Патент на изобретение №2233164
|
||||||||||||||||||||||||||
(54) СПОСОБ ПРОФИЛАКТИКИ РАЗВИТИЯ ПОСЛЕОПЕРАЦИОННЫХ СПАЕК БРЮШНОЙ ПОЛОСТИ
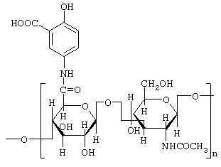
(57) Реферат: Изобретение относится к области медицины, в частности к хирургии. Способ позволяет снизить побочные эффекты при профилактики развития послеоперационных спаек брюшной полости при абдоминальных операциях и обеспечить ее эффективность. Для нанесения на операционную рану используют пленки на основе химически модифицированной гиалуроновой кислоты, а именно гиалуроновая кислота, химически связанная с 5-аминосалициловой кислотой. Изобретение относится к медицине, а именно к хирургии. Одной из существенных проблем общей хирургии является послеоперационный спаечный процесс брюшной полости (СПБП) и послеоперационные спаечные осложнения. По данным литературы основной причиной развития СПБП является травматическое повреждение брюшины и последующее воспаление ее с преобладанием пролиферативной фазы (Женчевский Р.А., 1989). Одной из современных тенденций профилактики развития СПБП является применение различных барьерных методов защиты поврежденного серозного покрова брюшины. Для профилактики СПБП широкое распространение получили препараты на основе гиалуроновой кислоты (ГК). Отличительной особенностью ГК является ее имунонейтральность, из нее достаточно легко можно получить прочные, пластичные защитные покрытия. При этом доказано наличие у ГК дезинфицирующего и ранозаживляющего действия, способность вызывать регенерацию эпителия. Модифицированная химически ГК (в виде гелей, пленок, губок) обладает хорошей биосовместимостью; замедленной по сравнению с нативной ГК скоростью регенерации; используется для предупреждения образования спаек. Технический результат – предотвращение побочного действия, повышение эффективности профилактики. Указанный технический результат достигается за счет применения для закрытия операционной раны биополимера на основе химически модифицированной гиалуроновой кислоты, а именно ГК с 5-АСК. Авторами из научно-медицинской и патентной литературы не обнаружено сведений об использовании данной комбинации для профилактики послеоперационных брюшных спаек. Таким образом, заявляемое изобретение соответствует критерию “мировая новизна”. Использование модифицированной ГК не требует применения хирургических клеев, так как обладает необходимыми адгезивными свойствами. В состав модифицированной ГК входит 5-аминосалициловая кислота (5-АСК), которая относится к классу нестероидных противовоспалительных препаратов (препарат Месалазин), обладает такими же свойствами, как ацетилсалициловая кислота, и применяется при язвенных колитах и болезни Крона [Машковский М.Д. Лекарственные средства. – Харьков: Торсинг, 1997. – Т.2. – 590 с.]. Модифицированную гиалуроновую кислоту получают следующим образом: 1 г ГК растворяют в 50 мл воды с рН=4.7-4.8, добавляют 0,238-0,476 г водорастворимого 1-(3-диметиламинопропил)-3-этилкарбодиимида. Затем этот раствор при интенсивном перемешивании приливают к 0,382 г 5-АСК, суспендированной в 40 мл воды с рН=4.7-4.8 при 40 С. После добавления всего раствора температуру реакционной смеси снижают до комнатной и реакцию проводят в течение 1-3 часов. По завершении реакции с целью удаления низкомолекулярных исходных соединений раствор модифицированной ГК диализуют против подкисленной дистиллированной воды в течение 24 часов, затем продукт очищают на колонке с оксидом алюминия и осаждают 4-х кратным объемом этилового спирта. Осадок центрифугируют, промывают спиртом, затем эфиром. Таким образом получают натриевую соль модифицированной ГК. Количество 5-АСК, ковалентно связанной с полимером, определяют фотометрическим методом при 304 нм после гидролиза точной навески продукта в 20%-ой соляной кислоте.
Модификация ГК при помощи 5-АСК позволяет существенно уменьшить растворимость полимера в воде.
Пленки, изготовленные из модифицированной ГК, были испытаны в качестве прикрытия десерозированной брюшины для профилактики развития послеоперационных спаек в брюшной полости.
Предлагаемый способ осуществляется следующим образом.
Способ апробирован в эксперименте на 30 белых крысах-самках линии Вистар массой 200 10 г. После лапаротомии производят иссечение участка париетальной брюшины (ПБ) передней стенки живота с обеих сторон размерами 2,0 1,5 см. Операционную рану ПБ смачивают стерильным физиологическим раствором и высушивают стерильной салфеткой, затем покрывают пленкой из ГК с 5-АСК. В условиях умеренной влажности пленка приклеивается сама и благодаря высокой пластичности хорошо моделируется на поверхности. Таким образом, пленка плотно закрывает дефект ПБ, препятствует склеиванию десерозированных поверхностей и ограничивает действие пери-тонеальной жидкости на область раны.
Переднюю брюшную стенку послойно зашивают непрерывными швами кетгутом.
В послеоперационном периоде на 14 сутки отмечается значительное снижение развития СПБП в опытной группе животных, по сравнению с контрольной группой.
Авторами впервые был исследован и доказан экспериментально противо-спаечный эффект данной комбинации. Таким образом, заявляемое изобретение соответствует критерию “изобретательский уровень”.
Из приведенного исследования следует, что применение биополимера на основе химически модифицированной гиалуроновой кислоты предупреждает развитие спаечного процесса в брюшной полости на срок, необходимый для мезотелизации дефектов брюшины. Способ легко воспроизводим и при использовании достигается указанный технический результат. Таким образом, изобретение соответствует критерию “промышленная применимость”.
Формула изобретения Способ профилактики развития послеоперационных спаек брюшной полости при абдоминальных операциях путем использования пленок на основе химически модифицированной гиалуроновой кислоты, отличающийся тем, что используют гиалуроновую кислоту, химически связанную с 5-аминосалициловой кислотой. MM4A Досрочное прекращение действия патента Российской Федерации на изобретение из-за неуплаты в установленный срок пошлины за поддержание патента в силе
Дата прекращения действия патента: 09.01.2005
Извещение опубликовано: 20.10.2006 БИ: 29/2006
|
||||||||||||||||||||||||||

С. После добавления всего раствора температуру реакционной смеси снижают до комнатной и реакцию проводят в течение 1-3 часов. По завершении реакции с целью удаления низкомолекулярных исходных соединений раствор модифицированной ГК диализуют против подкисленной дистиллированной воды в течение 24 часов, затем продукт очищают на колонке с оксидом алюминия и осаждают 4-х кратным объемом этилового спирта. Осадок центрифугируют, промывают спиртом, затем эфиром. Таким образом получают натриевую соль модифицированной ГК. Количество 5-АСК, ковалентно связанной с полимером, определяют фотометрическим методом при 304 нм после гидролиза точной навески продукта в 20%-ой соляной кислоте.
Модификация ГК при помощи 5-АСК позволяет существенно уменьшить растворимость полимера в воде.
Пленки, изготовленные из модифицированной ГК, были испытаны в качестве прикрытия десерозированной брюшины для профилактики развития послеоперационных спаек в брюшной полости.
Предлагаемый способ осуществляется следующим образом.
Способ апробирован в эксперименте на 30 белых крысах-самках линии Вистар массой 200
10 г. После лапаротомии производят иссечение участка париетальной брюшины (ПБ) передней стенки живота с обеих сторон размерами 2,0
1,5 см. Операционную рану ПБ смачивают стерильным физиологическим раствором и высушивают стерильной салфеткой, затем покрывают пленкой из ГК с 5-АСК. В условиях умеренной влажности пленка приклеивается сама и благодаря высокой пластичности хорошо моделируется на поверхности. Таким образом, пленка плотно закрывает дефект ПБ, препятствует склеиванию десерозированных поверхностей и ограничивает действие пери-тонеальной жидкости на область раны.
Переднюю брюшную стенку послойно зашивают непрерывными швами кетгутом.
В послеоперационном периоде на 14 сутки отмечается значительное снижение развития СПБП в опытной группе животных, по сравнению с контрольной группой.
Авторами впервые был исследован и доказан экспериментально противо-спаечный эффект данной комбинации. Таким образом, заявляемое изобретение соответствует критерию “изобретательский уровень”.
Из приведенного исследования следует, что применение биополимера на основе химически модифицированной гиалуроновой кислоты предупреждает развитие спаечного процесса в брюшной полости на срок, необходимый для мезотелизации дефектов брюшины. Способ легко воспроизводим и при использовании достигается указанный технический результат. Таким образом, изобретение соответствует критерию “промышленная применимость”.