Патент на изобретение №2232160
|
||||||||||||||||||||||||||
(54) 2,4-ДИМОРФОЛИЛ-6-ЗАМЕЩЁННЫЕ СИМ-ТРИАЗИНЫ В КАЧЕСТВЕ РОСТСТИМУЛЯТОРОВ СЕМЯН ПШЕНИЦЫ
(57) Реферат: Описываются 2,4-диморфолил-6-замещенные сим-триазины, которые используются в качестве ростстимуляторов прорастания семян и увеличения длины гипокотиля и корня проростков пшеницы. Они отличаются высокой ростстимулирующей активностью даже при высоких разбавлениях, что резко снижает расход по действующему веществу и улучшает экологическую обстановку. 1 табл. Изобретение относится к химии и сельскому хозяйству, конкретно к замещенным 1,3,5-триазинам в качестве стимуляторов проростания семян. Известно применение индолил-3-уксусной кислоты (гетероауксина) строения
который используют в качестве стимуляторов прорастания семян ауксинового типа действия, а также для стимуляции укоренения черенков плодовых и косточковых растений путем предварительного замачивания в водном растворе в течение 1 и 6 ч соответственно [см. Регуляторы роста растений./Под ред. В.С. Шевелухи. – М.: Агропромиздат, 1990, 192 с.]. Недостатками применения гетероауксина являются относительно высокая стоимость (240 тыс.руб за кг на 10.12.02 г.), узкий спектр рекомендованных для обработки семян и относительно невысокая стимулирующая активность (он слабо стимулирует прибавку длины гипокотиля и корня проростков).
Известны также 2-цианметилокси-4,6-бис-алкил(диалкил)амино-сим-триазины, строения
где R, R1, R2 и R3=Н, СН3, С2Н5 и изо-С3Н7, одинаковые или разные,
которые применяют в качестве гербицидов для подавления роста пшеницы и овсюга [см. В.В. Довлатян, К.А. Элиазян. Синтез пестицидов. 2-Цианметилокси-4,6-бис-алкил(диалкил)амино-сим-триазины и некоторые их превращения. – Арм. хим. ж., 1971, т.24, №4, с.354-361]. Применение их в качестве ростстимуляторов неизвестно.
Техническим решением задачи является увеличение длины гипокотиля и корней проростков пшеницы и расширение ассортимента используемых ростстимуляторов.
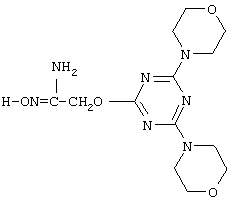
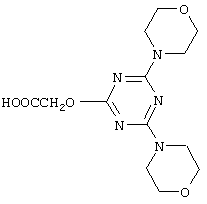
Задача достигается получением новых производных ряда 1,3,5-триазина -2,4-бис(морфолил)-6-[( -амино-( ‘-оксиимино)этилокси]-сим -триазин и 2,4-бис(морфолил)-6-(3-оксикарбонилметилокси-сим-триазин строения
которые могут быть использованы в качестве эффективных ростстимуляторов проростания семян и увеличения длины гипокотиля и корня проростков пшеницы.
Новизна заявленного предложения усматривается в том, что предлагаются новые производные 2,4-дизамещенных сим-триазинов в качестве ростстимуляторов прорастания семян пшеницы, что позволяет увеличить параметры длины гипокотиля и корня. Они отличаются высокой росстмулирующей активностью даже при высоких (1 10-4 мас.%) разбавлениях, что резко снижает расход по ДВ и улучшает экологическую обстановку. Они также относительно просто и из дешевых исходных синтезируются, что снижает их стоимость.
При этом заявленные 2,4-дизамещенные сим-триазины получают известным методом – взаимодействием соответствующего 6-цианометилокси-4,6-диморфолил-сим-триазина с гидроксиламином или кислотным гидролизом указанного цианометилоксипроизводного в растворе, в воде, при кипячении смеси в первом случае и при температуре 20 С – в случае синтеза кислоты [см. В.В.Довлатян, К.А.Элиазян. Синтез пестицидов. 2-Цианметилокси-4,6-бис-алкил(диалкил)амино-сим-триазины и некоторые их превращения. -Арм. хим. ж., 1971, т.24, №4, с.354-361]. Исходный хлористый (4,6-диморфолил-1,3,5-триазин-2-ил)триметиламмоний для синтеза цианометилоксипроизводного получают известным методом [см. А.А.Чеснюк, С.Н.Михайличенко, В.С.Заводнов, В.Н.Заплишный. Синтез и превращения четвертичных триметиламмонийных солей 2-хлор-4,6-дизамещенных 1,3,5-триазина в некоторых реакциях SN.-ХГС, 2002, №2, с.197-203].].
Использованные органические растворители перед употреблением очищают по известным методикам [см. А.Гордон, Р.Форд. Спутник химика. М.: Мир. 1976. -541 с.].
Для сравнения рострегулирующей активности используют известный ростстимулятор ауксинового типа действия – индолилуксусную кислоту (гетероауксин) – прототип по применению.
Примеры исполнения заявленного предложения представлены ниже.
Пример 1. 2-Цианометилокси-4,6-бис(морфолил)-1,3,5-триазин (ЦОМТ) и 2,4-бис(морфолил)-6-[( -aминo- ‘-oкcииминo)этилoкcи]-сим-триазин (АГЭТ). В колбе готовят цианметилирующую смесь из 2 мл воды, 0,56 г (8,7 ммоль) цианистого калия и 0,65 г (8,7 ммоль) 40%-ного водного раствора формалина. К смеси при перемешивании и температуре не выше +5 С, прибавляют по каплям раствор 2 г (5,8 ммоль) хлористого (4,6-диморфолил-1,3,5-триазин-2-ил)триметиламмония в 5 мл воды. Реакционную смесь перемешивают 2 ч при 20 С и разбавляют 20 мл холодной воды. Образовавшиеся белые хлопья отфильтровывают, тщательно промывают водой до отсутствия хлор-иона в промывных водах и высушивают при 50-60 С. Получают 1,19 г (75%) ЦОМТ в виде белого цвета порошка с т.пл. 155-156 С, не растворимого в воде и растворимого в спирте, ацетоне, хлористом метилене и других полярных органических растворителях.
Найдено,%: С 51,13; Н 6,09; N 27,60. C13H18N6O. Вычислено,%: С 50,97; Н 5,92; N 27,44.
ИКС, , см-1 (группа): 2340 ср. (C N);1580, 1540 с. (С=С, C=N – сопр. и циануратный цикл.); 1210, 1170 с. (С-О-С).
ПМР, , м.д. (группа): 5.02 (2Н с, OCH2CN); 3.60-3.80 (16Н м, NСН2 + ОСН2).
Мол. ион (масс спектроскопически) 274.
К раствору 0,24 г (3 ммоль) гидроксиламина солянокислого в 10 мл воды при температуре 20 С и перемешивании маленькими порциями прибавляют 0,252 г (3 ммоль) бикарбоната натрия и продолжают перемешивание до окончания выделения СО2. К полученной смеси прибавляют раствор 0,5 г (1,7 ммоль) ЦОМТ в 20 мл этанола и кипятят с обратным холодильником в течение 6 ч. Растворители отгоняют в водоструйном вакууме досуха, остаток промывают водой (3 20 мл) и высушивают при 50-60 С. После очистки кристаллизацией из этанола получают 0,55 г (95%) целевого АГЭТ в виде белого мелкокристаллического порошка с т. пл. 224-225 С, не растворимого в воде и хорошо растворимого в полярных органических растворителях.
Найдено, %: С 46,19; Н 6,37; N 29,08. C13H21N7O4. Вычислено, %: С 46,01; Н 6,24; N 28,89.
ИКС, , см-1 (группа): 3410, 3250 д.уш.ср., (NH2 и ОН); 1660 ср. (C=N);1580, 1540 с. (C=C, C=N – сопр. и циануратный цикл.);
ПМР, , м.д. (группа): 9.12 (1Н уш.с, ОН); 5.67 (2Н с, NH2); 4.62 (2Н с, O-СН2); 3.55-3.75 (16Н м, NСН2+ ОСН2).
Мол. ион (масс спектроскопически) 339.
Пример 2. 2,4-Бис(морфолил)-6- -оксикарбонилметилокси-сим-триазин (ОКМТ). К 1 г (3,3 ммоль) полученного по примеру 1 и мелкоизмельченного 2-цианометилокси-4,6-диморфолил-сим-триазина (ЦОМТ) прибавляют 3,5 мл конц. соляной кислоты и выдерживают смесь 0,5 ч при температуре 20 С. Затем при перемешивании и этой же температуре реакционную смесь подщелачивают 40%-ным водным раствором едкого натра до рН 7. Образовавшийся обильный осадок отфильтровывают, тщательно промывают водой и высушивают при 50-60 С. Получают 0,46 г (70%) целевого ОКМТ в виде белого цвета порошка с т.пл. 186-187 С, не растворимого в воде и растворимого в спирте, ацетоне, хлористом метилене и других полярных органических растворителях.
Найдено,%: С 48,15; Н 6,06; N 21,68. C13H19N5O5. Вычислено,%: С 47,99; Н 5,89;N 21,53.
ИКС, , cм-1 (группа): 3400-3260 уш.(ОНкислот); 1715с.(С=O);
1600,1580,1540 с. (С=С, C=N – сопр. и циануратный цикл.);
ПМР, , м.д. (группа): 12.70-12.80 (1Н уш.с, – СООН); 4.62 (2Н с, OCH2COOH); 3.60-3.75 (16Н м, NCH2 + ОСН2морфолил).
Мол. ион (масс спектроскопически) 325.
Пример 3. 2,4-Бис(морфолил)-6- -оксикарбонилметилокси-сим-триазин (ОКМТ). В условиях, аналогичных примеру 2, из тех же количеств исходных ЦОМТ и конц. НСl, с той лишь разницей, что порядок прибавления исходных обратный, а процесс премешивания увеличивают до 1 ч, получают 0,42 г (64%) ОКМТ в виде белого цвета порошка, все константы которого соотвествуют таковым для ОКМТ в примере 2.
Пример 4. 2,4-Бис(морфолил)-6-[( -амино- ‘-оксиимино)этилокси]-сим-триазин (АГЭТ). В условиях, аналогичных примеру 1, из тех же количеств исходных и в том же порядке их прибавления, с той лишь разницей, что процесс кипячения увеличивают до 10 ч, получают 0,56 г (96,7%) АГЭТ в виде белого цвета порошка, все константы которого соотвествуют таковым для АГЭТ в примере 1.
Синтезированные 2,4-диморфолил-6-замещенные сим-триазины используют в качестве ростстимуляторов семян и проростков пшеницы.
При этом готовят их водные растворы концентрации 0,01-0,0001 мас.% и осуществляют предпосевную обработку семян пшеницы методом замачивания семян в водном растворе триазолил-триазина соответствующей концентрации в течение 1 ч. Для сравнения используют водный раствор Гетероауксина в концентрации 0,001 мас.%. Ввиду плохой растворимости в воде, исходные 2-замещенные 1,3,5-триазины и гетероауксин предварительно “подрастворяют” в небольшом количестве спирта. В качестве контроля используют вариант с обработкой семян водой.
Использование 2,4-диморфолил-6-замещенных сим-триазинов в качестве стимуляторов роста пшеницы иллюстрируется нижеприведенными примерами.
Пример 5. После замачивания в рабочем растворе (или в воде, в случае контроля) в течение 1 ч семена просушивали 24 ч в воздушно-конвективном режиме при температуре 20 С и проращивали в чашке Петри на постоянно увлажненной фильтровальной бумаге (25 шт. на вариант в пяти повторностях) при температуре 25±1 С в течение 10 сут. Через 10 дней проводят замеры длины корней и гипокотиля (1i), которые сравнивают с контрольными (1k) и определяют относительную длину в % по формуле
Полученные данные усредняли, а среднеарифметические значения длины корней и гипокотиля, а также относительную прибавку этих показателей по отношению к контролю в % сводили в таблицу (см. таблицу в конце описания).
Как видно из данных этой таблицы, применение предлагаемых 2,4-диморфолил-6-замещенных сим-триазинов в качестве ростстимуляторов семян пшеницы приводит к нижеследующим результатам.
В случае АГЭТ, его применение в качестве ростстимулятора в концентрации 0,01-0,0001 мас.% увеличивает длину гипокотиля в сранении с контролем на 40-46% (57-60 вместо 41 мм), в то время как применение известного ростстимулятора гетероауксин увеличивает этот показатель в сравнении с контролем лишь на 4,2% (42,7 вместо 41 мм). Одновременно длина корня увеличивается на 10-19% (95-102 вместо 86 мм), в то время как применение гетероауксина увеличивает этот показатель лишь на 3,5-6% (89,0-91,1 вместо 86 мм).
В случае ОКМТ, его применение в качестве ростстимулятора в концентрации 0,01-0,0001 мас.% увеличивает длину гипокотиля в сравнении с контролем на 27-49% (52-61 вместо 41 мм), в то время как применение известного ростстимулятора гетероауксин увеличивает этот показатель в сравнении с контролем лишь на 4,2% (42,7 вместо 41 мм). Одновременно длина корня увеличивается на 7,0-16,0% (92-100 вместо 86 мм), в то время как применение гетероауксина увеличивает этот показатель лишь на 3,5-6% (89,0-91,1 вместо 86 мм).
Заявленные соединения отличаются высокой стимулирующей активностью и при больших (0,0001 мас.%) разбавлениях, при которых известный гетероауксин увеличение длины гипокотиля вообще не стимулирет, а корня -лишь на 3,5%. В отличие от пятистадийного промышленного синтеза гетероауксина заявленные соединения получаются в одну стадию, из доступных и относительно недорогих исходных.
Таким образом, применение заявленных 2,4-диморфолил-6-замещенных сим-триазинов в качестве ростстимуляторов позволяет увеличить длину корней и гипокотиля проростков пшеницы, а также уменьшить расходы средства и расширить ассортимент известных ростстимуляторов.
Формула изобретения 2,4-Диморфолил-6-замещенные сим-триазины строения
и
в качестве ростстимуляторов семян и проростков пшеницы.
MM4A Досрочное прекращение действия патента Российской Федерации на изобретение из-за неуплаты в установленный срок пошлины за поддержание патента в силе
Дата прекращения действия патента: 15.01.2005
Извещение опубликовано: 20.09.2006 БИ: 26/2006
|
||||||||||||||||||||||||||

который используют в качестве стимуляторов прорастания семян ауксинового типа действия, а также для стимуляции укоренения черенков плодовых и косточковых растений путем предварительного замачивания в водном растворе в течение 1 и 6 ч соответственно [см. Регуляторы роста растений./Под ред. В.С. Шевелухи. – М.: Агропромиздат, 1990, 192 с.]. Недостатками применения гетероауксина являются относительно высокая стоимость (240 тыс.руб за кг на 10.12.02 г.), узкий спектр рекомендованных для обработки семян и относительно невысокая стимулирующая активность (он слабо стимулирует прибавку длины гипокотиля и корня проростков).
Известны также 2-цианметилокси-4,6-бис-алкил(диалкил)амино-сим-триазины, строения
где R, R1, R2 и R3=Н, СН3, С2Н5 и изо-С3Н7, одинаковые или разные,
которые применяют в качестве гербицидов для подавления роста пшеницы и овсюга [см. В.В. Довлатян, К.А. Элиазян. Синтез пестицидов. 2-Цианметилокси-4,6-бис-алкил(диалкил)амино-сим-триазины и некоторые их превращения. – Арм. хим. ж., 1971, т.24, №4, с.354-361]. Применение их в качестве ростстимуляторов неизвестно.
Техническим решением задачи является увеличение длины гипокотиля и корней проростков пшеницы и расширение ассортимента используемых ростстимуляторов.
Задача достигается получением новых производных ряда 1,3,5-триазина -2,4-бис(морфолил)-6-[(
-амино-(
которые могут быть использованы в качестве эффективных ростстимуляторов проростания семян и увеличения длины гипокотиля и корня проростков пшеницы.
Новизна заявленного предложения усматривается в том, что предлагаются новые производные 2,4-дизамещенных сим-триазинов в качестве ростстимуляторов прорастания семян пшеницы, что позволяет увеличить параметры длины гипокотиля и корня. Они отличаются высокой росстмулирующей активностью даже при высоких (1
10-4 мас.%) разбавлениях, что резко снижает расход по ДВ и улучшает экологическую обстановку. Они также относительно просто и из дешевых исходных синтезируются, что снижает их стоимость.
При этом заявленные 2,4-дизамещенные сим-триазины получают известным методом – взаимодействием соответствующего 6-цианометилокси-4,6-диморфолил-сим-триазина с гидроксиламином или кислотным гидролизом указанного цианометилоксипроизводного в растворе, в воде, при кипячении смеси в первом случае и при температуре 20
С – в случае синтеза кислоты [см. В.В.Довлатян, К.А.Элиазян. Синтез пестицидов. 2-Цианметилокси-4,6-бис-алкил(диалкил)амино-сим-триазины и некоторые их превращения. -Арм. хим. ж., 1971, т.24, №4, с.354-361]. Исходный хлористый (4,6-диморфолил-1,3,5-триазин-2-ил)триметиламмоний для синтеза цианометилоксипроизводного получают известным методом [см. А.А.Чеснюк, С.Н.Михайличенко, В.С.Заводнов, В.Н.Заплишный. Синтез и превращения четвертичных триметиламмонийных солей 2-хлор-4,6-дизамещенных 1,3,5-триазина в некоторых реакциях SN.-ХГС, 2002, №2, с.197-203].].
Использованные органические растворители перед употреблением очищают по известным методикам [см. А.Гордон, Р.Форд. Спутник химика. М.: Мир. 1976. -541 с.].
Для сравнения рострегулирующей активности используют известный ростстимулятор ауксинового типа действия – индолилуксусную кислоту (гетероауксин) – прототип по применению.
Примеры исполнения заявленного предложения представлены ниже.
Пример 1. 2-Цианометилокси-4,6-бис(морфолил)-1,3,5-триазин (ЦОМТ) и 2,4-бис(морфолил)-6-[(
, см-1 (группа): 2340 ср. (C
N);1580, 1540 с. (С=С, C=N – сопр. и циануратный цикл.); 1210, 1170 с. (С-О-С).
ПМР,
, м.д. (группа): 5.02 (2Н с, OCH2CN); 3.60-3.80 (16Н м, NСН2 + ОСН2).
Мол. ион (масс спектроскопически) 274.
К раствору 0,24 г (3 ммоль) гидроксиламина солянокислого в 10 мл воды при температуре 20
20 мл) и высушивают при 50-60
Полученные данные усредняли, а среднеарифметические значения длины корней и гипокотиля, а также относительную прибавку этих показателей по отношению к контролю в % сводили в таблицу (см. таблицу в конце описания).
Как видно из данных этой таблицы, применение предлагаемых 2,4-диморфолил-6-замещенных сим-триазинов в качестве ростстимуляторов семян пшеницы приводит к нижеследующим результатам.
В случае АГЭТ, его применение в качестве ростстимулятора в концентрации 0,01-0,0001 мас.% увеличивает длину гипокотиля в сранении с контролем на 40-46% (57-60 вместо 41 мм), в то время как применение известного ростстимулятора гетероауксин увеличивает этот показатель в сравнении с контролем лишь на 4,2% (42,7 вместо 41 мм). Одновременно длина корня увеличивается на 10-19% (95-102 вместо 86 мм), в то время как применение гетероауксина увеличивает этот показатель лишь на 3,5-6% (89,0-91,1 вместо 86 мм).
В случае ОКМТ, его применение в качестве ростстимулятора в концентрации 0,01-0,0001 мас.% увеличивает длину гипокотиля в сравнении с контролем на 27-49% (52-61 вместо 41 мм), в то время как применение известного ростстимулятора гетероауксин увеличивает этот показатель в сравнении с контролем лишь на 4,2% (42,7 вместо 41 мм). Одновременно длина корня увеличивается на 7,0-16,0% (92-100 вместо 86 мм), в то время как применение гетероауксина увеличивает этот показатель лишь на 3,5-6% (89,0-91,1 вместо 86 мм).
Заявленные соединения отличаются высокой стимулирующей активностью и при больших (0,0001 мас.%) разбавлениях, при которых известный гетероауксин увеличение длины гипокотиля вообще не стимулирет, а корня -лишь на 3,5%. В отличие от пятистадийного промышленного синтеза гетероауксина заявленные соединения получаются в одну стадию, из доступных и относительно недорогих исходных.
Таким образом, применение заявленных 2,4-диморфолил-6-замещенных сим-триазинов в качестве ростстимуляторов позволяет увеличить длину корней и гипокотиля проростков пшеницы, а также уменьшить расходы средства и расширить ассортимент известных ростстимуляторов.
и
в качестве ростстимуляторов семян и проростков пшеницы.