Патент на изобретение №2231762
|
||||||||||||||||||||||||||
(54) ОПТОЭЛЕКТРОННЫЙ ДАТЧИК ДАВЛЕНИЯ
(57) Реферат: Изобретение относится к технической физике, а именно к исследованию характеристик газов и жидкостей, конкретно к измерению давления. В оптоэлектронном датчике давления, содержащем подвижную мембрану, источник излучения, модулируемый генератором переменного тока, синхронный детектор, первый и второй фотоприемники, по ходу луча установлены телескопическая оптическая система, делитель пучка, трапецеидальная призма, грань которой отделена от подвижной мембраны зазором, толщина которого d2 выбрана из условия: , где 0 – длина волны излучения (м); n1– показатель преломления трапецеидальной призмы; р – угол падения излучения на грань призмы (рад), при этом делитель пучка направляет световой поток от источника излучения на первый фотоприемник и трапецеидальную призму, а от призмы – на второй фотоприемник, а выходы фотоприемников подключены к синхронному детектору. Телескопическая система формирует оптический пучок с малой угловой расходимостью, форма трапецеидальной призмы обеспечивает определенный угол падения излучения на зазор и возвращение его на делитель пучка, а подвижная мембрана совместно с призмой образуют высокодобротную резонансную многослойную оптическую структуру. Технический результат – повышение чувствительности оптоэлектронного датчика давления и обеспечение дистанционности измерений. 1 ил.
Изобретение относится к технической физике, а именно к исследованию характеристик газов и жидкостей, конкретно к измерению давления.
Известен оптический преобразователь давления (а.с. СССР №960561, МПК5 G 01 L 11/00, Б.И. №35, 1982), содержащий прозрачное основание в виде полусферы, мембрану с упругим светопоглощающим элементом, выполненным в форме эллиптического параболоида, установленную через прокладку на плоскости полусферы симметрично относительно ее вертикальной оси, источник излучения и фотоприемник.
Недостатком известного устройства является низкая чувствительность, обусловленная необходимостью сжатия упругого светопоглощающего элемента, что приводит к малым амплитудам колебаний мембраны и, соответственно, незначительным изменениям светового потока, попадающего на фотоприемник.
Наиболее близким к предлагаемому по технической сущности является известный оптоэлектронный датчик давления (патент РФ №2006016 от 15.01.94, G 01 L 11/00), содержащий подвижную мембрану, источник излучения, модулируемый генератором переменного тока, и два фотоприемника, связанные между собой с помощью оптического канала, включающего в себя конденсор, растр, объектив и два зеркала, при этом фотоприемники включены навстречу друг другу и подключены к синхронному детектору.
Работа оптического канала основана на расфокусировке светового потока при прогибах зеркальной мембраны и изменении части светового потока, поступающего на фотоприемник.
При работе оптоэлектронного датчика световой поток от источника излучения через верхнюю половину растра, верхнюю половину конденсора, объектив падает на зеркальную мембрану. Отразившись от зеркальной мембраны, этот поток проходит через нижнюю половину растра и конденсора и зеркалом собирается на первом фотоприемнике. Растр установлен в фокальной плоскости объектива, при прогибах зеркальной мембраны возникает расфокусировка и изменение светового потока, поступающего от источника на первый фотоприемник. Изменение светового потока и, соответственно, развиваемого фотоприемником сигнала пропорционально изменению действующего на зеркальную мембрану давления.
Для повышения стабильности схема снабжена вторым приемником светового потока, а источник питается от генератора переменного тока. От этого же генератора опорное напряжение поступает на синхронный детектор. На второй фотоприемник световой поток направляется вторым зеркалом, минуя оптическую систему. Развиваемый фотоприемником сигнал служит для стабилизации работы всей системы. Электрические сигналы от обоих приемников поступают через синхронный детектор на измерительный прибор.
Недостатком устройства является то, что его работа основана на расфокусировке излучения и перераспределении части излучения, поступающего на фотоприемник и поглощающегося на растре. Эффект модуляции интенсивности пучка на фотоприемнике полностью определяется относительным смещением x/f (где х – смещение зеркальной мембраны, f – фокусное расстояние линзы) отражающей мембраны из фокальной плоскости линзы. Следствием этого является необходимость использования линз с малым фокусным расстоянием (и, соответственно, малым диаметром), что существенно снижает часть оптической мощности, используемой для получения измерительной информации, уменьшает отношение сигнал-шум на входе фотоприемника и чувствительность датчика давления. Кроме того, становится практически невозможным проведение дистанционных (при значительном удалении от источника излучения и фотоприемника) измерений.
Задачей настоящего изобретения является повышение чувствительности оптоэлектронного датчика давления и обеспечение дистанционности измерений.
Поставленная задача достигается тем, что в оптоэлектронном датчике давления, содержащем подвижную мембрану, источник излучения, модулируемый генератором переменного тока, синхронный детектор, первый и второй фотоприемники, по ходу луча установлены телескопическая оптическая система, делитель пучка, трапецеидальная призма, грань которой отделена от подвижной мембраны зазором, толщина которого d2 выбрана из условия:
где 0 – длина волны излучения (м);
n1 – показатель преломления трапецеидальной призмы;
p – угол падения излучения на диагональную грань призмы (рад),
при этом делитель пучка направляет световой поток от источника излучения на первый фотоприемник и трапецеидальную призму, а от призмы – на второй фотоприемник, а выходы фотоприемников подключены к синхронному детектору.
Телескопическая система формирует оптический пучок с малой угловой расходимостью, форма трапецеидальной призмы обеспечивает определенный угол падения излучения на зазор и возвращение его на делитель пучка, а подвижная мембрана совместно с призмой образуют высокодобротную резонансную многослойную оптическую структуру.
Такое сочетание элементов обеспечивает получение высокой чувствительности и обеспечивает дистанционность измерений. Амплитуда разностного сигнала фотоприемников пропорциональна давлению или его изменению.
На чертеже дана схема предлагаемого оптоэлектронного датчика давлений: 1 – источник излучения, 2 – телескопическая система, 3 – делитель пучка, 4 – приемник излучения, 5 – трапецеидальная призма, 6 – подвижная мембрана, 7 – приемник излучения, 8 – синхронный детектор, 9 – схема обработки, 10 – генератор переменного тока.
Схема оптоэлектронного датчика состоит из источника излучения 1, расположенного перед телескопической оптической системой 2. За ними расположен делитель пучка 3, направляющий световой поток от источника излучения на фотоприемник 4 и трапецеидальную призму 5, грань которой отделена от подвижной мембраной 6 зазором, а от призмы – на фотоприемник 7. Выходы фотоприемников подключены к синхронному детектору 8, выход которого объединен с входом схемы обработки 9. Генератор переменного тока 10 подключен к источнику излучения и обеспечивает модуляцию оптического излучения.
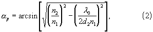
Устройство работает следующим образом. Световой поток от источника излучения 1 через телескопическую систему 2, делитель пучка 3 направляется на трапецеидальную призму 5, на грани которой с зазором установлена мембрана 6. Мембрана и трапецеидальная призма образуют резонансный угловой фильтр с единственным резонансом, характеризующийся сильной зависимостью коэффициента отражения от угла падения излучения на фильтр. Резонансный угол падения определяется выражением
где n1 – показатель преломления трапецеидальной призмы;
n2– показатель преломления среды, заполняющей зазор между мембраной и гранью призмы (при воздушном заполнении n2=1);
d2 – величина зазора между мембраной и диагональной гранью трапецеидальной призмы (м).
Форма трапецеидальной призмы выбрана таким образом, чтобы обеспечивать двойное взаимодействие оптического излучения с подвижной мембраной и возврат его на делитель пучка.
При воздействии давления на мембрану она прогибается, как следствие изменяются зазор d2 и коэффициент отражения от системы, определяемый выражением
где y=KxL0![]() p – обобщенная угловая расстройка; (4)
Кx – продольное волновое число в зазоре (1/м);
L0– постоянная длины резонансной системы (м);
р– изменение резонансного угла падения (рад).
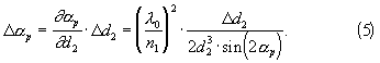
Величина изменения резонансного угла падения р зависит от величины изменения зазора d2 при прогибе мембраны и определяется выражением
В результате появления угловой расстройки возникает амплитудная модуляция пучка.
Благодаря тому что оптический пучок дважды проходит через резонансный угловой фильтр, образованный мембраной и гранью призмы, глубина амплитудной модуляции увеличивается.
Пройдя через призму, пучок возвращается на делитель пучка 3 и направляется им на фотоприемник 7. Изменение светового потока и, соответственно, развиваемого фотоприемником сигнала пропорционально изменению действующего на мембрану давления.
Для повышения стабильности и помехозащищенности схема снабжена вторым фотоприемником светового потока 4, а источник излучения модулируется переменным током от генератора 10. На фотоприемник 4 пучок направляется делителем пучка 3.
Развиваемый фотоприемником 4 электрический сигнал является опорным и служит для стабилизации работы всего устройства.
Электрические сигналы с обоих фотоприемников поступают на синхронный детектор 8, где сигнал от фотоприемника 7 детектируется и поступает на схему обработки 9.
Схема обеспечивает существенное повышение чувствительности оптоэлектронного датчика давления, позволяет производить дистанционные измерения давления и может быть использована как датчик давления и как датчик акустических колебаний.
Пример. Для оптоэлектронного датчика давления с длинной волны оптического излучения о=0,63мкм, показателем преломления трапецеидальной призмы n1=1.51, зазором между мембраной и гранью призмы d2=10 мкм и воздушным заполнением зазора (n2=1) резонансный угол падения, определяемый выражением (2), составляет p=41,446 .
При смещении мембраны на величину d2=0.1 мкм резонансный угол p изменяется на величину, определяемую выражением (5), и составляет р=8.7709 10-6 рад.
Для нашего случая Kx=105 1/cм, L0=1 cм, и обобщенная расстройка, вычисленная по (4), равна у=0.87709.
Коэффициент отражения от системы, определяемый выражением (3), равен R(0.87709)=0.18945.
Для системы при отсутствии давления на мембрану y=0, R(0)=0. Отсюда видно, что незначительному смещению мембраны соответствует большое изменение коэффициента отражения от системы и, как следствие, выходного сигнала.
Кроме того, данное устройство имеет дополнительное достоинство – скрытность получения информации. Это обеспечивается тем, что оптическое излучение, несущее полезную информацию направляется только в ту точку, откуда поступает зондирующий луч. Удаление трапецеидальной призмы совместно с подвижной мембраной, отделенной зазором, от остальных элементов устройства может доходить до десятков и сотен метров.
Формула изобретения Оптоэлектронный датчик давления, содержащий подвижную мембрану, источник излучения, модулируемый генератором переменного тока, синхронный детектор, первый и второй фотоприемники, отличающийся тем, что по ходу луча установлены телескопическая оптическая система, делитель пучка, трапецеидальная призма, грань которой отделена от подвижной мембраны зазором, толщина которого d2 выбрана из условия
0 – длина волны излучения, м;
n1 – показатель преломления трапецеидальной призмы;
р – угол падения излучения на грань призмы, рад,
при этом делитель пучка направляет световой поток от источника излучения на первый фотоприемник и трапецеидальную призму, а от призмы – на второй фотоприемник, а выходы фотоприемников подключены к синхронному детектору.
РИСУНКИ
MM4A Досрочное прекращение действия патента Российской Федерации на изобретение из-за неуплаты в установленный срок пошлины за поддержание патента в силе
Дата прекращения действия патента: 04.01.2004
Извещение опубликовано: 27.08.2005 БИ: 24/2005
|
||||||||||||||||||||||||||

, где
0 – длина волны излучения (м); n1– показатель преломления трапецеидальной призмы;
р – угол падения излучения на грань призмы (рад), при этом делитель пучка направляет световой поток от источника излучения на первый фотоприемник и трапецеидальную призму, а от призмы – на второй фотоприемник, а выходы фотоприемников подключены к синхронному детектору. Телескопическая система формирует оптический пучок с малой угловой расходимостью, форма трапецеидальной призмы обеспечивает определенный угол падения излучения на зазор и возвращение его на делитель пучка, а подвижная мембрана совместно с призмой образуют высокодобротную резонансную многослойную оптическую структуру. Технический результат – повышение чувствительности оптоэлектронного датчика давления и обеспечение дистанционности измерений. 1 ил.
Изобретение относится к технической физике, а именно к исследованию характеристик газов и жидкостей, конкретно к измерению давления.
Известен оптический преобразователь давления (а.с. СССР №960561, МПК5 G 01 L 11/00, Б.И. №35, 1982), содержащий прозрачное основание в виде полусферы, мембрану с упругим светопоглощающим элементом, выполненным в форме эллиптического параболоида, установленную через прокладку на плоскости полусферы симметрично относительно ее вертикальной оси, источник излучения и фотоприемник.
Недостатком известного устройства является низкая чувствительность, обусловленная необходимостью сжатия упругого светопоглощающего элемента, что приводит к малым амплитудам колебаний мембраны и, соответственно, незначительным изменениям светового потока, попадающего на фотоприемник.
Наиболее близким к предлагаемому по технической сущности является известный оптоэлектронный датчик давления (патент РФ №2006016 от 15.01.94, G 01 L 11/00), содержащий подвижную мембрану, источник излучения, модулируемый генератором переменного тока, и два фотоприемника, связанные между собой с помощью оптического канала, включающего в себя конденсор, растр, объектив и два зеркала, при этом фотоприемники включены навстречу друг другу и подключены к синхронному детектору.
Работа оптического канала основана на расфокусировке светового потока при прогибах зеркальной мембраны и изменении части светового потока, поступающего на фотоприемник.
При работе оптоэлектронного датчика световой поток от источника излучения через верхнюю половину растра, верхнюю половину конденсора, объектив падает на зеркальную мембрану. Отразившись от зеркальной мембраны, этот поток проходит через нижнюю половину растра и конденсора и зеркалом собирается на первом фотоприемнике. Растр установлен в фокальной плоскости объектива, при прогибах зеркальной мембраны возникает расфокусировка и изменение светового потока, поступающего от источника на первый фотоприемник. Изменение светового потока и, соответственно, развиваемого фотоприемником сигнала пропорционально изменению действующего на зеркальную мембрану давления.
Для повышения стабильности схема снабжена вторым приемником светового потока, а источник питается от генератора переменного тока. От этого же генератора опорное напряжение поступает на синхронный детектор. На второй фотоприемник световой поток направляется вторым зеркалом, минуя оптическую систему. Развиваемый фотоприемником сигнал служит для стабилизации работы всей системы. Электрические сигналы от обоих приемников поступают через синхронный детектор на измерительный прибор.
Недостатком устройства является то, что его работа основана на расфокусировке излучения и перераспределении части излучения, поступающего на фотоприемник и поглощающегося на растре. Эффект модуляции интенсивности пучка на фотоприемнике полностью определяется относительным смещением
x/f (где
где
где n1 – показатель преломления трапецеидальной призмы;
n2– показатель преломления среды, заполняющей зазор между мембраной и гранью призмы (при воздушном заполнении n2=1);
d2 – величина зазора между мембраной и диагональной гранью трапецеидальной призмы (м).
Форма трапецеидальной призмы выбрана таким образом, чтобы обеспечивать двойное взаимодействие оптического излучения с подвижной мембраной и возврат его на делитель пучка.
При воздействии давления на мембрану она прогибается, как следствие изменяются зазор d2 и коэффициент отражения от системы, определяемый выражением
где y=KxL0
В результате появления угловой расстройки возникает амплитудная модуляция пучка.
Благодаря тому что оптический пучок дважды проходит через резонансный угловой фильтр, образованный мембраной и гранью призмы, глубина амплитудной модуляции увеличивается.
Пройдя через призму, пучок возвращается на делитель пучка 3 и направляется им на фотоприемник 7. Изменение светового потока и, соответственно, развиваемого фотоприемником сигнала пропорционально изменению действующего на мембрану давления.
Для повышения стабильности и помехозащищенности схема снабжена вторым фотоприемником светового потока 4, а источник излучения модулируется переменным током от генератора 10. На фотоприемник 4 пучок направляется делителем пучка 3.
Развиваемый фотоприемником 4 электрический сигнал является опорным и служит для стабилизации работы всего устройства.
Электрические сигналы с обоих фотоприемников поступают на синхронный детектор 8, где сигнал от фотоприемника 7 детектируется и поступает на схему обработки 9.
Схема обеспечивает существенное повышение чувствительности оптоэлектронного датчика давления, позволяет производить дистанционные измерения давления и может быть использована как датчик давления и как датчик акустических колебаний.
Пример. Для оптоэлектронного датчика давления с длинной волны оптического излучения
.
При смещении мембраны на величину
10-6 рад.
Для нашего случая Kx=105 1/cм, L0=1 cм, и обобщенная расстройка, вычисленная по (4), равна у=0.87709.
Коэффициент отражения от системы, определяемый выражением (3), равен R(0.87709)=0.18945.
Для системы при отсутствии давления на мембрану y=0, R(0)=0. Отсюда видно, что незначительному смещению мембраны соответствует большое изменение коэффициента отражения от системы и, как следствие, выходного сигнала.
Кроме того, данное устройство имеет дополнительное достоинство – скрытность получения информации. Это обеспечивается тем, что оптическое излучение, несущее полезную информацию направляется только в ту точку, откуда поступает зондирующий луч. Удаление трапецеидальной призмы совместно с подвижной мембраной, отделенной зазором, от остальных элементов устройства может доходить до десятков и сотен метров.