12(а), но используя метиловый эфир (R)-3-(N-ацетилметиламино)-3-(4-аминофенил)-пропановой кислоты [стандартный пример 13(g)], получают метиловый эфир (R)-3-(N-ацетилметиламино)-3-(4-{3-метокси-4-[3-(2-метилфенил)уреидо]-фенилацетиламино}фенил)-пропановой кислоты.
(h) Обрабатывая тем же способом, что в стандартном примере 12(а), но используя метиловый эфир (R)-3-(N-метансульфонилметиламино)-3-(4-аминофенил)-пропановой кислоты [стандартный пример 13(h)], получают метиловый эфир (R)-3-(N-метансульфонилметиламино)-3-(4-{3-метокси-4-[3-(2-метилфенил)уреидо]-фенилацетиламино}фенил)-пропановой кислоты.
(i) Обрабатывая тем же способом, что в стандартном примере 12(а), но используя метиловый эфир (R)-3-[(5-метилизоксазол-3-карбонил)-амино]-3-(4-аминофенил)-пропановой кислоты [стандартный пример 13(i)], получают метиловый эфир (R)-3-[(5-метилизоксазол-3-карбонил)-амино]-3-(4-{3-метокси-4-[3-(2-метилфенил)уреидо]-фенилацетиламино}фенил)-пропановой кислоты.
(j) Обрабатывая тем же способом, что в стандартном примере 12(а), но используя метиловый эфир (R)-3-[(тиофен-2-карбонил)-амино]-3-(4-аминофенил)-пропановой кислоты [стандартный пример 13(j)], получают метиловый эфир (R)-3-[(тиофен-2-карбонил)-амино]-3-(4-{3-метокси-4-[3-(2-метилфенил)уреидо]фенилацетиламино}-фенил)-пропановой кислоты.
(k) Обрабатывая тем же способом, что в стандартном примере 12(а), но используя метиловый эфир (R)-3-[(4-метоксикарбонилбензоил)-амино]-3-(4-аминофенил)-пропановой кислоты [стандартный пример 13(k)], получают метиловый эфир (R)-3-[(4-метоксикарбонилбензоил)-амино]-3-(4-{3-метокси-4-[3-(2-метилфенил)уреидо]фенидацетиламино}-фенил)-пропановой кислоты.
(1) Обрабатывая тем же способом, что в стандартном примере 12(а), но используя метиловый эфир (R)-3-[(3,4-диметоксибензоил)-амино]-3-(4-аминофенил)-пропановой кислоты [стандартный пример 13(1)], получают метиловый эфир (R)-3-[(3,4-диметоксибензоил)-амино]-3-(4-{3-метокси-4-[3-(2-метилфенил)уреидо]фенилацетиламино}-фенил)-пропановой кислоты.
(m) Обрабатывая тем же способом, что в стандартном примере 12(а), но используя метиловый эфир (R)-3-ацетиламино-3-(4-аминофенил)-пропановой кислоты [стандартный пример 13(b)] и 3-метилтио-4-[3-(2-метилфенил)уреидо]фенилуксусную кислоту (стандартный пример 15), получают метиловый эфир (R)-3-ацетиламино-3-(4-{3-метилтио-4-[3-(2-метилфенил)уреидо]фенилацетиламино}-фенил)-пропановой кислоты.
(n) Обрабатывая тем же способом, что в стандартном примере 12(а), но используя метиловый эфир (R)-3-ацетиламино-3-(4-аминофенил)-пропановой кислоты [стандартный пример 13(b)] и 3-метилсульфинил-4-[3-(2-метилфенил)уреидо]-фенилуксусную кислоту [стандартный пример 16(а)], получают метиловый эфир (R)-3-ацетиламино-3-(4-{3-метилсульфинил-4-[3-(2-метилфенил)уреидо]фенилацетиламино}-фенил)-пропановой кислоты.
(о) Обрабатывая тем же способом, что в стандартном примере 12(а), но используя метиловый эфир (R)-3-ацетиламино-3-(4-аминофенил)-пропановой кислоты [стандартный пример 13(b)] и 3-метилсульфонил-4-[3-(2-метилфенил)уреидо]-фенилуксусную кислоту [стандартный пример 16(b)], получают метиловый эфир (R)-3-ацетиламино-3-(4-{3-метилсульфонил-4-[3-(2-метилфенил)уреидо]фенилацетидамино}-фенил)-пропановой кислоты.
(р) Обрабатывая тем же способом, что в стандартном примере 12(а), но используя метиловый эфир (R)-3-[2-(2-метоксиэтокси)-ацетиламино]-3-(4-аминофенил)-пропановой кислоты [стандартный пример 17(а)], получают метиловый эфир (R)-3-[2-(2-метоксиэтокси)-ацетиламино]-3-(4-{3-метокси-4-[3-(2-метилфенил)-уреидо]фенилацетиламино}-фенил)-пропановой кислоты.
(q) Обрабатывая тем же способом, что в стандартном примере 12(а), но используя метиловый эфир (R)-3-[(тетрагидропиран-4-карбонил)амино]-3-(4-аминофенил)-пропановой кислоты [стандартный пример 17(b)], получают метиловый эфир (R)-3-[(тетрагидропиран-4-карбонил)амино]-3-(4-{3-метокси-4-[3-(2-метилфенил)-уреидо]фенилацетиламино}-фенил)-пропановой кислоты.
(r) Обрабатывая тем же способом, что в стандартном примере 12(а), но используя метиловый эфир (R)-3-[(пиридазин-3-карбонил)-амино]-3-(4-аминофенил)-пропановой кислоты [стандартный пример 17(с], получают метиловый эфир (R)-3-[(пиридазин-3-карбонил)-амино]-3-(4-{3-метокси-4-[3-(2-метилфенил)-уреидо]фенилацетиламино}-фенил)-пропановой кислоты.
(s) Обрабатывая тем же способом, что в стандартном примере 12(а), но используя метиловый эфир (R)-3-[(пиридазин-3-карбонил)-амино]-3-(4-аминофенил)-пропановой кислоты [стандартный пример 17(с)] и 4-[3-(2-метилфенилуреидо)]-фенилуксусную кислоту (полученную по описанию примера 21 международной патентной заявки №WO 96/22966), получают метиловый эфир (R)-3-[(пиридазин-3-карбонил)-амино]-3-(4-{4-[3-(2-метилфенил)уреидо]фенилацетиламино}-фенил)-пропановой кислоты.
(t) Обрабатывая тем же способом, что в стандартном примере 12(а), но используя метиловый эфир (R)-3-(бензоиламино)-3-(4-аминофенил)-пропановой кислоты [стандартный пример 13(а)] и 4-[3-(2-метилфенилуреидо)]-фенилуксусную кислоту (полученную по описанию примера 21 международной патентной заявки №WO 96/22966), получают метиловый эфир (R)-3-(бензоиламино)-3-(4-{4-[3-(2-метилфенил)уреидо]фенилацетиламино}-фенил)-пропановой кислоты.
(u) Обрабатывая тем же способом, что в стандартном примере 12(а), но используя метиловый эфир (R)-3-[(4-метоксикарбонилбутаноил)амино]-3-(4-аминофенил)-пропановой кислоты [стандартный пример 18] и 4-[3-(2-метилфенилуреидо)]-фенилуксусную кислоту (полученную по описанию примера 21 международной патентной заявки №WO 96/22966), получают метиловый эфир (R)-3-[(4-метоксикарбонилбутаноил)амино]-3-(4-{4-[3-(2-метилфенил)уреидо]фенидацетиламино}-фенил)-пропановой кислоты.
(v) Обрабатывая тем же способом, что в стандартном примере 12(а), но используя 4-(4-аминофенил)-тетрагидропиран-2-он (стандартный пример 20), получают 4-(4-{3-метокси-4-[3-(2-метилфенил)уреидо]фенилацетиламино}-фенил)-тетрагидропиран-2-он.
(w) Обрабатывая тем же способом, что в стандартном примере 12(а), но используя этил-3-[4-(N-метиламино)фенил]-бутаноат (стандартный пример 33), получают этиловый эфир 3-(4-{3-метокси-4-[3-(2-метилфенил)уреидо]фенилацетил}-N-метиламино)фенил]-бутановой кислоты.
(х) Обрабатывая тем же способом, что в стандартном примере 12(а), но используя диэтиловый эфир 3-(4-аминофенил)-пентандионовой кислоты (стандартный пример 36), получают диэтиловый эфир 3-(4-{3-метокси-4-[3-(2-метилфенил) уреидо]-фенилацетиламино}фенил)-пентандионовой кислоты.
(у) Обрабатывая тем же способом, что в стандартном примере 12(а), но используя диметиловый эфир (R)-3-[(4-карбоксипиридин-3-карбонил)-амино]-3-(4-аминофенил)-пропановой кислоты [стандартный пример 17(d)], получают диметиловый эфир (R)-3-[(4-карбоксипиридин-3-карбонил)-амино]-3-(4-{3-метокси-4-[3-(2-метилфенил)уреидо]-фенилацетиламино}фенил)-пропановой кислоты.
(z) Обрабатывая тем же способом, что в стандартном примере 12(а), но используя метиловый эфир (R)-3-[2,2-ди(гидроксиметил)пропаноиламино]-3-(4-аминофенил)-пропановой кислоты [стандартный пример 17(е)], получают метиловый эфир (R)-3-[2,2-ди(гидроксиметил)пропаноиламино]-3-(4-{3-метокси-4-[3-(2-метилфенил)уреидо]-фенилацетиламино}фенил)-пропановой кислоты.
(aa) Обрабатывая тем же способом, что в стандартном примере 12(а), но используя метиловый эфир (R)-3-[2-(4-метилпиперазин-1-ил)-ацетиламино]-3-(4-аминофенил)-пропановой кислоты [стандартный пример 17(f)], получают метиловый эфир (R)-3-[2-(4-метилпиперазин-1-ил)-ацетиламино]-3-(4-{3-метокси-4-[3-(2-метилфенил)уреидо]-фенилацетиламино}фенил)-пропановой кислоты.
(ab) Обрабатывая тем же способом, что в стандартном примере 12(а), но используя метиловый эфир (R)-3-[2-(карбоксиметилокси)-ацетиламино]-3-(4-аминофенил)-пропановой кислоты [стандартный пример 17(g)], получают диметиловый эфир (R)-3-[2-(карбоксиметилокси)-ацетиламино]-3-(4-{3-метокси-4-[3-(2-метилфенил)уреидо]-фенилацетиламино}фенил)-пропановой кислоты.
СТАНДАРТНЫЙ ПРИМЕР 13
(а) Метиловый эфир (R)-3-бензоиламино-3-(4-аминофенил)-пропановой кислоты
Раствор метилового эфира (R)-3-амино-3-[4-(трет-буток-сикарбониламино)фенил]-пропановой кислоты [3,0 г, стандартный пример 7(с)] в диметилформамиде (50 мл) обрабатывают бензоилхлоридом (1,24 мл) и триэтиламином (1,56 мл). После перемешивания при температуре окружающей среды в течение 2,25 часа смесь упаривают досуха и полученный твердый продукт промывают водой перед сушкой в вакууме. Полученный твердый продукт (3,8 г) растворяют в дихлорметане (70 мл) и раствор обрабатывают трифторуксусной кислотой (20 мл). После перемешивания при температуре окружающей среды в течение 45 минут реакционную смесь упаривают. Остаток обрабатывают толуолом (70 мл), концентрируют досуха и полученный продукт обрабатывают дихлорметаном (200 мл). Образовавшуюся суспензию обрабатывают при перемешивании насыщенным водным раствором карбоната калия (20 мл) при температуре окружающей среды в течение 5 минут. Органический слой отделяют, сушат над сульфатом магния и затем упаривают, получая указанное в заглавии соединение в виде белой пены (2,0 г).
(b) Метиловый эфир (R)-3-ацетиламино-3-(4-аминофенил)-пропановой кислоты
Раствор метилового эфира (R)-3-амино-3-[4-(трет-буток-сикарбониламино)фенил]-пропановой кислоты [7,2 г, стандартный пример 7(с)] в диметилформамиде (30 мл) обрабатывают уксусным ангидридом (2,4 мл) и диизопропилэтиламином (4,6 мл). После перемешивания при температуре окружающей среды в течение 10 минут смесь выливают в воду (500 мл) и затем дважды экстрагируют этилацетатом (200 мл). Объединенные органические экстракты промывают раствором соли (200 мл), затем сушат над сульфатом магния и упаривают. Образующуюся белую пену (8,5 г) растворяют в дихлорметане (75 мл) и раствор обрабатывают трифторуксусной кислотой (17 мл). После перемешивания при температуре окружающей среды в течение 3 часов реакционную смесь упаривают. Остаток обрабатывают толуолом (70 мл), концентрируют досуха и полученный продукт обрабатывают при перемешивании дихлорметаном (200 мл) при температуре окружающей среды в течение 5 минут. Органический слой отделяют, сушат над сульфатом магния и затем упаривают, получая указанное в заглавии соединение (4,1 г) в виде белой пены.
(с) Обрабатывая тем же способом, что в стандартном примере 13(b), но используя N-(бензилоксикарбонилокси)сукцинимид вместо уксусного ангидрида, получают метиловый эфир (R)-3-бензилоксикарбониламино-3-(4-аминофенил)-пропановой кислоты.
(d) Обрабатывая тем же способом, что в стандартном примере 13(а), но используя фенилсульфонилхлорид вместо бензоилхлорида, получают метиловый эфир (R)-3-фенилсульфониламино-3-(4-аминофенил)-пропановой кислоты.
(e) Обрабатывая тем же способом, что в стандартном примере 13(а), но используя пиридин-3-карбонилхлорид вместо бензоилхлорида, получают метиловый эфир (R)-3-(пиридин-3-карбониламино)-3-(4-аминофенил)-пропановой кислоты.
(f) Обрабатывая тем же способом, что в стандартном примере 13(а), но используя пиридин-3-сульфонилхлорид (стандартный пример 14) вместо бензоилхлорида, получают метиловый эфир (R)-3-(пиридин-3-сульфониламино)-3-(4-аминофенил)-пропановой кислоты.
(g) Обрабатывая тем же способом, что в стандартном примере 13(b), но используя метиловый эфир (R)-3-метиламино-3-[4-(трет-бутоксикарбониламино)фенил]-пропановой кислоты [стандартный пример 7(d)] вместо метилового эфира 3-амино-3-[4-(трет-бутоксикарбониламино)фенил]-пропановой кислоты, получают метиловый эфир (R)-3-(N-ацетилметиламино)-3-(4-аминофенил)-пропановой кислоты.
(h) Обрабатывая тем же способом, что в стандартном примере 13(а), но используя метиловый эфир (R)-3-метиламино-3-[4-(трет-бутоксикарбониламино)фенил]-пропановой кислоты [стандартный пример 7(d)] вместо метилового эфира 3-амино-3-[4-(трет-бутоксикарбониламино)фенил]-пропановой кислоты и метансульфонилхлорид вместо уксусного ангидрида, получают метиловый эфир (R)-3-(N-метансульфонилметиламино)-3-(4-аминофенил)-пропановой кислоты.
(i) Обрабатывая тем же способом, что в стандартном примере 13(а), но используя 5-метилизоксазол-3-карбонилхлорид вместо бензоилхлорида, получают метиловый эфир (R)-3-[(5-метилизоксазол-3-карбонил)-амино]-3-(4-аминофенил)-пропановой кислоты.
(j) Обрабатывая тем же способом, что в стандартном примере 13(а), но используя 2-тиофенкарбонилхлорид вместо бензоилхлорида, получают метиловый эфир (R)-3-[(тиофен-2-карбонил)-амино]-3-(4-аминофенил)-пропановой кислоты.
(k) Обрабатывая тем же способом, что в стандартном примере 13(а), но используя метиловый эфир 4-хлоркарбонилбензойной кислоты вместо бензоилхлорида, получают метиловый эфир (R)-3-[(4-метоксикарбонилбензоил)-амино]-3-(4-аминофенил)-пропановой кислоты.
СТАНДАРТНЫЙ ПРИМЕР 14
Пиридин-3-сульфонилхлорид
Смесь пиридин-3-сульфокислоты (5,0 г), пентахлорида фосфора (8,0 г), оксихлорида фосфора (30 мл) и хлороформа (30 мл) перемешивают при 120°С 18 часов. Реакционную смесь охлаждают до комнатной температуры, затем разбавляют хлороформом (30 мл) и потом фильтруют. Газообразный хлористый водород барботируют через фильтрат в течение 15 минут и образовавшийся осадок собирают. Этот продукт сушат в вакууме, получая указанное в заглавии соединение в виде белого твердого вещества.
СТАНДАРТНЫЙ ПРИМЕР 15
3-Метилтио-4-[3-(2-метилфенил)уреидо]фенилуксусная кислота
Перемешиваемую суспензию трет-бутилата калия (16 г) в сухом диметилформамиде (50 мл) охлаждают до 0°С и обрабатывают, добавляя по каплям в течение 2 часов, раствором метилдихлорацетата (12 мл) и 2-метилтионитробензола (10,5 г, получен по методике, описанной в J. Org. Chem., 1993, 21, 5628) в диметилформамиде (50 мл). После перемешивания в течение еще 1 часа смесь нагревают до температуры окружающей среды и затем реакцию гасят, добавляя воду (10 мл) и соляную кислоту (10 мл, 1 М). Смесь распределяют между этилацетатом (600 мл) и соляной кислотой (100 мл, 1 М). Органическую фазу отделяют, затем сушат над сульфатом магния и потом упаривают. Остаток подвергают флэш-хроматографии на силикагеле, элюируя смесью пентана и диэтилового эфира (7:3, в отношении объемов), что дает желтый твердый продукт (7,55 г). Этот продукт растворяют в уксусной кислоте (100 мл) и к раствору добавляют порциями цинк в порошке (16 г), затем нагревают до температуры кипения с обратным холодильником в течение 90 минут. После охлаждения смесь фильтруют через слой диатомовой земли. Фильтрат упаривают и остаток растворяют в этилацетате (500 мл). Раствор трижды промывают насыщенным водным раствором бикарбоната натрия (100 мл), затем трижды – соляной кислотой (100 мл, 1 М). рН объединенных солянокислых промывных вод доводят до 10, добавляя гидроокись натрия (3 М). Раствор трижды экстрагируют этилацетатом (200 мл). Объединенные органические экстракты промывают раствором соли (200 мл), затем сушат над сульфатом магния и упаривают. Остаток подвергают флэш-хроматографии на силикагеле, элюируя смесью пентана и диэтилового эфира (80:20, в отношении объемов), что дает желтое масло (1,35 г). Продукт обрабатывают раствором 2-метилфенилизоцианата (0,8 мл) в этилацетате (30 мл) и смесь нагревают до температуры кипения с обратным холодильником в течение 2 часов. После охлаждения образовавшийся осадок фильтруют и затем растворяют в дихлорметане (100 мл). Этот раствор промывают соляной кислотой (20 мл, 1 М), затем раствором соли (20 мл), после чего сушат над сульфатом магния и упаривают, получая указанное в заглавии соединение (1,2 г) в виде белого твердого вещества.
СТАНДАРТНЫЙ ПРИМЕР 16
(a) 3-Метилсульфинил-4-[3-(2-метилфенил)уреидо]-фенилуксусная кислота
Смесь 3-метилтио-4-[3-(2-метилфенил)уреидо]фенилуксусной кислоты (0,2 г, стандартный пример 15), мета-хлорнадбензойной кислоты (61 мг) и метанола (25 мл) перемешивают при температуре окружающей среды в течение 1 часа и затем упаривают. Остаток растирают с этилацетатом, получая указанное в заглавии соединение (0,17 г) в виде белого твердого вещества.
(b) Обрабатывая тем же способом, что в стандартном примере 16(а), но используя 3-метилсульфинил-4-[3-(2-метилфенил)уреидо]-фенилуксусную кислоту [стандартный пример 16(а)], получают 3-метилсульфонил-4-[3-(2-метилфенил)уреидо]-фенилуксусную кислоту.
СТАНДАРТНЫЙ ПРИМЕР 17
(a) Метиловый эфир (R)-3-(2-метоксиэтокси)-ацетиламино-3-(4-аминофенил)-пропановой кислоты
Смесь метилового эфира (R)-3-амино-3-[4-(трет-буток-сикарбониламино)фенил]-пропановой кислоты [0,75 г, стандартный пример 7(с)], 2-(2-метоксиэтокси)уксусной кислоты (0,3 мл), О-(7-азабензотриазол-1-ил)-1,1,3,3-тетраметилуронийгексафторфосфата (1,02 г), диизопропилэтиламина (0,9 мл) и диметилформамида (25 мл) перемешивают при температуре окружающей среды в течение 2 часов. Реакционную смесь выливают в воду (150 мл) и собирают образовавшийся твердый продукт. Полученное желтовато-коричневое твердое вещество растворяют в дихлорметане (15 мл) и раствор обрабатывают трифторуксусной кислотой (3 мл). После перемешивания при температуре окружающей среды в течение 2 часов реакционную смесь упаривают. Остаток обрабатывают толуолом (50 мл), концентрируют досуха и полученный продукт обрабатывают этилацетатом (50 мл). Образовавшуюся суспензию обрабатывают при перемешивании насыщенным водным раствором карбоната калия (20 мл) при температуре окружающей среды в течение 5 минут. Органический слой отделяют, сушат над сульфатом магния и затем упаривают, получая указанное в заглавии соединение (0,5 г) в виде желтого масла.
(b) Обрабатывая тем же способом, что в стандартном примере 17(а), но используя тетрагидропиран-4-карбоновую кислоту (полученную по методике, описанной в J. Med. Chem., 1994, Vol. 37(26), 4538-4553) вместо 2-(2-метоксиэтокси)уксусной кислоты, получают метиловый эфир (R)-3-[(тетрагидропиран-4-карбонил)амино]-3-(4-аминофенил)-пропановой кислоты.
(c) Обрабатывая тем же способом, что в стандартном примере 17(а), но используя пиридазин-3-карбоновую кислоту (полученную по методике, описанной в J. Het. Сhem., 1975, Vol. 12(5), 957-961) вместо 2-(2-метоксиэтокси)уксусной кислоты, получают метиловый эфир (R)-3-[(пиридазин-3-карбонил)-амино]-3-(4-аминофенил)-пропановой кислоты.
(d) Обрабатывая тем же способом, что в стандартном примере 17(а), но используя 2-метоксикарбонилпиридин-5-карбоновую кислоту (стандартный пример 38) вместо 2-(2-метоксиэтокси)уксусной кислоты, получают диметиловый эфир (R)-3-[(4-карбоксипиридин-3-карбонил)-амино]-3-(4-аминофенил)-пропановой кислоты.
(e) Обрабатывая тем же способом, что в стандартном примере 17(а), но используя 2,2-бис(гидроксиметил)пропионовую кислоту вместо 2-(2-метоксиэтокси)уксусной кислоты, получают метиловый эфир (R)-3-[2,2-ди(гидроксиметил)пропаноиламино]-3-(4-аминофенил)-пропановой кислоты.
(f) Обрабатывая тем же способом, что в стандартном примере 17(а), но используя 2-(4-метилпиперазин-1-ил)уксусную кислоту (стандартный пример 39) вместо 2-(2-метоксиэтокси)уксусной кислоты, получают метиловый эфир (R)-3-[2-(4-метилпиперазин-1-ил)-ацетиламино]-3-(4-аминофенил)-пропановой кислоты.
(g) Обрабатывая тем же способом, что в стандартном примере 17(а), но используя монометиловый эфир дигликолевой кислоты (полученный нагреванием до температуры кипения с обратным холодильником дигликолевого ангидрида в метаноле) вместо 2-(2-метоксиэтокси)уксусной кислоты, получают метиловый эфир (R)-3-[2-(карбоксиметилокси)-ацетиламино]-3-(4-аминофенил)-пропановой кислоты.
СТАНДАРТНЫЙ ПРИМЕР 18
Метиловый эфир (R)-3-[(4-метоксикарбонилбутаноил)амино]-3-(4-аминофенил)-пропановой кислоты
Концентрированную азотную кислоту (50 мл) охлаждают до -30 С и порциями добавляют (R)-3-(4-карбоксибутаноиламино)-3-фенилпропановую кислоту (27 г, стандартный пример 19). Образовавшийся твердый продукт фильтруют и сушат, получая белое твердое вещество (13 г). Часть этого вещества (15 г) растворяют в метаноле (375 мл) и раствор обрабатывают концентрированной серной кислотой (7,5 мл), затем нагревают при температуре кипения с обратным холодильником в течение 90 минут. После охлаждения до комнатной температуры смесь упаривают. Остаток растворяют в этилацетате (250 мл) и раствор промывают водой (200 мл), насыщенным водным бикарбонатом натрия (200 мл) и раствором соли (200 мл). Органический слой сушат над сульфатом магния и затем упаривают, получая белый твердый продукт (16 г). Раствор этого продукта в этилацетате (450 мл) обрабатывают 10% палладием на углероде (2,5 г) и затем перемешивают при температуре окружающей среды в течение 3 часов в атмосфере водорода. Реакционную смесь фильтруют, пропуская через слой диатомовой земли и фильтрат упаривают, получая указанное в заглавии соединение (15 г) в виде светло-желтого масла.
СТАНДАРТНЫЙ ПРИМЕР 19
(R) -3-(4-Карбоксибутаноиламино)-3-фенилпропановая кислота
Раствор (R)-3-амино-3-фенилпропановой кислоты (10 г, полученной, в основном, по методике, описанной в Tetrahedron Letters, 1972, 27, 2789-92) в дихлорметане (150 мл) обрабатывают метил-4-(хлорформил)бутиратом (7,9 мл) и впоследствии триэтиламином (8,6 мл). Реакционную смесь перемешивают при температуре окружающей среды в течение 90 минут и реакцию обрывают, добавляя воду (50 мл). Органический слой промывают соляной кислотой (1 М), сушат над сульфатом магния и упаривают, получая в остатке белое твердое вещество (17 г). Раствор этого продукта в метаноле (50 мл) обрабатывают гидроокисью натрия (90 мл, 1 М) и нагревают до 40°С в течение 1 часа. По прошествии этого времени реакционную смесь охлаждают, концентрируют до низкого объема и подкисляют до рН 1,0 с помощью концентрированной соляной кислоты. Образовавшийся твердый продукт собирают, промывают водой и сушат, получая указанное в заглавии соединение (6 г) в виде белого твердого вещества.
СТАНДАРТНЫЙ ПРИМЕР 20
4-(4-Аминофенил)-тетрагидропиран-2-он
3-Фенилглутаровую кислоту (23,3 г) добавляют к концентрированной серной кислоте (90 мл) при 10°С и затем к перемешиваемой смеси добавляют по каплям в течение 20 минут дымящуюся азотную кислоту (4,7 мл), следя за тем, чтобы температура реакционной смеси не превышала 10°С. Образовавшийся раствор, перемешивают при температуре окружающей среды в течение 1 часа и затем выливают на избыточное количество льда. Полученный твердый продукт собирают и перекристаллизовывают из смеси толуола и циклогексана, что приводит к образованию светло-коричневого твердого вещества (27,1 г). Часть этого вещества (13,0 г) суспендируют в уксусном ангидриде (70 мл) и смесь нагревают до 85°С. После перемешивания при 85°С в течение 150 минут смесь охлаждают до комнатной температуры и упаривают. Остаток обрабатывают толуолом (100 мл) и смесь упаривают, получая ангидрид 3-(4-нитрофенил)глу-таровой кислоты в виде светло-коричневого твердого вещества (14,2 г). Часть этого вещества (10 г) растворяют в тетрагидрофуране (50 мл) и раствор добавляют по каплям к перемешиваемой, охлажденной (0°С) суспензии борогидрида натрия (1,77 г) в тетрагидрофуране (50 мл). Затем реакционную смесь перемешивают при 0°С в течение 4 часов, после чего реакцию гасят, добавляя по каплям соляную кислоту (70 мл, 6 М). Смесь трижды экстрагируют этилацетатом (200 мл). Объединенные экстракты сушат над сульфатом магния и затем упаривают. Остаток обрабатывают толуолом (500 мл), затем п-толуолсульфокислотой (600 мг). Смесь нагревают до температуры окружающей среды в течение 18 часов, затем охлаждают до комнатной температуры, после чего промывают насыщенным водным раствором бикарбоната натрия (200 мл) и потом упаривают. Остаток подвергают флэш-хроматографии на силикагеле, элюируя смесью циклогексана и этилацетата (2:3, в отношении объемов), что дает белый твердый продукт (3,0 г). Это вещество растворяют в этилацетате (200 мл) и раствор обрабатывают 10% палладием на углероде (0,35 г) и перемешивают при температуре окружающей среды в атмосфере водорода в течение 18 часов. Реакционную смесь фильтруют через небольшой слой диатомовой земли и фильтрат упаривают, получая указанное в заглавии соединение (2,5 г) в виде белого твердого вещества.
СТАНДАРТНЫЙ ПРИМЕР 21
трет-Бтиловый эфир (R)-3-[(N-ацетил-N-метил)амино]-3-(4-{4-[3-(2-метилфенил)уреидо]-фенилацетил-N-метиламино}фенил)-пропионовой кислоты
трет-Бутиловый эфир (R)-3-[4-(N-бензилоксикарбонил-N-метил)аминофенил]-3-[(N-ацетил-N-метил)амино}-пропионовой кислоты (1 г, стандартный пример 22) растворяют в смеси трифторуксусной кислоты в дихлорметане (40 мл, 5%) при комнатной температуре. Через 2 часа смесь распределяют между дихлорметаном и водным раствором бикарбоната натрия. Органический слой отделяют, затем сушат над сульфатом магния и затем упаривают. Остаток растворяют в диметилформамиде (5 мл) и добавляют к полученной заранее смеси 4-[3-(2-метилфенил)уреидо]-фенилуксусной кислоты (74 мг), О-(7-азабензотриазол-1-ил)-1,1,3,3-тетраметилуронийгексафторфосфата (1,0 г) и диизопропилэтиламина (670 мг) в диметилформамиде (15 мл). После перемешивания в течение 4 часов смесь распределяют между этилацетатом и водной соляной кислотой (1 М). Органическую фазу промывают водным раствором бикарбоната натрия, затем сушат над сульфатом магния и потом упаривают. Остаток чистят флэш-хроматографией на силикагеле, элюируя этилацетатом, что дает указанное в заглавии соединение (650 мг) в виде бесцветного масла.
СТАНДАРТНЫЙ ПРИМЕР 22
трет-Бутиловый эфир (R)-3-[4-(N-бензилоксикарбонил-N-метил)аминофенил]-3-[(N-ацетил-N-метил)амино}-пропионовой кислоты
К трет-бутиловому эфиру (R)-3-[4-(N-бензилоксикарбонил-N-метил)аминофенил]-3-(N-метиламино)-пропионовой кислоты (6 г, стандартный пример 23), растворенному в смеси тетрагидрофурана (100 мл) и триэтиламина (5,4 г), добавляют по каплям хлористый ацетил (2,12 г), что приводит к немедленному выпадению осадка. Смесь перемешивают в течение 30 минут, затем распределяют между этилацетатом и водной соляной кислотой (1 М). Органическую фазу отделяют, промывают водным раствором бикарбоната натрия, затем сушат над сульфатом магния и потом упаривают, получая указанное в заглавии соединение (6 г) в виде светло-желтого масла.
СТАНДАРТНЫЙ ПРИМЕР 23
трет-Бутиловый эфир (R)-3-[4-(N-бензилоксикарбонил-N-метил)аминофенил]-3-(N-метиламино)-пропионовой кислоты
Раствор трет-бутилового эфира (R)-3-[4-(N-бензилоксикарбонил-N-метил)аминофенил]-3-[N-((S)-альфа-метилбензил)метиламино]-пропионовой кислоты (6,5 г, стандартный пример 24) в этаноле (50 мл) нагревают до 60°С, затем последовательно обрабатывают муравьиной кислотой (4 мл) и 10% палладием на углероде (2 г). Смесь перемешивают при 60°С в течение 1 часа, затем охлаждают до комнатной температуры, после чего фильтруют через ускоритель фильтрования для удаления отработанного катализатора, а затем упаривают. Остаток распределяют между этилацетатом и водным раствором бикарбоната натрия. Органическую фазу сушат над сульфатом магния и затем упаривают, получая указанное в заглавии соединение (6 г) в виде бесцветного масла.
СТАНДАРТНЫЙ ПРИМЕР 24
трет-Бутиловый эфир (R)-3-[4-(N-бензилоксикарбонил-N-метил)аминофенил]-3-[N-((S)-альфа-метилбензил)метиламино]-пропионовой кислоты
Раствор (S)-N-(альфа-метилбензил)метиламина (3,8 г) в тетрагидрофуране (60 мл) охлаждают ниже -70°С под слоем азота, затем обрабатывают раствором бутиллития в гексане (11,3 мл, 2,5 М), поддерживая температуру около -60°С или ниже. Через 10 минут после завершения обработки медленно, приблизительно за 20 минут, добавляют раствор трет-бутилового эфира 3-[4-(N-бензилоксикарбонил-N-метил)аминофенил]-акриловой кислоты (4,7 г, стандартный пример 25) в тетрагидрофуране (40 мл). После еще 20 минут при температуре ниже -70°С охлажденную реакционную смесь выливают непосредственно в смесь этилацетата и раствора соли, затем слои разделяют и органическую фазу сушат над сульфатом магния и потом упаривают. Остаток подвергают флэш-хроматографии на двуокиси кремния, элюируя смесью этилацетата и циклогексана (3:7, в отношении объемов), что дает указанное в заглавии соединение (5,5 г) в виде бесцветного масла.
СТАНДАРТНЫЙ ПРИМЕР 25
трет-Бутиловый эфир 3-[4-(N-бензилоксикарбонил-N-метил)аминофенил]-акриловой кислоты
N-Бензилоксикарбонил-N-метил-4-иоданилин (11 г, стандартный пример 26), трет-бутилакрилат (8,4 г), трис-[(2-толил)фосфин] (0,5 г) и ацетат палладия (0,15 г) растворяют в смеси диметилформамида (20 мл) и триэтиламина (7,1 г) и перемешивают при 90°С в атмосфере азота в течение ночи. Реакционную смесь распределяют между этилацетатом и водной соляной кислотой (1 М). Органическую фазу промывают водным раствором бикарбоната натрия (5%), затем сушат над сульфатом магния и потом упаривают. Остаток перекристаллизовывают из циклогексана, получая указанное в заглавии соединение (7,4 г) в виде не совсем белого твердого вещества.
СТАНДАРТНЫЙ ПРИМЕР 26
N-Бензилоксикарбонил-N-метил-4-иоданилин
Перемешиваемый раствор N-бензилоксикарбонил-4-иоданилина (11,5 г, стандартный пример 27) в диметилформамиде (70 мл) обрабатывают, добавляя порциями гидрид натрия (1,6 г 60% дисперсии в масле), в атмосфере азота, при комнатной температуре. После прекращения выделения пузырьков добавляют метилиодид (6,3 г) и смесь перемешивают при комнатной температуре в течение 2 часов, после чего ее распределяют между этилацетатом и водой. Органическую фазу отделяют, затем сушат над сульфатом магния и потом упаривают, получая указанное в заглавии соединение (11,5 г) в виде масла розового цвета.
СТАНДАРТНЫЙ ПРИМЕР 27
N-Бензилоксикарбонил-4-иоданилин
Раствор 4-иоданилина (10 г) в тетрагидрофуране (100 мл) обрабатывают за один прием бензилоксикарбонилангидридом (12 г). Смесь перемешивают, нагревая до температуры кипения с обратным холодильником в течение ночи, затем упаривают до небольшого объема. Остаток распределяют между этилацетатом и водной соляной кислотой (1 М). Органическую фазу промывают водным раствором бикарбоната натрия (5%), затем сушат над сульфатом магния и потом упаривают. Остаток перекристаллизовывают из циклогексана, получая указанное в заглавии соединение (12,4 г) в виде светло-фиолетовых кристаллов.
СТАНДАРТНЫЙ ПРИМЕР 28
(a) Метиловый эфир (R)-3-(4-карбоксибутаноиламино)-3-(4-{3-метокси-4-[3-(2-метилфенил)уреидо]-фенилацетиламино}фенил)-пропановой кислоты
Перемешиваемую суспензию метилового эфира (R)-3-амино-3-(4-{3-метокси-4-[3-(2-метилфенил)уреидо]фенилацетиламино}-фенил)-пропановой кислоты (0,75 г, стандартный пример 30) в безводном тетрагидрофуране (25 мл) в атмосфере аргона обрабатывают глутаровым ангидридом (0,18 г). После перемешивания при температуре окружающей среды в течение 4 часов реакционную смесь упаривают, получая указанное в заглавии соединение (1,0 г) в виде белого твердого вещества.
(b) Обрабатывая тем же способом, что в стандартном примере 28(а), но используя янтарный ангидрид вместо глутарового ангидрида, получают метиловый эфир (R)-3-(3-карбоксипропаноиламино)-3-(4-{3-метокси-4-[3-(2-метилфенил)уреидо]-фенилацетиламино}фенил)-пропановой кислоты.
(c) Обрабатывая тем же способом, что в стандартном примере 28(а), но используя 3,3-диметилглутаровый ангидрид вместо глутарового ангидрида, получают метиловый эфир (R)-3-[(4-карбокси-3,3-диметилбутаноил)амино]-3-(4-{3-метокси-4-[3-(2-метилфенил)уреидо]-фенилацетиламино}фенил)-пропановой кислоты.
СТАНДАРТНЫЙ ПРИМЕР 29
(a) Метиловый эфир (R)-3-(5-диметиламино-1-нафталинсульфониламино)-3-(4-{3-метокси-4-[3-(2-метилфенил)уреидо]фенилацетиламино}фенил)-пропановой кислоты
Смесь метилового эфира (R)-3-амино-3-(4-{3-метокси-4-[3-(2-метилфенил)уреидо)фенилацетиламино}фенил)-пропановой кислоты (0,75 г, стандартный пример 30), безводного тетрагидрофурана (25 мл), dansyl-хлорида (0,62 г) и триэтиламина (1,0 мл) помещают в атмосферу азота и перемешивают при температуре окружающей среды в течение 4 часов, затем нагревают до температуры кипения с обратным холодильником в течение 2 часов. Реакционную смесь охлаждают, затем фильтруют. Фильтрат упаривают и остаток подвергают флэш-хроматографии на силикагеле, элюируя смесью дихлорметана и метанола (49:1, в отношении объемов), получают указанное в заглавии соединение (0,89 г) в виде желтого твердого вещества.
(b) Обрабатывая тем же способом, что в стандартном примере 29(а), но используя 1-метилимидазол-4-сульфонилхлорид вместо dansyl-хлорида, получают метиловый эфир (R)-3-(1-метилимидазол-4-илсульфониламино)-3-(4-{3-метокси-4-[3-(2-метилфенил)уреидо]-фенилацетиламино}фенил)-пропановой кислоты.
СТАНДАРТНЫЙ ПРИМЕР 30
Метиловый эфир (R)-3-амино-3-(4-{3-метокси-4-[3-(2-метилфенил) уреидо)фенилацетиламино}фенил)-пропановой кислоты
Смесь метилового эфира (R)-3-бензилоксикарбониламино-3-(4-{3-метокси-4-[3-(2-метилфенил)уреидо)фенилацетиламино}-фенил)-пропановой кислоты (18,55 г), этанола (750 мл) и муравьиной кислоты (18 мл) в атмосфере водорода нагревают до температуры кипения с обратным холодильником. К реакционной смеси добавляют порциями 10% палладий на углероде (3,0 г) за период времени, равный 1 часу, и затем дополнительно нагревают до температуры кипения в течение еще 1 часа. Реакционную смесь фильтруют через небольшой слой диатомовой земли и фильтрующий слой трижды промывают этанолом (75 мл) и водой (75 мл). Объединенный фильтрат и промывные воды упаривают. Остаток тщательно обрабатывают водным раствором бикарбоната натрия (600 мл, 0,6 М), с последующим перемешиванием в течение 15 минут. Образовавшийся белый твердый продукт собирают, дважды промывают водой (100 мл), затем кипятят в ацетонитриле в присутствии активированного угля (150 мг). Еще горячую смесь фильтруют через небольшой слой диатомовой земли и фильтрат охлаждают на льду, получая указанное в заглавии соединение (7,6 г) в виде белого твердого вещества, т.пл. 189-191°С.
СТАНДАРТНЫЙ ПРИМЕР 31
3-Метокси-4-[3-(2-метилфенил)уреидо]-фенилуксусная кислота
Суспензию метилового эфира 3-метокси-4-[3-(2-метилфенил)уреидо]-фенилуксусной кислоты (19,43 г, стандартный пример 32) в метаноле (195 мл) обрабатывают раствором гидроокиси натрия (65 мл, 1 н.) и смесь нагревают до температуры кипения с обратным холодильником в течение 1 часа, получая прозрачный раствор. Реакционную смесь охлаждают до комнатной температуры и фильтруют. Фильтрат разбавляют водой до 390 мл, затем нагревают до 50°С и потом подкисляют до рН 1, добавляя соляную кислоту (80 мл, 1 н.) в течение 1 часа. Образовавшуюся суспензию перемешивают дополнительно в течение 30 минут при 50°С, затем дают охладиться до комнатной температуры и потом фильтруют. Твердый продукт дважды промывают водой (200 мл), затем сушат, получая указанное в заглавии соединение (15,72 г) в виде белого твердого вещества, т.пл. 179-181°С (с разложением).
СТАНДАРТНЫЙ ПРИМЕР 32
Метиловый эфир 3-метокси-4-[3-(2-метилфенил)уреидо]-фенилуксусной кислоты
Суспензию трет-бутилата калия (1,44 кг) в диметилформамиде (6,6 л) охлаждают до температуры от -5 до -10°С и обрабатывают смесью 2-нитроанизола (690 г) и метилдихлорацетата (915 г) за 4 часа, поддерживая при этом температуру ниже -5°С. После чего реакционную смесь обрабатывают уксусной кислотой (770 мл) и затем водой (6,6 л), а потом трижды экстрагируют трет-бутилметиловым эфиром (5,5 л). Объединенные экстракты промывают водой (5,5 л), затем насыщенным раствором бикарбоната натрия (5,5 л), потом насыщенным раствором соли (5,5 л) и потом сушат над сульфатом магния, получая метил- -хлор-3-метокси-4-нитрофенилацетат. Этот раствор концентрируют до половины объема при пониженном давлении и затем обрабатывают тетрагидрофураном (2 л), после чего триэтиламином (751 мл), затем 10% палладием на углероде (58,4 г) и смесь гидрируют при 50°С в течение 8 часов при давлении водорода 50 фунт/кв.дюйм. Смесь охлаждают до комнатной температуры и фильтруют. Фильтрат сушат над сульфатом магния, получая раствор метил-4-амино-3-метоксифенилацетата, который нагревают до температуры кипения с обратным холодильником и затем обрабатывают о-толилизоцианатом (598,5 г) в течение 30 минут. После нагревания до температуры перегонки в течение еще 3 часов (в течение этого времени осаждается твердый продукт) смесь охлаждают до комнатной температуры. Твердый продукт собирают, дважды промывают трет-бутилметиловым эфиром (4 л), затем сушат в вакуумной печи при 60°С, получая указанное в заглавии соединение (764,8 г) в виде белого твердого вещества, т.пл. 167-168°С.
СТАНДАРТНЫЙ ПРИМЕР 33
Этил-3-[4-(N-метиламино)фенил]-бутаноат
Смесь (Е)-этил-3-метил-3-(4-нитрофенил)-пропеноата (11,5 г, полученного по методике, подобной описанной в J.Med.Chem. 1968, 11, 672), этанола (200 мл), уксусной кислоты (200 мл) и 10% палладия на углероде (1 г) перемешивают при температуре окружающей среды в атмосфере водорода (2 бар) в течение 6 часов. Реакционную смесь фильтруют через небольшой слой диатомовой земли. Фильтрат упаривают и остаток подвергают флэш-хроматографии на силикагеле, элюируя смесью пентана и этилацетата (4:1, в отношении объемов) и получая желтое масло (6,5 г). Часть этого продукта (3,0 г) растворяют в тетрагидрофуране (20 мл) и раствор добавляют по каплям к метановому этановому ангидриду [заранее полученному смешиванием 90% муравьиной кислоты (2,4 г) и уксусного ангидрида (3,8 г), последующим нагреванием смеси до 55°С и затем охлаждением до температуры окружающей среды]. Смесь перемешивают при температуре окружающей среды в течение 18 часов и затем упаривают, получая масло (3,5 г). Перемешиваемый раствор этого масла в тетрагидрофуране (20 мл) в атмосфере азота обрабатывают, добавляя по каплям раствор комплекса борана с диметилсульфидом в тетрагидрофуране (3,7 мл, 1 М), и затем смесь нагревают до температуры кипения с обратным холодильником в течение 90 минут. Реакционную смесь охлаждают, обрабатывают метанолом (2 мл) и затем перемешивают при температуре окружающей среды в течение 30 минут. рН смеси доводят до 2,0, добавляя концентрированную соляную кислоту, затем смесь нагревают до температуры кипения с обратным холодильником в течение 1 часа. Реакционную смесь выливают в 10% водный раствор карбоната калия (100 мл) и затем трижды экстрагируют этилацетатом (100 мл). Объединенные экстракты сушат над сульфатом магния и затем упаривают. Остаток подвергают флэш-хроматографии на силикагеле, элюируя смесью пентана и этилацетата (4:1, в отношении объемов), получая указанное в заглавии соединение в виде белого твердого вещества (0,15 г).
СТАНДАРТНЫЙ ПРИМЕР 34
3-(4-{3-Метокси-4-[3-(2-метилфенил)уреидо]фенилацетиламино}фенил)-пентандионовая кислота
Смесь диэтилового эфира 3-(4-{3-метокси-4-[3-(2-метилфенил)уреидо]фенилацетиламино}фенил)-пентандионовой кислоты [8,40 г, стандартный пример 12(х)] и метанола (400 мл) нагревают до 40°С и затем обрабатывают 10% водным раствором гидроокиси натрия (110 мл). После перемешивания при 40°С в течение 1 часа реакционную смесь охлаждают и затем подкисляют до рН 1,0, добавляя соляную кислоту (1 М). Образовавшийся белый твердый продукт собирают, промывают водой и затем сушат в вакууме. Перекристаллизация из этанола дает указанное в заглавии соединение в виде белого кристаллического вещества (4,7 г), т.пл. 218-220°С. Элементный анализ: С 64,5; Н 5,6; N 7,9%. Рассчитано для C28H29N3O7: С 64,7; Н 5,6; N 8,1%.
СТАНДАРТНЫЙ ПРИМЕР 35
Метиловый эфир 3-[4-(трет-бутоксикарбониламино)фенил]-пропеновой кислоты
Раствор гидрохлорида 4-аминокоричной кислоты (50 г) в воде (800 мл) обрабатывают раствором карбоната натрия (33,2 г) и впоследствии – раствором ди(трет-бутокси)карбоната (77,5 мл) в тетрагидрофуране (300 мл). Реакционную смесь перемешивают при температуре окружающей среды в течение 18 часов и концентрируют до небольшого объема (500 мл). Эту смесь подкисляют до рН 2,0, добавляя концентрированную соляную кислоту, и затем дважды экстрагируют этилацетатом (500 мл). Объединенные органические экстракты дважды промывают водой (500 мл), затем раствором соли (500 мл), после чего сушат над сульфатом магния и потом упаривают. Оставшийся белый твердый продукт (47 г) растворяют в диметилформамиде (240 мл) и раствор перемешивают, затем последовательно обрабатывают карбонатом калия (24,8 г) и метилиодидом (11,2 мл). После перемешивания при температуре окружающей среды в течение еще 2 часов реакционную смесь упаривают. Остаток обрабатывают водой (500 мл), затем фильтруют. Образовавшийся твердый продукт промывают водой (200 мл), затем 10% водным карбонатом калия (200 мл), затем водой (200 мл), после чего сушат в вакууме, получая указанное в заглавии соединение в виде белого твердого вещества (46,5 г).
СТАНДАРТНЫЙ ПРИМЕР 36
Диметиловый эфир 3-(4-аминофенил)-пентандионовой кислоты
Концентрированную серную кислоту (100 мл) охлаждают до 10°С и затем обрабатывают 3-фенилглутаровой кислотой (24 г). К перемешиваемой смеси добавляют затем в течение 20 минут по каплям дымящуюся азотную кислоту (5 мл), следя за тем, чтобы температура реакционной смеси не превышала 10°С. Полученный раствор перемешивают при температуре окружающей среды в течение 1,5 часов и затем выливают на избыточное количество льда. Образовавшийся твердый продукт собирают и промывают водой. Остаток растирают с ацетонитрилом (100 мл) и сушат в вакууме, получая белый твердый продукт (26,5 г). Этот продукт растворяют в метаноле и обрабатывают концентрированной серной кислотой (1,0 мл) и затем нагревают до температуры кипения с обратным холодильником в течение 4 часов. После охлаждения до комнатной температуры смесь упаривают досуха. Остаток обрабатывают насыщенным водным бикарбонатом натрия (100 мл) и образовавшееся твердое вещество собирают и промывают водой. Продукт перекристаллизовывают из диизопропилового эфира, получая неокрашенное твердое вещество (14 г). Раствор этого вещества в этилацетате (550 мл) обрабатывают 10% палладием на углероде (1,4 г) и затем перемешивают при температуре окружающей среды в течение 4 часов в атмосфере водорода. Реакционную смесь фильтруют через небольшой слой диатомовой земли и фильтрат упаривают, получая указанное в заглавии соединение в виде неокрашенного твердого вещества (2,33 г).
СТАНДАРТНЫЙ ПРИМЕР 37
Метиловый эфир (R)-3-[(морфолин-1-ил)-ацетиламино)]-3-(4-{3-метокси-4-[3-(2-метилфенил)уреидо]-фенилацетиламино}-фенил)-пропановой кислоты
Смесь метилового эфира (R)-3-амино-3-(4-{3-метокси-4-[3-(2-метилфенил)уреидо)фенилацетиламино}фенил)-пропановой кислоты (1,0 г, стандартный пример 30), (морфолин-1-ил)-уксусной кислоты (0,33 г, полученной по методике, указанной в Zh. Obshch. Khim, 1953, 23, 794), О-(7-азабензотриазол-1-ил)-1,1,3,3-тетраметилуронийгексафторфосфата (0,76 г), диизопропилэтиламина (1,1 мл) и диметилформамида (6 мл) перемешивают при температуре окружающей среды в течение 2 часов. Затем реакционную смесь выливают в воду (150 мл). Полученный твердый продукт сушат в вакууме, получая указанное в заглавии соединение в виде твердого вещества зеленого цвета (1,31 г).
(b) Обрабатывая тем же способом, что в стандартном примере 37(а), но используя N-(трет-бутоксикарбонилметил)изонипекотиновую кислоту [полученную гидролизом этилового эфира N-(трет-бутоксикарбонилметил)изонипекотиновой кислоты с помощью гидроокиси натрия (J.Med.Chem., 1982, Vol. 25(3), 256)] вместо (морфолин-1-ил)-уксусной кислоты, получают метиловый эфир (R)-3-[(1-трет-бутоксикарбонилметилпиперидин-4-карбонил)-амино-3-(4-{3-метокси-4-[3-(2-метилфенил)уреидо]-фенилацетиламино}фенил)-пропановой кислоты.
СТАНДАРТНЫЙ ПРИМЕР 38
2-Метоксикарбонилпиридин-5-карбоновая кислота
Смесь пиридин-2,5-дикарбоновой кислоты (8,4 г) и концентрированной серной кислоты (1,7 мл) нагревают до температуры кипения с обратным холодильником в течение 2 часов, охлаждают и выливают в воду (1 л). Полученный осадок собирают и перекристаллизовывают из этанола, что дает указанное в заглавии соединение в виде белого твердого вещества, т.пл. 222-223°С.
СТАНДАРТНЫЙ ПРИМЕР 39
2-(4-Метилпиперазин-1-ил)-уксусная кислота
Смесь 1-метилпиперазина (10,7 г), бензилбромацетата (24 г), триэтиламина (28 мл) и дихлорметана (100 мл) перемешивают при температуре окружающей среды в течение 4 часов. Реакционную смесь концентрируют досуха, поглощают тетрагидрофураном (100 мл), фильтруют и фильтрат упаривают досуха. Остаток поглощают метанолом (100 мл), обрабатывают водным раствором гидроокиси натрия (100 мл, 1 М) и перемешивают, нагревая до температуры кипения с обратным холодильником в течение 24 часов. Реакционную смесь концентрируют досуха, разбавляют водой (100 мл) и затем подкисляют до рН 6,0, добавляя концентрированную соляную кислоту. Смесь упаривают. Часть образовавшегося коричневого масла (2,0 г) поглощают водой (100 мл), обрабатывают смолой Dowex 50WX8 (80 г) и перемешивают при температуре окружающей среды в течение 10 минут. Смесь фильтруют и смолу промывают водой до нейтральной реакции промывных вод. Затем смолу перемешивают с 2,0 М водным аммиаком (3 100 мл) в течение 5 минут и фильтруют. Объединенные аммиачные промывные воды концентрируют, получая указанное в заглавии соединение в виде белого смолистого твердого вещества (0,8 г).
МЕТОДИКИ ИСПЫТАНИЙ IN VITRO И IN VIVQ
1. Ингибирующие воздействия соединений по изобретению на VLA-4-зависимую клеточную адгезию к фибронектину и VСАМ.
1.1. Метаболическое мечение RAMOS-клеток.
RAMOS-клетки (пре-В-линия клеток от ЕСАСС, Porton Down, UK) выращивают в RPMI-питательной среде (Gibco, UK), дополненной 5% околоплодной сывороткой теленка (FCS, Gibco, UK). Перед испытанием клетки суспендируют при концентрации 0,5 106 клетки/мл RPMI и метят [3H]-метионином (Amersham, UK) с 400 мкКюри/100 мл·сек в течение 18 часов при 37°С.
1.2. Подготовка 96-ячеечной пластины (плашки) для испытания на адгезию.
Пластины для меченых клеток (Amersham, UK) покрывают 50 мкл/ячейку либо 3 мкг/мл растворимого VCAM-1 человека (R&D Systems Ltd, UK), либо 28,8 мкг/мл фибронектина ткани человека (Sigma, UK). В контрольные ячейки неспецифического связывания добавляют по 50 мкл солевого раствора фосфатного буфера. Затем пластины оставляют на ночь сушиться в инкубаторе при 25°С. На следующий день пластины заполняют 200 мкл/ячейку буфера Pucks’a (Gibco, UK), дополненного 1% BSA (Sigma, UK). Пластины оставляют в темноте при комнатной температуре на 2 часа. Затем заполняющий их буфер удаляют и пластины сушат, переворачивая и осторожно промокая бумажной салфеткой. В соответствующие ячейки пластины, предназначенные для изучения связывания в контрольном тесте и неспецифического связывания, добавляют по 50 мкл/ячейку 3,6% диметилсульфоксида в буфере Pucks’а, дополненном 5 мМ хлористого марганца (для активации интегрин-рецептора Sigma, UK) и 0,2% BSA (Sigma, UK). К ячейкам с пробами добавляют по 50 мкл/ячейку испытуемых соединений при соответствующих концентрациях, разбавляя их 3,6% диметилсульфоксидом в буфере Pucks’а, дополненном 5 мМ хлористого марганца и 0,2% BSA.
Метаболически меченые клетки суспендируют при 4 106 клетки/мл в буфере Pucks’а, дополненном хлористым марганцем и BSA, как указано выше. Во все ячейки пластины добавляют по 50 мкл/ячейку клеток в 3,6% диметилсульфоксиде в буфере Pucks’а и дополняющих веществах.
Используют одну и ту же методику как для пластин, покрытых VCAM-1, так и для пластин, покрытых фибронектином, и получают данные по ингибированию соединениями клеточного связывания с обоими субстратами.
1.3. Проведение испытания и анализ полученных данных.
Пластины, содержащие клетки в ячейках с контрольными пробами и пробами, содержащими соединения, инкубируют в темноте при комнатной температуре в течение 1 часа.
Затем пластины обсчитывают на сцинтилляционном счетчике Wallac Microbeta (Wallac, UK) и регистрацию и обработку данных осуществляют по Microsoft Excel (Microsoft, US). Данные выражают через IC50, т.е. концентрацию ингибитора, при которой наблюдается 50% регулируемое связывание. Процент связывания определяют по уравнению
{[(CTB-CNS)-(CI-CNS)]}/(СTB-СNS)]} 100=%связывания
где Ств обозначает счет импульсов, связанный с ячейками, покрытыми фибронектином (или VCAM-1) в отсутствие ингибитора, cns обозначает счет импульсов, наблюдающийся в ячейках без субстрата и CI обозначает счет импульсов, наблюдающийся в ячейках, содержащих ингибитор клеточной адгезии.
Данные для соединений по изобретению выражают через значения IC50 по ингибированию клеточной адгезии как к фибронектину, так и VCAM-1. Заслуживающие внимания соединения по изобретению ингибируют клеточную адгезию к фибронектину и VCAM-1 с IC50 в интервале от 100 микромолярной до 0,01 наномолярной. Предпочтительные соединения по изобретению ингибируют клеточную адгезию к фибронектину и VCAM-1 с IC50 в интервале от 1,0 микромолярной до 0,01 наномолярной. Осбенно предпочтительные соединения по изобретению ингибируют клеточную адгезию к фибронектину и VCAM-1 с IC50 в интервале от 10 наномолярной до 0,01 наномолярной.
2. Ингибирование антиген-индуцированного воспаления дыхательных путей у мышей и крыс.
2.1. Сенсибилизация животных.
Крыс (Brown Norway, Harland Olac, UK) сенсибилизируют на 0, 12 и 21 дни путем введения овальбумина (100 мкг, внутрибрюшинно [i.p.], Sigma, UK) с адъювантом, гидроокисью алюминия (100 мг, i.p., Sigma, UK), в физиологическом растворе (1 мл, i.p.).
Кроме того, чувствительность мышей (С57) повышают на 0 и 12 дни путем введения овальбумина (10 мкг, i.p.) с адъювантом, гидроокисью алюминия (20 мг, i.p.), в физиологическом растворе (0,2 мл, i.p.).
2.2. Введение антигена.
Крысам вводят антиген в один из дней, между 28-38, тогда как мышам вводят антиген в один из дней, между 20-30.
Животным водят антиген, подвергая их воздействию в течение 30 минут (крыс) или 1 часа (мышей) овальбумином (10 г/л), генерируемым ультразвуковым ингалятором (de Vilbiss Ultraneb, US) и переводят в камеру для обработки.
2.3. Процедура введения лекарственных средств.
Животным вводят лекарственные средства, в,зависимости от обстоятельств (по потребности), до или после введения антигена. Водорастворимые соединения по данному изобретению могут быть приготовлены в воде (для перорального, р.о. дозирования) или физиологическом растворе (для внутритрахеального (i.t.) дозирования). Нерастворимые соединения получают в виде суспензий, путем измельчения и диспергирования твердого вещества с помощью ультразвука в 0,5% метилцеллюлозе/0,2% полисорбате 80 в воде (для р.о. дозирования, оба вещества Merck UK Ltd., UK) или физиологическом растворе (для i.t. дозирования). Объемы вводимых доз: для крыс 1 мл/кг, р.о., или 0,5 мг/кг/ i.t.; для мышей 10 мл/кг, р.о., или 1 мл/кг, i.t.
2.3. Исследование воспаления дыхательных путей. Аккумуляцию клеток в легких определяют через 24 часа после введения антигена (крысам) или 48-72 часа после введения антигена (мышам). Животных умервщляют пентобарбитоном натрия (200 мг/кг, i.p., Pasteur Merieux, France) и сразу же катетеризируют трахею. Клетки выделяют из просветов дыхательных путей посредством бронхоальвеолярного лаважа (BAL) и из легочной ткани с помощью ферментативной (коллагеназа, Sigma, UK) дисагрегации следующим образом.
BAL выполняют промыванием дыхательных путей 2 аликвотами (каждая по 10 мл/кг) питательной среды RPMI 1640 (Gibco, UK), содержащей 10% околоплодной сыворотки теленка (FCS, Serotec Ltd., UK). Выделенные BAL-аликвоты объединяют, производят счет импульсов клеток, как описано ниже.
Сразу же после BAL сосудистую сеть легких промывают RPMI 1640/FCS для удаления кровяного депо клеток. Доли легкого отделяют и разрезают на кусочки по 0,5 мм. Образцы (крысы: 400 мг, мыши: 150 мг) гомогенной легочной ткани инкубируют в RPMI 1640/FCS с коллагеназой (20 ед/мл в течение 2 часов, затем 60 ед/мл в течение 1 часа, 37°С), чтобы выделить клетки из ткани. Выделенные клетки промывают в RPMI 1640/FCS.
Подсчет общего числа лейкоцитов, выделенных из полости дыхательных путей и легочной ткани, производят с помощью автоматического счетчика клеток (Cobas Argos, US). Дифференциальный подсчет эозинофилов, нейтрофилов и мононуклеарных клеток производят с помощью световой микроскопии цитоцентрифугированных препаратов, окрашенных красителем Wright-Giemza’a (Sigma, UK). Т-лимфоциты подсчитывают путем цитометрии в потоке EPICS XL. Coulter Electronics, US, используя флюофор-лабильные антитела к CD2 (маркер пан-Т-лимфоцитов, используемый для количественного определения общего числа Т-лимфоцитов), CD4, CD8 и CD25 (маркер активированных Т-лимфоцитов). Все антитела поставляются Serotec Ltd., UK).
2.4. Анализ результатов.
Данные о клетках выражают как среднее число клеток с учетом стандартной ошибки измерения, в группах: без введения антигенов, с введением антигенов и обработкой растворителем, с введением антигенов и обработкой соединениями. Статистический анализ различий в группах с разной обработкой проводят, используя моновариантный анализ по методу теста Mann-Whitney’a. Данные не считаются статистически недостоверными при значениях р<0,05.
Ингибиторы по изобретению вызывают статистически достоверное снижение числа эозинофилов и лимфоцитов в BAL-ткани и ткани дыхательных путей при дозах в пределах 100-0,01 мг/кг. 3. Ингибирование антиген-индуцированной чувствительности дыхательных путей у овец с аллергией. Эксперимент осуществляют, в основном, как описано в W. М. Abraham et al., J. Clin. Invest. (1994), Vol. 93, 776-787. В эксперименте используют овец с аллергией, у которых, как предварительно установлено, развиваются реакции ранней или поздней стадии на введение путем ингаляции Ascaris suum-антигена. Ингибиторы по изобретению вводятся овцам в виде аэрозоля и вызывают статистически достоверное ослабление Ascaris suum-индуцируемых реакций дыхательных путей. В примерах испытаний активности, приведенных в описании, испытаны следующие соединения по изобретению и получены следующие результаты. В первом тесте по определению клеточной адгезии к 1)VCAM и 2) фибронектику были испытаны все соединения по изобретению, продемонстрировавшие активность в широком интервале значений от 100 мкм до 0,01 нм. Во втором тесте испытывались соединения примеров 5(a), (b), (d), (f), (h), (r), (s), (y) и (aa), и примера 8. Все испытанные соединения удовлетворили требованию, указанному на стр. 190 описания, а именно продемонстрировали статистически достоверное снижение числа эозинофилов и лимфоцитов в BAL-ткани и ткани дыхательных путей при дозах от 0,01 до 100 мг/кг. Третий тест in vivo проводили только с соединением 5(h), которое показало прекрасные результаты, позволившие включить данное соединение в число предпочительных соединений по изобретению.Формула изобретения 1. Соединение общей формулы (I)
где Х1 и Х2 независимо обозначают СR10;
R4 обозначает атом водорода или С1-4алкильную группу;
R10 обозначает водород, С1-4алкил, С1-4алкокси, С1-4алкилтио, С1-4алкилсульфинил или С1-4алкилсульфонил;
R12 обозначает водород, С1-4алкил или бензил;
R13 обозначает C1-6алкил необязательно замещенный карбокси, C1-4алкоксиалкокси, -OCH2CO2H, -NY1Y2 либо одной или более гидроксигруппами; гетероарил, выбранный из имидазолила, оксазолила, пиридила, тиенила и пиридазинила, каждый из которых необязательно замещен карбокси или C1-4алкилом; гетероциклоалкил, такой как тетрагидропиранил, или арил, выбранный из фенила и нафтила, каждый из которых может быть замещен карбоксигруппой, -NY4Y5 либо одной или более C1-4алкоксигруппой, где Y4 и Y5 независимо представляют C1-4алкил;
R15 обозначает -N(R12)-C(=O)-R13, -N(R12)-SO2-R13 или -NY1Y2, где Y1 и Y2 независимо представляют водород, C1-4алкил или арилC1-4алкил, или группа -NY1Y2 может образовывать 5-6-членный циклический амин, который может содержать дополнительный гетероатом, выбранный из O или NY3, где Y3 обозначает -C(=O)-OR14, где R14 обозначает C1-4алкил, или C1-4алкил;
Ar1 обозначает незамещенный фенилен,
его N-оксиды, сложноэфирные производные, а также их фармацевтически приемлемые соли и сольваты.
2. Соединение по п.1, где X1 обозначает СR10, где R10 обозначает С1-4алкил, С1-4алкокси, С1-4алкилтио, С1-4алкилсульфинил или С1-4алкилсульфонил.
3. Соединение по п.2, где X1 обозначает СR10, где R10 обозначает С1-4алкил или С1-4алкокси.
4. Соединение по п.3, где Х1 обозначает CR10, где R10 обозначает метил.
5. Соединение по любому из пп.1-4, где X2 обозначает CR10, где R10 обозначает С1-4алкокси.
6. Соединение по любому из пп.1-5, где R4 обозначает водород или метил.
7. Соединение по любому из пп.1-6, где Аr1 обозначает п-фенилен.
8. Соединение по любому из пп.1-7, где группа
обозначает группу
9. Соединение по п.1, выбранное из числа следующих соединений:
(R)-3-ацетиламино-3-(4-{3-метокси-4-[3-(2-метилфенил)уреидо]фенилацетиламино}фенил)пропановая кислота;
(R)-3-(4-карбоксибутаноиламино)-3-(4-{3-метокси-4-[3-(2-метилфенил)уреидо]фенилацетиламино}фенил)пропановая кислота;
(R)-3-(3-карбоксипропаноиламино)-3-(4-{3-метокси-4-[3-(2-метилфенил)уреидо]фенилацетиламино}фенил)пропановая кислота;
(R)-3-(пиридин-3-карбониламино)-3-(4-{3-метокси-4-[3-(2-метилфенил)уреидо]фенилацетиламино}фенил)пропановая кислота;
(R)-3-бензоиламино-3-(4-{3-метокси-4-[3-(2-метилфенил) уреидо]фенилацетиламино}фенил)пропановая кислота;
(R)-3-[2-(2-метоксиэтокси)ацетиламино]-3-(4-{3-метокси-4-[3-(2-метилфенил)уреидо]фенилацетиламино}фенил)пропановая кислота;
(R)-3-[(тетрагидропиран-4-карбонил)амино]-3-(4-{3-метокси-4-[3-(2-метилфенил)уреидо]фенилацетиламино}фенил) пропановая кислота;
(R)-3-[(5-метилизоксазол-3-карбонил)амино]-3-(4-{3-метокси-4-[3-(2-метилфенил)уреидо]фенилацетиламино}фенил) пропановая кислота;
(R)-3-[(тиофен-2-карбонил)амино]-3-(4-{3-метокси-4-[3-(2-метилфенил)уреидо]фенилацетиламино}фенил)пропановая кислота;
(R)-3-[(4-карбоксибензоил)амино]-3-(4-{3-метокси-4-[3-(2-метилфенил)уреидо]фенилацетиламино}фенил)пропановая кислота;
(R)-3-[(пиридазин-3-карбонил)амино]-3-(4-{3-метокси-4-[3-(2-метилфенил)уреидо]фенилацетиламино}фенил)пропановая кислота;
(R)-3-[(3,4-диметоксибензоил)амино]-3-(4-{3-метокси-4-[3-(2-метилфенил)уреидо]фенилацетиламино}фенил)пропановая кислота;
(R)-3-[(пиридазин-3-карбонил)амино]-3-(4-{4-[3-(2-метилфенил)уреидо]фенилацетиламино}фенил)пропановая кислота;
(R)-3-(4-карбокси-3,3-диметилбутаноиламино)-3-(4-{3-метокси-4-[3-(2-метилфенил)уреидо]фенилацетиламино}фенил)пропановая кислота;
(R)-3-(бензоиламино)-3-(4-{4-[3-(2-метилфенил)уреидо]фенилацетиламино}фенил)пропановая кислота;
(R)-3-(4-карбоксибутаноиламино)-3-(4-{4-[3-(2-метилфенил)уреидо]фенилацетиламино}фенил)пропановая кислота,
их N-оксиды и сложноэфирные производные; и фармацевтически приемлемые соли и сольваты таких соединений.
10. Соединение по п.1, представляющее собой (R)-3-(4-карбоксибутаноиламино)-3-(4-{3-метокси-4-[3-(2-метилфенил)уреидо]фенилацетиламино}фенил)пропановую кислоту и ее N-оксид, сложноэфирные производные, фармацевтически приемлемые соли и сольваты.
11. Соединение по п.1, представляющее собой (R)-3-бензоиламино-3-(4-{3-метокси-4-[3-(2-метилфенил)уреидо]фенилацетиламино}фенил)пропановую кислоту и ее N-оксид, сложноэфирные производные, фармацевтически приемлемые соли и сольваты.
12. Фармацевтическая композиция, проявляющая противовоспалительную и антиастматическую активность, включающая эффективное количество соединения по п.1, или его N-оксида, или сложноэфирного производного, или фармацевтически приемлемой соли, или сольвата такого соединения, в сочетании с фармацевтически приемлемым носителем или эксципиентом.
13. Соединение по п.1, или его N-оксид, или сложноэфирное производное, или фармацевтически приемлемая соль, или сольват такого соединения, проявляющее противовоспалительную и антиастматическую активность и приемлемое для лечения пациентов, страдающих от или подверженных болезненным состояниям, которые могут быть облегчены введением ингибитора клеточной адгезии опосредованной а4 1.
14. Соединение по п.1, или его N-оксид, или сложноэфирное производное, или фармацевтически приемлемая соль, или сольват такого соединения, проявляющее противовоспалительную и антиастматическую активность и приемлемое для лечения воспалительных заболеваний.
15. Соединение по п.1, или его N-оксид, или сложноэфирное производное, или фармацевтически приемлемая соль, или сольват такого соединения, проявляющее противовоспалительную и антиастматическую активность и приемлемое для лечения астмы.
16. Способ лечения человека или животных, страдающих или склонных к заболеваниям, симптомы которых могут быть улучшены введением ингибитора опосредованной а4 1 клеточной адгезии, включающий введение указанному пациенту эффективного количества соединения по п.1, или его N-оксида, или сложноэфирного производного, или фармацевтически приемлемой соли, или сольвата такого соединения.
MM4A Досрочное прекращение действия патента Российской Федерации на изобретение из-за неуплаты в установленный срок пошлины за поддержание патента в силе
Дата прекращения действия патента: 03.11.2005
Извещение опубликовано: 20.10.2006 БИ: 29/2006
|
||||||||||||||||||||||||||

4
1) и могут быть использованы при лечении воспалительных заболеваний и астмы. В соединении общей формулы (I)
где Х1 и Х2 независимо обозначают CR10;
R4 обозначает атом водорода или С1-4алкильную группу;
R10 обозначает водород, С1-4алкил, С1-4алкокси, С1-4алкилтио, С1-4алкилсульфинил или С1-4алкилсульфонил;
R12 обозначает водород, С1-4алкил или бензил;
R13 обозначает C1-6алкил, необязательно замещенный карбокси, C1-4алкоксиалкокси, -OCH2CO2H, -NY1Y2 либо одной или более гидроксигруппами; гетероарил, выбранный из имидазолила, оксазолила, пиридила, тиенила и пиридазинила, каждый из которых необязательно замещен карбокси или C1-4алкилом; гетероциклоалкил, такой как тетрагидропиранил, или арил, выбранный из фенила и нафтила, каждый из которых может быть замещен карбоксигруппой, -NY4Y5 либо одной или более C1-4алкоксигруппой, где Y4 и Y5 независимо представляют C1-4алкил; R15 обозначает -N(R12)-C(=O)-R13, -N(R12)-SO2-R13 или -NY1Y2, где Y1 и Y2 независимо представляют водород, C1-4алкил или арилC1-4алкил, или группа -NY1Y2 может образовывать 5-6-членный циклический амин, который может содержать дополнительный гетероатом, выбранный из O или NY3 [где Y3 обозначает -C(=O)-OR14 (где R14 обозначает C1-4алкил) или C1-4 алкил]; Ar1 обозначает незамещенный фенилен. Изобретение также относится к фармацевтической композиции и способу лечения с использованием соединений настоящего изобретения. 3 н. и 13 з.п. ф-лы.
Данное изобретение касается замещенных анилидов, их получения, фармацевтических композиций, содержащих эти соединения, и их фармацевтического применения в лечении болезненных состояний, модулироваться которые могут ингибированием адгезии клеток.
Клеточная адгезия является процессом, при котором клетки соединяются друг с другом, мигрируют в направлении специфического объекта или локализуются внутри внеклеточного матрикса. Многие из взаимодействий клетка-клетка или клетка-внеклеточный матрикс опосредованы белковыми лигандами (к примеру, фибронектином, витронектином и VCAM-1) и их интегринрецепторами [к примеру, VLA-4 (
, TNF-
где R1 обозначает водород, галоген, гидрокси, низший алкил или низший алкокси;
X1, X2 и X6 независимо обозначают N или CR10 и один из X3, X4 и X5 обозначает CR11, а другие независимо обозначают N или CR10, где R10 обозначает водород, амино, галоген, гидрокси, низший алкил, низший алкокси, низший алкилтио, низший алкилсульфинил, низший алкилсульфонил, нитро или трифторметил, a R11 обозначает группу -L1-Ar1-L2-Y, в которой
L1 обозначает -R2-R3-мостик, где R2 обозначает линейную или разветвленную C1-6алкиленовую цепь, линейную или разветвленную С2-6алкениленовую цепь или линейную или разветвленную С2-6алкиниленовую цепь, a R3 обозначает непосредственную химическую связь, циклоалкилен, гетероциклоалкилен, арилен, гетероарилдиил, -C(=Z)-NR4-, -NR4-C(=Z)-, -Z1-, -C(=O)-, -C(=NOR4)-, -NR4-C(=Z)-NR4-, -SO2-NR4-, -NR4-SО2-, -O-C(=O)-, -C(=O)-O-, -NR4-C(=O)-O- или -O-C(=O)-NR4– (где R4 обозначает атом водорода или низшую алкильную группу; Z обозначает О или S; Z1 обозначает О, S(O)n, или NR4 и n обозначает нуль или целое число 1 или 2), но за исключением соединений, в которых атом кислорода, азота или серы в R3 непосредственно связан с атомом углерода кратной связи в R3;
Аr1 обозначает арилен или гетероарилдиил;
L2 обозначает
(i) непосредственную химическую связь;
(ii) мостик из алкилена, алкенилена, алкинилена, циклоалкенилена, циклоалкилена, гетероарилдиила, гетероциклоалкилена или арилена, каждый из которых необязательно замещен
(a) кислотной функциональной группой (или соответствующим защищенным производным), R5, -ZH, -ZR5, -C(=O)-R, -N(R12)-C(=O)-R13, -N(R12)-C(=O)-OR13, -N(R12)-SO2-R13, -NY1Y2 или -[С(=О)-N(R6)-C(R4)(R7)]p-C(=O)-NY1Y2 или
(b) алкилом, замещенным кислотной функциональной группой (или соответствующим защищенным производным), или -ZH, -ZR5, -C(=O)-NY1Y2 или -NY1Y2;
(iii) -[С(=O)-N(R6)-С(R4)(R7)]p-мостик;
(iv) -Z2-R9-мocтик;
(v) -С(=O)-CH2-C(=O)-мостик;
(vi) -R9-Z2-R9-мостик, или
(vii) -С(R4)(R8)-[С(=O)-N(R6)-C(R4)(R7)]р-мостик,
где R5 обозначает алкил, алкенил, алкинил, арил, арилалкил, арилалкенил, арилалкинил, циклоалкил, циклоалкилалкил, циклоалкенил, циклоалкенилалкил, гетероарил, гетероарилалкил, гетероарилалкенил, гетероарилалкинил, гетероциклоалкил или гетероциклоалкилалкил;
R6 обозначает водород, R5 или алкил, замещенный алкокси, циклоалкилом, гидрокси, меркапто, алкилтио или -NY1Y2;
каждый из R7 и R8 независимо выбирают из водорода или группы, включающей аминокислотные боковые цепи и соответствующие защищенные производные, кислотной функциональной группы (или соответствующего защищенного производного), R5, -ZR5, -C(=O)-R5 или -С(=O)-NY1Y2, или алкила, замещенного кислотной функциональной группой (или соответствующим защищенным производным), или замещенного R5, -ZR5, -NY1Y2, -NH-C(=O)-R5, -C(=O)-R2-NH2, -C(=O)-Ar1-NH2, -С(=O)-R2-CO2H или -C(=O)-NY1Y2;
или R6 и R7, или R6 и R8 вместе с атомами, к которым они присоединены, образуют 3-6-членное кольцо гетероциклоалкила;
R9 обозначает C1-6алкилен, необязательно замещенный R5;
R12 обозначает водород, алкил, арил, арилалкил, циклоалкил, циклоалкилалкил, гетероарил, гетероарилалкил, гетероциклоалкил или гетероциклоалкилалкил;
R13 обозначает алкил, арил, циклоалкил, гетероарил или гетероциклоалкил, или алкил, замещенный арилом, кислотной функциональной группой (или соответствующим защищенным производным), циклоалкилом, гетероарилом, гетероциклоалкилом, -ZH, -ZR5, -C(=O)-NY1Y2 или -NY1Y2;
Y1 и Y2 независимо обозначают водород, алкенил, алкил, алкинил, арил, циклоалкенил, циклоалкил, гетероарил, гетероциклоалкил или алкил, замещенный алкокси, арилом, циано, циклоалкилом, гетероарилом, гетероциклоалкилом, гидрокси, оксо, -NY1Y2 или одной или более группами -СО2R12 или -С(=O)-NY1Y2;
либо группа -NY1Y2 может образовывать 5-7-членный циклический амин, который
(i) необязательно может быть замещен одним или более заместителями, которые выбирают из алкокси, карбоксамидо, карбокси, гидрокси, оксо (или производное ацеталя с 5, 6 или 7-членным циклом), R13;
(ii) может также содержать дополнительный гетероатом, который выбирают из О, S, SО2 или NY3 [где Y3 обозначает водород, алкил, арил, арилалкил, -C(=O)-R14, -C(=O)-OR14 или -SO2R14 (где R14 обозначает алкил, арил, арилалкил, циклоалкил, циклоалкилалкил, гетероарил, гетероарилалкил, гетероциклоалкил или гетероциклоалкилалкил) и
(iii) может также быть конденсирован с образованием дополнительных циклов арила, гетероарила, гетероциклоалкила или циклоалкила, что приводит к образованию циклической системы из двух или трех колец;
Z2 обозначает О, S(O)n, NR4, SONR4, C(=O)NR4 или С(=O);
р обозначает нуль или целое число от 1 до 4 и
Y обозначает карбокси (или кислотную биоизостеру) или -С(=O)-NY1Y2],
и соответствующие N-оксиды и их пролекарства; фармацевтически приемлемые соли и сольваты (к примеру, гидраты) таких соединений и их N-оксиды и пролекарства;
исключение составляют соединения: (2-{2-[4-(3-(2-метилфенил)уреидо)фенил]ацетиламино}тиазол-4-ил)уксусная кислота, 2-фенилацетиламино-3-{4-[4-(3-(2-метилфенил)уреидо)бензилокси]фенил}пропионовая кислота, 2-фенилацетиламино-3-(4-{2-[4-(3-(2-метилфенил)уреидо)фенил]этокси}фенил)пропионовая кислота, 2-бензилсульфониламино-3-{4-[4-(3-(2-метилфенил)уреидо)бензилокси]фенил}пропионовая кислота, (бутан-1-сульфониламино)-{2-[4-(3-(2-метилфенил)уреидо)бензил]бензофуран-6-ил}уксусная кислота, 3-(бензиламинокарбонил)-(4-{2-[4-(3-(2-метилфенил)уреидо)фенил]этокси}бензил)пропионовая кислота и 2-бензилоксикарбониламино-3-(5-{3-[4-(3-(2-метилфенил)уреидо)фенил]пропил}тиофен-2-ил)пропионовая кислота,
и при условии, что L1 не может обозначать C1-6алкилен-С(=O)-NH- или C1-6алкилен, когда Аr1 обозначает необязательно замещенный фенилен, Y обозначает -СO2Н, -SО3Н, -РO4Н2 или тетразол, а L2 обозначает
(i) непосредственную химическую связь,
(ii) мостик из алкилена или алкенилена, каждый из которых необязательно замещен
(a) алкилом, алкенилом, алкинилом, циклоалкилом, циклоалкенилом, арилом, арилалкилом, гетероарилом, гетероарилалкилом или гетероциклоалкилом или
(b) алкилом, замещенным алкокси, гидрокси, арилалкилокси, гетероарилалкилокси, алкилтио, карбокси, алкоксикарбонилом или -С(=O)-NН2,
(iii) -[С(=O)-N(R6)-C(R4)(R7)]р-мостик, где R4 обозначает водород или низший алкил, R6 обозначает водород, алкил, алкенил, алкинил, циклоалкил, циклоалкилалкил, циклоалкенил, циклоалкенилалкил, арил, арилалкил, гетероарил, гетероарилалкил, гетероциклоалкил, гетероциклоалкилалкил или алкил, замещенный алкокси, гидрокси или алкилтио, R7 обозначает водород, алкил, алкенил, алкинил, циклоалкил, циклоалкилалкил, циклоалкенил, циклоалкенилалкил, арил, арилалкил, гетероарил, гетероарилалкил, гетероциклоалкил, гетероциклоалкилалкил или алкил, замещенный алкенилом, алкинилом, алкокси, гидрокси, арилалкилокси, гетероарилалкилокси, алкилтио, карбокси, алкоксикарбонилом или карбоксамидом, и р обозначает единицу,
(iv) -Z2-R9-мостик, где Z2 обозначает О, S, NR4, SO2NR4 или C(=O)NR4 и R9 обозначает С1-4алкилен, необязательно замещенный алкилом, алкенилом, алкинилом, циклоалкилом, циклоалкилалкилом, циклоалкенилом, циклоалкенилалкилом, арилом, арилалкилом, гетероарилом, гетероарилалкилом, гетероциклоалкилом или гетероциклоалкилалкилом, или
(v) -CH2-Z2-R9-мocтик, где Z2 обозначает О, NR4 или C(=O)NR4 и R9 обозначает С1-4алкилен, необязательно замещенный алкилом, алкенилом, алкинилом, циклоалкилом, циклоалкилалкилом, циклоалкенилом, циклоалкенилалкилом, арилом, арилалкилом, гетероарилом, гетероарилалкилом, гетероциклоалкилом или гетероциклоалкилалкилом.
Подразумевается, что в настоящем описании термин “соединения по изобретению” и эквивалентные выражения охватывают соединения общей формулы (I), как она определена выше, и, где контекст это допускает, данное выражение включает пролекарства, фармацевтически приемлемые соли и сольваты, к примеру гидраты. Аналогично в отношении промежуточных соединений, не зависимо от того, перечислены они или нет в приложенных пунктах, там, где контекст это допускает, подразумевается, что понятия включают их соли и сольваты. Для ясности отдельные примеры, когда контекст это позволяет, включены в текст, но эти примеры являются чисто иллюстративными и не имеется в виду, что они исключают другие примеры, когда контекст их допускает.
Как использовано выше и в последующем тексте описания изобретения, подразумевается, что, если не указано особо, то приведенные ниже термины имеют следующие значения
“Пациент” включает как человека, так и других млекопитающих.
“Кислотная биоизостера” означает группу, имеющую химические и физические сходства с карбоксигруппой, дающие близкое подобие биологических свойств (смотри Lipinski, Annual Reports in Medicinal Chemistry, 1986, 21, page 283, “Bioisosterism In Drug Design”; Yun, Hwahak Sekye, 1993, 33, pages 576-579, “Application Of Bioisosterism To New Drug Design”; Zhao, Huaxue Tongbao, 1995, pages 34-38, “Bioisosteric Replacement And Development Of Lead Compounds In Drug Design”; Graham, Theochem., 1995, 343, 105-109, Theoretical Studies Applied To Drug Design: ab initio Electronic Distributions In Bioisosteres”). Примеры приемлемых кислотных биоизостер включают -C(=O)-NHOH, -С(=O)-CH2OH, -С(=O)-CH2SH, -С(=O)-NH-CN, сульфо, фосфоно, алкилсульфонилкарбамоил, тетразолил, арилсульфонилкарбамоил, гетеро-арилсульфонилкарбамоил, N-метоксикарбамоил, 3-гидрокси-3-циклобутен-1,2-дион, 3,5-диоксо-1,2,4-оксадиазолидинил или гетероциклические фенолы, такие как 3-гидроксиизоксазолил и 3-гидрокси-1-метилпиразолил.
“Кислотная функциональная группа” означает группу с кислотным водородом. “Соответствующими защищенными производными” являются производные, в которых кислотный атом водорода замещен на подходящую защитную группу. По подходящим защитным группа см. T.W. Greene and P.G.M. Wuts in “Protective Groups in Organic Chemistry”, John Wiley and Sons, 1991. Иллюстративные примеры кислотных функциональных групп включают карбоксил (и кислотные биоизостеры), гидрокси, меркапто и имидазол. Иллюстративные примеры защищенных производных включают сложные эфиры карбоксигрупп, простые эфиры гидроксигрупп, простые тиоэфиры меркаптогрупп и N-бензильные производные имидазолов.
“Ацил” означает Н-СО- или алкил-СО- группу, в которой алкильная группа является указанной выше.
“Ациламино” означает ацил-NH-группу, где ацил является указанным выше.
“Алкенил” означает алифатическую углеводородную группу, содержащую углерод-углеродную двойную связь, эта группа может быть линейной или разветвленной и приблизительно с 2-15 атомами углерода в цепи. Предпочтительные алкенильные группы имеют приблизительно от 2 до 12 атомов углерода в цепи, более желательно приблизительно 2-4 атома углерода в цепи. “Разветвленный”, как использовано здесь и далее в тексте, означает, что одна или более низших алкильных групп, таких как метил, этил или пропил, присоединены к линейной цепи, здесь линейной цепи алкенила. “Низший алкенил” означает, что в цепи, которая может быть линейной или разветвленной, около 2-4 атомов углерода. Характерные примеры алкенильных групп включают этенил, пропенил, н-бутенил, изобутенил, 3-метилбут-2-енил, н-пентенил, гептенил, октенил, циклогексилбутенил и деценил.
“Алкенилен” означает алифатический двухвалентный радикал, происходящий от линейной или разветвленной алкенильной группы, в котором алкенильная группа является указанной выше. Иллюстративные примеры алкенилен-радикалов включают винилен и пропилен.
“Алкокси” означает алкил-O-группу, в которой алкильная группа является указанной выше. Характерные примеры алкоксигрупп включают метокси, этокси, н-пропокси, изо-пропокси, н-бутокси и гептокси.
“Алкоксиалкокси” означает алкил-O-алкил-O-группу, в которой алкильные группы независимо являются указанными выше. Примеры алкоксиалкоксильных групп включают метоксиметокси, метоксиэтокси и тому подобные.
“Алкоксикарбонил” означает алкил-O-СО-группу, в которой алкильная группа является указанной выше. Характерные примеры алкоксикарбонильных групп включают метокси- и этоксикарбонил.
“Алкил” означает, если не оговорено особо, алифатическую углеводородную группу, которая может быть линейной или разветвленной, приблизительно с 1-15 атомами углерода в цепи, необязательно замещенной алкокси или одним или более атомами галогена. Заслуживающие особого внимания алкильные группы имеют приблизительно от 1 до 6 атомов углерода.
“Низший алкил” как группа или часть низшей алкокси-, низшей алкилтио-, низшей алкилсульфинил- или низшей алкилсульфонилгруппы означает, если не оговорено особо, алифатическую углеводородную группу, которая может быть линейной или разветвленной, приблизительно с 1-4 атомами углерода в цепи. Характерные примеры алкильных групп включают метил, этил, н-пропил, изо-пропил, н-бутил, втор-бутил, н-пентил, 3-пентил, гептил, октил, нонил, децил и додецил.
“Алкилен” означает алифатический двухвалентный радикал, происходящий от линейной или разветвленной алкильной группы, в котором алкильная группа является указанной выше. Иллюстративные примеры алкилен-радикалов включают метилен, этилен и триметилен.
“Алкилендиокси” означает -О-алкилен-O-группу, в которой алкилен является указанным выше. Характерные примеры алкилендиоксигрупп включают метилендиокси и этилендиокси.
“Алкилсульфинил” означает алкил-SO-группу, в которой алкильная группа является указанной выше. Предпочтительными алкилсульфинилгруппами являются те, в которых алкильная группа обозначает С1-4 алкил.
“Алкилсульфонил” означает алкил-SО2-группу, в которой алкильная группа является указанной выше. Предпочтительными алкилсульфонил-группами являются те, в которых алкильная группа обозначает С1-4алкил.
“Алкилсульфонилкарбамоил” означает алкил-SО2-NН-С(=O)-группу, в которой алкильная группа является указанной выше. Предпочтительными алкилсульфонилкарбамоилгруппами являются те, в которых алкильная группа обозначает С1-4алкил.
“Алкилтио” означает алкил-S-группу, в которой алкильная группа является указанной выше. Характерные примеры алкилтиогрупп включают метилтио, этилтио, изопропилтио и гептилтио.
“Алкинил” означает алифатическую углеводородную группу, содержащую углерод-углеродную тройную связь, которая может быть линейной или разветвленной, приблизительно с 2-15 атомами углерода в цепи. Предпочтительные алкинильные группы имеют приблизительно от 2 до 12 атомов углерода в цепи, более желательно приблизительно 2-4 атома углерода в цепи. Характерные примеры алкинильных групп включают этинил, пропинил, н-бутинил, изо-бутинил, 3-метилбут-2-инил и н-пентинил.
“Алкинилен” означает алифатический двухвалентный радикал, происходящий от линейной или разветвленной алкильной группы, в котором алкинильная группа является указанной выше. Иллюстративные примеры алкинилен- радикалов включают этинилен и пропинилен.
Термин “аминокислотные боковые цепи” означает заместитель на углероде, расположенном между амино- и карбоксигруппами в
где R4 обозначает водород или низший алкил (к примеру, метил) и R15 обозначает низший алкил (к примеру, метил) или где R4 обозначает водород и R15 обозначает арил, гетероарил, -N(R12)-C(=O)-R13, -N(R12)-C(=O)-OR13, -N(R12)-SО2-R13, -[C(=O)-N(R6)-C(R4)(R7)]p-C(=O)-NY1Y2. L2 более предпочтительно обозначает группу
в частности
где К15 обозначает -N(R12)-С(=O)-R13, -N(R12)-С(=O)-OR13, -NT(R12)-SO2-R13 или -NY1Y2.
Внутри R11 группа Y может, в частности, обозначать карбокси или кислотную биоизостеру.
Следует учитывать, что настоящее изобретение охватывает все подходящие комбинации упомянутых здесь заслуживающих особого внимания и предпочтительных групп.
Особой группой соединений по изобретению являются соединения формулы (Iа)
где R1, R2, L2, X1, X2, X3 и Y являются указанными выше, Аr1 обозначает арилен и -R2-C(=O) -NH-Ar1-L2-Y присоединен к кольцу в положение 3 или 4, и их пролекарства и фармацевтически приемлемые соли, и сольваты (к примеру, гидраты) соединений формулы (Iа) и их пролекарства.
Предпочтительны соединения формулы (Iа), в которой R1 обозначает водород.
Предпочтительны соединения формулы (Iа), в которой R2 обозначает линейную или разветвленную C1-6алкиленовую цепь, в особенности линейную или разветвленную С1-4алкиленовую цепь, более конкретно метилен.
Предпочтительны соединения формулы (Ia), в которой Аr1 обозначает необязательно замещенный арилен, в частности необязательно замещенный м- или п-фенилен, в особенности необязательно замещенный п-фенилен. Предпочтительные заместители для Аr1 включают С1-4алкил и С1-4алкокси, в частности метил или метокси.
Предпочтительны соединения формулы (Iа), в которой L2 обозначает необязательно замещенный алкиленовый мостик, в частности этилен или замещенный этилен. Предпочтительные необязательные заместители включают низший алкил (к примеру, метил), арил, гетероарил, -N(R12)-С(=O)-R13, -N(R12)-C(=O)-OR13, -N(R12)-SO2-R13, -NY1Y2 или -[С(=O)-N(R6)-C(R4)(R7)]p-C(=O)-NY1Y2. Особенно предпочтительны соединения формулы (Iа), в которой L2 обозначает
где R4 обозначает водород или низший алкил (к примеру, метил) и R15 обозначает низший алкил (к примеру, метил), или где R4 обозначает водород и R15 обозначает арил, гетероарил, -N(R12)-С(=O)-R13, -N (R12)-С (=O)-OR13, -N(R12)-SO2-R13, -NY1Y2 и -[C(=O)-N(R6)-C(R4) (R7) ]p-C(=O)-NY1Y2.
Особенно предпочтительны соединения формулы (Ia), в которой 2 обозначает
в особенности
где R15 обозначает -N(R12)-С(=O)-R13, -N(R12)-С(=O)-OR13, -N(R12)-SО2-R13 или -NY1Y2.
Предпочтительны соединения формулы (Iа), в которой X1 обозначает CR10, в частности, где R10 обозначает низший алкил или низший алкокси (к примеру, метил или метокси).
Также предпочтительны соединения формулы (Iа), в которой X2 обозначает CR10, в частности, где R10 обозначает низший алкил (к примеру, метил), низший алкокси (к примеру, метокси), низший алкилтио (к примеру, метилтио), низший алкилсульфинил (к примеру, метилсульфинил) или низший алкилсульфонил (к примеру, метилсульфонил).
Предпочтительны также соединения формулы (Iа), в которой X3 обозначает СН.
Предпочтительны также соединения формулы (Iа), в которой Y обозначает карбокси.
Группа -R2-C(=O)-NH-Ar1-L2-Y предпочтительно может быть присоединена к кольцу в положение 4.
Предпочтительной группой соединений по изобретению являются соединения формулы (Iа), в которой R1 обозначает водород; R2 обозначает линейную или разветвленную цепь C1-4алкилена (в особенности, метилен), Аr1 обозначает необязательно замещенный арилен [в особенности, п-фенилен и метил- (или метокси-)замещенный п-фенилен]; L2 обозначает мостик из замещенного алкилена [в особенности,
где R15 обозначает -N(R12)-С(=O)-R13, -N(R12)-С(=O)-OR13, -N(R12)-SO2-R13 или -NY1Y2]; X1 и X2 обозначают CR10 (в особенности, где R10 обозначает метил, метокси, метилтио, метилсульфинил или метилсульфонил); X3 обозначает СН; Y обозначает карбокси и группа -R2-C(=O)-NH-Ar1-L2-Y присоединена к кольцу в положение 4, и соответствующие N-оксиды и их пролекарства; фармацевтически приемлемые соли и сольваты (к примеру, гидраты) таких соединений, их N-оксиды и пролекарства.
Предпочтительны также соединения формулы (Iа), в которой R15 обозначает -N(R12)-С(=O)-R13, в особенности, где R12 обозначает водород или низший алкил (к примеру, метил) и R13 обозначает низший алкил (к примеру, метил), арил (к примеру, необязательно замещенный фенил), гетероарил (к примеру, необязательно замещенный пиридил, необязательно замещенный тиенил, необязательно замещенный изоксазолил, необязательно замещенный пиридазил), гетероциклоалкил (к примеру, тетрагидропиран-4-ил), алкил, замещенный карбокси (к примеру, -СН2-СН2-СО2Н и -CH2-CH2-CH2-CO2H), алкил, замещенный -NY1Y2 (к примеру, аминометил и морфолин-1-илметил) или алкил, замещенный алкоксиалкокси (к примеру, -СН2-O-СН2-СН2-О-СН3).
Предпочтительны также соединения формулы (Iа), в которой R15 обозначает -N(R12)-С(=O)-OR13, в особенности, где R12 обозначает водород или низший алкил (к примеру, метил) и R13 обозначает низший алкил (к примеру, этил) или алкил, замещенный арилом (к примеру, бензил).
Предпочтительны также соединения формулы (Iа), в которой R15 обозначает -N(R12)-SO2-R13, в особенности, где R12 обозначает водород или низший алкил (к примеру, метил) и R13 обозначает низший алкил (к примеру, метил), арил [к примеру, необязательно замещенный фенил или необязательно замещенный нафтил (в особенности, диметиламинонафт-1-ил)]), гетероарил (к примеру, необязательно замещенный пиридил или необязательно замещенный имидазолил).
Предпочтительны также соединения формулы (Iа), в которой R15 обозначает -NY1Y2, в особенности, где Y1 и Y2 обозначают водород.
Предпочтительны также соединения формулы (Iа), в которой R15 обозначает -NY1Y2, в особенности, где Y1 обозначает водород, а Y2 обозначает либо низший алкил (к примеру, пропил), либо алкил, замещенный арилом (к примеру, -CH2-Ph, -СН(СН3)-Рh или -СН2-СН2-Рh).
Особенно предпочтительны те соединения формулы (Iа), в которых R15 обозначает -NH2,

Другую особую группу соединений по изобретению составляют соединения формулы (Ib)
где R1, R2, L2, X1, X2, X3 и Y являются указанными выше, Ar1 обозначает гетероарилдиил и -R2-C(=C)-NH-Ar1-L2-Y присоединен к кольцу в положение 3 или 4, их пролекарства и фармацевтически приемлемые соли, сольваты (к примеру, гидраты) соединений формулы (Ib) и их пролекарства.
Предпочтительны соединения формулы (Ib), в которой R1 обозначает водород.
Предпочтительны соединения формулы (Ib), в которой, R2 обозначает линейную или разветвленную С1-6алкиленовую цепь, в особенности линейную или разветвленную С1-4алкиленовую цепь, более конкретно метилен.
Предпочтительны также соединения формулы (Ib), в которой Аr1 обозначает необязательно замещенный гетероарилдиил, в частности необязательно замещенный пиридиндиил, в особенности необязательно замещенный п-пиридиндиил, предпочтительно пиридин-2,5-диил. Предпочтительные заместители включают С1-4алкил и С1-4алкокси, в частности метил или метокси.
Предпочтительны соединения формулы (Ib), в которой L2 обозначает необязательно замещенный алкиленовый мостик, в частности этилен или замещенный этилен. Предпочтительные необязательные заместители включают низший алкил (к примеру, метил), арил, гетероарил, -N(R12)-С(=O)-R13, -N(R12)-С(=O)-OR13, -N(R12)-SO2-R13, -NY1Y2 или -[C(=O)-N(R6)-C(R4)(R7)]р-С(=O)-NY1Y2.
Особенно предпочтительны соединения формулы (Ib), в которой 2 обозначает
где R4 обозначает водород или низший алкил (к примеру, метил) и R15 обозначает низший алкил (к примеру, метил) или где R4 обозначает водород и R15 обозначает арил, гетероарил, -N(R12)-С(=O)-R13, -N(R12)-С(=O)-OR13, -N(R12)-SO2-R13, -NY1Y2 и -[C(=O)-N(R6)-C(R4)(R7)]p-C(=O)-NY1Y2.
Особенно предпочтительны соединения формулы (Ib), в которой 2 обозначает
в особенности
где R15 обозначает -N(R12)-С(=O)-R13, -N(R12)-С(=O)-OR13, -N(R12)-SO2-R13 или -NY1Y2.
Предпочтительны соединения формулы (Ib), в которой X1 обозначает CR10, в частности, где R10 обозначает низший алкил или низший алкокси (к примеру, метил или метокси).
Также предпочтительны соединения формулы (Ib), в которой X2 обозначает CR10, в частности, где R10 обозначает низший алкил (к примеру, метил), низший алкокси (к примеру, метокси), низший алкилтио (к примеру, метилтио), низший алкилсульфинил (к примеру, метилсульфинил) или низший алкилсульфонил (к примеру, метилсульфонил).
Предпочтительны также соединения формулы (Ib), в которой X3 обозначает СН.
Предпочтительны также соединения формулы (Ib), в которой Y обозначает карбокси.
Группа -R2-С(=O)-NH-Ar1-L2-Y предпочтительно может быть присоединена к кольцу в положение 4.
Предпочтительной группой соединений по изобретению являются соединения формулы (Ib), в которой R1 обозначает водород; R2 обозначает линейную или разветвленную цепь С1-4алкилена (в особенности, метилен), Аr1 обозначает необязательно замещенный гетероарилдиил (в особенности, пиридин-2,5-диил); L2 обозначает мостик из необязательно замещенного алкилена (в особенности, этилена) или
в особенности
где R15 обозначает метил, арил, гетероарил, -N(R12)-C(=O)-R13, -N(R12)-C(=O)-OR13, -N(R12)-SO2-R13 или -NY1Y2 и -[C(=O)-N(R6)-C(R4)(R7)]p-C(=O)-NY1Y2 [в особенности, -N(R12)-C(=O)-R13, -N(R12)-C(=O)-OR13, -N(R12)-SO2-R13 или -NY1Y2]; X1 и X2 обозначают CR10 (в особенности, где R10 обозначает метил, метокси, метилтио, метилсульфинил или метилсульфонил); X3 обозначает СН; Y обозначает карбокси и группа -R2-C(=O)-NH-Ar1-L2-Y присоединена к кольцу в положение 4, соответствующие N-оксиды и их пролекарства, фармацевтически приемлемые соли и сольваты (к примеру, гидраты) таких соединений и их N-оксиды и пролекарства.
Предпочтительны соединения формулы (Ib), в которой R15 обозначает -N(R12)-С(=O)-R13, в особенности, где R12 обозначает водород или низший алкил (к примеру, метил) и R13 обозначает низший алкил (к примеру, метил), арил (к примеру, необязательно замещенный фенил), гетероарил (к примеру, необязательно замещенный пиридил, необязательно замещенный тиенил, необязательно замещенный изоксазолил, необязательно замещенный пиридазил), гетероциклоалкил (к примеру, тетрагидропиран-4-ил), алкил, замещенный карбокси (к примеру, -СН2-СН2-СО2Н и -СН2-СН2-СН2-СO2Н), алкил, замещенный -NY1Y2(к примеру, аминометил и морфолин-1-илметил) или алкил, замещенный алкоксиалкокси (к примеру, -СН3-О-СН2-СН2-О-СН3).
Предпочтительны также соединения формулы (Ib), в которой R15 обозначает -N(R12)-С(=O)-OR13, в особенности, где R12 обозначает водород или низший алкил (к примеру, метил) и R13 обозначает низший алкил (к примеру, этил) или алкил, замещенный арилом (к примеру, бензил).
Предпочтительны также соединения формулы (Ib), в которой R15 обозначает -N(R12)-SO2-R13, в особенности, где R12 обозначает водород или низший алкил (к примеру, метил), и R13 обозначает низший алкил (к примеру, метил), арил [к примеру, необязательно замещенный фенил или необязательно замещенный нафтил (в особенности, диметиламинонафт-1-ил)], гетероарил (к примеру, необязательно замещенный пиридил или необязательно замещенный имидазолил).
Предпочтительны также соединения формулы (Ib), в которой R15 обозначает -NY1Y2, в особенности, где Y1 и Y2 обозначают водород.
Предпочтительны также соединения формулы (Ib), в которой R15 обозначает -NY1Y2, в особенности, где Y1 обозначает водород, а Y2 обозначает либо низший алкил (к примеру, пропил), либо алкил, замещенный арилом (к примеру, -CH2-Ph или -СН2-СН2-Рh).
Предпочтительны также соединения формулы (Ib), в которой R15 обозначает -NY1Y2, в особенности, где Y1 и Y2 оба обозначают алкил, замещенный арилом (к примеру, -CH2-Ph или -СН(СН3)-Ph).
Особенно предпочтительны те соединения формулы (Ib), в которых R15 обозначает -NH2,

Более конкретно изобретение касается соединений общей формулы (I)
где X1 и X2 независимо обозначают CR10; R4 обозначает атом водорода или С1-4алкильную группу; R10 обозначает водород, С1-4алкил, С1-4алкокси, С1-4алкилтио, С1-4алкилсульфинил или С1-4алкилсульфонил; R12 обозначает водород, С1-4алкил или бензил; R13 обозначает необязательно замещенный C1-6алкилом карбокси, C1-4алкоксиалкокси, -OCH2CO2H, -NY1Y2 либо одной или более гидроксигруппами; гетероарил, выбранный из имидазолила, оксазолила, пиридила, тиенила и пиридазинила, каждый из которых необязательно замещен карбокси или С1-4алкилом; гетероциклоалкил, такой как тетрагидропиранил, или арил, выбранный из фенила и нафтила, каждый из которых может быть замещен карбоксигруппой, -NY4Y5 либо одной или более С1-4алкоксигруппой, где Y4 и Y5 независимо представляют С1-4алкил; R15 обозначает -N(R12)-C(=O)-R13, -N(R12)-SO2-R13 или -MY1Y2, где Y1 и Y2 независимо представляют водород, С1-4алкил или арилС1-4алкил, или группа -NY1Y2 может образовывать 5-6-членный циклический амин, который может содержать дополнительный гетероатом выбранный из О или NY3 [где Y3 обозначает -C(=O)-OR14 (где R14 обозначает С1-4алкил) или C1-4 алкил]; Аr1 обозначает незамещенный фенилен, их N-оксидов, сложноэфирных производных, а также их фармацевтических солей и сольватов.
Заслуживающие особого внимания соединения по изобретению выбирают из группы, включающей следующие соединения:
(5-{4-[3-(2-метилфенил)уреидо]-фенилацетиламино}пирид-2-ил)-тиоуксусная кислота;
3-(5-{3-метокси-4-[3-(2-метилфенил)уреидо]-фенилацетиламино}пирид-2-ил)-пропановая кислота;
3-(5-{3-метокси-4-[3-(2-метилфенил)уреидо]-фенилацетиламино}пирид-2-ил)-2-метилпропановая кислота;
3-(6-{3-метокси-4-[3-(2-метилфенил)уреидо]-фенилацетиламино}пирид-3-ил)-пропановая кислота;
3-ацетиламино-3-(6-{2-метокси-4-(3-(2-метилфенил)уреидо)фенил]-ацетиламино}-пиридин-3-ил)-пропионовая кислота;
3-(3,4-диметоксибензоиламино)-3-(6-{2-[3-метокси-4-(3-(2-метилфенил)уреидо)фенил]-ацетиламино}-пиридин-3-ил)-пропионовая кислота;
N-[2-карбокси-1-(6-{2-[3-метокси-4-(3-(2-метилфенил)уреидо)фенил]-ацетиламино}-пиридин-3-ил)-этил]-терефталамовая кислота;
3-бензоиламино-3-(6-{2-[3-метокси-4-(3-(2-метилфенил)уреидо)фенил]-ацетиламино}-пиридин-3-ил)-пропионовая кислота;
3-(6-{2-[3-метокси-4-(3-(2-метилфенил)уреидо)фенил]-ацетиламино}-пиридин-3-ил)-3-[(тетрагидропиран-4-карбонил)-амино]-пропионовая кислота;
3-(6-{2-[3-метокси-4-(3-(2-метилфенил)уреидо)фенил]-ацетиламино}-пиридин-3-ил)-3-[(пиридазин-3-карбонил)-амино]-пропионовая кислота;
3-(6-{2-[3-метокси-4-(3-(2-метилфенил)уреидо)фенил]-ацетиламино}-пиридин-3-ил)-3-[(тиофен-2-карбонил)-амино]-пропионовая кислота;
N-[2-карбокси-1-(6-{2-[3-метокси-4-(3-(2-метилфенил)уреидо)фенил]-ацетиламино}-пиридин-3-ил)-этил]-сукцинамовая кислота;
4-[2-карбокси-1-(6-{2-[3-метокси-4-(3-(2-метилфенил)уреидо)фенил]-ацетиламино}-пиридин-3-ил)-этилкарбамоил]-масляная кислота;
3-(2-аминоацетиламино)-3-(6-{2-[3-метокси-4-(3-(2-метилфенил)уреидо)фенил]-ацетиламино}-пиридин-3-ил)-пропио-новая кислота;
3-(6-{2-[3-метокси-4-(3-(2-метилфенил)уреидо)фенил]-ацетиламино}-пиридин-3-ил)-3-(2-морфолин-4-илацетиламино)-пропионовая кислота;
3-[2-(2-метоксиэтокси)-ацетиламино]-3-(6-{2-[3-метокси-4-(3-(2-метилфенил)уреидо)фенил]-ацетиламино}-пиридин-3-ил)-пропионовая кислота;
3-метансульфониламино-3-(6-{2-[3-метокси-4-(3-(2-метилфенил)уреидо)фенил]-ацетиламино}-пиридин-3-ил)-пропионовая кислота;
3-(6-{2-[3-метокси-4-(3-(2-метилфенил)уреидо)фенил]-ацетиламино}-пиридин-3-ил)-3-(пиридин-3-сульфониламино)-пропионовая кислота;
3-(6-{2-[3-метокси-4-(3-(2-метилфенил)уреидо)фенил]-ацетиламино}-пиридин-3-ил)-3-(1-метил-5Н-имидазол-4-сульфониламино)-пропионовая кислота;
3-ацетиламино-3-{6-({[3-метокси-4-(3-(2-метилфенил)уреидо)фенил]-ацетил}-метиламино)-пиридин-3-ил}-пропионовая кислота;
3-(3,4-диметокси-бензоиламино)-3-[6-({[3-метокси-4-(3-(2-метилфенил)уреидо)фенил]-ацетил}-метиламино)-пиридин-3-ил]-пропионовая кислота;
N-{2-карбокси-1-[6-({[3-метокси-4-(3-(2-метилфенил)уре-идо)фенил]-ацетил}-метиламино)-пиридин-3-ил]-этил}-терефта-ламовая кислота;
3-бензоиламино-3-[6-({[3-метокси-4-(3-(2-метилфенил)уреидо)фенил]-ацетил}-метиламино)-пиридин-3-ил]-пропионовая кислота;
3-[6-{2-({[3-метокси-4-(3-(2-метилфенил)уреидо)фенил]-ацетил}-метиламино)-пиридин-3-ил]-3-[(тетрагидро-пиран-4-карбонил)-амино]-пропионовая кислота;
3-[6-({[3-метокси-4-(3-(2-метилфенил)уреидо)фенил]-ацетил}-метиламино)-пиридин-3-ил]-3-[(пиридазин-3-карбонил)-амино]-пропионовая кислота;
3-[6-({[3-метокси-4-(3-(2-метилфенил)уреидо)фенил]-ацетил}-метиламино)-пиридин-3-ил]-3-[(тиофен-2-карбонил)-амино]-пропионовая кислота;
N-{2-карбокси-1-[6-({[3-метокси-4-(3-(2-метилфенил)уреидо)фенил]-ацетил}-метиламино)-пиридин-3-ил]-этил}-сукцинамовая кислота;
4-{2-карбокси-1-[6-({[3-метокси-4-(3-(2-метилфенил)уреидо) фенил]-ацетил}-метиламино)-пиридин-3-ил]-этилкарбамоил}-масляная кислота;
3-(2-аминоацетиламино)-3-[6-({[3-метокси-4-(3-(2-метилфенил)уреидо)фенил]-ацетил}-метиламино)-пиридин-3-ил]пропионовая кислота;
3-[6-({[3-метокси-4-(3-(2-метилфенил)уреидо)фенил]-ацетил}-метиламино)-пиридин-3-ил]-3-(2-морфолин-4-илацетиламино)-пропионовая кислота;
3-[2-(2-метоксиэтокси)-ацетиламино]-3-[6-({[3-метокси-4-(3-(2-метилфенил)уреидо)фенил]-ацетил}-метиламино)-пиридин-3-ил]-пропионовая кислота;
3-метансульфониламино-3-[6-({[3-метокси-4-(3-(2-метилфенил)уреидо)фенил]-ацетил}-метиламино)-пиридин-3-ил]-пропионовая кислота;
3-[6-({[3-метокси-4-(3-(2-метилфенил)уреидо)фенил]-ацетил}-метиламино)-пиридин-3-ил]-3-(пиридин-3-сульфониламино)-пропионовая кислота;
3-[6-({[3-метокси-4-(3-(2-метилфенил)уреидо)фенил]-ацетил}-метиламино)-пиридин-3-ил]-3-(1-метил-5Н-имидазол-4-сульфониламино)-пропионовая кислота;
3-(ацетилметиламино)-3-(6-{2-[3-метокси-4-(3-(2-метилфенил)уреидо)фенил]-ацетиламино}-пиридин-3-ил)-пропионовая кислота;
3-[(3,4-диметоксибензоил)-метиламино]-3-(6-{2-[3-метокси-4-(3-(2-метилфенил)уреидо)фенил]-ацетиламино}-пиридин-3-ил)-пропионовая кислота;
N-[2-карбокси-1-(6-{2-[3-метокси-4-(3-(2-метилфенил)уреидо)фенил]-ацетиламино}-пиридин-3-ил)-этил]-N-метилтерефталамовая кислота;
3-(бензоилметиламино)-3-(6-{2-[3-метокси-4-(3-(2-метилфенил)уреидо)фенил]-ацетиламино}-пиридин-3-ил)-пропионовая кислота;
3-(6-{2-[3-метокси-4-(3-(2-метилфенил)уреидо)фенил]-ацетиламино}-пиридин-3-ил)-3-[метил(тетрагидропиран-4-карбонил)-амино]-пропионовая кислота;
3-(6-{2-[3-метокси-4-(3-(2-метилфенил)уреидо)фенил]-ацетиламино}-пиридин-3-ил)-3-[метил(пиридазин-3-карбонил)-амино]-пропионовая кислота;
3-(6-{2-[3-метокси-4-(3-(2-метилфенил)уреидо)фенил]-ацетиламино}-пиридин-3-ил)-3-[метил(тиофен-2-карбонил)-амино]-пропионовая кислота;
N-[2-карбокси-1-(6-{2-[3-метокси-4-(3-(2-метилфенил) уреидо)фенил]-ацетиламино}-пиридин-3-ил)-этил]-N-метилсукцинамовая кислота;
4-{[2-карбокси-1-(6-{2-[3-метокси-4-(3-(2-метилфенил)уреидо)фенил]-ацетиламино}-пиридин-3-ил)-этил]-метилкарбамоил}-масляная кислота;
3-(аминоацетилметиламино)-3-(6-{2-[3-метокси-4-(3-(2-метилфенил)уреидо)фенил]-ацетиламино}-пиридин-3-ил)-пропионовая кислота;
3-(6-{2-[3-метокси-4-(3-(2-метилфенил)уреидо)фенил]-ацетиламино}-пиридин-3-ил)-3-[метил(морфолин-4-илацетил)-амино]-пропионовая кислота;
3-{[(2-метоксиэтокси)-ацетил]-метиламино}-3-(6-{2-[3-метокси-4-(3-(2-метилфенил)уреидо)фенил]-ацетиламино}-пиридин-3-ил)-пропионовая кислота;
3-(метансульфонилметиламино)-3-(6-{2-[3-метокси-4-(3-(2-метилфенил)уреидо)фенил]-ацетиламино}-пиридин-3-ил)-пропионовая кислота;
3-(6-{2-[3-метокси-4-(3-(2-метилфенил)уреидо)фенил]-ацетиламино}-пиридин-3-ил)-3-[метил(пиридин-3-сульфонил)-амино]-пропионовая кислота;
3-(6-{2-[3-метокси-4-(3-(2-метилфенил)уреидо)фенил]-ацетиламино}-пиридин-3-ил)-3-[метил(1-метил-5Н-имидазол-4-сульфонил)-амино]-пропионовая кислота;
3-ацетиламино-3-(6-{2-[4-(3-(2-метилфенил)уреидо)фенил]-ацетиламино}-пиридин-3-ил)-пропионовая кислота;
3-(3,4-диметоксибензоиламино)-3-(6-{2-[4-(3-(2-метилфенил)уреидо)фенил]-ацетиламино}-пиридин-3-ил)-пропионовая кислота;
N-[2-карбокси-1-(6-{2-[4-(3-(2-метилфенил)уреидо)фенил]-ацетиламино}-пиридин-3-ил)-этил]-терефталамовая кислота;
3-бензоиламино-3-(6-{2-[4-(3-(2-метилфенил)уреидо)фенил]-ацетиламино}-пиридин-3-ил)-пропионовая кислота;
3-[(тетрагидропиран-4-карбонил)-амино]-3-(6-{2-[4-(3-(2-метилфенил)уреидо)фенил]-ацетиламино}-пиридин-3-ил)-пропионовая кислота;
3-[(пиридазин-3-карбонил)-амино]-3-(6-{2-[4-(3-(2-метилфенил)уреидо)фенил]-ацетиламино}-пиридин-3-ил)-пропионовая кислота;
3-[(тиофен-2-карбонил)-амино]-(6-{2-[4-(3-(2-метилфенил)уреидо)фенил]-ацетиламино}-пиридин-3-ил)-пропионовая кислота;
N-[2-карбокси-1-(6-{2-[4-(3-(2-метилфенил)уреидо)фенил]-ацетиламино}-пиридин-3-ил)-этил]-сукцинамовая кислота;
4-[2-карбокси-1-(6-{2-[4-(3-(2-метилфенил)уреидо)фенил]-ацетиламино}-пиридин-3-ил)-этилкарбамоил]-масляная кислота;
3-(2-аминоацетиламино)-3-(6-{2-[4-(3-(2-метилфенил)уреидо)фенил]-ацетиламино}-пиридин-3-ил)-пропионовая кислота;
3-(2-морфолин-4-илацетиламино)-3-(6-{2-[4-(3-(2-метилфенил)уреидо)фенил]-ацетиламино}-пиридин-3-ил)-пропионовая кислота;
3-[2-(2-метоксиэтокси)-ацетиламино]-3-(6-{2-[4-(3-(2-метилфенил)уреидо)фенил]-ацетиламино}-пиридин-3-ил)-пропионовая кислота;
3-метансульфониламино-3-(6-{2-[4-(3-(2-метилфенил)уреидо)фенил]-ацетиламино}-пиридин-3-ил)-пропионовая кислота;
3-(пиридин-3-сульфониламино)-(6-{2-[4-(3-(2-метилфенил)уреидо)фенил]-ацетиламино}-пиридин-3-ил)-пропионовая кислота;
3-(1-метил-5Н-имидазол-4-сульфониламино)-3-(6-{2-[4-(3-(2-метилфенил)уреидо)фенил]-ацетиламино}-пиридин-3-ил)-3-пропионовая кислота;
3-(ацетилметиламино)-3-[6-({[3-метокси-4-(3-(2-метилфенил)уреидо)фенил]-ацетил}-метиламино)-пиридин-3-ил]-пропионовая кислота;
3-[(3,4-диметоксибензоил)-метиламино]-3-[6-({[3-метокси-4-(3-(2-метилфенил)уреидо)фенил]-ацетил}-метиламино)-пиридин-3-ил]-пропионовая кислота;
N-{2-карбокси-1-[6-({[3-метокси-4-(3-(2-метилфенил)уреидо)фенил]-ацетил}-метиламино)-пиридин-3-ил]-этил}-N-метилтерефталамовая кислота;
3-(бензоилметиламино)-3-[6-({[3-метокси-4-(3-(2-метилфенил)уреидо)фенил]-ацетил}-метиламино)-пиридин-3-ил] пропионовая кислота;
3-[6-({[3-метокси-4-(3-(2-метилфенил)уреидо)фенил]-ацетил}-метиламино)-пиридин-3-ил]-3-[метил(тетрагидропиран-4-карбонил)-амино]-пропионовая кислота;
3-[6-({[3-метокси-4-(3-(2-метилфенил)уреидо)фенил]-ацетил}-метиламино)-пиридин-3-ил]-3-[метил(пиридазин-3-карбонил)-амино]-пропионовая кислота;
3-[6-({[3-метокси-4-(3-(2-метилфенил)уреидо)фенил]-ацетил}-метиламино)-пиридин-3-ил]-3-[метил(тиофен-2-карбонил)-амино]-пропионовая кислота;
N-{2-карбокси-1-[6-({[3-метокси-4-(3-(2-метилфенил)уреидо)фенил]-ацетил}-метиламино)-пиридин-3-ил]этил}-N-метил-сукцинамовая кислота;
4-({2-карбокси-1-[6-({[3-метокси-4-(3-(2-метилфенил)уреидо)фенил]-ацетил}-метиламино)-пиридин-3-ил]-этил}-метилкарбамоил)-масляная кислота;
3-(аминоацетилметиламино)-3-[6-({[3-метокси-4-(3-(2-метилфенил)уреидо)фенил]-ацетил}-метиламино)-пиридин-3-ил]пропионовая кислота;
3-[6-({[3-метокси-4-(3-(2-метилфенил)уреидо)фенил]-ацетил}-метиламино)-пиридин-3-ил]-3-[метил-(морфолин-4-илацетил)-амино]-пропионовая кислота;
3-{[(2-метоксиэтокси)-ацетил]-метиламино}-3-[6-({[3-метокси-4-(3-(2-метилфенил)уреидо)фенил]-ацетил}-метиламино)-пиридин-3-ил]-пропионовая кислота;
3-(метансульфонилметиламино)-3-[6-({[3-метокси-4-(3-(2-метилфенил)уреидо)фенил]-ацетил}-метиламино)-пиридин-3-ил]-пропионовая кислота;
3-[6-({[3-метокси-4-(3-(2-метилфенил)уреидо)фенил]-ацетил}-метиламино)-пиридин-3-ил]-3-[метил(пиридин-3-сульфонил)-амино]-пропионовая кислота;
3-[6-({[3-метокси-4-(3-(2-метилфенил)уреидо)фенил]-ацетил}-метиламино)-пиридин-3-ил]-3-[метил-(1-метил-5Н-имидазол-4-сульфонил)-амино]-пропионовая кислота;
3-ацетиламино-3-(5-{2-[3-метокси-4-(3-(2-метилфенил)уреидо)фенил]-ацетиламино}-пиридин-2-ил)-пропионовая кислота;
3-(3,4-диметоксибензоиламино)-3-(5-{2-[3-метокси-4-(3-(2-метилфенил)уреидо)фенил]-ацетиламино}-пиридин-2-ил)-пропионовая кислота;
N-[2-карбокси-1-(5-{2-[3-метокси-4-(3-(2-метилфенил)уреидо)фенил]-ацетиламино}-пиридин-2-ил)-этил]-терефталамовая кислота;
3-бензоиламино-3-(5-{2-[3-метокси-4-(3-(2-метилфенил)уреидо)фенил]-ацетиламино}-пиридин-2-ил)-пропионовая кислота;
3-(5-{2-[3-метокси-4-(3-(2-метилфенил)уреидо)фенил]-ацетиламино}-пиридин-2-ил)-3-[(тетрагидропиран-4-карбонил)амино]-пропионовая кислота;
3-(5-{2-[3-метокси-4-(3-(2-метилфенил)уреидо)фенил]-ацетиламино}-пиридин-2-ил)-3-[(пиридазин-3-карбонил)-амино] пропионовая кислота;
3-(5-{2-[3-метокси-4-(3-(2-метилфенил)уреидо)фенил]-ацетиламино}-пиридин-2-ил)-3-[(тиофен-2-карбонил)-амино]-пропионовая кислота;
N-[2-карбокси-1-(5-{2-[3-метокси-4-(3-(2-метилфенил)уреидо)фенил]-ацетиламино}-пиридин-2-ил)-этил]-сукцинамовая кислота;
4-[2-карбокси-1-(5-{2-[3-метокси-4-(3-(2-метилфенил)уреидо)фенил]-ацетиламино}-пиридин-2-ил)-этилкарбамоил]-масляная кислота;
3-(2-аминоацетиламино)-3-(5-{2-[3-метокси-4-(3-(2-метилфенил)уреидо)фенил]-ацетиламино}-пиридин-2-ил)-пропионовая кислота;
3-(5-{2-[3-метокси-4-(3-(2-метилфенил)уреидо)фенил]-ацетиламино}-пиридин-2-ил)-3-(2-морфолин-4-илацетиламино)-пропионовая кислота;
3-[2-(2-метоксиэтокси)-ацетиламино]-3-(5-{2-[3-метокси-4-(3-(2-метилфенил)уреидо)фенил]-ацетиламино}-пиридин-2-ил)-пропионовая кислота;
3-метансульфониламино-3-(5-{2-[3-метокси-4-(3-(2-метилфенил)уреидо)фенил]-ацетиламино}-пиридин-2-ил)-пропионовая кислота;
3-(5-{2-[3-метокси-4-(3-(2-метилфенил)уреидо)фенил]-ацетиламино}-пиридин-2-ил)-3-(пиридин-3-сульфониламино)-пропионовая кислота;
3-(5-{2-[3-метокси-4-(3-(2-метилфенил)уреидо)фенил]-ацетиламино}-пиридин-2-ил)-3-(1-метил-5Н-имидазол-4-сульфониламино)-пропионовая кислота;
3-ацетиламино-3-[5-({[3-метокси-4-(3-(2-метилфенил)уреидо)фенил]-ацетил}-метиламино)-пиридин-2-ил]-пропионовая кислота;
3-(3,4-диметоксибензоиламино)-3-[5-({[3-метокси-4-(3-(2-метилфенил)уреидо)фенил]-ацетил}-метиламино)-пиридин-2-ил]-пропионовая кислота;
N-{2-карбокси-1-[5-({[3-метокси-4-(3-(2-метилфенил)уреидо)фенил]-ацетил}-метиламино)-пиридин-2-ил]-этил}-терефталамовая кислота;
3-бензоиламино-3-[5-({[3-метокси-4-(3-(2-метилфенил)уреидо)фенил]-ацетил}-метиламино)-пиридин-2-ил]-пропионовая кислота;
3-[5-({[3-метокси-4-(3-(2-метилфенил)уреидо)фенил]-ацетил}-метиламино)-пиридин-2-ил]-3-[(тетрагидропиран-4-карбонил)-амино]-пропионовая кислота;
3-[5-({[3-метокси-4-(3-(2-метилфенил)уреидо)фенил]-ацетил}-метиламино)-пиридин-2-ил]-3-[(пиридазин-3-карбонил)-амино]-пропионовая кислота;
3-[5-({[3-метокси-4-(3-(2-метилфенил)уреидо)фенил]-ацетил}-метиламино)-пиридин-2-ил]-3-[(тиофен-2-карбонил)-амино]-пропионовая кислота;
N-{2-карбокси-1-[5-({[3-метокси-4-(3-(2-метилфенил)уреидо)фенил]-ацетил}-метиламино)-пиридин-2-ил]-этил}-сукцинамовая кислота;
4-{2-карбокси-1-[5-({[3-метокси-4-(3-(2-метилфенил)уреидо)фенил]-ацетил}-метиламино)-пиридин-2-ил]-этилкарбамоил}-масляная кислота;
3-(2-аминоацетиламино)-3-[5-({[3-метокси-4-(3-(2-метилфенил)уреидо)фенил]-ацетил}-метиламино)-пиридин-2-ил]-пропионовая кислота;
3-[5-({[3-метокси-4-(3-(2-метилфенил)уреидо)фенил]-ацетил}-метиламино)-пиридин-2-ил]-3-(2-морфолин-4-илацетиламино)-пропионовая кислота;
3-[2-(2-метокси-этокси)-ацетиламино]-3-[5-({[3-метокси-4-(3-(2-метилфенил)уреидо)фенил]-ацетил}-метиламино)-пиридин-2-ил]-пропионовая кислота;
3-метансульфониламино-3-[5-({[3-метокси-4-(3-(2-метилфенил)уреидо)фенил]-ацетил}-метиламино)-пиридин-2-ил]-пропионовая кислота;
3-[5-({[3-метокси-4-(3-(2-метилфенил)уреидо)фенил]-ацетил}-метиламино)-пиридин-2-ил]-3-(пиридин-3-сульфониламино)-пропионовая кислота;
3-[5-({[3-метокси-4-(3-(2-метилфенил)уреидо)фенил]-ацетил}-метиламино)-пиридин-2-ил]-3-(1-метил-5Н-имидазол-4-сульфониламино)-пропионовая кислота;
3-(ацетилметиламино)-3-(5-{2-[3-метокси-4-(3-(2-метилфенил)уреидо)фенил]-ацетиламино}-пиридин-2-ил)-пропионовая кислота;
3-[(3,4-диметоксибензоил)-метиламино]-3-(5-{2-[3-метокси-4-(3-(2-метилфенил)уреидо)фенил]-ацетиламино}-пиридин-2-ил)-пропионовая кислота;
N-[2-карбокси-1-(5-{2-[3-метокси-4-(3-(2-метилфенил)уреидо)фенил]-ацетиламино}-пиридин-2-ил)-этил]-N-метилтерефталамовая кислота;
3-(бензоилметиламино)-3-(5-{2-[3-метокси-4-(3-(2-метилфенил)уреидо)фенил]-ацетиламино}-пиридин-2-ил)-пропионовая кислота;
3-(5-{2-[3-метокси-4-(3-(2-метилфенил)уреидо)фенил]-ацетиламино}-пиридин-2-ил)-3-[метил(тетрагидропиран-4-карбонил)-амино]-пропионовая кислота;
3-(5-{2-[3-метокси-4-(3-(2-метилфенил)уреидо)фенил]-ацетиламино}-пиридин-2-ил)-3-[метил(пиридазин-3-карбонил)-амино]-пропионовая кислота;
3-(5-{2-[3-метокси-4-(3-(2-метилфенил)уреидо)фенил]-ацетиламино}-пиридин-2-ил)-3-[метил(тиофен-2-карбонил)-амино]-пропионовая кислота;
N-[2-карбокси-1-(5-{2-[3-метокси-4-(3-(2-метилфенил)уреидо)фенил]-ацетиламино}-пиридин-2-ил)-этил]-N-метилсукцинамовая кислота;
4-{[2-карбокси-1-(5-{2-[3-метокси-4-(3-(2-метилфенил)уреидо)фенил]-ацетиламино}-пиридин-2-ил)-этил]-метилкарбамоил}масляная кислота;
3-(аминоацетилметиламино)-3-(5-{2-[3-метокси-4-(3-(2-метилфенил)уреидо)фенил]-ацетиламино}-пиридин-2-ил)-пропионовая кислота;
3-(5-{2-[3-метокси-4-(3-(2-метилфенил)уреидо)фенил]-ацетиламино}-пиридин-2-ил)-3-[метил(морфолин-4-илацетил)-амино]-пропионовая кислота;
3-{[(2-метоксиэтокси)-ацетил]-метиламино}-3-(5-{2-[3-метокси-4-(3-(2-метилфенил)уреидо)фенил]-ацетиламино}-пиридин-2-ил)-пропионовая кислота;
3-(метансульфонилметиламино)-3-(5-{2-[3-метокси-4-(3-(2-метилфенил)уреидо)фенил]-ацетиламино}-пиридин-2-ил)-пропионовая кислота;
3-(5-(2-[3-метокси-4-(3-(2-метилфенил)уреидо)фенил]-ацетиламино}-пиридин-2-ил)-3-[метил(пиридин-3-сульфонил)-амино]-пропионовая кислота;
3-(5-{2-[3-метокси-4-(3-(2-метилфенил)уреидо)фенил]-ацетиламино}-пиридин-2-ил)-3-[метил-(1-метил-5Н-имидазол-4-сульфонил)-амино]-пропионовая кислота;
3-ацетиламино-3-(5-{2-[4-(3-(2-метилфенил)уреидо)фенил]-ацетиламино}-пиридин-2-ил)-пропионовая кислота;
3-(3,4-диметоксибензоиламино)-3-(5-{2-[4-(3-(2-метилфенил)уреидо)фенил]-ацетиламино}-пиридин-2-ил)-пропионовая кислота;
N-[2-карбокси-1-(5-{2-[4-(3-(2-метилфенил)уреидо)фенил]-ацетиламино}-пиридин-2-ил)-этил]-терефталамовая кислота;
3-(бензоиламино)-3-(5-{2-[4-(3-(2-метилфенил)уреидо)фенил]-ацетиламино}-пиридин-2-ил)-пропионовая кислота;
3-[(тетрагидропиран-4-карбонил)-амино]-3-(5-{2-[4-(3-(2-метилфенил)уреидо)фенил]-ацетиламино}-пиридин-2-ил)-пропионовая кислота;
3-[(пиридазин-3-карбонил)-амино]-3-(5-{2-[4-(3-(2-метилфенил)уреидо)фенил]-ацетиламино}-пиридин-2-ил)-пропионовая кислота;
3-[(тиофен-2-карбонил)-амино]-3-(5-{2-[4-(3-(2-метилфенил)уреидо)фенил]-ацетиламино}-пиридин-2-ил)-пропионовая кислота;
N-[2-карбокси-1-(5-{2-[4-(3-(2-метилфенил)уреидо)фенил]-ацетиламино}-пиридин-2-ил)-этил]-сукцинамовая кислота;
4-[2-карбокси-1-(5-{2-[4-(3-(2-метилфенил)уреидо)фенил]-ацетиламино}-пиридин-2-ил)-этилкарбамоил]-масляная кислота;
3-(2-аминоацетиламино)-3-(5-{2-[4-(3-(2-метилфенил)уреидо)фенил]-ацетиламино}-пиридин-2-ил)-пропионовая кислота;
3-(2-морфолин-4-илацетиламино)-3-(5-{2-[4-(3-(2-метилфенил)уреидо)фенил]-ацетиламино}-пиридин-2-ил)-пропионовая кислота;
3-[2-(2-метоксиэтокси)-ацетиламино]-3-(5-{2-[4-(3-(2-метилфенил)уреидо)фенил]-ацетиламино}-пиридин-2-ил)-пропионовая кислота;
3-метансульфониламино-3-(5-{2-[4-(3-(2-метилфенил)уреидо)фенил]-ацетиламино}-пиридин-2-ил)-пропионовая кислота;
3-(пиридин-3-сульфониламино)-3-(5-{2-[4-(3-(2-метилфенил)уреидо)фенил]-ацетиламино}-пиридин-2-ил)-пропионовая кислота;
3-(1-метил-5Н-имидазол-4-сульфониламино)-3-(5-{2-[4-(3-(2-метилфенил)уреидо)фенил]-ацетиламино}-пиридин-2-ил)-пропионовая кислота;
3-(ацетилметиламино)-3-[5-({[3-метокси-4-(3-(2-метилфенил)уреидо)фенил]-ацетил}-метиламино)-пиридин-2-ил]пропионовая кислота;
3-[(3,4-диметоксибензоил)-метиламино]-3-[5-({[3-метокси-4-(3-(2-метилфенил)уреидо)фенил]-ацетил}-метиламино)-пиридин-2-ил]-пропионовая кислота;
N-{2-карбокси-1-[5-({[3-метокси-4-(3-(2-метилфенил)уреидо)фенил]-ацетил}-метиламино)-пиридин-2-ил]-этил}-N-метилтерефталамовая кислота;
3-(бензоилметиламино)-3-[5-({[3-метокси-4-(3-(2-метилфенил)уреидо)фенил]-ацетил}-метиламино)-пиридин-2-ил]-пропионовая кислота;
3-[5-({[3-метокси-4-(3-(2-метилфенил)уреидо)фенил]-ацетил}-метиламино)-пиридин-2-ил]-3-[метил(тетрагидропиран-4-карбонил)-амино]-пропионовая кислота;
3-[5-({[3-метокси-4-(3-(2-метилфенил)уреидо)фенил]-ацетил}-метиламино)-пиридин-2-ил]-3-[метил(пиридазин-3-карбонил)-амино]-пропионовая кислота;
3-[5-({[3-метокси-4-(3-(2-метилфенил)уреидо)фенил]-ацетил}-метиламино)-пиридин-2-ил]-3-[метил(тиофен-2-карбонил)-амино]-пропионовая кислота;
N-{2-карбокси-1-[5-({[3-метокси-4-(3-(2-метилфенил)уреидо)фенил]-ацетил}-метиламино)-пиридин-2-ил]-этил}-N-метилсукцинамовая кислота;
4-({2-карбокси-1-[5-({[3-метокси-4-(3-(2-метилфенил)уреидо)фенил]-ацетил}-метиламино)-пиридин-2-ил]-этил}-метилкарбамоил)-масляная кислота;
3-(аминоацетилметиламино)-3-[5-({[3-метокси-4-(3-(2-метилфенил)уреидо)фенил]-ацетил}-метиламино)-пиридин-2-ил]-пропионовая кислота;
3-[5-({[3-метокси-4-(3-(2-метилфенил)уреидо)фенил]-ацетил}-метиламино)-пиридин-2-ил]-3-[метил(морфолин-4-ил-ацетил)-амино]-пропионовая кислота;
3-{[(2-метоксиэтокси)-ацетил]-метиламино}-3-[5-({[3-метокси-4-(3-(2-метилфенил)уреидо)фенил]-ацетил}-метиламино)-пиридин-2-ил]-пропионовая кислота;
3-(метансульфонилметиламино)-3-[5-({[3-метокси-4-(3-(2-метилфенил)уреидо)фенил]-ацетил}-метиламино)-пиридин-2-ил]-пропионовая кислота;
3-[5-({[3-метокси-4-(3-(2-метилфенил)уреидо)фенил]-ацетил}-метиламино)-пиридин-2-ил]-3-[метил(пиридин-3-сульфонил)-амино]-пропионовая кислота;
3-[5-({[3-метокси-4-(3-(2-метилфенил)уреидо)фенил]-ацетил}-метиламино)-пиридин-2-ил]-3-[метил-(1-метил-5Н-имидазол-4-сульфонил)-амино]-пропионовая кислота;
3-(4-{3-метокси-4-[3-(2-метилфенил)уреидо]-фенилацетиламино}фенил)-3-(метансульфониламино)-пропановая кислота;
3-(ацетиламино)-3-(4-{3-метокси-4-[3-(2-метилфенил)уреидо]-фенилацетиламино}фенил)-пропановая кислота;
3-(бензоиламино)-3-(4-{3-метокси-4-[3-(2-метилфенил)уреидо]-фенилацетиламино}фенил)-пропановая кислота;
3-(4-{3-метокси-4-[3-(2-метилфенил)уреидо]-фенилацетиламино}фенил)-3-(3-пиридилацетиламино)-пропановая кислота;
3-амино-3-(4-{3-метокси-4-[3-(2-метилфенил)уреидо]-фенилацетиламино}фенил)-пропановая кислота;
3-(н-бутиламино)-3-(4-{3-метокси-4-[3-(2-метилфенил)уреидо]-фенилацетиламино}фенил)-пропановая кислота;
3-бензиламино-3-(4-{3-метокси-4-[3-(2-метилфенил)уреидо]-фенилацетиламино}фенил)-пропановая кислота;
3-(4-{3-метокси-4-[3-(2-метилфенил)уреидо]-фенилацетиламино}фенил)-3-(2-фенилэтиламино)-пропановая кислота;
3-(4-{3-метокси-4-[3-(2-метилфенил)уреидо]-фенилацетиламино}фенил)-3-(морфолин-4-ил)-пропановая кислота;
3-(4-{3-метокси-4-[3-(2-метилфенил)уреидо]-фенилацетиламино}фенил)-3-(4-метилпиперазин-1-ил)-пропановая кислота;
3-(N-ацетил-N-метиламино)-3-(4-{4-[3-(2-метилфенил)уреидо]-фенилацетил-N-метиламино}фенил)-пропионовая кислота;
3-бензилоксикарбониламино-3-(4-{3-метокси-4-[3-(2-метилфенил)уреидо]-фенилацетиламино}фенил)-пропановая кислота;
3-фенилсульфониламино-3-(4-(3-метокси-4-[3-(2-метилфенил)уреидо]-фенилацетиламино}фенил)-пропановая кислота;
3-(пиридин-3-карбониламино)-3-(4-{3-метокси-4-[3-(2-метилфенил)уреидо]-фенилацетиламино}фенил)-пропановая кислота;
3-(пиридин-3-сульфониламино)-3-(4-{3-метокси-4-[3-(2-метилфенил)уреидо]-фенилацетиламино}фенил)-пропановая кислота;
3-(5-диметиламино-1-нафталинсульфониламино)-3-(4-{3-метокси-4-[3-(2-метилфенил)уреидо]-фенилацетиламино}фенил)-пропановая кислота;
3-(4-карбоксибутаноиламино)-3-(4-{3-метокси-4-[3-(2-метилфенил)уреидо]-фенилацетиламино}фенил)-пропановая кислота;
3-(3-карбоксипропаноиламино)-3-(4-{3-метокси-4-[3-(2-метилфенил)уреидо]-фенилацетиламино}фенил)-пропановая кислота;
3-(1-метилимидазол-4-илсульфониламино)-3-(4-{3-метокси-4-[3-(2-метилфенил)уреидо]-фенилацетиламино}фенил)-пропановая кислота;
3-(N-ацетилметиламино)-3-(4-{3-метокси-4-[3-(2-метилфенил)уреидо]-фенилацетиламино}фенил)-пропановая кислота;
3-(N-метансульфонилметиламино)-3-(4-{3-метокси-4-[3-(2-метилфенил)уреидо]-фенилацетиламино}фенил)-пропановая кислота;
3-(морфолин-1-илацетиламино)-3-(4-{3-метокси-4-[3-(2-метилфенил)уреидо]-фенилацетиламино}фенил)-пропановая кислота;
3-(ацетиламино)-3-(4-{3-метилтио-4-[3-(2-метилфенил)уреидо]-фенилацетиламино}фенил)-пропановая кислота;
3-(ацетиламино)-3-(4-{3-метилсульфинил-4-[3-(2-метилфенил)уреидо]-фенилацетиламино}фенил)-пропановая кислота;
3-(ацетиламино)-3-(4-{3-метилсульфонил-4-[3-(2-метилфенил)уреидо]-фенилацетиламино}фенил)-пропановая кислота;
3-[2-(2-метоксиэтокси)ацетиламино]-3-(4-{3-метокси-4-[3-(2-метилфенил)уреидо]-фенилацетиламино}фенил)-пропановая кислота;
3-[(тетрагидропиран-4-карбонил)амино]-3-(4-{3-метокси-4-[3-(2-метилфенил)уреидо]-фенилацетиламино}фенил)-пропановая кислота;
3-[(5-метилизоксазол-3-карбонил)-амино]-3-(4-{3-метокси-4-[3-(2-метилфенил)уреидо]-фенилацетиламино}фенил)-пропановая кислота;
3-(ацетиламино)-3-(4-{3-метокси-4-[3-(2-метилфенил)уреидо]-фенилацетиламино}фенил)-пропановая кислота;
3-[(4-карбоксибензоил)-амино]-3-(4-{3-метокси-4-[3-(2-метилфенил)уреидо]-фенилацетиламино}фенил)-пропановая кислота;
3-[(пиридазин-3-карбонил)-амино]-3-(4-{3-метокси-4-[3-(2-метилфенил)уреидо]-фенилацетиламино}фенил)-пропановая кислота;
3-[(3,4-диметоксибензоил)-амино]-3-(4-{3-метокси-4-[3-(2-метилфенил)уреидо]-фенилацетиламино}фенил)-пропановая кислота;
3-[(пиридазин-3-карбонил)-амино]-3-(4-{4-[3-(2-метилфенил)уреидо]-фенилацетиламино}фенил)-пропановая кислота;
3-(4-карбокси-3,3-диметилбутаноиламино)-3-(4-{3-метокси-4-[3-(2-метилфенил)уреидо]-фенилацетиламино}фенил) пропановая кислота;
3-(бензоиламино)-3-(4-{4-[3-(2-метилфенил)уреидо]-фенилацетиламино}фенил)-пропановая кислота;
3-(4-карбоксибутаноиламино)-3-(4-{4-[3-(2-метилфенил)уреидо]-фенилацетиламино}фенил)-пропановая кислота;
3-[4-({3-метокси-4-[3-(2-метилфенил)уреидо]-фенилацетил}-N-метиламино)-фенил]-бутановая кислота;
3-[(4-карбоксипиридин-3-карбонил)-амино]-3-(4-{3-метокси-4-[3-(2-метилфенил)уреидо]-фенилацетиламино}фенил) пропановая кислота;
3-[2,2-ди(гидроксиметил)пропаноиламино]-3-(4-{3-метокси-4-[3-(2-метилфенил)уреидо]-фенилацетиламино}фенил)-пропановая кислота;
3-[2-(карбоксиметилокси)-ацетиламино]-3-(4-{3-метокси-4-[3-(2-метилфенил)уреидо]-фенилацетиламино}фенил)-пропановая кислота;
3-[(1-карбоксиметил-пиперидин-4-карбонил)-амино]-3-(4-{3-метокси-4-[3-(2-метилфенил)уреидо]-фенилацетиламино}фенил)-пропановая кислота;
3-[2-(4-метилпиперазин-1-ил)-ацетиламино]-3-(4-{3-метокси-4-[3-(2-метилфенил)уреидо]-фенилацетиламино}фенил)-пропановая кислота;
3-(пирролидин-1-ил)-3-[4-({4-[3-(2-метилфенил)уреидо]-фенилацетил}-метиламино)-фенил]-пропановая кислота;
3-(N-ацетилметиламино)-3-[4-({4-[3-(2-метилфенил)уреидо]-фенилацетил}-метиламино)-фенил]-пропановая кислота;
3-(4-{3-метокси-4-[3-(2-метилфенил)уреидо]-фенилацетиламино}фенил)-5-(4-метилпиперазин-1-ил)-5-оксопентановая кислота;
3-(4-{3-метокси-4-[3-(2-метилфенил)уреидо]-фенилацетиламино}фенил)-5-(морфолин-4-ил)-5-оксо-пентановая кислота
и соответствующие N-оксиды и их пролекарства; фармацевтически приемлемые соли и сольваты (к примеру, гидраты) таких соединений и их N-оксиды и пролекарства.
В группу предпочтительных соединений по изобретению входят:
3-(5-{3-метокси-4-[3-(2-метилфенил)уреидо]-фенилацетиламино}пирид-2-ил)-пропановая кислота;
3-(6-{3-метокси-4-[3-(2-метилфенил)уреидо]-фенилацетиламино}пирид-3-ил)-пропановая кислота;
3-(4-{3-метокси-4-[3-(2-метилфенил)уреидо]-фенилацетиламино}фенил)-3-(метансульфониламино)-пропановая кислота;
3-(ацетиламино)-3-(4-{3-метокси-4-[3-(2-метилфенил)уреидо]-фенилацетиламино}фенил)-пропановая кислота;
3-(бензоиламино)-3-(4-{3-метокси-4-[3-(2-метилфенил)уреидо]-фенилацетиламино}фенил)-пропановая кислота;
3-(4-{3-метокси-4-[3-(2-метилфенил)уреидо]-фенилацетиламино}фенил)-3-(3-пиридилацетиламино)-пропановая кислота;
3-амино-3-(4-{3-метокси-4-[3-(2-метилфенил)уреидо]-фенилацетиламино}фенил)-пропановая кислота;
3-(н-бутиламино)-3-(4-{3-метокси-4-[3-(2-метилфенил)уреидо]-фенилацетиламино}фенил)-пропановая кислота;
3-бензиламино-3-(4-{3-метокси-4-[3-(2-метилфенил)уреидо]-фенилацетиламино}фенил)-пропановая кислота;
3-(4-{3-метокси-4-[3-(2-метилфенил)уреидо]-фенилацетиламино}фенил)-3-(2-фенилэтиламино)-пропановая кислота;
3-(4-{3-метокси-4-[3-(2-метилфенил)уреидо]-фенилацетиламино}фенил)-3-(морфолин-4-ил)-пропановая кислота;
3-(4-{3-метокси-4-[3-(2-метилфенил)уреидо]-фенилацетиламино}фенил)-3-(4-метилпиперазин-1-ил)-пропановая кислота;
3-(N-ацетил-N-метиламино)-3-(4-{4-[3-(2-метилфенил)уреидо]-фенилацетил-N-метиламино}фенил)-пропионовая кислота;
3-бензилоксикарбониламино-3-(4-{3-метокси-4-[3-(2-метилфенил)уреидо]-фенилацетиламино}фенил)-пропановая кислота;
3-фенилсульфониламино-3-(4-{3-метокси-4-[3-(2-метилфенил)уреидо]-фенилацетиламино}фенил)-пропановая кислота;
3-(пиридин-3-карбониламино)-3-(4-{3-метокси-4-[3-(2-метилфенил)уреидо]-фенилацетиламино}фенил)-пропановая кислота;
3-(пиридин-3-сульфониламино)-3-(4-{3-метокси-4-[3-(2-метилфенил)уреидо]-фенилацетиламино}фенил)-пропановая кислота;
3-(5-диметиламино-1-нафталинсульфониламино)-3-(4-{3-метокси-4-[3-(2-метилфенил)уреидо]-фенилацетиламино}фенил)-пропановая кислота;
3-(4-карбоксибутаноиламино)-3-(4-{3-метокси-4-[3-(2-метилфенил)уреидо]-фенилацетиламино}фенил)-пропановая кислота;
3-(3-карбоксипропаноиламино)-3-(4-{3-метокси-4-[3-(2-метилфенил)уреидо]-фенилацетиламино}фенил)-пропановая кислота;
3-(1-метилимидазол-4-илсульфониламино)-3-(4-{3-метокси-4-[3-(2-метилфенил)уреидо]-фенилацетиламино}фенил)-пропановая кислота;
3-(N-ацетилметиламино)-3-(4-{3-метокси-4-[3-(2-метилфенил)уреидо]-фенилацетиламино}фенил)-пропионовая кислота;
3-(N-метансульфонилметиламино)-3-(4-{3-метокси-4-[3-(2-метилфенил)уреидо]-фенилацетиламино}фенил)-пропионовая кислота;
3-(морфолин-1-илацетиламино)-3-(4-{3-метокси-4-[3-(2-метилфенил)уреидо]-фенилацетиламино}фенил)-пропановая кислота;
3-(ацетиламино)-3-(4-{3-метилтио-4-[3-(2-метилфенил)уреидо]-фенилацетиламино}фенил)-пропановая кислота;
3-(ацетиламино)-3-(4-{3-метилсульфинил-4-[3-(2-метилфенил)уреидо]-фенилацетиламино}фенил)-пропановая кислота;
3-(ацетиламино)-3-(4-{3-метилсульфонил-4-[3-(2-метилфенил)уреидо]-фенилацетиламино}фенил)-пропановая кислота;
3-[2-(2-метоксиэтокси)ацетиламино]-3-(4-{3-метокси-4-[3-(2-метилфенил)уреидо]-фенилацетиламино}фенил)-пропановая кислота;
3-[(тетрагидропиран-4-карбонил)амино]-3-(4-{3-метокси-4-[3-(2-метилфенил)уреидо]-фенилацетиламино}фенил)-пропановая кислота;
3-[(5-метилизоксазол-3-карбонил)-амино]-3-(4-{3-метокси-4-[3-(2-метилфенил)уреидо]-фенилацетиламино}фенил)-пропановая кислота;
3-[(тиофен-2-карбонил)-амино]-3-(4-{3-метокси-4-[3-(2-метилфенил)уреидо]фенилацетиламино}-фенил)-пропановая кислота;
3-[(4-карбоксибензоил)-амино]-3-(4-{3-метокси-4-[3-(2-метилфенил)уреидо]-фенилацетиламино}фенил)-пропановая кислота;
3-[(пиридазин-3-карбонил)-амино]-3-(4-(3-метокси-4-[3-(2-метилфенил)уреидо]-фенилацетиламино}фенил)-пропановая кислота;
3-[(3,4-диметоксибензоил)-амино]-3-(4-{3-метокси-4-[3-(2-метилфенил)уреидо]-фенилацетиламино}фенил)-пропановая кислота;
3-[(пиридазин-3-карбонил)-амино]-3-(4-{4-[3-(2-метилфенил)уреидо]-фенилацетиламино}фенил)-пропановая кислота;
3-(4-карбокси-3,3-диметилбутаноиламино)-3-(4-{3-метокси-4-[3-(2-метилфенил)уреидо]-фенилацетиламино}-фенил)-пропановая кислота;
3-(бензоиламино)-3-(4-{4-[3-(2-метилфенил)уреидо]-фенилацетиламино}фенил)-пропановая кислота;
3-(4-карбоксибутаноиламино)-3-(4-{4-[3-(2-метилфенил)уреидо]-фенилацетиламино}фенил)-пропановая кислота;
3-[4-({3-метокси-4-[3-(2-метилфенил)уреидо]-фенилацетил}-N-метиламино)-фенил]-бутановая кислота;
3-(4-{3-метокси-4-[3-(2-метилфенил)уреидо]-фенилацетиламино}фенил)-5-(4-метилпиперазин-1-ил)-5-оксопентановая кислота;
3-(4-{3-метокси-4-[3-(2-метилфенил)уреидо]-фенилацетиламино}фенил)-5-(морфолин-4-ил)-5-оксопентановая кислота
и соответствующие N-оксиды и их пролекарства; фармацевтически приемлемые соли и сольваты (к примеру, гидраты) таких соединений и их N-оксиды и пролекарства.
В группу особенно предпочтительных соединений по изобретению входят
(R)-3-ацетиламино-3-(4-{3-метокси-4-[3-(2-метилфенил)уреидо)фенил]-ацетиламино}-фенил)-пропановая кислота;
(R)-3-(4-карбоксибутаноиламино)-3-(4-{3-метокси-4-[3-(2-метилфенил)уреидо]фенилацетиламино}фенил)-пропановая кислота;
(R)-3-(3-карбоксипропаноиламино)-3-(4-{3-метокси-4-[3-(2-метилфенил)уреидо]-фенилацетиламино}фенил)-пропановая кислота;
(R)-3-(пиридин-3-карбониламино)-3-(4-{3-метокси-4-[3-(2-метилфенил)уреидо]-фенилацетиламино}фенил)-пропановая кислота;
(R)-3-бензоиламино-3-(4-{3-метокси-4-[3-(2-метилфенил)уреидо]фенилацетиламино}фенил)-пропановая кислота;
(R)-3-[2-(2-метоксиэтокси)ацетиламино]-3-(4-{3-метокси-4-[3-(2-метилфенил)уреидо]-фенилацетиламино}фенил)-пропановая кислота;
(R)-3-[(тетрагидропиран-4-карбонил)амино]-3-(4-{3-метокси-4-[3-(2-метилфенил)уреидо]-фенилацетиламино}фенил)-пропановая кислота;
(R)-3-[(5-метилизоксазол-3-карбонил)-амино]-3-(4-{3-метокси-4-[3-(2-метилфенил)уреидо]-фенилацетиламино}фенил)-пропановая кислота;
(R)-3-[(тиофен-2-карбонил)-амино]-3-(4-{3-метокси-4-[3-(2-метилфенил)уреидо]фенилацетиламино}-фенил)-пропановая кислота;
(R)-3-[(4-карбоксибензоил)-амино]-3-(4-{3-метокси-4-[3-(2-метилфенил)уреидо]-фенилацетиламино}фенил)-пропановая кислота;
(R)-3-[(пиридазин-3-карбонил)-амино]-3-(4-{3-метокси-4-[3-(2-метилфенил)уреидо]-фенилацетиламино}фенил)-пропановая кислота;
(R)-3-[(3,4-диметоксибензоил)-амино]-3-(4-{3-метокси-4-[3-(2-метилфенил)уреидо]-фенилацетиламино}фенил)-пропановая кислота;
(R)-3-[(пиридазин-3-карбонил)-амино]-3-(4-{4-[3-(2-метилфенил)уреидо]-фенилацетиламино}фенил)-пропановая кислота;
(R)-3-(4-карбокси-3,3-диметилбутаноиламино)-3-(4-{3-метокси-4-[3-(2-метилфенил)уреидо]-фенилацетиламино}-фенил)-пропановая кислота;
(R)-3-(бензоиламино)-3-(4-{4-[3-(2-метилфенил)уреидо]-фенилацетиламино}фенил)-пропановая кислота;
(R)-3-(4-карбоксибутаноиламино)-3-(4-{4-[3-(2-метилфенил)уреидо]-фенилацетиламино}-фенил)-пропановая кислота
и соответствующие N-оксиды и их пролекарства; фармацевтически приемлемые соли и сольваты (к примеру, гидраты) таких соединений и их N-оксиды и пролекарства.
Соединения по изобретению обладают полезным фармакологическим действием и поэтому их включают в фармацевтические композиции и используют для лечения пациентов, страдающих определенным заболеванием. Таким образом, согласно еще одному аспекту настоящее изобретение раскрывает применение в терапии соединений по изобретению и композиций, содержащих соединения по изобретению.
Соединения, охватываемые рамками объема настоящего изобретения и приложенных пунктов, согласно описанным в литературе испытаниям и описанным здесь методикам испытаний in vitro и in vivo блокируют взаимодействие лиганда VCAM-1 с его интегрин-рецептором VLA-1 (
К примеру, смола Wang’a может быть обработана на стадии 1 кислотами формулы (III)
О2N-Аr1-L2-CО2Н (III)
где Аr1 и L2 принимают вышеуказанные значения, и диизопропилкабодиимидом в диметилформамиде в присутствии диметиламинопиридина при комнатной температуре. Полученные сложные эфиры (смола 2), где Аr1 и L2 принимают вышеуказанные значения, могут быть затем обработаны на стадии 2 хлористым оловом в диметилформамиде при комнатной температуре, что дает смолу 3, где Аr1 и L2 принимают вышеуказанные значения. Смола 3 может быть затем подвергнута на стадии 3 реакции сочетания с кислотой общей формулы (IV)
где R1, R2, Xх и X2 принимают вышеуказанные значения, а X3 обозначает CR10 (где R10 принимает вышеуказанные значения), в присутствии О-(7-азабензотриазол-1-ил)-1,1,3,3-тетраметилуронийгексафторфосфата и диизопропилэтиламина в диметилформамиде при комнатной температуре. Полученная смола 4, где R1, R2, Аr1, L2, X1 и X2 принимают вышеуказанные значения и X3 обозначает CR10 (где R10 принимает вышеуказанные значения), может быть затем обработана на стадии 4 трифторуксусной кислотой в инертном растворителе, таком как дихлорметан, при комнатной температуре, что приводит к выделению кислот общей формулы (II), где R1, R2, Ar1, L2, X1 и X2 принимают вышеуказанные значения, а X3 обозначает CR10 (где R10 принимает вышеуказанные значения).
В качестве другого примера, соединения формулы (Ib), где R1, R2, Ar1, X1 и X2 принимают вышеуказанные значения, L2 обозначает -Z2-R9-мостик [где R9 принимает вышеуказанные значения и Z2 обозначает О, S или NR4 (где R4 принимает вышеуказанные значения)], X3 обозначает CR10 (где R10 принимает вышеуказанные значения) и Y обозначает карбокси, представленные формулой (V), могут быть получены использованием методики с применением смол, приведенной в схеме 1.
Схема 2
К примеру, смола Wang’a по схеме 2 может быть обработана на стадии 1 кислотами формулы (VI)
где R17 обозначает Br-R9– [где R9 принимает вышеуказанные значения], и диизопропилкабодиимидом в диметилформамиде или смеси диметилформамида и тетрагидрофурана, в присутствии диметиламинопиридина при комнатной температуре. Полученные сложные эфиры (смола 5, где R17 обозначает Br-R9-) могут реагировать на стадии 2 с соединениями формулы (VII)
где Аr1 обозначает гетероарилдиил, a Z2 обозначает О, S или NR4 (где R4 принимает вышеуказанные значения), в присутствии основания, такого как третичное органическое основание, к примеру диизопропилэтиламин, в диметилсульфоксиде и при температуре, близкой к комнатной, что дает смолу 6, где R9 и Аr1 обозначает гетероарилдиил, а Z2 обозначает О, S или NR4 (где R4 принимает вышеуказанные значения). Смола 6 может быть затем подвергнута, на стадии 3, реакции сочетания с кислотой общей формулы (IV), где R1, R2, X1 и X2 принимают вышеуказанные значения, а X3 обозначает CR10 (где R10 принимает вышеуказанные значения), в присутствии О-(7-азабензотриазол-1-ил)-1,1,3,3-тетраметилуронийгесафторфосфата и диизопропилэтиламина в диметилформамиде при комнатной температуре. Полученная смола 7 [где R1, R2, R9, Х1 и X2 принимают вышеуказанные значения, Аr1 обозначает гетероарилдиил, X3 обозначает CR10 (где R10 принимает вышеуказанные значения) и Z2 обозначает О, S или NR4 (где R4 принимает вышеуказанные значения)], может быть затем обработана на стадии 4 трифторуксусной кислотой в инертном растворителе, таком как дихлорметан, и при температуре, близкой к комнатной, что приводит к выделению кислот общей формулы (V), где R1, R2, R9, Х1 и X2 принимают вышеуказанные значения, Аr1 обозначает гетероарилдиил, X3 обозначает CR10 (где R10 принимает вышеуказанные значения) и Z2 обозначает О, S или NR4 (где R4 принимает вышеуказанные значения). Этот способ особенно подходит для получения соединений формулы (V), где L2 обозначает -S-СН2-мостик.
В качестве другого примера, смола Wang’a по схеме 2 может быть обработана на стадии 1 хлорангидридами кислот формулы (VIII)
где R17 обозначает винильную группу, необязательно замещенную R5, в присутствии третичного амина, такого как диизопропилэтиламин, в инертном растворителе, таком как дихлорметан, при температуре, близкой к комнатной. Полученный необязательно замещенный сложный виниловый эфир (смола 5, где винильная группа необязательно замещена R5) может затем реагировать с соединениями формулы (VII), где Аr1 обозначает гетероарилдиил и Z2 обозначает S, в присутствии основания, такого как третичное органическое основание, к примеру диизопропилэтиламин, в диметилсульфоксиде и при температуре, близкой к комнатной, с образованием смолы 6 [где Аr1 обозначает гетероарилдиил, R9 обозначает этилен (необязательно замещенный R5) и Z2 обозначает S]. Смола 6 может затем вступать в реакцию сочетания с кислотой общей формулы (IV), где R1, R2, X1 и X2 принимают вышеуказанные значения и X3 обозначает CR10 (где R10 принимает вышеуказанные значения), в присутствии О-(7-азабензотриазол-1-ил)-1,1,3,3-тетраметилуронийгесафторфосфата и диизопропилэтиламина в диметилформамиде при комнатной температуре. Полученная смола 7 [где R1, R2, X1 и X2 принимают вышеуказанные значения, Аr1 обозначает гетероарилдиил, R9 обозначает этилен (необязательно замещенный R5), X3 обозначает CR10 (где R10 принимает вышеуказанные значения) и Z2 обозначает S] может быть затем обработана трифторуксусной кислотой в инертном растворителе, таком как дихлорметан, и при температуре, близкой к комнатной, что приводит к выделению кислот общей формулы (V), где R1, R2, X1 и X2 принимают вышеуказанные значения, Аr1 обозначает гетероарилдиил, R9 обозначает этилен (необязательно замещенный R5), X3 обозначает CR10 (где R10 принимает вышеуказанные значения) и Z2 обозначает S.
В качестве другого примера, соединения формулы (Iа) или (Ib), где R1, R2, L2, Аr1, X1 и X2 принимают вышеуказанные значения и X3 обозначает CR10 (где R10 принимает вышеуказанные значения), a Y обозначает карбокси, могут быть получены по реакции сочетания кислот формулы (IV), где R1, R2, X1 и X2 принимают вышеуказанные значения и X3 обозначает CR10 (где R10 принимает вышеуказанные значения) с аминами формулы (IX)
H2N-Ar1-L2-CO2H (IX)
где Аr1 и L2 принимают вышеуказанные значения, с применением стандартных условий сочетания, к примеру условий, указанных выше.
В качестве другого примера, соединения формулы (I), где R1, Х1, X2, X3, X4, X5 и X6 принимают вышеуказанные значения и где радикалы L2 и Y в одном из X3, X4 и X5 обозначают алкиленовый мостик, замещенный -CONY1Y2 и карбокси соответственно и могут быть получены по реакции соединений формулы (I), где R1, Х1, X2, X3, X4, X5 и X6 принимают вышеуказанные значения и где радикалы L2 и Y в одном из X3, X4 и X5 обозначают алкиленовый мостик, замещенный -CO2H и карбокси соответственно с ангидридом, таким как трифторуксусный ангидрид, в инертном растворителе, к примеру тетрагидрофуране, с последующей обработкой НNY1Y2.
Согласно еще одному аспекту настоящего изобретения, соединения по изобретению могут быть получены взаимопревращением других соединений по изобретению.
К примеру, соединения формулы (I), где R1, X1, X2, X3, X4, X5 и X6 принимают вышеуказанные значения и где радикал Y в одном из X3, X4 и X5 обозначает -С(=O)-NHOH, могут быть получены по реакции соединений формулы (I), где R1, X1, X2, X3, X4, X5 и X6 принимают вышеуказанные значения и где радикал Y в одном из X3, X4 и X5 обозначает карбокси, с гидроксиламином с применением стандартных методик пептидного сочетания (конденсации), таких как обработка карбодиимидом, к примеру дициклогексилкарбодиимидом, в присутствии триэтиламина в инертном растворителе, таком как дихлорметан или тетрагидрофуран, при температуре, близкой к комнатной. Сочетание можно также осуществлять, используя 1-гидроксибензотриазол и 1-(3-диметиламинопропил)-3-этилкарбодиимид в дихлорметане при комнатной температуре. Получение соединения можно также осуществлять, используя O-защищенный гидроксиламин, такой как О-(триметилсилил)гидроксиламин, O-(трет-бутилдиметилсилил)гидроксиламин или О-(тетрагидропиранил)гидроксиламин, с последующей обработкой кислотой.
В качестве примера способа взаимопревращения, соединения формулы (I), содержащие сульфоксидные мостики, могут быть получены окислением соответствующих соединений, содержащих -S-мостики. К примеру, окисление обычно осуществляют посредством реакции с надкислотой, к примеру 3-хлорнад-бензойной кислотой, предпочтительно в инертном растворителе, к примеру дихлорметане, преимущественно при температуре, близкой к комнатной, или же иначе, посредством реакции с кислым пероксомоносульфатом калия в среде, такой как метанол, доведенной буфером до рН 5, при температурах от 0°С до комнатной температуры. Этот последний способ предпочтителен для соединений, содержащих лабильную кислотную группу.
В качестве другого примера способа взаимопревращения, соединения формулы (I), содержащие сульфоксидные мостики, могут быть получены окислением соответствующих соединений, содержащих -S- или сульфоксидные мостики. К примеру, окисление обычно осуществляют посредством реакции с надкислотой, к примеру 3-хлорнадбензойной кислотой, предпочтительно в инертном растворителе, к примеру дихлорметане, преимущественно при температуре, близкой к комнатной.
В качестве другого примера способа взаимопревращения, соединения формулы (I), где R1, X1, X2, X3, X4, X5 и X6 принимают вышеуказанные значения и где радикал L2 в одном из X3, X4 и X5 обозначает необязательно замещенный алкиленовый мостик, могут быть получены гидрированием соответствующих соединений формулы (I), где радикал L2 в одном из X3, X4 и X5 обозначает необязательно замещенный алкениленовый мостик. Гидрирование можно осуществлять, применяя водород (необязательно под давлением) в присутствии к примеру, платины или палладия, необязательно нанесенного на инертный носитель, такой как углерод, предпочтительно в растворителе, таком как метанол или этанол, и при температуре, близкой к комнатной.
В качестве другого примера способа взаимопревращения, соединения формулы (I), в которой R1, Х1, X2, X3, X4, X5 и X6 принимают вышеуказанные значения и где радикал L1 в одном из X3, X4 и X5 обозначает -R2-R3-мостик, где R2 обозначает линейную или разветвленную цепь С2-6алкилена и R3 обозначает непосредственную химическую связь, могут быть так же получены гидрированием соответствующих соединений формулы (I), в которой L1 радикал в одном из X3, X4 и X5 обозначает -R2-R3-мостик, где R2 обозначает линейную или разветвленную цепь С2-6алкенилена и R3 обозначает непосредственную химическую связь.
В качестве еще одного примера способа взаимопревращения, соединения формулы (I), где R1, X1, X2, X3, X4, X5 и X6 принимают вышеуказанные значения и где радикал L2 в одном из X3, X4 и X5 содержит аминогруппу, могут быть получены по реакции соединений формулы (I), где R1, X1, X2, X3, X4, X5 и X6 принимают вышеуказанные значения и где радикал L2 в одном из X3, X4 и X5 содержит ацетамидогруппу, с основанием, таким как водная гидроокись щелочного металла, к примеру гидроокись натрия.
В качестве примера способа взаимопревращения, соединения по изобретению, содержащие гетероциклическую группу, где гетероатомом является атом азота, могут быть окислены до соответствующих N-оксидов. Окисление обычно можно осуществить по реакции со смесью из перекиси водорода и органической кислоты, к примеру уксусной кислоты, предпочтительно, при температуре, равной комнатной или выше, к примеру при температуре приблизительно 60-90°С. Или же окисление можно осуществлять по реакции с надкислотой, к примеру надуксусной кислотой или м-хлорнадбензойной кислотой, в инертном растворителе, таком как хлороформ или дихлорметан, при температуре приблизительно от комнатной до температуры перегонки, предпочтительно при повышенной температуре. Или же окисление может быть выполнено по реакции с перекисью водорода в присутствии вольфрамата натрия при температурах между комнатной температурой и приблизительно 60°С.
Следует учитывать, что соединения по изобретению могут содержать асимметрические центры. Эти асимметрические центры могут независимо быть R- или S-конфигурации. Для специалистов в соответствующей области очевидно, что некоторые соединения по изобретению могут также обладать геометрической изомерией. Понятно, что настоящее изобретение включает отдельные геометрические изомеры и стереоизомеры соединений вышеуказанной формулы (I) и их смеси, включая рацемические смеси. Такие изомеры могут быть выделены из их смесей применением или адаптацией известных способов, к примеру хроматографическими способами и способами перекристаллизации, или их получают раздельно из соответствующих изомеров их промежуточных соединений.
Согласно еще одной отличительной особенности изобретения, кислотно-аддитивные соли соединений по изобретению могут быть получены по реакции свободного основания с соответствующей кислотой с применением или адаптацией известных способов. К примеру, кислотные аддитивные соли соединений по данному изобретению могут быть получены либо растворением свободного основания в воде или водном спиртовом растворе, или в других пригодных растворителях, содержащих соответствующую кислоту, и выделением соли путем упаривания раствора, либо по реакции свободного основания и кислоты в органическом растворителе, в этом случае соли разделяют непосредственно или они могут быть получены путем концентрации раствора.
Соединения по изобретению могут быть восстановлены из их солей с применением или адаптацией известных способов. (Соединения по изобретению могут быть восстановлены из их кислотных аддитивных солей с применением или адаптацией известных способов.) К примеру, исходные соединения по изобретению могут быть восстановлены из их кислотно-аддитивных солей при обработке щелочью, к примеру водным раствором бикарбоната натрия или водным раствором аммиака.
Соединения по изобретению могут быть восстановлены из их основных аддитивных солей с применением или адаптацией известных способов. К примеру, исходные соединения по изобретению могут быть восстановлены из их основных аддитивных солей при обработке кислотой, к примеру соляной кислотой.
Соединения по настоящему изобретению удобно получать, либо они образуются при получении по способу изобретения, в виде сольватов (к примеру, гидратов). Гидраты соединений по данному изобретению удобно получать перекристаллизацией из смеси воды и органических растворителей, используя такие органические растворители, как диоксан, тетрагидрофуран или метанол.
Согласно еще одному аспекту изобретения, основные аддитивные соли соединений по изобретению могут быть получены по реакции свободной кислоты с соответствующим основанием с применением или адаптацией известных способов. К примеру, основные аддитивные соли соединений по данному изобретению могут быть получены либо растворением свободной кислоты в воде или водном спиртовом растворе, или в других пригодных растворителях, содержащих соответствующее основание, и выделением соли путем упаривания раствора, либо по реакции свободной кислоты и основания в органическом растворителе, в этом случае соли разделяют непосредственно или они могут быть получены путем концентрации раствора.
Исходные вещества и промежуточные соединения могут быть получены применением или адаптацией известных способов, к примеру, способами, описанными в стандартных примерах или по их очевидным химическим эквивалентам.
Сложные эфиры формулы (I), где R1, X1, X2, X3, X4, X5 и X6 принимают вышеуказанные значения и где радикалы L1 и Y в одном из X3, X4 и X5 обозначают -R2-R3-мостик (где R2 принимает вышеуказанные значения и R3 обозначает -C(=O)-NH-) и -СО2R16-группу (где R16 принимает вышеуказанные значения) соответственно могут быть получены по реакции соединений формулы (1)
где R1, X1, X2 и X6 принимают вышеуказанные значения и один из X7, X8 и X9 обозначает C-R18 [где R18 обозначает -R2-C(=O)Х10 (где R2 принимает вышеуказанные значения и X10 обозначает гидроксильную группу или атом галогена, предпочтительно атом хлора)], а другие независимо обозначают N или CR10 (где R10 принимает вышеуказанные значения), с аминами формулы (2)
где R1, R16, Ar1 и L2 принимают вышеуказанные значения. Когда X10 обозначает гидроксильную группу, реакция может быть выполнена с применением вышеуказанных стандартных методик пептидного сочетания. Когда X10 обозначает атом галогена, реакция может быть выполнена с помощью основания, такого как пиридин, предпочтительно в растворителе, таком как тетрагидрофуран, и при температуре, близкой к комнатной.
Сложные эфиры формулы (I), где R1, X1, X2, X3, X4, X5 и X6 принимают вышеуказанные значения и где радикалы L1 и Y в одном из X3, X4 и X5 обозначают -R2-R3-мостик [где R2 принимает вышеуказанные значения и R3 обозначает -NR4-C(=O)- (где R4 принимает вышеуказанные значения) и -CO2R16-группу (где R16 принимает вышеуказанные значения) соответственно, могут быть получены по реакции соединений формулы (1), где R1, X1, X2 и X6 принимают вышеуказанные значения, один из X7, X8 и X9 обозначает C-R18 [где R18 обозначает -R2-NHR4 (где R2 и R4 принимают вышеуказанные значения)], а другие независимо обозначают N или CR10 (где R10 принимает вышеуказанные значения), с соединениями формулы (3)
где R16, Ar1, L2, и Х10 принимают вышеуказанные значения, используя вышеуказанные методики для сочетания галоидангидридов кислот с аминами.
Сложные эфиры формулы (I), где R1, X1, X2, X3, X4, X5 и X6 принимают вышеуказанные значения и где радикалы L1 и Y в одной из групп X3, X4 и X5 обозначают -R2-R3-мостик [где R2 принимает вышеуказанные значения и R3 обозначает -О-] и группу -CO2R16 (где R16 принимает вышеуказанные значения) соответственно, могут быть получены по реакции соединений формулы (1), где R1, X1, X2 и X6 принимают вышеуказанные значения, один из X7, X8 и X9 обозначает C-R18 [где R18 обозначает -R2-OH), а другие независимо обозначают N или CR10 (где R10 принимает вышеуказанные значения), с соединениями формулы (4)
где R16, Ar1 и L2 принимают вышеуказанные значения, в присутствии диалкилазодикарбоксилата, такого как диэтилазодикарбоксилат, и трифенилфосфина предпочтительно в сухом эфирном растворителе, к примеру диэтиловом эфире или тетрагидрофуране, предпочтительно при температуре, близкой к комнатной. Или же, сложные эфиры формулы (I), где R1, X1, X2, X3, X4, X5 и X6 принимают вышеуказанные значения и где радикалы L1 и Y в одном из X3, X4 и X5 обозначают -R2-R3-мостик [где R2 принимает вышеуказанные значения и R3 обозначает -О-] и группу -CO2R16 (где R16 принимает вышеуказанные значения) соответственно, могут также быть получены алкилированием соединений формулы (4), где R16, Ar1 и L2 принимают вышеуказанные значения. Реакция может быть осуществлена с применением стандартных условий алкилирования, к примеру, реакции с соответствующими алкилбромидами формулы (I), где R1, Х1, X2 и X6 принимают вышеуказанные значения, один из X7, X8 и X9 обозначает C-R18 [где R18 обозначает -R2-Br (где R2 принимает вышеуказанные значения], а другие независимо обозначают N или CR10 (где R10 принимает вышеуказанные значения).
Сложные эфиры формулы (I), где R1, X1, X2, X3, X4, X5 и X6 принимают вышеуказанные значения и где радикалы L1 и Y в одном из X3, X4 и X5 обозначают -R2-R3-мостик [где R2 принимает вышеуказанные значения и R3 обозначает -S-] и группу -CO2R16 (где R16 принимает вышеуказанные значения) соответственно, могут быть получены похожим способом путем алкилирования соединений формулы (5)
где R16, Ar1 и L2 принимают вышеуказанные значения.
Сложные эфиры формулы (I), где R1, X1, X2, X3, X4, X5 и X6 принимают вышеуказанные значения и где радикалы L1 и Y в одном из X3, X4 и X5 обозначают -R2-R3-мостик [где R2 принимает вышеуказанные значения и R3 обозначает -NR4– (где R4 принимает вышеуказанные значения)] и группу -СО2R16 (где R16 принимает вышеуказанные значения) соответственно, могут быть получены похожим способом путем алкилирования соединений формулы (2), где R4, R16, Ar1 и L2 принимают вышеуказанные значения.
Сложные эфиры формулы (I), где R1, X1, X2, X3, X4, X5 и X6 принимают вышеуказанные значения и где радикалы L1 и Y в одной из групп X3, X4 и X5 обозначают -R2-R3-мостик [где R2 принимает вышеуказанные значения и R3 обозначает -С(=O)-] и группу -СО2R16 (где R16 принимает вышеуказанные значения) соответственно, могут быть получены по реакции соединений формулы (1), где R1, X1, X2 и X6 принимают вышеуказанные значения, один из X7, X8 и X9 обозначает C-R18 [где R18 обозначает -R2-CO2R16 (где R2 и R16 принимают вышеуказанные значения)] с реактивами Гриньяра, полученными при реакции соединений формулы (6)
где R16, Ar1 и L2 принимают вьшгеуказанные значения, с магнием при использовании стандартных условий реакции.
Сложные эфиры формулы (I), где R1, X1, X2, X3, X4, X5 и X6 принимают вышеуказанные значения и где радикалы L1 и Y в одной из групп X3, X4 и X5 обозначают -R2-R3-мостик [где R2 принимает вышеуказанные значения и R3 обозначает -NR4-C(=O)-NH- (где R4 принимает вышеуказанные значения)] и группу -CO2R16 (где R16 принимает вышеуказанные значения) соответственно, могут быть получены по реакции соединений формулы (1), где R1, X1, X2 и X6 принимают вышеуказанные значения, один из X7, X8 и X9 обозначает C-R18 [где R18 обозначает -R2-NHR4 (где R2 и R4 принимают вышеуказанные значения)], а другие независимо обозначают N или CR10 (где R10 принимает вышеуказанные значения), с изоцианатами формулы (7)
где R16, Ar1 и L2 принимают вышеуказанные значения. Реакцию предпочтительно осуществляют с помощью основания, такого как третичный амин, к примеру триэтиламин, предпочтительно в растворителе, таком как дихлорметан, и при температуре, близкой к комнатной.
Сложные эфиры формулы (I), где R1, X1, X2, X3, X4, X5 и X6 принимают вышеуказанные значения и где радикалы L1 и Y в одной из групп X3, X4 и X5 обозначают -R2-R3-мостик [где R2 принимает вышеуказанные значения и R3 обозначает -NH-C(=O)-NR4– (где R4 принимает вышеуказанные значения)] и группу -СО2R16 (где R16 принимает вышеуказанные значения) соответственно, могут быть так же получены по реакции аминов формулы (2), где R4, R16, Аr1 и L2 принимают вышеуказанные значения, с соединениями формулы (I), где R1, X1, X2 и X6 принимают вышеуказанные значения, один из X7, X8 и X9 обозначает C-R18 [где R18 обозначает -R2-N=C=O (где R2 принимает вышеуказанные значения)], а другие независимо обозначают N или CR10 (где R10 принимает вышеуказанные значения).
Сложные эфиры формулы (I), где R1, X1, X2, X3, X4, X5 и X6 принимают вышеуказанные значения и где радикалы L1 и Y в одной из групп X3, X4 и X5 обозначают -R2-R3-мостик [где R2 принимает вышеуказанные значения и R3 обозначает -SO2-NR4– (где R4 принимает вышеуказанные значения)] и группу -CO2R16 (где R16 принимает вышеуказанные значения) соответственно, могут быть получены по реакции соединений формулы (1), где R1, X1, X2 и X6 принимают вышеуказанные значения, один из X7, X8 и X9 обозначает C-R18 [где R18 обозначает -R2-SO2Cl (где R2 принимает вышеуказанные значения), а другие независимо обозначают N или CR10 (где R10 принимает вышеуказанные значения), с аминами формулы (2), где R4, R16, Аr1 и L2 принимают вышеуказанные значения. Реакцию предпочтительно осуществляют с помощью основания, такого как третичный амин, к примеру триэтиламин, предпочтительно в растворителе, таком как тетрагидрофуран, и при температуре, близкой к комнатной.
Сложные эфиры формулы (I), где R1, X1, X2, X3, X4, X5 и X6 принимают вышеуказанные значения и где радикалы L1 и Y в одной из групп X3, X4 и X5 обозначают -R2-R3-мостик [где R2 принимает вышеуказанные значения и R3 обозначает -NR4-SO- (где R4 принимает вышеуказанные значения)] и группу -CO2R16 (где R16 принимает вышеуказанные значения) соответственно, могут быть получены по реакции соединений формулы (1), где R1, X1, X2 и X6 принимают вышеуказанные значения, один из X7, X8 и X9 обозначает C-R18 [где R18 обозначает -R2-NHR4 (где R2 и R4 принимают вышеуказанные значения), а другие независимо обозначают N или CR10 (где R10 принимает вышеуказанные значения), с сульфонилхлоридами формулы (8)
где R16, Ar1 и L2 принимают вышеуказанные значения.
Сложные эфиры формулы (I), где R1, X1, X2, X3, X4, X5 и X6 принимают вышеуказанные значения и где радикалы L1 и Y в одной из групп X3, X4 и X5 обозначают -R2-R3-мостик [где R2 принимает вышеуказанные значения и R3 обозначает -O-C(=O)-O-] и группу -CO2R16 (где R16 принимает вышеуказанные значения) соответственно, могут так же быть получены путем O-ацилирования соединений формулы (1), где R1, X1, X2 и X6 принимают вышеуказанные значения, один из X7, X8 и X9 обозначает С-R18 [где R18 обозначает -R2-OH (где R2 принимает вышеуказанные значения), а другие независимо обозначают N или CR10 (где R10 принимает вышеуказанные значения), с соединениями формулы (3), где R16, Ar1 и L2 принимают вышеуказанные значения X10 обозначает атом галогена. Реакция может быть осуществлена с применением стандартных условий О-ацилирования, к примеру, реакции с хлорангидридами кислот формулы (3), где 10 обозначает атом хлора.
Сложные эфиры формулы (I), где R1, X1, X2, X3, X4, X5 и X6 принимают вышеуказанные значения и где радикалы L1 и Y в одной из групп X3, X4 и X5 обозначают -R2-R3-мостик [где R2 принимает вышеуказанные значения и R3 обозначает -O-С(=O)-O-] и группу -СО2R16 (где R16 принимает вышеуказанные значения) соответственно, могут так же быть получены путем O-ацилирования соединений формулы (4), где R16, Ar1 и L2 принимают вышеуказанные значения, с соединениями формулы (1), где R1, X1, X2 и X6 принимают вышеуказанные значения, один из X7, X8 и X9 обозначает C-R18 [где R18 обозначает -R2-C(=O)X10 (где R2 принимает вышеуказанные значения и X10 обозначает атом галогена)], а другие независимо обозначают N или CR10 (где R10 принимает вышеуказанные значения).
Сложные эфиры формулы (I), где R1, X1, X2, X3, X4, X5 и X6 принимают вышеуказанные значения и где радикалы L1 и Y в одной из групп X3, X4 и X5 обозначают -R2-R3-мостик [где R2 принимает вышеуказанные значения и R3 обозначает -O-С(=O)-NH-] и группу -CO2R16 (где R16 принимает вышеуказанные значения) соответственно, могут быть получены по реакции соединений формулы (1), где R1, X1, X2 и X6 принимают вышеуказанные значения, один из X7, X8 и X9 обозначает C-R18 [где R18 обозначает -R2-OH (где R2 принимает вышеуказанные значения)], а другие независимо обозначают N или CR10 (где R10 принимает вышеуказанные значения), с изоцианатами формулы (7), где R15, Аr1 и L2 принимают вышеуказанные значения. Реакцию предпочтительно осуществлять с помощью основания, такого как третичный амин, к примеру триэтиламин, предпочтительно в растворителе, таком как дихлорметан, и при температуре, близкой к комнатной.
Сложные эфиры формулы (I), где R1, X1, X2, X3, X4, X5 и X6 принимают вышеуказанные значения и где радикалы L1 и Y в одной из групп X3, X4 и X5 обозначают -R2-R3-мостик [где R2 принимает вышеуказанные значения и R3 обозначает -NH-C(=O)-O-] и группу -CO2R16 (где R16 принимает вышеуказанные значения) соответственно, могут быть так же получены по реакции соединений формулы (1), где 1, X1, X2 и X6 принимают вышеуказанные значения, один из X7, X8 и X9 обозначает C-R18 [где R18 обозначает -R2-N=С=О (где R2 принимает вышеуказанные значения)], а другие независимо обозначают N или CR10 (где R10 принимает вышеуказанные значения), с изоцианатами формулы (4), где R16, Аr1 и L2 принимают вышеуказанные значения.
Сложные эфиры формулы (I), где R1, X1, X2, X3, X4, X5 и X6 принимают вышеуказанные значения и где один из X3, X4 и X5 обозначает С-R2-R3-Аr1L2-СО2R16, где R3 обозначает непосредственную химическую связь, R2 обозначает линейную или разветвленную цепь С2-6алкенилена, где двойная углерод-углеродная связь непосредственно соединена с Аr1, и R16 принимает вышеуказанные значения, могут быть получены из соединений формулы (9)
где R16, Ar1 и L2 принимают вышеуказанные значения, с применением стандартных методик сочетания по Виттигу с соответствующим фосфораном, полученным по реакции соответствующих соединений формулы (1), где R1, X1, X2 и X6 принимают вытеуказанные значения, один из X7, X8 и X9 обозначает C-R18 [где R18 обозначает -R2-Br (где R2 обозначает линейную или разветвленную цепь С1-5алкенилена) ], а другие независимо обозначают N или CR10 (где R10 принимает вышеуказанные значения), с трифенилфосфином и последующей обработкой основанием с применением стандартных методик.
Сложные эфиры формулы (I), где R1, Х1, X2, X3, X4, X5 и X6 принимают вышеуказанные значения, Y обозначает -CO2R16 и радикал L2 в одной из групп X3, X4 и X5 обозначает алкиленовый мостик, замещенный -NY1Y2 (где один из Y1 и Y2 обозначает водород, а другой обозначает алкил или алкил, замещенный алкокси, арилом, циано, циклоалкилом, гетероарилом, гетероциклоалкилом, гидрокси, оксо, -NY1Y2 или одной или более группами -CO2R12 или -С(=O)-NY1Y2), могут быть получены по реакции сложных эфиров формулы (1), где R, Х1, Х2, Х3, Х4, X5 и X6 принимают вышеуказанные значения, Y обозначает -CO2R16 и радикал L2 в одной из групп X3, X4 и X5 обозначает алкиленовый мостик, замещенный -NH2, с альдегидами формулы (10)
где R19 обозначает алкил, замещенный алкокси, арилом, циано, циклоалкилом, гетероарилом, гетероциклоалкилом, гидрокси, оксо, -NY1Y2 или одной или более группами -CO2R12 или -С(=O)-NY1Y2, в присутствии цианоборогидрида натрия. Реакция обычно может быть проведена в метаноле, необязательно в присутствии ацетата натрия и молекулярных сит А4 и при температуре, близкой к комнатной.
Сложные эфиры формулы (I), где R1, X1, X2, X3, X4, X5 и X6 принимают вышеуказанные значения, Y обозначает -CO2R16 и радикал L2 в одной из групп X3, X4 и X5 содержит группу -N(R4)-С(=O)-R13, могут быть получены по реакции аминов формулы (1), где R1, X1, X2, X3, X4, X5 и X6 принимают вышеуказанные значения, Y обозначает -CO2R16 и радикал L2 в одной из групп X3, X4 и X5 содержит группу -NH(R4), с соединениями формулы (11)
где R13 и X10 принимают вышеуказанные значения. Когда X10 обозначает гидроксильную группу, реакция может быть проведена с применением вышеуказанных стандартных методик пептидного сочетания. Когда X10 обозначает атом галогена, реакция может быть осуществлена с помощью основания, такого как пиридин, предпочтительно в растворителе, таком как тетрагидрофуран, и при температуре, близкой к комнатной.
Сложные эфиры формулы (I), где R1, X1, X2, X3, X4, X3 и X6 принимают вышеуказанные значения, Y обозначает -CO2R16 и радикал L2 в одной из групп X3, X4 и X5 содержит группу -N(R4)-С(=O)-OR13, могут быть получены по реакции аминов формулы (1), где R1, X1, X2, X3, X4, X5 и X6 принимают вышеуказанные значения, Y обозначает -CO2R16 и радикал L2 в одной из групп X3, X4 и X5 содержит группу -NH(R4), с соответствующим хлорформиатом, к примеру соединениями этил- (или бензил-) хлорформиата, в стандартных реакционных условиях.
Сложные эфиры формулы (I), где R1, X1, X2, X3, X4, X5 и X6 принимают вышеуказанные значения, Y обозначает -COsR16 и радикал L2 в одной из групп X3, X4 и X5 содержит группу -N(R4)-SO2-R13, могут быть получены по реакции аминов формулы (I), где R1, X1, X2, X3, X4, X5 и X6 принимают вышеуказанные значения, Y обозначает -CO2R16 и радикал L2 в одной из групп X3, X4 и X5 содержит группу -NH(R4), с соответствующим сульфонилхлоридом, к примеру фенил- (или пиридил-) сульфонилхлоридом, в стандартных реакционных условиях.
Сложные эфиры формулы (I), где R1, X1, X2, X3, X4, X5 и X6 принимают вышеуказанные значения, Y обозначает -CO2R16 и радикал L2 в одной из групп X3, X4 и X5 обозначает
могут быть получены гидрированием сложных эфиров формулы (I), где R1, X1, X2, X3, X4, X5 и X6 принимают вышеуказанные значения, Y обозначает -CO2R16 и радикал L2 в одной из групп X3, X4 и X5 обозначает
Реакция может быть проведена в присутствии муравьиной кислоты и подходящего металлического катализатора, к примеру палладия, нанесенного на инертный носитель, такой как углерод, при температуре порядка 60°С. Реакция обычно может быть проведена в присутствии подходящего металлического катализатора, к примеру платины или палладия, необязательно нанесенного на инертный носитель, такой как углерод, предпочтительно в растворителе, таком как метанол или этанол.
Сложные эфиры формулы (I), где R1, X1, X2, X3, X4, X5 и X6 принимают вышеуказанные значения, Y обозначает -CO2R16 и радикал L2 в одной из групп X3, X4 и X5 обозначает
выше указанные значения, Y обозначает -CO2R16 и радикал L2 в одной из групп X3, X4 и X5 обозначает
Сложные эфиры формулы (I), где R1, X1, X2, X3, X4, X5 и X6 принимают вышеуказанные значения, Y обозначает -CO2R16 и радикал L2 в одной из групп Х3, X4 и X5 обозначает
или
могут так же быть получены последующей стандартной перекристаллизацией солей рацемической смеси, к примеру перекристаллизацией соли-тартрата.
Сложные эфиры формулы (I), где R1, X1, X2, X3, X4, X5 и X6 принимают вышеуказанные значения, Y обозначает -CO2R10 и радикал L2 в одной из групп X3, X4 и X5 обозначает
или
могут так же быть получены с применением стандартных методик ферментативного разделения, к примеру, описанных Soloshonok V.A. et.al., Tetrahedrone: Asymmetry 6 (1995), 7, 1601-1610.
Сложные эфиры формулы (I), где R1, X1, X2, X3, X4, X5 и X6 принимают вышеуказанные значения, Y обозначает -CO2R16 и радикал L2 в одной из групп X3, X4 и X5 обозначает
или
могут быть получены по реакции сложных эфиров формулы (I), где R1, X1, X2, X3, X4, X5 и X6 принимают вышеуказанные значения, Y обозначает -CO2R16 и радикал L2 в одной из групп X3, X4 и X5 обозначает -СН=СН-мостик, с гидридом щелочного металла, таким как гидрид натрия, в инертном растворителе, к примеру тетрагидрофуране, при температуре, близкой к комнатной, и последующей реакцией с анионом, полученным при обработке дибензиламина, или (3) -N-бензил-
(0,2 г) в метаноле (5 мл) перемешивают при температуре окружающей среды в атмосфере азота и затем обрабатывают цианоборогидридом натрия (13 мг). После перемешивания в течение 1 часа реакционную смесь обрабатывают, добавляя по каплям соляную кислоту (0,5 мл, 1 М), затем выливают в 10% водный раствор карбоната калия (10 мл). Смесь экстрагируют этилацетатом (30 мл). Органическую фазу сушат над сульфатом магния и затем упаривают. Остаток подвергают флэш-хроматографии на силикагеле, элюируя этилацетатом, что дает указанное в заглавии соединение (44 мг) в виде желтой пены.
(b) Обрабатывая тем же способом, что в стандартном примере 10(а), но используя бензальдегид вместо бутиральдегида, получают трет-бутиловый эфир 3-бензиламино-3-(4-{3-метокси-4-[3-(2-метилфенил)уреидо]-фенилацетиламино}фенил)-пропановой кислоты
(c) Обрабатывая тем же способом, что в стандартном примере 10(а), но используя фенилацетальдегид вместо бутиральдегида, получают трет-бутиловый эфир 3-(4-{3-метокси-4-[3-(2-метилфенил)уреидо]-фенилацетиламино}фенил)-3-(2-фенилэтиламино)-пропановой кислоты.
СТАНДАРТНЫЙ ПРИМЕР 11
(a) трет-Бутиловый эфир 3-(4-{3-метокси-4-[3-(2-метилфенил)уреидо]-фенилацетиламино}фенил)-3-(морфолин-4-ил)-пропановой кислоты
Раствор морфолина (87 мг) в безводном тетрагидрофуране (10 мл), охлажденный до -78°С, и в атмосфере азота обрабатывают раствором н-бутиллития в гексане (0,4 мл, 2,5 М). После перемешивания при -78°С в течение 15 минут к смеси добавляют по каплям раствор, полученный обработкой перемешиваемой суспензии трет-бутилового эфира 3-(4-{3-метокси-4-[3-(2-метилфенил)уреидо]фенилацетиламино}фенил)-пропеновой кислоты (0,25 г, стандартный пример 8) в безводном тетрагидрофуране (10 мл) гидридом натрия (58 мг 60% дисперсии в минеральном масле), в атмосфере азота. Образовавшуюся смесь дополнительно перемешивают в течение 30 минут при -78°С, затем выливают в смесь этилацетата (50 мл) и насыщенного водного раствора хлористого натрия (50 мл). Органический слой отделяют, затем сушат над сульфатом магния и потом упаривают. Остаток растирают с диэтиловым эфиром, получая указанное в заглавии соединение (165 мг) в виде белого твердого вещества.
(b) Обрабатывая тем же способом, что в стандартном примере 11(а), но используя N-метилпиперазин вместо морфолина, получают трет-бутиловый эфир 3-(4-{3-метокси-4-[3-(2-метилфенил)уреидо]-фенилацетиламино}фенил)-3-(4-метилпиперазин-1-ил)-пропановой кислоты.
СТАНДАРТНЫЙ ПРИМЕР 12
(a) Метиловый эфир (R)-3-бензоиламино-3-(4-{3-метокси-4-[3-(2-метилфенил)уреидо]фенилацетиламино}фенил)-пропановой кислоты
Раствор 3-метокси-4-[3-(2-метилфенил)уреидо]-фенилуксусной кислоты (1,52 г, полученной, как описано в стандартном примере 31) в безводном диметилформамиде (40 мл) в атмосфере азота обрабатывают последовательно О-(7-азабензотриазол-1-ил)-1,1,3,3-тетраметилуронийгесафторфосфатом (1,84 г), диизопропилэтиламином (3,4 мл) и раствором метилового эфира (R)-3-бензоиламино-3-(4-аминофенил)-пропановой кислоты [2,0 г, стандартный пример 13(а)] в диметилформамиде (10 мл). После перемешивания в течение 45 минут при температуре окружающей среды реакционную смесь упаривают. Остаток обрабатывают водой (150 мл) и к водной суспензии добавляют соляную кислоту (10 мл, 1 М). Смесь фильтруют и нерастворимое вещество трижды промывают водой (50 мл), затем сушат в вакууме, получая указанное в заглавии соединение в виде белого твердого вещества (2,53 г).
(b) Обрабатывая тем же способом, что в стандартном примере 12(а), но используя метиловый эфир (R)-3-ацетиламино-3-(4-аминофенил)-пропановой кислоты [стандартный пример 13(b)], получают метиловый эфир (R)-3-ацетиламино-3-(4-(3-метокси-4-[3-(2-метилфенил)уреидо]-фенилацетиламино}фенил)-пропановой кислоты.
(c) Обрабатывая тем же способом, что в стандартном примере 12(а), но используя метиловый эфир (R)-3-бензилоксикарбониламино-3-(4-аминофенил)-пропановой кислоты [стандартный пример 13(с)], получают метиловый эфир (R)-3-бензилоксикарбониламино-3-(4-{3-метокси-4-[3-(2-метилфенил)-уреидо]-фенилацетиламино}фенил)-пропановой кислоты.
(d) Обрабатывая тем же способом, что в стандартном примере 12(а), но используя метиловый эфир (R)-3-фенилсульфониламино-3-(4-аминофенил)-пропановой кислоты [стандартный пример 13(d)], получают метиловый эфир (R)-3-фенилсульфониламино-3-(4-{3-метокси-4-[3-(2-метилфенил)уреидо]-фенилацетиламино }фенил)-пропановой кислоты.
(e) Обрабатывая тем же способом, что в стандартном примере 12(а), но используя метиловый эфир (R)-3-(пиридин-3-карбониламино)-3-(4-аминофенил)-пропановой кислоты [стандартный пример 13(е)], получают метиловый эфир (R)-3-(пиридин-3-карбониламино)-3-(4-{3-метокси-4-[3-(2-метилфенил)уреидо]-фенилацетиламино}фенил)-пропановой кислоты.
(f) Обрабатывая тем же способом, что в стандартном примере 12(а), но используя метиловый эфир (R)-3-(пиридин-3-сульфониламино)-3-(4-аминофенил)-пропановой кислоты [стандартный пример 13(f)], получают метиловый эфир (R)-3-(пиридин-3-сульфониламино)-3-(4-{3-метокси-4-[3-(2-метилфенил) уреидо]-фенилацетиламино}фенил)-пропановой кислоты.
(g) Обрабатывая тем же способом, что в стандартном примере 12(а), но используя метиловый эфир (R)-3-(N-ацетилметиламино)-3-(4-аминофенил)-пропановой кислоты [стандартный пример 13(g)], получают метиловый эфир (R)-3-(N-ацетилметиламино)-3-(4-{3-метокси-4-[3-(2-метилфенил)уреидо]-фенилацетиламино}фенил)-пропановой кислоты.
(h) Обрабатывая тем же способом, что в стандартном примере 12(а), но используя метиловый эфир (R)-3-(N-метансульфонилметиламино)-3-(4-аминофенил)-пропановой кислоты [стандартный пример 13(h)], получают метиловый эфир (R)-3-(N-метансульфонилметиламино)-3-(4-{3-метокси-4-[3-(2-метилфенил)уреидо]-фенилацетиламино}фенил)-пропановой кислоты.
(i) Обрабатывая тем же способом, что в стандартном примере 12(а), но используя метиловый эфир (R)-3-[(5-метилизоксазол-3-карбонил)-амино]-3-(4-аминофенил)-пропановой кислоты [стандартный пример 13(i)], получают метиловый эфир (R)-3-[(5-метилизоксазол-3-карбонил)-амино]-3-(4-{3-метокси-4-[3-(2-метилфенил)уреидо]-фенилацетиламино}фенил)-пропановой кислоты.
(j) Обрабатывая тем же способом, что в стандартном примере 12(а), но используя метиловый эфир (R)-3-[(тиофен-2-карбонил)-амино]-3-(4-аминофенил)-пропановой кислоты [стандартный пример 13(j)], получают метиловый эфир (R)-3-[(тиофен-2-карбонил)-амино]-3-(4-{3-метокси-4-[3-(2-метилфенил)уреидо]фенилацетиламино}-фенил)-пропановой кислоты.
(k) Обрабатывая тем же способом, что в стандартном примере 12(а), но используя метиловый эфир (R)-3-[(4-метоксикарбонилбензоил)-амино]-3-(4-аминофенил)-пропановой кислоты [стандартный пример 13(k)], получают метиловый эфир (R)-3-[(4-метоксикарбонилбензоил)-амино]-3-(4-{3-метокси-4-[3-(2-метилфенил)уреидо]фенидацетиламино}-фенил)-пропановой кислоты.
(1) Обрабатывая тем же способом, что в стандартном примере 12(а), но используя метиловый эфир (R)-3-[(3,4-диметоксибензоил)-амино]-3-(4-аминофенил)-пропановой кислоты [стандартный пример 13(1)], получают метиловый эфир (R)-3-[(3,4-диметоксибензоил)-амино]-3-(4-{3-метокси-4-[3-(2-метилфенил)уреидо]фенилацетиламино}-фенил)-пропановой кислоты.
(m) Обрабатывая тем же способом, что в стандартном примере 12(а), но используя метиловый эфир (R)-3-ацетиламино-3-(4-аминофенил)-пропановой кислоты [стандартный пример 13(b)] и 3-метилтио-4-[3-(2-метилфенил)уреидо]фенилуксусную кислоту (стандартный пример 15), получают метиловый эфир (R)-3-ацетиламино-3-(4-{3-метилтио-4-[3-(2-метилфенил)уреидо]фенилацетиламино}-фенил)-пропановой кислоты.
(n) Обрабатывая тем же способом, что в стандартном примере 12(а), но используя метиловый эфир (R)-3-ацетиламино-3-(4-аминофенил)-пропановой кислоты [стандартный пример 13(b)] и 3-метилсульфинил-4-[3-(2-метилфенил)уреидо]-фенилуксусную кислоту [стандартный пример 16(а)], получают метиловый эфир (R)-3-ацетиламино-3-(4-{3-метилсульфинил-4-[3-(2-метилфенил)уреидо]фенилацетиламино}-фенил)-пропановой кислоты.
(о) Обрабатывая тем же способом, что в стандартном примере 12(а), но используя метиловый эфир (R)-3-ацетиламино-3-(4-аминофенил)-пропановой кислоты [стандартный пример 13(b)] и 3-метилсульфонил-4-[3-(2-метилфенил)уреидо]-фенилуксусную кислоту [стандартный пример 16(b)], получают метиловый эфир (R)-3-ацетиламино-3-(4-{3-метилсульфонил-4-[3-(2-метилфенил)уреидо]фенилацетидамино}-фенил)-пропановой кислоты.
(р) Обрабатывая тем же способом, что в стандартном примере 12(а), но используя метиловый эфир (R)-3-[2-(2-метоксиэтокси)-ацетиламино]-3-(4-аминофенил)-пропановой кислоты [стандартный пример 17(а)], получают метиловый эфир (R)-3-[2-(2-метоксиэтокси)-ацетиламино]-3-(4-{3-метокси-4-[3-(2-метилфенил)-уреидо]фенилацетиламино}-фенил)-пропановой кислоты.
(q) Обрабатывая тем же способом, что в стандартном примере 12(а), но используя метиловый эфир (R)-3-[(тетрагидропиран-4-карбонил)амино]-3-(4-аминофенил)-пропановой кислоты [стандартный пример 17(b)], получают метиловый эфир (R)-3-[(тетрагидропиран-4-карбонил)амино]-3-(4-{3-метокси-4-[3-(2-метилфенил)-уреидо]фенилацетиламино}-фенил)-пропановой кислоты.
(r) Обрабатывая тем же способом, что в стандартном примере 12(а), но используя метиловый эфир (R)-3-[(пиридазин-3-карбонил)-амино]-3-(4-аминофенил)-пропановой кислоты [стандартный пример 17(с], получают метиловый эфир (R)-3-[(пиридазин-3-карбонил)-амино]-3-(4-{3-метокси-4-[3-(2-метилфенил)-уреидо]фенилацетиламино}-фенил)-пропановой кислоты.
(s) Обрабатывая тем же способом, что в стандартном примере 12(а), но используя метиловый эфир (R)-3-[(пиридазин-3-карбонил)-амино]-3-(4-аминофенил)-пропановой кислоты [стандартный пример 17(с)] и 4-[3-(2-метилфенилуреидо)]-фенилуксусную кислоту (полученную по описанию примера 21 международной патентной заявки №WO 96/22966), получают метиловый эфир (R)-3-[(пиридазин-3-карбонил)-амино]-3-(4-{4-[3-(2-метилфенил)уреидо]фенилацетиламино}-фенил)-пропановой кислоты.
(t) Обрабатывая тем же способом, что в стандартном примере 12(а), но используя метиловый эфир (R)-3-(бензоиламино)-3-(4-аминофенил)-пропановой кислоты [стандартный пример 13(а)] и 4-[3-(2-метилфенилуреидо)]-фенилуксусную кислоту (полученную по описанию примера 21 международной патентной заявки №WO 96/22966), получают метиловый эфир (R)-3-(бензоиламино)-3-(4-{4-[3-(2-метилфенил)уреидо]фенилацетиламино}-фенил)-пропановой кислоты.
(u) Обрабатывая тем же способом, что в стандартном примере 12(а), но используя метиловый эфир (R)-3-[(4-метоксикарбонилбутаноил)амино]-3-(4-аминофенил)-пропановой кислоты [стандартный пример 18] и 4-[3-(2-метилфенилуреидо)]-фенилуксусную кислоту (полученную по описанию примера 21 международной патентной заявки №WO 96/22966), получают метиловый эфир (R)-3-[(4-метоксикарбонилбутаноил)амино]-3-(4-{4-[3-(2-метилфенил)уреидо]фенидацетиламино}-фенил)-пропановой кислоты.
(v) Обрабатывая тем же способом, что в стандартном примере 12(а), но используя 4-(4-аминофенил)-тетрагидропиран-2-он (стандартный пример 20), получают 4-(4-{3-метокси-4-[3-(2-метилфенил)уреидо]фенилацетиламино}-фенил)-тетрагидропиран-2-он.
(w) Обрабатывая тем же способом, что в стандартном примере 12(а), но используя этил-3-[4-(N-метиламино)фенил]-бутаноат (стандартный пример 33), получают этиловый эфир 3-(4-{3-метокси-4-[3-(2-метилфенил)уреидо]фенилацетил}-N-метиламино)фенил]-бутановой кислоты.
(х) Обрабатывая тем же способом, что в стандартном примере 12(а), но используя диэтиловый эфир 3-(4-аминофенил)-пентандионовой кислоты (стандартный пример 36), получают диэтиловый эфир 3-(4-{3-метокси-4-[3-(2-метилфенил) уреидо]-фенилацетиламино}фенил)-пентандионовой кислоты.
(у) Обрабатывая тем же способом, что в стандартном примере 12(а), но используя диметиловый эфир (R)-3-[(4-карбоксипиридин-3-карбонил)-амино]-3-(4-аминофенил)-пропановой кислоты [стандартный пример 17(d)], получают диметиловый эфир (R)-3-[(4-карбоксипиридин-3-карбонил)-амино]-3-(4-{3-метокси-4-[3-(2-метилфенил)уреидо]-фенилацетиламино}фенил)-пропановой кислоты.
(z) Обрабатывая тем же способом, что в стандартном примере 12(а), но используя метиловый эфир (R)-3-[2,2-ди(гидроксиметил)пропаноиламино]-3-(4-аминофенил)-пропановой кислоты [стандартный пример 17(е)], получают метиловый эфир (R)-3-[2,2-ди(гидроксиметил)пропаноиламино]-3-(4-{3-метокси-4-[3-(2-метилфенил)уреидо]-фенилацетиламино}фенил)-пропановой кислоты.
(aa) Обрабатывая тем же способом, что в стандартном примере 12(а), но используя метиловый эфир (R)-3-[2-(4-метилпиперазин-1-ил)-ацетиламино]-3-(4-аминофенил)-пропановой кислоты [стандартный пример 17(f)], получают метиловый эфир (R)-3-[2-(4-метилпиперазин-1-ил)-ацетиламино]-3-(4-{3-метокси-4-[3-(2-метилфенил)уреидо]-фенилацетиламино}фенил)-пропановой кислоты.
(ab) Обрабатывая тем же способом, что в стандартном примере 12(а), но используя метиловый эфир (R)-3-[2-(карбоксиметилокси)-ацетиламино]-3-(4-аминофенил)-пропановой кислоты [стандартный пример 17(g)], получают диметиловый эфир (R)-3-[2-(карбоксиметилокси)-ацетиламино]-3-(4-{3-метокси-4-[3-(2-метилфенил)уреидо]-фенилацетиламино}фенил)-пропановой кислоты.
СТАНДАРТНЫЙ ПРИМЕР 13
(а) Метиловый эфир (R)-3-бензоиламино-3-(4-аминофенил)-пропановой кислоты
Раствор метилового эфира (R)-3-амино-3-[4-(трет-буток-сикарбониламино)фенил]-пропановой кислоты [3,0 г, стандартный пример 7(с)] в диметилформамиде (50 мл) обрабатывают бензоилхлоридом (1,24 мл) и триэтиламином (1,56 мл). После перемешивания при температуре окружающей среды в течение 2,25 часа смесь упаривают досуха и полученный твердый продукт промывают водой перед сушкой в вакууме. Полученный твердый продукт (3,8 г) растворяют в дихлорметане (70 мл) и раствор обрабатывают трифторуксусной кислотой (20 мл). После перемешивания при температуре окружающей среды в течение 45 минут реакционную смесь упаривают. Остаток обрабатывают толуолом (70 мл), концентрируют досуха и полученный продукт обрабатывают дихлорметаном (200 мл). Образовавшуюся суспензию обрабатывают при перемешивании насыщенным водным раствором карбоната калия (20 мл) при температуре окружающей среды в течение 5 минут. Органический слой отделяют, сушат над сульфатом магния и затем упаривают, получая указанное в заглавии соединение в виде белой пены (2,0 г).
(b) Метиловый эфир (R)-3-ацетиламино-3-(4-аминофенил)-пропановой кислоты
Раствор метилового эфира (R)-3-амино-3-[4-(трет-буток-сикарбониламино)фенил]-пропановой кислоты [7,2 г, стандартный пример 7(с)] в диметилформамиде (30 мл) обрабатывают уксусным ангидридом (2,4 мл) и диизопропилэтиламином (4,6 мл). После перемешивания при температуре окружающей среды в течение 10 минут смесь выливают в воду (500 мл) и затем дважды экстрагируют этилацетатом (200 мл). Объединенные органические экстракты промывают раствором соли (200 мл), затем сушат над сульфатом магния и упаривают. Образующуюся белую пену (8,5 г) растворяют в дихлорметане (75 мл) и раствор обрабатывают трифторуксусной кислотой (17 мл). После перемешивания при температуре окружающей среды в течение 3 часов реакционную смесь упаривают. Остаток обрабатывают толуолом (70 мл), концентрируют досуха и полученный продукт обрабатывают при перемешивании дихлорметаном (200 мл) при температуре окружающей среды в течение 5 минут. Органический слой отделяют, сушат над сульфатом магния и затем упаривают, получая указанное в заглавии соединение (4,1 г) в виде белой пены.
(с) Обрабатывая тем же способом, что в стандартном примере 13(b), но используя N-(бензилоксикарбонилокси)сукцинимид вместо уксусного ангидрида, получают метиловый эфир (R)-3-бензилоксикарбониламино-3-(4-аминофенил)-пропановой кислоты.
(d) Обрабатывая тем же способом, что в стандартном примере 13(а), но используя фенилсульфонилхлорид вместо бензоилхлорида, получают метиловый эфир (R)-3-фенилсульфониламино-3-(4-аминофенил)-пропановой кислоты.
(e) Обрабатывая тем же способом, что в стандартном примере 13(а), но используя пиридин-3-карбонилхлорид вместо бензоилхлорида, получают метиловый эфир (R)-3-(пиридин-3-карбониламино)-3-(4-аминофенил)-пропановой кислоты.
(f) Обрабатывая тем же способом, что в стандартном примере 13(а), но используя пиридин-3-сульфонилхлорид (стандартный пример 14) вместо бензоилхлорида, получают метиловый эфир (R)-3-(пиридин-3-сульфониламино)-3-(4-аминофенил)-пропановой кислоты.
(g) Обрабатывая тем же способом, что в стандартном примере 13(b), но используя метиловый эфир (R)-3-метиламино-3-[4-(трет-бутоксикарбониламино)фенил]-пропановой кислоты [стандартный пример 7(d)] вместо метилового эфира 3-амино-3-[4-(трет-бутоксикарбониламино)фенил]-пропановой кислоты, получают метиловый эфир (R)-3-(N-ацетилметиламино)-3-(4-аминофенил)-пропановой кислоты.
(h) Обрабатывая тем же способом, что в стандартном примере 13(а), но используя метиловый эфир (R)-3-метиламино-3-[4-(трет-бутоксикарбониламино)фенил]-пропановой кислоты [стандартный пример 7(d)] вместо метилового эфира 3-амино-3-[4-(трет-бутоксикарбониламино)фенил]-пропановой кислоты и метансульфонилхлорид вместо уксусного ангидрида, получают метиловый эфир (R)-3-(N-метансульфонилметиламино)-3-(4-аминофенил)-пропановой кислоты.
(i) Обрабатывая тем же способом, что в стандартном примере 13(а), но используя 5-метилизоксазол-3-карбонилхлорид вместо бензоилхлорида, получают метиловый эфир (R)-3-[(5-метилизоксазол-3-карбонил)-амино]-3-(4-аминофенил)-пропановой кислоты.
(j) Обрабатывая тем же способом, что в стандартном примере 13(а), но используя 2-тиофенкарбонилхлорид вместо бензоилхлорида, получают метиловый эфир (R)-3-[(тиофен-2-карбонил)-амино]-3-(4-аминофенил)-пропановой кислоты.
(k) Обрабатывая тем же способом, что в стандартном примере 13(а), но используя метиловый эфир 4-хлоркарбонилбензойной кислоты вместо бензоилхлорида, получают метиловый эфир (R)-3-[(4-метоксикарбонилбензоил)-амино]-3-(4-аминофенил)-пропановой кислоты.
СТАНДАРТНЫЙ ПРИМЕР 14
Пиридин-3-сульфонилхлорид
Смесь пиридин-3-сульфокислоты (5,0 г), пентахлорида фосфора (8,0 г), оксихлорида фосфора (30 мл) и хлороформа (30 мл) перемешивают при 120°С 18 часов. Реакционную смесь охлаждают до комнатной температуры, затем разбавляют хлороформом (30 мл) и потом фильтруют. Газообразный хлористый водород барботируют через фильтрат в течение 15 минут и образовавшийся осадок собирают. Этот продукт сушат в вакууме, получая указанное в заглавии соединение в виде белого твердого вещества.
СТАНДАРТНЫЙ ПРИМЕР 15
3-Метилтио-4-[3-(2-метилфенил)уреидо]фенилуксусная кислота
Перемешиваемую суспензию трет-бутилата калия (16 г) в сухом диметилформамиде (50 мл) охлаждают до 0°С и обрабатывают, добавляя по каплям в течение 2 часов, раствором метилдихлорацетата (12 мл) и 2-метилтионитробензола (10,5 г, получен по методике, описанной в J. Org. Chem., 1993, 21, 5628) в диметилформамиде (50 мл). После перемешивания в течение еще 1 часа смесь нагревают до температуры окружающей среды и затем реакцию гасят, добавляя воду (10 мл) и соляную кислоту (10 мл, 1 М). Смесь распределяют между этилацетатом (600 мл) и соляной кислотой (100 мл, 1 М). Органическую фазу отделяют, затем сушат над сульфатом магния и потом упаривают. Остаток подвергают флэш-хроматографии на силикагеле, элюируя смесью пентана и диэтилового эфира (7:3, в отношении объемов), что дает желтый твердый продукт (7,55 г). Этот продукт растворяют в уксусной кислоте (100 мл) и к раствору добавляют порциями цинк в порошке (16 г), затем нагревают до температуры кипения с обратным холодильником в течение 90 минут. После охлаждения смесь фильтруют через слой диатомовой земли. Фильтрат упаривают и остаток растворяют в этилацетате (500 мл). Раствор трижды промывают насыщенным водным раствором бикарбоната натрия (100 мл), затем трижды – соляной кислотой (100 мл, 1 М). рН объединенных солянокислых промывных вод доводят до 10, добавляя гидроокись натрия (3 М). Раствор трижды экстрагируют этилацетатом (200 мл). Объединенные органические экстракты промывают раствором соли (200 мл), затем сушат над сульфатом магния и упаривают. Остаток подвергают флэш-хроматографии на силикагеле, элюируя смесью пентана и диэтилового эфира (80:20, в отношении объемов), что дает желтое масло (1,35 г). Продукт обрабатывают раствором 2-метилфенилизоцианата (0,8 мл) в этилацетате (30 мл) и смесь нагревают до температуры кипения с обратным холодильником в течение 2 часов. После охлаждения образовавшийся осадок фильтруют и затем растворяют в дихлорметане (100 мл). Этот раствор промывают соляной кислотой (20 мл, 1 М), затем раствором соли (20 мл), после чего сушат над сульфатом магния и упаривают, получая указанное в заглавии соединение (1,2 г) в виде белого твердого вещества.
СТАНДАРТНЫЙ ПРИМЕР 16
(a) 3-Метилсульфинил-4-[3-(2-метилфенил)уреидо]-фенилуксусная кислота
Смесь 3-метилтио-4-[3-(2-метилфенил)уреидо]фенилуксусной кислоты (0,2 г, стандартный пример 15), мета-хлорнадбензойной кислоты (61 мг) и метанола (25 мл) перемешивают при температуре окружающей среды в течение 1 часа и затем упаривают. Остаток растирают с этилацетатом, получая указанное в заглавии соединение (0,17 г) в виде белого твердого вещества.
(b) Обрабатывая тем же способом, что в стандартном примере 16(а), но используя 3-метилсульфинил-4-[3-(2-метилфенил)уреидо]-фенилуксусную кислоту [стандартный пример 16(а)], получают 3-метилсульфонил-4-[3-(2-метилфенил)уреидо]-фенилуксусную кислоту.
СТАНДАРТНЫЙ ПРИМЕР 17
(a) Метиловый эфир (R)-3-(2-метоксиэтокси)-ацетиламино-3-(4-аминофенил)-пропановой кислоты
Смесь метилового эфира (R)-3-амино-3-[4-(трет-буток-сикарбониламино)фенил]-пропановой кислоты [0,75 г, стандартный пример 7(с)], 2-(2-метоксиэтокси)уксусной кислоты (0,3 мл), О-(7-азабензотриазол-1-ил)-1,1,3,3-тетраметилуронийгексафторфосфата (1,02 г), диизопропилэтиламина (0,9 мл) и диметилформамида (25 мл) перемешивают при температуре окружающей среды в течение 2 часов. Реакционную смесь выливают в воду (150 мл) и собирают образовавшийся твердый продукт. Полученное желтовато-коричневое твердое вещество растворяют в дихлорметане (15 мл) и раствор обрабатывают трифторуксусной кислотой (3 мл). После перемешивания при температуре окружающей среды в течение 2 часов реакционную смесь упаривают. Остаток обрабатывают толуолом (50 мл), концентрируют досуха и полученный продукт обрабатывают этилацетатом (50 мл). Образовавшуюся суспензию обрабатывают при перемешивании насыщенным водным раствором карбоната калия (20 мл) при температуре окружающей среды в течение 5 минут. Органический слой отделяют, сушат над сульфатом магния и затем упаривают, получая указанное в заглавии соединение (0,5 г) в виде желтого масла.
(b) Обрабатывая тем же способом, что в стандартном примере 17(а), но используя тетрагидропиран-4-карбоновую кислоту (полученную по методике, описанной в J. Med. Chem., 1994, Vol. 37(26), 4538-4553) вместо 2-(2-метоксиэтокси)уксусной кислоты, получают метиловый эфир (R)-3-[(тетрагидропиран-4-карбонил)амино]-3-(4-аминофенил)-пропановой кислоты.
(c) Обрабатывая тем же способом, что в стандартном примере 17(а), но используя пиридазин-3-карбоновую кислоту (полученную по методике, описанной в J. Het. Сhem., 1975, Vol. 12(5), 957-961) вместо 2-(2-метоксиэтокси)уксусной кислоты, получают метиловый эфир (R)-3-[(пиридазин-3-карбонил)-амино]-3-(4-аминофенил)-пропановой кислоты.
(d) Обрабатывая тем же способом, что в стандартном примере 17(а), но используя 2-метоксикарбонилпиридин-5-карбоновую кислоту (стандартный пример 38) вместо 2-(2-метоксиэтокси)уксусной кислоты, получают диметиловый эфир (R)-3-[(4-карбоксипиридин-3-карбонил)-амино]-3-(4-аминофенил)-пропановой кислоты.
(e) Обрабатывая тем же способом, что в стандартном примере 17(а), но используя 2,2-бис(гидроксиметил)пропионовую кислоту вместо 2-(2-метоксиэтокси)уксусной кислоты, получают метиловый эфир (R)-3-[2,2-ди(гидроксиметил)пропаноиламино]-3-(4-аминофенил)-пропановой кислоты.
(f) Обрабатывая тем же способом, что в стандартном примере 17(а), но используя 2-(4-метилпиперазин-1-ил)уксусную кислоту (стандартный пример 39) вместо 2-(2-метоксиэтокси)уксусной кислоты, получают метиловый эфир (R)-3-[2-(4-метилпиперазин-1-ил)-ацетиламино]-3-(4-аминофенил)-пропановой кислоты.
(g) Обрабатывая тем же способом, что в стандартном примере 17(а), но используя монометиловый эфир дигликолевой кислоты (полученный нагреванием до температуры кипения с обратным холодильником дигликолевого ангидрида в метаноле) вместо 2-(2-метоксиэтокси)уксусной кислоты, получают метиловый эфир (R)-3-[2-(карбоксиметилокси)-ацетиламино]-3-(4-аминофенил)-пропановой кислоты.
СТАНДАРТНЫЙ ПРИМЕР 18
Метиловый эфир (R)-3-[(4-метоксикарбонилбутаноил)амино]-3-(4-аминофенил)-пропановой кислоты
Концентрированную азотную кислоту (50 мл) охлаждают до -30
С и порциями добавляют (R)-3-(4-карбоксибутаноиламино)-3-фенилпропановую кислоту (27 г, стандартный пример 19). Образовавшийся твердый продукт фильтруют и сушат, получая белое твердое вещество (13 г). Часть этого вещества (15 г) растворяют в метаноле (375 мл) и раствор обрабатывают концентрированной серной кислотой (7,5 мл), затем нагревают при температуре кипения с обратным холодильником в течение 90 минут. После охлаждения до комнатной температуры смесь упаривают. Остаток растворяют в этилацетате (250 мл) и раствор промывают водой (200 мл), насыщенным водным бикарбонатом натрия (200 мл) и раствором соли (200 мл). Органический слой сушат над сульфатом магния и затем упаривают, получая белый твердый продукт (16 г). Раствор этого продукта в этилацетате (450 мл) обрабатывают 10% палладием на углероде (2,5 г) и затем перемешивают при температуре окружающей среды в течение 3 часов в атмосфере водорода. Реакционную смесь фильтруют, пропуская через слой диатомовой земли и фильтрат упаривают, получая указанное в заглавии соединение (15 г) в виде светло-желтого масла.
СТАНДАРТНЫЙ ПРИМЕР 19
(R) -3-(4-Карбоксибутаноиламино)-3-фенилпропановая кислота
Раствор (R)-3-амино-3-фенилпропановой кислоты (10 г, полученной, в основном, по методике, описанной в Tetrahedron Letters, 1972, 27, 2789-92) в дихлорметане (150 мл) обрабатывают метил-4-(хлорформил)бутиратом (7,9 мл) и впоследствии триэтиламином (8,6 мл). Реакционную смесь перемешивают при температуре окружающей среды в течение 90 минут и реакцию обрывают, добавляя воду (50 мл). Органический слой промывают соляной кислотой (1 М), сушат над сульфатом магния и упаривают, получая в остатке белое твердое вещество (17 г). Раствор этого продукта в метаноле (50 мл) обрабатывают гидроокисью натрия (90 мл, 1 М) и нагревают до 40°С в течение 1 часа. По прошествии этого времени реакционную смесь охлаждают, концентрируют до низкого объема и подкисляют до рН 1,0 с помощью концентрированной соляной кислоты. Образовавшийся твердый продукт собирают, промывают водой и сушат, получая указанное в заглавии соединение (6 г) в виде белого твердого вещества.
СТАНДАРТНЫЙ ПРИМЕР 20
4-(4-Аминофенил)-тетрагидропиран-2-он
3-Фенилглутаровую кислоту (23,3 г) добавляют к концентрированной серной кислоте (90 мл) при 10°С и затем к перемешиваемой смеси добавляют по каплям в течение 20 минут дымящуюся азотную кислоту (4,7 мл), следя за тем, чтобы температура реакционной смеси не превышала 10°С. Образовавшийся раствор, перемешивают при температуре окружающей среды в течение 1 часа и затем выливают на избыточное количество льда. Полученный твердый продукт собирают и перекристаллизовывают из смеси толуола и циклогексана, что приводит к образованию светло-коричневого твердого вещества (27,1 г). Часть этого вещества (13,0 г) суспендируют в уксусном ангидриде (70 мл) и смесь нагревают до 85°С. После перемешивания при 85°С в течение 150 минут смесь охлаждают до комнатной температуры и упаривают. Остаток обрабатывают толуолом (100 мл) и смесь упаривают, получая ангидрид 3-(4-нитрофенил)глу-таровой кислоты в виде светло-коричневого твердого вещества (14,2 г). Часть этого вещества (10 г) растворяют в тетрагидрофуране (50 мл) и раствор добавляют по каплям к перемешиваемой, охлажденной (0°С) суспензии борогидрида натрия (1,77 г) в тетрагидрофуране (50 мл). Затем реакционную смесь перемешивают при 0°С в течение 4 часов, после чего реакцию гасят, добавляя по каплям соляную кислоту (70 мл, 6 М). Смесь трижды экстрагируют этилацетатом (200 мл). Объединенные экстракты сушат над сульфатом магния и затем упаривают. Остаток обрабатывают толуолом (500 мл), затем п-толуолсульфокислотой (600 мг). Смесь нагревают до температуры окружающей среды в течение 18 часов, затем охлаждают до комнатной температуры, после чего промывают насыщенным водным раствором бикарбоната натрия (200 мл) и потом упаривают. Остаток подвергают флэш-хроматографии на силикагеле, элюируя смесью циклогексана и этилацетата (2:3, в отношении объемов), что дает белый твердый продукт (3,0 г). Это вещество растворяют в этилацетате (200 мл) и раствор обрабатывают 10% палладием на углероде (0,35 г) и перемешивают при температуре окружающей среды в атмосфере водорода в течение 18 часов. Реакционную смесь фильтруют через небольшой слой диатомовой земли и фильтрат упаривают, получая указанное в заглавии соединение (2,5 г) в виде белого твердого вещества.
СТАНДАРТНЫЙ ПРИМЕР 21
трет-Бтиловый эфир (R)-3-[(N-ацетил-N-метил)амино]-3-(4-{4-[3-(2-метилфенил)уреидо]-фенилацетил-N-метиламино}фенил)-пропионовой кислоты
трет-Бутиловый эфир (R)-3-[4-(N-бензилоксикарбонил-N-метил)аминофенил]-3-[(N-ацетил-N-метил)амино}-пропионовой кислоты (1 г, стандартный пример 22) растворяют в смеси трифторуксусной кислоты в дихлорметане (40 мл, 5%) при комнатной температуре. Через 2 часа смесь распределяют между дихлорметаном и водным раствором бикарбоната натрия. Органический слой отделяют, затем сушат над сульфатом магния и затем упаривают. Остаток растворяют в диметилформамиде (5 мл) и добавляют к полученной заранее смеси 4-[3-(2-метилфенил)уреидо]-фенилуксусной кислоты (74 мг), О-(7-азабензотриазол-1-ил)-1,1,3,3-тетраметилуронийгексафторфосфата (1,0 г) и диизопропилэтиламина (670 мг) в диметилформамиде (15 мл). После перемешивания в течение 4 часов смесь распределяют между этилацетатом и водной соляной кислотой (1 М). Органическую фазу промывают водным раствором бикарбоната натрия, затем сушат над сульфатом магния и потом упаривают. Остаток чистят флэш-хроматографией на силикагеле, элюируя этилацетатом, что дает указанное в заглавии соединение (650 мг) в виде бесцветного масла.
СТАНДАРТНЫЙ ПРИМЕР 22
трет-Бутиловый эфир (R)-3-[4-(N-бензилоксикарбонил-N-метил)аминофенил]-3-[(N-ацетил-N-метил)амино}-пропионовой кислоты
К трет-бутиловому эфиру (R)-3-[4-(N-бензилоксикарбонил-N-метил)аминофенил]-3-(N-метиламино)-пропионовой кислоты (6 г, стандартный пример 23), растворенному в смеси тетрагидрофурана (100 мл) и триэтиламина (5,4 г), добавляют по каплям хлористый ацетил (2,12 г), что приводит к немедленному выпадению осадка. Смесь перемешивают в течение 30 минут, затем распределяют между этилацетатом и водной соляной кислотой (1 М). Органическую фазу отделяют, промывают водным раствором бикарбоната натрия, затем сушат над сульфатом магния и потом упаривают, получая указанное в заглавии соединение (6 г) в виде светло-желтого масла.
СТАНДАРТНЫЙ ПРИМЕР 23
трет-Бутиловый эфир (R)-3-[4-(N-бензилоксикарбонил-N-метил)аминофенил]-3-(N-метиламино)-пропионовой кислоты
Раствор трет-бутилового эфира (R)-3-[4-(N-бензилоксикарбонил-N-метил)аминофенил]-3-[N-((S)-альфа-метилбензил)метиламино]-пропионовой кислоты (6,5 г, стандартный пример 24) в этаноле (50 мл) нагревают до 60°С, затем последовательно обрабатывают муравьиной кислотой (4 мл) и 10% палладием на углероде (2 г). Смесь перемешивают при 60°С в течение 1 часа, затем охлаждают до комнатной температуры, после чего фильтруют через ускоритель фильтрования для удаления отработанного катализатора, а затем упаривают. Остаток распределяют между этилацетатом и водным раствором бикарбоната натрия. Органическую фазу сушат над сульфатом магния и затем упаривают, получая указанное в заглавии соединение (6 г) в виде бесцветного масла.
СТАНДАРТНЫЙ ПРИМЕР 24
трет-Бутиловый эфир (R)-3-[4-(N-бензилоксикарбонил-N-метил)аминофенил]-3-[N-((S)-альфа-метилбензил)метиламино]-пропионовой кислоты
Раствор (S)-N-(альфа-метилбензил)метиламина (3,8 г) в тетрагидрофуране (60 мл) охлаждают ниже -70°С под слоем азота, затем обрабатывают раствором бутиллития в гексане (11,3 мл, 2,5 М), поддерживая температуру около -60°С или ниже. Через 10 минут после завершения обработки медленно, приблизительно за 20 минут, добавляют раствор трет-бутилового эфира 3-[4-(N-бензилоксикарбонил-N-метил)аминофенил]-акриловой кислоты (4,7 г, стандартный пример 25) в тетрагидрофуране (40 мл). После еще 20 минут при температуре ниже -70°С охлажденную реакционную смесь выливают непосредственно в смесь этилацетата и раствора соли, затем слои разделяют и органическую фазу сушат над сульфатом магния и потом упаривают. Остаток подвергают флэш-хроматографии на двуокиси кремния, элюируя смесью этилацетата и циклогексана (3:7, в отношении объемов), что дает указанное в заглавии соединение (5,5 г) в виде бесцветного масла.
СТАНДАРТНЫЙ ПРИМЕР 25
трет-Бутиловый эфир 3-[4-(N-бензилоксикарбонил-N-метил)аминофенил]-акриловой кислоты
N-Бензилоксикарбонил-N-метил-4-иоданилин (11 г, стандартный пример 26), трет-бутилакрилат (8,4 г), трис-[(2-толил)фосфин] (0,5 г) и ацетат палладия (0,15 г) растворяют в смеси диметилформамида (20 мл) и триэтиламина (7,1 г) и перемешивают при 90°С в атмосфере азота в течение ночи. Реакционную смесь распределяют между этилацетатом и водной соляной кислотой (1 М). Органическую фазу промывают водным раствором бикарбоната натрия (5%), затем сушат над сульфатом магния и потом упаривают. Остаток перекристаллизовывают из циклогексана, получая указанное в заглавии соединение (7,4 г) в виде не совсем белого твердого вещества.
СТАНДАРТНЫЙ ПРИМЕР 26
N-Бензилоксикарбонил-N-метил-4-иоданилин
Перемешиваемый раствор N-бензилоксикарбонил-4-иоданилина (11,5 г, стандартный пример 27) в диметилформамиде (70 мл) обрабатывают, добавляя порциями гидрид натрия (1,6 г 60% дисперсии в масле), в атмосфере азота, при комнатной температуре. После прекращения выделения пузырьков добавляют метилиодид (6,3 г) и смесь перемешивают при комнатной температуре в течение 2 часов, после чего ее распределяют между этилацетатом и водой. Органическую фазу отделяют, затем сушат над сульфатом магния и потом упаривают, получая указанное в заглавии соединение (11,5 г) в виде масла розового цвета.
СТАНДАРТНЫЙ ПРИМЕР 27
N-Бензилоксикарбонил-4-иоданилин
Раствор 4-иоданилина (10 г) в тетрагидрофуране (100 мл) обрабатывают за один прием бензилоксикарбонилангидридом (12 г). Смесь перемешивают, нагревая до температуры кипения с обратным холодильником в течение ночи, затем упаривают до небольшого объема. Остаток распределяют между этилацетатом и водной соляной кислотой (1 М). Органическую фазу промывают водным раствором бикарбоната натрия (5%), затем сушат над сульфатом магния и потом упаривают. Остаток перекристаллизовывают из циклогексана, получая указанное в заглавии соединение (12,4 г) в виде светло-фиолетовых кристаллов.
СТАНДАРТНЫЙ ПРИМЕР 28
(a) Метиловый эфир (R)-3-(4-карбоксибутаноиламино)-3-(4-{3-метокси-4-[3-(2-метилфенил)уреидо]-фенилацетиламино}фенил)-пропановой кислоты
Перемешиваемую суспензию метилового эфира (R)-3-амино-3-(4-{3-метокси-4-[3-(2-метилфенил)уреидо]фенилацетиламино}-фенил)-пропановой кислоты (0,75 г, стандартный пример 30) в безводном тетрагидрофуране (25 мл) в атмосфере аргона обрабатывают глутаровым ангидридом (0,18 г). После перемешивания при температуре окружающей среды в течение 4 часов реакционную смесь упаривают, получая указанное в заглавии соединение (1,0 г) в виде белого твердого вещества.
(b) Обрабатывая тем же способом, что в стандартном примере 28(а), но используя янтарный ангидрид вместо глутарового ангидрида, получают метиловый эфир (R)-3-(3-карбоксипропаноиламино)-3-(4-{3-метокси-4-[3-(2-метилфенил)уреидо]-фенилацетиламино}фенил)-пропановой кислоты.
(c) Обрабатывая тем же способом, что в стандартном примере 28(а), но используя 3,3-диметилглутаровый ангидрид вместо глутарового ангидрида, получают метиловый эфир (R)-3-[(4-карбокси-3,3-диметилбутаноил)амино]-3-(4-{3-метокси-4-[3-(2-метилфенил)уреидо]-фенилацетиламино}фенил)-пропановой кислоты.
СТАНДАРТНЫЙ ПРИМЕР 29
(a) Метиловый эфир (R)-3-(5-диметиламино-1-нафталинсульфониламино)-3-(4-{3-метокси-4-[3-(2-метилфенил)уреидо]фенилацетиламино}фенил)-пропановой кислоты
Смесь метилового эфира (R)-3-амино-3-(4-{3-метокси-4-[3-(2-метилфенил)уреидо)фенилацетиламино}фенил)-пропановой кислоты (0,75 г, стандартный пример 30), безводного тетрагидрофурана (25 мл), dansyl-хлорида (0,62 г) и триэтиламина (1,0 мл) помещают в атмосферу азота и перемешивают при температуре окружающей среды в течение 4 часов, затем нагревают до температуры кипения с обратным холодильником в течение 2 часов. Реакционную смесь охлаждают, затем фильтруют. Фильтрат упаривают и остаток подвергают флэш-хроматографии на силикагеле, элюируя смесью дихлорметана и метанола (49:1, в отношении объемов), получают указанное в заглавии соединение (0,89 г) в виде желтого твердого вещества.
(b) Обрабатывая тем же способом, что в стандартном примере 29(а), но используя 1-метилимидазол-4-сульфонилхлорид вместо dansyl-хлорида, получают метиловый эфир (R)-3-(1-метилимидазол-4-илсульфониламино)-3-(4-{3-метокси-4-[3-(2-метилфенил)уреидо]-фенилацетиламино}фенил)-пропановой кислоты.
СТАНДАРТНЫЙ ПРИМЕР 30
Метиловый эфир (R)-3-амино-3-(4-{3-метокси-4-[3-(2-метилфенил) уреидо)фенилацетиламино}фенил)-пропановой кислоты
Смесь метилового эфира (R)-3-бензилоксикарбониламино-3-(4-{3-метокси-4-[3-(2-метилфенил)уреидо)фенилацетиламино}-фенил)-пропановой кислоты (18,55 г), этанола (750 мл) и муравьиной кислоты (18 мл) в атмосфере водорода нагревают до температуры кипения с обратным холодильником. К реакционной смеси добавляют порциями 10% палладий на углероде (3,0 г) за период времени, равный 1 часу, и затем дополнительно нагревают до температуры кипения в течение еще 1 часа. Реакционную смесь фильтруют через небольшой слой диатомовой земли и фильтрующий слой трижды промывают этанолом (75 мл) и водой (75 мл). Объединенный фильтрат и промывные воды упаривают. Остаток тщательно обрабатывают водным раствором бикарбоната натрия (600 мл, 0,6 М), с последующим перемешиванием в течение 15 минут. Образовавшийся белый твердый продукт собирают, дважды промывают водой (100 мл), затем кипятят в ацетонитриле в присутствии активированного угля (150 мг). Еще горячую смесь фильтруют через небольшой слой диатомовой земли и фильтрат охлаждают на льду, получая указанное в заглавии соединение (7,6 г) в виде белого твердого вещества, т.пл. 189-191°С.
СТАНДАРТНЫЙ ПРИМЕР 31
3-Метокси-4-[3-(2-метилфенил)уреидо]-фенилуксусная кислота
Суспензию метилового эфира 3-метокси-4-[3-(2-метилфенил)уреидо]-фенилуксусной кислоты (19,43 г, стандартный пример 32) в метаноле (195 мл) обрабатывают раствором гидроокиси натрия (65 мл, 1 н.) и смесь нагревают до температуры кипения с обратным холодильником в течение 1 часа, получая прозрачный раствор. Реакционную смесь охлаждают до комнатной температуры и фильтруют. Фильтрат разбавляют водой до 390 мл, затем нагревают до 50°С и потом подкисляют до рН 1, добавляя соляную кислоту (80 мл, 1 н.) в течение 1 часа. Образовавшуюся суспензию перемешивают дополнительно в течение 30 минут при 50°С, затем дают охладиться до комнатной температуры и потом фильтруют. Твердый продукт дважды промывают водой (200 мл), затем сушат, получая указанное в заглавии соединение (15,72 г) в виде белого твердого вещества, т.пл. 179-181°С (с разложением).
СТАНДАРТНЫЙ ПРИМЕР 32
Метиловый эфир 3-метокси-4-[3-(2-метилфенил)уреидо]-фенилуксусной кислоты
Суспензию трет-бутилата калия (1,44 кг) в диметилформамиде (6,6 л) охлаждают до температуры от -5 до -10°С и обрабатывают смесью 2-нитроанизола (690 г) и метилдихлорацетата (915 г) за 4 часа, поддерживая при этом температуру ниже -5°С. После чего реакционную смесь обрабатывают уксусной кислотой (770 мл) и затем водой (6,6 л), а потом трижды экстрагируют трет-бутилметиловым эфиром (5,5 л). Объединенные экстракты промывают водой (5,5 л), затем насыщенным раствором бикарбоната натрия (5,5 л), потом насыщенным раствором соли (5,5 л) и потом сушат над сульфатом магния, получая метил-
100 мл) в течение 5 минут и фильтруют. Объединенные аммиачные промывные воды концентрируют, получая указанное в заглавии соединение в виде белого смолистого твердого вещества (0,8 г).
МЕТОДИКИ ИСПЫТАНИЙ IN VITRO И IN VIVQ
1. Ингибирующие воздействия соединений по изобретению на VLA-4-зависимую клеточную адгезию к фибронектину и VСАМ.
1.1. Метаболическое мечение RAMOS-клеток.
RAMOS-клетки (пре-В-линия клеток от ЕСАСС, Porton Down, UK) выращивают в RPMI-питательной среде (Gibco, UK), дополненной 5% околоплодной сывороткой теленка (FCS, Gibco, UK). Перед испытанием клетки суспендируют при концентрации 0,5
где Х1 и Х2 независимо обозначают СR10;
R4 обозначает атом водорода или С1-4алкильную группу;
R10 обозначает водород, С1-4алкил, С1-4алкокси, С1-4алкилтио, С1-4алкилсульфинил или С1-4алкилсульфонил;
R12 обозначает водород, С1-4алкил или бензил;
R13 обозначает C1-6алкил необязательно замещенный карбокси, C1-4алкоксиалкокси, -OCH2CO2H, -NY1Y2 либо одной или более гидроксигруппами; гетероарил, выбранный из имидазолила, оксазолила, пиридила, тиенила и пиридазинила, каждый из которых необязательно замещен карбокси или C1-4алкилом; гетероциклоалкил, такой как тетрагидропиранил, или арил, выбранный из фенила и нафтила, каждый из которых может быть замещен карбоксигруппой, -NY4Y5 либо одной или более C1-4алкоксигруппой, где Y4 и Y5 независимо представляют C1-4алкил;
R15 обозначает -N(R12)-C(=O)-R13, -N(R12)-SO2-R13 или -NY1Y2, где Y1 и Y2 независимо представляют водород, C1-4алкил или арилC1-4алкил, или группа -NY1Y2 может образовывать 5-6-членный циклический амин, который может содержать дополнительный гетероатом, выбранный из O или NY3, где Y3 обозначает -C(=O)-OR14, где R14 обозначает C1-4алкил, или C1-4алкил;
Ar1 обозначает незамещенный фенилен,
его N-оксиды, сложноэфирные производные, а также их фармацевтически приемлемые соли и сольваты.
2. Соединение по п.1, где X1 обозначает СR10, где R10 обозначает С1-4алкил, С1-4алкокси, С1-4алкилтио, С1-4алкилсульфинил или С1-4алкилсульфонил.
3. Соединение по п.2, где X1 обозначает СR10, где R10 обозначает С1-4алкил или С1-4алкокси.
4. Соединение по п.3, где Х1 обозначает CR10, где R10 обозначает метил.
5. Соединение по любому из пп.1-4, где X2 обозначает CR10, где R10 обозначает С1-4алкокси.
6. Соединение по любому из пп.1-5, где R4 обозначает водород или метил.
7. Соединение по любому из пп.1-6, где Аr1 обозначает п-фенилен.
8. Соединение по любому из пп.1-7, где группа
обозначает группу
9. Соединение по п.1, выбранное из числа следующих соединений:
(R)-3-ацетиламино-3-(4-{3-метокси-4-[3-(2-метилфенил)уреидо]фенилацетиламино}фенил)пропановая кислота;
(R)-3-(4-карбоксибутаноиламино)-3-(4-{3-метокси-4-[3-(2-метилфенил)уреидо]фенилацетиламино}фенил)пропановая кислота;
(R)-3-(3-карбоксипропаноиламино)-3-(4-{3-метокси-4-[3-(2-метилфенил)уреидо]фенилацетиламино}фенил)пропановая кислота;
(R)-3-(пиридин-3-карбониламино)-3-(4-{3-метокси-4-[3-(2-метилфенил)уреидо]фенилацетиламино}фенил)пропановая кислота;
(R)-3-бензоиламино-3-(4-{3-метокси-4-[3-(2-метилфенил) уреидо]фенилацетиламино}фенил)пропановая кислота;
(R)-3-[2-(2-метоксиэтокси)ацетиламино]-3-(4-{3-метокси-4-[3-(2-метилфенил)уреидо]фенилацетиламино}фенил)пропановая кислота;
(R)-3-[(тетрагидропиран-4-карбонил)амино]-3-(4-{3-метокси-4-[3-(2-метилфенил)уреидо]фенилацетиламино}фенил) пропановая кислота;
(R)-3-[(5-метилизоксазол-3-карбонил)амино]-3-(4-{3-метокси-4-[3-(2-метилфенил)уреидо]фенилацетиламино}фенил) пропановая кислота;
(R)-3-[(тиофен-2-карбонил)амино]-3-(4-{3-метокси-4-[3-(2-метилфенил)уреидо]фенилацетиламино}фенил)пропановая кислота;
(R)-3-[(4-карбоксибензоил)амино]-3-(4-{3-метокси-4-[3-(2-метилфенил)уреидо]фенилацетиламино}фенил)пропановая кислота;
(R)-3-[(пиридазин-3-карбонил)амино]-3-(4-{3-метокси-4-[3-(2-метилфенил)уреидо]фенилацетиламино}фенил)пропановая кислота;
(R)-3-[(3,4-диметоксибензоил)амино]-3-(4-{3-метокси-4-[3-(2-метилфенил)уреидо]фенилацетиламино}фенил)пропановая кислота;
(R)-3-[(пиридазин-3-карбонил)амино]-3-(4-{4-[3-(2-метилфенил)уреидо]фенилацетиламино}фенил)пропановая кислота;
(R)-3-(4-карбокси-3,3-диметилбутаноиламино)-3-(4-{3-метокси-4-[3-(2-метилфенил)уреидо]фенилацетиламино}фенил)пропановая кислота;
(R)-3-(бензоиламино)-3-(4-{4-[3-(2-метилфенил)уреидо]фенилацетиламино}фенил)пропановая кислота;
(R)-3-(4-карбоксибутаноиламино)-3-(4-{4-[3-(2-метилфенил)уреидо]фенилацетиламино}фенил)пропановая кислота,
их N-оксиды и сложноэфирные производные; и фармацевтически приемлемые соли и сольваты таких соединений.
10. Соединение по п.1, представляющее собой (R)-3-(4-карбоксибутаноиламино)-3-(4-{3-метокси-4-[3-(2-метилфенил)уреидо]фенилацетиламино}фенил)пропановую кислоту и ее N-оксид, сложноэфирные производные, фармацевтически приемлемые соли и сольваты.
11. Соединение по п.1, представляющее собой (R)-3-бензоиламино-3-(4-{3-метокси-4-[3-(2-метилфенил)уреидо]фенилацетиламино}фенил)пропановую кислоту и ее N-оксид, сложноэфирные производные, фармацевтически приемлемые соли и сольваты.
12. Фармацевтическая композиция, проявляющая противовоспалительную и антиастматическую активность, включающая эффективное количество соединения по п.1, или его N-оксида, или сложноэфирного производного, или фармацевтически приемлемой соли, или сольвата такого соединения, в сочетании с фармацевтически приемлемым носителем или эксципиентом.
13. Соединение по п.1, или его N-оксид, или сложноэфирное производное, или фармацевтически приемлемая соль, или сольват такого соединения, проявляющее противовоспалительную и антиастматическую активность и приемлемое для лечения пациентов, страдающих от или подверженных болезненным состояниям, которые могут быть облегчены введением ингибитора клеточной адгезии опосредованной а4