Патент на изобретение №2231583
|
||||||||||||||||||||||||||
(54) СПОСОБ ПОЛУЧЕНИЯ УГЛЕРОДНОГО ВОЛОКНИСТОГО МАТЕРИАЛА
(57) Реферат: Изобретение относится к области получения на основе целлюлозных материалов углеродных волокнистых материалов (УВМ), используемых в качестве токопроводящих элементов, а также при получении композиционных материалов и сорбентов, например для изготовления дисперснонаполненных композиционных материалов и сорбентов бытового и медицинского назначения. Способ получения углеродных волокнистых материалов включает обработку целлюлозного материала 10-19%-ным водным раствором катализатора – смеси хлористого аммония с синергетиками – карбамидом или ортоборатом аммония до содержания катализатора на волокне 5-20%, с последующей термической обработкой на воздухе и в инертной среде при постепенном повышении температуры. Обработке подвергают непосредственно целлюлозный материал, не содержащий кремнийорганическое соединение. Термическую обработку материалов осуществляют в атмосфере воздуха от 20 до 95 5 С и в инертной среде от 95 5 до 450-3000 С. Полученные углеродные материалы после термической обработки в среде инертного газа до температуры не менее 450 С подвергают дополнительной термической обработке при температуре 750-900 С в среде активирующего агента с целью получения сорбционно-активных углеродных материалов. Изобретение обеспечивает достижение высоких выходов углеродных волокнистых материалов с разнообразными свойствами по одной технологической схеме. 1 з.п. ф-лы, 3 табл.
Изобретение относится к области получения на основе целлюлозных материалов углеродных волокнистых материалов (УВМ), используемых в качестве токопроводящих элементов, а также при получении композиционных материалов и сорбентов, например для изготовления дисперснонаполненных композиционных материалов и сорбентов бытового и медицинского назначения.
Известен способ получения углеродного волокнистого материала [RU №2047674, кл. D 01 F 9 /12, C1, опубл. 1995], согласно которому исходный гидратцеллюлозный волокнистый материал пропитывают 5-20% водным раствором антипирена (катализатора), карбонизуют его при постепенном повышении температуры в среде инертного газа и в последующем подвергают высокотемпературной обработке в инертной среде. В качестве исходного гидратцеллюлозного материала используют волокнистый материал, содержащий на поверхности волокна 0,5-10,5% кремния. После пропитки материал термообрабатывают на воздухе при 100-150 С. Карбонизацию осуществляют при постепенном повышении температуры от 150 до 300-600 С в среде инертного газа и вакуумметрическом давлении в печи 300-900 Па с поглощением продуктов пиролиза щелочными растворами. В качестве катализатора используют вещество, выбранное из группы, включающей галоидсодержащую, сульфатсодержащую, фосфорсодержащую соль аммония, калия, натрия, тетраборнокислый натрий, карбамид или их смеси, например 8% раствор диаммонийфосфата и тетраборнокислого натрия при соотношении 1:1,18%, раствор борной кислоты и аммония хлористого при соотношении 1:1,19%, раствор карбамида и сульфата аммония при соотношении 1:1. В качестве кремнийсодержащих соединений для первичной обработки гидратцеллюлозного материала используют соединения, выбранные из группы, включающей полидиметилфенилаллилсилан, полисилоксан, полиметилсилоксаны, полисилазаны, полиалюмоорганосилоксан. По способу, описанному в прототипе, могут быть получены карбонизованные и графитированные УВМ с выходом 36-40% от массы исходного гидратцеллюлозного материала и прочностными показателями 1,3-1,4 ГПа/нить.
Недостатком этого метода является сложность технологического процесса, обусловленная необходимостью проведения предварительной обработки гидратцеллюлозных материалов полимерными кремнийсодержащими соединениями, большинство из которых растворимы в легкокипящих токсичных растворителях [Свойства и области применения кремнийорганических продуктов. / Под общ. ред. проф. М.В. Соболевского. – М.: Химия, 1975], а их использование негативно влияет на экологичность и безопасность технологического процесса. Кроме этого, кремнийсодержащие соединения при разложении образуют оксид кремния, являющийся тугоплавким нелетучим и нерастворимым соединением. Причем содержание кремния на поверхности материала составляет 0,5-10,5 мас.%, что приводит к получению углеродных материалов с повышенной зольностью, что, в свою очередь, завышает значения выхода и снижает прочность получаемых при высокотемпературной обработке материалов, так как внедрение атомов кремния в структуру волокна нарушает структуру углеродного скелета. К увеличению зольности и снижению прочностных характеристик приводит также использование в каталитических системах таких соединений, как тетраборнокислый натрий, борная кислота. Следует отметить, что выбранное соотношение заявляемых компонентов каталитической смеси 1:1 в совокупности заявляемых режимов не обеспечивает синергического эффекта по выходу углеродных волокнистых материалов. Кроме этого, известно [Конкин А.А. Углеродные и другие жаростойкие волокнистые материалы. – М.: Химия, 1974, с.46-114], что карбонизованные материалы с конечной температурой термообработки ниже 450 С содержат большое количество кислорода, водорода и низкомолекулярных продуктов пиролиза, которые мешают образованию монолитной структуры волокна. А процессы поликонденсации и рекомбинации, приводящие к зарождению углеродного скелета, начинаются только при температуре выше 350 С, что не позволяет даже в присутствии каталитических систем получить при 300 С материал с достаточными для дальнейшей переработки прочностными показателями. Кроме этого, выбранные смеси в указанном соотношении не позволяют после высокотемпературной термообработки при температурах выше 1000 С получить УВМ с высокими прочностными свойствами, а термообработка при температурных режимах выше 2200 С в общем невозможна из-за деструктивного действия тугоплавких соединений, входящих в состав каталитических смесей. Кроме этого, соединения, входящие в состав каталитической смеси, а именно тетраборнокислый натрий, борная кислота, способствуют ускорению процессов деструкции волокна при термообработке даже в инертной среде, а в присутствии активирующих агентов, таких как водяной пар, углекислый газ, пары аммиака, приводит к полному разрушению волокна, что не позволяет использовать рассматриваемые смеси в совокупности с заявляемыми режимами для получения активированных (сорбционно-активных) углеродных материалов. Получаемые по данному способу углеродные волокнистые материалы могут быть использованы только для изготовления композиционных материалов.
Наиболее близким техническим решением, выбранным в качестве прототипа, является способ получения УВМ [RU №2016146, кл. D 01 F 9/16, C1, опубл. 1994] пропиткой исходных целлюлозных волокнистых материалов (текстильных изделий, ваты, мелкодисперсных волокон) водным раствором каталитических соединений, сушкой и термической обработкой в присутствии введенного катализатора. В качестве катализатора используют 18,5-29% водный раствор, содержащий гидроортофосфат аммония 5-10 мас.%, хлорид аммония 3-12 мас.%, хлористый натрий 1-7 мас.%. Содержание катализатора в пропиточном материале составляет 15-30 мас.%. Перед сушкой пропитанный целлюлозный волокнистый материал выдерживают 15-60 мин при 80-100 С, относительной влажности 100%, в атмосфере, образующейся при нагреве пропитанного волокна. Далее целлюлозный волокнистый материал высушивают при температуре 90-100 С и термообрабатывают в защитной среде (азот, аргон, метан). Термическую обработку проводят до любой температуры в интервале 240-2800 С непрерывно или останавливают процесс на любой стадии. Полученные УВМ используют самостоятельно или подвергают вторичной термической обработке до более высоких температур (350-3000 С). Температура вторичного обжига должна быть выше температуры первичной термообработки не менее чем на 100 С. По данному способу получают карбонизованные и графитированные материалы, используемые в качестве наполнителей для пластических масс, армирующих элементов, материалов для высокотемпературной изоляции.
Недостатками этого способа являются многостадийность процесса получения УВМ, использование высококонцентрированных растворов катализатора (до 29 мас.%) при закреплении на исходных прекурсорах больших количеств катализатора (15-35 мас.%) для получения УВМ с удовлетворительными физико-механическими характеристиками 270-3055 гс/нить (0,02-0,2 ГПа). Соединения, входящие в состав каталитической смеси, а именно хлорид натрия, способствуют ускорению процессов деструкции волокна при термообработке даже в инертной среде, а в присутствии активирующих агентов, таких как водяной пар или углекислый газ, приводят к полному разрушению волокна, что не позволяет получить активированные (сорбционно-активные) углеродные материалы.
Техническим результатом заявляемого решения является устранение указанных недостатков, а именно повышенный выход углеродных волокнистых материалов (карбонизованных, графитированных и активированных), придание им регулируемой прочности в сочетании с повышением прочности и электропроводности для УВМ, полученных при температурах выше 1000 С, за счет использования в качестве катализатора 10-19% водного раствора смеси хлорида аммония с синергетиком, выбранным из карбамида или тетрафторбората аммония, в соотношении 9-6:1-4, обработку проводят до содержания катализатора на материале в количестве 5-20% при одновременном улучшении технологичности и экологичности процесса.
Поставленная цель достигается тем, что в способе получения углеродных волокнистых материалов, включающем обработку целлюлозного материала, не содержащего кремнийорганическое соединение, катализатором на основе водного раствора смеси хлорида аммония с синергетиком и последующую термообработку сначала на воздухе от 20 до 95 5 С, а затем в инертной среде от 95 5 до 450-3000 С, используют в качестве катализатора 10-19% водный раствор смеси хлорида аммония с синергетиком, выбранным из карбамида или тетрафторбората аммония, в соотношении 9-6:1-4, и обработку проводят до содержания катализатора на материале в количестве 5-20%. Полученные углеродные материалы после термической обработки в среде инертного газа до температуры не менее 450 С подвергают дополнительной термической обработке при температуре 750-900 С в среде активирующего агента с целью получения сорбционно-активных углеродных материалов.
Известно использование целлюлозных материалов для получения углеродных волокнистых материалов [RU №2016146, кл. D 01 F 9 /16, C1, публ. 1994], однако только совокупность влияния условий проведения термической обработки и экспериментально сбалансированного состава каталитических систем приводит к синергическому эффекту по выходу получаемых УВМ при одновременном повышении прочностных и электропроводящих свойств УВМ, полученных при высокотемпературной обработке. Известно также использование в качестве целлюлозных материалов для получения УВМ гидратцеллюлозных материалов с содержанием на поверхности материала 0,5-10,5% предварительно нанесенного кремния [аналог], что в процессе термической обработки приводит к разрыхлению структуры материала и снижению прочности получаемых графитированных материалов, тогда как использование целлюлозных материалов с содержанием кремния в объеме материала менее 0,5%, что соответствует фоновому содержанию кремния в целлюлозах [Роговин З.А. Основы химии и технологии химических волокон. Т.1. Изд. 4-е, перераб. – М.: Химия, 1974, с.193], позволяет получить УВМ с низкой зольностью, упорядоченной структурой углерода и соответственно высоким выходом УВМ при одновременном повышении прочностных и электропроводящих характеристик для УВМ, полученных при температуре выше 1000°С. Известно применение в качестве катализатора для получения УВМ смесей неорганических соединений [RU №2016146, кл. D 01 F 9 /16, C1, опубл. 1994; RU №2047674, кл. D 01 F 9 /12, C1, опубл. 1995], но только экспериментально установленное соотношение смесей хлористого аммония и экспериментально обнаруженных синергетиков (карбамида или тетрафторбората аммония) в совокупности с предлагаемыми режимами резко увеличивают выход получаемых УВМ и физико-механические свойства УВМ, полученных при повышенных температурах, благодаря тому, что воздействие вышеизложенных смесей в заявляемом соотношении значительно превосходит воздействие отдельных компонентов или их суммы, то есть проявляется синергический эффект. Кроме того, входящие в состав смесей соединения разлагаются до температуры 450 С, что позволяет в совокупности с предлагаемыми режимами после термической обработки в среде инертного газа до температуры не ниже 450 С проводить дополнительную температурную обработку при 750-900 С в среде активирующего агента (водяного пара, углекислого газа или их смеси) и получать активированные (сорбционно-активные) материалы с высокими сорбционными, прочностными и электропроводящими свойствами.
Таким образом, только заявляемая неразрывная совокупность признаков позволяет достичь технический результат, указанный выше, что позволяет сделать вывод о наличии критерия изобретательский уровень.
Пример
Целлюлозный материал, не содержащий кремнийорганическое соединение, например техническую нить (либо ткани различной структуры или нетканые материалы) обрабатывают, например пропиткой или напылением, каталитической смесью хлористого аммония и карбамида или хлористого аммония и тетерафторбората аммония, приготовленных в соотношении 9-6:1-4 по следующей схеме: 50% от общего содержания хлористого аммония растворяют в 50% от общего содержания умягченной воды при температуре 15-30 С и постоянном перемешивании. В отдельной емкости растворяют карбамид или тетрафторборат аммония (100% от общего содержания) в 25% от общего содержания умягченной воды при постоянном перемешивании и температуре 15-30 С. Затем смешивают приготовленные растворы, доводят общий объем до содержания воды 100% и в полученную смесь при постоянном перемешивании добавляют еще 50% хлористого аммония. Избыток каталитического раствора удаляют, например, на отжимных вальцах. Обработанный каталитической смесью материал подвергают термической обработке на известном оборудовании при 95 5 С до содержания влаги на материале 3-5%. Таким образом, на материале закрепляют 5-20% катализатора. Последующую термическую обработку материала осуществляют на известном оборудовании от температуры 95 5 до температуры 450-3000 С. Или после термической обработки в среде инертного газа до температуры не менее 450 С проводят дополнительную термическую обработку при температуре 750-900 С в среде активирующего агента – водяного пара, или углекислого газа, или их смеси.
Ниже приведен конкретный вариант реализации способа. В качестве исходного целлюлозного материала используется вискозная техническая нить 192 текса, полученная по ТУ 6-12-0020456-7-92. В табл. 1 и 2 приведены примеры УВМ, полученных с использованием в качестве катализатора смесей соответственно аммония хлористого и карбамида, аммония хлористого и тетрафторбората аммония.
В примерах 1-19, 29-36, 39-56, 66-74 показано, как с повышением концентрации от 10 до 19% каталитической системы в растворе при различных соотношениях компонентов смеси изменяется количество закрепленного на материале катализатора и как при температуре 450°С вышеназванные факторы влияют на повышение выхода и прочностных характеристик УВМ, что позволяет получать УВМ с регулируемыми прочностью от 0,3 до 0,8 ГПа. Такие материалы используются для дальнейшей высокотемпературной обработки в инертной среде или среде активирующего агента для получения композиционных материалов и сорбентов.
При любом из заявляемых соотношений каталитической смеси и температуре выше 600 С по заявляемому способу получают УВМ с регулируемой прочностью в диапазоне от 0,7 до 2,0 ГПа и сопротивлением от 1,5 102 до 1,5 10-5 Ом м (примеры 20-28, 57-65). С повышением конечной температуры термообработки от 800 С по заявляемому способу получают УВМ с регулируемым в широком диапазоне сопротивлением 1,1-1,2 10-5 Ом м, что позволяет использовать полученные УВМ в качестве токопроводящих элементов.
Примеры 23-28, 60-65 показывают, что при температуре выше 1000 С получают УВМ с прочностью 1,5-2,0 ГПа, что выше, чем у УВМ полученных по прототипу и что позволяет использовать их для получения композиционных материалов различного назначения с регулируемым и в широких пределах физико-механическими характеристиками.
Все УВМ, полученные при термической обработке в инертной среде до температур 450-2200 С используются для дальнейшей высокотемпературной обработки в среде активирующего агента или инертной среде.
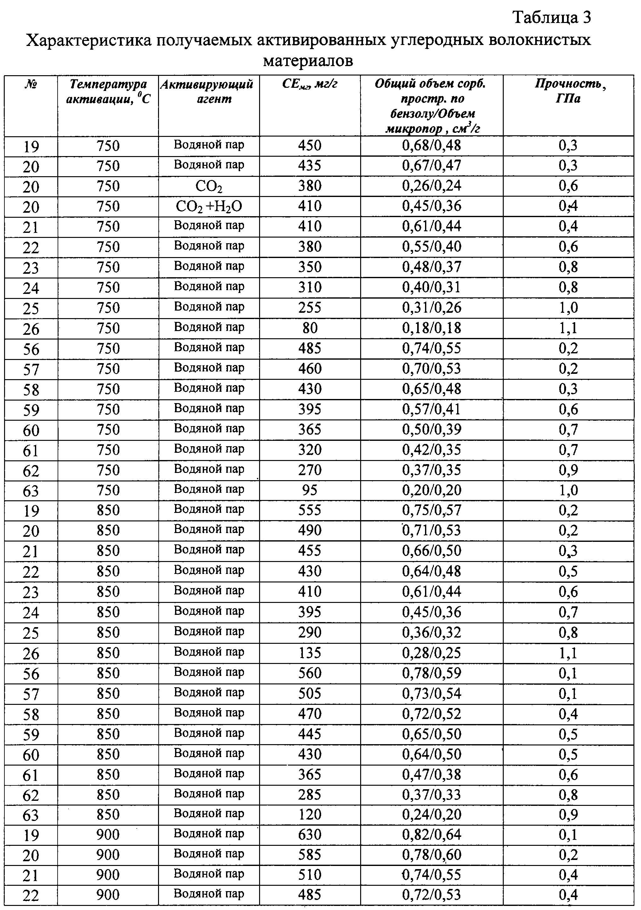
В табл.3 приведены примеры, характеризующие условия активации и свойства активированных УВМ, полученных в соответствии с заявляемым способом. Нумерация УВМ в табл.3 соответствует условиям термической обработки, изложенным в табл.1 и 2. В примерах 75, 76 показаны свойства активированных нетканого материала (75) с поверхностной плотностью 170 г/м2 и ткани (76) с поверхностной плотностью 200 г/м2, полученных при температурной обработке в инертной среде по условиям, представленным в примерах 21 и 58 табл. 1 и 2 соответственно.
Примеры (25-26, 62-63, 3 и 4 строки примера 20) в табл.3 показывают, при каких условиях получают преимущественно микропористые сорбенты с прочностью от 0,5 до 1,1 ГПа, обеспечивающейся за счет высокой упорядоченности структуры, сформированной уже на стадии термообработки в инертной среде. Следует отметить, что примеры 19-24, 56-61 иллюстрируют режимы получения сорбционно-активных УВМ с мезо- и микропористой структурой, о чем свидетельствует сопоставление объема сорбционного пространства по бензолу и объема микропор. Прочность этих сорбентов от 0,1 до 0,6 ГПа. Такие сорбенты используются, как и микропористые сорбционно-активные УВМ, в качестве сорбентов из жидких и газообразных сред, например бытового и медицинского назначения. Следует отметить, что получаемые сорбенты (76, 77) имеют сорбционные и прочностные характеристики выше, чем используемые по соответствующему назначению материалы такой же текстуры [см. Углеродные материалы и углепластики. Каталог. – СПб., 1999, стр. 9, 10].
Формула изобретения 1. Способ получения углеродного волокнистого материала, включающий обработку целлюлозного материала, не содержащего кремнийорганическое соединение, катализатором на основе водного раствора смеси хлорида аммония с синергетиком и последующую термообработку сначала на воздухе от 20 до 95 5 С, а затем в инертной среде от 95 5 С до 450-3000 С, отличающийся тем, что в качестве катализатора используют 10-19%-ный водный раствор смеси хлорида аммония с синергетиком, выбранным из карбамида или тетрафторбората аммония, в соотношении 9-6:1-4 и обработку проводят до содержания катализатора на материале в количестве 5-20%.
2. Способ по п.1, отличающийся тем, что после термообработки в среде инертного газа до температуры не менее 450 С проводят дополнительную термическую обработку при 750-900 С в среде активирующего агента.
MM4A – Досрочное прекращение действия патента СССР или патента Российской Федерации на изобретение из-за неуплаты в установленный срок пошлины за поддержание патента в силе
Дата прекращения действия патента: 06.11.2007
Извещение опубликовано: 27.06.2009 БИ: 18/2009
|
||||||||||||||||||||||||||

5
С и в инертной среде от 95
102 до 1,5