Патент на изобретение №2231735
|
||||||||||||||||||||||||||
(54) СПОСОБ И СИСТЕМА НАВЕДЕНИЯ ВРАЩАЮЩЕГОСЯ СНАРЯДА ПО ОТРАЖЕННОМУ ОТ ЦЕЛИ ЧАСТОТНОМУ ЛАЗЕРНОМУ ИЗЛУЧЕНИЮ
(57) Реферат: Изобретение относится к области вооружения, в частности к артиллерийским управляемым снарядам с лазерным наведением. Сущность способа наведения заключается в том, что на конечном участке траектории включают подсвет цели, затем с помощью оптико-электронной головки коррекции формируют аналоговые сигналы. Эти сигналы оцифровывают и вводят в микропроцессор для вычисления угловой скорости вращения снаряда, а также величины и фазы промаха. По выбранному программой номеру реактивного импульсного двигателя коррекции формируют сигнал его запуска в момент времени, вычисленный с учетом табличной зависимости длительности импульса коррекции от температуры порохового заряда двигателя. Система наведения содержит необходимые для реализации способа функциональные блоки и схемы. Реализация изобретения обеспечивает повышение точности и упрощение системы наведения. 2 с. п. ф-лы, 3 ил. Изобретение относится к области вооружения, в частности к управляемым снарядам, содержащим оптико-электронную головку коррекции (ОЭГК) для наведения по отраженному от цели частотному лазерному излучению с использованием импульсной коррекции траектории. Известен способ управления снарядом [1], основанный на измерении с помощью гироскопической головки самонаведения угловой скорости линии визирования на участке пеленгации цели, величины и фазы промаха для назначения корректирующего усилия и воздействии на снаряд перпендикулярно его продольной оси корректирующим усилием для выбора накопившегося промаха. Недостатками этого, принятого за прототип способа является то, что он при проведении каждой коррекции не обеспечивает достаточно быстрого разворота снаряда по крену с помощью аэродинамических рулей для ликвидации рассогласования по фазе в радиальной плоскости снаряда между накопившимся промахом и корректирующим усилием, требует запуска твердотопливного газового генератора и сброса заглушки с одного из выбранных сопл газогенератора с помощью специальных пирозарядов. Наличие гироскопической головки самонаведения, газогенератора с управляемыми заглушками сопл, системы управления аэродинамическими рулями, располагаемыми на головной части снаряда, значительно усложняет конструкцию управляемого снаряда и требует периодической проверки системы управления при хранении в отличие от вращающегося на конечном участке траектории снаряда с неподвижно закрепленной полуактивной лазерной головкой самонаведения, управляемого с помощью нескольких ракетных импульсных двигателей коррекции траектории. Целью предлагаемого изобретения является повышение точности каждой коррекции при одновременном увеличении выбираемого промаха, а также упрощение системы наведения. Поставленная цель достигается тем, что в способе наведения снаряда по отраженному от цели частотному лазерному излучению с использованием импульсной коррекции траектории за счет ИДК, заключающемся в доставке снаряда к цели по баллистической траектории, подсвете цели на конечном участке траектории, пеленгации цели по отраженным от нее сигналам и воздействии на снаряд корректирующими усилиями в плоскости перпендикулярной оси снаряда, на участке коррекции вычисляют по показаниям неподвижно закрепленной оптико-электронной головки коррекции (ОЭГК) углы пеленга цели, вычисляют частоту вращения снаряда по приращению , фазового угла пеленга цели за (Ns-1) периодов подсвета цели Тп:
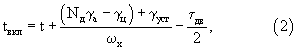
по показаниям флюгерных датчиков – углы атаки и скольжения, по показаниям датчика температуры из таблицы, хранящейся в постоянно запоминающем устройстве (ПЗУ), определяют время формирования равнодействующей тяги ракетного двигателя коррекции дв, а моменты включения ИДК вычисляют по формуле
где tвкл – момент включения;
t – текущее время;
Nд – номер срабатывающего ИДК;
а – угол между соплами ИДК, расположенных по окружности снаряда;
ц – фазовое положение цели;
уст – установочный угол ИДК, причем запуск ИДК проводят, когда модуль угла упреждения
где 1 и 2 – углы атаки и скольжения;
Y и Z – углы пеленга цели,
превышает текущее значение зоны нечувствительности (ЗН), определенное по формуле
или
где E0 – начальная ЗН относительно оси ОЭГК;
Kt – скорость изменения ЗН;
tЗ – время захвата цели;
t0 – длительность изменения ЗН.
Предлагаемый способ наведения обеспечивает, например, при включении частотного лазерного подсвета цели “Захват” цели, преобразование в двоичный код сигналов от секторов фотоприемника ОЭГК и от датчиков углов атаки и скольжения, затем вычисление пеленга цели Y Z, углов атаки и скольжения 1, 2, частоты вращения снаряда после приема Ns “своих” сигналов по формуле (1), в которой Ns определяется заданной точностью вычисления х, а фазовый угол пеленга цели для i-го сигнала – по формуле
а также вычисление угла упреждения и зоны нечувствительности для определения необходимости проведения коррекции для одного из ИДК после вычисления его tвкл. Таким образом, рассчитанное по формуле (2) tвкл с учетом величины и фазы промаха, зависимости дв от температуры, зависимости х от выбранного Ns обеспечивает достаточно точное определение разворота вектора результирующего усилия в направлении вектора промаха.
Поставленная цель достигается также тем, что в системе наведения вращающегося снаряда по отраженному от цели частотному лазерному излучению с использованием импульсной коррекции траектории, например, за счет ИДК, содержащей в своем составе наземный частотный лазерный целеуказатель-дальномер, на борту снаряда импульсные двигатели коррекции, блок управления (БУ) и оптико-электронную головку коррекции (ОЭГК), включающую в себя основные блоки: оптическую систему (ОС) в составе интерференционного оптического фильтра (ИФ), объектива (О) и четырехсекторного фотоприемника (ФП); четырехканальный блок обработки сигнала, каждый канал которого состоит из последовательно соединенных аттенюатора, предварительного усилителя, регулируемого усилителя, масштабируемого усилителя, аналого-цифрового преобразователя (АЦП), и вспомогательные схемы: сумматор сигналов, определитель максимального сигнала, компаратор автоматической регулировки усиления (АРУ), компаратор обнаружения сигнала, схему шумовой автоматической регулировки порога (ШАРП), счетчик, проведены следующие изменения:
а) введен четырехвходовой блок формирования последовательных данных, причем вход каждого канала блока обработки сигнала соединен с соответствующим выходом секторов фотоприемника, а выходы каждого канала подключены к одному из четырех входов блока формирования последовательных данных, который выдает цифровые “Данные” об угле пеленга цели в блок управления изделием (БУ), а управляется с БУ командами “Синхронизация” и двоичным адресом “А0” и “А1”;
б) ОЭГК выполнена в едином корпусе, который установлен неподвижно по продольной оси снаряда;
в) аттенюатор сигналов выполнен управляемым от старшего разряда счетчика АРУ;
г) регулируемый усилитель управляется ступенчато младшими разрядами счетчика АРУ через цифроаналоговый преобразователь;
д) вспомогательные схемы ОЭГК подключены к основным блокам ОЭГК или соединены между собой следующим образом: четыре выхода масштабных усилителей блока обработки сигнала соединены со входами сумматора, выход сумматора подключен:
к первому входу определителя максимального сигнала;
к первому входу компаратора обнаружения сигнала;
к первому входу компаратора АРУ;
ко входу схемы ШАРП,
а выход схемы ШАРП подключен ко второму входу компаратора обнаружения сигнала, который формирует команду “Пуск” на БУ и запускает по второму входу определитель максимального сигнала, на третий вход которого, а также на первый вход счетчика АРУ поступает с БУ сигнал “Строб”;
выход определителя максимального сигнала соединен со вторыми входами АЦП; выходы младших разрядов счетчика АРУ соединены с ЦАП, выход которого подключен ко вторым входам регулируемых усилителей блока обработки сигналов, а выход старшего разряда счетчика АРУ подключен ко вторым входам управляемых аттенюаторов блока обработки сигнала;
е) в блок управления введены микропроцессор (МП) для обработки сигналов от ОЭГК и для выработки сигналов управления, устройства сопряжения МП с другими бортовыми устройствами (УС), энергонезависимое перепрограммируемое запоминающее устройство (ЭППЗУ), хранящее управляющие программы и таблицу зависимости длительности импульсов коррекции от температуры, устройство с силовыми полупроводниковыми ключами (СПК), входы которого соединены с соответствующими выходами УС, а выходы соединены соответственно с входами импульсных двигателей коррекции и входом устройства сброса обтекателя, датчик температуры, электрически подсоединенный к УС;
ж) в головной части снаряда смонтированы шарнирно, например, под углом 90 помещенные в аэродинамический поток флюгеры, кинематически связанные с электрическими датчиками углов, выходы которых в БУ подсоединены через мультиплексор и АЦП к УС.
На фиг.1 представлена структурная схема бортовой системы наведения снаряда, которая включает оптическую систему ОЭГК 1 в составе интерференционного оптического фильтра (ИФ), объектива (О) и четырехсекторного фотоприемника (ФП), четырехканальный блок обработки сигналов (БОС) 2, каждый канал которого состоит из последовательно соединенных аттенюатора (АТТ), предварительного усилителя (ПУ), регулируемого усилителя (РУ), масштабируемого усилителя (МУ), аналого-цифрового преобразователя (АЦП); блок формирования последовательных данных (БФПД) 3; сумматор (СУМ) 4; определитель максимума сигнала (ОМС) 5; компаратор (КАРУ) 6; компаратор обнаружения (КОБ) 7; схему ШАРП 8; счетчик (САРУ) 9; цифроаналоговый преобразователь (ЦАРУ) 10; блок управления (БУ) 11; устройство сопряжения (УС) 12; микропроцессор (МП) 13 с электрически перепрограммируемым ПЗУ; устройство сброса обтекателя (УСО) 14; силовые полупроводниковые ключи (СПК) 15; датчик температуры (ДТ) 16; мультиплексор (М) 17 с АЦП; импульсные двигатели коррекции (ИДК) 18; флюгерные датчики углов (ФДУ) 19.
На фиг.2 приведена временная диаграмма формирования сигнала “Строб”. На фиг.3 приведена временная диаграмма формирования сигналов “Синхронизация”.
Предлагаемая бортовая система наведения после включения частотного лазерного подсвета цели работает следующим образом. Отраженное от цели лазерное излучение принимается оптической системой ОЭГК, выделяется на фоне подстилающей поверхности с помощью узкополосного интерференционного оптического фильтра (ИФ). Объектив (О) формирует на поверхности фотоприемника световое пятно диаметром, примерно равным половине диаметра фотоприемника. В качестве фотоприемника используется четырехсекторный кремниевый фотодиод. В пределах углового размера светового пятна пеленг цели определяют по следующим приближенным соотношениям:
где Y, Z – угловые координаты пеленга цели по осям, перпендикулярным оптической оси ОЭГК;
w1…w4 – амплитуды сигналов, снимаемых с четырех секторов фотоприемника;
k – коэффициент пропорциональности, в градусах.
Поскольку схема обработки сигналов в ОЭГК состоит из четырех идентичных каналов, то при описании структурной схемы будет рассмотрен один канал.
Сигнал с фотоприемника через аттенюатор поступает на предварительный усилитель. ПУ предназначен для согласования усилительных каскадов каналов с высоким выходным сопротивлением нагрузки ФП и обеспечения низких шумовых характеристик усилительного тракта, ПУ должен обеспечивать высокую линейность передаточной характеристики во всем динамическом диапазоне входных сигналов ФП, а в верхней части динамического диапазона сигнал на входе ПУ уменьшается с помощью ступенчатого аттенюатора АТТ, управляемого САРУ 9.
Сигнал с выхода ПУ поступает на РУ. Регулировка усиления осуществляется с помощью САРУ 9 и ЦАРУ 10. Далее сигнал через МУ подается на вход АЦП, МУ увеличивает амплитуду сигнала на входе АЦП для более полного использования его разрядной сетки, сигналы с выходов МУ всех четырех каналов поступают также на вход СУМ 4.
АРУ работает следующим образом.
Сигнал с выхода СУМ 4 поступает на КАРУ 6 с постоянным порогом срабатывания, равным максимально возможной амплитуде сигнала с выхода последнего каскада усилителя (Umax). Если амплитуда сигнала с сумматора достигла порога срабатывания, то КАРУ 6 выдает сигнал САРУ 9. Младшые разряды САРУ 9 управляют работой ЦАРУ 10, напряжение с которого поступает на регулируемые усилители (РУ), а старший разряд САРУ 9 управляет работой АТТ. В исходном состоянии после включения питания САРУ 9 обнулен, а РУ имеют максимальный коэффициент усиления. По первой команде с КАРУ 6 САРУ 9 принимает значение 0 0 1 и коэффициент усиления РУ уменьшается соответственно тоже по второй и по третьей команде. По четвертой команде с КАРУ 6 включаются АТТ. При последующих сигналах с КАРУ 6 состояние САРУ не изменяется. Для приведения счетчика в исходное состояние требуется снять и вновь подать напряжение питания. Таким образом, работа АРУ происходит только в одну сторону – уменьшения усиления, что обусловлено условиями применения ОЭГК, при приближении к цели сигнал может только возрастать.
Сигнал с выхода сумматора поступает также на КОБ 7, пороговое напряжение которого формируется схемой ШАРП 8. Схема ШАРП 8 следит за уровнем собственных шумов фотоприемного устройства и устанавливает порог обнаружения сигнала на КОБ 7. Необходимость слежения за уровнем шумов возникает из-за существенного увеличения их уровня при воздействии сильной солнечной фоновой засветки местности, проникающей через узкополосный интерференционный оптический фильтр (ИФ). При превышении сигналом порога обнаружения КОБ 7 формирует команду “Пуск”, поступающую на БУ. Схема ШАРП 8 отслеживает уровень “нормальных” шумов, имеющих распределение амплитуд по закону Гаусса, и не реагирует на импульсные шумы (возникающие от световых вспышек выстрелов в поле зрения ОЭГК, сигналов от других ЛЦД и т.д.). Селекция по периоду следования импульсов подсвета осуществляется в БУ, исходным сигналом является команда “Пуск”, результат селекции (фиг.2) поступает из БУ в виде разрешающего сигнала “Строб” через интервал времени Тп-0,5 Тc, где Тc – длительность “строба”. До окончания отсчета временного интервала все поступающие на вход сигналы “Пуск” игнорируются. После окончания отсчета временного интервала сигнал “Строб” принимает значение “логического 0”. Если после этого в течение времени Тc приходит сигнал “Пуск”, то по его спаду сигнал “Строб” переводится в состояние “логической 1”, а отсчет временного интервала Тп-0,5 Тc начинается заново. В случае отсутствия сигнала “Пуск” в течение времени Тc сигнал “Строб” переводится в состояние “логической 1”, но отсчет временного интервала Тп-0,5 Тc начинается только после прихода первого после этого события сигнала “Пуск”. Соответственно, формирование сигнала “Строб” по этому импульсу не производится. Длительность строба определяется величиной нестабильности задающих генераторов ЛЦД и БУ. Сигнал “Строб” поступает на САРУ 9 и схему ОМС.
Схема ОМС формирует команду запуска всех АЦП в момент достижения сигналом максимальной амплитуды. АЦП после запуска запоминают уровень амплитуды сигнала с помощью встроенной схемы “выборки-запоминания” и приступают к преобразованию в АЦП. После завершения этого процесса результат хранится во внутренних 10-разрядных регистрах. Считывание полученных данных с АЦП и передача их в БУ производится с помощью блока формирования последовательных данных. Процесс считывания начинается по команде МП после прохождения сигнала “Пуск” (фиг.3) и задержки на время преобразования АЦП (Т1 5 мкс). В УС устанавливается по команде МП двухразрядный адрес канала (А1, А0) и УС выдает серию из 10 импульсов синхронизации (“Синхр”) на вход блока формирования последовательных данных. Каждый импульс синхронизации инициирует появление на последовательной шине “Данные” бита данных, начиная со старшего. Адрес должен быть установлен до начала считывания за время T2 0,5 мкс. Процедура считывания повторяется четыре раза. Порядок считывания по номерам каналов -произвольный. Считывание первой из четырех величин начинается через время 1 после прохождения сигнала “Пуск”, попадающего внутрь сигнала “Строб”. Одновременно производится последовательное считывание аналоговых сигналов с ФДУ 19, подсоединенных в БУ через МАЦ 17 к УС 12.
“Захват” цели осуществляется после прохождения в вырабатываемом стробе третьего сигнала “Пуск”, по которому по команде МП запускается счетчик текущего времени, расположенный в УС, и для сброса обтекателя по команде МП в УС вырабатывается сигнал, передаваемый в УСО 14, по которому сбрасывается обтекатель и раскрывается флюгерное устройство с электрическими датчиками углов. Затем вычисляются приращение фазового угла пеленга по формуле (6) и частота вращения снаряда х по формуле (1). Далее при каждом сигнале “Пуск”, проходящем в вырабатываемом стробе, флюгерные датчики углов поочередно опрашиваются по командам МП и в МП определяются величины углов атаки и скольжения 1 и 2.
Перед каждой коррекцией определяют модуль угла рассогласования по формуле
величину зоны нечувствительности ЕЗН по формуле (4) или (5). Коррекцию проводят при Ei ЕЗН, причем интервал времени между коррекциями дв определяется программой, исходя из длительности работы ИДК, определяемой по таблице ее зависимости от температуры, измеряемой с помощью датчика температуры, а момент времени начала каждой коррекции определяется по формуле (2) так, чтобы результирующее направление корректирующего воздействия от запуска выбранного ИДК лежало в плоскости промаха. Сигнал запуска выбранного ИДК формируется по команде МП в УС и СПК, а затем поступает на соответствующий вход коммутатора ИДК в виде импульса тока для зажигания воспламенителя ИДК. При соотношении для i-го сигнала “Пуск” ЗHi>Ei коррекция не производится. Максимальное число коррекций равно числу ИДК. Таким образом, предлагаемый способ и система наведения позволяют в условиях крайне ограниченного интервала времени наведения 1-3 с за счет ИДК, создающих значительное поперечное корректирующее усилие с перегрузкой до 100 единиц с быстродействием 0,02-0,05 с, достаточно точно определить фазовый угол пеленга, положение плоскости промаха и гарантировать величину угла отклонения от нее вектора результирующего усилия при каждой коррекции, гораздо меньшую, чем у прототипа.
Источник информации
1. RU 2021577 C1, F 41 G 7/22, 15.10.1994.
Формула изобретения 1. Способ наведения вращающегося снаряда по отраженному от цели частотному лазерному излучению с использованием импульсной коррекции траектории, заключающийся в доставке снаряда к цели по баллистической траектории, подсвете цели на конечном участке полета снаряда, пеленгации цели по отраженным от нее сигналам и воздействии на снаряд корректирующими импульсами двигателей коррекции в плоскости, перпендикулярной оси снаряда, отличающийся тем, что на участке коррекции по показаниям неподвижно закрепленной оптико-электронной головки вычисляют углы пеленга цели, а частоту вращения снаряда по приращению фазового угла пеленга цели за (Ns-1) периодов подсвета цели In вычисляют по формуле
затем по показаниям флюгерных датчиков вычисляют углы атаки и скольжения, по показаниям датчика температуры из таблицы, хранящейся в постоянном запоминающем устройстве, определяют дв – время формирования равнодействующей тяги импульсных двигателей, а моменты их включения вычисляют по формуле
где tвкл – момент включения;
t – текущее время;
Nд – номер срабатывающего импульсного двигателя;
а – угол между соплами импульсных двигателей, расположенных по окружности снаряда;
ц – фазовое положение цели;
уст – установочный угол импульсного двигателя,
причем запуск импульсного двигателя проводят, когда модуль угла упреждения
где 1 и 2 – углы атаки и скольжения;
Y и Z – углы пеленга цели,
превышает текущее значение зоны нечувствительности, определяемое по формуле
или
где Е0 – начальная зона нечувствительности относительно оси оптико-электронной головки коррекции;,
Кt – скорость изменения зоны нечувствительности;
tз – время захвата цели;
t0 – длительность изменения зоны нечувствительности.
2. Система наведения вращающегося снаряда по отраженному от цели частотному лазерному излучению с использованием импульсной коррекции траектории, содержащая наземное средство наведения и установленные на борту снаряда несколько импульсных двигателей коррекции, блок управления и оптико-электронную головку коррекции (ОЭГК), включающую основные блоки и вспомогательные схемы, отличающаяся тем, что ОЭГК выполнена в едином корпусе, который установлен неподвижно относительно продольной оси снаряда, основные блоки выполнены в виде оптической системы в составе интерференционного оптического фильтра, объектива и четырехсекторного фотоприемника, четырехканального блока обработки сигнала, каждый канал которого состоит из последовательно соединенных аттенюатора, предварительного усилителя, масштабируемого усилителя, аналого-цифрового преобразователя, а вспомогательные схемы выполнены в виде сумматора сигналов, определителя максимального сигнала, компаратора автоматической регулировки усиления, компаратора обнаружения сигнала схемы шумовой автоматической регулировки порога (ШАРП) и счетчика автоматической регулировки усиления, при этом вспомогательные схемы ОЭГК подключены к основным блокам или соединены между собой следующим образом – четыре выхода масштабных усилителей блока обработки сигнала соединены со входами сумматора, выход сумматора подключен к первому входу определителя максимального сигнала, к первому входу компаратора обнаружения сигнала, к первому входу компаратора автоматической регулировки усиления и ко входу схемы ШАРП, выход которой подключен ко второму входу компаратора обнаружения сигнала, предназначенного для формирования команды “Пуск” на блок управления и запуска по второму входу определителя максимального сигнала, третий вход которого, а также первый вход счетчика автоматической регулировки усиления предназначен для приема сигнала “Строб” с блока управления, выход определителя максимального сигнала соединен со вторыми входами аналого-цифрового преобразователя, выходы младших разрядов счетчика автоматической регулировки усиления соединены с цифроаналоговым преобразователем, выход которого подключен ко вторым входам регулируемых усилителей блока обработки сигналов, а выход старшего разряда счетчика автоматической регулировки усиления подключен ко вторым входам управляемых аттенюаторов блока обработки сигнала, при этом указанная система снабжена блоком формирования последовательных данных, в котором вход каждого канала обработки сигнала соединен с соответствующим выходом площадок фотоприемника, причем выходы каждого канала подключены к одному из четырех входов блока формирования последовательных данных, который выдает цифровые “Данные” об угле пеленга цели в блок управления и управляется с блока управления командами “Синхронизация” и двоичным адресом “А0” и “А1”, а блок управления снабжен микропроцессором для обработки сигналов от ОЭГК и для выработки сигналов управления, устройством сопряжения микропроцессора с другими бортовыми устройствами, энергонезависимым перепрограммируемым постоянным запоминающим устройством, предназначенным для хранения управляющих программ и таблицы зависимости длительности импульсов коррекции от температуры, устройством с силовыми полупроводниковыми ключами, входы которого соединены с соответствующими выходами бортовых устройств, а выходы соединены соответственно с входами импульсных двигателей коррекции и входом устройства сброса обтекателя, и датчиком температуры, соединенным с устройством сопряжения, причем снаряд снабжен флюгерами, шарнирно закрепленными в его головной части, например, под углом 90 , с возможностью размещения в аэродинамическом потоке, при этом указанные флюгера кинематически связаны с электрическими датчиками углов, выходы которых в блоке управления подсоединены через мультиплексор и аналого-цифровой преобразователь к устройству сопряжения.
РИСУНКИ
|
||||||||||||||||||||||||||

, фазового угла пеленга цели за (Ns-1) периодов подсвета цели Тп:
по показаниям флюгерных датчиков – углы атаки и скольжения, по показаниям датчика температуры из таблицы, хранящейся в постоянно запоминающем устройстве (ПЗУ), определяют время формирования равнодействующей тяги ракетного двигателя коррекции
дв, а моменты включения ИДК вычисляют по формуле
где tвкл – момент включения;
t – текущее время;
Nд – номер срабатывающего ИДК;
а – угол между соплами ИДК, расположенных по окружности снаряда;
где
1 и
или
где E0 – начальная ЗН относительно оси ОЭГК;
Kt – скорость изменения ЗН;
tЗ – время захвата цели;
t0 – длительность изменения ЗН.
Предлагаемый способ наведения обеспечивает, например, при включении частотного лазерного подсвета цели “Захват” цели, преобразование в двоичный код сигналов от секторов фотоприемника ОЭГК и от датчиков углов атаки и скольжения, затем вычисление пеленга цели Y Z, углов атаки и скольжения
х, а фазовый угол пеленга цели для i-го сигнала – по формуле
а также вычисление угла упреждения и зоны нечувствительности для определения необходимости проведения коррекции для одного из ИДК после вычисления его tвкл. Таким образом, рассчитанное по формуле (2) tвкл с учетом величины и фазы промаха, зависимости
помещенные в аэродинамический поток флюгеры, кинематически связанные с электрическими датчиками углов, выходы которых в БУ подсоединены через мультиплексор и АЦП к УС.
На фиг.1 представлена структурная схема бортовой системы наведения снаряда, которая включает оптическую систему ОЭГК 1 в составе интерференционного оптического фильтра (ИФ), объектива (О) и четырехсекторного фотоприемника (ФП), четырехканальный блок обработки сигналов (БОС) 2, каждый канал которого состоит из последовательно соединенных аттенюатора (АТТ), предварительного усилителя (ПУ), регулируемого усилителя (РУ), масштабируемого усилителя (МУ), аналого-цифрового преобразователя (АЦП); блок формирования последовательных данных (БФПД) 3; сумматор (СУМ) 4; определитель максимума сигнала (ОМС) 5; компаратор (КАРУ) 6; компаратор обнаружения (КОБ) 7; схему ШАРП 8; счетчик (САРУ) 9; цифроаналоговый преобразователь (ЦАРУ) 10; блок управления (БУ) 11; устройство сопряжения (УС) 12; микропроцессор (МП) 13 с электрически перепрограммируемым ПЗУ; устройство сброса обтекателя (УСО) 14; силовые полупроводниковые ключи (СПК) 15; датчик температуры (ДТ) 16; мультиплексор (М) 17 с АЦП; импульсные двигатели коррекции (ИДК) 18; флюгерные датчики углов (ФДУ) 19.
На фиг.2 приведена временная диаграмма формирования сигнала “Строб”. На фиг.3 приведена временная диаграмма формирования сигналов “Синхронизация”.
Предлагаемая бортовая система наведения после включения частотного лазерного подсвета цели работает следующим образом. Отраженное от цели лазерное излучение принимается оптической системой ОЭГК, выделяется на фоне подстилающей поверхности с помощью узкополосного интерференционного оптического фильтра (ИФ). Объектив (О) формирует на поверхности фотоприемника световое пятно диаметром, примерно равным половине диаметра фотоприемника. В качестве фотоприемника используется четырехсекторный кремниевый фотодиод. В пределах углового размера светового пятна пеленг цели определяют по следующим приближенным соотношениям:
где Y, Z – угловые координаты пеленга цели по осям, перпендикулярным оптической оси ОЭГК;
w1…w4 – амплитуды сигналов, снимаемых с четырех секторов фотоприемника;
k – коэффициент пропорциональности, в градусах.
Поскольку схема обработки сигналов в ОЭГК состоит из четырех идентичных каналов, то при описании структурной схемы будет рассмотрен один канал.
Сигнал с фотоприемника через аттенюатор поступает на предварительный усилитель. ПУ предназначен для согласования усилительных каскадов каналов с высоким выходным сопротивлением нагрузки ФП и обеспечения низких шумовых характеристик усилительного тракта, ПУ должен обеспечивать высокую линейность передаточной характеристики во всем динамическом диапазоне входных сигналов ФП, а в верхней части динамического диапазона сигнал на входе ПУ уменьшается с помощью ступенчатого аттенюатора АТТ, управляемого САРУ 9.
Сигнал с выхода ПУ поступает на РУ. Регулировка усиления осуществляется с помощью САРУ 9 и ЦАРУ 10. Далее сигнал через МУ подается на вход АЦП, МУ увеличивает амплитуду сигнала на входе АЦП для более полного использования его разрядной сетки, сигналы с выходов МУ всех четырех каналов поступают также на вход СУМ 4.
АРУ работает следующим образом.
Сигнал с выхода СУМ 4 поступает на КАРУ 6 с постоянным порогом срабатывания, равным максимально возможной амплитуде сигнала с выхода последнего каскада усилителя (Umax). Если амплитуда сигнала с сумматора достигла порога срабатывания, то КАРУ 6 выдает сигнал САРУ 9. Младшые разряды САРУ 9 управляют работой ЦАРУ 10, напряжение с которого поступает на регулируемые усилители (РУ), а старший разряд САРУ 9 управляет работой АТТ. В исходном состоянии после включения питания САРУ 9 обнулен, а РУ имеют максимальный коэффициент усиления. По первой команде с КАРУ 6 САРУ 9 принимает значение 0 0 1 и коэффициент усиления РУ уменьшается соответственно тоже по второй и по третьей команде. По четвертой команде с КАРУ 6 включаются АТТ. При последующих сигналах с КАРУ 6 состояние САРУ не изменяется. Для приведения счетчика в исходное состояние требуется снять и вновь подать напряжение питания. Таким образом, работа АРУ происходит только в одну сторону – уменьшения усиления, что обусловлено условиями применения ОЭГК, при приближении к цели сигнал может только возрастать.
Сигнал с выхода сумматора поступает также на КОБ 7, пороговое напряжение которого формируется схемой ШАРП 8. Схема ШАРП 8 следит за уровнем собственных шумов фотоприемного устройства и устанавливает порог обнаружения сигнала на КОБ 7. Необходимость слежения за уровнем шумов возникает из-за существенного увеличения их уровня при воздействии сильной солнечной фоновой засветки местности, проникающей через узкополосный интерференционный оптический фильтр (ИФ). При превышении сигналом порога обнаружения КОБ 7 формирует команду “Пуск”, поступающую на БУ. Схема ШАРП 8 отслеживает уровень “нормальных” шумов, имеющих распределение амплитуд по закону Гаусса, и не реагирует на импульсные шумы (возникающие от световых вспышек выстрелов в поле зрения ОЭГК, сигналов от других ЛЦД и т.д.). Селекция по периоду следования импульсов подсвета осуществляется в БУ, исходным сигналом является команда “Пуск”, результат селекции (фиг.2) поступает из БУ в виде разрешающего сигнала “Строб” через интервал времени Тп-0,5 Тc, где Тc – длительность “строба”. До окончания отсчета временного интервала все поступающие на вход сигналы “Пуск” игнорируются. После окончания отсчета временного интервала сигнал “Строб” принимает значение “логического 0”. Если после этого в течение времени Тc приходит сигнал “Пуск”, то по его спаду сигнал “Строб” переводится в состояние “логической 1”, а отсчет временного интервала Тп-0,5 Тc начинается заново. В случае отсутствия сигнала “Пуск” в течение времени Тc сигнал “Строб” переводится в состояние “логической 1”, но отсчет временного интервала Тп-0,5 Тc начинается только после прихода первого после этого события сигнала “Пуск”. Соответственно, формирование сигнала “Строб” по этому импульсу не производится. Длительность строба определяется величиной нестабильности задающих генераторов ЛЦД и БУ. Сигнал “Строб” поступает на САРУ 9 и схему ОМС.
Схема ОМС формирует команду запуска всех АЦП в момент достижения сигналом максимальной амплитуды. АЦП после запуска запоминают уровень амплитуды сигнала с помощью встроенной схемы “выборки-запоминания” и приступают к преобразованию в АЦП. После завершения этого процесса результат хранится во внутренних 10-разрядных регистрах. Считывание полученных данных с АЦП и передача их в БУ производится с помощью блока формирования последовательных данных. Процесс считывания начинается по команде МП после прохождения сигнала “Пуск” (фиг.3) и задержки на время преобразования АЦП (Т1
5 мкс). В УС устанавливается по команде МП двухразрядный адрес канала (А1, А0) и УС выдает серию из 10 импульсов синхронизации (“Синхр”) на вход блока формирования последовательных данных. Каждый импульс синхронизации инициирует появление на последовательной шине “Данные” бита данных, начиная со старшего. Адрес должен быть установлен до начала считывания за время T2
0,5 мкс. Процедура считывания повторяется четыре раза. Порядок считывания по номерам каналов -произвольный. Считывание первой из четырех величин начинается через время 1 после прохождения сигнала “Пуск”, попадающего внутрь сигнала “Строб”. Одновременно производится последовательное считывание аналоговых сигналов с ФДУ 19, подсоединенных в БУ через МАЦ 17 к УС 12.
“Захват” цели осуществляется после прохождения в вырабатываемом стробе третьего сигнала “Пуск”, по которому по команде МП запускается счетчик текущего времени, расположенный в УС, и для сброса обтекателя по команде МП в УС вырабатывается сигнал, передаваемый в УСО 14, по которому сбрасывается обтекатель и раскрывается флюгерное устройство с электрическими датчиками углов. Затем вычисляются приращение фазового угла пеленга по формуле (6) и частота вращения снаряда
величину зоны нечувствительности ЕЗН по формуле (4) или (5). Коррекцию проводят при Ei
фазового угла пеленга цели за (Ns-1) периодов подсвета цели In вычисляют по формуле
затем по показаниям флюгерных датчиков вычисляют углы атаки и скольжения, по показаниям датчика температуры из таблицы, хранящейся в постоянном запоминающем устройстве, определяют
где tвкл – момент включения;
t – текущее время;
Nд – номер срабатывающего импульсного двигателя;
где
или
где Е0 – начальная зона нечувствительности относительно оси оптико-электронной головки коррекции;,
Кt – скорость изменения зоны нечувствительности;
tз – время захвата цели;
t0 – длительность изменения зоны нечувствительности.
2. Система наведения вращающегося снаряда по отраженному от цели частотному лазерному излучению с использованием импульсной коррекции траектории, содержащая наземное средство наведения и установленные на борту снаряда несколько импульсных двигателей коррекции, блок управления и оптико-электронную головку коррекции (ОЭГК), включающую основные блоки и вспомогательные схемы, отличающаяся тем, что ОЭГК выполнена в едином корпусе, который установлен неподвижно относительно продольной оси снаряда, основные блоки выполнены в виде оптической системы в составе интерференционного оптического фильтра, объектива и четырехсекторного фотоприемника, четырехканального блока обработки сигнала, каждый канал которого состоит из последовательно соединенных аттенюатора, предварительного усилителя, масштабируемого усилителя, аналого-цифрового преобразователя, а вспомогательные схемы выполнены в виде сумматора сигналов, определителя максимального сигнала, компаратора автоматической регулировки усиления, компаратора обнаружения сигнала схемы шумовой автоматической регулировки порога (ШАРП) и счетчика автоматической регулировки усиления, при этом вспомогательные схемы ОЭГК подключены к основным блокам или соединены между собой следующим образом – четыре выхода масштабных усилителей блока обработки сигнала соединены со входами сумматора, выход сумматора подключен к первому входу определителя максимального сигнала, к первому входу компаратора обнаружения сигнала, к первому входу компаратора автоматической регулировки усиления и ко входу схемы ШАРП, выход которой подключен ко второму входу компаратора обнаружения сигнала, предназначенного для формирования команды “Пуск” на блок управления и запуска по второму входу определителя максимального сигнала, третий вход которого, а также первый вход счетчика автоматической регулировки усиления предназначен для приема сигнала “Строб” с блока управления, выход определителя максимального сигнала соединен со вторыми входами аналого-цифрового преобразователя, выходы младших разрядов счетчика автоматической регулировки усиления соединены с цифроаналоговым преобразователем, выход которого подключен ко вторым входам регулируемых усилителей блока обработки сигналов, а выход старшего разряда счетчика автоматической регулировки усиления подключен ко вторым входам управляемых аттенюаторов блока обработки сигнала, при этом указанная система снабжена блоком формирования последовательных данных, в котором вход каждого канала обработки сигнала соединен с соответствующим выходом площадок фотоприемника, причем выходы каждого канала подключены к одному из четырех входов блока формирования последовательных данных, который выдает цифровые “Данные” об угле пеленга цели в блок управления и управляется с блока управления командами “Синхронизация” и двоичным адресом “А0” и “А1”, а блок управления снабжен микропроцессором для обработки сигналов от ОЭГК и для выработки сигналов управления, устройством сопряжения микропроцессора с другими бортовыми устройствами, энергонезависимым перепрограммируемым постоянным запоминающим устройством, предназначенным для хранения управляющих программ и таблицы зависимости длительности импульсов коррекции от температуры, устройством с силовыми полупроводниковыми ключами, входы которого соединены с соответствующими выходами бортовых устройств, а выходы соединены соответственно с входами импульсных двигателей коррекции и входом устройства сброса обтекателя, и датчиком температуры, соединенным с устройством сопряжения, причем снаряд снабжен флюгерами, шарнирно закрепленными в его головной части, например, под углом 90