Патент на изобретение №2233146
|
||||||||||||||||||||||||||
(54) СПОСОБ ЛЕЧЕНИЯ КИСТОЗНЫХ ФИЛЬТРАЦИОННЫХ ПОДУШЕЧЕК
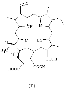
(57) Реферат: Изобретение относится к медицине, а именно в офтальмологии, и предназначено для лечения кистозных фильтрационных подушечек после антиглаукоматозных операций. Вводят в полость подушечек фотосенсебилизатор, в качестве которого используют порфирины хлоринового ряда. Воздействуют коагулирующим излучением аргонового лазера при длине волны 488-514 нм, мощности излучения аргонового лазера 0,3-0,5 Вт, диаметре фокального пятна 50-500 мкм и экспозиции 0.15-0.2 сек. Способ позволяет нормализовать внутриглазное давление, уменьшить развитие воспалительных осложнений за счет уменьшения теплового воздействия на ткани глаза. 2 з.п. ф-лы. Настоящее изобретение относится к офтальмологии, а именно к способам лечения кистозных фильтрационных подушечек, образующихся после антиглаукоматозных операций. Известно, что существует ряд хирургических и лазерных способов лечения кистозных фильтрационных подушечек. Так, например, был предложен способ аутопластики кистозно-измененных фильтрационных подушечек конъюнктивальным лоскутом. Способ заключался в том, что под контролем операционного микроскопа иссекали кистозно-измененную часть фильтрационной подушечки. Поверхность склеры очищали скребцом, производили абразию эпителия роговицы, отступя 1 мм от лимба. При зиянии склеральной раны на нее накладывали 1 узловатый биошов. Свободную от эпителия роговицу и обнаженный участок склеры тушировали 5% настойкой йода. Различные способы конъюнктивальной пластики несут угрозу рубцевания созданных в ходе антиглаукоматозной операции путей оттока водянистой влаги, повышения офтальмотонуса, послеоперационных осложнений. Наиболее близким к предлагаемому техническому решению является способ, который заключается в воздействии коагулирующего излучения аргонового лазера после предварительного введения в полость подушечек окрашенной флюреисцеином сыворотки аутокрови. На первом этапе на границе перехода кистозной подушечки в неизмененную конъюнктиву иглой для подкожных инъекций вводили 0.3-0.5 мм аутокрови. Образовавшийся в месте введения аутокрови валик смещали в направление кистозной фильтрационной подушечки, надавливая на него через конъюнктиву стеклянной палочкой. После слияния содержимого валика и кистозной фильтрационной подушечки надавливанием стеклянной палочки добивались равномерного распределения аутокрови и адаптации стенок кисты. На следующем этапе наносили коагуляты аргоновым лазером (длина волны 488-514 нм) при диаметре пятна 200-500 мкм, экспозиции 0.2-0.3 сек, мощности излучения 0.2-0.4 Вт. Коагуляты наносились концентрически по периметру кистозной фильтрационной подушечки в том месте, где осуществлялось надавливание стеклянной палочкой. Первый ряд коагулятов наносился на границе фильтрационной подушечки и здоровых тканей. В последующем наносилось до 3-4 рядов коагулятов на расстоянии 0.5-1.5 мм от предыдущего ряда, смещаясь от неизмененной конъюнктивы к центру кистозной фильтрационной подушечки. К сыворотке крови добавляли 10% раствор флюреисцеина натрия, что позволяло увеличить поглощение лазерного излучения (Сапрыкин П.И., Бакуткин В.В., Югай М.Т., Олейник А.О. “Способ лечения кистозных фильтрационных подушечек”. Авт. Свидетельство СССР №1680157, A 61 F 9/00 от 30.09.91). Недостатком данного способа является инвазивность метода забора крови у больного и меньшая эффективность лечения. Целью изобретения является повышение эффективности лазерных способов лечения кистозных фильтрационных подушечек, достижение стабильности эффекта, нормализация внутриглазного давления, сокращение сроков лечения, уменьшения развития воспалительных послеоперационных осложнений и расширение показаний. Цель достигается тем, что в полость подушечек вводят фотосенсебилизатор с последующим воздействием коагулирующим излучением аргонового лазера при длине волны 488-514 нм, мощности излучения аргонового лазера 0.3-0.5 Вт, диаметре фокального пятна 50-500 мкм и экспозиции 0.15-0.2 сек, при этом в качестве фотосенсебилизатора используют порфирины хлоринового ряда, например “Радахлорин”, 0,35%-ный раствор для внутривенного введения”, включающий щелочную соль 13-карбокси-17-[2-карбоксиэтил]-15-карбоксиметил-17,18-транс-дигидро-3-винил-8-этил-2,7,12,18-тетраметилпорфирина (хлорина е6) формулы
в количестве 80-90%, щелочную соль 13-карбокси-17-[2-карбоксиэтил]-15-формил-17,18-тронс-дигидро-3-винил-8-этил-2,7,12,18-тетраметилпорфирина (пурпурина 5) формулы
в количестве 5-20%, а также щелочную соль 13-карбокси-17-[2-карбоксиэтил]-15-карбокси-17,18-транс-дигидро-3-винил-8-этил-2,7,12,18-тетраметилпорфирина (хлорина р6) формулы
в количестве – остальное.
Субконъюнктивально производят вкол иглы для подкожных инъекций на расстоянии 3-5 мм от зоны фильтрационной подушечки. Затем иглу продвигают в субконъюнктивальных тканях в полости подушечки и вводят фотосенсебилизирующий препарат в количестве 0.1-0.3 мл. Далее по всей поверхности подушечки в произвольном порядке от периферии к центру производят коагуляцию аргоновым лазером, работающим в непрерывном режиме при следующих параметрах: длина волны 488-514 нм, мощность излучения 0.3-0.5 Вт, экспозиция 0.15-0.2 с, диаметр фокального пятна 50-500 мкм до получения подушечки заданных размеров.
Контроль за эффективностью манипуляции производят визуально при биомикроскопическом исследовании. О правильности выполнения операции судят по уменьшению подушечки до заданных размеров и по уплощению ее стенки.
Выбор диапазона длины волны соответствует одному из максимумов поглощения фотосенсебилизатора “Радахлорин”, при меньшей длине волны эффект не выражен, при большей – происходит выраженное тепловое повреждение тканей конъюнктивы.
Целесообразно использовать мощность излучения 0.3-0.5 Вт, так как при использовании мощности излучения ниже 0.3 Вт отмечается снижение желаемого эффекта, а мощность излучения 0.5 Вт позволяет его достичь. Время экспозиции определяется не более 0.2 сек, что позволяет избежать сильно выраженного теплового повреждения конъюнктивы, но и не менее 0.15 сек, так как в этом случае при вышеозначенных параметрах отсутствует желаемый эффект. Диаметр фокального пятна не должен превышать 500 мкм, так как тогда плотность энергии недостаточна для коагуляции ткани в должной степени, и не должен быть меньше 50 мкм из-за возможности выраженного повреждающего действия на ткани вследствие высокой плотности энергии.
Изобретение иллюстрируется следующими примерами.
Пример 1. Больной И., 65 лет, поступил в клинику в ноябре 2001 г с диагнозом: оперированная открытоугольная IIА глаукома, кистозная фильтрационная подушечка левого глаза. Операция – синусотрабекулоэктомия произведена в июле 2001 г. Внутриглазное давление Р0 18 мм рт.ст. Острота зрения 0,6. Жалобы на дискомфорт и умеренное слезотечение. Однокамерная кистозно-истонченная фильтрационная подушечка 4 6 мм.
Под местной эпибульбарной анестезией субконъюнктивально произведен вкол иглы для подкожных инъекций на расстоянии 3 мм от зоны фильтрационной подушечки. Далее игла продвинута в субконъюнктивальных тканях в полость подушечки, после чего туда введен фотосенсебилизирующий препарат, а именно фотосенсебилизатор “Радахлорин”, 0.35%-ный раствор для внутривенного введения в количестве 0.2 мл. Затем произведена лазерная коагуляция аргоновым лазером, работающим в непрерывном режиме (длина волны 488-514 нм) при мощности излучения 0.5 Вт, экспозиции 0.2 сек, диаметре пятна 500 мкм. Количество коагулятов 50, нанесены по всей поверхности подушечки в произвольном порядке от периферии к центру.
В послеоперационном периоде отмечались умеренные боли, легкая инъекция конъюнктивы, которые прошли через сутки. Жалобы на дискомфорт и слезотечение прекратились через двое суток.
Уплощение кистозной фильтрационной подушечки удалось добиться за 1 сеанс. Через 2 недели – фильтрационная подушечка разлитого типа 3 5 мм, стенка ее заметно утолщилась. Внутриглазное давление оставалось стабильным. Острота зрения 0,7.
Пример 2. Больная Б., 62 года, поступила в клинику в январе 2002 г с диагнозом: оперированная открытоугольная IIА глаукома, кистозная фильтрационная подушечка правого глаза, гипотония. Операция – синусотрабекулоэктомия. Внутриглазное давление Р0 13 мм рт.ст. Острота зрения 0,3.
Жалобы на чувство инородного тела под верхним веком. Куполообразная кистозно-истонченная фильтрационная подушечка 5 7,5 мм.
После субконъюнктивального вкола иглы для подкожных инъекций на расстоянии 5 мм от зоны фильтрационной подушечки на фоне местной эпибульбарной анестезии, игла продвинута в субконъюнктивальных тканях в полость подушечки, после чего туда введен фотосенсебилизирующий препарат, а именно фотосенсебилизатор “Радахлорин”, 0.35%-ный раствор для внутривенного введения в количестве 0.3 мл. Затем произведена лазерная коагуляция аргоновым лазером, работающим в непрерывном режиме (длина волны 488-514 нм) при мощности излучения 0.4 Вт, экспозиции 0.2 сек, диаметре пятна 200 мкм. Количество коагулятов 55, нанесены по всей поверхности подушечки в произвольном порядке от переферии к центру.
В послеоперационном периоде отмечались незначительные боли, легкая инъекция конъюнктивы и умеренная светобоязнь, которые прошли к концу первых суток. Жалобы на чувство инородного тела уменьшились через двое суток и прекратились к концу седьмых суток. Уплощение кистозной фильтрационной подушечки удалось добиться за 1 сеанс. Через 2,5 недели фильтрационная подушечка разлитого типа 4 5,5 мм, стенка ее заметно утолщилась. Внутриглазное давление Р0 17 мм рт.ст. Острота зрения 0,4.
Пример 3. Больной К., 66 лет, поступил в клинику в марте 2002 г с диагнозом: оперированная открытоугольная IIА глаукома,кистозная фильтрационная подушечка, гипотония, миопия высокой степени правого глаза. Операция – трабекулоэктомия. Внутриглазное давление Р0 9 мм рт.ст. Острота зрения 0,5. Жалобы на чувство инородного тела под верхним веком, дискомфорт, умеренное слезотечение. Многокамерная кистозно-истонченная фильтрационная подушечка 3 5 мм.
Под местной эпибульбарной анестезией субконъюнктивально произведен вкол иглы для подкожных инъекций на расстоянии 4 мм от зоны фильтрационной подушечки. Далее игла продвинута в субконъюнктивальных тканях в полость подушечки, после чего туда введен фотосенсебилизирующий препарат, а именно фотосенсебилизатор “Радахлорин”, 0.35%-ный раствор для внутривенного введения в количестве 0.1 мл. Затем произведена лазерная коагуляция аргоновым лазером, работающим в непрерывном режиме (длина волны 488-514 нм) при мощности излучения 0.3 Вт, экспозиции 0.15 сек, диаметре пятна 50 мкм. Количество коагулятов 60, нанесены по всей поверхности подушечки в произвольном порядке от переферии к центру.
В послеоперационном периоде отмечались умеренные боли, инъекция конъюнктивы, которые прошли к концу вторых суток. Жалобы на чувство инородного тела значительно уменьшилось к концу третьих суток и прошли на пятые сутки. Уплощение кистозной фильтрационной подушечки удалось добиться за 1 сеанс.
Через 3 недели фильтрационная подушечка разлитого типа 2 4 мм, стенка ее заметно утолщилась. Внутриглазное давление Р0 14 мм рт.ст. Острота зрения 0,6.
Формула изобретения 1. Способ лечения кистозных фильтрационных подушечек путем введения в полость подушечек фотосенсебилизатора с последующим воздействием коагулирующим излучением аргонового лазера при длине волны 488-514 нм, отличающийся тем, что в качестве фотосенсебилизатора используют порфирины хлоринового ряда. 2. Способ по п.1, отличающийся тем, что процесс ведут при мощности излучения аргонового лазера 0,3-0,5 Вт, диаметре фокального пятна 50-500 мкм и экспозиции 0,15-0,2 с. 3. Способ по пп.1 и 2, отличающийся тем, что в качестве фотосенсебилизатора используют фотосенсебилизатор “Радахлорин”, включающий щелочную соль 13-карбокси-17-[2-карбоксиэтил]-15-карбоксиметил-17,18-транс-дигидро-3-винил-8-этил-2,7,12,18-тетраметилпорфирина (хлорина е6) в количестве 80-90%, щелочную соль 13-карбокси-17-[2-карбоксиэтил]-15-формил-17,18-транс-дигидро-3-винил-8-этил-2,7,12,18-тетраметилпорфирина (пурпурина 5) в количестве 5-20%, а также щелочную соль 13-карбокси-17-[2-карбоксиэтил]-15-карбокси-17,18-транс-дигидро-3-винил-8-этил-2,7,12,18-тетраметилпорфирина (хлорина р6) в количестве остальное. |
||||||||||||||||||||||||||

в количестве 80-90%, щелочную соль 13-карбокси-17-[2-карбоксиэтил]-15-формил-17,18-тронс-дигидро-3-винил-8-этил-2,7,12,18-тетраметилпорфирина (пурпурина 5) формулы
в количестве 5-20%, а также щелочную соль 13-карбокси-17-[2-карбоксиэтил]-15-карбокси-17,18-транс-дигидро-3-винил-8-этил-2,7,12,18-тетраметилпорфирина (хлорина р6) формулы
в количестве – остальное.
Субконъюнктивально производят вкол иглы для подкожных инъекций на расстоянии 3-5 мм от зоны фильтрационной подушечки. Затем иглу продвигают в субконъюнктивальных тканях в полости подушечки и вводят фотосенсебилизирующий препарат в количестве 0.1-0.3 мл. Далее по всей поверхности подушечки в произвольном порядке от периферии к центру производят коагуляцию аргоновым лазером, работающим в непрерывном режиме при следующих параметрах: длина волны 488-514 нм, мощность излучения 0.3-0.5 Вт, экспозиция 0.15-0.2 с, диаметр фокального пятна 50-500 мкм до получения подушечки заданных размеров.
Контроль за эффективностью манипуляции производят визуально при биомикроскопическом исследовании. О правильности выполнения операции судят по уменьшению подушечки до заданных размеров и по уплощению ее стенки.
Выбор диапазона длины волны соответствует одному из максимумов поглощения фотосенсебилизатора “Радахлорин”, при меньшей длине волны эффект не выражен, при большей – происходит выраженное тепловое повреждение тканей конъюнктивы.
Целесообразно использовать мощность излучения 0.3-0.5 Вт, так как при использовании мощности излучения ниже 0.3 Вт отмечается снижение желаемого эффекта, а мощность излучения 0.5 Вт позволяет его достичь. Время экспозиции определяется не более 0.2 сек, что позволяет избежать сильно выраженного теплового повреждения конъюнктивы, но и не менее 0.15 сек, так как в этом случае при вышеозначенных параметрах отсутствует желаемый эффект. Диаметр фокального пятна не должен превышать 500 мкм, так как тогда плотность энергии недостаточна для коагуляции ткани в должной степени, и не должен быть меньше 50 мкм из-за возможности выраженного повреждающего действия на ткани вследствие высокой плотности энергии.
Изобретение иллюстрируется следующими примерами.
Пример 1. Больной И., 65 лет, поступил в клинику в ноябре 2001 г с диагнозом: оперированная открытоугольная IIА глаукома, кистозная фильтрационная подушечка левого глаза. Операция – синусотрабекулоэктомия произведена в июле 2001 г. Внутриглазное давление Р0 18 мм рт.ст. Острота зрения 0,6. Жалобы на дискомфорт и умеренное слезотечение. Однокамерная кистозно-истонченная фильтрационная подушечка 4
6 мм.
Под местной эпибульбарной анестезией субконъюнктивально произведен вкол иглы для подкожных инъекций на расстоянии 3 мм от зоны фильтрационной подушечки. Далее игла продвинута в субконъюнктивальных тканях в полость подушечки, после чего туда введен фотосенсебилизирующий препарат, а именно фотосенсебилизатор “Радахлорин”, 0.35%-ный раствор для внутривенного введения в количестве 0.2 мл. Затем произведена лазерная коагуляция аргоновым лазером, работающим в непрерывном режиме (длина волны 488-514 нм) при мощности излучения 0.5 Вт, экспозиции 0.2 сек, диаметре пятна 500 мкм. Количество коагулятов 50, нанесены по всей поверхности подушечки в произвольном порядке от периферии к центру.
В послеоперационном периоде отмечались умеренные боли, легкая инъекция конъюнктивы, которые прошли через сутки. Жалобы на дискомфорт и слезотечение прекратились через двое суток.
Уплощение кистозной фильтрационной подушечки удалось добиться за 1 сеанс. Через 2 недели – фильтрационная подушечка разлитого типа 3