Патент на изобретение №2231937
|
||||||||||||||||||||||||||
(54) ЛИНЕЙНЫЙ ИНДУКЦИОННЫЙ УСКОРИТЕЛЬ
(57) Реферат: Изобретение относится к области ускорительной техники и может быть использовано для генерации электронных и ионных пучков наносекундной длительности с высокой частотой следования импульсов. Линейный индукционный ускоритель содержит ферромагнитную индукционную систему в виде набора ферромагнитных сердечников, охваченных витками намагничивания. К окончаниям витков намагничивания прикреплены потенциальные и земляные электроды одинарной формирующей линии. Земляные электроды формирующей линии заземлены через виток намагничивания магнитного коммутатора. Для заряда формирующей линии используется магнитный импульсный генератор, представляющий собой последовательность контуров, состоящих из конденсаторов и дросселей насыщения. В формирующую линию введены дополнительные электроды, электрически связанные с высоковольтным выводом магнитного импульсного генератора и посредством витка намагничивания дополнительного дросселя насыщения с землей линейного индукционного ускорителя. Техническим результатом является повышение амплитуды разрядного напряжения формирующей линии и сокращение времени ее разряда на нагрузку. 2 ил. Изобретение относится к ускорительной технике и может быть использовано для генерации электронных и ионных пучков наносекундной длительности с высокой частотой следования импульсов Известно устройство – линейный индукционный ускоритель, содержащий ферромагнитную индукционную систему в виде набора ферромагнитных сердечников, охваченных витками намагничивания [Вахрушин Ю.Р., Анацкий А.И. Линейные индукционные ускорители. М.: Атомиздат, 1978]. К виткам намагничивания подключены потенциальные и земляные электроды формирующей линии. На потенциальные электроды формирующей линии от источника питания подается импульс зарядного напряжения, как правило, положительной полярности, амплитудой 30-250 кВ в зависимости от класса установки. Второй электрод заземлен. После включения коммутатора формирующей линии, установленного в разрыве любого из электродов, одинарная формирующая линия начинает разряжаться, формируя ток по виткам намагничивания ферромагнитных сердечников индукционной системы. Этот ток вызывает переменный магнитный поток, создающий вихревое электрическое поле, ускоряющее электроны. Напряженность электрического поля по оси индукционной системы определяется как
где N – число сердечников; U(t) – напряжение, прикладываемое к виткам намагничивания (разрядное напряжение формирующей линии); L – длина индукционной системы.
В качестве коммутатора формирующих линий используются газовые искровые разрядники. Подобным коммутаторам присущи ограничения по частоте срабатывания. Кроме того, при работе разрядников наблюдается эрозия материала электродов, что заставляет уменьшать величину коммутируемой энергии либо снижать количество импульсов между профилактическими работами по очистке изоляторов разрядников.
Подобный линейный индукционный ускоритель содержит ферромагнитную индукционную систему в виде набора ферромагнитных сердечников, охваченных витками намагничивания, к окончаниям которых подключены концы потенциальных и земляных электродов одинарной формирующей линии. Формирующая линия линейного индукционного ускорителя может быть выполнена в виде одной пары или нескольких пар электродов, образуя чередующийся набор потенциальных и земляных электродов, разделенных слоями изоляции. Формирующая линия для уменьшения весогабаритных показателей ускорителя может быть намотана по спирали Архимеда вокруг сердечников индукционной системы [Винтизенко И.И., Фурман Э.Г. Линейные индукционные ускорители Изв. ВУЗов. Физика, 1998, №4. Приложение, с.111-119]. В случае применения нескольких пар электродов витки намагничивания сердечников индукционной системы имеют с каждой стороны сердечника несколько отводов. Число отводов с каждой стороны сердечника совпадает с числом потенциальных электродов и с числом земляных электродов. Потенциальные и земляные электроды формирующей линии попарно электрически связаны, образуя параллельное соединение. Противоположные концы электродов формирующей линии подключены к магнитному импульсному генератору. Потенциальные электроды одинарной формирующей линии подключены к высоковольтному выводу магнитного импульсного генератора. Земляные электроды формирующей линии через виток намагничивания магнитного коммутатора соединены с землей. При использовании формирующей линии, состоящей из нескольких пар электродов, виток намагничивания магнитного коммутатора имеет несколько отводов для подключения всех земляных электродов.
1, С2,… СN равны между собой. Каждый следующий дроссель насыщения Li по сравнению с предыдущим Li-1 имеет меньшее число витков обмотки, то есть меньшую индуктивность обмотки при насыщенном состоянии сердечника. При передаче энергии от одного контура МИГ к другому происходит компрессия энергии: увеличивается передаваемая мощность за счет сокращения времени заряд-разрядных процессов. Это позволяет заряжать формирующую линию за время в сотни наносекунд.
Для функционирования линейного индукционного ускорителя необходимо перед подачей зарядного импульса формирующей линии от магнитного импульсного генератора перевести сердечники индукционной системы и сердечник магнитного коммутатора в состояние обратного насыщения. Для этого используется дополнительный источник тока [Бутаков Л.Д., Васильев В.В., Винтизенко И.И., Фурман Э.Г. Линейные индукционные ускорители на магнитных элементах. ПТЭ, 2001, №5, с.104-110].
Для увеличения выходной мощности на нагрузке в приборе-прототипе использована формирующая линия с емкостью, в 1,3-1,8 раз меньшей, чем емкость конденсатора последнего контура МИГ CN. В этом случае происходит увеличение зарядного напряжения формирующей линии по сравнению с зарядным напряжением конденсатора CN. Разряд формирующей линии на нагрузку за счет уменьшения ее емкости происходит за более короткий интервал времени. Рост зарядного напряжения и сокращение длительности разрядного процесса позволяет увеличить мощность, выделяемую на нагрузку на 20-50%, в зависимости от соотношения между емкостями конденсатора последнего контура МИГ и емкости формирующей линии. Изготовленные по указанной схеме линейные индукционные ускорители экспериментально продемонстрировали увеличение выходных параметров [Бутаков Л.Д., Васильев В.В., Винтизенко И.И., Фурман Э.Г. Линейные индукционные ускорители на магнитных элементах ПТЭ, 2001, №5, с.104-110].
Недостатком прибора-прототипа является снижение к.п.д. передачи энергии от МИГ в формирующую линию при увеличении соотношения между емкостями конденсатора последнего контура МИГ и формирующей линии. При увеличении указанного соотношения возрастает величина остаточного напряжения на конденсаторе последнего контура МИГ. Кроме того, растет величина зарядного напряжения формирующей линии, что может превысить пробивные значения для используемой электрической изоляции.
Если ввести коэффициент передачи энергии , который определяется как отношение энергии, запасаемой в N к моменту насыщения дросселя LN (дроссель насыщения последнего контура МИГ), к энергии, запасенной в формирующей линии к моменту насыщения магнитного коммутатора, то в предположении отсутствия потерь в обмотке дросселя насыщения и конденсаторе для коэффициента передачи можно записать
где =CN/CФЛ=2 – отношение емкостей. Таким образом, для приведенного отношения емкостей потери энергии при передаче составляют 11%.
Задачей предлагаемого изобретения является разработка линейного индукционного ускорителя с увеличенной импульсной мощностью на нагрузке. Техническим результатом является повышение амплитуды разрядного напряжения формирующей линии и сокращение времени ее разряда на нагрузку, исключая потери при передаче энергии из конденсатора в формирующую линию. Одновременно отпадает необходимость использования источника тока, предназначенного для размагничивания ферромагнитных сердечников магнитного коммутатора и индукционной системы, используемого в устройстве-прототипе.
Для решения указанной задачи предлагается линейный индукционный ускоритель, содержащий, как и прототип, ферромагнитную индукционную систему в виде набора ферромагнитных сердечников, охваченных витками намагничивания. К окончаниям витков намагничивания подключены концы потенциальных и земляных электродов одинарной формирующей линии. Земляные электроды подключены к земле через виток намагничивания магнитного коммутатора. Магнитный импульсный генератор предназначен для заряда формирующей линии и представляет собой последовательность контуров с увеличивающейся собственной частотой, каждый из которых состоит из конденсатора с сосредоточенными параметрами Сi и дросселя насыщения Li.
Отличием от известного технического решения является введение в одинарную формирующую линию дополнительных электродов, расположенных между потенциальными и земляными электродами. Дополнительные электроды электрически связаны с высоковольтным выводом магнитного импульсного генератора и посредством витка намагничивания дополнительного дросселя насыщения с землей линейного индукционного ускорителя. Таким образом, одинарная формирующая линия линейного индукционного ускорителя представляет собой чередующийся набор изолированных друг от друга потенциальных, дополнительных и земляных электродов.
Принципиальная схема устройства изображена на фиг.1 и его эквивалентная электрическая схема показана на фиг.2, где обозначено 1 – ферромагнитная индукционная система, 2 – потенциальный электрод одинарной формирующей линии, 3 – земляной электрод одинарной формирующей линии, 4 – дополнительный электрод одинарной формирующей линии, 5 – магнитный коммутатор Lk, 6 – магнитный импульсный генератор, 7 – витки намагничивания сердечников индукционной системы, 8 – дополнительный дроссель насыщения LN+1. На фиг.1 показан один комплект электродов одинарной формирующей линии пленарной геометрии.
Предлагаемое устройство содержит ферромагнитную индукционную систему 1 из последовательно установленных ферромагнитных сердечников. Ферромагнитный сердечник охвачен витком намагничивания 7. К окончаниям (отводам) витка намагничивания 7 подключены потенциальные электроды одинарной формирующей линии 2. С противоположной стороны сердечника к окончаниям витка намагничивания подключены земляные электроды 3 одинарной формирующей линии. Дополнительные электроды 4 одинарной формирующей линии подключены к высоковольтному выводу магнитного импульсного генератора 6, состоящего из последовательных контуров Сi-Li, где Сi – конденсатор емкостью Ci, Li – дроссель насыщения индуктивностью Li. Дополнительные электроды 4 одинарной формирующей линии посредством витка намагничивания дополнительного дросселя насыщения LN+1 соединены с землей линейного индукционного ускорителя. Сердечник дополнительного дросселя насыщения выполняется из ферромагнитного материала. Земляные электроды 3 одинарной формирующей линии заземлены через виток намагничивания магнитного коммутатора 5. Магнитный коммутатор 5 представляет собой одновитковый дроссель насыщения с сердечником из ферромагнитного материала.
Устройство работает следующим образом. Первоначально от внешних источников (на фигурах не указаны) производится размагничивание сердечников дросселей насыщения L1-LN магнитного импульсного генератора 6, дополнительного дросселя насыщения Ln+1 (8), магнитного коммутатора Lk 5, индукционной системы 1. От внешнего выпрямителя (на фиг.1 и 2 не показан) осуществляется заряд конденсатора С1 первого контура магнитного импульсного генератора 6. При заряде С1 на выводах дросселя насыщения L1 появляется разность потенциалов UC1, вызывающая протекание тока намагничивания и перемагничивание сердечника дросселя насыщения L1. Величина потокосцепления дросселя насыщения L1 составляет 1=W1S1 B, где W1 – число витков, S1 – сечение стали дросселя, В – размах индукции (например, В=2,5 Т для пермаллоя 50 НП) и выбирается таким образом, чтобы сердечник дросселя насытился в момент окончания заряда С1. При насыщении сердечника его магнитная проницаемость уменьшается от =105 до =1 и дроссель насыщения превращается в обычную воздушную индуктивность. Начинается разряд С1 и заряд С2 через индуктивность витков дросселя L1 в интервале времени
Этот интервал времени ограничен величиной потокосцепления дросселя насыщения L2. При заряде конденсатора С2 к виткам дросселя насыщения L2 начинает прикладываться разность потенциалов
где Среднее значение напряжения на витках дросселя насыщения в интервале времени [0, ] составит
где UC2 – амплитуда зарядного напряжения конденсатора С2.
Это напряжение вызывает перемагничивание дросселя насыщения 2 и переход его в состояние с 1 за интервал времени где – потокосцепление дросселя насыщения (W2, S2 – число витков и сечение стали сердечника дросселя насыщения L2, В – размах индукции в стали).
При насыщении дросселя L2 начинается разряд конденсатора С2 и заряд конденсатора С3 через индуктивность обмотки дросселя насыщения L2. Интервал времени этого процесса ограничен величиной потокосцепления дросселя насыщения L3, т.е.
где – потокосцепление дросселя насыщения, W3,S3 – число витков и сечение стали сердечника дросселя насыщения L3 3> – среднее значение напряжения на витках дросселя насыщения L3, где UC3 – амплитуда зарядного напряжения конденсатора С3.
Аналогично предыдущим рассуждениям
где Wk – число витков намагничивания магнитного коммутатора 5, Sk – сечение стали сердечника магнитного коммутатора, СФЛ – емкость формирующей линии. Обычно Wk=1 для того, чтобы обеспечить минимальную индуктивность витка намагничивания магнитного коммутатора в насыщенном состоянии, поскольку где , 0 – магнитная проницаемость ферромагнитного материала сердечников и вакуума, а – линейный размер магнитного коммутатора, DН, DВ – наружный и внутренний диаметры витка намагничивания. Используя соотношения (3-7), рассчитывают параметры линейного индукционного ускорителя. Обычно выбирают С1=С2=… =СN=Сфл для полной передачи энергии от первого контура МИГ в формирующую линию. В этом случае
2>=3>=… =N>=фл>=1/2UC2=1/2UC3=… =1/2UCN=1/2Uфл.
Если СN>Сфл (как в устройстве-прототипе), то зарядное напряжение одинарной формирующей линии составит
Кроме того что одинарная формирующая линия заряжается до большего напряжения, она разряжается на нагрузку за более короткое время, поскольку ее емкость уменьшена. Это позволяет увеличить импульсную мощность, выделяемую на нагрузке. Причем чем меньше емкость формирующей линии, тем больше мощность, отдаваемая ей в нагрузку. Однако, как указывалось выше в соответствие с (2), к.п.д. передачи энергии снижается.
Предлагаемое устройство свободно от указанного недостатка. Введение дополнительных электродов 4 в формирующую линию эквивалентно установке дополнительного конденсатора С’ФЛ (см. фиг.2). Одна сторона дополнительных электродов 4 (верхняя) вместе с потенциальными электродами 2 образуют конденсатор С’ФЛ, а вторая сторона дополнительных электродов 4 (нижняя) вместе с земляными электродами 3 образует конденсатор СФЛ. Емкости конденсаторов выбираются из условия
При появлении импульса зарядного напряжения формирующей линии на высоковольтном выводе МИГ начинается процесс заряда конденсаторов С’ФЛ и СФЛ. В цепи заряда конденсатора С’ФЛ оказываются включенными виток намагничивания магнитного коммутатора и витки намагничивания ферромагнитных сердечников. Протекание зарядного тока конденсатора С’ФЛN последнего контура МИГ в формирующую линию.
В процессе заряда формирующей линии под действием напряжения конденсатора СФЛ на виток намагничивания дополнительного дросселя насыщения N+1 (8) его сердечник начинает перемагничиваться. Через определенный интервал времени, связанный с величиной его потокосцепления
где WN+1, SN+1 – число витков и сечение стали сердечника дополнительного дросселя насыщения LN+1, ФЛ> – среднее значение зарядного напряжения конденсаторов С’ФЛ и СФЛ, сердечник дополнительного дросселя насыщается, (магнитная проницаемость ферромагнитного материала снизится до единицы, индуктивность дополнительного дросселя резко уменьшится). После насыщения LN+1 конденсатор СФЛ начнет перезаряжаться через виток намагничивания дополнительного дросселя насыщения 8. При этом на концах витка намагничивания магнитного коммутатора 5 возникнет разность потенциалов, приводящая к протеканию тока намагничивания. Величина потокосцепления сердечника магнитного коммутатора выбирается из следующего условия:
где tK – длительность перезарядного процесса, LN+1 – индуктивность витка намагничивания дополнительного дросселя насыщения. При выполнении данного условия насыщение сердечника магнитного коммутатора и переход его в “проводящее” состояние происходит в момент времени полного перезаряда конденсатора СФЛ через виток намагничивания дополнительного дросселя LN+1, находящегося в насыщенном состоянии. Таким образом, относительно витков намагничивания индукционной системы конденсаторы СФЛ и С’ФЛ оказываются включенными последовательно. Величина разрядного напряжения формирующей линии возрастает в 2 раза, а разрядная емкость уменьшается в 2 раза.
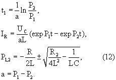
Сравним мощность, выделяемую на нагрузку для двух случаев: устройство-прототип и предлагаемое устройство. Для расчетов выберем величину сопротивления нагрузки в эквивалентной схеме, обеспечивающей апериодический разряд формирующей линии. В этом случае могут быть использованы аналитические формулы, приведенные в [Каплянский А.Е., Лысенко А.П., Полотовский А.С. Теоретические основы электротехники. М.: Государственное энергетическое изд-во, 1961, 527с.]. На стр. 340-341 приведены соотношения для расчета момента времени 1 при разряде емкости на последовательно включенные омическое сопротивление и индуктивность, когда ток в омической нагрузке максимален и величины тока через омическую нагрузку IR:
Для прибора прототипа выберем параметры эквивалентной схемы соответствующие действующему линейному индукционному ускорителю ЛИУ 04/6: L=Lk+Lнапр.+LФЛ 20 10-9 Гн, где Lk=5 10-9 Гн – индуктивность витка намагничивания магнитного коммутатора в насыщенном состоянии; Lнагр.=5 10-9 Гн – индуктивность нагрузки; LФЛ=10-8 Гн – индуктивность формирующей линии, образованной системой из потенциальных и земляных электродов; R=200 /N2 2 (N – число сердечников индукционной системы). Деление сопротивления нагрузки на N2 вызвано тем, что рассматриваются процессы в первичном контуре линейного индукционного ускорителя.
Выберем емкость конденсатора последнего контура МИГ СN=0,3 10-6 Ф и рассчитаем величину IR для варианта Сфл=С=0,2 10-6 Ф. Отметим, что в этом случае емкости конденсатора МИГ и формирующей линии не согласованы между собой и передача энергия осуществляется с потерями. Зарядное напряжение конденсатора последнего контура МИГ выберем 50 кВ, при этом зарядное напряжение формирующей линии составит в соответствии с (8) 61,2 кВ. Следовательно, величина разрядного напряжения одинарной формирующей линии равна UC=30,6 кВ. В этом варианте линейного индукционного ускорителя время нарастания разрядного тока до максимума равно 38,3 нс, амплитуда тока на нагрузке IR1=14,23 кА и мощность, выделяемая на нагрузке 4,05 ГВт.
Для предлагаемого линейного индукционного ускорителя выберем следующие параметры эквивалентной схемы: L=Lk+Lнапр.+LФЛ 30 10-9 Гн, где Lk=5 10-9 Гн – индуктивность витка намагничивания магнитного коммутатора; Lнагр.=5 10-9 Гн – индуктивность нагрузки; LФЛ=2 10-8 Гн – индуктивность формирующей линии, образованной системой из потенциальных, свободных и земляных электродов, R=200 /N2 2 . Возьмем емкость конденсатора последнего контура МИГ равной СN=0,3 10-6 Ф и рассчитаем величины t1 и IR для формирующей линии с емкостью Cфл=0,3 10-6 Ф. Отметим, что в этом случае емкости конденсатора МИГ и формирующей линии равны и передача энергия осуществляется без потерь в отличие от выше рассмотренного случая для устройства-прототипа. Указанная величина емкости формирующей линии складывается из емкости, образованной потенциальными и дополнительными электродами, и емкости, образованной дополнительными и земляными электродами, каждая по 0,15 10-6 Ф. В процессе заряда конденсаторы СФЛ и С’ФЛ включены параллельно и заряжаются каждый до напряжения 50 кВ. Величина потокосцепления магнитного коммутатора в соответствии с условием (11) такая, что происходит полный перезаряд (инвертирование напряжения) конденсатора СФЛ. При насыщении сердечника магнитного коммутатора начинается разряд на нагрузку конденсаторов СФЛ и С’ФЛ, которые “выстраиваются” последовательно, что уменьшает эквивалентную емкость разряда до С=0,075 10-6 Ф, которую и следует подставлять расчеты. Амплитуда разрядного напряжения формирующей линии, образованной двумя последовательно включенными конденсаторами СФЛ и С’ФЛ составляет Uc=50 кВ.
Расчеты по формулам (12) показывают, что время нарастания до максимума составит 40 нс и амплитуда тока на нагрузке: IR2=20,9 кА при мощности 8,73 ГВт.
Таким образом, мощность, выделяемая на нагрузке, в предлагаемом линейном индукционном ускорителе превышает в 2 раза мощность, развиваемую прототипом.
Таким образом, использование в формирующей линии линейного индукционного ускорителя дополнительных электродов, связанных с высоковольтным выводом магнитного импульсного генератора и посредством витка намагничивания дополнительного дросселя насыщения с землей, вызывает увеличение мощности, выделяемой на нагрузке более чем в 2 раза по сравнению с устройством-прототипом. Выполнение линейного индукционного ускорителя по предложенной схеме исключает потери энергии при передаче энергии от МИГ в формирующую линию. Кроме того, по сравнению с устройством-прототипом исключается источник тока для размагничивания ферромагнитных сердечников индукционной системы и магнитного коммутатора.
Формула изобретения Линейный индукционный ускоритель, содержащий ферромагнитную индукционную систему в виде набора ферромагнитных сердечников, охваченных витками намагничивания, к окончаниям которых подключены потенциальные и земляные электроды одинарной формирующей линии, заряжаемой от магнитного импульсного генератора, земляные электроды соединены с землей через виток намагничивания магнитного коммутатора, отличающийся тем, что в одинарную формирующую линию между потенциальными и земляными электродами введены дополнительные электроды, электрически связанные с высоковольтным выводом магнитного импульсного генератора и посредством витка намагничивания дополнительного дросселя насыщения с землей линейного индукционного ускорителя. РИСУНКИ
MM4A Досрочное прекращение действия патента Российской Федерации на изобретение из-за неуплаты в установленный срок пошлины за поддержание патента в силе
Дата прекращения действия патента: 18.12.2004
Извещение опубликовано: 20.09.2006 БИ: 26/2006
|
||||||||||||||||||||||||||

где N – число сердечников; U(t) – напряжение, прикладываемое к виткам намагничивания (разрядное напряжение формирующей линии); L – длина индукционной системы.
В качестве коммутатора формирующих линий используются газовые искровые разрядники. Подобным коммутаторам присущи ограничения по частоте срабатывания. Кроме того, при работе разрядников наблюдается эрозия материала электродов, что заставляет уменьшать величину коммутируемой энергии либо снижать количество импульсов между профилактическими работами по очистке изоляторов разрядников.
Подобный линейный индукционный ускоритель содержит ферромагнитную индукционную систему в виде набора ферромагнитных сердечников, охваченных витками намагничивания, к окончаниям которых подключены концы потенциальных и земляных электродов одинарной формирующей линии. Формирующая линия линейного индукционного ускорителя может быть выполнена в виде одной пары или нескольких пар электродов, образуя чередующийся набор потенциальных и земляных электродов, разделенных слоями изоляции. Формирующая линия для уменьшения весогабаритных показателей ускорителя может быть намотана по спирали Архимеда вокруг сердечников индукционной системы [Винтизенко И.И., Фурман Э.Г. Линейные индукционные ускорители Изв. ВУЗов. Физика, 1998, №4. Приложение, с.111-119]. В случае применения нескольких пар электродов витки намагничивания сердечников индукционной системы имеют с каждой стороны сердечника несколько отводов. Число отводов с каждой стороны сердечника совпадает с числом потенциальных электродов и с числом земляных электродов. Потенциальные и земляные электроды формирующей линии попарно электрически связаны, образуя параллельное соединение. Противоположные концы электродов формирующей линии подключены к магнитному импульсному генератору. Потенциальные электроды одинарной формирующей линии подключены к высоковольтному выводу магнитного импульсного генератора. Земляные электроды формирующей линии через виток намагничивания магнитного коммутатора соединены с землей. При использовании формирующей линии, состоящей из нескольких пар электродов, виток намагничивания магнитного коммутатора имеет несколько отводов для подключения всех земляных электродов.
1, С2,… СN равны между собой. Каждый следующий дроссель насыщения Li по сравнению с предыдущим Li-1 имеет меньшее число витков обмотки, то есть меньшую индуктивность обмотки при насыщенном состоянии сердечника. При передаче энергии от одного контура МИГ к другому происходит компрессия энергии: увеличивается передаваемая мощность за счет сокращения времени заряд-разрядных процессов. Это позволяет заряжать формирующую линию за время в сотни наносекунд.
Для функционирования линейного индукционного ускорителя необходимо перед подачей зарядного импульса формирующей линии от магнитного импульсного генератора перевести сердечники индукционной системы и сердечник магнитного коммутатора в состояние обратного насыщения. Для этого используется дополнительный источник тока [Бутаков Л.Д., Васильев В.В., Винтизенко И.И., Фурман Э.Г. Линейные индукционные ускорители на магнитных элементах. ПТЭ, 2001, №5, с.104-110].
Для увеличения выходной мощности на нагрузке в приборе-прототипе использована формирующая линия с емкостью, в 1,3-1,8 раз меньшей, чем емкость конденсатора последнего контура МИГ CN. В этом случае происходит увеличение зарядного напряжения формирующей линии по сравнению с зарядным напряжением конденсатора CN. Разряд формирующей линии на нагрузку за счет уменьшения ее емкости происходит за более короткий интервал времени. Рост зарядного напряжения и сокращение длительности разрядного процесса позволяет увеличить мощность, выделяемую на нагрузку на 20-50%, в зависимости от соотношения между емкостями конденсатора последнего контура МИГ и емкости формирующей линии. Изготовленные по указанной схеме линейные индукционные ускорители экспериментально продемонстрировали увеличение выходных параметров [Бутаков Л.Д., Васильев В.В., Винтизенко И.И., Фурман Э.Г. Линейные индукционные ускорители на магнитных элементах ПТЭ, 2001, №5, с.104-110].
Недостатком прибора-прототипа является снижение к.п.д. передачи энергии от МИГ в формирующую линию при увеличении соотношения между емкостями конденсатора последнего контура МИГ и формирующей линии. При увеличении указанного соотношения возрастает величина остаточного напряжения на конденсаторе последнего контура МИГ. Кроме того, растет величина зарядного напряжения формирующей линии, что может превысить пробивные значения для используемой электрической изоляции.
Если ввести коэффициент передачи энергии
, который определяется как отношение энергии, запасаемой в N к моменту насыщения дросселя LN (дроссель насыщения последнего контура МИГ), к энергии, запасенной в формирующей линии к моменту насыщения магнитного коммутатора, то в предположении отсутствия потерь в обмотке дросселя насыщения и конденсаторе для коэффициента передачи можно записать
где
=CN/CФЛ=2 – отношение емкостей. Таким образом, для приведенного отношения емкостей потери энергии при передаче составляют 11%.
Задачей предлагаемого изобретения является разработка линейного индукционного ускорителя с увеличенной импульсной мощностью на нагрузке. Техническим результатом является повышение амплитуды разрядного напряжения формирующей линии и сокращение времени ее разряда на нагрузку, исключая потери при передаче энергии из конденсатора в формирующую линию. Одновременно отпадает необходимость использования источника тока, предназначенного для размагничивания ферромагнитных сердечников магнитного коммутатора и индукционной системы, используемого в устройстве-прототипе.
Для решения указанной задачи предлагается линейный индукционный ускоритель, содержащий, как и прототип, ферромагнитную индукционную систему в виде набора ферромагнитных сердечников, охваченных витками намагничивания. К окончаниям витков намагничивания подключены концы потенциальных и земляных электродов одинарной формирующей линии. Земляные электроды подключены к земле через виток намагничивания магнитного коммутатора. Магнитный импульсный генератор предназначен для заряда формирующей линии и представляет собой последовательность контуров с увеличивающейся собственной частотой, каждый из которых состоит из конденсатора с сосредоточенными параметрами Сi и дросселя насыщения Li.
Отличием от известного технического решения является введение в одинарную формирующую линию дополнительных электродов, расположенных между потенциальными и земляными электродами. Дополнительные электроды электрически связаны с высоковольтным выводом магнитного импульсного генератора и посредством витка намагничивания дополнительного дросселя насыщения с землей линейного индукционного ускорителя. Таким образом, одинарная формирующая линия линейного индукционного ускорителя представляет собой чередующийся набор изолированных друг от друга потенциальных, дополнительных и земляных электродов.
Принципиальная схема устройства изображена на фиг.1 и его эквивалентная электрическая схема показана на фиг.2, где обозначено 1 – ферромагнитная индукционная система, 2 – потенциальный электрод одинарной формирующей линии, 3 – земляной электрод одинарной формирующей линии, 4 – дополнительный электрод одинарной формирующей линии, 5 – магнитный коммутатор Lk, 6 – магнитный импульсный генератор, 7 – витки намагничивания сердечников индукционной системы, 8 – дополнительный дроссель насыщения LN+1. На фиг.1 показан один комплект электродов одинарной формирующей линии пленарной геометрии.
Предлагаемое устройство содержит ферромагнитную индукционную систему 1 из последовательно установленных ферромагнитных сердечников. Ферромагнитный сердечник охвачен витком намагничивания 7. К окончаниям (отводам) витка намагничивания 7 подключены потенциальные электроды одинарной формирующей линии 2. С противоположной стороны сердечника к окончаниям витка намагничивания подключены земляные электроды 3 одинарной формирующей линии. Дополнительные электроды 4 одинарной формирующей линии подключены к высоковольтному выводу магнитного импульсного генератора 6, состоящего из последовательных контуров Сi-Li, где Сi – конденсатор емкостью Ci, Li – дроссель насыщения индуктивностью Li. Дополнительные электроды 4 одинарной формирующей линии посредством витка намагничивания дополнительного дросселя насыщения LN+1 соединены с землей линейного индукционного ускорителя. Сердечник дополнительного дросселя насыщения выполняется из ферромагнитного материала. Земляные электроды 3 одинарной формирующей линии заземлены через виток намагничивания магнитного коммутатора 5. Магнитный коммутатор 5 представляет собой одновитковый дроссель насыщения с сердечником из ферромагнитного материала.
Устройство работает следующим образом. Первоначально от внешних источников (на фигурах не указаны) производится размагничивание сердечников дросселей насыщения L1-LN магнитного импульсного генератора 6, дополнительного дросселя насыщения Ln+1 (8), магнитного коммутатора Lk 5, индукционной системы 1. От внешнего выпрямителя (на фиг.1 и 2 не показан) осуществляется заряд конденсатора С1 первого контура магнитного импульсного генератора 6. При заряде С1 на выводах дросселя насыщения L1 появляется разность потенциалов UC1, вызывающая протекание тока намагничивания и перемагничивание сердечника дросселя насыщения L1. Величина потокосцепления дросселя насыщения L1 составляет
1=W1S1
B, где W1 – число витков, S1 – сечение стали дросселя,
=105 до
Этот интервал времени ограничен величиной потокосцепления дросселя насыщения L2. При заряде конденсатора С2 к виткам дросселя насыщения L2 начинает прикладываться разность потенциалов
где
Среднее значение напряжения на витках дросселя насыщения в интервале времени [0,
] составит
где UC2 – амплитуда зарядного напряжения конденсатора С2.
Это напряжение вызывает перемагничивание дросселя насыщения 2 и переход его в состояние с
1 за интервал времени
где
– потокосцепление дросселя насыщения (W2, S2 – число витков и сечение стали сердечника дросселя насыщения L2,
где
– потокосцепление дросселя насыщения, W3,S3 – число витков и сечение стали сердечника дросселя насыщения L3 3>
– среднее значение напряжения на витках дросселя насыщения L3, где UC3 – амплитуда зарядного напряжения конденсатора С3.
Аналогично предыдущим рассуждениям
где Wk – число витков намагничивания магнитного коммутатора 5, Sk – сечение стали сердечника магнитного коммутатора, СФЛ – емкость формирующей линии. Обычно Wk=1 для того, чтобы обеспечить минимальную индуктивность витка намагничивания магнитного коммутатора в насыщенном состоянии, поскольку
где
Кроме того что одинарная формирующая линия заряжается до большего напряжения, она разряжается на нагрузку за более короткое время, поскольку ее емкость уменьшена. Это позволяет увеличить импульсную мощность, выделяемую на нагрузке. Причем чем меньше емкость формирующей линии, тем больше мощность, отдаваемая ей в нагрузку. Однако, как указывалось выше в соответствие с (2), к.п.д. передачи энергии снижается.
Предлагаемое устройство свободно от указанного недостатка. Введение дополнительных электродов 4 в формирующую линию эквивалентно установке дополнительного конденсатора С’ФЛ (см. фиг.2). Одна сторона дополнительных электродов 4 (верхняя) вместе с потенциальными электродами 2 образуют конденсатор С’ФЛ, а вторая сторона дополнительных электродов 4 (нижняя) вместе с земляными электродами 3 образует конденсатор СФЛ. Емкости конденсаторов выбираются из условия
При появлении импульса зарядного напряжения формирующей линии на высоковольтном выводе МИГ начинается процесс заряда конденсаторов С’ФЛ и СФЛ. В цепи заряда конденсатора С’ФЛ оказываются включенными виток намагничивания магнитного коммутатора и витки намагничивания ферромагнитных сердечников. Протекание зарядного тока конденсатора С’ФЛN последнего контура МИГ в формирующую линию.
В процессе заряда формирующей линии под действием напряжения конденсатора СФЛ на виток намагничивания дополнительного дросселя насыщения N+1 (8) его сердечник начинает перемагничиваться. Через определенный интервал времени, связанный с величиной его потокосцепления
где WN+1, SN+1 – число витков и сечение стали сердечника дополнительного дросселя насыщения LN+1, ФЛ> – среднее значение зарядного напряжения конденсаторов С’ФЛ и СФЛ, сердечник дополнительного дросселя насыщается, (магнитная проницаемость ферромагнитного материала снизится до единицы, индуктивность дополнительного дросселя резко уменьшится). После насыщения LN+1 конденсатор СФЛ начнет перезаряжаться через виток намагничивания дополнительного дросселя насыщения 8. При этом на концах витка намагничивания магнитного коммутатора 5 возникнет разность потенциалов, приводящая к протеканию тока намагничивания. Величина потокосцепления сердечника магнитного коммутатора выбирается из следующего условия:
где
Для прибора прототипа выберем параметры эквивалентной схемы соответствующие действующему линейному индукционному ускорителю ЛИУ 04/6: L=Lk+Lнапр.+LФЛ
10-9 Гн, где Lk=5
/N2