Патент на изобретение №2151382
|
||||||||||||||||||||||||||
(54) СПОСОБ ПИРОМЕТРИЧЕСКИХ ИЗМЕРЕНИЙ
(57) Реферат: Использование: оптические методы бесконтактного измерения истинной температуры объекта. Сущность изобретения: измеряют интенсивность собственного излучения объекта при нескольких, но не менее трех температурах T1 < Т2 < .. .. < ТN, в нескольких спектральных интервалах, причем вместо одной из интенсивностей может измеряться полное излучение, описываемое законом Стефана-Больцмана. Число измеренных интенсивностей М и количество значений температур N, при которых осуществляются измерения, должны быть связаны с количеством неизвестных параметров, определяющих интенсивность излучения. Технический результат: повышение точности измерений без использования предварительной градуировки и возможность построения по излучению термодинамической температурной шкалы. 1 ил. Изобретение относится к измерительной технике, а более конкретно к оптическим бесконтактным способам измерения истинных температур различных объектов. В методах оптической пирометрии результат измерений зависит не только от температуры, но и от свойств поверхности излучающего тела, пропускания промежуточной среды. Априорная информация об этих параметрах при измерении истинной температуры обычно используется в виде коэффициентов излучательной способности и пропускания промежуточной среды, табулированных в справочной литературе. Неполнота данных по этим коэффициентам, несоответствие их значений в реальных условиях табулированным, изменение свойств излучающей поверхности и промежуточной среды в процессе измерения приводят к возникновению методических погрешностей, превышающих инструментальные в десятки раз. С другой стороны без определенной априорной информации об излучательных характеристиках объекта контроля сама задача об измерении его температуры методами оптической пирометрии оказывается беспочвенной. Для решения задачи измерения истинной температуры объекта было предложено использовать различную дополнительную априорную информацию об излучательных свойствах объекта, в частности зависимость спектральной излучательной способности от температуры. Из предшествующего уровня техники известен способ пирометрических измерений /Свет Д.Я. Оптические методы измерения истинных температур, Москва, Наука, 1982, стр. 250-253/, включающий измерение при двух температурах объекта интенсивности его собственного излучения в спектральном интервале, соответствующем спектральной области собственного излучения объекта, в которой справедливо приближение Вина, и интенсивность собственного излучения объекта в спектральном интервале за пределами справедливости приближения Вина. Недостаток известного способа пирометрических измерений заключается в том, что он не обеспечивает измерение истинной температуры, поскольку лежащее в его основе положение – постоянство излучательной способности при изменении температуры объекта – является некорректным. Действительно, зависимость излучательной способности от температуры следует не только из теории /связи излучательной способности с электропроводностью/, но из обширных экспериментальных данных для различных веществ, в первую очередь для металлов. Известен способ пирометрических измерений, в котором используется линейная зависимость спектральной излучательной способности от температуры /Lincoln R. C., Petit R.B., High Temperatures High Pressures, 1973, v 5. p. 421/. Согласно этому способу измеряют при двух температурах контролируемого объекта интенсивности его собственного излучения в двух спектральных интервалах. Недостаток этого способа заключается в том, что для одного из значений температур объекта, например для комнатной температуры, значения спектральной излучательной способности должны быть известны. Однако и этой априорной информации недостаточно для прямого решения полученной системы уравнений поскольку не известны температурные коэффициенты излучательной способности в обоих спектральных интервалах. Кроме того, поскольку в практически важных случаях температурный интервал /разность между температурами объекта, при которых измеряются интенсивности его собственного излучения/ может достигать 1000 K, поэтому для ряда веществ линейная аппроксимация температурной зависимости спектральной излучательной способности может оказаться некорректной. Известен также способ пирометрических измерений /авторское свидетельство N 1770779, кл. G 01 J 5/50, 1992/, взятый в качестве прототипа, включающий измерение при двух заданных температурах объекта интенсивность его собственного излучения, определение излучательной способности объекта и ее температурного коэффициента, измерение интенсивности собственного излучения объекта в том же спектральном интервале, определение его истинной температуры, лежащей в интервале между двумя заданными температурами. В этом способе за счет сужения температурного интервала между двумя заданными температурами обеспечивается более высокая точность измерения при использовании линейной аппроксимации зависимости излучательной способности от температуры. Недостаток этого способа заключается в том, что истинные температуры объекта на границах температурного интервала измерений определяются контактным методом, т.е. по существу необходима калибровка пирометра. В основу изобретения поставлена задача разработать способ пирометрических измерений, обеспечивающий вне зависимости от степени шероховатости поверхности бесконтактное измерение истинной температуры объекта с высокой точностью без использования операции калибровки и без определения численного значения температурного коэффициента излучательной способности на основании использования избыточности информации, содержащейся в спектре теплового излучения. Поставленная задача решена тем, что в предложенном способе, при нагреве или охлаждении, осуществляется измерение нескольких спектральных интенсивностей собственного излучения со значениями эффективных длин волн 1, 2,…, i, при нескольких, но не менее трех значений температур: T1, T2, … Tj, Tj+1.
Интенсивности могут выделяться в любых областях Планковского излучения /от Вина до Рэлея-Джинса/.
Кроме того, вместо одной из спектральных интенсивностей может быть использован полный спектр излучения, описываемый Законом Стефана-Больцмана.
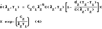
Для узких спектральных интервалов, в которых с высокой точностью можно считать значения эффективных длин волн, не зависящих от температуры /например, при использовании “острых” интерференционных фильтров или монохроматоров/ для спектральных интенсивностей U( i,Tj) собственного теплового излучения вещества в конденсированной фазе при температурах Tj-1 < Tj < Tj+1 можно написать:![]() Здесь: C1, C2 – пирометрические постоянные i – аппаратная функция измерительного канала ( i,Tj) – спектральная излучательная способность, зависимость которой от температуры можно записать в виде полинома: ( i,Tj) = ( i)o+ iTj+ iT2j+…+ iTnj,У большинства веществ, в частности металлов в ограниченных интервалах температур порядка 100-200 и более градусов зависимость излучательной способности от температуры линейна /см. например “Излучательные свойства материалов” под ред. А.Е. Шейндлина, Энергия 1974 г./. Таким образом, выражения для спектральных интенсивностей можно записать в виде: ![]() ![]() ![]() При использовании спектральных составляющий, лежащих в области Релея-Джинса: ![]() ![]() ![]() Соответственно при использовании вместо одной из интенсивностей интенсивности полного излучения, описываемого законом Стефана – Больцмана: ![]() U (Tj) = ![]() ![]() ![]() ![]() (Tj)/T4j,![]() Здесь – постоянная Стефана-Больцмана.
В случае же, если спектральный интервал для каждой из спектральных интенсивностей требуется расширить, например, для повышения чувствительности, увеличения соотношения сигнал/шум, эффективная длина волны будет изменяться с температурой.
Как было предсказано Натингом /Bull. Buro of Standarts, USA, 1916 г./, показано в работе Коутса /T. Coates, Metrologia – 1977, v. 13, p. 1/ и строго, методом малого параметра доказано в работе Д.Я. Света и О. Поповой /Метрология 1987, N 2/ изменение эффективной длины с температурой вне зависимости от вида спектральной характеристики /треугольная, П-образная, Гауссова/ описывается выражением: эфф.i= oi(1+ i/Tj),где oi – значение центральной длины волны, i/ – постоянная, зависящая от вида спектральной характеристики.
Таким образом, в случае широких спектральных интервалов спектральные интенсивности следует писать, как:![]() ![]() ![]() Здесь количество неизвестных параметров в каждой интенсивности будет: ![]() и неизвестные температуры: Tj-1; Tj; Tj+1. Измеряя интенсивности при нагреве или охлаждении объекта для N-температур и M-интенсивностей можно получить число уравнений, достаточное для определения всех неизвестных. Для решения поставленной задачи необходимо, чтобы ![]() где mi – количество неизвестных параметров в i-ой интенсивности излучения. В написанном выражении левая часть – количество уравнений, правая – количество неизвестных. Так, если все интенсивности измеряются в достаточно широких спектральных интервалах в области Вина и температурная зависимость их излучательной способности линейна, для решения поставленной задачи следует осуществить измерение трех спектральных интенсивностей при шести значениях температуры. В этом случае число неизвестных параметров в каждой их интенсивностей: 4; N = 6 и M = 3 Следовательно, 6х3 = 6 + (4+4+4)-18 и мы получаем систему из 18 уравнений и 18 неизвестных. Если же в предыдущем примере в качестве одной из интенсивностей используется полное излучение, при котором число параметров будет два: [ ![]() ![]() ![]() ![]() (Tj)] и ![]() /![]() (Tj). Количество температур, при которых необходимо проводить измерения, можно уменьшить до пяти, т.е. 5х3 = 5 + 4+ 4+ 2, т.е. получается 15 уравнений с 15-ю неизвестными.
Решение этих систем уравнений осуществляется естественно с помощью компьютера или микропроцессора, встроенного в измерительную систему.
Преимущества предлагаемого способа перед известными заключается в том, что при измерении температуры объекта с неизвестной излучательной способностью как в сторону ее повышения, так и понижения и измерении для каждого ее значения указанного количества спектральных интенсивностей собственного излучения объекта, определяются все неизвестные значения истинных температур без использования какой-либо операции предварительной градуировки /калибровки/ оптико-электронного тракта.
В дальнейшем изобретение поясняется чертежом и примером осуществления предлагаемого способа.
На чертеже схематично изображена структурная схема устройства, реализующего предлагаемый способ.
На этой схеме:1 – Объект, температура которого измеряется 2 – Устройство нагрева или охлаждения 3 – Концентрирующая оптика 4 – Устройство монохроматизации 5 – Приемники излучения 6 – Усилители 7 – Аналого-цифровые преобразователи 8 – Блок оперативной памяти 9 – Блок постоянной памяти 10 – Процессор /микропроцессор/ 11 – Дисплей Решение получающейся системы уравнений со многими неизвестными удобно осуществить по специальной программе или имеющейся в Matkath. При этом в блоке постоянной памяти хранятся необходимые значения констант и таблица данных, а с оперативной памятью, как обычно, производятся необходимые математические операции. В качестве примера, ввиду некоторой громоздкости получаемых математических выражений, приведем наиболее простой, для которого получается несложное аналитическое решение. Пример: необходимо измерить истинную температуру объекта при значениях температуры, обеспечивающих высокое соотношение сигнал/шум при весьма “узких” спектральных интервалах, т.е. считать эффективные длины волн постоянными при изменении температуры. Положим далее, что все измеряемые интенсивности лежат в области Вина, т.е. T 3000 мкм/градус. Кроме того, будем считать, что длина волны одной из спектральных интенсивностей будет i= x , т. е. будет лежать в точке “X”, где, как известно, x= 0, т.е. спектральная излучательная способность не зависит от температуры. Для вольфрама, как известно, эта длина волны x= 1,28 мкм.
В этом случае измерения при трех значениях температуры необходимо проводить всего для двух спектральных интенсивностей, так как количество неизвестных будет![]() T1; T2; T3; x![]() ( x); 2 ( 2,T2); 2/ ( 2,T2);и количество уравнений: MN = 3х2=6 Уравнения: ![]() ![]() ![]() где ( x,T1) = ( x,T2) = ( x,T3),![]() ![]() ![]() Указаные шесть уравнений логарифмируем, вычитаем одно из другого и, вводя обозначения: ![]() ![]() Путем несложных преобразований получаем: ![]() где ![]() Таким образом, неизвестные температуры определены. При соотношении сигнал/шум в измерительных каналах ~3000 и интервалах между значениями температур T2 – T1 и T3 – T2 порядка 40 – 50K, измерение неизвестных значений температур ленты вольфрамовой лампы осуществляется с погрешностью не более 0,5%, т.е. соответствует ее градуирование по образцовой лампе 1-го разряда.
Таким образом, предлагаемый способ позволяет в процессе нагрева или охлаждения без какой-либо калибровки измерить истинные значения температур, при неизвестных значениях излучательной способности и построить термодинамическую шкалу температур без применения черного тела, используя, в принципе, любое вещество в конденсированной фазе, в данном случае вольфрам.
Формула изобретения
![]() где m1, m2,…mм – количества неизвестных параметров, определяющих наряду с температурой величину каждой из интенсивностей (1-й, 2-й, …, М-й). РИСУНКИ
MM4A Досрочное прекращение действия патента Российской Федерации на изобретение из-за неуплаты в установленный срок пошлины за поддержание патента в силе
Дата прекращения действия патента: 18.07.2000
Номер и год публикации бюллетеня: 2-2003
Извещение опубликовано: 20.01.2003
|
||||||||||||||||||||||||||

1,
i – аппаратная функция измерительного канала
(
iTj+
iT2j+…+
iTnj,






(Tj) = 

i/Tj),





3000 мкм/градус. Кроме того, будем считать, что длина волны одной из спектральных интенсивностей будет 










0,5%, т.е. соответствует ее градуирование по образцовой лампе 1-го разряда.
Таким образом, предлагаемый способ позволяет в процессе нагрева или охлаждения без какой-либо калибровки измерить истинные значения температур, при неизвестных значениях излучательной способности и построить термодинамическую шкалу температур без применения черного тела, используя, в принципе, любое вещество в конденсированной фазе, в данном случае вольфрам.
