Патент на изобретение №2233243
|
||||||||||||||||||||||||||
(54) СПОСОБ И УСТРОЙСТВО ДЛЯ ОБЕЗЗАРАЖИВАНИЯ ЖИДКОСТЕЙ С ПОМОЩЬЮ УЛЬТРАФИОЛЕТОВОГО ИЗЛУЧЕНИЯ
(57) Реферат: Изобретение относится к способу и устройству для обеззараживания жидкостей, в том числе сточных вод, с помощью импульсов ультрафиолетового излучения переменной длительности. В способе и устройстве обеззараживания жидкости, в частности воды и сточных вод, предусматривается использование импульсов УФ-излучения в автоматической насосной системе, которая раздельно и в режиме реального времени регулирует каждый модуль реактора в отношении как расхода жидкости, так и мощности УФ (средней и пиковой интенсивности), чтобы работать в широком диапазоне изменяющихся условий неочищенной жидкости и иметь на выходе качество жидкости, необходимое оператору. Управление процессом осуществляется по типу обратной связи по пропусканию УФ и активного и независимого регулирования каждого модуля УФ-реактора. При этом происходит согласование состояния исходной воды с величиной дозы УФ, необходимой для получения из нее жидкости с нужным качеством очистки, с последующим достижением этой дозы в режиме реального времени посредством наиболее практичной оптимальной комбинации средней/пиковой мощности и переменной скорости насоса. Технический эффект – достижение автоматизированного, высокоэффективного обеззараживания сточных вод. 2 н. и 24 з.п. ф-лы, 4 ил. Область техники Изобретение относится к способу и устройству для обеззараживания жидкостей, а более точно к способу и устройству для обеззараживания жидкостей, в том числе сточных вод, с помощью импульсов ультрафиолетового (УФ) излучения переменной длительности. За последнее столетие запасы недорогой, пригодной для использования воды значительно сократились. В связи с ростом населения и загрязнения окружающей среды ожидается резкое увеличение потребления водных ресурсов. Во всем мире промышленность и правительства тратят все больше усилий для создания современных водоочистных сооружений, которые отвечают потребностям общества, и устанавливают строгие нормативы, необходимые для создания более чистой окружающей среды. Потребность в экономичной, экологически приемлемой промышленной очистке сточных вод быстро приближается к критической точке. Сточные воды (включая промышленные и муниципальные сточные воды) часто содержат загрязнения, например микроорганизмы и токсичные органические соединения, которые могут представлять опасность при последующем использовании воды. В сточных водах нередко можно обнаружить бактерии, споры, дрожжи или грибки, водоросли и т.д., а также вирусы и бактериофаги. Среди токсичных органических соединений, часто встречающихся в сточных водах, можно указать канцерогенные ароматические соединения и многочисленные соединения галогенов, в частности соединения хлора, например хлорированные фенолы и т.д. Известны разнообразные методы дезинфекции сточных вод, в том числе с использованием химических или физических реагентов, механических средств и УФ-излучения. Традиционный метод дезинфекции предусматривает применение химических реагентов, в частности хлора. Хотя применение хлорной дезинфекции в Соединенных Штатах позволило на протяжении многих лет значительно снизить заболеваемость от водной инфекции, растущее беспокойство по поводу безопасности хлорирования и его влияния на окружающую среду побудило службы очистки сточных вод рассмотреть возможности применения других методов дезинфекции. Наиболее перспективной альтернативой хлорной дезинфекции является ультрафиолетовая (УФ) дезинфекция. УФ-излучение может вызывать фотодиссоциацию органических токсинов за счет разрушения химических связей. Конкретное вещество имеет характерную кривую фотодиссоциации, которая определяет энергии и длины волны УФ-излучения, при которых данное вещество претерпевает фотодиссоциацию. Для эффективной фотодиссоциации необходима определенная энергия или энергии УФ-излучения, соответствующие кривой фотодиссоциации нужного вещества. Что касается микроорганизмов, дезинфекция осуществляется за счет взаимодействия УФ-света с молекулами дезоксирибонуклеиновой кислоты (ДНК), в которых хранится генетическая информация для репликации клеток. Под действием света между соседними подгруппами в структуре ДНК образуются двойные связи, препятствующие нормальной репликации молекул ДНК, что приводит к инактивации микроорганизма. Известно также, что импульсные УФ-лампы могут вырабатывать импульсы высокой мощности, которые эффективны для различных применений фотодиссоциации, включая дезинфекцию и очистку жидкостей. Использование ультрафиолетового излучения для уничтожения микроорганизмов и/или фотодиссоциации органических соединений в сточных водах раскрыто, например, в патентах США №№4661264, 4816145, 5144146, 4400270, 4336223, 5368826, 4464336, 5230792, 5547590, 5900211, 1670217, 2338388, 4769131, 5504335, 4296066, 4317041, 5768853, 5597482, 5322569, 5536395, 5915161, 5208461, 5364645, 5925885, 5503800, 3485576, 3814680, 3637342, 3924139, 4103167 и 4767932, 4204956, 4471225, 4621195, 4676896, 4909931, 5624573, 5626768, 5660719, 5725757, 5738780, 4757205, 5290439, 5925240, 4880512, 4246101, 5151252, 4274970, 4230571, 4304996, 5480562. См. также Legan, R.W., “Ultraviolet Light Takes on CPI Role”, Chemical Engineering, стр. 95-100 от 22 января 1982 г. Есть еще одна статья по этой тематике: Hanzon, B.D., Vigilia, Rudy, “Just the Facts: UV Disinfection”, Water Environment & Technology Magazine, ноябрь 1999 г. Весьма желательно направлять УФ-излучение на мишень таким образом, чтобы одновременно обеспечивать высокую эффективность процесса, экономичность и возможность применять его всякий раз при всех необходимых расходах жидкости. Чрезмерная дозировка УФ приводит к излишним затратам, а недостаточная дозировка УФ связана с опасностью. Идеальная система дезинфекции воды УФ-излучением обладает рядом преимуществ. Например, идеальная система дезинфекции воды УФ-излучением позволяет точно дозировать УФ всякий раз (в реальном времени), а не иногда, или, по большей части, вне зависимости от уровня пропускания УФ неочищенной жидкостью или колебаний давления или расхода неочищенной жидкости. Кроме того, идеальная система дезинфекции воды УФ-излучением дополнительно может подтверждать правильность рабочих параметров. Например, система обеспечивает активную, управляемую в режиме реального времени обратную связь по уровню выхода базовой линии УФ-лампы и по коэффициенту пропускания УФ и расходу неочищенной жидкости. Благодаря обратной связи система может динамически и в широком диапазоне реагировать, регулируя в режиме реального времени выходную мощность УФ-света и расход неочищенной жидкости. Идеальная система УФ-дезинфекции также обладает автоматической компенсационной адаптивностью к любому отклонению от заданных рабочих параметров в одной или нескольких секциях УФ-реактора, используемого в системе, что позволяет системе активно в режиме реального времени реагировать на такие отклонения и обеспечивать правильное протекание процесса, например, не выпуская очищенную жидкость, не соответствующую нормативам. Были предприняты попытки разработать систему УФ-дезинфекции с усовершенствованной регулировкой дозирования. Подобные системы раскрыты, например, в патентах США №№4317041, 4336223, 5144146, 5208461, 5364645, 5547590 и 5925885. Однако известные системы не обладают всеми желаемыми характеристиками, присущими идеальной системе УФ-дезинфекции. Недостатки таких систем можно обобщить, сгруппировав их следующим образом. Например, один недостаток известных систем УФ-дезинфекции состоит в использовании ламп непрерывного действия. Большинство ламп непрерывного действия требуют времени для разогрева перед работой. Кроме того, большинство ламп непрерывного действия портятся от постоянного включения и выключения, происходит чрезмерное засорение кожуха, не работают эффективно в широком диапазоне выходной мощности. Другой недостаток известных систем УФ-дезинфекции состоит в использовании УФ-ламп, расположенных большими батареями, образующими единый реактор. При такой компоновке ламп, образующих единый реактор, случайные колебания интенсивности УФ от лампы к лампе в широких пределах могут приводить к существенным изменениям дозировки на разных участках такого реактора. Еще важнее то, что практически невозможно точно контролировать выходную мощность на базовой линии каждой лампы, поскольку для этого каждую лампу нужно снабдить отдельным детектором УФ. Поэтому выход УФ и, соответственно, производительность такого реактора можно оценивать лишь в отдельных контрольных точках, которые позволяют судить о состоянии отдельных небольших участков реактора. Производительность каждой отдельной лампы не поддается оценке. Еще один недостаток известных систем УФ-дезинфекции состоит в использовании пассивных устройств регулирования расхода (например: водосливов, задвижек, клапанов и т.п.) и безнапорного потока. Регулирование расхода в таких системах сводится к ограничению максимально возможного расхода жидкости в реакторах, используемых в этих системах. Потери гидростатического напора перекрывают расчетные параметры, что ограничивает производительность реактора. Регулирование расхода осуществляется сравнительно медленно, и, кроме того, регулирование расхода в одном из реакторов может приводить к нежелательному изменению расхода в соседних реакторах. Известные системы дезинфекции не являются действительно активными, работающими в режиме реального времени или независимыми, они зависят от медленно действующих, пассивных средств контроля и регулирования рабочих параметров. В таких системах множество реакторов, образующих промышленную установку, взаимодействуют между собой, из-за чего их рабочие параметры сильно зависят друг от друга. Эти системы не допускают точного дозирования УФ и не способны регулировать параметры в порядке оптимизации эффективности. Потребности водного хозяйства и водоочистки в повышении эффективности систем и снижении общих эксплуатационных затрат заставляют усовершенствовать традиционные системы УФ-дезинфекции. На фиг.1 представлена известная система УФ-обеззараживания. Согласно известному способу обеззараживания воды с помощью УФ-излучения для перемещения воды, подлежащей очистке, используют канал или резервуар 2 неочищенной жидкости. Несколько трубопроводов 4 неочищенной жидкости связаны с резервуаром 2. Подпотоки (не показаны) воды проходят через трубопроводы 4 неочищенной жидкости в указанных стрелками направлениях. Трубопроводы 4 содержат безнапорные водосливы или задвижки 6, обеспечивающие механическую регулировку расхода. Из трубопроводов 4 подпотоки неочищенной воды текут в указанных направлениях, проходя через батареи 8 импульсных УФ-ламп. Подпотоки очищенной воды, облученные ультрафиолетовым светом, излучаемым батареями 8 импульсных ламп, текут через трубопроводы 10 очищенной жидкости, которые также содержат водосливы или задвижки 6. Из трубопроводов 10 подпотоки очищенной жидкости поступают в канал или резервуар 12 очищенной жидкости, откуда очищенную жидкость можно отбирать и доставлять по назначению. В резервуаре 2 неочищенной жидкости, в батареях 8 импульсных УФ-ламп и в резервуаре 12 очищенной жидкости размещены расходомеры 16. Внутри резервуара 2 неочищенной жидкости размещен также датчик мутности 17. Способ дополнительно предусматривает применение системы 18 управления. Недостатком известной системы является использование пассивных механических средств регулировки расхода, т.е. водосливов или задвижек 6, для которых характерны высокая стоимость, громоздкость, медленное регулирование и ограниченные пропускная способность и/или пределы регулирования. Средства регулирования обычно работают в сочетании со вспомогательными батареями УФ-ламп непрерывного действия (в отличие от импульсных), которые либо оставляют в ряду, либо удаляют по необходимости. Система обычно работает по принципу безнапорного потока, вследствие чего оказывается весьма чувствительной к потере гидростатического напора. Несмотря на теоретические возможности такой системы на практике эти возможности регулирования расхода весьма ограничены. Любая попытка регулирования потока в одной батарее ламп, канале или трубопроводе путем регулирования выхода лампы и/или температуры лампы, пропускания УФ, уровней загрязнения или расхода неочищенной жидкости может неблагоприятно повлиять на расход и производительность УФ-реактора в других ветвях системы. Эта межреакторная зависимость дополнительно ограничивает диапазон условий эксплуатации. Для ввода таких систем в эксплуатацию требуются масштабные строительные работы и модификация водоочистных сооружений, а также долгосрочная программа пусконаладочных работ. Задачей настоящего изобретения является создание надежной и экономичной системы, т.е. способа и устройства для бесхимикатного обеззараживания воды, в том числе сточных вод, которая способна быстро регулировать выходную мощность УФ-реакторов в широких пределах и, таким образом, быстро регулировать дозирование УФ по мере необходимости. Еще одной задачей изобретения является создание системы обеззараживания УФ-излучением, в которой используется один источник УФ-излучения в каждом УФ-реакторе, что позволяет однозначно и точно оценивать производительность реактора на основании производительности одного источника УФ-излучения. Другой задачей изобретения является создание системы обеззараживания УФ-излучением, в которой в каждом УФ-реакторе в любой момент времени можно точно определить выход УФ-излучения на базовой линии каждого источника УФ-излучения и фактическое пропускание УФ-излучения. Еще одной задачей изобретения является создание системы обеззараживания УФ-излучением, в которой в каждом УФ-реакторе можно управлять расходом неочищенной жидкости в соответствии с командами, быстро и точно регулировать рабочие параметры в очень широких пределах, причем реакторы отличаются нулевыми потерями гидростатического напора, и, кроме того, вышеупомянутые операции можно осуществлять на каждом УФ-реакторе независимо и не влияя на другие УФ-реакторы, причем система содержит средства контроля и обратной связи, позволяющие активно в режиме реального времени оптимизировать рабочие параметры каждого из УФ-реакторов, образующих систему, полностью независимо от других реакторов и точно и без сбоев оптимизировать дозу УФ во всем диапазоне условий эксплуатации, с которыми обычно приходится сталкиваться крупномасштабным применениям УФ-фотодиссоциации. Краткое изложение существа изобретения Поставленные задачи решаются путем создания системы обеззараживания УФ-излучением, которая уничтожает микроорганизмы и подвергает фотодиссоциации органические загрязнения в жидкостях, например в воде и сточных водах. В системе обеззараживания, согласно настоящему изобретению, используются импульсы УФ-излучения переменной длительности в автоматической конфигурации, которая раздельно и в режиме реального времени регулирует каждый модуль реактора в отношении расхода жидкости и мощности УФ (средней и пиковой интенсивности), чтобы работать в широком диапазоне изменяющихся условий неочищенной жидкости, обеспечивая на выходе качество жидкости, необходимое оператору. Управление процессом осуществляется на основе системы обратной связи по пропусканию УФ и действительно активной и независимой регулировки каждого модуля УФ-реактора. Согласно изобретению, предложены способ и устройство обеззараживания жидкостей УФ-излучением, например воды и сточных вод, зараженных микроорганизмами и/или загрязненных органическими соединениями, чувствительными к УФ. Устройство, согласно изобретению, содержит один модуль УФ-реактора или несколько модулей УФ-ректора, каждый из которых содержит трубопровод неочищенной жидкости; насос переменной скорости, расположенный в трубопроводе неочищенной жидкости, скорость вращения которого определяется сигналом управления скоростью насоса; УФ-реактор, расположенный в трубопроводе неочищенной жидкости после насоса переменной скорости, причем УФ-реактор имеет внутреннюю камеру, содержащую канал реактора, имеющий вход и выход, расположенный после трубопровода неочищенной жидкости и связанный с ним; импульсную УФ-лампу, расположенную в канале реактора и способную испускать один или несколько импульсов ультрафиолетового излучения с длиной волны в диапазоне UV-C, предпочтительно, от 200 до 300 нанометров, причем интенсивность и длительность одного или нескольких импульсов УФ определяется сигналом управления выходом лампы; по меньшей мере один детектор пропускания УФ, расположенный в канале реактора в том месте, где можно измерять коэффициент пропускания УФ-участка потока жидкости, проходящего вблизи места размещения детектора, причем выходной сигнал детектора указывает измеренный коэффициент пропускания УФ, устройство содержит также модуль общего управления системой, имеющий независимую электрическую связь с каждым модулем УФ-реактора и предназначенный для генерирования сигнала управления скоростью насоса и сигнала управления выходом лампы и приема выходного сигнала коэффициента пропускания УФ, а также генерирования дополнительных сигналов управления скоростью насоса и сигналов управления выходом лампы в соответствии с сигналом коэффициента пропускания УФ, чтобы последующие участки потока, облучаемые одним или несколькими импульсами ультрафиолетового излучения, получали надлежащую дозу УФ. В предпочтительном варианте осуществления устройства, согласно изобретению, каждый модуль УФ-реактора дополнительно содержит блок управления реактором на основе микропроцессора (например программируемый логический контроллер (ПЛК), микрокомпьютер, специализированную плату с логическими схемами), электрически связанный с модулем общего управления системой и с насосом переменной скорости, импульсную УФ-лампу и детектор пропускания УФ-модуля реактора. Способ, согласно изобретению, заключается в том, что 1) используют устройство, согласно изобретению, причем модуль управления предварительно программируют на подачу первого сигнала управления скоростью насоса на насос каждого модуля УФ-реактора, чтобы обеспечить скорость вращения насоса, достаточную для обеспечения заранее определенного первого расхода через трубопровод неочищенной жидкости и канал реактора, при этом модуль управления предварительно программируют так, что по мере протекания потока жидкости через канал реактора модуль управления подает первый сигнал управления выходом лампы на импульсную УФ-лампу каждого модуля УФ-реактора, для обеспечения испускания импульсной лампой одного или нескольких импульсов ультрафиолетового излучения с заранее определенной первой интенсивностью УФ и с заранее определенной длительностью импульса, причем один или несколько импульсов ультрафиолетового излучения имеют длину волны в диапазоне UV-C, который обеспечивает уничтожение микроорганизмов и фотодиссоциацию органических соединений), предпочтительно от 200 до 300 нм; 2) направляют поток жидкости через трубопровод неочищенной жидкости, с заранее определенным первым расходом; 3) направляют поток через канал реактора от входа к выходу, при этом поток проходит вблизи импульсной УФ-лампы и вблизи детектора пропускания УФ с определенным первым расходом, участок потока облучают одним или несколькими импульсами ультрафиолетового излучения импульсной УФ-лампой, в соответствии с первым сигналом управления выходом лампы, генерируемым модулем управления, детектором пропускания УФ измеряют коэффициент пропускания УФ-участка потока, проходящего вблизи детектора, и передают на модуль управления выходной сигнал коэффициента пропускания УФ, указывающий измеренный коэффициент пропускания УФ, причем модуль управления предварительно программируют на анализ сигнала коэффициента пропускания УФ, чтобы определять, получил ли участок потока, облученный одним или несколькими импульсами ультрафиолетового излучения, нужную дозу УФ, при этом, если участок потока не получил нужной дозы УФ, то модуль управления выдает или второй сигнал управления скоростью насоса для обеспечения второго расхода в трубопроводе неочищенной жидкости и канале реактора и/или второй сигнал управления выходом лампы для обеспечения испускания одного или нескольких импульсов ультрафиолетового света со второй интенсивностью УФ и/или второй длительностью импульса, причем второй расход и/или вторая интенсивность УФ и/или вторая длительность импульса таковы, что последующие участки потока, облученные одним или несколькими импульсами ультрафиолетового излучения, получают нужную дозу УФ. Устройство, согласно настоящему изобретению, может содержать один модуль УФ-реактора или несколько модулей УФ-реактора. Предпочтительно устройство содержит несколько модулей УФ-реактора, размещенных по параллельной схеме или по последовательной схеме, предпочтительно по параллельной схеме. Устройство и способ, согласно изобретению, обеспечивают надежную и экономичную систему бесхимикатного обеззараживания воды, сточных вод и других жидкостей, загрязненных субстанциями, чувствительными к УФ. Модуль общего управления системой, используемый в настоящем изобретении, раздельно и в режиме реального времени регулирует расход воды и/или выходную мощность УФ в каждом модуле реактора, что позволяет работать в широком диапазоне изменяющихся условий подачи неочищенной жидкости. Варианты осуществления устройства, согласно которым импульсная УФ-лампа размещена коаксиально по отношению к трубопроводу неочищенной жидкости и каналу реактора, упрощают облучение УФ и обеспечивают упрощенный подход для точного расчета производительности. Краткое описание чертежей В дальнейшем изобретение поясняется описанием предпочтительных вариантов воплощения изобретения со ссылками на сопровождающие чертежи, на которых фиг.1 изображает известную систему обеззараживания УФ-излучением для использования в крупномасштабных установках с высокой пропускной способностью; фиг.2 изображает схему предпочтительного варианта осуществления устройства обеззараживания УФ-излучением согласно изобретению; фиг.3 изображает подробную схему модуля УФ-реактора, используемого в системе, согласно изобретению; фиг.4 изображает схему альтернативного варианта осуществления модуля УФ-реактора, в котором модуль УФ-реактора содержит блок программируемого логического контроллера на основе микропроцессора согласно изобретению. Подробное описание предпочтительных вариантов воплощения изобретения Очистке подлежат жидкости, загрязненные микроорганизмами и органическими соединениями, чувствительными к УФ. Термины “обеззараживание”, “обеззараживать” и “обеззараживающий” относятся к уничтожению микроорганизмов и фотодиссоциации органических соединений. Вышеупомянутые термины означают, что способ и устройство позволяют уничтожать существенную часть микроорганизмов, имеющихся в очищаемой жидкости, или препятствовать их воспроизводству и обеспечивают фотодиссоциацию существенной части органических токсичных соединений в очищаемой жидкости, в результате чего получают нетоксичные конечные продукты. Таким образом, термин “обеззараживание” включает в себя как фотодиссоциацию, так и химическую дезинфекцию. Что касается жидкостей, очищаемых согласно заявленному способу, термин “загрязненная” означает, что жидкость содержит нежелательное количество микроорганизмов, чувствительных к УФ, и/или органических соединений. Термин “чувствительный к УФ” в отношении микроорганизмов и органических соединений, загрязняющих жидкость, означает, что микроорганизмы разрушаются, а органические соединения претерпевают фотодиссоциацию под действием УФ-излучения. В настоящем описании представлено обеззараживание сточных вод. Однако следует понимать, что данное изобретение можно использовать для обеззараживания других жидкостей. В изобретении используют спектры излучения импульсных УФ-ламп в различных комбинациях средней и пиковой интенсивности. Предпочтительно, чтобы использовались импульсные лампы с диапазоном выходной мощности с коэффициентом 30 или более. Импульсные УФ-лампы, используемые в настоящем изобретении, способны испускать импульсы ультрафиолетового света высокой интенсивности и малой длительности. Импульсные газонаполненные импульсные лампы наподобие тех, что используются в настоящем изобретении, вырабатывают широкополосное излучение при прохождении через импульсную лампу импульса электрического тока, который ионизирует газ и порождает интенсивный импульс излучения с непрерывным и линейным спектром в широком диапазоне длин волны. В таких импульсных лампах обычно применяются инертные газы, например ксенон или криптон, поскольку они обеспечивают высокую эффективность преобразования электрической энергии в оптическую. В отдельных областях применения возможно или предпочтительно использовать другие газы или газовые смеси и газоразрядные системы. Импульсные УФ-лампы и соответствующие схемы формирования импульсов, используемые в настоящем изобретении, описаны, например, в патентах США №№4871559, 4910942 и 5034235. Импульсные УФ-лампы, используемые в настоящем изобретении, способны излучать ультрафиолетовый свет, длина волны которого находится в диапазоне UV-C, предпочтительно от 200 до 300 нанометров (нм). УФ-излучение такой длины волны особенно эффективно для фотодезинфекции, поскольку микроорганизмы обладают максимальной чувствительностью в этом диапазоне. Каждый из импульсов ультрафиолетового излучения высокой интенсивности и малой длительности, излучаемых импульсной УФ-лампой, предпочтительно имеет интенсивность, по меньшей мере, 0,01 джоуль на квадратный сантиметр, более предпочтительно, от 0,01 до 50 джоуль на квадратный сантиметр. Длительность каждого импульса, предпочтительно, составляет от 0,001 до 100 миллисекунд. Частота повторения импульсов излучения предпочтительно составляет от 0,5 до 30 герц. Каждая импульсная лампа выдает в диапазоне UV-C примерно от 1 миллиона до 6 миллионов ватт пиковой мощности на импульс. Каждая импульсная УФ-лампа заключена в водонепроницаемый защитный корпус, например прозрачную для УФ кварцевую трубку. Корпус (или кожух), сам по себе, является холодным, чтобы неорганические загрязнения не оседали на него. Модули реактора могут быть выполнены из металла, устойчивого к УФ, например из нержавеющей стали или других материалов, устойчивых к УФ. Преимущество перемещаемой, модульной конфигурации устройства, согласно изобретению, состоит в активном, независимом и точном регулировании расхода в режиме реального времени с помощью насосов для каждого модуля УФ-реактора, что позволяет работать в чрезвычайно широком диапазоне с минимальным воздействием на инфраструктуру очистных сооружений. Каждый модуль реактора содержит встроенный насос переменной скорости, предпочтительно поршневой насос, который обеспечивает точную индикацию расхода в режиме реального времени. Это обеспечивает не только возможность положительной отсечки, но также практический выходной диапазон в пределах значений коэффициента 15 или более. Эта методика сочетается с быстрым регулированием мощности УФ импульсных ламп с диапазоном выходной мощности с коэффициентом 30 или более. Такой способ позволяет регулировать расход в любом модуле УФ-реактора, не вызывая изменение расхода в другом модуле УФ-реактора. Преимущество настоящего изобретения состоит в том, что в устройстве, согласно настоящему изобретению, изменение расхода в каком-либо модуле УФ-реактора не приводит к необходимости снижения производительности ни одного другого модуля УФ-реактора. Поэтому все модули УФ-реактора, используемые в устройстве, способны независимо достигать оптимального дозирования УФ. Контроль и управление обеспечиваются интеллектуальной системой управления, т.е. модулем 28 управления (фиг.2 и 3) или модулем 28 управления совместно с блоком 62 ПЛК (фиг.4), которая вычисляет оптимальный режим работы для любого набора условий неочищенной жидкости, независимых условий работы модуля(ей) УФ-реактора и необходимых выходных условий очищенной жидкости. Система управления активно и независимо регулирует расход, выходную мощность УФ или оба эти параметра в каждом модуле УФ-реактора. На фиг.2 показан предпочтительный вариант осуществления способа и устройства обеззараживания жидкостей с помощью ультрафиолетового излучения. Устройство 20 (фиг.2) обеззараживания содержит канал или резервуар 22 неочищенной жидкости для удержания и/или перемещения неочищенной жидкости F, подлежащей обеззараживанию. В резервуаре 22 размещен датчик 24 уровня жидкости, подключенный к модулю 28 управления устройством на основе микропроцессора со встроенным программным обеспечением. Что касается модуля 28 управления, он управляет всеми модулями УФ-реактора. Сбоку к резервуару 22 подключен трубопровод 26 неочищенной жидкости, по которому поток F1 неочищенной жидкости F течет в указанном направлении. В соответствии с командами (сигналами), поступающими от модуля 28 управления по шине управления 30, поток F1 жидкости делится на подпотоки F2 жидкости, которые текут из трубопровода 26 в трубопроводы 32 неочищенной жидкости. По трубопроводам 32 подпотоки F2 текут в указанном направлении в параллельную структуру независимо регулируемых модулей 34 УФ-реактора. Заметим, что, хотя модули УФ-реактора размещены по параллельной схеме, модули УФ-реактора можно альтернативно размещать по последовательной схеме. Модулями 34 УФ-реактора можно управлять независимо. В модулях 34 (фиг.3) УФ-реактора подпотоки F2 подвергаются обработке ультрафиолетовыми лучами, которые уничтожают микроорганизмы и/или вызывают фотодиссоциацию токсичных органических соединений, присутствующих в подпотоках. По завершении очистки подпотоков F2 в модулях 34 УФ-реактора полученные обеззараженные подпотоки Е2 вытекают из модулей 43 в указанном направлении и попадают в трубопроводы 36 очищенной жидкости. Подпотоки Е2 очищенной жидкости текут через трубопроводы 36 в трубопровод 38 очищенной жидкости, где подпотоки очищенной жидкости могут объединяться в единый поток Е1 очищенной жидкости. При желании поток очищенной жидкости можно потом транспортировать в указанном направлении в пункт 40 отбора очищенной жидкости, откуда очищенную жидкость Е можно отбирать и доставлять в пункт назначения. Подпоток F2 неочищенной жидкости поступает в модуль 34 (фиг.3) УФ-реактора в указанном направлении через трубопровод 32 неочищенной жидкости. Подпоток F2, поступающий в модуль 34, имеет расход, зависящий от скорости вращения встроенного насоса 42 переменной скорости. Скорость вращения насоса 42 задается модулем управления 28 посредством шины 30 управления. Модуль 28 управления передает команду скорости вращения на насос 42 через контроллер 44 насоса переменной скорости. При расходе, установленном модулем 28 управления и выполняемом насосом 42, подпоток F2 проходит через трубопровод 46 в указанном направлении во внутреннюю камеру 48 УФ-реактора 50. Внутри камеры 48 УФ-реактора 50 коаксиально расположена линейная импульсная лампа 52, излучающая импульсный ультрафиолетовый свет в соответствии с командой (т.е. сигналом управления выходом лампы), выдаваемой модулем 28 управления и поступающей через шину 30 управления и схему 54 запуска импульсной лампы. Схема 54 запуска содержит цепь формирования импульсов (не показана) и источник питания (не показан). Подпоток F2 неочищенной жидкости наполняет камеру 48 снаружи импульсной лампы 52. На внутренней стенке 48а камеры 48 находится один или несколько детекторов 56 пропускания УФ, предпочтительно установленных в направлении линии прямого обзора импульсной лампы 52. По команде модуля 28 управления, поступающей через соединитель 31 интерфейса модуль управления/реактор, схема 54 запуска импульсной лампы формирует посредством своей цепи формирования импульсов и посылает на импульсную лампу 52 короткий электрический импульс с высокой пиковой мощностью, который ионизует газ (например ксенон), содержащийся в импульсной лампе 52, с образованием высокотемпературной плазмы, которая испускает импульс УФ-излучения. Импульс УФ-излучения облучает наполненный жидкостью объем камеры 48 УФ-реактора 50. Это излучение частично поглощается компонентами подпотока F2, например взвешенными твердыми частицами и растворенными в воде веществами. Интегральная плотность потока УФ, воспринятая детектором(ами) 56 пропускания УФ, преобразуется интерфейсом 58 детектора в соответствующий сигнал, который поступает на модуль 28 управления по шине 30 управления. Модуль 28 управления анализирует сигнал, полученный от интерфейса 58 детектора, любым из нескольких приемлемых методов дифференциального измерения и выдает данные, представляющие “коэффициент пропускания УФ” того конкретного слоя (т.е. подпотока F2) неочищенной жидкости, который попал под действие данного импульса УФ-излучения. При этом один импульс УФ-света также облучил большой процент микроорганизмов и/или органических соединений. На основании 1) объема камеры 48 УФ-реактора 50, 2) известной пиковой мощности УФ в расчете на импульс и 3) известного пропускания УФ для этого импульса, модуль 28 управления вычисляет дозу УФ (ДжUV-C/м3), полученную камерой 48 от этого импульса УФ-излучения. Эта доза УФ не является повременной мощностью дозы, а дискретной величиной. Сравнивая единичную дозу УФ с нужной дозой, выбранной оператором, модуль 28 управления вычисляет количество импульсных доз УФ-излучения, необходимое для данного объема жидкости при данном расходе, и осуществляет эту операцию для каждого импульса. Модуль 28 управления может регулировать рабочие параметры в любой момент по мере необходимости. При прохождении подпотока F2 через камеру 48 УФ-реактора 50 подпоток получает дозу УФ-излучения, которую назначает оператор, а затем задает и проверяет модуль 28 управления. После этого поток Е2 очищенной жидкости вытекает из камеры 48 УФ-реактора 50 и поступает в трубопровод 38 очищенной жидкости. Предпочтительный вариант осуществления интерфейса 58 детектора предусматривает использование в каждом модуле 34 УФ-реактора один или несколько вспомогательных детекторов 60 уровня загрязнения, предназначенных для контроля количества организмов или соединений. Один детектор 60 (фиг.3) расположен на входном (т.е. находящемся выше по течению) конце камеры 48, а другой детектор 60 расположен на выходном (т.е. находящемся ниже по течению) конце камеры 48. Основное преимущество такой схемы размещения (т.е. схемы детектирования “до очистки – после очистки”) детекторов 60 состоит в обеспечении обратной связи по замкнутому циклу, которая позволяет дополнительно повысить точность и эффективность крупномасштабных вариантов применения УФ-фотодиссоциации. Датчик 24 (фиг.2) уровня жидкости размещен внутри резервуара 22 неочищенной жидкости. Датчик 24 уровня выдает информацию скорости изменения уровня жидкости на модуль 28 управления, который использует эту информацию для вычисления необходимого расхода неочищенной жидкости путем вычитания суммарного расхода модулей 34 УФ-реактора. В любой момент модуль 28 управления знает суммарный расход системы обеззараживания, поскольку скорость вращения встроенного насоса 42 переменной скорости, входящего в состав каждого модуля 34 реактора, определяет расход для соответствующего модуля 34 реактора, и модуль 28 управления устанавливает эту скорость вращения. Передача данных между модулем 28 управления и модулями 34 реактора осуществляется по шине 30 управления и через соединитель 31 интерфейса модуль управления/реактор. Помимо задания необходимого расхода модуль 28 управления имеет встроенные интеллектуальные функции для контроля и анализа условий эксплуатации каждого модуля 34 реактора, которые позволяют ему определять оптимальную настройку управления для каждого модуля 34 реактора, чтобы обеспечивать необходимый чистый суммарный выход всей системы обеззараживания. Анализ для модуля 34 реактора осуществляется на основании следующих факторов: уровня выхода на базовой линии импульсной УФ-лампы в расчете на импульс, уровня выхода фильтрованного УФ в расчете на импульс импульсной УФ-лампы, пропускания УФ в неочищенной жидкости в расчете на импульс, дозы УФ в расчете на импульс, частоты повторения импульсов, расхода через камеру 48 УФ-реактора 50, средней дозы УФ в расчете на модуль реактора (ДжUV-C/м3) и предупреждений, оповещений и эксплуатационной готовности в каждом модуле 34 реактора. Анализ для модуля 28 управления осуществляется на основании следующих факторов: необходимого расхода системы, необходимой дозы УФ для согласования обеззараживания (ДжUV-С/м3), вычислений и/или таблиц поиска расчетных параметров обеззараживания, критериев эксплуатации применительно к местоположению, ограничений системы обеззараживания, предупреждений, извещений и плана готовности, базы данных по истории эксплуатации и обслуживания и внешних связей для контроля, дистанционной эксплуатации и обслуживания. Если какой-либо модуль 34 реактора в какой-либо момент выходит за пределы установленного диапазона рабочих параметров, то устройство может немедленно и в реальном времени автоматически отключиться от выхода, что гарантирует полную согласованность в любой момент времени. Кроме того, конструкция “нулевых потерь гидростатического напора” устройства не только представляет преимущество истинно независимой работы модулей реактора с изоляцией по давлению, но также позволяет гарантировать для всего устройства УФ-обеззараживания обеспечение практически нулевых потерь гидростатического напора в водоочистном сооружении. На фиг.4 изображен предпочтительный вариант осуществления модуля(ей) УФ-реактора, используемого в настоящем изобретении. Согласно этому варианту каждый модуль 34 реактора дополнительно содержит блок 62 управления реактором на основе микропроцессора. Блок 62 управления реактором имеет электрическую связь с модулем 63 управления системой и контроллером 44 насоса переменной скорости, схемой 54 запуска импульсной УФ-лампы и интерфейсом 58 детектора. Использование блока 62 управления реактором позволяет в значительной степени перераспределить вычислительные мощности и функции микропроцессора модуля общего управления системой. Благодаря использованию блока управления реактором в каждом модуле последний может осуществлять большую часть контрольных и вычислительных функций реактора, тем самым снижая трафик ввода-вывода на шине управления и требования системы управления к зависящим от времени одновременно выполняемым на множественных модулях реактора контрольным и вычислительным функциям. Таким образом, модуль 63 (фиг.4) управления системой выполняет меньше вычислений, чем модуль 28 (фиг.2, 3) управления системой. Вариант осуществления, представленный на фиг.4, все же оставляет модулю 63 управления общие функции высших уровней иерархии управления системой. Модуль 63 управления принимает сигналы контроля производительности реактора и аварийные сигналы от каждого независимого модуля 34 реактора, оценивает и определяет оптимальную конфигурацию системных параметров и передает каждому модулю 34 реактора назначенные рабочие параметры соответствующего модуля 34 реактора. Блок 62 управления на основе микропроцессора более низкой мощности, находящийся в каждом модуле 34 реактора, принимает от модуля 63 управления сигналы управления параметрами, предназначенные для соответствующего модуля 34 реактора, вычисляет и устанавливает дозировку УФ в соответствии с внутренне контролируемыми данными (пропускание УФ, выход УФ, расход и т.п.), контролирует и регулирует, после чего передает выход реактора обратно на модуль 63 управления. Поскольку способ и устройство УФ-обеззараживания, согласно изобретению, идеально пригодны для параллельной работы модулей реактора, устройству можно придавать размер, соответствующий требованиям водоочистных сооружений, просто выбирая количество одинаковых и перемещаемых модулей реактора, удовлетворяющее этим потребностям. Преимущество устройства обеззараживания состоит в обеспечении независимой и точной регулировки расхода, осуществляемой в реальном времени с помощью насоса в каждом модуле УФ-реактора, что позволяет работать в чрезвычайно широком диапазоне состояния неочищенной жидкости с минимальным воздействием на инфраструктуру очистных сооружений. Каждый модуль реактора содержит встроенный насос переменной скорости, что позволяет регулировать расход одного модуля УФ-реактора, не оказывая влияния на расход любого другого модуля УФ-реактора. Таким образом, в отличие от известного устройства обеззараживания, изменение расхода в каком-либо модуле УФ-реактора не приводит к снижению производительности ни одного другого модуля УФ-реактора. В результате, все модули УФ-реактора, используемого в устройстве, способны независимо достигать оптимальной УФ дозировки. Несмотря на большие различия ламп непрерывного действия при расчете дозы УФ оказалось, что удобнее всего рассматривать дозу УФ как произведение средней интегральной плотности потока на время облучения (в секундах). В технике используют в качестве единиц измерения мВт с/см2 (милливатт-секунда на квадратный сантиметр). Проще всего выразить это следующим уравнением:
где D – доза УФ (мВт·с/см2), I – средняя интенсивность бактерицидного УФ (мВт/см2), t – время облучения (с).
Фактическую интегральную плотность потока УФ в обычном реакторе с несколькими источниками в виде ламп непрерывного действия рассчитать очень сложно, поскольку помимо учета изменчивости гидравлического расхода, обычно используют приближение “суммирования по множественным точкам источника”, чтобы отразить заметное изменение выхода УФ по объему реактора. Поле интенсивности света вокруг гипотетического точечного источника вдоль оси лампы НВ можно описать следующим уравнением:
где r, z – радиальная и продольная координаты (соответственно) в цилиндрической системе координат, ось которой совпадает с осью одного конца лампы,
I(r, z)i – интенсивность в точках с координатами (r,z) применительно к i-му точечному источнику,
Р – выходная мощность лампы,
n – количество точечных источников, используемых для представления лампы,
– расстояние от точечного источника до точек с координатами (r, z),
aq – коэффициент поглощения кварцевой оболочки,
tq – толщина кварцевой оболочки,
al – коэффициент поглощения воды,
rl – радиус лампы.
Для любых координат (r, z) суммарная интенсивность представляет собой сумму вкладов всех точечных источников в системе, что выражается следующим уравнением:
Уравнения (2) и (3) представляют собой модель суммирования по точечным источникам. Поскольку эта модель обеспечивает пространственно-зависимую информацию о поле интенсивности света, эту информацию можно использовать для прогнозирования дозы излучения, накопленной каждой частицей в потоке неочищенной жидкости. Такое прогнозирование иллюстрирует следующее уравнение:
где дозаi – доза УФ, полученная i-ой частицей,
I(t) – интенсивность УФ, зависящая от времени,
t – время,
– время нахождения частицы в облучаемом объеме.
Инактивация бактерий исторически была аппроксимирована кинетическими характеристиками первого порядка, и считается точной для “идеальных” условий, согласно закону Чика (Chik, 1908)
где N – концентрация бактерий после облучения УФ-светом,
N0 – начальная концентрация бактерий,
k – постоянная скорости инактивации (см2/Вт с)
I – интенсивность УФ-света (Вт/см2)
t – время облучения (с).
В попытках построить расчетные модели УФ-обеззараживания практики разработали более сложные модели, которые должны включать многочисленные параметры, полученные эмпирическим путем. Эти модели легли в основу прогнозирования производительности системы. В круг задач настоящего изобретения не входит обсуждение существующих разногласий по поводу того, какая модель в настоящее время является наилучшей для прогнозирования производительности обеззараживания. Прекрасная работа Блэтчли и др. (Ernest R. Blatchly III, [1998] “Optimization of Process Performance in Ultraviolet Disinfection Systems”, Water Environment Federation Proceedings, Disinfection ’98 The Latest Trends in Wastewater Disinfection: Chlorination vs. UV Disinfection) “Оптимизация производительности процесса в системах ультрафиолетовой дезинфекции”, Протоколы Федерации водной среды, Дезинфекция 98: Последние тенденции в дезинфекции сточных вод: хлорирование или УФ-дезинфекция).
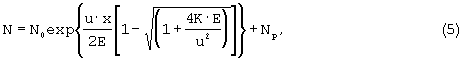
Однако чтобы провести различие между заявленным способом и известными способами, использована модель, описанная в Инженерном справочнике по дезинфекции сточных вод, 1986 Управления охраны окружающей среды США и упомянутая в Справочнике по дезинфекции сточных вод (Федерация контроля загрязнения воды, 1986). Эту модель иллюстрирует следующее уравнение
где u – скорость протекания сточных вод через реактор (см/с),
х – среднее расстояние, проходимое водой, облучаемой УФ-светом (см),
Е – коэффициент рассеяния (см2/с),
К – постоянная скорости инактивации (с-1).
Скорость К инактивации, является оценкой, основанной на эмпирическом соотношении
где Iср – средняя интенсивность УФ-света в реакторе,
a, b – эмпирические коэффициенты для состояния сточных вод.
Этот способ совместно с большинством других расчетов дезинфекции, необходимых для процессов с использованием ламп непрерывного действия, следует рассматривать применительно к терминам, обычно относящимся к реактору и времени, например времени облучения, времени нахождения частицы, скорости воды в реакторе и интенсивности УФ, зависящей от времени.
Согласно настоящему изобретению использование одной импульсной лампы в каждом реакторе упрощает как точную доставку, так и определение дозы УФ. Причина в том, что способ дискретной доставки импульсной энергии, применяемый в технологии импульсных УФ-ламп, позволяет устранить из вычислений элемент, зависящий от времени. Зная расход реактора (в м3/с) и с учетом того, что изобретение предусматривает наличие этой информации в любой момент, термины “средняя интегральная плотность потока” и “время облучения” можно заменить произведением “энергия УФ (ДжUV-C) на импульс” и “частота повторения импульсов” (Гц). Это дает возможность просто и более удобно измерить дозу UV-C применительно к средней энергии UV-C на кубический метр (Дж/м3) и основать модель(и) дезинфекции на этой точно измеренной переменной.
Кроме того, коаксиальное размещение внутри реактора одного линейного источника света (импульсной УФ-лампы высокой интенсивности) дополнительно упрощает доставку УФ-света и обеспечивает менее громоздкий подход к точному расчету производительности. Преимущество состоит также в расчете фактической производительности УФ-реактора в режиме реального времени вместо того, чтобы основывать реальную работу способа обработки (и в основном) на прогнозах производительности реактора. Способ реализует это важное различие.
Общеизвестно, что различные операции УФ-дезинфекции могут более эффективно достигать нужного результата путем определения оптимальных условий доставки УФ в конкретном процессе. Этот процесс зависит от трех основных параметров: расхода жидкости, состояния жидкости (уровней загрязнения и характеристик пропускания УФ) и величины мощности УФ, поданной на мишень в виде организма или соединения. Поскольку эти три параметра доминируют в процессе и в большой степени определяют эффективность процесса, это те три фактора, с которыми оперирует изложенный здесь способ.
Хотя в патенте США №5144146 изложены идеи, относящиеся к конструкции, в которой токсичные вещества могут разрушаться под действием света импульсных УФ-ламп (применительно к ширине полосы, средней и пиковой интенсивностям и т.д.), эти идеи являются простым суммированием граничных условий, в которых почти все успешные процессы УФ-диссоциации были открыто проведены в течение последних нескольких декад. Граничные условия, указанные в патенте, действительно охватывают большое количество реальных и потенциальных операций обработки, которые совершенно не конкретизированы. То есть, переменную выходную мощность импульсных ламп можно настроить на соответствие нужным условиям УФ, оптимизированным для конкретного процесса фотодиссоциации. Если задать диапазон различных режимов доставки энергии (например среднюю и пиковую мощность и т.д.), которые полезны для всех процессов фотодиссоциации на основе импульсных УФ-ламп, то диапазон будет теми условиями, которые указаны в этом патенте.
В настоящем изобретении применяются спектры выхода импульсных ламп в различных комбинациях средней и пиковой интенсивности (и даже вне, т.е. при частоте повторения импульсов <5 Гц) в рабочих границах, указанных в патенте.
В патенте США №4336223 Хиллмана, использовали детекторы мутности в схеме обратной связи. Мутность определяется как снижение прозрачности воды по причине наличия взвешенных частиц. Мутность является одним из факторов, влияющих на способность УФ-света проходить через объем реактора, или пропускание УФ. Ничтожные количества обычно встречающихся промышленных отходов могут значительно снижать процент пропускания УФ, хотя измерения мутности в той же жидкости могут свидетельствовать о низком уровне мутности. Когда дозу УФ определяют посредством считывания низкой мутности, последовательно неточные приближения приводят к неадекватной дозе УФ.
Закон Бира-Ламберта описывает ослабление света при наличии в жидкости любого материала, поглощающего свет. Коэффициент ослабления или коэффициент Т пропускания для светового пучка данной длины волны, где ослабление обусловлено, в основном, поглощением, выражается следующим уравнением
где ![]() – коэффициент поглощения (см-1) на длине волны ,
l – длина пути (см).
О фотохимическом процессе может свидетельствовать только поглощение фотонов средой-мишенью. Оптическая плотность относится к концентрациям поглощающих составляющих в соответствии с нижеприведенным уравнением
где ![]() i, ci – молярный коэффициент поглощения (моль-1см-1) на длине волны и концентрация (моль) составляющей i в жидкости, l – длина пути (см).
Оптическая плотность и коэффициент пропускания связаны следующим уравнением
или
Хотя взвешенные частицы способны поглощать свет и участвовать в снижении коэффициента пропускания УФ, общеизвестно, что это не всегда имеет линейный эффект и также не обязательно доминирует в процессе. В любом процессе фотодиссоциации, требующем точного дозирования УФ-излучения, измерение пропускания УФ важнее, чем мутность. Поэтому процессы, опирающиеся на контроль мутности жидкости, при определении фактической дозировки УФ могут быть весьма неточными и неэффективными.
Преимущество способа, согласно изобретению, состоит в измерении пропускания УФ вместо измерения мутности и в наличии в каждом модуле УФ-реактора интерфейса детектора, используемого с одним или несколькими детекторами пропускания УФ. Такой интерфейс детектора также позволяет добавлять вспомогательные детекторы уровня загрязнения. Такие средства детектирования получат в будущем широкое распространение, обеспечивая индикацию в режиме реального времени различных загрязнений, например микроорганизмов и токсичных органических соединений. Способ и устройство, согласно изобретению, обеспечивают дополнительные и важные функции обратной связи по замкнутому циклу, которые позволяют дополнительно повысить точность и эффективность крупномасштабных применений УФ-фотодиссоциации.
Формула изобретения 1. Способ обеззараживания жидкости, зараженной микроорганизмами и/или загрязненной органическими соединениями, чувствительными к УФ-излучению, заключающийся в том, что используют устройство, содержащее один модуль УФ-реактора или несколько модулей УФ-реактора, каждый из которых содержит трубопровод неочищенной жидкости, насос переменной скорости, расположенный в трубопроводе неочищенной жидкости, скорость вращения которого определяется сигналом управления скоростью насоса, УФ-реактор, расположенный в трубопроводе неочищенной жидкости после насоса переменной скорости, причем УФ-реактор имеет внутреннюю камеру, содержащую канал реактора, имеющий вход и выход, расположенный после трубопровода неочищенной жидкости и связанный с ним, импульсную УФ-лампу, расположенную в канале реактора и способную испускать один или несколько импульсов ультрафиолетового излучения с длиной волны в диапазоне UV-C, причем интенсивность и длительность одного или нескольких импульсов УФ определяется сигналом управления выходом лампы, по меньшей мере, один детектор пропускания УФ, расположенный в канале реактора в том месте, где можно измерять коэффициент пропускания УФ-участка подпотока жидкости, проходящего вблизи упомянутого места, причем выходной сигнал детектора указывает измеренный коэффициент пропускания УФ, устройство содержит также модуль общего управления системой, имеющий независимую электрическую связь с каждым модулем УФ-реактора и предназначенный для генерирования сигнала управления скоростью насоса и сигнала управления выходом лампы и приема выходного сигнала коэффициента пропускания УФ, а также генерирования дополнительных сигналов управления скоростью насоса и сигналов управления выходом лампы в соответствии с сигналом коэффициента пропускания УФ, отличающийся тем, что модуль управления предварительно программируют на подачу первого сигнала управления скоростью насоса на насос каждого модуля УФ-реактора, чтобы обеспечить скорость вращения насоса, достаточную для обеспечения заранее определенного первого расхода через трубопровод неочищенной жидкости и канал реактора, модуль управления предварительно программируют так, чтобы по мере протекания подпотока жидкости через канал реактора модуль управления подавал первый сигнал управления выходом лампы на импульсную УФ-лампу каждого модуля УФ-реактора, чтобы обеспечить испускание импульсной лампой одного или нескольких импульсов ультрафиолетового излучения с заранее определенной первой энергией в расчете на импульс, причем один или несколько импульсов ультрафиолетового излучения имеют длину волны в диапазоне UV-C, направляют подпоток жидкости через трубопровод неочищенной жидкости с заранее определенным первым расходом, и направляют подпоток через канал реактора от входа к выходу, при этом поток проходит вблизи импульсной УФ-лампы и вблизи детектора пропускания УФ с определенным первым расходом, участок потока облучают одним или несколькими импульсами ультрафиолетового излучения, испускаемого импульсной УФ-лампой, в соответствии с первым сигналом управления выходом лампы, генерируемым модулем управления, детектором пропускания УФ измеряют коэффициент пропускания УФ-участка подпотока, проходящего вблизи детектора, и передают на модуль управления выходной сигнал коэффициента пропускания УФ, указывающий измеренный коэффициент пропускания УФ, причем модуль управления предварительно программируют на анализ сигнала коэффициента пропускания УФ, чтобы определять, получил ли участок подпотока, облученный одним или несколькими импульсами ультрафиолетового излучения, нужную дозу УФ, при этом, если участок потока не получил нужной дозы УФ, то модуль управления выдает или второй сигнал управления скоростью насоса для обеспечения второго расхода в трубопроводе неочищенной жидкости и канале реактора и/или второй сигнал управления выходом лампы для обеспечения испускания одного или нескольких импульсов ультрафиолетового света со второй интенсивностью УФ и/или второй длительностью импульса, причем второй расход, и/или вторая интенсивность УФ, и/или вторая длительность импульса таковы, что последующие участки подпотока, облученные одним или несколькими импульсами ультрафиолетового излучения, получают нужную дозу УФ. 2. Способ по п.1, отличающийся тем, что в устройстве импульсную УФ-лампу размещают коаксиально продольной оси канала реактора между входом и выходом канала. 3. Способ по п.2, отличающийся тем, что импульсную УФ-лампу размещают посередине между входом и выходом канала реактора. 4. Способ по п.1, отличающийся тем, что в одном или нескольких модулях УФ-реактора устройства УФ-реактор дополнительно снабжают, по меньшей мере, одним вспомогательным детектором уровня загрязнения. 5. Способ по п.4, отличающийся тем, что используют УФ-реактор, который содержит два вспомогательных детектора уровня загрязнения, причем один детектор размещают на входном конце канала реактора, а другой детектор размещают на выходном конце канала реактора. 6. Способ по п.1, отличающийся тем, что устройство дополнительно снабжают резервуаром неочищенной жидкости для удержания жидкости, подлежащей дезинфекции, и трубопроводом неочищенной жидкости, размещенным между резервуаром неочищенной жидкости и трубопроводом неочищенной жидкости каждого из модулей УФ-реактора и связанным с ними. 7. Способ по п.6, отличающийся тем, что в резервуаре размещают датчик уровня неочищенной жидкости, предназначенный для определения изменения расхода неочищенной жидкости и передачи модулю управления выходного сигнала, указывающего изменение расхода. 8. Способ по п.1, отличающийся тем, что устройство дополнительно снабжают трубопроводом очищенной жидкости, размещенным после выходов всех модулей УФ-реактора и связанным с ними. 9. Способ по п.1, отличающийся тем, что используют модуль общего управления системой, который содержит микропроцессор со встроенным программным обеспечением. 10. Способ по п.1, отличающийся тем, что используют насос переменной скорости, который является поршневым насосом. 11. Способ по п.1, отличающийся тем, что каждый модуль УФ-реактора дополнительно снабжают блоком управления реактором на основе микропроцессора, который электрически связан с модулем общего управления системой. 12. Способ по п.1, отличающийся тем, что совокупность модулей УФ-реактора размещают по параллельной схеме. 13. Способ по п.1, отличающийся тем, что совокупность модулей УФ-реактора размещают по последовательной схеме. 14. Устройство для обеззараживания жидкости, зараженной микроорганизмами и/или загрязненной органическими соединениями, чувствительными к УФ-излучению, содержащее один модуль УФ-реактора или несколько модулей УФ-реактора, каждый из которых содержит трубопровод неочищенной жидкости, насос переменной скорости, расположенный в трубопроводе неочищенной жидкости, скорость вращения которого определяется сигналом управления скоростью насоса, УФ-реактор, расположенный в трубопроводе неочищенной жидкости после насоса переменной скорости, причем УФ-реактор имеет внутреннюю камеру, содержащую канал реактора, имеющий вход и выход, расположенный после трубопровода неочищенной жидкости и связанный с ним, импульсную УФ-лампу, расположенную в канале реактора и способную испускать один или несколько импульсов ультрафиолетового излучения с длиной волны в диапазоне UV-С, причем интенсивность и длительность одного или нескольких импульсов УФ определяется сигналом управления выходом лампы и, по меньшей мере, один детектор пропускания УФ, расположенный в канале реактора в том месте, где можно измерять коэффициент пропускания УФ-участка подпотока жидкости, проходящего вблизи упомянутого места, причем выходной сигнал детектора указывает измеренный коэффициент пропускания УФ, а устройство содержит также модуль общего управления системой, имеющий независимую электрическую связь с каждым модулем УФ-реактора, и предназначенный для генерирования сигнала управления скоростью насоса и сигнала управления выходом лампы и приема выходного сигнала коэффициента пропускания УФ, а также генерирования дополнительных сигналов управления скоростью насоса и сигналов управления выходом лампы в соответствии с сигналом коэффициента пропускания УФ, чтобы последующие участки подпотока, облучаемые одним или несколькими импульсами ультрафиолетового излучения, получали надлежащую дозу УФ. 15. Устройство по п.14, отличающееся тем, что импульсная УФ-лампа размещена коаксиально продольной оси канала реактора между входом и выходом канала. 16. Устройство по п.15, отличающееся тем, что импульсная УФ-лампа размещена посередине между входом и выходом канала реактора. 17. Устройство по п.14, отличающееся тем, что в одном или нескольких модулях УФ-реактора УФ-реактор дополнительно содержит, по меньшей мере, один вспомогательный детектор уровня загрязнения. 18. Устройство по п.17, отличающееся тем, что УФ-реактор содержит два вспомогательных детектора уровня загрязнения, причем один детектор размещен на входном конце канала реактора, а другой детектор размещен на выходном конце канала реактора. 19. Устройство по п.14, отличающееся тем, что дополнительно содержит резервуар неочищенной жидкости для размещения жидкости, подлежащей дезинфекции, и трубопровод неочищенной жидкости, размещенный между резервуаром неочищенной жидкости и трубопроводом неочищенной жидкости каждого из модулей УФ-реактора и связанный с ними. 20. Устройство по п.19, отличающееся тем, что в резервуаре размещен датчик уровня неочищенной жидкости, предназначенный для восприятия изменения расхода неочищенной жидкости и передачи модулю управления выходного сигнала, указывающего изменения расхода. 21. Устройство по п.14, отличающееся тем, что дополнительно содержит трубопровод очищенной жидкости, размещенный после выходов всех модулей УФ-реактора и связанный с ними. 22. Устройство по п.14, отличающееся тем, что модуль управления содержит микропроцессор с программным обеспечением. 23. Устройство по п.14, отличающееся тем, что насос переменной скорости является поршневым насосом. 24. Устройство по п.14, отличающееся тем, что каждый модуль УФ-реактора дополнительно содержит блок управления реактором на основе микропроцессора, который электрически связан с модулем общего управления системой. 25. Устройство по п.14, отличающееся тем, что модули УФ-реактора размещены параллельно. 26. Устройство по п.14, отличающееся тем, что модули УФ-реактора размещены последовательно. РИСУНКИ
MM4A – Досрочное прекращение действия патента СССР или патента Российской Федерации на изобретение из-за неуплаты в установленный срок пошлины за поддержание патента в силе
Дата прекращения действия патента: 20.10.2007
Извещение опубликовано: 10.08.2010 БИ: 22/2010
|
||||||||||||||||||||||||||

с/см2 (милливатт-секунда на квадратный сантиметр). Проще всего выразить это следующим уравнением:
где D – доза УФ (мВт·с/см2), I – средняя интенсивность бактерицидного УФ (мВт/см2), t – время облучения (с).
Фактическую интегральную плотность потока УФ в обычном реакторе с несколькими источниками в виде ламп непрерывного действия рассчитать очень сложно, поскольку помимо учета изменчивости гидравлического расхода, обычно используют приближение “суммирования по множественным точкам источника”, чтобы отразить заметное изменение выхода УФ по объему реактора. Поле интенсивности света вокруг гипотетического точечного источника вдоль оси лампы НВ можно описать следующим уравнением:
где r, z – радиальная и продольная координаты (соответственно) в цилиндрической системе координат, ось которой совпадает с осью одного конца лампы,
I(r, z)i – интенсивность в точках с координатами (r,z) применительно к i-му точечному источнику,
Р – выходная мощность лампы,
n – количество точечных источников, используемых для представления лампы,
– расстояние от точечного источника до точек с координатами (r, z),
aq – коэффициент поглощения кварцевой оболочки,
tq – толщина кварцевой оболочки,
al – коэффициент поглощения воды,
rl – радиус лампы.
Для любых координат (r, z) суммарная интенсивность представляет собой сумму вкладов всех точечных источников в системе, что выражается следующим уравнением:
Уравнения (2) и (3) представляют собой модель суммирования по точечным источникам. Поскольку эта модель обеспечивает пространственно-зависимую информацию о поле интенсивности света, эту информацию можно использовать для прогнозирования дозы излучения, накопленной каждой частицей в потоке неочищенной жидкости. Такое прогнозирование иллюстрирует следующее уравнение:
где дозаi – доза УФ, полученная i-ой частицей,
I(t) – интенсивность УФ, зависящая от времени,
t – время,
– время нахождения частицы в облучаемом объеме.
Инактивация бактерий исторически была аппроксимирована кинетическими характеристиками первого порядка, и считается точной для “идеальных” условий, согласно закону Чика (Chik, 1908)
где N – концентрация бактерий после облучения УФ-светом,
N0 – начальная концентрация бактерий,
k – постоянная скорости инактивации (см2/Вт
где u – скорость протекания сточных вод через реактор (см/с),
х – среднее расстояние, проходимое водой, облучаемой УФ-светом (см),
Е – коэффициент рассеяния (см2/с),
К – постоянная скорости инактивации (с-1).
Скорость К инактивации, является оценкой, основанной на эмпирическом соотношении
где Iср – средняя интенсивность УФ-света в реакторе,
a, b – эмпирические коэффициенты для состояния сточных вод.
Этот способ совместно с большинством других расчетов дезинфекции, необходимых для процессов с использованием ламп непрерывного действия, следует рассматривать применительно к терминам, обычно относящимся к реактору и времени, например времени облучения, времени нахождения частицы, скорости воды в реакторе и интенсивности УФ, зависящей от времени.
Согласно настоящему изобретению использование одной импульсной лампы в каждом реакторе упрощает как точную доставку, так и определение дозы УФ. Причина в том, что способ дискретной доставки импульсной энергии, применяемый в технологии импульсных УФ-ламп, позволяет устранить из вычислений элемент, зависящий от времени. Зная расход реактора (в м3/с) и с учетом того, что изобретение предусматривает наличие этой информации в любой момент, термины “средняя интегральная плотность потока” и “время облучения” можно заменить произведением “энергия УФ (ДжUV-C) на импульс” и “частота повторения импульсов” (Гц). Это дает возможность просто и более удобно измерить дозу UV-C применительно к средней энергии UV-C на кубический метр (Дж/м3) и основать модель(и) дезинфекции на этой точно измеренной переменной.
Кроме того, коаксиальное размещение внутри реактора одного линейного источника света (импульсной УФ-лампы высокой интенсивности) дополнительно упрощает доставку УФ-света и обеспечивает менее громоздкий подход к точному расчету производительности. Преимущество состоит также в расчете фактической производительности УФ-реактора в режиме реального времени вместо того, чтобы основывать реальную работу способа обработки (и в основном) на прогнозах производительности реактора. Способ реализует это важное различие.
Общеизвестно, что различные операции УФ-дезинфекции могут более эффективно достигать нужного результата путем определения оптимальных условий доставки УФ в конкретном процессе. Этот процесс зависит от трех основных параметров: расхода жидкости, состояния жидкости (уровней загрязнения и характеристик пропускания УФ) и величины мощности УФ, поданной на мишень в виде организма или соединения. Поскольку эти три параметра доминируют в процессе и в большой степени определяют эффективность процесса, это те три фактора, с которыми оперирует изложенный здесь способ.
Хотя в патенте США №5144146 изложены идеи, относящиеся к конструкции, в которой токсичные вещества могут разрушаться под действием света импульсных УФ-ламп (применительно к ширине полосы, средней и пиковой интенсивностям и т.д.), эти идеи являются простым суммированием граничных условий, в которых почти все успешные процессы УФ-диссоциации были открыто проведены в течение последних нескольких декад. Граничные условия, указанные в патенте, действительно охватывают большое количество реальных и потенциальных операций обработки, которые совершенно не конкретизированы. То есть, переменную выходную мощность импульсных ламп можно настроить на соответствие нужным условиям УФ, оптимизированным для конкретного процесса фотодиссоциации. Если задать диапазон различных режимов доставки энергии (например среднюю и пиковую мощность и т.д.), которые полезны для всех процессов фотодиссоциации на основе импульсных УФ-ламп, то диапазон будет теми условиями, которые указаны в этом патенте.
В настоящем изобретении применяются спектры выхода импульсных ламп в различных комбинациях средней и пиковой интенсивности (и даже вне, т.е. при частоте повторения импульсов <5 Гц) в рабочих границах, указанных в патенте.
В патенте США №4336223 Хиллмана, использовали детекторы мутности в схеме обратной связи. Мутность определяется как снижение прозрачности воды по причине наличия взвешенных частиц. Мутность является одним из факторов, влияющих на способность УФ-света проходить через объем реактора, или пропускание УФ. Ничтожные количества обычно встречающихся промышленных отходов могут значительно снижать процент пропускания УФ, хотя измерения мутности в той же жидкости могут свидетельствовать о низком уровне мутности. Когда дозу УФ определяют посредством считывания низкой мутности, последовательно неточные приближения приводят к неадекватной дозе УФ.
Закон Бира-Ламберта описывает ослабление света при наличии в жидкости любого материала, поглощающего свет. Коэффициент ослабления или коэффициент Т
пропускания для светового пучка данной длины волны, где ослабление обусловлено, в основном, поглощением, выражается следующим уравнением
где 
где 
или
Хотя взвешенные частицы способны поглощать свет и участвовать в снижении коэффициента пропускания УФ, общеизвестно, что это не всегда имеет линейный эффект и также не обязательно доминирует в процессе. В любом процессе фотодиссоциации, требующем точного дозирования УФ-излучения, измерение пропускания УФ важнее, чем мутность. Поэтому процессы, опирающиеся на контроль мутности жидкости, при определении фактической дозировки УФ могут быть весьма неточными и неэффективными.
Преимущество способа, согласно изобретению, состоит в измерении пропускания УФ вместо измерения мутности и в наличии в каждом модуле УФ-реактора интерфейса детектора, используемого с одним или несколькими детекторами пропускания УФ. Такой интерфейс детектора также позволяет добавлять вспомогательные детекторы уровня загрязнения. Такие средства детектирования получат в будущем широкое распространение, обеспечивая индикацию в режиме реального времени различных загрязнений, например микроорганизмов и токсичных органических соединений. Способ и устройство, согласно изобретению, обеспечивают дополнительные и важные функции обратной связи по замкнутому циклу, которые позволяют дополнительно повысить точность и эффективность крупномасштабных применений УФ-фотодиссоциации.