Патент на изобретение №2231804
|
||||||||||||||||||||||||||
(54) СПОСОБ ИЗМЕРЕНИЯ ПАРАМЕТРОВ ОСТАТОЧНОГО ЗАРЯЖЕНИЯ ПЛОСКИХ ДИЭЛЕКТРИКОВ
(57) Реферат: Способ измерения поверхностной плотности реального (полного) заряда и его среднего положения, а также поверхностных плотностей эффективных зарядов плоских диэлектрических материалов, основанный на индуцировании тока в цепи измерительного вибрационного конденсатора, между обкладками которого находится исследуемый диэлектрик. Плоский диэлектрик помещают в зазор измерительного вибрационного конденсатора, измеряют положение образца в зазоре конденсатора и измеряют ток конденсатора для различных положений образца. Измерительный конденсатор содержит вспомогательный вибрационный конденсатор, электрический сигнал которого используется в качестве синхронизирующего при сопоставлении токов измерительного конденсатора при различных положениях образца в зазоре конденсатора. Техническим результатом является возможность обнаружения изменения начальной фазы колебаний тока измерительного конденсатора и исключение возможной ошибки в определении параметров остаточного заряжения плоских диэлектриков. 3 ил. Изобретение относится к электротехническим измерениям, предназначено для измерения поверхностной плотности реального (полного) заряда и его среднего положения, а также поверхностных плотностей эффективных зарядов плоских диэлектриков и может быть использовано при диагностике остаточного заряжения различных диэлектрических материалов (электретов). Способ основан на индуцировании тока в цепи измерительного вибрационного конденсатора, между обкладками которого находится заряженный диэлектрик. Применение динамического конденсатора для измерения заряда в плоских диэлектриках известно, например, при компенсационных измерениях, когда внешним компенсационным напряжением достигается нулевой ток в цепи динамического конденсатора. Существенным ограничением компенсационных способов является необходимость применения больших компенсационных напряжений, величина которых при больших плотностях заряда в диэлектриках может достигать нескольких киловольт, что приводит к разрушению исследуемого электретного состояния [1] и делает эти способы недостаточно корректными и технологичными. Наиболее близкими по технической сущности к предлагаемому способу являются патенты RU №1471152 [2], №1688199 [3], №1769157 [4]. В [2] рассмотрен способ измерения заряда в плоских диэлектриках, который позволяет существенно уменьшить величину напряжения на измерительном вибрационном конденсаторе по сравнению с компенсационными способами. В [3] и [4] описаны способы определения среднего положения заряда в плоских диэлектриках вообще при нулевом напряжении на измерительном вибрационном конденсаторе. Отличительная особенность, объединяющая эти способы, в том, что сравнивают величины токов вибрационного конденсатора для различных положений исследуемого образца в зазоре измерительного конденсатора. Недостаток этих способов в том, что при изменении положения образца не учитывается возможность изменения начальной фазы колебаний тока вибрационного конденсатора на противоположную. Т.к. по измеряемой величине тока невозможно определить изменение его начальной фазы, которая зависит не только от величины и полярности заряда диэлектрика, но и от вида его распределения в диэлектрике, это может приводить к ошибкам в определении величины и полярности заряда диэлектрика, а также его среднего положения. Задача, решаемая данным изобретением, – повышение точности измерений. Поставленная задача достигается тем, что в известном способе измерения параметров остаточного заряжения плоских диэлектриков, заключающемся в помещении плоского диэлектрика в зазор измерительного вибрационного конденсатора, изменении положения образца в зазоре конденсатора и измерении тока конденсатора для различных положений образца, согласно изобретению подают постоянное напряжение на вспомогательный вибрационный конденсатор, вибрационный электрод которого механически жестко связан с вибрационным электродом измерительного конденсатора, сравнивают начальные фазы токов в цепях обоих конденсаторов, и, если колебания токов измерительного конденсатора для двух различных положений образца противофазны, то при определении параметров остаточного заряжения токи для двух различных положений образца берут с разными знаками. На фиг.1 представлена схема, реализующая предлагаемый способ. На фиг.2 и фиг.3 показаны временные зависимости токов вспомогательного и измерительного конденсаторов. Предлагаемый способ может быть реализован на следующем устройстве. Устройство состоит из измерительного конденсатора, образованного неподвижным 1 и вибрационным 2 электродами, вспомогательного конденсатора, образованного неподвижным 3 и вибрационным 4 электродами, регулируемого двухполярного источника 5 постоянного напряжения, вольтметра 6, источника 7 постоянного напряжения, вибратора 8, усилителей 9 и 10 переменного тока, осциллографа 11. При измерениях исследуемый плоский диэлектрик 12 толщиной L и диэлектрической проницаемостью помещают между электродами 1 и 2. Возникающие в цепях обоих конденсаторов токи усиливаются усилителями 9 и 10 и, преобразованные в напряжения, подаются на осциллограф 11. Причем на вход 13 (вход Y) вертикального отклонения луча подается сигнал, пропорциональный току измерительного конденсатора, а сигнал, пропорциональный току вспомогательного конденсатора, подается на вход 14 внешней синхронизации горизонтальной развертки луча осциллографа.
Рассмотрим суть предлагаемого изобретения. В работе [1] получено уравнение тока динамического конденсатора, когда вибрационный электрод 2 совершает гармонические колебания и величина зазора h между электродами 1 и 2 изменяется по закону h=h0+asin t
где , 0=8,85 10-14 Ф/см – электрическая постоянная, S – площадь электродов 1 и 2, h0 – равновесный зазор между электродами 1 и 2, U – напряжение на конденсаторе, l – величина зазора между образцом 12 и электродом 1, а и – амплитуда и циклическая частота вибрации электрода 2, – поверхностная плотность полного (реального) заряда, распределенного в диэлектрике с объемной плотностью заряда (x) вдоль оси x, перпендикулярной поверхности диэлектрика, за начало отсчета х=0 принята поверхность диэлектрика, обращенная к неподвижному электроду 1, – поверхностная плотность эффективного (формального) заряда, приведенного к плоскости образца x=L, обращенной к электроду 2.
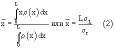
По определению среднего значения аргумента функции центром распределения одномерно распределенного заряда или его средним положением будет величина
Из (2) следует, что, зная величины r и L, можно вычислить или, наоборот, по измеренным величинам и r можно определить, например, величину L. Кроме того, можно определить поверхностную плотность эффективного заряда 0= r+ L, приведенного к другой поверхности образца x=0. Представим уравнение (1) в виде I(t)=Imcos t, где Im – начальная амплитуда тока измерительного вибрационного конденсатора, т.е.
Из (3) следует, что в зависимости от полярности зарядов L и r, а также от величины зазора l и внешнего напряжения U начальная амплитуда тока Im может быть как положительной, так и отрицательной. Т.к. механические колебания электродов 2 и 4 синфазны, колебания тока измерительного конденсатора будут либо синфазны току вспомогательного конденсатора, либо противофазны.
На фиг.2 приведен пример, когда при изменении положения образца из а в б начальная фаза тока 2 измерительного конденсатора относительно колебаний тока 1 вспомогательного конденсатора не изменилась, т.е. Im1/Im2>0. На фиг.3 начальные фазы токов 2 для положений а и б противоположны, т.е. Im1/Im2<0.
Пример 1. Определение плотности l=l2-l1=0,1 мм. Регулируя напряжение U, добьемся первоначального значения тока, т.е. Im2=Im1. Пусть величина напряжения при этом составит, например, U2=50 В, т.е. U=U2-U1=50 В. Величину r вычислим по формуле, которая получается подстановкой l1 и U1, а затем l2 и U2 в (3) и приравниванием токов Im1 и Im2
Предположим теперь, что при тех же условиях начальная фаза тока изменилась на противоположную, т.е. Im2=-Im1. Величину r вычислим по формуле
Приведенный пример показывает, что неучитывание во втором случае изменения полярности начальной амплитуды тока приводит к ошибочному результату, в данном примере отличающемуся более чем в 20 раз от действительного, а также к ошибке в определении полярности заряда.
Пример 2. Определение среднего положения распределенного заряда.
Пусть в зазоре измерительного конденсатора при нулевом напряжении (U1=U2=0) находится плоский диэлектрик с диэлектрической проницаемостью =4 на расстоянии l1=1 мм от неподвижного электрода. Переместим образец на расстояние l2=3 мм. Пусть, например, ток увеличится в 2 раза, а начальная фаза колебаний тока не изменится, т.е. Im2/Im1=2. Подставляя (2) в (3) для двух положений образца l1 и l2, получим
Если при тех же условиях начальная амплитуда тока изменит полярность, т.е. Im2=-2Im1, то
Этот пример показывает, что неучитывание во втором случае изменения полярности начальной амплитуды тока приводит к ошибкам в определении не только величины среднего положения заряда , но и в его положении относительно поверхности образца.
Необходимо отметить, что для упрощения измерений при определении начальной фазы колебаний тока измерительного конденсатора применение осциллографа необязательно. Например, усиленные синусоидальные токи измерительного и вспомогательного конденсаторов, преобразованные в П-импульсы, могут быть поданы на входы двухвходового логического элемента типа И (конъюнктор), на выходе которого включен, например, световой индикатор, сигнализирующий о синфазном следовании импульсов токов обоих конденсаторов. В случае противофазных колебаний токов и чередования импульсов индикатор светиться не будет. Для измерения величины тока измерительного конденсатора на выходе усилителя может быть включен вольтметр.
Литература:
1. Алейников А.Н., Алейников Н.М. Индукционные методы определения параметров остаточного заряжения диэлектрических материалов, “Материаловедение”. – М., Наука и технологии, №3, с.26-33, 2002.
2. Патент RU №1471152, кл. G 01 R 29/12.
3. Патент RU №1688199, кл. G 01 R 29/12.
4. Патент RU №1769157, кл. G 01 R 29/12.
Формула изобретения Способ измерения параметров остаточного заряжения плоских диэлектриков, заключающийся в том, что помещают плоский диэлектрик в зазор измерительного вибрационного конденсатора, изменяют положение образца в зазоре конденсатора и измеряют ток конденсатора для различных положений образца, отличающийся тем, что подают постоянное напряжение на вспомогательный вибрационный конденсатор, вибрационный электрод которого механически жестко связан с вибрационным электродом измерительного конденсатора, сравнивают начальные фазы токов в цепях обоих конденсаторов и, если колебания токов измерительного конденсатора для двух различных положений образца противофазны, то при определении параметров остаточного заряжения токи для двух различных положений образца берут с разными знаками. РИСУНКИ
MM4A – Досрочное прекращение действия патента СССР или патента Российской Федерации на изобретение из-за неуплаты в установленный срок пошлины за поддержание патента в силе
Дата прекращения действия патента: 12.03.2006
Извещение опубликовано: 20.02.2007 БИ: 05/2007
|
||||||||||||||||||||||||||

помещают между электродами 1 и 2. Возникающие в цепях обоих конденсаторов токи усиливаются усилителями 9 и 10 и, преобразованные в напряжения, подаются на осциллограф 11. Причем на вход 13 (вход Y) вертикального отклонения луча подается сигнал, пропорциональный току измерительного конденсатора, а сигнал, пропорциональный току вспомогательного конденсатора, подается на вход 14 внешней синхронизации горизонтальной развертки луча осциллографа.
Рассмотрим суть предлагаемого изобретения. В работе [1] получено уравнение тока динамического конденсатора, когда вибрационный электрод 2 совершает гармонические колебания и величина зазора h между электродами 1 и 2 изменяется по закону h=h0+asin
t
где
,
10-14 Ф/см – электрическая постоянная, S – площадь электродов 1 и 2, h0 – равновесный зазор между электродами 1 и 2, U – напряжение на конденсаторе, l – величина зазора между образцом 12 и электродом 1, а и
– поверхностная плотность полного (реального) заряда, распределенного в диэлектрике с объемной плотностью заряда
(x) вдоль оси x, перпендикулярной поверхности диэлектрика, за начало отсчета х=0 принята поверхность диэлектрика, обращенная к неподвижному электроду 1,
– поверхностная плотность эффективного (формального) заряда, приведенного к плоскости образца x=L, обращенной к электроду 2.
По определению среднего значения аргумента функции центром распределения одномерно распределенного заряда или его средним положением будет величина
Из (2) следует, что, зная величины
r и
или, наоборот, по измеренным величинам
и
Из (3) следует, что в зависимости от полярности зарядов
l=l2-l1=0,1 мм. Регулируя напряжение U, добьемся первоначального значения тока, т.е. Im2=Im1. Пусть величина напряжения при этом составит, например, U2=50 В, т.е.
Предположим теперь, что при тех же условиях начальная фаза тока изменилась на противоположную, т.е. Im2=-Im1. Величину
Приведенный пример показывает, что неучитывание во втором случае изменения полярности начальной амплитуды тока приводит к ошибочному результату, в данном примере отличающемуся более чем в 20 раз от действительного, а также к ошибке в определении полярности заряда.
Пример 2. Определение среднего положения
распределенного заряда.
Пусть в зазоре измерительного конденсатора при нулевом напряжении (U1=U2=0) находится плоский диэлектрик с диэлектрической проницаемостью
Если при тех же условиях начальная амплитуда тока изменит полярность, т.е. Im2=-2Im1, то
Этот пример показывает, что неучитывание во втором случае изменения полярности начальной амплитуды тока приводит к ошибкам в определении не только величины среднего положения заряда
, но и в его положении относительно поверхности образца.
Необходимо отметить, что для упрощения измерений при определении начальной фазы колебаний тока измерительного конденсатора применение осциллографа необязательно. Например, усиленные синусоидальные токи измерительного и вспомогательного конденсаторов, преобразованные в П-импульсы, могут быть поданы на входы двухвходового логического элемента типа И (конъюнктор), на выходе которого включен, например, световой индикатор, сигнализирующий о синфазном следовании импульсов токов обоих конденсаторов. В случае противофазных колебаний токов и чередования импульсов индикатор светиться не будет. Для измерения величины тока измерительного конденсатора на выходе усилителя может быть включен вольтметр.
Литература:
1. Алейников А.Н., Алейников Н.М. Индукционные методы определения параметров остаточного заряжения диэлектрических материалов, “Материаловедение”. – М., Наука и технологии, №3, с.26-33, 2002.
2. Патент RU №1471152, кл. G 01 R 29/12.
3. Патент RU №1688199, кл. G 01 R 29/12.
4. Патент RU №1769157, кл. G 01 R 29/12.