Патент на изобретение №2231822
|
||||||||||||||||||||||||||
(54) УСТРОЙСТВО ДЛЯ ДЕЛЕНИЯ ЧИСЛА В МОДУЛЯРНОМ КОДЕ НА ОСНОВАНИЕ СИСТЕМЫ СЧИСЛЕНИЯ
(57) Реферат: Изобретение относится к области автоматики и вычислительной техники и может быть использовано в вычислительных структурах, функционирующих в модулярной системе счисления (МСС). Техническим результатом является повышение быстродействия выполнения операции деления числа в модулярном коде на одно из основании МСС. Технический результат достигается за счет того, что устройство содержит регистр модулярного кода числа (N – число оснований МСС), преобразователь модулярного кода в полиадический код, (N-1) устройство отображения и сумматор (N-1) чисел по модулю mN (mN – N-ое основание модулярной системы счисления, на которое производится деление). 3 ил. Изобретение относится к области автоматики и вычислительной техники и может быть использовано в цифровых вычислительных устройствах для выполнения операции деления числа в модулярном коде на одно из оснований модулярной системы счисления (МСС). Известно устройство (аналог) (авт. св. СССР №1683013А1, МКИ G 06 F 7/72, Б.И. №37, 1991 г.), содержащее регистры делимого и делителя, регистр сдвига и вспомогательный регистр, блоки вычитания, умножения и сложения, параллельно-конвейерный формирователь интегральных характеристик модулярного кода, счетчик, элемент ИЛИ-НЕ, элемент задержки, регистр частного и элемент ИЛИ. Недостаток устройства – низкое быстродействие выполнения операции деления числа в МСС. Наиболее близким по технической сущности (прототипом к предлагаемому изобретению) является устройство (авт. св. СССР №1667066 А1, МКИ G 06 F 7/72, Б.И. №28, 1991 г.), содержащее блок элементов задержки, блок вычисления интервального индекса числа, элемент задержки, первый и второй регистры сдвига, регистр модулярного кода числа, блоки мультиплексоров, блоки хранения констант, блок управления, первый и второй блоки элементов ИЛИ. Недостаток прототипа – низкое быстродействие выполнения операции деления числа в МСС вследствие ограниченного быстродействия полупроводниковых логических элементов, из которых состоит данное устройство. Цель изобретения состоит в повышении производительности перспективных образцов вычислительной техники. Технический результат выражается в повышении быстродействия выполнения операции деления числа в модулярном коде на одно из оснований МСС. Поставленная цель достигается тем, что в устройство, содержащее регистр модулярного кода числа, N входов которого являются входами устройства (N – число оснований МСС), введены (N-1) табличных вычислителей, преобразователь модулярного кода в полиадический код, (N-1) устройств отображения и сумматор (N-1) чисел по модулю mN (mN – основание, на которое осуществляется деление числа в МСС), причем i-ый выход регистра модулярного кода числа соединен с первым входом i-го табличного вычислителя, ко второму входу которого подключен N-ый выход регистра модулярного кода числа, выход i-го табличного вычислителя является i-ым выходом устройства и соединен с i-ым входом преобразователя модулярного кода в полиадический код, i-ый выход которого через i-ое устройство отображения соединен с i-ым входом сумматора (N-1) чисел по модулю mN, выход которого является N-ым выходом устройства.
В основу функционирования предлагаемого устройства положены следующие принципы.
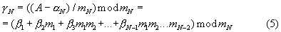
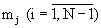
Признаком деления нацело числа А, представленного в модулярном коде A=( 1, 2,… , N) mi – i-oe основание МСС), на основание mN является равенство нулю сравнения N=AmodmN 0 [1, с.146-147]. Если N 0, то можно рассматривать деление числа А- N=А-AmodmN, что эквивалентно округлению результата деления до целого значения в меньшую сторону. Значения остатков i модулярного кода частного (А- N)/mN по основаниям определяются [1, с.147] делением их на число (mN)modmi, т.е.
где iN – заранее определяемая константа, которая находится из решения сравнения ( iNmN)modmi 1. Данная операция легко реализуется в табличных вычислителях.
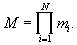
Основная проблема состоит в раскрытии неопределенности вида 0/0 при делении остатка по N-ому основанию на mN. Данная неопределенность раскрывается следующим образом. Известно [1, с.12-13], что число А находится в диапазоне 0 A M, где Тогда число (A- N)/mN находится в диапазоне
С другой стороны, число (А- N)/mN может быть представлено в полиадическом позиционном коде [2, с.21-22]
где – разряды полиадического кода
Разряды полиадического кода определяются по остаткам модулярного кода i в соответствии с выражениями [2, с.21-22]
где k,r – обратная мультипликативная величина, определяемая из решения сравнения ( r,k·mk)modmr 1; dr=mr-1; ![]()
Из анализа выражения (3) следует, что если N=0, а то максимальное значение числа в этом случае будет равно М/mN-1. Таким образом, из (2), (3) и (4) следует, что в полиадическом коде числа (A- N)/mN старший разряд N=0, а для определения разрядов необходимо знать только остатки результата деления числа (А- N)/mN по основаниям m1, m2,… , mN-1, которые могут быть вычислены в табличных вычислителях.
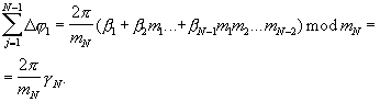
На основании изложенного выше получаем
Следовательно, расчет N состоит в определении разрядов полиадического кода числа, код которого в МСС равен ( 1, 2,… , N-1), и суммировании по модулю mN этих разрядов, умноженных на соответствующие весовые коэффициенты, по формуле (5).
Таким образом, сущность изобретения заключается в определении в (N-1) табличных вычислителях по основаниям остатков j результата деления на основание mN числа А, расчете остатка N путем получения из остатков j разрядов полиадического кода j, в преобразователе модулярного кода и сложении этих разрядов с учетом весовых коэффициентов в сумматоре (N-1) чисел по модулю mN.
Для получения N представим значения остатков ( 1, 2,… , N-1) числа (А- N)/mN фазой гармонического сигнала. Суммируя фазы этого сигнала в соответствии с алгоритмом преобразования чисел из модулярного кода в полиадический (4), определяем разряды полиадического кода путем измерения суммарного набега фазы и затем, повторно кодируя фазы гармонического сигнала в соответствии со значениями разрядов полученного полиадического кода, определяем остаток N, который будет прямо пропорционален суммарному набегу фазы.
Структурная схема устройства, реализующего изложенный алгоритм, представлена на фиг.1.
В данной схеме 1.1-1.N – входы устройства (N – число оснований МСС), 2 – регистр модулярного кода числа, 3.1-3.(N-1) – табличные вычислители, 4 – преобразователь модулярного кода в полиадический код, 5.1-5.(N-1) – устройства отображения, 6 – сумматор (N-1) чисел по модулю N, 7.1-7.N – выходы устройства.
Входы устройства 1.1-1.N соединены с информационными входами Bx1-BxN регистра модулярного кода числа 2. Выходы 1-(N-1) регистра модулярного кода числа подключены ко входам 1 табличных вычислителей 3.1-3.(N-1) соответственно, а выход N регистра модулярного кода числа 2 соединен со входами 2 табличных вычислителей 3.1-3.(N-1), выходы которых подключены ко входам 1-(N-1) преобразователя модулярного кода в полиадический код 4, выходы 1-(N-1) которого через устройства отображения 5.1-5.(N-1) подключены ко входам 1-(N-1) сумматора по модулю mN 6, выход которого является выходом устройства 7.N, а выходы табличных вычислителей 3.1-3.(N-1), соответственно, являются выходами 7.1-7.(N-1) устройства.
Реализация основных узлов устройства представлена на фиг.2 и 3.
На фиг.2 представлена структурная схема преобразователя модулярного кода в полиадический код 4, где – входы преобразователя, 8 – генератор гармонического сигнала, 9.1.1-9.(N-1).N – устройства отображения, 10.1.1-10.(N-1).N – управляемые фазовращатели, 11.1-11.(N-1) – измерители сдвига фазы, Вых к – выходы преобразователя.
На фиг.3 представлена структурная схема сумматора по модулю N 6, где – входы устройства, 12 – генератор гармонического сигнала, 11.1-11.N – управляемые фазовращатели, 14.1-14.(mN-1) – линии задержки на время (где – частота генератора гармонического сигнала), 15.1-15.mN – аналоговые перемножители, 16.1-16.mN – интеграторы, 17 – схема выбора максимума.
Рассмотрим работу устройства.
Остатки ( 1, 2,… , N) числа А в МСС подаются на информационные входы 1.1-1.N и записываются в регистр модулярного кода числа 2. С выходов 1-(N-1) регистра модулярного кода числа остатки в унитарном коде поступают на первые входы табличных вычислителей 3.1-3.(N-1), на вторые входы которых поступает сигнал с выхода N регистра модулярного кода числа 2. В j-ых табличных вычислителях определяются остатки j модулярного кода частного (А- N)/mN по основаниям Полученные остатки поступают на выходы устройства 7.j и на соответствующие входы преобразователя модулярного кода числа в полиадический код 4, где сигнал со входа 1 следует непосредственно на выход 1 преобразователя и на входы устройств отображения 9.1.2-9.(N-1).2, а со входов 2-(N-1) на устройства отображения 9.1.1-9.(N-1).1. В устройствах отображения 9.j.1 в соответствии с формулой (4) осуществляется унарное преобразование а в устройствах отображения 9.j.2 – унарное преобразование Сигналы с выходов устройств отображения 9.j.1 и 9.j.2 поступают на Вх2 управляемых фазовращателей 10.1.j и 10.2.j соответственно, где устанавливаются набеги фазы, пропорциональные и Гармонический сигнал с выхода генератора 8 будет иметь на выходе УФ 10.1.2 суммарный набег фазы, прямо пропорциональный значению разряда полиадического кода 2. В измерителе сдвига фазы 11.1 эта фаза сравнивается с фазой опорного сигнала с выхода ГГС 8, и на выходе формируется унитарный код разряда
2=(( 2 2,1)modm2+(d2 1 2,1)modm2)modm2,
который поступает на Вых2 преобразователя 4 и на устройства отображения 9.2.3-9.(N-1).3. Аналогично формируются разряды унитарного кода 3– (N-1), которые поступают на Bых3-(N-1) преобразователя 4 соответственно.
Сформированный полиадический код, через устройства отображения 5.j осуществляющих соответственно унарные преобразования
1 ( 1)modmN,
2 ( 2·m1)modmN,…
N-1 ( N-1·m1m2…mN-2)modmN,
поступает на Bx1-Bx(N-1) сумматора (N-1) чисел по модулю mN 6. В сумматоре 6 в управляемых фазовращателях 13.j устанавливаются соответствующие сдвиги фазы j:
![]()
После прохождения гармонического сигнала с выхода генератора 12 на выходе управляемого фазовращателя 13.(N-1) будет суммарный набег фазы
На выходах линий задержки 14.1 сдвиг фазы гармонического сигнала, соответственно, будет равен ![]() В результате перемножения в перемножителях 15.1-15.mN гармонических сигналов с выхода управляемого фазовращателя 13.(N-1) и с выходов линий задержки 14.l и последующего интегрирования результатов произведения в интеграторах 16.1-16mN образуются постоянные напряжения разного уровня. При этом максимальное напряжение будет на выходе интегратора 75.Z, где Z= N+1. В схеме выбора максимума 17 определяется интегратор с наибольшим откликом и результат N в унитарном коде поступает на выход сумматора 6, и, соответственно, на выход 7.N устройства.
Сравним быстродействие прототипа и предлагаемого устройства.
В прототипе время получения остатка равно
ТПР=(]log2N[+2)·tMT,
где ] [ – символ округления в большую сторону; tМТ – длительность модульного такта устройства, которая не может быть меньше длительности переключения логического элемента tЛЭ 10-10С [3, с. 173]. Реально tМТ на порядок больше tЛЭ, то есть tМТ 10-9С.
Таким образом, ТПР 10-9·(]log2N[+2), C.
В предлагаемом устройстве время вычисления модулярного кода частного ТПУ равно сумме времени расчета j в табличных вычислителях – tТВ, времени получения разрядов полиадического кода в преобразователе 4 – tМП и времени суммирования (N-1) чисел в сумматоре 6 – t . Время получения j в табличных вычислителях примерно равно времени переключения логического элемента: tTB 10-10C. Оценки времени tМП и t , полученные в [4, с.8-11, 5, с.40-44], описываются формулами
t (N+3)T+10-11, C;
tМП=TN+(N-1)·3T+2N· K, C,
где Т – период частоты генератора гармонического сигнала; К – время коммутации управляемых фазовращателей.
Например, при N=6 и Т= К=10-11C получаем
ТПР=10-9(3+2)=5·10-9С.
ТПУ=tТВ+ МВ+t =5,3·10-10C.
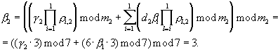
Пример: Пусть N=3; m1=5; m2=7; m3=3. Тогда 1,3=2; l,2=3; 2,3=5; d2=6.
Найдем результат деления числа А=47=(2,5,2) на m3=3.
В табличных вычислителях 3.1 и 3.2 по формуле (1) определяются
1=( 1,3( 1-( 2)modm1))modm1=(2·(2-2))mod5=0;
2=( 2,3( 2-( 3)modm2))modm2=(5·(5-2))mod7=1.
Данные числа поступают соответственно на выходы 7.1 и 7.2 устройства и на входы 1 и 2 преобразователя 4. В этом преобразователе 1= 1=0, а 2 рассчитывается по формуле (4)
В устройствах отображения 5.1 и 5.2 осуществляется преобразование 1 ( 1)mod3=0 и 2 ( 2·5)mod3=0. Данные числа складываются в сумматоре 6:
3=(0+0)mod3=0.
Результат сложения поступает на выход 7.3 устройства.
Таким образом, модулярный код частного (А- N)/mN=(0,1,0).
Проверка. (47-2)/3=15=(0,1,0).
Источники информации
1. Акушский И.Я., Юдицкий Д.И. Машинная арифметика в остаточных классах. – М.: Сов. радио, 1968. 440 с.
2. Долгов А.И. Диагностика устройств, функционирующих в системе остаточных классов. – М.: Радио и связь, 1982, 64 с.
3. Акаев А.А., Майоров С.А. Оптические методы обработки информации. – М.: Высш. шк., 1988. – 273 с.
4. Овчаренко Л.А. Вариант реализации основных операций в модулярном арифметическом устройстве. – Телекоммуникации, 2001. №3, 8-11 с.
Формула изобретения Устройство для деления числа в модулярном коде на основание системы счисления, содержащее регистр модулярного кода числа, N входов которого являются входами устройства (N – число оснований модулярной системы счисления МСС), отличающееся тем, что в него введены (N-1) табличных вычислителей, преобразователь модулярного кода в полиадический код, (N-1) устройств отображения и сумматор (N-1) чисел по модулю mN (mN – основание, на которое осуществляется деление числа в МСС), причем i-ый выход регистра модулярного кода числа соединен с первым входом i-го табличного вычислителя, ко второму входу которого подключен N-ый выход регистра модуляторного кода числа, выход i-го табличного вычислителя является i-ым выходом устройства и соединен с i-ым входом преобразователя модулярного кода в полиадический код, i-ый выход которого через i-ое устройство отображения соединен с i-ым входом сумматора (N-1) чисел по модулю mN, выход которого является N-ым выходом устройства.
РИСУНКИ
MM4A Досрочное прекращение действия патента Российской Федерации на изобретение из-за неуплаты в установленный срок пошлины за поддержание патента в силе
Дата прекращения действия патента: 13.09.2005
Извещение опубликовано: 20.10.2006 БИ: 29/2006
|
||||||||||||||||||||||||||

соединен с первым входом i-го табличного вычислителя, ко второму входу которого подключен N-ый выход регистра модулярного кода числа, выход i-го табличного вычислителя является i-ым выходом устройства и соединен с i-ым входом преобразователя модулярного кода в полиадический код, i-ый выход которого через i-ое устройство отображения соединен с i-ым входом сумматора (N-1) чисел по модулю mN, выход которого является N-ым выходом устройства.
В основу функционирования предлагаемого устройства положены следующие принципы.
Признаком деления нацело числа А, представленного в модулярном коде A=(
1,
mi – i-oe основание МСС), на основание mN является равенство нулю сравнения
0 [1, с.146-147]. Если
0, то можно рассматривать деление числа А-
i модулярного кода частного (А-
определяются [1, с.147] делением их на число (mN)modmi, т.е.
где
iN – заранее определяемая константа, которая находится из решения сравнения (
A
Тогда число (A-
С другой стороны, число (А-
где
– разряды полиадического кода
Разряды полиадического кода определяются по остаткам модулярного кода
где 
Из анализа выражения (3) следует, что если
N=0, а
то максимальное значение числа в этом случае будет равно М/mN-1. Таким образом, из (2), (3) и (4) следует, что в полиадическом коде числа (A-
необходимо знать только остатки результата деления числа (А-
Следовательно, расчет
полиадического кода числа, код которого в МСС равен (
остатков
– входы преобразователя, 8 – генератор гармонического сигнала, 9.1.1-9.(N-1).N – устройства отображения, 10.1.1-10.(N-1).N – управляемые фазовращатели, 11.1-11.(N-1) – измерители сдвига фазы, Вых к – выходы преобразователя.
На фиг.3 представлена структурная схема сумматора по модулю N 6, где
– входы устройства, 12 – генератор гармонического сигнала, 11.1-11.N – управляемые фазовращатели, 14.1-14.(mN-1) – линии задержки на время
(где
– частота генератора гармонического сигнала), 15.1-15.mN – аналоговые перемножители, 16.1-16.mN – интеграторы, 17 – схема выбора максимума.
Рассмотрим работу устройства.
Остатки (
в унитарном коде поступают на первые входы табличных вычислителей 3.1-3.(N-1), на вторые входы которых поступает сигнал с выхода N регистра модулярного кода числа 2. В j-ых табличных вычислителях
определяются остатки
Полученные остатки поступают на выходы устройства 7.j и на соответствующие входы преобразователя модулярного кода числа в полиадический код 4, где сигнал со входа 1 следует непосредственно на выход 1 преобразователя и на входы устройств отображения 9.1.2-9.(N-1).2, а со входов 2-(N-1) на устройства отображения 9.1.1-9.(N-1).1. В устройствах отображения 9.j.1
в соответствии с формулой (4) осуществляется унарное преобразование
а в устройствах отображения 9.j.2 – унарное преобразование
Сигналы с выходов устройств отображения 9.j.1 и 9.j.2 поступают на Вх2 управляемых фазовращателей 10.1.j и 10.2.j
соответственно, где устанавливаются набеги фазы, пропорциональные
и
Гармонический сигнал с выхода генератора 8 будет иметь на выходе УФ 10.1.2 суммарный набег фазы, прямо пропорциональный значению разряда полиадического кода
осуществляющих соответственно унарные преобразования
(
устанавливаются соответствующие сдвиги фазы
j:

После прохождения гармонического сигнала с выхода генератора 12 на выходе управляемого фазовращателя 13.(N-1) будет суммарный набег фазы
На выходах линий задержки 14.1
сдвиг фазы гармонического сигнала, соответственно, будет равен 
В результате перемножения в перемножителях 15.1-15.mN гармонических сигналов с выхода управляемого фазовращателя 13.(N-1) и с выходов линий задержки 14.l и последующего интегрирования результатов произведения в интеграторах 16.1-16mN образуются постоянные напряжения разного уровня. При этом максимальное напряжение будет на выходе интегратора 75.Z, где Z=
[ – символ округления в большую сторону; tМТ – длительность модульного такта устройства, которая не может быть меньше длительности переключения логического элемента tЛЭ
10-10С [3, с. 173]. Реально tМТ на порядок больше tЛЭ, то есть tМТ
. Время получения
K, C,
где Т – период частоты генератора гармонического сигнала;
В устройствах отображения 5.1 и 5.2 осуществляется преобразование
соединен с первым входом i-го табличного вычислителя, ко второму входу которого подключен N-ый выход регистра модуляторного кода числа, выход i-го табличного вычислителя является i-ым выходом устройства и соединен с i-ым входом преобразователя модулярного кода в полиадический код, i-ый выход которого через i-ое устройство отображения соединен с i-ым входом сумматора (N-1) чисел по модулю mN, выход которого является N-ым выходом устройства.