Патент на изобретение №2231799
|
||||||||||||||||||||||||||
(54) СПОСОБ ОПРЕДЕЛЕНИЯ ПАРАМЕТРОВ Т-ОБРАЗНОЙ СХЕМЫ ЗАМЕЩЕНИЯ ДВУХОБМОТОЧНОГО НИЗКОЧАСТОТНОГО ТРАНСФОРМАТОРА В РЕЖИМЕ ХОЛОСТОГО ХОДА
(57) Реферат: Изобретение относится к применению средств обработки информации в электромеханике, и может быть использовано для определения параметров продольных и поперечных звеньев схем замещения моточных изделий. Технический результат заключается в упрощении и повышении точности определения параметров. Проведя опыт холостого хода, при котором вторичная обмотка размыкается, а первичная обмотка трансформатора остается под напряжением источника питания. Далее регистрируют массивы мгновенных значений входного тока |i(tj)|, входного напряжения |u(tj)|, выходного напряжения |u2xx(tj)| для одних и тех же моментов времени tj=t1, t2…,tN, где – число разбиений на периоде Т, t – дискретность массива мгновенных значений входного напряжения |u(tj)|, выходного напряжения |u2xx(tj)|, входного тока |i(tj)|, при известных частоте источника питания, числах витков первичной и вторичной обмоток трансформатора. Затем формируют массив мгновенных значений выходного напряжения |u 2xx(tj)|, приведенного к массиву мгновенных значений входного напряжения. Формируют массив мгновенных значений напряжения на первом продольном сопротивлении |u1(tj)| массивы мгновенных значений активной мощности |р1(tj)|, на первом продольном сопротивлении и |р0(tj)| – на сопротивлении поперечного звена, учитывая которые определяют соответственно средние за период активные мощности р1 и р0. По массиву мгновенных значений входного тока |i(tj)|, определяют действующее значение тока. Формируют точки совместного решения u1(i) и u 2xx(i). Строят вольт-амперные характеристики и определяют их площади FBAX1 и FBAX0, учитывая которые определяют соответственно реактивную мощность Q1 на первом продольном сопротивлении и реактивную мощность Q0 на сопротивлении поперечного звена. Затем определяют параметры схемы замещения: первое продольное активное и реактивное сопротивления активное и реактивное сопротивления поперечного звена схемы замещения трансформатора. 2 табл., 3 ил.
Изобретение относится к области электромеханики, а именно к применению средств обработки информации в электромеханике, и может быть использовано для определения параметров продольных и поперечных звеньев схем замещения (СЗ) моточных изделий.
Известен способ определения параметров Т-образной схемы замещения двухобмоточного низкочастотного трансформатора [Копылов И.П. Электрические машины. – М.: Логос, 2000, стр. 145-148], выбранный в качестве прототипа, заключающийся в том, что проводят опыт холостого хода, при котором вторичная обмотка размыкается, а к первичной обмотке трансформатора подводится регулируемое напряжение, равное напряжению холостого хода (0,3-1,2)Uном=Uхх. С помощью приборов снимаются значения тока холостого хода xx и мощности холостого хода Рхх, при этом считают, что Рхх – потери холостого хода. Зная Uxx, Ixx, Pxx, определяют полное Z0, активное r0, реактивное x0 сопротивления поперечного звена схемы замещения трансформатора как
Недостатками известного способа является то, что для проведения опыта требуется наличие дополнительного оборудования для регулирования напряжения, а при обработке результатов опыта холостого хода пренебрегают активным и реактивным сопротивлениями продольной ветви схемы замещения, что влияет на точность определения ее параметров.
Задачей изобретения является разработка более простого и точного способа определения параметров Т-образной схемы замещения двухобмоточного низкочастотного трансформатора в режиме холостого хода.
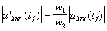
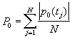
Это достигается тем, что в способе определения параметров Т-образной схемы замещения двухобмоточного низкочастотного трансформатора в режиме холостого хода, так же как в прототипе, включающем проведение опыта холостого хода, при котором вторичная обмотка размыкается, согласно изобретению первичная обмотка трансформатора остается под напряжением источника питания. Далее регистрируют массивы мгновенных значений входного тока , входного напряжения выходного напряжения для одних и тех же моментов времени tj=t1, t2,…, tN, где – число разбиений на периоде Т, t – дискретность массива мгновенных значений входного напряжения выходного напряжения входного тока при известных частоте источника питания, числах витков первичной и вторичной обмоток трансформатора.
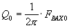
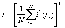
Затем формируют массив мгновенных значений выходного напряжения , приведенного к массиву мгновенных значений входного напряжения, формируют массив мгновенных значений напряжения на первом продольном сопротивлении схемы замещения трансформатора , формируют массивы мгновенных значений активной мощности нa первом продольном сопротивлении схемы замещения и – на сопротивлении поперечного звена схемы замещения, учитывая которые определяют соответственно средние за период активные мощности р1 и р2, а по массиву мгновенных значений входного тока определяют действующее значение тока. Далее формируют точки совместного решения и , затем строят вольт-амперные характеристики и определяют их площади FBAX1 и FBAX0, учитывая которые определяют соответственно реактивную мощность Q1 на первом продольном сопротивлении схемы замещения трансформатора и реактивную мощность Q0 на. сопротивлении поперечного звена схемы замещения трансформатора, учитывая определенные выше значения мощностей и тока, определяют параметры схемы замещения: первое продольное активное и реактивное сопротивления схемы замещения трансформатора, активное и реактивное сопротивления поперечного звена схемы замещения трансформатора.
Предлагаемый способ определения параметров Т-образной схемы замещения двухобмоточного низкочастотного трансформатора в режиме холостого хода за счет раздельного определения параметров схемы замещения по активным и реактивным мощностям на 8% повышает точность вычислений.
На фиг.1 приведена схема замещения двухобмоточного трансформатора в режиме холостого хода.
На фиг.2а, б приведены вольт-амперные характеристики для определения FBAX1 и FBAX0.
На фиг.3 приведена аппаратная схема устройства, реализующая рассматриваемый способ определения параметров схемы замещения.
В табл.1 приведены исходные данные для расчета и промежуточные вычисления.
В табл.2 приведены результаты расчета.
Способ может быть осуществлен с помощью схемы (фиг.3), содержащей масштабирующий блок 1(М), сумматор 2, блок внешней памяти базы данных 3 (БД), первый перемножитель 4 (ПР1), второй перемножитель 5 (ПР2), фильтр низких частот 6 (ФНЧ), делитель 7 (Д), программатор площади вольт-амперной характеристики 8 (П) третий перемножитель 9 (ПРЗ).
Выход масштабирующего блока 1(М) связан с соответствующими входами сумматора 2, второго перемножителя 5 (ПР2), программатора площади вольт-амперной характеристики 8 (П). Выход сумматора 2 связан с соответствующими входами первого перемножителя 4 (ПР1) и программатора площади вольт-амперной характеристики 8 (П). Выход блока внешней памяти базы данных 3 (БД) связан с соответствующими входами первого перемножителя 4 (ПР1), фильтра низких частот 6 (ФНЧ) и программатора площади вольт-амперной характеристики 8 (П). Выходы первого перемножителя 4 (ПР1) и второго перемножителя 5 (ПР2) соединены с входами фильтра низких частот 6 (ФНЧ), выходы которого соединены с входами делителя 7 (Д) и с входом третьего перемножителя 9 (ПР3), выход которого связан с входом делителя 7 (Д). Выходы программатора площади вольт-амперной характеристики 8 (П) связаны с входами делителя 7 (Д).
Масштабирующий блок 1 (М), сумматор 2, первый перемножитель 4 (ПР1), второй перемножитель 5 (ПР2), делитель 7 (Д), программатор площади вольт-амперной характеристики 8 (П) и третий перемножитель 9 (ПР3) могут быть выполнены на микроконтроллере серии 51 производителя atmel AT89S53. Для временного хранения массива мгновенных значений входного тока может быть использован блок внешней памяти данных AT25L256 (32 кбайта). Для работы пользователя может быть предусмотрена кнопочная клавиатура FT008, имеющая 8 кнопок, предназначенных для включения питания, запуска измерения, сохранения полученных значений и сегментный индикатор SCD55100 для вывода рассчитанных параметров схемы замещения трансформатора.
В качестве примера приведен способ определения параметров Т-образной схемы замещения двухобмоточного однофазного трансформатора в режиме холостого хода с частотой источника питания f=400 Гц, количеством витков первичной обмотки w1=200, количеством витков вторичной обмотки w2=100. Дискретность массивов мгновенных значений входного напряжения , выходного напряжения, входного тока . С выхода масштабирующего блока 1 (М) массив мгновенных значений выходного напряжения (столбец 3 таблицы 1), приведенного к первичной цепи и определенный как поступает на вход сумматора 2. Одновременно с массивом мгновенных значений выходного напряжения на вход сумматора 2 поступает массив мгновенных значений входного напряжения (столбец 2 таблицы 1), а на вход блока внешней памяти данных 3(БД) поступает массив мгновенных значений входного тока (столбец 4 таблицы 1). В сумматоре 2 происходит формирование массива мгновенных значений напряжения на первом продольном сопротивлении схемы замещения трансформатора . B соответствии со вторым законом Кирхгофа, как , (столбец 5 таблицы 1). С выхода сумматора 2 массив мгновенных значений напряжения на первом продольном сопротивлении схемы замещения трансформатора поступает на вход первого перемножителя 4 (ПР1), туда же с выхода блока внешней памяти данных 3(БД) поступает массив мгновенных значений входного тока . В первом перемножителе 4 (ПР1) формируется массив мгновенных значений активной мощности , как (столбец 6 таблицы 1) на первом продольном сопротивлении схемы замещения. С выхода первого перемножителя 4 (ПР1) массив мгновенных значений активной мощности на первом продольном сопротивлении схемы замещения поступает на вход фильтра низких частот 6 (ФНЧ). В фильтре низких частот 6 (ФНЧ) определяется средняя за период активная мощность первого продольного сопротивления схемы замещения Р1 по формуле (таблица 2), которая с выхода фильтра низких частот 6 (ФНЧ) поступает на вход делителя 7 (Д). С выхода масштабирующего блока 1 (М) массив мгновенных значений выходного напряжения поступает на вход второго перемножителя 5 (ПР2), туда же с выхода блока внешней памяти данных 3(БД) поступает массив мгновенных значений входного тока . Во втором перемножителе 5 (ПР2) формируется массив мгновенных значений активной мощности ,как (столбец 7 таблицы 1) на сопротивлении поперечного звена схемы замещения. С выхода второго перемножителя 5 (ПР2) массив мгновенных значений активной мощности поступает на вход фильтра низких частот 6 (ФНЧ). В фильтре низких частот 6 (ФНЧ) определяется средняя за период активная мощность сопротивления поперечного звена схемы замещения Р0 по формуле (таблица 2), которая с выхода фильтра низких частот 6 (ФНЧ) поступает на вход делителя 7 (Д). С выхода сумматора 2 массив мгновенных значений напряжения на первом продольном сопротивлении схемы замещения трансформатора поступает на вход программатора площади вольт-амперной характеристики 8 (П), с выхода масштабирующего блока 1 (М) массив мгновенных значений выходного напряжения , приведенного к первичной цепи, поступает на вход программатора площади вольт-амперной характеристики 8 (П), туда же с выхода блока внешней памяти данных 3(БД) поступает массив мгновенных значений входного тока . В программаторе площади вольт-амперной характеристики 8 (П) строятся вольт-амперные характеристики u1(i) и u’2xx(i), определяются их площади FBAX1 и FBAX0 соответственно по формулам и реактивные мощности: на первом продольном сопротивлении схемы замещения трансформатора и на поперечном сопротивлении схемы замещения трансформатора . С выхода программатора площади вольт-амперной характеристики 8 (П) реактивная мощность Q1 (таблица 2) и реактивная мощность Q0 (таблица 2) поступают на вход делителя 7 (Д). С выхода блока внешней памяти данных 3(БД) массив мгновенных значений входного тока поступает на вход фильтра низких частот 6 (ФНЧ). В фильтре низких частот 6 (ФНЧ) определяется действующее значение входного тока I по формуле (таблица 2), которое поступает на вход третьего перемножителя 9 (ПР3), с выхода которого квадрат действующего значения входного тока I2 поступает на вход делителя 7 (Д). С выхода делителя 7 (Д) снимают параметры схемы замещения r1, x1, r0, х0 – найденные по формулам Результаты вычислений сопротивлений сведены в таблицу 2.
Формула изобретения Способ определения параметров Т-образной схемы замещения двухобмоточного низкочастотного трансформатора в режиме холостого хода, включающий проведение опыта холостого хода, при котором вторичная обмотка размыкается, отличающийся тем, что регистрируют массивы мгновенных значений входного тока |i(tj)|, входного напряжения |u(tj)|, выходного напряжения |u2xx(tj)| для одних и тех же моментов времени tj=t1, t2…,tN, где – число разбиений на периоде Т;
t – дискретность массива мгновенных значений входного напряжения |u(tj)|, выходного напряжения |u2xx(tj)|, входного тока |i(tj)|,
при известных частоте источника питания, числах витков первичной и вторичной обмоток трансформатора, затем формируют массив мгновенных значений выходного напряжения |u 2xx(tj)|, приведенного к массиву мгновенных значений входного напряжения, формируют массив мгновенных значений напряжения на первом продольном сопротивлении схемы замещения трансформатора |u1(tj)|, формируют массивы мгновенных значений активной мощности |р1(tj)| на первом продольном сопротивлении схемы замещения и |р0(tj)| – на сопротивлении поперечного звена схемы замещения, учитывая которые определяют соответственно средние за период активные мощности р1 и р0, а по массиву мгновенных значений входного тока |i(tj)|, определяют действующее значение тока, далее формируют точки совместного решения u1(i) и u 2xx(i), затем строят вольт-амперные характеристики и определяют их площади FBAX1 и FBAX0, учитывая которые определяют соответственно реактивную мощность Q1 на первом продольном сопротивлении схемы замещения трансформатора и реактивную мощность Q0 на сопротивлении поперечного звена схемы замещения трансформатора, учитывая определенные выше значения мощностей и тока, определяют параметры схемы замещения: первое продольное активное и реактивное сопротивления схемы замещения трансформатора, активное и реактивное сопротивления поперечного звена схемы замещения трансформатора.
РИСУНКИ
MM4A Досрочное прекращение действия патента Российской Федерации на изобретение из-за неуплаты в установленный срок пошлины за поддержание патента в силе
Дата прекращения действия патента: 11.12.2004
Извещение опубликовано: 20.08.2006 БИ: 23/2006
|
||||||||||||||||||||||||||

– число разбиений на периоде Т,
t – дискретность массива мгновенных значений входного напряжения |u(tj)|, выходного напряжения |u2xx(tj)|, входного тока |i(tj)|, при известных частоте источника питания, числах витков первичной и вторичной обмоток трансформатора. Затем формируют массив мгновенных значений выходного напряжения |u
2xx(tj)|, приведенного к массиву мгновенных значений входного напряжения. Формируют массив мгновенных значений напряжения на первом продольном сопротивлении |u1(tj)| массивы мгновенных значений активной мощности |р1(tj)|, на первом продольном сопротивлении и |р0(tj)| – на сопротивлении поперечного звена, учитывая которые определяют соответственно средние за период активные мощности р1 и р0. По массиву мгновенных значений входного тока |i(tj)|, определяют действующее значение тока. Формируют точки совместного решения u1(i) и u
Недостатками известного способа является то, что для проведения опыта требуется наличие дополнительного оборудования для регулирования напряжения, а при обработке результатов опыта холостого хода пренебрегают активным и реактивным сопротивлениями продольной ветви схемы замещения, что влияет на точность определения ее параметров.
Задачей изобретения является разработка более простого и точного способа определения параметров Т-образной схемы замещения двухобмоточного низкочастотного трансформатора в режиме холостого хода.
Это достигается тем, что в способе определения параметров Т-образной схемы замещения двухобмоточного низкочастотного трансформатора в режиме холостого хода, так же как в прототипе, включающем проведение опыта холостого хода, при котором вторичная обмотка размыкается, согласно изобретению первичная обмотка трансформатора остается под напряжением источника питания. Далее регистрируют массивы мгновенных значений входного тока
, входного напряжения
выходного напряжения
для одних и тех же моментов времени tj=t1, t2,…, tN, где
– число разбиений на периоде Т,
выходного напряжения
входного тока
при известных частоте источника питания, числах витков первичной и вторичной обмоток трансформатора.
Затем формируют массив мгновенных значений выходного напряжения
, приведенного к массиву мгновенных значений входного напряжения, формируют массив мгновенных значений напряжения на первом продольном сопротивлении схемы замещения трансформатора
, формируют массивы мгновенных значений активной мощности
нa первом продольном сопротивлении схемы замещения и
– на сопротивлении поперечного звена схемы замещения, учитывая которые определяют соответственно средние за период активные мощности р1 и р2, а по массиву мгновенных значений входного тока
определяют действующее значение тока. Далее формируют точки совместного решения
и
, затем строят вольт-амперные характеристики и определяют их площади FBAX1 и FBAX0, учитывая которые определяют соответственно реактивную мощность Q1 на первом продольном сопротивлении схемы замещения трансформатора и реактивную мощность Q0 на. сопротивлении поперечного звена схемы замещения трансформатора, учитывая определенные выше значения мощностей и тока, определяют параметры схемы замещения: первое продольное активное и реактивное сопротивления схемы замещения трансформатора, активное и реактивное сопротивления поперечного звена схемы замещения трансформатора.
Предлагаемый способ определения параметров Т-образной схемы замещения двухобмоточного низкочастотного трансформатора в режиме холостого хода за счет раздельного определения параметров схемы замещения по активным и реактивным мощностям на 8% повышает точность вычислений.
На фиг.1 приведена схема замещения двухобмоточного трансформатора в режиме холостого хода.
На фиг.2а, б приведены вольт-амперные характеристики для определения FBAX1 и FBAX0.
На фиг.3 приведена аппаратная схема устройства, реализующая рассматриваемый способ определения параметров схемы замещения.
В табл.1 приведены исходные данные для расчета и промежуточные вычисления.
В табл.2 приведены результаты расчета.
Способ может быть осуществлен с помощью схемы (фиг.3), содержащей масштабирующий блок 1(М), сумматор 2, блок внешней памяти базы данных 3 (БД), первый перемножитель 4 (ПР1), второй перемножитель 5 (ПР2), фильтр низких частот 6 (ФНЧ), делитель 7 (Д), программатор площади вольт-амперной характеристики 8 (П) третий перемножитель 9 (ПРЗ).
Выход масштабирующего блока 1(М) связан с соответствующими входами сумматора 2, второго перемножителя 5 (ПР2), программатора площади вольт-амперной характеристики 8 (П). Выход сумматора 2 связан с соответствующими входами первого перемножителя 4 (ПР1) и программатора площади вольт-амперной характеристики 8 (П). Выход блока внешней памяти базы данных 3 (БД) связан с соответствующими входами первого перемножителя 4 (ПР1), фильтра низких частот 6 (ФНЧ) и программатора площади вольт-амперной характеристики 8 (П). Выходы первого перемножителя 4 (ПР1) и второго перемножителя 5 (ПР2) соединены с входами фильтра низких частот 6 (ФНЧ), выходы которого соединены с входами делителя 7 (Д) и с входом третьего перемножителя 9 (ПР3), выход которого связан с входом делителя 7 (Д). Выходы программатора площади вольт-амперной характеристики 8 (П) связаны с входами делителя 7 (Д).
Масштабирующий блок 1 (М), сумматор 2, первый перемножитель 4 (ПР1), второй перемножитель 5 (ПР2), делитель 7 (Д), программатор площади вольт-амперной характеристики 8 (П) и третий перемножитель 9 (ПР3) могут быть выполнены на микроконтроллере серии 51 производителя atmel AT89S53. Для временного хранения массива мгновенных значений входного тока
может быть использован блок внешней памяти данных AT25L256 (32 кбайта). Для работы пользователя может быть предусмотрена кнопочная клавиатура FT008, имеющая 8 кнопок, предназначенных для включения питания, запуска измерения, сохранения полученных значений и сегментный индикатор SCD55100 для вывода рассчитанных параметров схемы замещения трансформатора.
В качестве примера приведен способ определения параметров Т-образной схемы замещения двухобмоточного однофазного трансформатора в режиме холостого хода с частотой источника питания f=400 Гц, количеством витков первичной обмотки w1=200, количеством витков вторичной обмотки w2=100. Дискретность массивов мгновенных значений входного напряжения
, выходного напряжения, входного тока
. С выхода масштабирующего блока 1 (М) массив мгновенных значений выходного напряжения
(столбец 3 таблицы 1), приведенного к первичной цепи и определенный как
поступает на вход сумматора 2. Одновременно с массивом мгновенных значений выходного напряжения на вход сумматора 2 поступает массив мгновенных значений входного напряжения
(столбец 2 таблицы 1), а на вход блока внешней памяти данных 3(БД) поступает массив мгновенных значений входного тока
(столбец 4 таблицы 1). В сумматоре 2 происходит формирование массива мгновенных значений напряжения на первом продольном сопротивлении схемы замещения трансформатора
. B соответствии со вторым законом Кирхгофа, как
, (столбец 5 таблицы 1). С выхода сумматора 2 массив мгновенных значений напряжения на первом продольном сопротивлении схемы замещения трансформатора
поступает на вход первого перемножителя 4 (ПР1), туда же с выхода блока внешней памяти данных 3(БД) поступает массив мгновенных значений входного тока
. В первом перемножителе 4 (ПР1) формируется массив мгновенных значений активной мощности
, как
(столбец 6 таблицы 1) на первом продольном сопротивлении схемы замещения. С выхода первого перемножителя 4 (ПР1) массив мгновенных значений активной мощности
на первом продольном сопротивлении схемы замещения поступает на вход фильтра низких частот 6 (ФНЧ). В фильтре низких частот 6 (ФНЧ) определяется средняя за период активная мощность первого продольного сопротивления схемы замещения Р1 по формуле
(таблица 2), которая с выхода фильтра низких частот 6 (ФНЧ) поступает на вход делителя 7 (Д). С выхода масштабирующего блока 1 (М) массив мгновенных значений выходного напряжения
поступает на вход второго перемножителя 5 (ПР2), туда же с выхода блока внешней памяти данных 3(БД) поступает массив мгновенных значений входного тока
. Во втором перемножителе 5 (ПР2) формируется массив мгновенных значений активной мощности
,как
(столбец 7 таблицы 1) на сопротивлении поперечного звена схемы замещения. С выхода второго перемножителя 5 (ПР2) массив мгновенных значений активной мощности
поступает на вход фильтра низких частот 6 (ФНЧ). В фильтре низких частот 6 (ФНЧ) определяется средняя за период активная мощность сопротивления поперечного звена схемы замещения Р0 по формуле
(таблица 2), которая с выхода фильтра низких частот 6 (ФНЧ) поступает на вход делителя 7 (Д). С выхода сумматора 2 массив мгновенных значений напряжения на первом продольном сопротивлении схемы замещения трансформатора
поступает на вход программатора площади вольт-амперной характеристики 8 (П), с выхода масштабирующего блока 1 (М) массив мгновенных значений выходного напряжения
, приведенного к первичной цепи, поступает на вход программатора площади вольт-амперной характеристики 8 (П), туда же с выхода блока внешней памяти данных 3(БД) поступает массив мгновенных значений входного тока
. В программаторе площади вольт-амперной характеристики 8 (П) строятся вольт-амперные характеристики u1(i) и u’2xx(i), определяются их площади FBAX1 и FBAX0 соответственно по формулам
и реактивные мощности: на первом продольном сопротивлении схемы замещения трансформатора
и на поперечном сопротивлении схемы замещения трансформатора
. С выхода программатора площади вольт-амперной характеристики 8 (П) реактивная мощность Q1 (таблица 2) и реактивная мощность Q0 (таблица 2) поступают на вход делителя 7 (Д). С выхода блока внешней памяти данных 3(БД) массив мгновенных значений входного тока
поступает на вход фильтра низких частот 6 (ФНЧ). В фильтре низких частот 6 (ФНЧ) определяется действующее значение входного тока I по формуле
(таблица 2), которое поступает на вход третьего перемножителя 9 (ПР3), с выхода которого квадрат действующего значения входного тока I2 поступает на вход делителя 7 (Д). С выхода делителя 7 (Д) снимают параметры схемы замещения r1, x1, r0, х0 – найденные по формулам
Результаты вычислений сопротивлений сведены в таблицу 2.
– число разбиений на периоде Т;