Патент на изобретение №2231761
|
||||||||||||||||||||||||||
(54) СПОСОБ ОПРЕДЕЛЕНИЯ МГНОВЕННОГО КОЭФФИЦИЕНТА ТЕПЛООТДАЧИ К СТЕНКЕ РАБОЧЕЙ КАМЕРЫ МАШИНЫ ОБЪЕМНОГО ДЕЙСТВИЯ
(57) Реферат: Изобретение относится к экспериментальной теплофизике и может быть использовано для определения мгновенного осредненного по поверхности значения коэффициента теплоотдачи к поверхности рабочей камеры машины объемного действия. Согласно заявленному способу значение мгновенного коэффициента теплоотдачи находят из отношения величины удельного теплового потока к разности мгновенной температуры газа и температуры стенок. При расчете величины удельного теплового потока используются величина объема рабочей камеры, площадь теплообменной поверхности, величины давления, температуры газа и температуры стенок, мгновенные значения которых измеряют в герметичной камере. Технический результат: повышение точности определения мгновенного коэффициента теплоотдачи. 1 ил. Изобретение относится к экспериментальной теплофизике, а именно к способам определения коэффициента теплоотдачи, и может быть использовано для определения мгновенного осредненного по поверхности значения коэффициента теплоотдачи к поверхности рабочей камеры машины объемного действия. Известен способ определения коэффициента теплоотдачи [1], заключающийся в том, что на определенном участке рабочего процесса компрессора объемного действия измеряют температуру стенок рабочей камеры Тст, площадь внутренней поверхности цилиндра F, участвующую в теплообмене, мгновенное давление газа в цилиндре Р и время протекания рабочего процесса . Далее по индикаторной диаграмме находят мгновенную температуру газа Т.
Среднее значение коэффициента теплоотдачи в предположении стационарности теплового потока находят по выражению
где T=(Т-Тст) – изменение во времени средней разности температур газа и стенок;
F – поверхность, участвующая в теплообмене, м2;
– общее время протекания рассматриваемого процесса, с;
Q – количество теплоты в процессе теплообмена, Дж.
Однако этому способу присущ существенный недостаток, заключающийся в том, что полученный средний коэффициент теплоотдачи вследствие неоднородности условий теплообмена существенно отличается от действительного мгновенного [2], что не раскрывает действительной картины теплообмена.
Наиболее близким по технической сущности и достигаемому результату к предлагаемому является способ определения мгновенного коэффициента теплоотдачи в цилиндре [3], включающий измерение мгновенных значений давления Р, температуры стенок Тст, температуры газа Т, определение мгновенного значения удельного теплового потока q и вычисление коэффициента теплоотдачи по формуле
где q – мгновенное значение удельного теплового потока, Вт/м2;
Т – мгновенное значение температуры газа, К;
Тст – стационарная температура стенки, К.
Недостатком данного способа является то, что q определяется в какой-то локальной точке поверхности, а так как поле температур достаточно неравномерно [2], то этот метод подходит только для определения местного коэффициента теплоотдачи, который нельзя применять к другим участкам поверхности рабочей камеры, так как условия теплообмена на них могут существенно отличатся. Кроме того, данные эксперимента были получены на рабочих машинах и сопровождались массообменными потоками, что накладывает определенные особенности и не позволяет распространять полученные результаты на другие типоразмеры и конструктивные схемы машин объемного действия.
Задачей изобретения является определение мгновенного коэффициента теплоотдачи, осредненного для всей теплообменной поверхности, и повышение точности его определения.
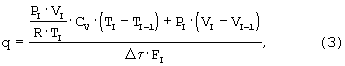
Поставленная задача решается тем, что при изменении объема герметичной рабочей камеры (dm=0) и измерении в ней текущих значений мгновенных величин объема рабочей камеры V, площади теплообменной поверхности F, давления Р, мгновенной температуры газа Т и температуры стенок Тст значение мгновенного коэффициента теплоотдачи находят по зависимости
где q – величина удельного теплового потока, находится по выражению
где ![]() =1/N· – малый интервал времени, с;
N>360 – число измерений за цикл;
– частота цикла, с-1;
pI, VI, TI, FI – соответственно давление (Па), объем (м3), температура газа (К) и площадь теплообменной поверхности (м2) рабочей камеры в момент времени I;
TI-1, VI-1 – температура газа (К) и объем рабочей камеры (м3) в момент времени I-1, причем I-1= I–![]() ;
СV – изохорная теплоемкость, Дж/кг·К;
R – газовая постоянная, Дж/кг·К.
Предложенный способ определения мгновенного коэффициента теплоотдачи можно осуществить устройством, схема которого представлена на чертеже.
В герметичной рабочей камере 1 размещен с возможностью линейного перемещения поршень 2, соединенный через шатун 3 с коленчатым валом 4. На коленчатом валу 4 расположен датчик перемещения 5. Датчик измерения мгновенного давления газа 6, малоинерционный датчик температуры газа 7 и датчики измерения температуры стенок 8 связаны с входом усилителя 9, выход которого связан с аналого-цифровым преобразователем 10 и компьютером 11.
При вращении коленчатого вала 4 поршень 2 совершает возвратно-поступательные движения, периодически изменяя тем самым объем, температуру и давление газа в рабочей камере 1. Датчик мгновенного давления 6 и малоинерционный датчик температуры 7 регистрируют параметры газа при определенных углах поворота коленчатого вала в течение оборота. Температурные датчики 8 снимают показания значений температуры стенок в нескольких точках, которые затем осредняются компьютером по специально заложенной программе. Величину перемещения поршня SI определяют датчиком перемещения 5. Объем рабочей камеры VI в момент времени I определяют исходя из значения площади поршня Fп и перемещения SI по общеизвестной формуле
VI=FП·SI (4)
Аналоговый сигнал с каждого из указанных датчиков через усилитель 9 поступает в блок аналого-цифрового преобразователя 10, после чего в цифровой форме его подают в компьютер 11, где формируют массив данных, в котором для каждого из N измерений создается массив значений ТCT, Т, Р, F и перемещения поршня SI. Далее с помощью специальных программ массив обрабатывают по зависимостям (2) и (3).
Выражение (3) получено в результате преобразования уравнения первого закона термодинамики [4]
Q= U+L (5),
где Q – количество теплоты, сообщенное телу при нагревании за время ![]() ;
U – изменение внутренней энергии тела, равное разности внутренних энергий системы за время ![]() , которую находят по формуле [4]:
U=m·cv·(TI-TI-1), (6)
где m – масса газа в рабочей камере (кг), которая определяется в соответствии с уравнением состояния [4]
L – работа, совершаемая над телом за время ![]() [4]
L=PI·(VI-VI-1), (8)
где VI=FП·SI – объем рабочей камеры в момент времени I;
VI-1=FП·SI-1 – объем рабочей камеры в момент времени I-1;
SI – перемещение поршня в момент времени I;
SI-1 – перемещение поршня в момент времени I-1.
Подставляя U и L в (5), получим количество теплоты, сообщенное телу за время ![]()
Q=(PI·VI/R·TI)·cv·(TI-TI-1)+PI·(VI-VI-1). (10)
Принимая во внимание [4], что величина удельного теплового потока
q=Q/![]() ·FI (11)
и с учетом полученного выражения (10), значение удельного теплового потока можно представить в следующем виде:
Использование предложенного способа определения коэффициента теплоотдачи обеспечивает возможность получения мгновенного значения коэффициента теплоотдачи, осредненного по всей теплообменной поверхности, что позволяет оценить процесс теплообмена в рабочей камере, а не в какой-то локальной точке и существенно увеличить точность нахождения коэффициента теплоотдачи вследствие непосредственного измерения температуры и герметизации рабочей камеры.
Источники информации
2. Пластинин П.И. Теория и расчет поршневых компрессоров. – М.: ВО Агропромиздат. 1987. – 271 с.
4. Кириллин В.А. и др. Техническая термодинамика./ Сычев В.В., Шейдлин А.Е. – Изд. 2-е. М.: Энергия, 1974. – 448 с.
Формула изобретения Способ определения мгновенного коэффициента теплоотдачи, включающий измерение мгновенных значений давления Р, температуры стенок Тст, температуры газа Т, определение мгновенного значения удельного теплового потока q и вычисление коэффициента теплоотдачи по зависимости
отличающийся тем, что дополнительно измеряют мгновенные значения текущих величин объема рабочей камеры VI и площади теплообменной поверхности FI, причем измерение мгновенных значений текущих величин объема рабочей камеры VI, площади теплообменной поверхности FI, давления РI, температуры стенок Тст, температуры газа Т производят в герметичной рабочей камере через малые равные промежутки времени ![]() ,
где ![]() =1/N![]() ;
N>360 – число измерений за цикл;
– частота цикла, с-1;
q – удельный тепловой поток за промежуток времени ![]() , находят по выражению
,
где РI, VI, TI, FI – соответственно давление (Па), объем рабочей камеры (м3), температура газа (К) и площадь теплообменной поверхности (м2) в момент времени I;
ТI-1, VI-1 – температура газа (К) и объем рабочей камеры (м3) в момент времени I-1, причем I-1= I–![]() ;
СV – изохорная теплоемкость, Дж/(кг К);
R – газовая постоянная, Дж/(кг К),
причем температура газа Т определяется путем непосредственного измерения малоинерционным датчиком температуры.
РИСУНКИ
MM4A Досрочное прекращение действия патента Российской Федерации на изобретение из-за неуплаты в установленный срок пошлины за поддержание патента в силе
Дата прекращения действия патента: 07.05.2005
Извещение опубликовано: 20.06.2006 БИ: 17/2006
|
||||||||||||||||||||||||||

. Далее по индикаторной диаграмме находят мгновенную температуру газа Т.
Среднее значение коэффициента теплоотдачи
в предположении стационарности теплового потока находят по выражению
где
T=(Т-Тст) – изменение во времени средней разности температур газа и стенок;
F – поверхность, участвующая в теплообмене, м2;
где q – мгновенное значение удельного теплового потока, Вт/м2;
Т – мгновенное значение температуры газа, К;
Тст – стационарная температура стенки, К.
Недостатком данного способа является то, что q определяется в какой-то локальной точке поверхности, а так как поле температур достаточно неравномерно [2], то этот метод подходит только для определения местного коэффициента теплоотдачи, который нельзя применять к другим участкам поверхности рабочей камеры, так как условия теплообмена на них могут существенно отличатся. Кроме того, данные эксперимента были получены на рабочих машинах и сопровождались массообменными потоками, что накладывает определенные особенности и не позволяет распространять полученные результаты на другие типоразмеры и конструктивные схемы машин объемного действия.
Задачей изобретения является определение мгновенного коэффициента теплоотдачи, осредненного для всей теплообменной поверхности, и повышение точности его определения.
Поставленная задача решается тем, что при изменении объема герметичной рабочей камеры (dm=0) и измерении в ней текущих значений мгновенных величин объема рабочей камеры V, площади теплообменной поверхности F, давления Р, мгновенной температуры газа Т и температуры стенок Тст значение мгновенного коэффициента теплоотдачи находят по зависимости
где q – величина удельного теплового потока, находится по выражению
где
– малый интервал времени, с;
N>360 – число измерений за цикл;
L – работа, совершаемая над телом за время
Использование предложенного способа определения коэффициента теплоотдачи обеспечивает возможность получения мгновенного значения коэффициента теплоотдачи, осредненного по всей теплообменной поверхности, что позволяет оценить процесс теплообмена в рабочей камере, а не в какой-то локальной точке и существенно увеличить точность нахождения коэффициента теплоотдачи вследствие непосредственного измерения температуры и герметизации рабочей камеры.
Источники информации
2. Пластинин П.И. Теория и расчет поршневых компрессоров. – М.: ВО Агропромиздат. 1987. – 271 с.
4. Кириллин В.А. и др. Техническая термодинамика./ Сычев В.В., Шейдлин А.Е. – Изд. 2-е. М.: Энергия, 1974. – 448 с.
отличающийся тем, что дополнительно измеряют мгновенные значения текущих величин объема рабочей камеры VI и площади теплообменной поверхности FI, причем измерение мгновенных значений текущих величин объема рабочей камеры VI, площади теплообменной поверхности FI, давления РI, температуры стенок Тст, температуры газа Т производят в герметичной рабочей камере через малые равные промежутки времени 
,
где РI, VI, TI, FI – соответственно давление (Па), объем рабочей камеры (м3), температура газа (К) и площадь теплообменной поверхности (м2) в момент времени