Патент на изобретение №2231823
|
||||||||||||||||||||||||||
(54) УСТРОЙСТВО ДЛЯ КОНТРОЛЯ ПОЗИЦИОННЫХ СУММАТОРОВ ПО МОДУЛЮ
(57) Реферат: Изобретение относится к области автоматики и вычислительной техники и может быть использовано в вычислительных структурах для контроля достоверности выполнения арифметических операций. Техническим результатом является повышение быстродействия. Устройство содержит генератор гармонического сигнала, три группы управляемых фазовращателей, фазовый детектор, схему сравнения. 1 ил. Изобретение относится к области автоматики и вычислительной техники и может быть использовано в вычислительных структурах для контроля достоверности выполнения арифметических операций. Известно устройство (аналог) (а.с. СССР №1242961, МКИ G 06 F 11/10, БИ №25, 1986 г.), содержащее дешифратор, счетчик, группы сумматоров по модулю 2, группу триггеров, группу элементов ИЛИ, триггеры, регистры сдвига, генератор тактовых импульсов. Недостаток устройства – низкое быстродействие контроля достоверности выполнения арифметических операций в сумматорах. Известно также устройство (аналог) (а.с. СССР №1310826, МКИ G 06 F 11/10, БИ №18, 1987 г.), содержащее блоки свертки по модулю три, вычитатель, сдвигатели, сумматор по модулю три, сумматоры по модулю два, позиционный сумматор и коммутаторы, мультиплексоры, элемент И. Недостаток устройства – низкое быстродействие контроля достоверности выполнения арифметических операций в сумматорах. Наиболее близким по технической сущности (прототипом к предлагаемому изобретению) является устройство [1, с. 292], содержащее сумматор остатков, схемы вычисления остатков, схему сравнения. Недостаток прототипа – низкое быстродействие, так как для реализации контроля по модулю в нем требуется время 2 лэ] log2N [, ограниченное временем переключения логических элементов лэ, где ] • [ – символ округления в большую сторону до ближайшего целого; N – разрядность двоичного позиционного кода.
Задача, на решение которой направлено заявляемое устройство, состоит в повышении производительности перспективных образцов вычислительной техники.
Технический результат выражается в повышении быстродействия выполнения контроля арифметических операций.
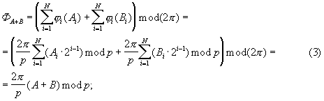
Технический результат достигается тем, что в устройство, содержащее схему сравнения, выход которой является выходом устройства, введены три группы управляемых фазовращателей, генератор гармонического сигнала и фазовый детектор, причем выход генератора гармонического сигнала соединен с первым входом первого управляемого фазовращателя первой группы управляемых фазовращателей и первым входом первого управляемого фазовращателя третьей группы управляемых фазовращателей, при этом в каждой группе управляемых фазовращателей выход r-го управляемого фазовращателя соединен с первым входом (r+1)-го управляемого фазовращателя выход N-го управляемого фазовращателя первой группы управляемых фазовращателей соединен с первым входом первого управляемого фазовращателя второй группы управляемых фазовращателей, при этом выход N-го управляемого фазовращателя второй группы управляемых фазовращателей соединен с первым входом фазового детектора, выход N-го управляемого фазовращателя третьей группы управляемых фазовращателей – со вторым входом фазового детектора, выход которого соединен с первым входом схемы сравнения, а ко второму входу схемы сравнения подключено эталонное напряжение, причем i-е разряды первого и второго операндов сложения соединены соответственно со вторыми входами i-х управляемых фазовращателей первой и второй группы управляемых фазовращателей, а i-й разряд результата арифметической операции сложения, выполненной в позиционном сумматоре, соединен со вторым входом i-го управляемого фазовращателя третьей группы управляемых фазовращателей.
Сущность изобретения основывается на использовании при реализации операции модульного сложения чисел свойства периодичности гармонической функции.
В заявляемом устройстве используется контроль по модулю, основанный на известных из теории чисел [1, с. 291-292] свойствах вычетов, сущность которого состоит в сравнении вычета результата арифметической операции, выполненной в позиционном коде, с результатом той же арифметической операции по модулю, осуществленной над вычетами операндов. При этом решение о правильном выполнении арифметической операции принимается в том случае, если
где А, В – операнды в позиционном коде; С – результат выполнения арифметической операции в позиционном коде, С=А+В; р – целое положительное число.
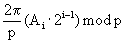
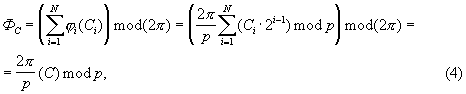
В общем случае, получение вычета g числа G осуществляется путем суммирования по модулю вычетов разрядов позиционного кода этого числа [2, с. 198, формула (7.21)]:
где gi – значение i-го разряда N – разрядного позиционного кода числа G; S – основание позиционной системы счисления (ПСС). Для двоичной ПСС: S=2.
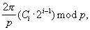
Рассмотрим принципы реализации контроля выполнения операции сложения в позиционном двоичном N-разрядном сумматоре с помощью заявляемого устройства. Устройство контроля позиционных сумматоров по модулю, как показано на фиг.1, включает в свой состав генератор гармонического радиосигнала 4, две параллельные ветви последовательно соединенных управляемых фазовращателей 51-5N, 61-6N и 71-7N, фазовый детектор 8 и схему сравнения 9 с эталонным напряжением Un. В управляемых фазовращателях этого устройства устанавливаются сдвиги фазы i(Ai), i(Bi) и i(Ci), прямо пропорциональные значениям двоичных разрядов Аi, Bi, позиционных кодов чисел
![]() и
где ![]()
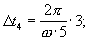
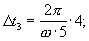
Тогда учитывая периодичность гармонической функции, суммарные сдвиги фазы сигналов на выходах управляемых фазовращателей 6N и 7N относительно фазы радиосигнала на выходе генератора гармонического сигнала соответственно будут равны
а соответствующие радиосигналы на входах фазового детектора могут быть представлены в следующем виде:
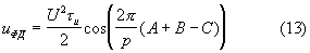
где U – амплитуда радиосигнала, – частота радиосигнала. В случае если в ходе сложения операндов А и В в позиционном сумматоре произойдет сбой, изменивший вычет результата на q(q=((A+B)mod p-(C)mod p)mod p), на выходе фазового детектора установится напряжение, прямо пропорциональное которое после сравнения с эталонным напряжением Un является основанием для принятия решения об ошибочном выполнении арифметической операции.
Как отмечалось выше, сложение N чисел в прототипе происходит за ]log2N[ тактов. Число тактов вытекает из формулы (2) при условии, что сумматор остатков реализует двухместную операцию сложения по модулю. Следовательно, время выполнения модульной операции в прототипе составляет
где – суммарное время переключения цифровых логических схем в табличном вычислителе.
Основу узла, выполняющего операцию сложения по модулю р в табличном вычислителе прототипа, составляет матричный дешифратор [3, с.16-17], построенный на двухвходовых элементах И, расположенных в местах пересечений р горизонтальных и р вертикальных входных шин. Выходы элементов И подключены ко входу соответствующих элементов ИЛИ, число которых равно р. Таким образом, сигнал от входа к выходу в табличном вычислителе проходит через 2 логических элемента – И и ИЛИ. Поэтому
где лэ – время переключения логического элемента (И, ИЛИ).
Как показано в [2, с.173], время лэ 10-10 с является практическим пределом для логических элементов на транзисторах, которое достигается только при жидкостном охлаждении до криогенных температур.
Поэтому минимальное время выполнения модульной операции в прототипе на основании (6) и (7) составляет
ТПР 2·10-10.]log2N[, с.
Время выполнения модульной операции в предлагаемом устройстве (Тпу) на основании вышеизложенного равно сумме времени задержки гармонического сигнала в N управляемых фазовращателях [N· ф), и времени интегрирования в интеграторе фазового детектора ( u)
Необходимые для реализации устройства сложения N чисел по модулю р N последовательно соединенных фазовращателей должны быть управляемыми и могут быть выполнены на основе различных схемных решений. Например, в СВЧ диапазоне [4, с.102] такой фазовращатель наиболее просто реализовать на основе линий задержки (ЛЗ) на время
где – несущая частота гармонического сигнала.
Действительно, если на входе ЛЗ на время ts (9) действует гармонический сигнал
то на выходе ЛЗ с учетом (9) будет сигнал
Следовательно, подключая линию задержки в соответствии с позиционным кодом операнда s, можно получить значение фазового сдвига в управляемом фазовращателе, прямо пропорциональное величине этого операнда.
Максимальное время задержки в управляемом фазовращателе на ЛЗ, с учетом (9), будет равно
где
f – частота гармонического сигнала, Гц.
Алгоритм работы фазового детектора заключается в перемножении гармонического сигнала, снимаемого с выхода управляемого фазовращателя 6N, с сигналом, снимаемым с выхода управляемого фазовращателя N, и интегрировании результата перемножения. Результат перемножения гармонического сигнала с выхода управляемого фазовращателя 6N с сигналом с выхода управляемого фазовращателя 7N можно записать в виде:
После интегрирования uП(t) в интеграторе фазового детектора, получим
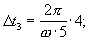
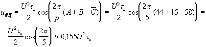
Для расчета возьмем значение u=3Т.
Таким образом, с учетом (8)-(10}:
ТПУ=NT+3T=T(N+3)
Уже сейчас на практике реализованы вплоть до 100… 150 ГГц типовые радиотехнические элементы (в том числе и в интегральном исполнении), из которых состоят управляемые фазовращатели и фазовый детектор.
Следовательно, при f=100 ГГц=1011 Гц
Например, при N=10 из (6) и (11) получим
ТПР 6·10-10;
ТПУ 1,3·10-10.
Таким образом, предлагаемое устройство для контроля позиционных сумматоров по модулю позволяет значительно сократить полные временные затраты на выполнение контроля арифметической операции по сравнению с прототипом и может найти применение при проектировании процессоров перспективных ЭВМ.
На фиг.1 представлена структурная схема предлагаемого устройства, где 11-1N – информационные входы устройства (операнд А), 21-2N – информационные входы устройства (операнд В), 31-3N – информационные входы устройства (результат арифметической операции С=А+В), 4 – генератор гармонического сигнала, 51-5N, 61-6N, 71-7N – группы управляемых фазовращателей, 8 – фазовый детектор, 9 – схема сравнения, 10 – выход устройства.
Информационные входы 11-1N соединены со вторыми входами управляемых фазовращателей первой группы управляемых фазовращателей 51-5N, информационные входы 21-2N соединены со вторыми входами управляемых фазовращателей второй группы управляемых фазовращателей 61-6N, а информационные входы 31-3N соединены со вторыми входами управляемых фазовращателей третьей группы управляемых фазовращателей 71-7N, при этом выход генератора гармонического сигнала 4 соединен с первым входом управляемого фазовращателя 51 и с первым входом управляемого фазовращателя 71, выход управляемого фазовращателя ki с первым входом управляемого фазовращателя k(i+1) (k=5, 6, 7) выход управляемого фазовращателя 5N соединен с первым входом управляемого фазовращателя 61, выход управляемого фазовращателя 6N с первым входом фазового детектора 8, а выход управляемого фазовращателя 7N соединен со вторым входом фазового детектора, причем выход фазового детектора 8 соединен с первым входом схемы сравнения 9, ко второму входу которого подключено эталонное напряжение Un, при этом выход схемы сравнения 9 является выходом 10 устройства.
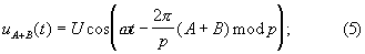
Рассмотрим работу предлагаемого устройства. На N информационных входов 11-1N устройства поступает двоичный позиционный код числа А, разряды которого равны В соответствии со значением i-х разрядов числа A, поступающих на Вх2 соответствующих управляемых фазовращателей первой группы управляемых фазовращателей 51-5N, в них, путем подключения коммутаторами соответствующей линии задержки, устанавливаются набеги фазы, равные при На N информационных входов 21-2N устройства поступает двоичный позиционный код числа В, разряды которого равны В соответствии со значением i-х разрядов числа В, поступающих на Вх2 соответствующих управляемых фазовращателей второй группы управляемых фазовращателей 61-6N, в них, путем подключения коммутаторами соответствующей линии задержки, устанавливаются набеги фазы, равные при На N информационных входов 31-3N устройства поступает двоичный позиционный код числа С=А+В, разряды которого равны В соответствии со значением i-х разрядов числа С, поступающих на Вх2 соответствующих управляемых фазовращателей третьей группы управляемых фазовращателей 71-7N, в них, путем подключения коммутаторами соответствующей линии задержки, устанавливаются набеги фазы, равные при После прохождения гармонического сигнала с выхода генератора гармонического сигнала 4 последовательно через первую и вторую группы управляемых фазовращателей 51-5N и 61-6N, в соответствии с выражением (3), на выходе фазовращателя 6N суммарный набег фаз этого сигнала будет равен После прохождения гармонического сигнала с выхода генератора гармонического сигнала 4 через третью группу управляемых фазовращателей 71-7N в соответствии с выражением (4) на выходе фазовращателя 7N суммарный набег фаз этого сигнала будет равен
В фазовом детекторе 8 происходит сравнение фазы сигнала с выхода управляемого фазовращателя 6N, поступающего на Bx2 фазового детектора 8, с фазой гармонического сигнала, поступающего с выхода управляемого фазовращателя 7N на Вx2 фазового детектора 8. При этом из выражения (13) видно, что максимальное напряжение uФД на выходе фазового детектора 8 будет тогда, когда фазы сигналов совпадут. После сравнения напряжения uФД в схеме сравнения 9 с эталонным напряжением Un, результат сравнения поступает на выход 10 устройства.
Пример
Пусть р=5, А=4410=1011002, В=1510=0011112 C=5910=1110112, N=6. Тогда:
(A1·20)mod5=(0·20)mod5=0,
(A2·21)mod5=(0·21)mod5=0,
(A3·22)mod5=(1·22)mod5=4,
(A4·23)mod5=(1·23)mod5=3,
(A5·24)mod5=(0·24)mod5=0,
(A6·25)mod5=(1·25)mod5=2.
В управляемых фазовращателях 51-56 соответствующими коммутаторами подключаются линии задержки на время, которое согласно (9) равно:
![]() ![]()
![]() ![]()
(B1·20)mod5=(1·20)mod5=1,
(B2·21)mod5=(1·21)mod5=2,
(B3·22)mod5=(1·22)mod5=4,
(B4·23)mod5=(1·23)mod5=3,
(B5·24)mod5=(0·24)mod5=0,
(B6·25)mod5=(0·25)mod5=0.
В управляемых фазовращателях 61-66 соответствующими коммутаторами подключаются линии задержки на время, равное:
![]() ![]()
![]() ![]()
(C1·20)mod5=(1·20)mod5=1,
(C2·21)mod5=(1·21)mod5=2,
(C3·22)mod5=(0·22)mod5=0,
(C4·23)mod5=(1·23)mod5=3,
(C5·24)mod5=(1·24)mod5=1,
(C6·25)mod5=(1·25)mod5=2.
В управляемых фазовращателях 71-76 соответствующими коммутаторами подключаются линии задержки на время, равное:
![]() ![]()
![]() ![]()
После прохождения гармонического сигнала с выхода генератора 4 последовательно через первую и вторую группы управляемых фазовращателей 51-56 и 61-66 на выходе фазовращателя 66 фаза сигнала ФA+B в соответствии с (3) будет равна а после прохождения через третью группу фазовращателей 71-76 в соответствии с (4) фаза сигнала ФC будет равна: .
Следует отметить, что величина эталонного напряжения Un принимается равной
Тогда, поскольку uФД>Un, то на выходе схемы сравнения 9 вырабатывается сигнал о достоверности выполнения арифметической операции сложения в позиционном сумматоре.
Исходя из (13) напряжение uФД на выходе фазового детектора 8 при условии равенства фаз ФA+B=ФC будет максимальным (uФД 0,5U2 u), которое сравнивается в схеме сравнения 9 с эталонным Un и на выход 10 поступает сигнал о том, что сложение в позиционном сумматоре прошло без ошибок.
Пусть в сумматоре произошел сбой, изменивший правильный результат 44+15=59 на Тогда
В управляемых фазовращателях 71-76 соответствующими коммутаторами подключаются линии задержки на время, равное:
![]() ![]()
![]() ![]()
После прохождения гармонического сигнала с выхода генератора 4 через третью группу фазовращателей 71-76 в соответствии с (3) фаза гармонического сигнала будет равна:
Напряжение uФД на выходе фазового детектора 8 согласно (13) будет равно:
Напряжение uФД сравнивается в схеме сравнения 9 с эталонным напряжением Un=0,327U2 u и на выход 10 поступает сигнал о том, что сложение в позиционном сумматоре прошло с ошибкой.
Источники информации
1. Микропроцессоры: в 3 кн. Кн. 2: Средства сопряжения. Контролирующие и информационно-управляющие системы: Учеб. для техн. вузов / В.Д.Вернер, Н.В.Воробьев, А.В.Горячев и др.; Под ред. Л.Н.Преснухина. – Мн.: Выш. шк., 1987. – 303 с.
2. Акаев А.А., Майоров С.А. Оптические методы обработки информации. – М.: Высш. шк., 1988, 237 с.
3. Долгов А.И. Диагностика устройств, функционирующих в системе остаточных классов. – М.: Радио и связь, 1982, 64 с.
4. Радиоприемные устройства: Учеб. пособие для радиотехнич. спец. вызов / Ю.Т.Давыдов, Ю.С.Данилич. – М.: Высш. шк., 1989, 342 с.
Формула изобретения Устройство для контроля позиционных сумматоров по модулю, содержащее схему сравнения, выход которой является выходом устройства, отличающееся тем, что в него введены три группы управляемых фазовращателей, генератор гармонического сигнала и фазовый детектор, причем выход генератора гармонического сигнала соединен с первым входом первого управляемого фазовращателя первой группы управляемых фазовращателей и первым входом первого управляемого фазовращателя третьей группы управляемых фазовращателей, при этом в каждой группе управляемых фазовращателей выход r-го управляемого фазовращателя соединен с первым входом (r+1)-го управляемого фазовращателя выход N-го управляемого фазовращателя первой группы управляемых фазовращателей соединен с первым входом первого управляемого фазовращателя второй группы управляемых фазовращателей, при этом выход N-го управляемого фазовращателя второй группы управляемых фазовращателей соединен с первым входом фазового детектора, выход N-го управляемого фазовращателя третьей группы управляемых фазовращателей – со вторым входом фазового детектора, выход которого соединен с первым входом схемы сравнения, а ко второму входу схемы сравнения подключено эталонное напряжение, причем i-e разряды первого и второго операндов сложения соединены соответственно со вторыми входами i-х управляемых фазовращателей первой и второй группы управляемых фазовращателей, а i-й разряд результата арифметической операции сложения, выполненное в позиционном сумматоре, соединен со вторым входом i-го управляемого фазовращателя третьей группы управляемых фазовращателей.
РИСУНКИ
MM4A Досрочное прекращение действия патента Российской Федерации на изобретение из-за неуплаты в установленный срок пошлины за поддержание патента в силе
Дата прекращения действия патента: 21.08.2005
Извещение опубликовано: 20.10.2006 БИ: 29/2006
|
||||||||||||||||||||||||||

лэ] log2N [, ограниченное временем переключения логических элементов
выход N-го управляемого фазовращателя первой группы управляемых фазовращателей соединен с первым входом первого управляемого фазовращателя второй группы управляемых фазовращателей, при этом выход N-го управляемого фазовращателя второй группы управляемых фазовращателей соединен с первым входом фазового детектора, выход N-го управляемого фазовращателя третьей группы управляемых фазовращателей – со вторым входом фазового детектора, выход которого соединен с первым входом схемы сравнения, а ко второму входу схемы сравнения подключено эталонное напряжение, причем i-е разряды первого и второго операндов сложения
соединены соответственно со вторыми входами i-х управляемых фазовращателей первой и второй группы управляемых фазовращателей, а i-й разряд результата арифметической операции сложения, выполненной в позиционном сумматоре, соединен со вторым входом i-го управляемого фазовращателя третьей группы управляемых фазовращателей.
Сущность изобретения основывается на использовании при реализации операции модульного сложения чисел свойства периодичности гармонической функции.
В заявляемом устройстве используется контроль по модулю, основанный на известных из теории чисел [1, с. 291-292] свойствах вычетов, сущность которого состоит в сравнении вычета результата арифметической операции, выполненной в позиционном коде, с результатом той же арифметической операции по модулю, осуществленной над вычетами операндов. При этом решение о правильном выполнении арифметической операции принимается в том случае, если
где А, В – операнды в позиционном коде; С – результат выполнения арифметической операции в позиционном коде, С=А+В; р – целое положительное число.
В общем случае, получение вычета g числа G осуществляется путем суммирования по модулю вычетов разрядов позиционного кода этого числа [2, с. 198, формула (7.21)]:
где gi – значение i-го разряда N – разрядного позиционного кода числа G; S – основание позиционной системы счисления (ПСС). Для двоичной ПСС: S=2.
Рассмотрим принципы реализации контроля выполнения операции сложения в позиционном двоичном N-разрядном сумматоре с помощью заявляемого устройства. Устройство контроля позиционных сумматоров по модулю, как показано на фиг.1, включает в свой состав генератор гармонического радиосигнала 4, две параллельные ветви последовательно соединенных управляемых фазовращателей 51-5N, 61-6N и 71-7N, фазовый детектор 8 и схему сравнения 9 с эталонным напряжением Un. В управляемых фазовращателях этого устройства устанавливаются сдвиги фазы
i(Ai),
прямо пропорциональные значениям двоичных разрядов Аi, Bi,
позиционных кодов чисел

и
где 
Тогда учитывая периодичность гармонической функции, суммарные сдвиги фазы сигналов на выходах управляемых фазовращателей 6N и 7N относительно фазы радиосигнала на выходе генератора гармонического сигнала соответственно будут равны
а соответствующие радиосигналы на входах фазового детектора могут быть представлены в следующем виде:
где U – амплитуда радиосигнала,
– частота радиосигнала. В случае если в ходе сложения операндов А и В в позиционном сумматоре произойдет сбой, изменивший вычет результата на q(q=((A+B)mod p-(C)mod p)mod p), на выходе фазового детектора установится напряжение, прямо пропорциональное
которое после сравнения с эталонным напряжением Un является основанием для принятия решения об ошибочном выполнении арифметической операции.
Как отмечалось выше, сложение N чисел в прототипе происходит за ]log2N[ тактов. Число тактов вытекает из формулы (2) при условии, что сумматор остатков реализует двухместную операцию сложения по модулю. Следовательно, время выполнения модульной операции в прототипе составляет
где
– суммарное время переключения цифровых логических схем в табличном вычислителе.
Основу узла, выполняющего операцию сложения по модулю р в табличном вычислителе прототипа, составляет матричный дешифратор [3, с.16-17], построенный на двухвходовых элементах И, расположенных в местах пересечений р горизонтальных и р вертикальных входных шин. Выходы элементов И подключены ко входу соответствующих элементов ИЛИ, число которых равно р. Таким образом, сигнал от входа к выходу в табличном вычислителе проходит через 2 логических элемента – И и ИЛИ. Поэтому
где
10-10 с является практическим пределом для логических элементов на транзисторах, которое достигается только при жидкостном охлаждении до криогенных температур.
Поэтому минимальное время выполнения модульной операции в прототипе на основании (6) и (7) составляет
ТПР
Необходимые для реализации устройства сложения N чисел по модулю р N последовательно соединенных фазовращателей должны быть управляемыми и могут быть выполнены на основе различных схемных решений. Например, в СВЧ диапазоне [4, с.102] такой фазовращатель наиболее просто реализовать на основе линий задержки (ЛЗ) на время
где
ts (9) действует гармонический сигнал
то на выходе ЛЗ с учетом (9) будет сигнал
Следовательно, подключая линию задержки в соответствии с позиционным кодом операнда s, можно получить значение фазового сдвига в управляемом фазовращателе, прямо пропорциональное величине этого операнда.
Максимальное время задержки в управляемом фазовращателе на ЛЗ, с учетом (9), будет равно
где
f – частота гармонического сигнала, Гц.
Алгоритм работы фазового детектора заключается в перемножении гармонического сигнала, снимаемого с выхода управляемого фазовращателя 6N, с сигналом, снимаемым с выхода управляемого фазовращателя N, и интегрировании результата перемножения. Результат перемножения гармонического сигнала с выхода управляемого фазовращателя 6N с сигналом с выхода управляемого фазовращателя 7N можно записать в виде:
После интегрирования uП(t) в интеграторе фазового детектора, получим
Для расчета возьмем значение
Например, при N=10 из (6) и (11) получим
ТПР
выход управляемого фазовращателя 5N соединен с первым входом управляемого фазовращателя 61, выход управляемого фазовращателя 6N с первым входом фазового детектора 8, а выход управляемого фазовращателя 7N соединен со вторым входом фазового детектора, причем выход фазового детектора 8 соединен с первым входом схемы сравнения 9, ко второму входу которого подключено эталонное напряжение Un, при этом выход схемы сравнения 9 является выходом 10 устройства.
Рассмотрим работу предлагаемого устройства. На N информационных входов 11-1N устройства поступает двоичный позиционный код числа А, разряды которого равны
В соответствии со значением i-х разрядов числа A, поступающих на Вх2 соответствующих управляемых фазовращателей первой группы управляемых фазовращателей 51-5N, в них, путем подключения коммутаторами соответствующей линии задержки, устанавливаются набеги фазы, равные
при
На N информационных входов 21-2N устройства поступает двоичный позиционный код числа В, разряды которого равны
В соответствии со значением i-х разрядов числа В, поступающих на Вх2 соответствующих управляемых фазовращателей второй группы управляемых фазовращателей 61-6N, в них, путем подключения коммутаторами соответствующей линии задержки, устанавливаются набеги фазы, равные
при
На N информационных входов 31-3N устройства поступает двоичный позиционный код числа С=А+В, разряды которого равны
В соответствии со значением i-х разрядов числа С, поступающих на Вх2 соответствующих управляемых фазовращателей третьей группы управляемых фазовращателей 71-7N, в них, путем подключения коммутаторами соответствующей линии задержки, устанавливаются набеги фазы, равные
при
После прохождения гармонического сигнала с выхода генератора гармонического сигнала 4 последовательно через первую и вторую группы управляемых фазовращателей 51-5N и 61-6N, в соответствии с выражением (3), на выходе фазовращателя 6N суммарный набег фаз этого сигнала будет равен
После прохождения гармонического сигнала с выхода генератора гармонического сигнала 4 через третью группу управляемых фазовращателей 71-7N в соответствии с выражением (4) на выходе фазовращателя 7N суммарный набег фаз этого сигнала будет равен
В фазовом детекторе 8 происходит сравнение фазы сигнала с выхода управляемого фазовращателя 6N, поступающего на Bx2 фазового детектора 8, с фазой гармонического сигнала, поступающего с выхода управляемого фазовращателя 7N на Вx2 фазового детектора 8. При этом из выражения (13) видно, что максимальное напряжение uФД на выходе фазового детектора 8 будет тогда, когда фазы сигналов совпадут. После сравнения напряжения uФД в схеме сравнения 9 с эталонным напряжением Un, результат сравнения поступает на выход 10 устройства.
Пример
Пусть р=5, А=4410=1011002, В=1510=0011112 C=5910=1110112, N=6. Тогда:
(A1·20)mod5=(0·20)mod5=0,
(A2·21)mod5=(0·21)mod5=0,
(A3·22)mod5=(1·22)mod5=4,
(A4·23)mod5=(1·23)mod5=3,
(A5·24)mod5=(0·24)mod5=0,
(A6·25)mod5=(1·25)mod5=2.
В управляемых фазовращателях 51-56 соответствующими коммутаторами подключаются линии задержки на время, которое согласно (9) равно:




(B1·20)mod5=(1·20)mod5=1,
(B2·21)mod5=(1·21)mod5=2,
(B3·22)mod5=(1·22)mod5=4,
(B4·23)mod5=(1·23)mod5=3,
(B5·24)mod5=(0·24)mod5=0,
(B6·25)mod5=(0·25)mod5=0.
В управляемых фазовращателях 61-66 соответствующими коммутаторами подключаются линии задержки на время, равное:




(C1·20)mod5=(1·20)mod5=1,
(C2·21)mod5=(1·21)mod5=2,
(C3·22)mod5=(0·22)mod5=0,
(C4·23)mod5=(1·23)mod5=3,
(C5·24)mod5=(1·24)mod5=1,
(C6·25)mod5=(1·25)mod5=2.
В управляемых фазовращателях 71-76 соответствующими коммутаторами подключаются линии задержки на время, равное:




После прохождения гармонического сигнала с выхода генератора 4 последовательно через первую и вторую группы управляемых фазовращателей 51-56 и 61-66 на выходе фазовращателя 66 фаза сигнала ФA+B в соответствии с (3) будет равна
а после прохождения через третью группу фазовращателей 71-76 в соответствии с (4) фаза сигнала ФC будет равна:
.
Следует отметить, что величина эталонного напряжения Un принимается равной
Тогда, поскольку uФД>Un, то на выходе схемы сравнения 9 вырабатывается сигнал о достоверности выполнения арифметической операции сложения в позиционном сумматоре.
Исходя из (13) напряжение uФД на выходе фазового детектора 8 при условии равенства фаз ФA+B=ФC будет максимальным (uФД
Тогда
В управляемых фазовращателях 71-76 соответствующими коммутаторами подключаются линии задержки на время, равное:




После прохождения гармонического сигнала с выхода генератора 4 через третью группу фазовращателей 71-76 в соответствии с (3) фаза гармонического сигнала
будет равна:
Напряжение uФД на выходе фазового детектора 8 согласно (13) будет равно:
Напряжение uФД сравнивается в схеме сравнения 9 с эталонным напряжением Un=0,327U2
выход N-го управляемого фазовращателя первой группы управляемых фазовращателей соединен с первым входом первого управляемого фазовращателя второй группы управляемых фазовращателей, при этом выход N-го управляемого фазовращателя второй группы управляемых фазовращателей соединен с первым входом фазового детектора, выход N-го управляемого фазовращателя третьей группы управляемых фазовращателей – со вторым входом фазового детектора, выход которого соединен с первым входом схемы сравнения, а ко второму входу схемы сравнения подключено эталонное напряжение, причем i-e разряды первого и второго операндов сложения
соединены соответственно со вторыми входами i-х управляемых фазовращателей первой и второй группы управляемых фазовращателей, а i-й разряд результата арифметической операции сложения, выполненное в позиционном сумматоре, соединен со вторым входом i-го управляемого фазовращателя третьей группы управляемых фазовращателей.