Патент на изобретение №2232746
|
||||||||||||||||||||||||||
(54) СПОСОБ ПОЛУЧЕНИЯ ВОЗМОЖНО ЗАМЕЩЕННЫХ П-ГИДРОКСИМИНДАЛЬНЫХ СОЕДИНЕНИЙ
(57) Реферат: Изобретение относится к усовершенствованному способу получения п-гидроксиминдальных соединений путем конденсации в воде, в присутствии щелочного агента, ароматического соединения, содержащего по меньшей мере одну гидроксильную группу и имеющего свободное параположение, с глиоксиловой кислотой. Способ заключается в конденсации гидроксилсодержащего ароматического соединения, соответствующего формуле I: в которой: положение пара является свободным, х равен целому числу от 0 до 4, R обозначает: – углеводородную группу с 1-20 атомами углерода, выбранную из групп алкила, алкоксила, гидроксиалкила, циклоалкила, арила, фенокси, алкоксиалкила, фторалкила, гидроксиалкоксиалкилена; – гидроксильную группу; – группу -СНО; – ацильную группу, имеющую от 2 до 6 атомов углерода; – атом галогена; – две группы R, связанные с двумя соседними атомами углерода; могут вместе с этими атомами углерода образовывать бензольный цикл; с глиоксиловой кислотой, в присутствии соединения, имеющего по меньшей мере две карбоксильные группы, соответствующего формуле (II): HOOC-R1-COOH (II), в которой R1 обозначает валентную связь или углеводородный радикал, содержащий от 1 до 40 атомов углерода, который может быть насыщенным или ненасыщенным, нормальным или разветвленным ациклическим алифатическим радикалом; моно- или полициклическим карбоциклическим радикалом насыщенным, ненасыщенным или ароматическим; моно- или полициклическим гетероциклическим радикалом насыщенным, ненасыщенным или ароматическим. 32 з.п.ф-лы, 2 табл.
Предметом настоящего изобретения является способ получения возможно замещенных п-гидроксиминдальных соединений и их производных.
В следующем ниже изложении изобретения под выражением “возможно замещенные п-гидроксиминдальные соединения” подразумеваются ароматические соединения, содержащие по меньшей мере одну группу -СНОН-СООН в параположении к гидроксильной группе.
Более конкретно, настоящее изобретение относится к получению п-гидроксиминдальной кислоты и 3-метокси-п-гидроксиминдальной кислоты.
Один из классических путей синтеза п-гидроксиминдальных кислот состоит в осуществлении конденсации в щелочной среде глиоксиловой кислоты с фенолом и/или соответствующими производными.
Выход названных выше кислот ограничен тем, что реакция конденсации не является селективной и приводит к одновременному образованию о-гидроксиминдальных и диминдальных кислот.
Кроме того, выход реакции снижается из-за вторичной побочной реакции. Действительно, глиоксиловая кислота в водно-щелочной среде превращается по реакции Канницаро в щавелевую и гликолевую кислоты.
С целью предотвращения того, чтобы названная реакция Канницаро стала преобладающей и разрушала глиоксиловую кислоту, в патенте FR-A 2132364 предложено проводить реакцию конденсации в разбавленной водной среде при низкой или комнатной температуре.
С учетом трудности получения удовлетворительных выходов реакции, является важным регулировать различные параметры процесса и, в частности, качество используемой для реакции глиоксиловой кислоты.
Наиболее важный с промышленной точки зрения процесс получения глиоксиловой кислоты состоит в окислении глиоксаля азотной кислотой. При этом получают водные растворы глиоксиловой кислоты, которые кроме непрореагировавшего глиоксаля содержат также щавелевую кислоту, органические кислоты, такие как муравьиная, уксусная и гликолевая кислоты, а также азотную кислоту.
Поиски новых методов выделения и очистки глиоксиловой кислоты продолжаются до настоящего времени.
В частности, в патенте DE-A 1198339 предложен способ, в котором прежде всего удаляется азотная кислота, затем щавелевая кислота с помощью анионообменных смол и затем глиоксаль и другие примеси с использованием перенасыщения раствора и последующей кристаллизации.
В DE-A 2501743 предлагается способ, в котором глиоксиловую кислоту отделяют от этих примесей экстракцией с помощью алифатических или алициклических спиртов или сложных эфиров алифатических спиртов с низкой степенью углеродной конденсации.
В FR-A 2552426 описан также способ получения водных растворов глиоксиловой кислоты, не содержащих другие кислоты, состоящий в обработке исходного раствора органическим азотсодержащим соединением, преимущественно третичным амином, при температуре не выше 50 С с последующим извлечением глиоксиловой кислоты путем исчерпывающего экстрагирования органической фазы водой при более высокой температуре.
Таким образом, в настоящее время отмечается постоянное стремление получить раствор глиоксиловой кислоты, освобожденный от названных выше примесей.
В противоположность этой тенденции, обнаружено, что при получении возможно замещенных п-гидроксиминдальных соединений конденсация глиоксиловой кислоты с соответствующим фенолом осуществляется с более высоким выходом, если реакцию проводить в присутствии определенного количества дикарбоновой кислоты.
Конкретным предметом настоящего изобретения является способ получения возможно замещенных п-гидроксиминдальных соединений и их производных, состоящий в осуществлении конденсации в воде в присутствии щелочного агента ароматических соединений, содержащих по меньшей мере одну гидроксильную группу и имеющих свободное параположение, с глиоксиловой кислотой, отличающийся тем, что реакцию проводят в присутствии эффективного количества соединения, имеющего по крайней мере две карбоксильные функции.
Согласно способу изобретения, использование катализатора изобретения позволяет повысить выход реакции.
Другим преимуществом способа изобретения является то, что в нем может быть использована техническая глиоксиловая кислота, содержащая наряду с другими примесями щавелевую кислоту.
Способ изобретения более конкретно применим к фенолу, а также к замещенным фенолам, имеющим незамещенное параположение.
Ароматическое ядро содержит по меньшей мере одну гидроксильную группу, но может быть также замещено еще одной или несколькими другими группами. Обычно под несколькими заместителями предполагается менее четырех заместителей в ароматическом ядре.
Возможно присутствие любого заместителя, если он не принимает участия в реакции изобретения.
Таким образом, способ изобретения хорошо подходит для гидроксилсодержащих ароматических соединений, соответствующих приведенной ниже формуле I:
в которой:
– положение пара является свободным,
– x равен целому числу от 0 до 4,
– R обозначает:
– утлеводородсодержащую группу с 1-20 атомами углерода, выбранную из групп алкил, алкокси, гидроксиалкил, циклоалкил, арил, фенокси, алкоксиалкил, фторалкил, гидроксиалкоксиалкилен;
– гидроксильную группу;
– группу -СНО;
– ацильную группу, имеющую от 2 до 6 атомов углерода;
– атом галогена, преимущественно атом фтора, хлора или брома;
– две группы R, связанные с двумя вицинальными атомами углерода, могут совместно с этими атомами углерода образовывать бензольный цикл.
Ниже приведены примеры радикалов R, которые могут быть заместителями в ароматическом ядре:
– алкильные радикалы, такие как метил, этил, пропил, изопропил, бутил, изобутил, втор-бутил, трет-бутил, н-октил, 2-этилгексил, децил, октадецил, эйкозил;
– алкокси-радикалы, такие как метокси, этокси, пропокси, изопропокси, бутокси, изобутокси, втор-бутокси, трет-бутокси, гексилокси, децилокси, гексадецилокси, октадецилокси или фенокси;
– гидроксиалкильные радикалы, такие как гидроксиметил, гидроксиэтил, гидроксипропил, гидроксигексил, гидроксидецил;
– циклоалкильные радикалы, такие как циклопентил, циклогексил, циклогептил;
– фторалкильные радикалы, такие как фторметил, дифторметил, трифторметил, фторэтил, 1,1,1-трифторэтил, пентафторэтил, фторпропил, фторбутил, трифторамил;
– гидроксиалкоксиалкиленовые радикалы, такие как гидроксиметилоксиэтилен, гидроксиэтил-ди(оксиэтилен), гидроксиэтил-три(оксиэтилен), гидроксиэтилоксипропил-1,2-ен, гидроксиэтилоксибутилен, гидроксипропилоксипропилен, гидроксибутилоксибутилен, гидроксибутил-ди(оксибутилен);
– атомы галогена, такие как фтор, хлор, бром или йод.
В способе изобретения наиболее предпочтительно использование гидроксилсодержащих ароматических соединений, соответствующих общей формуле I, в которой:
– x равен 0, 1, 2 или 3;
– R обозначает одну из следующих функций:
– атом водорода;
– нормальный или разветвленный алкильный радикал, имеющий от 1 до 10, преимущественно от 1 до 4 атомов углерода;
– нормальный или разветвленный алкокси-радикал, имеющий от 1 до 10, преимущественно от 1 до 4 атомов углерода;
– группу -ОН;
– группу -СНО;
– атом галогена;
– группу –СF3.
Еще более предпочтительны соединения, выбранные из соединений формулы I, в которой радикалы R, одинаковые или разные, обозначают атом водорода, нормальный или разветвленный С1-С4-алкильный радикал, такой как метил, этил, н-пропил, изопропил, н-бутил или изобутил, нормальный или разветвленный алкокси-радикал, такой как метокси или этокси, группу -СНО или атом хлора, и x преимущественно равен 0 или 1.
В качестве примера соединений, соответствующих формуле I, можно упомянуть:
– соединения, соответствующие формуле I, в которой x равен 0, такие как фенол,
– соединения, соответствующие формуле I, в которой x равен 1, такие как:
– пирокатехин
– резорцин
– о-крезол
– m-крезол
– 2-этилфенол
– 3-этилфенол
– 2-пропилфенол
– 2-втор-бутилфенол
– 2-трет-бутилфенол
– 3-трет-бутилфенол
– 2-метоксифенол (гваякол)
– 3-метоксифенол
– 2-этоксифенол (кветол)
– 2-изопропоксифенол
– салициловый альдегид
– метилсалицилат
– 2-хлорфенол
– 3-хлорфенол
– 3-нитрофенол
– соединения, соответствующие формуле I, в которой x равен 2, такие как:
– 2,3-диметилфенол
– 2,5-диметилфенол
– 3,5-диметилфенол
– 2-гидрокси-5-ацетамидо-бензальдегид
– 2-гидрокси-5-этамидо-бензальдегид
– 2,3-дихлорфенол
– 2,5-дихлорфенол
– 3,5-дихлорфенол
– пирогаллол,
– соединения, соответствующие формуле I, в которой x равен 3, такие как:
– 2,3,5-триметилфенол
– 3,5-ди-трет-бутилфенол
– 2,3,5-трихлорфенол
– соединения, соответствующие формуле I, представляющей собой нафталиновый радикал, такие как:
– 1-нафтол
– 2-нафтол
– 1,2-дигидроксинафталин
– 1,5-дигидроксинафталин
– 2,3-дигидроксинафталин
– 2,6-дигидроксинафталин
– 2,7-дигидроксинафталин
– 6-бром-2-нафтол
– соединения, соответствующие формуле I, представляющей собой последовательность бензольных ядер, такие как:
– 2-феноксифенол
– 3-феноксифенол.
Из приведенного выше списка соединений предпочтительно используются следующие ароматические соединения, замещенные по меньшей мере одной гидроксильной группой: фенол, о-крезол, м-крезол, 3-этилфенол, 2-трет-бутилфенол, гваякол и кветол.
В том, что касается природы используемого катализатора, можно назвать кислоту, имеющую по крайней мере две карбоксильные функции и соответствующую приведенной ниже формуле II:
в которой R1 обозначает валентную связь или возможно замещенный углеводородный радикал, содержащий от 1 до 40 атомов углерода.
Более конкретно, R1 в формуле II обозначает замещенный или незамещенный, насыщенный или ненасыщенный, нормальный или разветвленный алифатический ациклический углеводородный радикал; насыщенный, ненасыщенный или ароматический, моноциклический или полициклический карбоциклический радикал: или насыщенный, ненасыщенный или ароматический, моноциклический или полициклический гетероциклический радикал.
Особенно хорошо подходят для использования в способе изобретения соединения с по крайней мере двумя карбоксильными функциями формулы II, в которой R1 обозначает валентную связь или двухвалентный радикал, содержащий преимущественно от 1 до 15 атомов углерода.
Особенно хорошо подходят для использования в способе изобретения соединения с по крайней мере двумя карбоксильными функциями формулы II, в которой R1 обозначает насыщенный или ненасыщенный, нормальный или разветвленный алифатический ациклический остаток.
Более конкретно, R1 обозначает нормальный или разветвленный алифатический ациклический остаток, содержащий преимущественно от 1 до 12 атомов углерода, который может быть насыщенным или содержать в цепи одну или несколько ненасыщенных связей, преимущественно от одной до трех, ненасыщенных связей, которые могут быть простыми или сопряженными двойными связями или тройными связями.
Углеводородная цепь может при этом быть:
(1) прерванной одной из следующих групп, обозначаемых Y:
в формулах которых R2 обозначает водород или нормальный или разветвленный алкильный радикал с 1-4 атомами углерода, преимущественно метил или этил, или радикал типа -(СН2)p-СООН, в котором р является целым числом от 1 до 5;
(2) и/или иметь следующие заместители:
-ОН: -СООН; -СНО; -NO2, -CN; -NH2; -SH; -X; -СF3;
-NH-[(СН2)p-СООН] или -N-[(СН2)p-СООН]2,
где Х обозначает атом галогена, преимущественно атом фтора, хлора или брома, и p имеет приведенные выше значения.
Подходящими для использования в способе изобретения являются также соединения с по крайней мере двумя карбоксильными функциями формулы II, в которой R1 обозначает моноциклический или полициклический ароматический углеводородный остаток.
R1 преимущественно обозначает ароматический углеводородный остаток, в частности остаток бензола, соответствующий общей формуле III:
в которой:
– n является целым числом от 0 до 4, преимущественно от 0 до 3:
– R3 обозначает одну из следующих групп или функций:
– атом водорода,
– нормальный или разветвленный С1-С4-алкильный радикал,
– нормальный или разветвленный С1-С4-алкокси-радикал,
– радикал метилен или этилендиокси,
– группу -СНО,
– фенильный или бензильный радикал,
– атом галогена.
Еще более предпочтительны соединения формулы II, в которой радикал R1 соответствует формуле III, в которой радикалы R3, одинаковые или разные, обозначают атом водорода, радикал метил, радикал метокси или группу -СНО.
Соединения с по крайней мере двумя карбоксильными функциями могут соответствовать общей формуле II, в которой радикал R1 обозначает двухвалентный полициклический ароматический углеводородный остаток, в котором циклы могут образовывать между собой орто-конденсированные или орто- и пери-конденсированные системы. Можно, в частности, назвать нафтиленовый остаток, где циклы могут быть замещены 1-4, преимущественно 1-3, радикалами R3, значения которых названы выше для заместителей ароматического углеводородного остатка общей формулы III.
В формуле II соединений, имеющих по меньшей мере две карбоксильные функции, R1 означает также остаток насыщенного карбоциклического радикала или может содержать 1-2 ненасыщенных связей в цикле, содержащем обычно 3-7 атомов углерода, предпочтительно 6 атомов углерода в цикле; причем этот цикл может быть замещен 1-5 радикалами R3, предпочтительно 1-3 радикалами, при этом R3 имеет указанные выше значения для заместителей ароматического углеводородного остатка формулы (III).
В качестве предпочтительных примеров радикалов R1 можно назвать циклогександиильные радикалы, которые могут быть замещены нормальными или разветвленными С1-С4-алкильными радикалами.
Соединения с по крайней мере двумя карбоксильными функциями могут также соответствовать общей формуле II, в которой радикал R1 обозначает двухвалентный радикал, образуемый последовательностью от двух до четырех определенных выше остатков: алифатических, ароматических или циклоалифатических. Последние могут быть связаны между собой либо валентной связью, либо функциональной группой, которая, в частности, может быть группой, выбранной из групп, обозначенных Y.
Ниже приведены несколько примеров радикалов R1:
-СН2-С6Н4-;
-СН2-СН2-С6Н4-;
-СН2-O-С6Н4-;
-СН2-O-С6Н4-СН2-;
-С6Н4-С6Н4-;
-С6Н4-СН2-С6Н4-;
-С6Н4-O-С6Н4-;
-СН2-С6Н4-СН2-С6Н4-СН2-.
В качестве подходящих для настоящего изобретения катализаторов можно особо выделить следующие соединения с по крайней мере двумя карбоксильными функциями:
– алифатические дикарбоновые кислоты, такие как:
– щавелевая кислота
– малоновая кислота
– янтарная кислота
– глутаровая кислота
– адипиновая кислота
– 2,4-диметиладипиновая кислота
– пимелиновая кислота
– суберовая кислота
– азелаиновая кислота
– себациновая кислота
– додекандиовая кислота
– фумаровая кислота
– малеиновая кислота
– циклоалкандикарбоновые кислоты, такие как циклогексан-1,4-дикарбоновая кислота,
– ароматические дикарбоновые кислоты, такие как:
– фталевая кислота
– изофталевая кислота
– терефталевая кислота
– фенилендиуксусная кислота
– нафталин-1,5-дикарбоновая кислота
– нафталин-1,6-дикарбоновая кислота
– дифенил-4,4’-дикарбоновая кислота
– дифенил-3,3’-дикарбоновая кислота
– бис[(4-гидроксикарбонил)фенил]оксид
– бис[(3-гидроксикарбонил)фенил]оксид
– 4,4’-(дигидроксикарбонил)дифенилсульфон
– 3,3’-(дигидроксикарбонил)дифенилсульфон
– дикарбоновые кислоты пиримидинового или имидазольного ряда.
В списке названных выше дикарбоновых кислот преимущественно используются щавелевая кислота, малоновая кислота, янтарная кислота, глутаровая кислота, адипиновая кислота, себациновая кислота, фталевая кислота, изофталевая кислота и терефталевая кислота.
Прекрасно подходят для использования в способе изобретения и аминополикарбоновые кислоты. В качестве примеров аминополикарбоновых кислот, пригодных для использования в способе изобретения, могут быть наряду с другими названы:
– этилендиаминтетрауксусная кислота (ЭДТА)
– диэтилентриаминпентауксусная кислота (ДТПА)
– нитрилоуксусная кислота
– N-(2-гидроксиэтил)этилендиаминотриуксусная кислота (ГЭДТА).
Из названных выше аминополикарбоновых кислот предпочтение отдается этилендиаминтетрауксусной кислоте.
Согласно способу изобретения, реакцию проводят в присутствии гидроксида щелочного металла, в частности гидроксида натрия или калия.
Из соображений экономического характера предпочтение отдается гидроксиду натрия.
Что касается концентраций и количеств используемых реагентов, предпочтительные условия определены ниже.
Согласно способу изобретения, глиоксиловую кислоту используют в виде раствора. Концентрация этого раствора не имеет критического характера и может варьироваться в широких пределах, например от 15 до 70 мас.%. При этом предпочтительно используются коммерческие растворы, концентрация которых составляет приблизительно 50%.
Согласно способу изобретения, проводят реакцию глиоксиловой кислоты с гидроксилсодержащим ароматическим соединением формулы I, взятым в избытке. Мольное отношение гидроксилсодержащего ароматического соединения формулы I к глиоксиловой кислоте колеблется в пределах от 1,5 до 4,0 и преимущественно выбирается в пределах от 2,0 до 3,0.
Концентрация используемого раствора гидроксида щелочного металла обычно составляет от 10 до 50 мас.%. Концентрация исходного раствора не имеет принципиального значения. Однако, поскольку предпочтительна невысокая концентрация гидроксилсодержащего ароматического соединения формулы I в реакционной среде, для разбавления последней используют разбавленный раствор гидроксида щелочного металла.
Количество вводимого в реакционную среду гидроксида щелочного металла определяется тем его количеством, которое необходимо для образования соли с гидроксильной функцией гидроксилсодержащего ароматического соединения формулы I, и количеством, необходимым для образования соли с карбоксильной функцией глиоксиловой кислоты.
Если гидроксилсодержащее ароматическое соединение формулы I обладает другими, отличными от гидроксила солеобразующими функциями, то в этом случае гидроксид щелочного металла вводят в количестве, необходимом для образования соли со всеми способными к образованию соли функциями, которые могут быть гидроксильными группами и/или карбоксильными функциями СООН.
Как правило, количество гидроксида щелочного металла может варьировать в широких пределах и быть равным или близким к стехиометрическому или же быть в избытке. Обычно количество гидроксида щелочного металла изменяется от 80 до 120% от стехиометрического количества.
Концентрация гидроксилсодержащего ароматического соединения формулы I составляет преимущественно от 0,5 до 1,5 моль/л и предпочтительно близка к значению 1 моль/л.
В том, что касается используемого количества катализатора, последнее определяется тем, что мольное отношение катализатора к гидроксилсодержащему ароматическому соединению формулы I должно составлять от 0,005 до 0,025 и преимущественно от 0,01 до 0,02.
Используемое количество катализатора, выражаемое через отношение числа молей катализатора к числу молей глиоксиловой кислоты, составляет преимущественно от 0,5 до 2,5 и, предпочтительно, от 1 до 2%.
Предпочтительным катализатором является щавелевая кислота.
Коммерческие растворы глиоксиловой кислоты могут содержать очень малые количества щавелевой кислоты. Щавелевая кислота реакции, таким образом, частично поставляется исходным раствором. В этом случае для соблюдения названных выше соотношений необходимо дополнить количество щавелевой кислоты добавлением щавелевой или любой другой дикарбоновой кислоты.
Согласно предпочтительному варианту изобретения, используют раствор глиоксиловой кислоты с концентрацией щавелевой кислоты от 0,6 до 3 и, предпочтительно, от 1,2 до 2,6% от массы глиоксиловой кислоты.
Температуру реакции выбирают преимущественно от 20 до 60 и, предпочтительно, от 30 до 40 С.
Процесс изобретения осуществляют при атмосферном давлении, но в контролируемой атмосфере инертных газов, преимущественно азота или благородных газов, предпочтительно в атмосфере азота.
Ниже приводится предпочтительный вариант практического осуществления изобретения.
В реакционную среду, содержащую гидроксилсодержащее ароматическое соединение формулы I, воду и гидроксид щелочного металла в количестве, необходимом для солеобразования с гидроксильной группой и другими способными к солеобразованию функциями, которые могут содержаться в соединении формулы I, вводят раствор глиоксиловой кислоты и катализатор и одновременно с этим раствор гидроксида щелочного металла в количестве, необходимом для образования соли с функцией СООН.
Реакционную среду перемешивают при температуре, выбранной в указанном выше интервале температур, в течение периода времени от 1 до 10 ч.
Другой вариант исполнения изобретения состоит в добавлении катализатора реакции не в водном растворе глиоксиловой кислоты, но одновременно с гидроксилсодержащим ароматическим соединением формулы I.
В конце реакции выделяют возможно замещенную п-гидроксиманделовую кислоту, полученную в форме соли с использованием классических методов выделения, в частности с использованием кристаллизации.
Способ изобретения особенно хорошо применим в том случае, когда используют водный раствор глиоксиловой кислоты, содержащий монофункциональные кислоты, такие как уксусная, муравьиная и гликолевая кислоты и, в частности, когда присутствует уксусная кислота в концентрации от 0,1 до 3%.
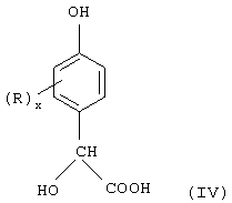
Способ изобретения приводит к получению возможно замещенных п-гидроксиманделовых соединений, которые могут быть представлены приведенной ниже формулой IV:
в которой R и x имеют значения, приведенные для формулы I.
Полученные продукты представляют особый интерес, поскольку они являются полупродуктами, дающими в числе прочего возможность получать при восстановлении гидроксиарилуксусные кислоты и при окислении гидроксиарилглиоксиловые кислоты (т.е. гидроксиарил- -оксоуксусные кислоты) или гидроксиароматические альдегиды.
Предпочтительным применением изобретения является получение гидроксиароматических альдегидов путем окисления получаемых в соответствии с изобретением соединений формулы IV.
Окисление соединений формулы IV может быть осуществлено в соответствии с описанными в литературе методами. В частности, можно сослаться на Р. Hebert [Bull. Soc. Chim. France, 27, p. 45-55 (1920)] и на Nagai Shigeki et al. [JP-A 76/128934]. Окисление может осуществляться с помощью кислорода или воздуха под давлением в присутствии подходящего катализатора, такого, например, как производные хрома, кобальта, меди, ванадия или осмия.
Таким образом, изобретение позволяет легко получать 4-гидроксибензальдегид и ванилин и его аналоги, например 3-этил-3-изопропилванилин, путем окисления, соответственно, п-гидроксиминдальной кислоты и 3-метокси-п-гидроксиминдальной, 3-этокси-п-гидроксиминдальной и 3-изопропокси-п-гидроксиминдальной кислот.
Приведенные ниже примеры иллюстрируют изобретение, не ограничивая при этом его объем.
В этих примерах процентные доли даются в весовых % (мас.%).
Использованные в примерах сокращения имеют следующие значения:
Пример 1
В 1-л стеклянный реактор, оборудованный двойными стенками, рН-электродом, датчиком температуры, холодильником, вводом для инертного газа и механической мешалкой, загружают:
– 600 г дистиллированной воды,
– 91,6 (0,687 моль) 30%-ного водного раствора едкого натра и
– 93 г (0,750 моль) гваякола.
Создают инертную атмосферу и поднимают температуру реакционной смеси до 35 С и одновременно в течение 2 ч добавляют 50,7 г (0,380 моль) 30%-ного водного раствора едкого натра и 55,2 г 50%-ного водного раствора глиоксиловой кислоты. Вместе с глиоксиловой кислотой добавляют щавелевую кислоту, используемую в количестве, составляющем 0,75% от массы раствора глиоксиловой кислоты.
Используемый раствор глиоксиловой кислоты содержит 0,3% щавелевой кислоты, низших карбоновых кислот, таких как уксусная кислота (0,9%), а также муравьиная и гликолевая кислоты (каждая в количестве ниже 0,1%).
Выдерживают реакционную смесь при температуре 35 С в течение 2 ч.
В конце реакции определяют концентрацию продуктов с помощью высокоэффективной жидкостной хроматографии.
Получены следующие результаты:
– конверсия 47,3%
– 4-гидрокси-3-метоксиминдальная кислота:
– выход 79,7%
– селективность 84,2%
– 2-гидрокси-3-метоксиминдальная кислота:
– выход 4,8%
– селективность 5,1%
– 2-гидрокси-3-метокси-1,5-диминдальная кислота
– выход 8,0%
– селективность 4,0%.
Сравнительный пример 2
Воспроизводится пример 1 с той разницей, что не загружается щавелевая кислота.
Получены следующие результаты:
– конверсия 46,1%
– 4-гидрокси-3-метоксиминдальная кислота:
– выход 76,9%
– селективность 83,0%
– 2-гидрокси-3-метоксиминдальная кислота:
– выход 5,1%
– селективность 5,5%
– 2-гидрокси-3-метокси-1,5-диминдальная кислота:
– выход 7,5%
– селективность 4,1%.
Пример 3
В этом примере воспроизводится пример 1, но с использованием 50%-ного раствора глиоксиловой кислоты, содержащего 0,4 мас.% щавелевой кислоты. Получены следующие результаты:
– конверсия 48%
– 4-гидрокси-3-метоксиминдальная кислота:
– выход 79,3%
– селективность 83,1%
– 2-гидрокси-3-метоксиминдальная кислота:
– выход 5,6%
– селективность 5,8%
– 2-гидрокси-3-метокси-1,5-диминдальная кислота:
– выход 8,0%
– селективность 4,2%.
Примеры 4-8
В серии следующих примеров воспроизводится пример 1, но с использованием других типов дикарбоновых кислот, таких как малоновая и янтарная кислоты, а также ЭДТА.
Используемый раствор глиоксиловой кислоты содержит 0,09% щавелевой кислоты, низших карбоновых кислот, таких как уксусная кислота (1%), а также муравьиная и гликолевая кислоты (каждая в количестве ниже 0,3%).
Все условия примеров и полученные результаты представлены в таблице I.
Примеры 9-11
В следующих примерах увеличено количество щавелевой кислоты, вводимой в процесс в растворе глиоксиловой кислоты.
Используя последовательность операций примера 1, вводят в процесс 50%-ный раствор глиоксиловой кислоты, состав которого приведен в примерах 4-8.
Полученные результаты представлены в следующей таблице II.
В приведенных таблицах сокращения орто, пара и ди обозначают:
– 4-гидрокси-3-метоксиминдальная кислота (= пара)
– 2-гидрокси-3-метоксиминдальная кислота (= орто)
– 2-гидрокси-3-метокси-1,5-диминдальная кислота (= ди).
Формула изобретения 1. Способ получения п-гидроксиминдальных соединений путем конденсации в воде, в присутствии щелочного агента, ароматического соединения, содержащего по меньшей мере одну гидроксильную группу и имеющего свободное параположение, с глиоксиловой кислотой, отличающийся тем, что осуществляют конденсацию гидроксилсодержащего ароматического соединения, соответствующего формуле I
в которой положение пара является свободным;
х равен целому числу от 0 до 4;
R обозначает углеводородную группу с 1-20 атомами углерода, выбранную из групп алкила, алкоксила, гидроксиалкила, циклоалкила, арила, фенокси, алкоксиалкила, фторалкила, гидроксиалкоксиалкилена; гидроксильную группу; группу -СНО; ацильную группу, имеющую от 2 до 6 атомов углерода; атом галогена; две группы R, связанные с двумя соседними атомами углерода, могут вместе с этими атомами углерода образовывать бензольный цикл с глиоксиловой кислотой,
в присутствии соединения, имеющего по меньшей мере две карбоксильные группы, соответствующего формуле (II)
HOOC-R1-COOH (II)
в которой R1 обозначает валентную связь или углеводородный радикал, содержащий от 1 до 40 атомов углерода, который может быть насыщенным или ненасыщенным, нормальным или разветвленным ациклическим алифатическим радикалом; моно- или полициклическим карбоциклическим радикалом насыщенным, ненасыщенным или ароматическим; моно- или полициклическим гетероциклическим радикалом насыщенным, ненасыщенным или ароматическим.
2. Способ по п.1, отличающийся тем, что гидроксилсодержащее ароматическое соединение соответствует формуле I, в которой х равен 0, 1, 2 или 3; R обозначает одну из следующих групп или функций: нормальный или разветвленный алкильный радикал, имеющий от 1 до 10 атомов углерода; нормальный или разветвленный алкоксирадикал, имеющий от 1 до 10 атомов углерода; группу -ОН; группу -СНО; атом фтора, хлора или брома; группу –СF3.
3. Способ по п.1 или 2, отличающийся тем, что гидроксилсодержащее ароматическое соединение соответствует формуле I, в которой радикалы R, одинаковые или разные, обозначают нормальный или разветвленный C1-C4-алкил, нормальный или разветвленный С1-С4-алкоксирадикал, группу -СНО или атом хлора, и х равен 0 или 1.
4. Способ по п.1, отличающийся тем, что гидроксилсодержащее ароматическое соединение формулы I представляет собой фенол, о-крезол, м-крезол, 3-этилфенол, 2-трет-бутилфенол, гваякол, гветол и 2-изопропоксифенол.
5. Способ по п.1, отличающийся тем, что соединение с по крайней мере двумя карбоксильными группами соответствует формуле II, в которой R1 обозначает нормальный или разветвленный алифатический ациклический радикал, содержащий от 1 до 12 атомов углерода, который может быть насыщенным или содержать в цепи 1-3 ненасыщенные связи, которые могут быть простыми или сопряженными двойными связями или тройными связями; в то время как углеводородная цепь может быть (1) прерванной одной из следующих групп, обозначаемых Y:
в формулах которых R2 обозначает водород или нормальный или разветвленный алкильный радикал с 1-4 атомами углерода или радикал типа -(СН2)р-СООН, в котором р является целым числом от 1 до 5;
(2) и/или иметь один из следующих заместителей: -ОН; -СООН; -СНО; -NO2, -CN; -NH2; -SH; -X; -СF3; -NH-[(СН2)р-СООН ] или -N-[(СН2)р-СООН]2,
где Х обозначает атом галогена, преимущественно атом фтора, хлора или брома, и р имеет приведенные выше значения.
6. Способ по п.1, отличающийся тем, что соединением с по крайней мере двумя карбоксильными функциями является соединение формулы II, в которой R1 обозначает ароматический углеводородный радикал общей формулы III
в которой n является целым числом от 0 до 3;
R3 обозначает одну из следующих групп или функций: нормальный или разветвленный С1-С4-алкильный радикал; нормальный или разветвленный С1-С4-алкоксирадикал; радикал метилен- или этилендиокси; группу -СНО; фенильный или бензильный радикал; атом галогена.
7. Способ по п.1, отличающийся тем, что соединением с по крайней мере двумя карбоксильными группами является соединение, соответствующее формуле II, в которой R1 обозначает двухвалентный полициклический ароматический углеводородный радикал, в котором циклы могут образовывать между собой ортоконденсированные или орто- и периконденсированные системы.
8. Способ по п.1, отличающийся тем, что соединением с по крайней мере двумя карбоксильными группами является соединение, соответствующее формуле II, в которой R1 обозначает карбоциклический радикал, который является насыщенным или содержит одну или две ненасыщенные связи в цикле, содержащем от 3 до 7 атомов углерода.
9. Способ по п.8, отличающийся тем, что соединением с по крайней мере двумя карбоксильными группами является соединение, соответствующее формуле II, в которой R1 обозначает карбоциклический радикал, который является насыщенным или содержит 1 или 2 ненасыщенные связи в цикле, содержащем 6 атомов углерода.
10. Способ по п.1, отличающийся тем, что соединением с по меньшей мере двумя карбоксильными группами является соединением формулы (II), в которой R1 обозначает двухвалентный радикал, образуемый последовательностью 2-4 определенных выше радикалов: алифатических, ароматических или циклоалифатических, соединенных между собой либо валентной связью, либо функциональной группой.
11. Способ по п.1, отличающийся тем, что соединением с по крайней мере двумя карбоксильными группами является соединение, соответствующее формуле II, выбранное из следующих соединений: щавелевая кислота, малоновая кислота, янтарная кислота, глутаровая кислота, адипиновая кислота, 2,4-диметиладипиновая кислота, пимелиновая кислота, суберовая кислота, азелаиновая кислота, себациновая кислота, додекандиовая кислота, фумаровая кислота, малеиновая кислота, циклогексан-1,4-дикарбоновая кислота, фталевая кислота, изофталевая кислота, терефталевая кислота, фенилендиуксусная кислота, нафталин-1,5-дикарбоновая кислота, нафталин-1,6-дикарбоновая кислота, дифенил-4,4’-карбоновая кислота, дифенил-3,3’-карбоновая кислота, бис[(4-гидроксикарбонил)фенил]оксид, бис[(3-гидроксикарбонил)фенил]оксид, 4,4’-(дигидроксикарбонил)дифенилсульфон, 3,3’-(дигидроксикарбонил)дифенилсульфон, пиримидин- или имидазолдикарбоновые кислоты, этилендиаминтетрауксусная кислота (ЭДТА), диэтилентриаминопентауксусная кислота (ДТПА), нитрилтриуксусная кислота (НТА), N-(2-гидроксиэтил)этилендиаминотриуксусная кислота (ГЭДТА).
12. Способ по п.1, отличающийся тем, что используют водный раствор глиоксиловой кислоты, который содержит монофункциональные кислоты, выбранные из уксусной, щавелевой и гликолевой кислоты.
13. Способ по п.12, отличающийся тем, что водный раствор глиоксиловой кислоты содержит от 0,1 до 3% уксусной кислоты.
14. Способ по п.1, отличающийся тем, что концентрация глиоксиловой кислоты в водном растворе составляет от 15 до 70 маc.%.
15. Способ по п.14, отличающийся тем, что концентрация глиоксиловой кислоты в водном растворе составляет около 50 мас.%.
16. Способ по п.1, отличающийся тем, что мольное отношение гидроксилсодержащего ароматического соединения формулы I к глиоксиловой кислоте составляет от 1,5 до 4,0.
17. Способ по п.16, отличающийся тем, что мольное отношение гидроксилсодержащего ароматического соединения формулы (I) к глиоксиловой кислоте составляет от 2,0 до 3,0.
18. Способ по п.1, отличающийся тем, что количество гидроксида щелочного металла близко к или равно стехиометрическому количеству, необходимому для образования соли со всеми способными к солеобразованию группами гидроксилсодержащего ароматического соединения формулы I и для образования соли с карбоксильной группой глиоксиловой кислоты.
19. Способ по п.1, отличающийся тем, что концентрация гидроксилсодержащего ароматического соединения формулы I преимущественно составляет от 0,5 до 1,5 моль/л.
20. Способ по п.19, отличающийся тем, что концентрация гидроксилсодержащего ароматического соединения формулы (I) близка к 1 моль/л.
21. Способ по п.1, отличающийся тем, что количество используемого соединения с по меньшей мере двумя карбоксильными группами таково, что мольное отношение этого соединения к гидроксилсодержащему ароматическому соединению формулы I составляет от 0,005 до 0,025.
22. Способ по п.21, отличающийся тем, что количество соединения с по меньшей мере двумя карбоксильными группами таково, что мольное отношение этого соединения к гидроксилсодержащему ароматическому соединению формулы (I) составляет от 0,01 до 0,02.
23. Способ по п.1, отличающийся тем, что соединение с по меньшей мере двумя карбоксильными группами подают полностью или частично с водным раствором глиоксиловой кислоты.
24. Способ по одному из пп.1-21, отличающийся тем, соединение с по меньшей мере двумя карбоксильными группами вводят вместе с водным раствором глиоксиловой кислоты или в исходную реакционную среду, содержащую гидроксилсодержащее ароматическое соединение формулы I, воду и гидроксид щелочного металла.
25. Способ по п.1, отличающийся тем, что гидроксидом щелочного металла является гидроксид натрия.
26. Способ по п.1, отличающийся тем, что температура реакции составляет 20-60 С.
27. Способ по п.25, отличающийся тем, что температура реакции составляет 30-40 С.
28. Способ по п.1, отличающийся тем, что используют раствор глиоксиловой кислоты, содержащий 0,6-3 маc.% щавелевой кислоты от массы глиоксиловой кислоты.
29. Способ по п.1, отличающийся тем, что используют раствор глиоксиловой кислоты, содержащий 1-2 маc.% щавелевой кислоты от массы глиоксиловой кислоты.
30. Способ по п.1, дополнительно включающий восстановление полученной парагидроксиминдальной кислоты до гидроксиарилуксусной кислоты.
31. Способ по п.1, дополнительно включающий окисление полученной парагидроксиминдальной кислоты до гидроксиарилглиоксиловой кислоты или гидроксиароматического альдегида.
32. Способ по п.1, дополнительно включающий окисление полученной 3-метоксипарагидроксиминдальной кислоты до ванилина.
33. Способ по п.1, включающий дополнительно окисление полученной 3-этоксипарагидроксиминдальной кислоты до этилванилина.
MM4A – Досрочное прекращение действия патента СССР или патента Российской Федерации на изобретение из-за неуплаты в установленный срок пошлины за поддержание патента в силе
Дата прекращения действия патента: 17.06.2009
Извещение опубликовано: 20.07.2010 БИ: 20/2010
|
||||||||||||||||||||||||||

в которой: положение пара является свободным, х равен целому числу от 0 до 4, R обозначает: – углеводородную группу с 1-20 атомами углерода, выбранную из групп алкила, алкоксила, гидроксиалкила, циклоалкила, арила, фенокси, алкоксиалкила, фторалкила, гидроксиалкоксиалкилена; – гидроксильную группу; – группу -СНО; – ацильную группу, имеющую от 2 до 6 атомов углерода; – атом галогена; – две группы R, связанные с двумя соседними атомами углерода; могут вместе с этими атомами углерода образовывать бензольный цикл; с глиоксиловой кислотой, в присутствии соединения, имеющего по меньшей мере две карбоксильные группы, соответствующего формуле (II): HOOC-R1-COOH (II), в которой R1 обозначает валентную связь или углеводородный радикал, содержащий от 1 до 40 атомов углерода, который может быть насыщенным или ненасыщенным, нормальным или разветвленным ациклическим алифатическим радикалом; моно- или полициклическим карбоциклическим радикалом насыщенным, ненасыщенным или ароматическим; моно- или полициклическим гетероциклическим радикалом насыщенным, ненасыщенным или ароматическим. 32 з.п.ф-лы, 2 табл.
Предметом настоящего изобретения является способ получения возможно замещенных п-гидроксиминдальных соединений и их производных.
В следующем ниже изложении изобретения под выражением “возможно замещенные п-гидроксиминдальные соединения” подразумеваются ароматические соединения, содержащие по меньшей мере одну группу -СНОН-СООН в параположении к гидроксильной группе.
Более конкретно, настоящее изобретение относится к получению п-гидроксиминдальной кислоты и 3-метокси-п-гидроксиминдальной кислоты.
Один из классических путей синтеза п-гидроксиминдальных кислот состоит в осуществлении конденсации в щелочной среде глиоксиловой кислоты с фенолом и/или соответствующими производными.
Выход названных выше кислот ограничен тем, что реакция конденсации не является селективной и приводит к одновременному образованию о-гидроксиминдальных и диминдальных кислот.
Кроме того, выход реакции снижается из-за вторичной побочной реакции. Действительно, глиоксиловая кислота в водно-щелочной среде превращается по реакции Канницаро в щавелевую и гликолевую кислоты.
С целью предотвращения того, чтобы названная реакция Канницаро стала преобладающей и разрушала глиоксиловую кислоту, в патенте FR-A 2132364 предложено проводить реакцию конденсации в разбавленной водной среде при низкой или комнатной температуре.
С учетом трудности получения удовлетворительных выходов реакции, является важным регулировать различные параметры процесса и, в частности, качество используемой для реакции глиоксиловой кислоты.
Наиболее важный с промышленной точки зрения процесс получения глиоксиловой кислоты состоит в окислении глиоксаля азотной кислотой. При этом получают водные растворы глиоксиловой кислоты, которые кроме непрореагировавшего глиоксаля содержат также щавелевую кислоту, органические кислоты, такие как муравьиная, уксусная и гликолевая кислоты, а также азотную кислоту.
Поиски новых методов выделения и очистки глиоксиловой кислоты продолжаются до настоящего времени.
В частности, в патенте DE-A 1198339 предложен способ, в котором прежде всего удаляется азотная кислота, затем щавелевая кислота с помощью анионообменных смол и затем глиоксаль и другие примеси с использованием перенасыщения раствора и последующей кристаллизации.
В DE-A 2501743 предлагается способ, в котором глиоксиловую кислоту отделяют от этих примесей экстракцией с помощью алифатических или алициклических спиртов или сложных эфиров алифатических спиртов с низкой степенью углеродной конденсации.
В FR-A 2552426 описан также способ получения водных растворов глиоксиловой кислоты, не содержащих другие кислоты, состоящий в обработке исходного раствора органическим азотсодержащим соединением, преимущественно третичным амином, при температуре не выше 50
С с последующим извлечением глиоксиловой кислоты путем исчерпывающего экстрагирования органической фазы водой при более высокой температуре.
Таким образом, в настоящее время отмечается постоянное стремление получить раствор глиоксиловой кислоты, освобожденный от названных выше примесей.
В противоположность этой тенденции, обнаружено, что при получении возможно замещенных п-гидроксиминдальных соединений конденсация глиоксиловой кислоты с соответствующим фенолом осуществляется с более высоким выходом, если реакцию проводить в присутствии определенного количества дикарбоновой кислоты.
Конкретным предметом настоящего изобретения является способ получения возможно замещенных п-гидроксиминдальных соединений и их производных, состоящий в осуществлении конденсации в воде в присутствии щелочного агента ароматических соединений, содержащих по меньшей мере одну гидроксильную группу и имеющих свободное параположение, с глиоксиловой кислотой, отличающийся тем, что реакцию проводят в присутствии эффективного количества соединения, имеющего по крайней мере две карбоксильные функции.
Согласно способу изобретения, использование катализатора изобретения позволяет повысить выход реакции.
Другим преимуществом способа изобретения является то, что в нем может быть использована техническая глиоксиловая кислота, содержащая наряду с другими примесями щавелевую кислоту.
Способ изобретения более конкретно применим к фенолу, а также к замещенным фенолам, имеющим незамещенное параположение.
Ароматическое ядро содержит по меньшей мере одну гидроксильную группу, но может быть также замещено еще одной или несколькими другими группами. Обычно под несколькими заместителями предполагается менее четырех заместителей в ароматическом ядре.
Возможно присутствие любого заместителя, если он не принимает участия в реакции изобретения.
Таким образом, способ изобретения хорошо подходит для гидроксилсодержащих ароматических соединений, соответствующих приведенной ниже формуле I:
в которой:
– положение пара является свободным,
– x равен целому числу от 0 до 4,
– R обозначает:
– утлеводородсодержащую группу с 1-20 атомами углерода, выбранную из групп алкил, алкокси, гидроксиалкил, циклоалкил, арил, фенокси, алкоксиалкил, фторалкил, гидроксиалкоксиалкилен;
– гидроксильную группу;
– группу -СНО;
– ацильную группу, имеющую от 2 до 6 атомов углерода;
– атом галогена, преимущественно атом фтора, хлора или брома;
– две группы R, связанные с двумя вицинальными атомами углерода, могут совместно с этими атомами углерода образовывать бензольный цикл.
Ниже приведены примеры радикалов R, которые могут быть заместителями в ароматическом ядре:
– алкильные радикалы, такие как метил, этил, пропил, изопропил, бутил, изобутил, втор-бутил, трет-бутил, н-октил, 2-этилгексил, децил, октадецил, эйкозил;
– алкокси-радикалы, такие как метокси, этокси, пропокси, изопропокси, бутокси, изобутокси, втор-бутокси, трет-бутокси, гексилокси, децилокси, гексадецилокси, октадецилокси или фенокси;
– гидроксиалкильные радикалы, такие как гидроксиметил, гидроксиэтил, гидроксипропил, гидроксигексил, гидроксидецил;
– циклоалкильные радикалы, такие как циклопентил, циклогексил, циклогептил;
– фторалкильные радикалы, такие как фторметил, дифторметил, трифторметил, фторэтил, 1,1,1-трифторэтил, пентафторэтил, фторпропил, фторбутил, трифторамил;
– гидроксиалкоксиалкиленовые радикалы, такие как гидроксиметилоксиэтилен, гидроксиэтил-ди(оксиэтилен), гидроксиэтил-три(оксиэтилен), гидроксиэтилоксипропил-1,2-ен, гидроксиэтилоксибутилен, гидроксипропилоксипропилен, гидроксибутилоксибутилен, гидроксибутил-ди(оксибутилен);
– атомы галогена, такие как фтор, хлор, бром или йод.
В способе изобретения наиболее предпочтительно использование гидроксилсодержащих ароматических соединений, соответствующих общей формуле I, в которой:
– x равен 0, 1, 2 или 3;
– R обозначает одну из следующих функций:
– атом водорода;
– нормальный или разветвленный алкильный радикал, имеющий от 1 до 10, преимущественно от 1 до 4 атомов углерода;
– нормальный или разветвленный алкокси-радикал, имеющий от 1 до 10, преимущественно от 1 до 4 атомов углерода;
– группу -ОН;
– группу -СНО;
– атом галогена;
– группу –СF3.
Еще более предпочтительны соединения, выбранные из соединений формулы I, в которой радикалы R, одинаковые или разные, обозначают атом водорода, нормальный или разветвленный С1-С4-алкильный радикал, такой как метил, этил, н-пропил, изопропил, н-бутил или изобутил, нормальный или разветвленный алкокси-радикал, такой как метокси или этокси, группу -СНО или атом хлора, и x преимущественно равен 0 или 1.
В качестве примера соединений, соответствующих формуле I, можно упомянуть:
– соединения, соответствующие формуле I, в которой x равен 0, такие как фенол,
– соединения, соответствующие формуле I, в которой x равен 1, такие как:
– пирокатехин
– резорцин
– о-крезол
– m-крезол
– 2-этилфенол
– 3-этилфенол
– 2-пропилфенол
– 2-втор-бутилфенол
– 2-трет-бутилфенол
– 3-трет-бутилфенол
– 2-метоксифенол (гваякол)
– 3-метоксифенол
– 2-этоксифенол (кветол)
– 2-изопропоксифенол
– салициловый альдегид
– метилсалицилат
– 2-хлорфенол
– 3-хлорфенол
– 3-нитрофенол
– соединения, соответствующие формуле I, в которой x равен 2, такие как:
– 2,3-диметилфенол
– 2,5-диметилфенол
– 3,5-диметилфенол
– 2-гидрокси-5-ацетамидо-бензальдегид
– 2-гидрокси-5-этамидо-бензальдегид
– 2,3-дихлорфенол
– 2,5-дихлорфенол
– 3,5-дихлорфенол
– пирогаллол,
– соединения, соответствующие формуле I, в которой x равен 3, такие как:
– 2,3,5-триметилфенол
– 3,5-ди-трет-бутилфенол
– 2,3,5-трихлорфенол
– соединения, соответствующие формуле I, представляющей собой нафталиновый радикал, такие как:
– 1-нафтол
– 2-нафтол
– 1,2-дигидроксинафталин
– 1,5-дигидроксинафталин
– 2,3-дигидроксинафталин
– 2,6-дигидроксинафталин
– 2,7-дигидроксинафталин
– 6-бром-2-нафтол
– соединения, соответствующие формуле I, представляющей собой последовательность бензольных ядер, такие как:
– 2-феноксифенол
– 3-феноксифенол.
Из приведенного выше списка соединений предпочтительно используются следующие ароматические соединения, замещенные по меньшей мере одной гидроксильной группой: фенол, о-крезол, м-крезол, 3-этилфенол, 2-трет-бутилфенол, гваякол и кветол.
В том, что касается природы используемого катализатора, можно назвать кислоту, имеющую по крайней мере две карбоксильные функции и соответствующую приведенной ниже формуле II:
в которой R1 обозначает валентную связь или возможно замещенный углеводородный радикал, содержащий от 1 до 40 атомов углерода.
Более конкретно, R1 в формуле II обозначает замещенный или незамещенный, насыщенный или ненасыщенный, нормальный или разветвленный алифатический ациклический углеводородный радикал; насыщенный, ненасыщенный или ароматический, моноциклический или полициклический карбоциклический радикал: или насыщенный, ненасыщенный или ароматический, моноциклический или полициклический гетероциклический радикал.
Особенно хорошо подходят для использования в способе изобретения соединения с по крайней мере двумя карбоксильными функциями формулы II, в которой R1 обозначает валентную связь или двухвалентный радикал, содержащий преимущественно от 1 до 15 атомов углерода.
Особенно хорошо подходят для использования в способе изобретения соединения с по крайней мере двумя карбоксильными функциями формулы II, в которой R1 обозначает насыщенный или ненасыщенный, нормальный или разветвленный алифатический ациклический остаток.
Более конкретно, R1 обозначает нормальный или разветвленный алифатический ациклический остаток, содержащий преимущественно от 1 до 12 атомов углерода, который может быть насыщенным или содержать в цепи одну или несколько ненасыщенных связей, преимущественно от одной до трех, ненасыщенных связей, которые могут быть простыми или сопряженными двойными связями или тройными связями.
Углеводородная цепь может при этом быть:
(1) прерванной одной из следующих групп, обозначаемых Y:
в формулах которых R2 обозначает водород или нормальный или разветвленный алкильный радикал с 1-4 атомами углерода, преимущественно метил или этил, или радикал типа -(СН2)p-СООН, в котором р является целым числом от 1 до 5;
(2) и/или иметь следующие заместители:
-ОН: -СООН; -СНО; -NO2, -CN; -NH2; -SH; -X; -СF3;
-NH-[(СН2)p-СООН] или -N-[(СН2)p-СООН]2,
где Х обозначает атом галогена, преимущественно атом фтора, хлора или брома, и p имеет приведенные выше значения.
Подходящими для использования в способе изобретения являются также соединения с по крайней мере двумя карбоксильными функциями формулы II, в которой R1 обозначает моноциклический или полициклический ароматический углеводородный остаток.
R1 преимущественно обозначает ароматический углеводородный остаток, в частности остаток бензола, соответствующий общей формуле III:
в которой:
– n является целым числом от 0 до 4, преимущественно от 0 до 3:
– R3 обозначает одну из следующих групп или функций:
– атом водорода,
– нормальный или разветвленный С1-С4-алкильный радикал,
– нормальный или разветвленный С1-С4-алкокси-радикал,
– радикал метилен или этилендиокси,
– группу -СНО,
– фенильный или бензильный радикал,
– атом галогена.
Еще более предпочтительны соединения формулы II, в которой радикал R1 соответствует формуле III, в которой радикалы R3, одинаковые или разные, обозначают атом водорода, радикал метил, радикал метокси или группу -СНО.
Соединения с по крайней мере двумя карбоксильными функциями могут соответствовать общей формуле II, в которой радикал R1 обозначает двухвалентный полициклический ароматический углеводородный остаток, в котором циклы могут образовывать между собой орто-конденсированные или орто- и пери-конденсированные системы. Можно, в частности, назвать нафтиленовый остаток, где циклы могут быть замещены 1-4, преимущественно 1-3, радикалами R3, значения которых названы выше для заместителей ароматического углеводородного остатка общей формулы III.
В формуле II соединений, имеющих по меньшей мере две карбоксильные функции, R1 означает также остаток насыщенного карбоциклического радикала или может содержать 1-2 ненасыщенных связей в цикле, содержащем обычно 3-7 атомов углерода, предпочтительно 6 атомов углерода в цикле; причем этот цикл может быть замещен 1-5 радикалами R3, предпочтительно 1-3 радикалами, при этом R3 имеет указанные выше значения для заместителей ароматического углеводородного остатка формулы (III).
В качестве предпочтительных примеров радикалов R1 можно назвать циклогександиильные радикалы, которые могут быть замещены нормальными или разветвленными С1-С4-алкильными радикалами.
Соединения с по крайней мере двумя карбоксильными функциями могут также соответствовать общей формуле II, в которой радикал R1 обозначает двухвалентный радикал, образуемый последовательностью от двух до четырех определенных выше остатков: алифатических, ароматических или циклоалифатических. Последние могут быть связаны между собой либо валентной связью, либо функциональной группой, которая, в частности, может быть группой, выбранной из групп, обозначенных Y.
Ниже приведены несколько примеров радикалов R1:
-СН2-С6Н4-;
-СН2-СН2-С6Н4-;
-СН2-O-С6Н4-;
-СН2-O-С6Н4-СН2-;
-С6Н4-С6Н4-;
-С6Н4-СН2-С6Н4-;
-С6Н4-O-С6Н4-;
-СН2-С6Н4-СН2-С6Н4-СН2-.
В качестве подходящих для настоящего изобретения катализаторов можно особо выделить следующие соединения с по крайней мере двумя карбоксильными функциями:
– алифатические дикарбоновые кислоты, такие как:
– щавелевая кислота
– малоновая кислота
– янтарная кислота
– глутаровая кислота
– адипиновая кислота
– 2,4-диметиладипиновая кислота
– пимелиновая кислота
– суберовая кислота
– азелаиновая кислота
– себациновая кислота
– додекандиовая кислота
– фумаровая кислота
– малеиновая кислота
– циклоалкандикарбоновые кислоты, такие как циклогексан-1,4-дикарбоновая кислота,
– ароматические дикарбоновые кислоты, такие как:
– фталевая кислота
– изофталевая кислота
– терефталевая кислота
– фенилендиуксусная кислота
– нафталин-1,5-дикарбоновая кислота
– нафталин-1,6-дикарбоновая кислота
– дифенил-4,4’-дикарбоновая кислота
– дифенил-3,3’-дикарбоновая кислота
– бис[(4-гидроксикарбонил)фенил]оксид
– бис[(3-гидроксикарбонил)фенил]оксид
– 4,4’-(дигидроксикарбонил)дифенилсульфон
– 3,3’-(дигидроксикарбонил)дифенилсульфон
– дикарбоновые кислоты пиримидинового или имидазольного ряда.
В списке названных выше дикарбоновых кислот преимущественно используются щавелевая кислота, малоновая кислота, янтарная кислота, глутаровая кислота, адипиновая кислота, себациновая кислота, фталевая кислота, изофталевая кислота и терефталевая кислота.
Прекрасно подходят для использования в способе изобретения и аминополикарбоновые кислоты. В качестве примеров аминополикарбоновых кислот, пригодных для использования в способе изобретения, могут быть наряду с другими названы:
– этилендиаминтетрауксусная кислота (ЭДТА)
– диэтилентриаминпентауксусная кислота (ДТПА)
– нитрилоуксусная кислота
– N-(2-гидроксиэтил)этилендиаминотриуксусная кислота (ГЭДТА).
Из названных выше аминополикарбоновых кислот предпочтение отдается этилендиаминтетрауксусной кислоте.
Согласно способу изобретения, реакцию проводят в присутствии гидроксида щелочного металла, в частности гидроксида натрия или калия.
Из соображений экономического характера предпочтение отдается гидроксиду натрия.
Что касается концентраций и количеств используемых реагентов, предпочтительные условия определены ниже.
Согласно способу изобретения, глиоксиловую кислоту используют в виде раствора. Концентрация этого раствора не имеет критического характера и может варьироваться в широких пределах, например от 15 до 70 мас.%. При этом предпочтительно используются коммерческие растворы, концентрация которых составляет приблизительно 50%.
Согласно способу изобретения, проводят реакцию глиоксиловой кислоты с гидроксилсодержащим ароматическим соединением формулы I, взятым в избытке. Мольное отношение гидроксилсодержащего ароматического соединения формулы I к глиоксиловой кислоте колеблется в пределах от 1,5 до 4,0 и преимущественно выбирается в пределах от 2,0 до 3,0.
Концентрация используемого раствора гидроксида щелочного металла обычно составляет от 10 до 50 мас.%. Концентрация исходного раствора не имеет принципиального значения. Однако, поскольку предпочтительна невысокая концентрация гидроксилсодержащего ароматического соединения формулы I в реакционной среде, для разбавления последней используют разбавленный раствор гидроксида щелочного металла.
Количество вводимого в реакционную среду гидроксида щелочного металла определяется тем его количеством, которое необходимо для образования соли с гидроксильной функцией гидроксилсодержащего ароматического соединения формулы I, и количеством, необходимым для образования соли с карбоксильной функцией глиоксиловой кислоты.
Если гидроксилсодержащее ароматическое соединение формулы I обладает другими, отличными от гидроксила солеобразующими функциями, то в этом случае гидроксид щелочного металла вводят в количестве, необходимом для образования соли со всеми способными к образованию соли функциями, которые могут быть гидроксильными группами и/или карбоксильными функциями СООН.
Как правило, количество гидроксида щелочного металла может варьировать в широких пределах и быть равным или близким к стехиометрическому или же быть в избытке. Обычно количество гидроксида щелочного металла изменяется от 80 до 120% от стехиометрического количества.
Концентрация гидроксилсодержащего ароматического соединения формулы I составляет преимущественно от 0,5 до 1,5 моль/л и предпочтительно близка к значению 1 моль/л.
В том, что касается используемого количества катализатора, последнее определяется тем, что мольное отношение катализатора к гидроксилсодержащему ароматическому соединению формулы I должно составлять от 0,005 до 0,025 и преимущественно от 0,01 до 0,02.
Используемое количество катализатора, выражаемое через отношение числа молей катализатора к числу молей глиоксиловой кислоты, составляет преимущественно от 0,5 до 2,5 и, предпочтительно, от 1 до 2%.
Предпочтительным катализатором является щавелевая кислота.
Коммерческие растворы глиоксиловой кислоты могут содержать очень малые количества щавелевой кислоты. Щавелевая кислота реакции, таким образом, частично поставляется исходным раствором. В этом случае для соблюдения названных выше соотношений необходимо дополнить количество щавелевой кислоты добавлением щавелевой или любой другой дикарбоновой кислоты.
Согласно предпочтительному варианту изобретения, используют раствор глиоксиловой кислоты с концентрацией щавелевой кислоты от 0,6 до 3 и, предпочтительно, от 1,2 до 2,6% от массы глиоксиловой кислоты.
Температуру реакции выбирают преимущественно от 20 до 60 и, предпочтительно, от 30 до 40
в которой R и x имеют значения, приведенные для формулы I.
Полученные продукты представляют особый интерес, поскольку они являются полупродуктами, дающими в числе прочего возможность получать при восстановлении гидроксиарилуксусные кислоты и при окислении гидроксиарилглиоксиловые кислоты (т.е. гидроксиарил-
-оксоуксусные кислоты) или гидроксиароматические альдегиды.
Предпочтительным применением изобретения является получение гидроксиароматических альдегидов путем окисления получаемых в соответствии с изобретением соединений формулы IV.
Окисление соединений формулы IV может быть осуществлено в соответствии с описанными в литературе методами. В частности, можно сослаться на Р. Hebert [Bull. Soc. Chim. France, 27, p. 45-55 (1920)] и на Nagai Shigeki et al. [JP-A 76/128934]. Окисление может осуществляться с помощью кислорода или воздуха под давлением в присутствии подходящего катализатора, такого, например, как производные хрома, кобальта, меди, ванадия или осмия.
Таким образом, изобретение позволяет легко получать 4-гидроксибензальдегид и ванилин и его аналоги, например 3-этил-3-изопропилванилин, путем окисления, соответственно, п-гидроксиминдальной кислоты и 3-метокси-п-гидроксиминдальной, 3-этокси-п-гидроксиминдальной и 3-изопропокси-п-гидроксиминдальной кислот.
Приведенные ниже примеры иллюстрируют изобретение, не ограничивая при этом его объем.
В этих примерах процентные доли даются в весовых % (мас.%).
Использованные в примерах сокращения имеют следующие значения:
Пример 1
В 1-л стеклянный реактор, оборудованный двойными стенками, рН-электродом, датчиком температуры, холодильником, вводом для инертного газа и механической мешалкой, загружают:
– 600 г дистиллированной воды,
– 91,6 (0,687 моль) 30%-ного водного раствора едкого натра и
– 93 г (0,750 моль) гваякола.
Создают инертную атмосферу и поднимают температуру реакционной смеси до 35
Примеры 9-11
В следующих примерах увеличено количество щавелевой кислоты, вводимой в процесс в растворе глиоксиловой кислоты.
Используя последовательность операций примера 1, вводят в процесс 50%-ный раствор глиоксиловой кислоты, состав которого приведен в примерах 4-8.
Полученные результаты представлены в следующей таблице II.
В приведенных таблицах сокращения орто, пара и ди обозначают:
– 4-гидрокси-3-метоксиминдальная кислота (= пара)
– 2-гидрокси-3-метоксиминдальная кислота (= орто)
– 2-гидрокси-3-метокси-1,5-диминдальная кислота (= ди).
в которой положение пара является свободным;
х равен целому числу от 0 до 4;
R обозначает углеводородную группу с 1-20 атомами углерода, выбранную из групп алкила, алкоксила, гидроксиалкила, циклоалкила, арила, фенокси, алкоксиалкила, фторалкила, гидроксиалкоксиалкилена; гидроксильную группу; группу -СНО; ацильную группу, имеющую от 2 до 6 атомов углерода; атом галогена; две группы R, связанные с двумя соседними атомами углерода, могут вместе с этими атомами углерода образовывать бензольный цикл с глиоксиловой кислотой,
в присутствии соединения, имеющего по меньшей мере две карбоксильные группы, соответствующего формуле (II)
HOOC-R1-COOH (II)
в которой R1 обозначает валентную связь или углеводородный радикал, содержащий от 1 до 40 атомов углерода, который может быть насыщенным или ненасыщенным, нормальным или разветвленным ациклическим алифатическим радикалом; моно- или полициклическим карбоциклическим радикалом насыщенным, ненасыщенным или ароматическим; моно- или полициклическим гетероциклическим радикалом насыщенным, ненасыщенным или ароматическим.
2. Способ по п.1, отличающийся тем, что гидроксилсодержащее ароматическое соединение соответствует формуле I, в которой х равен 0, 1, 2 или 3; R обозначает одну из следующих групп или функций: нормальный или разветвленный алкильный радикал, имеющий от 1 до 10 атомов углерода; нормальный или разветвленный алкоксирадикал, имеющий от 1 до 10 атомов углерода; группу -ОН; группу -СНО; атом фтора, хлора или брома; группу –СF3.
3. Способ по п.1 или 2, отличающийся тем, что гидроксилсодержащее ароматическое соединение соответствует формуле I, в которой радикалы R, одинаковые или разные, обозначают нормальный или разветвленный C1-C4-алкил, нормальный или разветвленный С1-С4-алкоксирадикал, группу -СНО или атом хлора, и х равен 0 или 1.
4. Способ по п.1, отличающийся тем, что гидроксилсодержащее ароматическое соединение формулы I представляет собой фенол, о-крезол, м-крезол, 3-этилфенол, 2-трет-бутилфенол, гваякол, гветол и 2-изопропоксифенол.
5. Способ по п.1, отличающийся тем, что соединение с по крайней мере двумя карбоксильными группами соответствует формуле II, в которой R1 обозначает нормальный или разветвленный алифатический ациклический радикал, содержащий от 1 до 12 атомов углерода, который может быть насыщенным или содержать в цепи 1-3 ненасыщенные связи, которые могут быть простыми или сопряженными двойными связями или тройными связями; в то время как углеводородная цепь может быть (1) прерванной одной из следующих групп, обозначаемых Y:
в формулах которых R2 обозначает водород или нормальный или разветвленный алкильный радикал с 1-4 атомами углерода или радикал типа -(СН2)р-СООН, в котором р является целым числом от 1 до 5;
(2) и/или иметь один из следующих заместителей: -ОН; -СООН; -СНО; -NO2, -CN; -NH2; -SH; -X; -СF3; -NH-[(СН2)р-СООН ] или -N-[(СН2)р-СООН]2,
где Х обозначает атом галогена, преимущественно атом фтора, хлора или брома, и р имеет приведенные выше значения.
6. Способ по п.1, отличающийся тем, что соединением с по крайней мере двумя карбоксильными функциями является соединение формулы II, в которой R1 обозначает ароматический углеводородный радикал общей формулы III
в которой n является целым числом от 0 до 3;
R3 обозначает одну из следующих групп или функций: нормальный или разветвленный С1-С4-алкильный радикал; нормальный или разветвленный С1-С4-алкоксирадикал; радикал метилен- или этилендиокси; группу -СНО; фенильный или бензильный радикал; атом галогена.
7. Способ по п.1, отличающийся тем, что соединением с по крайней мере двумя карбоксильными группами является соединение, соответствующее формуле II, в которой R1 обозначает двухвалентный полициклический ароматический углеводородный радикал, в котором циклы могут образовывать между собой ортоконденсированные или орто- и периконденсированные системы.
8. Способ по п.1, отличающийся тем, что соединением с по крайней мере двумя карбоксильными группами является соединение, соответствующее формуле II, в которой R1 обозначает карбоциклический радикал, который является насыщенным или содержит одну или две ненасыщенные связи в цикле, содержащем от 3 до 7 атомов углерода.
9. Способ по п.8, отличающийся тем, что соединением с по крайней мере двумя карбоксильными группами является соединение, соответствующее формуле II, в которой R1 обозначает карбоциклический радикал, который является насыщенным или содержит 1 или 2 ненасыщенные связи в цикле, содержащем 6 атомов углерода.
10. Способ по п.1, отличающийся тем, что соединением с по меньшей мере двумя карбоксильными группами является соединением формулы (II), в которой R1 обозначает двухвалентный радикал, образуемый последовательностью 2-4 определенных выше радикалов: алифатических, ароматических или циклоалифатических, соединенных между собой либо валентной связью, либо функциональной группой.
11. Способ по п.1, отличающийся тем, что соединением с по крайней мере двумя карбоксильными группами является соединение, соответствующее формуле II, выбранное из следующих соединений: щавелевая кислота, малоновая кислота, янтарная кислота, глутаровая кислота, адипиновая кислота, 2,4-диметиладипиновая кислота, пимелиновая кислота, суберовая кислота, азелаиновая кислота, себациновая кислота, додекандиовая кислота, фумаровая кислота, малеиновая кислота, циклогексан-1,4-дикарбоновая кислота, фталевая кислота, изофталевая кислота, терефталевая кислота, фенилендиуксусная кислота, нафталин-1,5-дикарбоновая кислота, нафталин-1,6-дикарбоновая кислота, дифенил-4,4’-карбоновая кислота, дифенил-3,3’-карбоновая кислота, бис[(4-гидроксикарбонил)фенил]оксид, бис[(3-гидроксикарбонил)фенил]оксид, 4,4’-(дигидроксикарбонил)дифенилсульфон, 3,3’-(дигидроксикарбонил)дифенилсульфон, пиримидин- или имидазолдикарбоновые кислоты, этилендиаминтетрауксусная кислота (ЭДТА), диэтилентриаминопентауксусная кислота (ДТПА), нитрилтриуксусная кислота (НТА), N-(2-гидроксиэтил)этилендиаминотриуксусная кислота (ГЭДТА).
12. Способ по п.1, отличающийся тем, что используют водный раствор глиоксиловой кислоты, который содержит монофункциональные кислоты, выбранные из уксусной, щавелевой и гликолевой кислоты.
13. Способ по п.12, отличающийся тем, что водный раствор глиоксиловой кислоты содержит от 0,1 до 3% уксусной кислоты.
14. Способ по п.1, отличающийся тем, что концентрация глиоксиловой кислоты в водном растворе составляет от 15 до 70 маc.%.
15. Способ по п.14, отличающийся тем, что концентрация глиоксиловой кислоты в водном растворе составляет около 50 мас.%.
16. Способ по п.1, отличающийся тем, что мольное отношение гидроксилсодержащего ароматического соединения формулы I к глиоксиловой кислоте составляет от 1,5 до 4,0.
17. Способ по п.16, отличающийся тем, что мольное отношение гидроксилсодержащего ароматического соединения формулы (I) к глиоксиловой кислоте составляет от 2,0 до 3,0.
18. Способ по п.1, отличающийся тем, что количество гидроксида щелочного металла близко к или равно стехиометрическому количеству, необходимому для образования соли со всеми способными к солеобразованию группами гидроксилсодержащего ароматического соединения формулы I и для образования соли с карбоксильной группой глиоксиловой кислоты.
19. Способ по п.1, отличающийся тем, что концентрация гидроксилсодержащего ароматического соединения формулы I преимущественно составляет от 0,5 до 1,5 моль/л.
20. Способ по п.19, отличающийся тем, что концентрация гидроксилсодержащего ароматического соединения формулы (I) близка к 1 моль/л.
21. Способ по п.1, отличающийся тем, что количество используемого соединения с по меньшей мере двумя карбоксильными группами таково, что мольное отношение этого соединения к гидроксилсодержащему ароматическому соединению формулы I составляет от 0,005 до 0,025.
22. Способ по п.21, отличающийся тем, что количество соединения с по меньшей мере двумя карбоксильными группами таково, что мольное отношение этого соединения к гидроксилсодержащему ароматическому соединению формулы (I) составляет от 0,01 до 0,02.
23. Способ по п.1, отличающийся тем, что соединение с по меньшей мере двумя карбоксильными группами подают полностью или частично с водным раствором глиоксиловой кислоты.
24. Способ по одному из пп.1-21, отличающийся тем, соединение с по меньшей мере двумя карбоксильными группами вводят вместе с водным раствором глиоксиловой кислоты или в исходную реакционную среду, содержащую гидроксилсодержащее ароматическое соединение формулы I, воду и гидроксид щелочного металла.
25. Способ по п.1, отличающийся тем, что гидроксидом щелочного металла является гидроксид натрия.
26. Способ по п.1, отличающийся тем, что температура реакции составляет 20-60