Патент на изобретение №2231961
|
||||||||||||||||||||||||||
(54) СПОСОБ ПОСТРОЕНИЯ ШАБЛОНА БРЮК
(57) Реферат: Изобретение относится к швейной промышленности. Способ построения шаблона брюк заключается в том, что определяют положение вертикальных осевых линий передней и задней половинок брюк, горизонтальных линий талии, бедер, высоты сидения, колена, низа, боковых, шаговых и среднего среза брюк и баланса задней половинки брюк. Величину баланса задней половинки брюк определяют путем вычитания из величины 0,1 полуобхвата бедер разницы между длиной брюк спереди, сзади и сбоку, вводят вспомогательную линию для оформления среднего среза передней половинки брюк, идущую от пересечения линии талии с вертикальной осью передней половинки брюк до вершины шагового среза передней половинки брюк, а на задней половинке брюк производят смещение осевой линии в сторону бокового среза, величину которого определяют по формуле
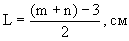
где L – величина смещения осевой линии задней половинки брюк в сторону бокового среза, см; m – ширина задней половинки брюк по линии бедер, см; n – ширина шага задней половинки брюк, см; 3 – дополнительный коэффициент, см, что повышает точность построения шаблона и улучшает внешний вид брюк. 1 ил.
Изобретение относится к швейной промышленности, в частности к способам изготовления женских брюк, в том числе больших размеров.
Известен способ построения шаблона брюк, состоящий в том, что определяют положения вертикальных осевых линий передней и задней половинок брюк, горизонтальных линий талии, бедер, высоты сидения, колена, низа, боковых, шаговых и среднего среза брюк и баланса задней половинки брюк (Единая методика конструирования одежды СЭВ. Базовые конструкции женской одежды. Теоретические основы. T.1, ЦНИИ ТЭИлегпром, М., 1988, с. 48-54 и 80-81).
Недостатком известного способа является возникновение подъягодичной складки в изделиях плотноприлегающих, особенно выполненных из современных тканей, неподдающихся влажно-тепловой обработке; а также оформление средней линии требует постоянной корректировки при раскрое в условиях индивидуального производства брюк, т.е. неудобство построения шаблона брюк.
Задачей изобретения является повышение точности построения шаблона брюк в условиях индивидуального пошива и массового производства и улучшение внешнего вида брюк.
Поставленная задача решена за счет того, в что в способе построения шаблона брюк определяют положения вертикальных осевых линий передней и задней половинок брюк, горизонтальных линий талии, бедер, высоты сидения, колена, низа, боковых, шаговых и среднего срезов брюк и баланса задней половинки брюк, при этом величину баланса задней половинки брюк определяют путем вычитания из величины 0,1 полуобхвата бедер разницы между длиной брюк спереди, сзади и сбоку, вводят вспомогательную линию для оформления среднего среза передней половинки брюк, идущую от пересечения линии талии с вертикальной осью передней половинки брюк до вершины шагового среза передней половинки брюк, а на задней половинке брюк производят смещение осевой линии в сторону бокового среза, величину которого определяют по формуле
где L – величина смещения осевой линии задней половинки брюк в сторону бокового среза, см;
m – ширина задней половинки брюк по линии бедер, см;
n – ширина шага задней половинки брюк, см;
3 – дополнительный коэффициент, см.
Для больших размеров (от 58 и выше) вводят удлинение линии среднего среза от 1 до 3 см в зависимости от обхвата бедер.
Чертеж брюк строят на базовой основе юбки, для этого достаточно чертежа опорной поверхности от линии талии до линии бедер.
Сетка чертежа (см. чертеж):
ТБ – 18-20 см длина участка от линии талии (ЛТ) до линии бедер (ЛБ);
TT1 = ББ1 – ширина изделия по линии бедер;
ББ1=Сб +Пб.
Точки TT1 Б1Б соединяем прямыми линиями.
ББ2 =0,5 (Сб + Пб) + 1 = ширина заднего полотнища юбки, через точку Б2 – линия бокового среза, на пересечении с ЛТ получают точку 2;
Т2Т21 = (1+ 1,5) см – повышение ЛТ по боковому срезу: или Дбб – Дбп.
TT21 и T21T1 – вспомогательные прямые;
B (сумма вытачек) – (Сб + Пб) – (Ст-Пт).
Распределение B
Т21Т4=Т21Т3=0,252:В;
Т3Т4 – боковая вытачка = 0,5 B
T1T11= 1 см (const) для размеров 42-56 скос по среднему шву переднего полотнища; для размеров больше 58 скос 0,5 см.
Раствор передней вытачки =0,15 B;
B – 0,5 B – 1 см – 0,15 B = раствор вытачки на заднем полотнище юбки;
Т3Т6 = 1/3Т3Т11 – месторасположение передней вытачки;
Бв = 0,4ББ2 – месторасположение задней вытачки (см. чертеж).
Построение чертежа брюк (см. чертеж).
Линию бедер проводят вправо и влево за пределы ширины юбки.
Б1Б21 =0,1 Сб – ширина шага передней половинки брюк;
Б2Бп =0,5 Б2Б21 – середина передней половинки брюк (через точку Бп – линия стрелки);
ББ4=0,25 Сб – ширина шага задней половинки брюк;
Б33=3 (const) – поправочный коэффициент для определения месторасположения линии стрелки;
3Б3=0,5 Б3 Б12– линия сгиба задней половинки брюк.
Через точки Бп и Б3 проводим вертикали. На пересечении с линией талии получаем точки Тп и T8.
ТпСп = T8C3=Вс. Через точку С3 и Сп горизонталь – линия сидения ЛС.
Через точки Т11 и Б1 вспомогательная прямая до пересечения с ЛС получаем точку C1.
ТпНп = T8H3 = Дб по вертикали вниз длина брюк, через точки Нп и Н3 горизонталь – линия низа.
ТпКп = Т8К3 = Дб/2+5 линия колена через точки К3 и Кп.
Ширина брюк по линиям низа и колена
HпH1 = НпН2 = Шн/2-1 см, Н3Н4-Н3Н5 =Шн:2+1 см,
Н2К2; К2Б21 вспомогательные прямые для оформления линии,
Н4К4; К4Б4 шагового среза,
H1K1; K1Б2 вспомогательные прямые для оформления линии,
Н5К5; K5E2 бокового среза.
При пересечении вспомогательными линиями бокового и шагового срезов линии сидения получаем точки C4C12C2C21.
Линии боковых и шаговых срезов оформляем с прогибами внутрь деталей, величина прогибов указана на чертеже.
Оформление линии среднего среза передней половинки брюк.
TпC21 вспомогательная прямая на пересечении с T11C11 получаем точку Б11.
Из С11 биссектриса до пересечения со вспомогательной прямой получаем точку 0.
Отрезок С11 0 делим на 3 части.
01 =1/3 C11 0. Через точки Т11 Б1 C21 плавная линия.
Баланс брюк
ББ1 = Т5Т1 = 0,1 Сб – (1,5+3) см; 2-2,5, если Дбб – Дб3 = 1,5±0,3,
1,5 – для крутых, выступающих ягодиц; Дбб – Дб3 = 0+1 см,
3,0 – для плоских ягодиц; Дбб – Дб3 > 2 или Дб3 = Дбп = Дбб.
ББ1 = балансу брюк R = Б2Б через точку Б1 и Б2 вспомогательная прямая -линия бедер задней половинки брюк. Относительно этой линии поворачивают опорную часть заднего полотнища юбки (см. чертеж Б1Т1 T41Б2). Линию середины ТБ продолжают до пересечения с линией сидения – вспомогательная линия для оформления среднего среза задней половинки брюк.
Оформление линии среднего среза задней половинки брюк
С4С5 – 1,5 CM ВНИЗ ПО ЛИНИИ Б4К4.
С5С3 – вспомогательная прямая на пересечении линий С5С3 и T15Б1 получаем точку С1.
Биссектриса С1 = 1,5 см отрезок С1 2 1,5-2 см.
Через точки T1B1B 2 С5 – плавная линия.
Участок C5 2 оформляют с прогибом = 0,3-0,7 за линию С5С3.
Линия талии плавная линия.
Если нужны брюки свободной формы или Об > 120 см, то линию середины (стрелки) задней половинки определяют делением участка Б4Б2, получают точку Б3 (см. чертеж пунктирные линии).
А для оформления линии шагового среза из точки Б4 вертикаль вниз до ЛС – точка С14 и далее вниз на 1,5 см – точка С15.
С15 К4 – плавная вогнутая линия.
Повышение качества изделия зависит от правильного месторасположения вертикальных осевых линий передней и задней половинок брюк. Для этого на горизонтальной линии бедер откладывают ширины шага передней и задней половинок брюк. Осевую линию передней половинки брюк определяют классическим способом, как во всех существующих методах построения шаблонов брюк. Для построения осевой линии задней половинки брюк вводят коэффициент (К = 3 const) на чертеже Б43 (фиг.1), а далее остаток 3Б2 делят пополам и через точку Бз проводят вертикаль – осевую линию задней половинки брюк, которая смещена в сторону бокового среза на 0,1-2,0 см. Введение коэффициента позволяет избежать подъягодичной складки (мешковатости брюк под линией сидения).
Предлагаемый способ позволяет обеспечить пошив брюк современных, плотноприлегающих форм из современных тканей, не поддающихся влажно-тепловой обработке.
Способ построения шаблона передней и задней половинки брюк независимо друг от друга позволяет выполнять раскрой непосредственно на ткани без построения бумажных лекал.
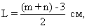
Формула изобретения Способ построения шаблона брюк путем определения положения вертикальных осевых линий передней и задней половинок брюк, горизонтальных линий талии, бедер, высоты сидения, колена, низа, боковых, шаговых и среднего среза брюк и баланса задней половинки брюк, отличающийся тем, что величину баланса задней половинки брюк определяют путем вычитания из величины 0,1 полуобхвата бедер разницы между длиной брюк спереди, сзади и сбоку, вводят вспомогательную линию для оформления среднего среза передней половинки брюк, идущую от пересечения линии талии с вертикальной осью передней половинки брюк до вершины шагового среза передней половинки брюк, а на задней половинке брюк производят смещение осевой линии в сторону бокового среза, величину которого определяют по формуле
где L – величина смещения осевой линии задней половинки брюк в сторону бокового среза, см;
m – ширина задней половинки брюк по линии бедер, см;
n – ширина шага задней половинки брюк, см;
3 – дополнительный коэффициент, см.
РИСУНКИ
MM4A Досрочное прекращение действия патента Российской Федерации на изобретение из-за неуплаты в установленный срок пошлины за поддержание патента в силе
Дата прекращения действия патента: 31.12.2004
Извещение опубликовано: 20.06.2006 БИ: 17/2006
|
||||||||||||||||||||||||||

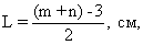
где L – величина смещения осевой линии задней половинки брюк в сторону бокового среза, см; m – ширина задней половинки брюк по линии бедер, см; n – ширина шага задней половинки брюк, см; 3 – дополнительный коэффициент, см, что повышает точность построения шаблона и улучшает внешний вид брюк. 1 ил.
Изобретение относится к швейной промышленности, в частности к способам изготовления женских брюк, в том числе больших размеров.
Известен способ построения шаблона брюк, состоящий в том, что определяют положения вертикальных осевых линий передней и задней половинок брюк, горизонтальных линий талии, бедер, высоты сидения, колена, низа, боковых, шаговых и среднего среза брюк и баланса задней половинки брюк (Единая методика конструирования одежды СЭВ. Базовые конструкции женской одежды. Теоретические основы. T.1, ЦНИИ ТЭИлегпром, М., 1988, с. 48-54 и 80-81).
Недостатком известного способа является возникновение подъягодичной складки в изделиях плотноприлегающих, особенно выполненных из современных тканей, неподдающихся влажно-тепловой обработке; а также оформление средней линии требует постоянной корректировки при раскрое в условиях индивидуального производства брюк, т.е. неудобство построения шаблона брюк.
Задачей изобретения является повышение точности построения шаблона брюк в условиях индивидуального пошива и массового производства и улучшение внешнего вида брюк.
Поставленная задача решена за счет того, в что в способе построения шаблона брюк определяют положения вертикальных осевых линий передней и задней половинок брюк, горизонтальных линий талии, бедер, высоты сидения, колена, низа, боковых, шаговых и среднего срезов брюк и баланса задней половинки брюк, при этом величину баланса задней половинки брюк определяют путем вычитания из величины 0,1 полуобхвата бедер разницы между длиной брюк спереди, сзади и сбоку, вводят вспомогательную линию для оформления среднего среза передней половинки брюк, идущую от пересечения линии талии с вертикальной осью передней половинки брюк до вершины шагового среза передней половинки брюк, а на задней половинке брюк производят смещение осевой линии в сторону бокового среза, величину которого определяют по формуле
где L – величина смещения осевой линии задней половинки брюк в сторону бокового среза, см;
m – ширина задней половинки брюк по линии бедер, см;
n – ширина шага задней половинки брюк, см;
3 – дополнительный коэффициент, см.
Для больших размеров (от 58 и выше) вводят удлинение линии среднего среза от 1 до 3 см в зависимости от обхвата бедер.
Чертеж брюк строят на базовой основе юбки, для этого достаточно чертежа опорной поверхности от линии талии до линии бедер.
Сетка чертежа (см. чертеж):
ТБ – 18-20 см длина участка от линии талии (ЛТ) до линии бедер (ЛБ);
TT1 = ББ1 – ширина изделия по линии бедер;
ББ1=Сб +Пб.
Точки TT1 Б1Б соединяем прямыми линиями.
ББ2 =0,5 (Сб + Пб) + 1 = ширина заднего полотнища юбки, через точку Б2 – линия бокового среза, на пересечении с ЛТ получают точку 2;
Т2Т21 = (1+ 1,5) см – повышение ЛТ по боковому срезу: или Дбб – Дбп.
TT21 и T21T1 – вспомогательные прямые;
B (сумма вытачек) – (Сб + Пб) – (Ст-Пт).
Распределение
Н2К2; К2Б21 вспомогательные прямые для оформления линии,
Н4К4; К4Б4 шагового среза,
H1K1; K1Б2 вспомогательные прямые для оформления линии,
Н5К5; K5E2 бокового среза.
При пересечении вспомогательными линиями бокового и шагового срезов линии сидения получаем точки C4C12C2C21.
Линии боковых и шаговых срезов оформляем с прогибами внутрь деталей, величина прогибов указана на чертеже.
Оформление линии среднего среза передней половинки брюк.
TпC21 вспомогательная прямая на пересечении с T11C11 получаем точку Б11.
Из С11 биссектриса до пересечения со вспомогательной прямой получаем точку 0.
Отрезок С11 0 делим на 3 части.
01 =1/3 C11 0. Через точки Т11 Б1 C21 плавная линия.
Баланс брюк
ББ1 = Т5Т1 = 0,1 Сб – (1,5+3) см; 2-2,5, если Дбб – Дб3 = 1,5±0,3,
1,5 – для крутых, выступающих ягодиц; Дбб – Дб3 = 0+1 см,
3,0 – для плоских ягодиц; Дбб – Дб3 > 2 или Дб3 = Дбп = Дбб.
ББ1 = балансу брюк R = Б2Б через точку Б1 и Б2 вспомогательная прямая -линия бедер задней половинки брюк. Относительно этой линии поворачивают опорную часть заднего полотнища юбки (см. чертеж Б1Т1 T41Б2). Линию середины ТБ продолжают до пересечения с линией сидения – вспомогательная линия для оформления среднего среза задней половинки брюк.
Оформление линии среднего среза задней половинки брюк
С4С5 – 1,5 CM ВНИЗ ПО ЛИНИИ Б4К4.
С5С3 – вспомогательная прямая на пересечении линий С5С3 и T15Б1 получаем точку С1.
Биссектриса
С1 = 1,5 см отрезок С1 2 1,5-2 см.
Через точки T1B1B 2 С5 – плавная линия.
Участок C5 2 оформляют с прогибом = 0,3-0,7 за линию С5С3.
Линия талии плавная линия.
Если нужны брюки свободной формы или Об > 120 см, то линию середины (стрелки) задней половинки определяют делением участка Б4Б2, получают точку Б3 (см. чертеж пунктирные линии).
А для оформления линии шагового среза из точки Б4 вертикаль вниз до ЛС – точка С14 и далее вниз на 1,5 см – точка С15.
С15 К4 – плавная вогнутая линия.
Повышение качества изделия зависит от правильного месторасположения вертикальных осевых линий передней и задней половинок брюк. Для этого на горизонтальной линии бедер откладывают ширины шага передней и задней половинок брюк. Осевую линию передней половинки брюк определяют классическим способом, как во всех существующих методах построения шаблонов брюк. Для построения осевой линии задней половинки брюк вводят коэффициент (К = 3 const) на чертеже Б43 (фиг.1), а далее остаток 3Б2 делят пополам и через точку Бз проводят вертикаль – осевую линию задней половинки брюк, которая смещена в сторону бокового среза на 0,1-2,0 см. Введение коэффициента позволяет избежать подъягодичной складки (мешковатости брюк под линией сидения).
Предлагаемый способ позволяет обеспечить пошив брюк современных, плотноприлегающих форм из современных тканей, не поддающихся влажно-тепловой обработке.
Способ построения шаблона передней и задней половинки брюк независимо друг от друга позволяет выполнять раскрой непосредственно на ткани без построения бумажных лекал.
где L – величина смещения осевой линии задней половинки брюк в сторону бокового среза, см;
m – ширина задней половинки брюк по линии бедер, см;
n – ширина шага задней половинки брюк, см;
3 – дополнительный коэффициент, см.