Патент на изобретение №2233265
|
||||||||||||||||||||||||||
(54) ДИКАЛИЕВАЯ СОЛЬ 3-БРОМ-4-КАРБОКСИ-5-СУЛЬФОФТАЛЕВОЙ КИСЛОТЫ КАК ПРОМЕЖУТОЧНЫЙ ПРОДУКТ ДЛЯ СИНТЕЗА ЗАМЕЩЕННОГО ФТАЛОЦИАНИНА КОБАЛЬТА
(57) Реферат: Изобретение относится к новому производному фталевой кислоты, которое может применяться как промежуточный продукт в синтезе новых замещенных металлофталоцианинов, представляющих интерес как красители, катализаторы. Описывается дикалиевая соль 3-бром-4-карбокси-5-сульфофталевая кислота. Техническим результатом является возможность синтезировать водорастворимые галогензамещенные фталлоцианины, способные растворяться в более широком диапазоне рН, обладающие к тому же способностью окрашивать хлопчатобумажные волокна и ткани из них. 3 ил. Область техники Предлагаемое изобретение относится к новым производным фталевой кислоты, которые могут найти применение как промежуточные продукты в синтезе новых замещенных металлфталоцианинов, представляющих интерес как красители, катализаторы различных процессов и т.д. Уровень техники
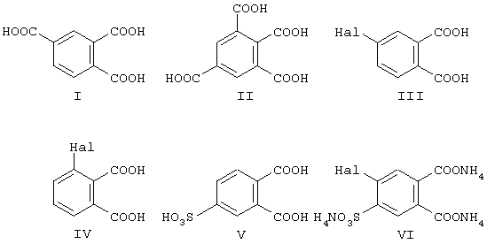
Наличие определенных заместителей во фталоцианинах, полученных из указанных промежуточных продуктов, обеспечивает им ряд полезных свойств: СООН- и SO3Н- – растворимость в водных средах, что позволяет использовать такие соединения в качестве водорастворимых красителей; Hal – светоустойчивость, которая является признаком качества хорошего красителя и т.д.
При использовании соединений I-V получаются монофункциональнозамещенные металлфталоцианины, а соединения VI -бифункциональнозамещенные.
Наиболее близким структурным аналогом заявляемого соединения является триаммонийная соль 4-бром-5-сульфофталевой кислоты VI, использующаяся для синтеза бромсульфозамещенных металлфталоцианинов.
Однако при использовании этого соединения в качестве промежуточного соединения можно получить лишь бромсульфозамещенные металлфталоцианины.
Индивидуальные соединения, содержащие три различных заместителя (бром, карбокси-, сульфогруппу) в молекуле фталоцианина, не известны.
Сущность изобретения
Изобретательская задача состояла в поиске соединения, являющегося производным фталевой кислоты, которое при использовании его в качестве промежуточного соединения дало бы возможность синтезировать водорастворимые галогензамещенные фталоцианины, способные растворяться в более широком диапазоне рН (как в щелочных растворах, так и нейтральных и даже слабокислых), обладающие к тому же способностью окрашивать хлопчатобумажные волокна и ткани из них.
Поставленная задача решена синтезом дикалиевой соли 3-бром-4-карбокси-5-сульфофталевой кислотой, формулы
Изобретение позволяет получить следующие преимущества.
– Использование дикалиевой соли 3-бром-4-карбокси-5-сульфофталевой кислоты дает возможность синтезировать замещенные металлфталоцианины, обладающие растворимостью как в щелочных, так и в нейтральных и слабокислых водных средах.
– Тетра(3-бром-4-карбокси-5-сульфо)фталоцианин кобальта, полученный с использованием заявленного соединения, обладает способностью окрашивать хлопчатобумажные волокна и ткани из них в сине-зеленый цвет, что расширяет цветовую гамму водорастворимых фталоцианиновых красителей.
Изобретение позволяет также при получении бром-карбокси-сульфозамещенных металлфталоцианинов контролировать число и местоположение заместителей в бензольных ядрах.
Структура заявляемого соединения подтверждена данными элементного анализа и ИК спектроскопии. ИК спектр дикалиевой соли 3-бром-4-карбокси-5-сульфофталевой кислоты (фиг.1) имеет полосы, отвечающие валентным колебаниям связей: S=O (1100 см-1), С=O (1700 см-1) и С-Br (600 см-1
Электронные спектры поглощения металлокомплекса в диметилформамиде, водных и водно-щелочных средах (фиг.3) имеют характерную для металлфталоцианинов Q-полосу в области 684-688 нм и полосу Соре при 318-334 нм.
Сведения, подтверждающие возможность воспроизведения изобретения
Заявляемое соединение получено путем бромирования кальциевой соли сульфопсевдокумола и дальнейшего окисления бромсульфопсевдокумола в соответствии с приведенной схемой:
С, смесь перемешивают до тех пор, пока ее цвет не изменится до белого. Осадок отфильтровывают, промывают небольшим количеством холодной воды и сушат.
Выход: 6.12 г (30%)
Найдено, %: Вr 28.1, S 11.1
С9Н11SО3Вr Вычислено, %: Br 28.7, S 11.5
ИК спектр в KBr, , см-1: 3000 ( C-СН3); 1100 ( S=O); 600 ( C-Br).
Б. Дикалиевая соль 3-бром-4-карбокси-5-сульфофталевой кислоты. 8.4 г (0.03 моль) 3-бром-5-сульфопсевдокумола суспензируют в 200 мл воды, подщелачивают КОН до слабощелочной реакции и добавляют 100 мл пиридина. Нагревают до 70°С и при перемешивании добавляют перманганат калия порциями по 3 г (0,019 моль) по мере исчезновения его окраски. После добавления первых трех порций реакционную массу нагревают до кипения. Добавление ведут в течение четырех часов до появления устойчивой окраски перманганата калия (проба на фильтровальной бумаге). Горячую суспензию отфильтровывают. Осадок двуокиси марганца промывают горячей водой. Фильтрат и промывные воды соединяют и проводят отгонку пиридина с водой до отсутствия его запаха в отгоне. Раствор упаривают до 1/3 первоначального объема, затем подкисляют соляной кислотой до слабокислой реакции (рН 4-5). Выпавший при охлаждении осадок отфильтровывают. Фильтрат снова упаривают до 1/3 первоначального объема, затем подкисляют соляной кислотой до рН 4-5. Раствор охлаждают, при этом выпадает осадок белого цвета. Второй осадок является целевым продуктом, т.е. дикалиевой солью 4-карбокси-5-сульфофталевой кислоты. Полученное вещество – порошок белого цвета, хорошо растворимое в воде.
Выход: 4 г (30%)
Найдено, %: Вr 17.3, S 7.8
С9Н3ВrК2O9S Вычислено, %: Вr 18.0, S 7.2
ИК спектр в КВr, , см-1: 1720 ( С=0 в СООН); 1624,1384 ( C=O в СОО–), 1100 ( S=О); 600 ( C-Br).
Полученный целевой продукт может быть использован в качестве промежуточного продукта для синтеза замещенных металлфталоцианинов.
Пример 2. Получение тетра(3-бром-4-карбокси-5-сульфо)фталоцианина кобальта. 2 г (0,0045 моль) дикалиевой соли 3-бром-4-карбокси-5-сульфофталевой кислоты смешивают с 2,2 г (0,037 моль) мочевины, 0,37 г (0,002 моль) безводного ацетата кобальта, 0,024 г молибдата аммония и тщательно растирают.
Смесь выдерживают в следующем температурно-временном режиме:
140-150°С – 90 минут; 170-180°С – 35 минут; 190 – 15 минут; 210°С – 60 мин.
После охлаждения плав растирают и промывают раствором соляной кислоты различной концентрации (от 17 до 4%) до слабоокрашенных фильтратов. Далее осадок растворяют в водном аммиаке, фильтруют и выпаривают на водяной бане. Затем полученный осадок вновь обрабатывают 17%-ной соляной кислотой и окончательную очистку проводят экстракцией примесей метанолом в аппарате Сокслета.
Тетра(3-бром-4-карбокси-5-сульфо)фталоцианин кобальта – порошок темно-фиолетового цвета, хорошо растворяется в воде, водно-щелочных средах, ограничено – в ДМФА и других полярных органических растворителях.
Выход: 0,36 г (23%)
Найдено, %: С 30.8, Br 24.8, Со 4.0, N 7.4, S 8.6
C36H12Br4CoN8O20S4 Вычислено, %: С 30.4, Br 25.3, Со 4.27, N 7.9, S 9.0
ИК спектр в KBr, , см-1: 1700 ( C=О), 1100 ( S=О), 600 ( C-Br).
ЭСП, макс, нм: 686,2, 334,5 (ДМФА); 688,1; 334 (1% NH4OH), 684,3, 317,5 (H2O); 878,7 (0,5% КОН).
Таким образом, заявляемая дикалиевая соль 3-бром-4-карбокси-5-сульфофталевой кислоты является органическим веществом класса производных фталевой кислоты. Она позволяет получать из нее новый бромкарбоксисульфофталоцианин кобальта, обладающий индивидуальностью строения, наличием трех различных заместителей с фиксированным их положением в молекуле фталоцианина, и способностью растворяться в воде и водно-щелочных средах, а эти свойства бромкарбоксисульфофталоцианина кобальта позволяют использовать его в качестве красителя, катализатора различных процессов, протекающих в гомогенных средах, а также в других областях науки и техники.
Формула изобретения Дикалиевая соль 3-бром-4-карбокси-5-сульфофталевой кислоты формулы
как промежуточный продукт для синтеза замещенного фталоцианина кобальта.
РИСУНКИ
MM4A Досрочное прекращение действия патента Российской Федерации на изобретение из-за неуплаты в установленный срок пошлины за поддержание патента в силе
Дата прекращения действия патента: 15.01.2005
Извещение опубликовано: 20.10.2006 БИ: 29/2006
|
||||||||||||||||||||||||||

Наличие определенных заместителей во фталоцианинах, полученных из указанных промежуточных продуктов, обеспечивает им ряд полезных свойств: СООН- и SO3Н- – растворимость в водных средах, что позволяет использовать такие соединения в качестве водорастворимых красителей; Hal – светоустойчивость, которая является признаком качества хорошего красителя и т.д.
При использовании соединений I-V получаются монофункциональнозамещенные металлфталоцианины, а соединения VI -бифункциональнозамещенные.
Наиболее близким структурным аналогом заявляемого соединения является триаммонийная соль 4-бром-5-сульфофталевой кислоты VI, использующаяся для синтеза бромсульфозамещенных металлфталоцианинов.
Однако при использовании этого соединения в качестве промежуточного соединения можно получить лишь бромсульфозамещенные металлфталоцианины.
Индивидуальные соединения, содержащие три различных заместителя (бром, карбокси-, сульфогруппу) в молекуле фталоцианина, не известны.
Сущность изобретения
Изобретательская задача состояла в поиске соединения, являющегося производным фталевой кислоты, которое при использовании его в качестве промежуточного соединения дало бы возможность синтезировать водорастворимые галогензамещенные фталоцианины, способные растворяться в более широком диапазоне рН (как в щелочных растворах, так и нейтральных и даже слабокислых), обладающие к тому же способностью окрашивать хлопчатобумажные волокна и ткани из них.
Поставленная задача решена синтезом дикалиевой соли 3-бром-4-карбокси-5-сульфофталевой кислотой, формулы
Изобретение позволяет получить следующие преимущества.
– Использование дикалиевой соли 3-бром-4-карбокси-5-сульфофталевой кислоты дает возможность синтезировать замещенные металлфталоцианины, обладающие растворимостью как в щелочных, так и в нейтральных и слабокислых водных средах.
– Тетра(3-бром-4-карбокси-5-сульфо)фталоцианин кобальта, полученный с использованием заявленного соединения, обладает способностью окрашивать хлопчатобумажные волокна и ткани из них в сине-зеленый цвет, что расширяет цветовую гамму водорастворимых фталоцианиновых красителей.
Изобретение позволяет также при получении бром-карбокси-сульфозамещенных металлфталоцианинов контролировать число и местоположение заместителей в бензольных ядрах.
Структура заявляемого соединения подтверждена данными элементного анализа и ИК спектроскопии. ИК спектр дикалиевой соли 3-бром-4-карбокси-5-сульфофталевой кислоты (фиг.1) имеет полосы, отвечающие валентным колебаниям связей: S=O (1100 см-1), С=O (1700 см-1) и С-Br (600 см-1
Электронные спектры поглощения металлокомплекса в диметилформамиде, водных и водно-щелочных средах (фиг.3) имеют характерную для металлфталоцианинов Q-полосу в области 684-688 нм и полосу Соре при 318-334 нм.
Сведения, подтверждающие возможность воспроизведения изобретения
Заявляемое соединение получено путем бромирования кальциевой соли сульфопсевдокумола и дальнейшего окисления бромсульфопсевдокумола в соответствии с приведенной схемой:
С, смесь перемешивают до тех пор, пока ее цвет не изменится до белого. Осадок отфильтровывают, промывают небольшим количеством холодной воды и сушат.
Выход: 6.12 г (30%)
Найдено, %: Вr 28.1, S 11.1
С9Н11SО3Вr Вычислено, %: Br 28.7, S 11.5
ИК спектр в KBr,
, см-1: 3000 (
C-СН3); 1100 (
, см-1: 1720 (
, см-1: 1700 (
макс, нм: 686,2, 334,5 (ДМФА); 688,1; 334 (1% NH4OH), 684,3, 317,5 (H2O); 878,7 (0,5% КОН).
Таким образом, заявляемая дикалиевая соль 3-бром-4-карбокси-5-сульфофталевой кислоты является органическим веществом класса производных фталевой кислоты. Она позволяет получать из нее новый бромкарбоксисульфофталоцианин кобальта, обладающий индивидуальностью строения, наличием трех различных заместителей с фиксированным их положением в молекуле фталоцианина, и способностью растворяться в воде и водно-щелочных средах, а эти свойства бромкарбоксисульфофталоцианина кобальта позволяют использовать его в качестве красителя, катализатора различных процессов, протекающих в гомогенных средах, а также в других областях науки и техники.
как промежуточный продукт для синтеза замещенного фталоцианина кобальта.