Патент на изобретение №2231752
|
||||||||||||||||||||||||||
(54) СПОСОБ НАСТРОЙКИ ТЕНЗОРЕЗИСТОРНЫХ ДАТЧИКОВ С МОСТОВОЙ ИЗМЕРИТЕЛЬНОЙ ЦЕПЬЮ
(57) Реферат: Изобретение относится к измерительной технике и может быть использовано при настройке тензорезисторных датчиков с мостовой измерительной цепью по аддитивной температурной погрешности. Датчик перед началом испытаний балансируют с помощью технологического балансировочного резистора. При наличии у датчика положительного разбаланса технологический балансировочный резистор включают в одно из плеч мостовой схемы последовательно с тензорезисторами, воспринимающими деформацию сжатия, а при отрицательном разбалансе – с тензорезисторами, воспринимающими деформацию растяжения. Снимают значения начальных выходных параметров сбалансированного датчика при нормальной температуре и температуре эксплуатации. По знаку изменения начального выходного сигнала при изменении температуры в положительную сторону определяют плечо включения компенсационного сопротивления. В формуле изобретения приводится зависимость для расчета номинала сопротивления компенсационного резистора. Технический результат заключается в повышении технологичности настройки тензорезисторных датчиков по аддитивной температурной погрешности и их точности. 1 табл. Изобретение относится к измерительной технике и может быть использовано при настройке тензорезисторных датчиков с мостовой измерительной цепью по аддитивной температурной погрешности. Известен способ компенсации аддитивной температурной погрешности мостовой схемы, заключающийся в выравнивании температурных коэффициентов сопротивления (ТКС) резисторов, расположенных в плечах мостовой измерительной цепи с одновременной балансировкой начального выходного сигнала (см. Сгибов А.П. Температурная компенсация ухода нуля мостового преобразователя. Приборы и системы управления, 1975, №11). Однако использование данного метода при настройке датчиков крайне затруднительно по следующим причинам. 1. Описанный способ имеет более десятка возможных вариантов компенсации и выбор необходимого варианта требует целой серии испытаний, так как в исходном состоянии датчик не сбалансирован, а наличие несбалансированности мостовой схемы приводит к появлению дополнительной аддитивной температурной погрешности, которая может полностью исказить аддитивную температурную погрешность, вплоть до смены знака. Действительно, наиболее общим случаем технологического разброса тензорезисторов мостовой измерительной цепи по номиналу и ТКС тензорезисторов является R1 R2 R3 R4 и 1![]() 2![]() 3![]() 4.
Для упрощения математических выкладок приведем разбросы по номиналам резистроров к одному плечу (например, к плечу R1). При этом сопротивление плеча R1, при котором мостовая цепь будет сбалансирована, станет равным
R’1=R1+Rэ,
где Rэ – эквивалентное изменение плеча R1, при котором схема будет сбалансирована.
Величина Rэ находится из условия баланса мостовой цепи:
R’1 R3-R2 R4=0,
тогда (R1+Rэ) R3=R2 R4,
Откуда
Из формулы видно, что Rэ, может иметь как положительные, так и отрицательные значения. При отрицательном значении необходимо изменить плечо, к которому необходимо привести разброс сопротивлений мостовой цепи (например, к плечу R2 или R3). Для упрощения вывода аналитической зависимости аддитивной температурной погрешности от предварительной несбалансированности мостовой измерительной цепи целесообразно перейти к эквивалентной мостовой цепи с равными значениями сопротивления во всех плечах, а реальный разбаланс цепи получить за счет включения в одно из плеч (например, плечо R1) эквивалентного резистора, определенного по формуле (1). Однако для того чтобы произвести подобную замену, необходимо доказать, что замена реальной сбалансированной мостовой цепи с неравными сопротивлениями плеч на эквивалентную с равными сопротивлениями не приведет к появлению дополнительной аддитивной температурной погрешности.
Для этого рассмотрим частный случай, когда R1 R2 R3 R4, но схема сбалансирована, то есть R1 R4=R2 R3 и 1![]() 2![]() 3![]() 4. Тогда, воспользовавшись уравнением выходного сигнала мостовой схемы
можно найти выходной сигнал мостовой цепи при воздействии температуры Uвыхt, заменив Rti=Ri (1+ i![]() t) и пренебрегая величинами второго порядка малости, можно записать:
Разделив числитель и знаменатель полученного выражения на R2 R4 и введя понятие коэффициента симметрии можно эту формулу представить в виде:
Для вывода аналитического выражения аддитивной температурной чувствительности необходимо найти аналитическое выражение для выходного сигнала мостовой цепи при воздействии номинального значения измеряемого параметра. Для этого воспользуемся выражением (1) и с учетом относительных изменений сопротивлений при воздействии измеряемого параметра запишем его в виде:
Разделив числитель и знаменатель полученного выражения на R2 R4, введя понятие коэффициента симметрии, учитывая, что r2 и r3 имеют противоположные знаки по отношению к r1 и r4, и пренебрегая величинами второго порядка малости, можно эту формулу представить в виде:
Тогда можно определить аддитивную температурную чувствительность сбалансированной мостовой цепи при неравенстве сопротивлений плеч:
Если провести подобный вывод для мостовой схемы с равными сопротивлениями, то в конечном итоге придем к выражению (4). А это говорит о том, что неравенство сопротивлений сбалансированной мостовой схемы не приводит к появлению дополнительной температурной погрешности по сравнению со схемой, у которой все плечи равны.
Используя это свойство мостовой цепи, введем понятие среднего эквивалентного значения сопротивления плеча. Так как аддитивная температурная погрешность не изменится, если плечи сбалансированного реального датчика R1, R2, R3, R4 заменить плечами R1э=R2э=R3э=R4э=Rпэ, тогда приведя замену для существующей несбалансированной реальной схемы, можно найти эквивалентное приведенное сопротивление R1п:
R1п=Rпэ-Rэ,
где – среднее эквивалентное сопротивление плеча мостовой цепи.
Таким образом, для существующей реальной несбалансированной мостовой цепи с сопротивлениями плеч R1=R2=R3=R4 можно подобрать эквивалентную мостовую цепь с сопротивлениями плеч R1=R1п=Rпэ-Rэ. R2=Rпэ, R3=Rпэ, R4=Rпэ, которая будет иметь как величину предварительной несбалансированности, так и аддитивную температурную погрешность, аналогичные реальной несбалансированной мостовой цепи. Температурный коэффициент ( э) эквивалентного сопротивления Rэ можно определить, исходя из выражения изменения сопротивления эквивалентного сопротивления от изменения температуры Rэt=Rэ![]() э![]() t:
где Rэt – номинал эквивалентного сопротивления при изменении температуры на t.
Подставляя в выражение (6) уравнение (1) и выражение Rэt через значение сопротивлений реальной мостовой цепи и их ТКС, можно записать:
Имея эквивалентную схему замещения и зная ее параметры, можно определить выходной сигнал датчика с учетом предварительной несбалансированности при воздействии температуры. Подставляя значения эквивалентных параметров схемы в формулу выходного сигнала мостовой цепи (3), можно записать:
Произведя математические преобразования и пренебрегая величинами второго порядка малости, получим:
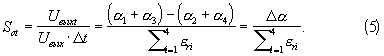
Для количественной оценки влияния предварительной несбалансированности на температурную погрешность датчика необходимо определить аддитивную температурную чувствительность. Принимая для мостовой измерительной цепи с равными сопротивлениями плеч коэффициент симметрии k=1, можно записать нормированный выходной сигнал по аналогии с выражением (4) в виде Тогда, подставляя значения Ny и Uвыхt в уравнение аддитивной температурной чувствительности, можно представить аддитивную температурную чувствительность несбалансированной мостовой цепи в виде:
Первое слагаемое полученного выражения представляет собой аддитивную температурную чувствительность сбалансированной мостовой цепи, поэтому обозначая ее через Sot‘, в общем виде аддитивную температурную чувствительность несбалансированной мостовой цепи можно представить следующим образом:
Таким образом, предварительная несбалансированность мостовой измерительной цепи дает дополнительную температурную погрешность, выраженную в виде второго члена выражения (8).
Рассуждая аналогично, можно определить аддитивную температурную чувствительность тензорезисторного датчика с предварительной несбалансированностью, приведенной к любому из плеч мостовой измерительной цепи.
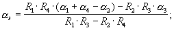
При приведении несбалансированности к плечу R2:
![]()
При приведении несбалансированности к плечу R3:
![]()
При приведении несбалансированности к плечу R4:
![]()
В таблице приведены все возможные случаи исполнения тензорезисторных датчиков с точки зрения технологических разбросов по номиналам и ТКС тензорезисторов и расчетные соотношения для определения аддитивной температурной чувствительности.
Анализ полученных формул показывает:
В зависимости от знака разбаланса последний может как уменьшать, так и увеличивать аддитивную температурную погрешность. При положительном разбалансе (Rэ включается в плечо R2 или R3) положительная погрешность будет увеличиваться, а отрицательная уменьшаться. При отрицательном разбалансе (Rэ включается в плечо R1 или R4) положительная погрешность будет уменьшаться, а отрицательная увеличиваться. Отсюда следует возможность компенсации существующей аддитивной температурной погрешности датчика за счет предварительного разбаланса мостовой измерительной цепи.
В связи с тем, что влияние начальной несбалансированности мостовой цепи на аддитивную температурную погрешность незначительно (для компенсации реальных значений Sot, равных 1 10-4 1/ C, требуется несбалансированность мостовой цепи несколько десятков процентов номинального выходного сигнала), то компенсация за счет предварительной несбалансированности является нецелесообразной.
В связи с тем, что чувствительность к температуре предварительной несбалансированности мостовой цепи зависит от температуры, то функция преобразования является нелинейной. Поэтому на практике компенсацию за счет предварительной несбалансированности не используют, так как характеристика нелинейная, то учет этой погрешности затруднен. Поэтому стараются имеющимися способами (технологические, конструктивные, схемные) получить минимально возможный разбаланс.
Даже в случае выполнения равенства ТКС всех плеч датчик будет обладать аддитивной температурной погрешностью при наличии предварительной несбалансированности.
При наличии неравенства ТКС плеч для уменьшения аддитивной температурной погрешности необходимо как минимум иметь равенство R1 R4=R2 R3, то есть мостовая схема должна быть сбалансирована.
2. Аналитические выражения (системы уравнений) для расчета компенсационного и балансировочного резисторов используют значения номиналов тензорезисторов. На практике же при изготовлении датчиков на основе тензопровода или фольги технологически выполнимым является разбаланс 2,5% Rпэ, а в датчиках, изготовленных на основе микроэлектронной технологии, до 30% Rпэ. Однако в связи с возможностью электроэрозионной или лазерной подгонки тензорезисторов в настоящее время получают разбаланс, не превышающий 0,1% Rпэ. Например, для тензорезисторов в 1000 Ом при использовании подгонки это составляет 1 Ом, что для проволочных и металлопленочных датчиков соответствует 25% номинального выходного сигнала. Поэтому определение номиналов тензорезисторов при использовании данного способа компенсации необходимо замерять только после их установки на УЭ и для обеспечения разбаланса в 0,5% с точностью не менее 0,005% Rпэ, что требует применение высокоточных измерительных средств на уровне эталонных и специальных схем измерения. А с другой стороны, для датчиков, выполненных по микроэлектронной технологии, замер сопротивлений потребует нарушение электрических связей, которые, как правило, выполняются на самых ранних этапах формирования электрической схемы.
Поэтому данный способ компенсации быстрее представляет чисто теоретический интерес, но не может использоваться в практических целях при производстве датчиковой аппаратуры. Однако сама идея компенсации с помощью выравнивания ТКС тензорезисторов с одновременной балансировкой начального уровня мостовой схемы не только жизненна, но и целесообразна.
Сущность изобретения заключается в следующем.
Задачей, на решение которой направлено заявляемое изобретение, является разработка способа настройки тензорезисторных датчиков с мостовой измерительной цепью по аддитивной температурной погрешности, который позволил бы повысить технологичность и точность компенсации аддитивной температурной погрешности в процессе настройки.
Технический результат – повышение технологичности и точности в процессе настройки тензорезисторных датчиков с мостовой измерительной цепью по аддитивной температурной погрешности.
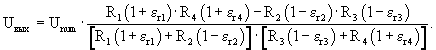
Указанный технический результат достигается тем, что расчет компенсационного резистора производят для предварительно сбалансированной мостовой схемы из условия выравнивания сумм ТКС тензорезисторов, попарно находящихся в противолежащих плечах мостовой схемы с последующей балансировкой. Это достигается тем, что датчик перед началом испытаний балансируется с помощью технологического балансировочного резистора с точностью до ±0,5% номинального выходного сигнала датчика от измеряемого параметра. При этом при наличии у датчика положительного разбаланса технологический балансировочный резистор включают в одно из плеч мостовой схемы последовательно с тензорезисторами, воспринимающими деформацию сжатия, а при отрицательном разбалансе – с тензорезисторами, воспринимающими деформацию растяжения. Датчик со сбалансированной мостовой схемой помещают в термокамеру и снимают значения начальных выходных сигналов при нормальной температуре и температуре эксплуатации. По знаку изменения начального выходного сигнала не компенсированного, но сбалансированного датчика при изменении температуры в положительную сторону определяют плечо включения компенсационного сопротивления. Это становится возможным в связи с тем, что аддитивная температурная погрешность сбалансированной мостовой схемы, компенсацию которой производят за счет включения термонезависимого резистора параллельно одному из плеч, зависит только от разницы сумм ТКС тензорезисторов, попарно расположенных в противолежащих плечах, и не зависит от величины предварительной несбалансированности. При этом при положительном уходе начального выходного сигнала от температуры компенсационный резистор подключают параллельно тензорезисторам, воспринимающим деформацию растяжения от измеряемого параметра, а при отрицательном уходе – параллельно тензорезисторам, воспринимающим деформацию сжатия. Исходя из того, что аддитивная температурная погрешность сбалансированной мостовой схемы зависит только от равенства сумм ТКС тензорезисторов, попарно расположенных в противолежащих плечах мостовой схемы, производят расчет номинала компенсационного резистора по формуле (12). Компенсационный резистор расчетной величины устанавливают в ранее определенное плечо мостовой схемы и одновременно производят ее балансировку по методике, изложенной ранее для технологического балансировочного резистора.
Способ осуществляется следующим образом.
В предлагаемом способе, как и в случае компенсации по прототипу, компенсация достигается за счет выравнивания ТКС тензорезисторов, включенных в противоположные плечи мостовой измерительной цепи с одновременной балансировкой мостовой схемы.
Он основан на том, что изменение начального уровня выходного сигнала сбалансированной мостовой схемы зависит только от разбросов ТКС резисторов. А это означает, что для компенсации аддитивной температурной погрешности необходимо выполнить условие баланса мостовой схемы при воздействии температуры, которое будет определяться равенством ( 1+ 4)-( 2+ 3)=0, то есть необходимо выровнить ТКСы тензорезисторов. Для этого вначале производят балансировку мостовой схемы с помощью технологического термонезависимого резистора с точностью не менее 0,5% номинального выходного сигнала (например, переменный резистор), что позволяет при расчете компенсационного резистора пренебречь влиянием несбалансированности датчика на аддитивную температурную погрешность. Плечо подключения технологического балансировочного резистора определяется по знаку разбаланса мостовой схемы: при положительном разбалансе резистор подключается либо в плечо R2, либо в плечо R3 (противолежащие плечи, воспринимающие деформацию сжатия), а при отрицательном разбалансе – в плечо R1 или R4. Номинал технологического компенсационного резистора определяется экспериментальным путем после подключения переменного резистора в выбранное плечо. Затем производят определение начальных выходных сигналов с датчика при нормальной температуре и при температуре эксплуатации, что необходимо для определения плеча установки компенсационного резистора.
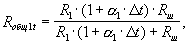
Так как при компенсации термонезависимым резистором, включаемым параллельно одному из плеч мостовой схемы, сопротивлением Rш приводит к уменьшению как номинала общего сопротивления плеча, так и его ТКС, то исходя из условия компенсации можно определить плечо подключения компенсационного резистора:
– при увеличении выходного сигнала датчика с ростом температуры компенсационный резистор Rш подключается параллельно либо плечу R1, либо плечу R4, с одновременной балансировкой мостовой цепи;
– при уменьшении выходного сигнала датчика с ростом температуры компенсационный резистор Rш подключается параллельно либо плечу R2, либо плечу R3, с одновременной балансировкой мостовой цепи.
При подключении резистора Rш параллельно одному из плеч мостовой цепи (например, R1) общее сопротивление плеча станет равным:
При изменении температуры Rобщ1 примет вид:
где 1 – ТКС тензорезистора R1;
t – диапазон изменения температуры.
Но с другой стороны, Rобщ1t может быть записано через эквивалентное ТКС плеча Rобщ1 в виде:
где э – эквивалентное ТКС плеча Rобщ1.
Тогда, решая две последние формулы относительно э, найдем выражение эквивалентного ТКС плеча Rобщ1, выраженное через ТКС тензорезистора R1:
Если 1![]() t<<1, то в общем виде:
Зная эквивалентное ТКС плеча Rобщ1, можно записать условие компенсации аддитивной температурной погрешности для датчика с подключенным компенсационным резистором Rш:
э+ 4= 2+ 3,
откуда можно найти значение эквивалентного ТКС плеча Rобщ через ТКСы остальных рабочих плеч.
Приравнивая уравнения (9) и (10) и решая относительно Rш, можно определить номинал компенсационного резистора, необходимый для компенсации аддитивной температурной погрешности, выраженный через температурные коэффициенты сопротивлений рабочих тензорезисторов
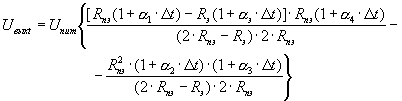
При подключении термонезависимого компенсационного резистора не только к плечу R1, но и к любому плечу мостовой схемы, определенному в соответствии с проведением операций по предлагаемому способу, выражение (11) может быть записано в общем виде
где Ri – номинал сопротивления тензорезистора плеча, к которому подключается компенсационный резистор;
1c, 2с, п – температурные коэффициенты сопротивления тензорезисторов смежных и противолежащего плеч схемы относительно плеча, к которому подключают компенсационный резистор;
1, 2, 3, 4 – температурные коэффициенты сопротивления тех же тензорезисторов, привязанных к присвоенному номеру плеча мостовой схемы:
После установки компенсационного резистора производят балансировку мостовой схемы экспериментальным путем за счет подключения сопротивления последовательно определенному тензорезистору. Способ определения плеча и номинала балансировочного резистора изложен в описании при определении технологического балансировочного резистора.
Предлагаемый способ компенсации позволяет простыми методами выбрать вариант схемы компенсации. Точность определения величины компенсационного резистора зависит прямо пропорционально от точности замера номинала плеча, к которому он подключается, а не от точности замера всех четырех рабочих тензорезисторов, как в прототипе при решении системы уравнений. Это позволяет увеличить точность определения компенсационного резистора как минимум в четыре раза. Точность же балансировки не хуже 0,5% номинального выходного сигнала, в то время как по прототипу точность балансировки зависит от точности замера номинала всех четырех тезорезисторов при решении системы уравнений.
Формула изобретения Способ настройки тензорезисторных датчиков с мостовой измерительной цепью, заключающийся в установке в определенное плечо компенсационного термонезависимого резистора параллельно рабочему тензорезистору с одновременной балансировкой начального уровня выходного сигнала за счет последовательного включения в определенное плечо термонезависимого балансировочного резистора и последующим расчетом номиналов компенсационного и балансировочного резисторов, отличающийся тем, что производят балансировку мостовой схемы с помощью технологического термонезависимого балансировочного резистора с точностью до 0,5% номинального выходного сигнала датчика, при этом плечо установки балансировочного резистора определяют из условия: при положительном разбалансе – последовательное включение производят в одно из плеч с тензорезисторами, воспринимающими деформацию сжатия, а при отрицательном разбалансе – в одно из плеч с тензорезисторами, воспринимающими деформацию растяжения, и определяют уровни начального выходного сигнала датчика при нормальной температуре и температуре эксплуатации, по знаку изменения начального уровня выходного сигнала некомпенсированного, но сбалансированного датчика, производят выбор плеча, в которое подключают компенсационный резистор, при этом при положительном уходе начального уровня, при изменении температуры в положительную сторону компенсационный резистор подключают в одно из плеч с тензорезисторами, воспринимающими деформацию растяжения, а при отрицательном – в одно из плеч с тензорезисторами, воспринимающими деформацию сжатия, величину же компенсационного резистора выбирают из условия
где Rш – номинал сопротивления компенсационного термонезависимого резистора;
Ri – номинал сопротивления тензорезистора плеча, к которому подключается компенсационный резистор;
1c, 2c, n – температурные коэффициенты сопротивления тензорезисторов смежных и противолежащего плеч схемы относительно плеча, к которому подключают компенсационный резистор;
1, 2, 3, 4 – температурные коэффициенты сопротивления тех же тензорезисторов, привязанных к присвоенному номеру плеча мостовой схемы;
после установки компенсационного резистора расчетной величины в определенное плечо мостовой схемы производят балансировку мостовой схемы описанным способом.
MM4A Досрочное прекращение действия патента Российской Федерации на изобретение из-за неуплаты в установленный срок пошлины за поддержание патента в силе
Дата прекращения действия патента: 21.05.2005
Извещение опубликовано: 20.10.2006 БИ: 29/2006
|
||||||||||||||||||||||||||

R2
1
R3-R2
Из формулы видно, что Rэ, может иметь как положительные, так и отрицательные значения. При отрицательном значении необходимо изменить плечо, к которому необходимо привести разброс сопротивлений мостовой цепи (например, к плечу R2 или R3). Для упрощения вывода аналитической зависимости аддитивной температурной погрешности от предварительной несбалансированности мостовой измерительной цепи целесообразно перейти к эквивалентной мостовой цепи с равными значениями сопротивления во всех плечах, а реальный разбаланс цепи получить за счет включения в одно из плеч (например, плечо R1) эквивалентного резистора, определенного по формуле (1). Однако для того чтобы произвести подобную замену, необходимо доказать, что замена реальной сбалансированной мостовой цепи с неравными сопротивлениями плеч на эквивалентную с равными сопротивлениями не приведет к появлению дополнительной аддитивной температурной погрешности.
Для этого рассмотрим частный случай, когда R1
можно найти выходной сигнал мостовой цепи при воздействии температуры Uвыхt, заменив Rti=Ri
t) и пренебрегая величинами второго порядка малости, можно записать:
Разделив числитель и знаменатель полученного выражения на R2
можно эту формулу представить в виде:
Для вывода аналитического выражения аддитивной температурной чувствительности необходимо найти аналитическое выражение для выходного сигнала мостовой цепи при воздействии номинального значения измеряемого параметра. Для этого воспользуемся выражением (1) и с учетом относительных изменений сопротивлений
при воздействии измеряемого параметра запишем его в виде:
Разделив числитель и знаменатель полученного выражения на R2
r2 и
Тогда можно определить аддитивную температурную чувствительность сбалансированной мостовой цепи при неравенстве сопротивлений плеч:
Если провести подобный вывод для мостовой схемы с равными сопротивлениями, то в конечном итоге придем к выражению (4). А это говорит о том, что неравенство сопротивлений сбалансированной мостовой схемы не приводит к появлению дополнительной температурной погрешности по сравнению со схемой, у которой все плечи равны.
Используя это свойство мостовой цепи, введем понятие среднего эквивалентного значения сопротивления плеча. Так как аддитивная температурная погрешность не изменится, если плечи сбалансированного реального датчика R1, R2, R3, R4 заменить плечами R1э=R2э=R3э=R4э=Rпэ, тогда приведя замену для существующей несбалансированной реальной схемы, можно найти эквивалентное приведенное сопротивление R1п:
R1п=Rпэ-Rэ,
где
– среднее эквивалентное сопротивление плеча мостовой цепи.
Таким образом, для существующей реальной несбалансированной мостовой цепи с сопротивлениями плеч R1=R2=R3=R4 можно подобрать эквивалентную мостовую цепь с сопротивлениями плеч R1=R1п=Rпэ-Rэ. R2=Rпэ, R3=Rпэ, R4=Rпэ, которая будет иметь как величину предварительной несбалансированности, так и аддитивную температурную погрешность, аналогичные реальной несбалансированной мостовой цепи. Температурный коэффициент (
где Rэt – номинал эквивалентного сопротивления при изменении температуры на
Имея эквивалентную схему замещения и зная ее параметры, можно определить выходной сигнал датчика с учетом предварительной несбалансированности при воздействии температуры. Подставляя значения эквивалентных параметров схемы в формулу выходного сигнала мостовой цепи (3), можно записать:
Произведя математические преобразования и пренебрегая величинами второго порядка малости, получим:
Для количественной оценки влияния предварительной несбалансированности на температурную погрешность датчика необходимо определить аддитивную температурную чувствительность. Принимая для мостовой измерительной цепи с равными сопротивлениями плеч коэффициент симметрии k=1, можно записать нормированный выходной сигнал по аналогии с выражением (4) в виде
Тогда, подставляя значения Ny и Uвыхt в уравнение аддитивной температурной чувствительности, можно представить аддитивную температурную чувствительность несбалансированной мостовой цепи в виде:
Первое слагаемое полученного выражения представляет собой аддитивную температурную чувствительность сбалансированной мостовой цепи, поэтому обозначая ее через Sot‘, в общем виде аддитивную температурную чувствительность несбалансированной мостовой цепи можно представить следующим образом:
Таким образом, предварительная несбалансированность мостовой измерительной цепи дает дополнительную температурную погрешность, выраженную в виде второго члена выражения (8).
Рассуждая аналогично, можно определить аддитивную температурную чувствительность тензорезисторного датчика с предварительной несбалансированностью, приведенной к любому из плеч мостовой измерительной цепи.
При приведении несбалансированности к плечу R2:

При приведении несбалансированности к плечу R3:

При приведении несбалансированности к плечу R4:

В таблице приведены все возможные случаи исполнения тензорезисторных датчиков с точки зрения технологических разбросов по номиналам и ТКС тензорезисторов и расчетные соотношения для определения аддитивной температурной чувствительности.
Анализ полученных формул показывает:
В зависимости от знака разбаланса последний может как уменьшать, так и увеличивать аддитивную температурную погрешность. При положительном разбалансе (Rэ включается в плечо R2 или R3) положительная погрешность будет увеличиваться, а отрицательная уменьшаться. При отрицательном разбалансе (Rэ включается в плечо R1 или R4) положительная погрешность будет уменьшаться, а отрицательная увеличиваться. Отсюда следует возможность компенсации существующей аддитивной температурной погрешности датчика за счет предварительного разбаланса мостовой измерительной цепи.
В связи с тем, что влияние начальной несбалансированности мостовой цепи на аддитивную температурную погрешность незначительно (для компенсации реальных значений Sot, равных 1
C, требуется несбалансированность мостовой цепи несколько десятков процентов номинального выходного сигнала), то компенсация за счет предварительной несбалансированности является нецелесообразной.
В связи с тем, что чувствительность к температуре предварительной несбалансированности мостовой цепи зависит от температуры, то функция преобразования является нелинейной. Поэтому на практике компенсацию за счет предварительной несбалансированности не используют, так как характеристика нелинейная, то учет этой погрешности затруднен. Поэтому стараются имеющимися способами (технологические, конструктивные, схемные) получить минимально возможный разбаланс.
Даже в случае выполнения равенства ТКС всех плеч датчик будет обладать аддитивной температурной погрешностью при наличии предварительной несбалансированности.
При наличии неравенства ТКС плеч для уменьшения аддитивной температурной погрешности необходимо как минимум иметь равенство R1
2,5% Rпэ, а в датчиках, изготовленных на основе микроэлектронной технологии, до 30% Rпэ. Однако в связи с возможностью электроэрозионной или лазерной подгонки тензорезисторов в настоящее время получают разбаланс, не превышающий
При изменении температуры Rобщ1 примет вид:
где
где
Если
Зная эквивалентное ТКС плеча Rобщ1, можно записать условие компенсации аддитивной температурной погрешности для датчика с подключенным компенсационным резистором Rш:
Приравнивая уравнения (9) и (10) и решая относительно Rш, можно определить номинал компенсационного резистора, необходимый для компенсации аддитивной температурной погрешности, выраженный через температурные коэффициенты сопротивлений рабочих тензорезисторов
При подключении термонезависимого компенсационного резистора не только к плечу R1, но и к любому плечу мостовой схемы, определенному в соответствии с проведением операций по предлагаемому способу, выражение (11) может быть записано в общем виде
где Ri – номинал сопротивления тензорезистора плеча, к которому подключается компенсационный резистор;
где Rш – номинал сопротивления компенсационного термонезависимого резистора;
Ri – номинал сопротивления тензорезистора плеча, к которому подключается компенсационный резистор;