Патент на изобретение №2231262
|
||||||||||||||||||||||||||
(54) СПОСОБ ИЗБИРАТЕЛЬНОЙ БОРЬБЫ С СОРНЯКАМИ В ЗЕРНОВЫХ КУЛЬТУРАХ
(57) Реферат: Описывается способ избирательной борьбы с сорняками, выбранными из группы, включающей Agropyron, Alopecurus, Amaranthus, Avena, Capsella, Erysimum, Lolium, Phalaris, Poa, Sentaria, Sinapis и Thlaspi, в зерновых культурах, в котором на посевы зерновых культур воздействуют соединением 2-(2-метоксикарбонилфенилсульфониламинокарбонил)-4-метил-5-пропокси-2,4-дигидро-3Н-1,2,4-триазол-3-оном и/или его солями в количестве 5-500 г/га вместе с поверхностно-активными веществами и/или с обычными разбавителями. Технический результат заключается в разработке способа, позволяющего вести избирательную борьбу с вышеуказанными сорняками. 1 н. и 2 з.п. ф-лы, 8 табл. Изобретение относится к области борьбы с сорняками, более конкретно к способу избирательной борьбы с сорняками в зерновых культурах. Известен способ борьбы с сорняками в зерновых культурах путем воздействия на посевы зерновых культур производными сульфониламинокарбонилтриазолинона общей формулы
где R1 означает водород, амино или незамещенные или замещенные алкил, алкенил, алкинил, циклоалкил, аралкил, арил, алкиламино, циклоалкиламино или диалкиламино,
R2 означает незамещенные или замещенные алкил, алкенил, алкинил, циклоалкил, циклоалкенил, аралкил или арил,
R3 означает незамещенные или замещенные алкил, аралкил, арил или гетероарил,
и их солями (см. патент США № 5534486, кл. А 01 N 43/653, опубл. 09.07.1996 г.).
Задачей изобретения является разработка способа, позволяющего вести избирательную борьбу с сорняками из группы, включающей Agropyron, Alopecurus, Amaranthus, Avena, Capsella, Erysimum, Lolium, Phalaris, Poa, Sentaria, Sinapis и Thlaspi.
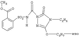
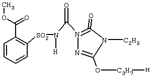
Поставленная задача решается предлагаемым способом избирательной борьбы с сорняками, выбранными из группы, включающей Agropyron, Alopecurus, Amaranthus, Avena, Capsella, Erysimum, Lolium, Phalaris, Poa, Sentaria, Sinapis и Thlaspi в зерновых культурах, заключающимся в том, что на посевы зерновых культур воздействуют соединением 2-(2-метоксикарбонилфенилсульфониламинокарбонил)-4-метил-5-пропокси-2,4-дигидро-3Н-1,2,4-триазол-3-оном и/или его солями в количестве 5-500 г/га вместе с поверхностно-активными веществами и/или с обычными разбавителями.
Предпочтительно предлагаемый способ направлен на борьбу с Alopecurus и Agropyron.
Под солями понимаются, например, соли металлов, в частности соли щелочных и щелочно-земельных металлов, а также аммониевые соли и соли с органическими аминами.
Под разбавителями понимаются жидкие растворители и/или твердые носители.
В случае использования в качестве разбавителя воды можно применять, например, и органические растворители в качестве вспомогательных растворителей. В роли жидких растворителей могут выступать главным образом ароматические углеводороды, такие, как ксилол, толуол или алкилнафталины, хлорированные ароматические соединения, например хлорбензолы, хлорированные алифатические соединения, например хлорэтилены или метиленхлорид, алифатические углеводороды, такие, как циклогексан или парафины, например продукты перегонки нефти, минеральные и растительные масла, спирты, например бутанол или гликоль, а также их простые и сложные эфиры, такие кетоны, как ацетон, метилэтилкетон, метилизобутилкетон или циклогексанон, растворители с высокой полярностью, например диметилформамид и диметилсульфоксид, а также вода.
В качестве твердых носителей могут использоваться, например, соли аммония и такие размолотые горные породы, как каолины, глиноземы, тальк, мел, кварц, аттапульгит, монтмориллонит или инфузорная земля, а также размолотые синтетические минералы, такие, как тонкодисперсная кремниевая кислота, оксид алюминия и силикаты; в качестве твердых веществ носителей для гранулированных препаративных форм могут выступать, например, дробленные и фракционированные природные минералы, такие, как кальцит, мрамор, пемза, сепиолит, доломит, и синтетические грануляты на основе неорганических и органических молотых материалов, а также грануляты из органических материалов, таких, как древесные опилки, скорлупа кокосовых орехов, кукурузные початки и табачные стебли.
В качестве поверхностно-активных веществ можно назвать, эмульгаторы и/или пенообразователи, такие, как, например, неионогенные и анионные эмульгаторы, такие, как полиэтиленоксидные эфиры жирных кислот, полиэтиленоксидные простые эфиры жирных спиртов, например алкиларилполигликолевые эфиры, алкилсульфонаты, алкилсульфаты, арилсульфонаты, и белковые гидролизаты, а также диспергаторы, такие, как, например, лигниновые сульфитные щелока и метилцеллюлоза.
Предлагаемый способ иллюстрируется следующими примерами, в которых используют следующие активные вещества.
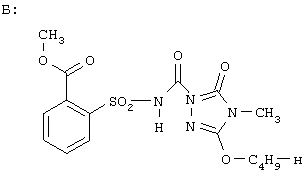
2-(2-метоксикарбонилфенилсульфониламинокарбонил)-4-метил-5-бутокси-2,4-дигидро-3Н-1,2,4-триазол-3-он (описан в патенте США №5534486, пример 40).
2-(2-метоксикарбонилфенилсульфониламинокарбонил)-4-метил-5-этокси-2,4-дигидро-3Н-1,2,4-триазол-3-он в виде натриевой соли (описан в патенте США № 5534486, пример 185).
2-(2-метоксикарбонилфенилсульфониламинокарбонил)-4-метил-5-изопропокси-2,4-дигидро-3Н-1,2,4-триазол-3-он в виде натриевой соли (описан в патенте США № 5534486, пример 259).
2-(2-этоксикарбонилфенилсульфониламинокарбонил)-4-метил-5-пропокси-2,4-дигидро-3Н-1,2,4-триазол-3-он (приведен в формуле изобретения по вышеуказанному патенту США № 5534486).
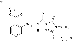
2-(2-метоксикарбонилфенилсульфониламинокарбонил)-5-метил-4-пропокси-2,4-дигидро-3Н-1,2,4-триазол-3-он (приведен в формуле изобретения по европейскому патенту №341489 и №422469, а также по патенту США №5057144).
2-(2-метоксикарбонилфенилсульфониламинокарбонил)-5-пропокси-4-этил-2,4-дигидро-3Н-1,2,4-триазол-3-он (приведен в формуле изобретения по вышеуказанному патенту патенту США №5534486).
При этом соединения формул Б-Ж приведены для сравнения.
Пример 1.
Послевсходовая обработка в теплице.
Растворитель: 5 мас. частей ацетона.
Эмульгатор: 1 мас. часть алкиларилполигликолевого эфира.
Для получения целесообразной готовой к применению формы активного вещества смешивают 1 часть массы активного вещества с указанным количеством растворителя, прибавляют указанное количество эмульгатора и разбавляют концентрат водой до желаемой концентрации.
Готовой к применению формой активного вещества опрыскивают подопытные растения с длиной стеблей от 5 до 15 см таким образом, чтобы в каждом конкретном случае на единицу поверхности были нанесены желаемые количества активного вещества. Концентрацию в используемой для обработки жидкости выбирают таким образом, чтобы во всех случаях желаемое количество активного вещества содержалось в 500 л воды на гектар.
Через три недели оценивают степень повреждения растений в % повреждения по сравнению с развитием необработанной контрольной группы.
При этом 0% означает, что используемое соединение неактивно (нет отличий от контроля), 100% означает полное уничтожение растений.
Результаты опыта сведены в таблицу 1.
В этом опыте активное вещество А при норме расхода 60 г/га очень хорошо переносится культурным растением, пшеницей, и оказывает очень сильное действие (степень эффективности от 80 до 100%) на сорные растения, тогда как сравнительные активные вещества Б – Ж проявляют гораздо более слабое гербицидное действие, а активные вещества В и Ж не очень хорошо переносятся пшеницей.
Пример 2.
Довсходовая обработка в теплице.
Растворитель: 5 мас. частей ацетона.
Эмульгатор: 1 мас. часть алкиларилполигликолевого эфира.
Для получения целесообразной готовой к применению формы активного вещества смешивают 1 часть массы активного вещества с указанным количеством растворителя, прибавляют указанное количество эмульгатора и разбавляют концентрат водой до желаемой концентрации.
Семена подопытных растений высеивают в нормальную почву. Примерно через 24 часа почву опрыскивают готовой к применению формой активного вещества таким образом, чтобы в каждом конкретном случае на единицу поверхности было нанесено желаемое количество активного вещества. Концентрацию в используемой для обработки жидкости выбирают таким образом, чтобы во всех случаях желаемое количество активного вещества содержалось в 500 л воды на гектар.
Через три недели оценивают степень повреждения растений в % повреждения по сравнению с развитием необработанной контрольной группы.
При этом 0% означает, что испытуемое соединение неактивно (нет отличий от контроля), 100% означает полное уничтожение растений.
Результаты опыта сведены в таблицы 2-5.
В этих опытах активное вещество А при нормах расхода от 15 до 60 г/га очень хорошо переносится культурным растением, пшеницей, и оказывает очень сильное действие (степень эффективности от 80 до 95%) на сорные растения, тогда как сравнительные активные вещества Б, В, Г, Д Ж и Е проявляют гораздо более слабое гербицидное действие, а сравнительное активное вещество В не очень хорошо переносится пшеницей.
При номере расхода активного вещества А до 500 г/га степень эффективности можно повысить до 100% без повреждения культурного растения.
Пример 3.
Послевсходовая обработка в открытом грунте.
Активное вещество А испытано в условиях открытого грунта на озимой пшенице в Германии и во Франции против сорняков, имеющих хозяйственное значение. Мелкоделяночные опыты закладывали на посевных площадях, которые использовались в сельскохозяйственном обороте, при этом обустройство делянок и погодные условия во время проведения опытов были такими, что их можно было рассматривать как типичные. При выборе предпочтение отдавалось площадям с особенно высокой степенью засоренности сорняками.
Активное вещество наносят во время подрастания (весной), обработку проводят по площадям опрыскиванием со средним размером капель. Для получения целесообразного состава активного вещества готовят активное вещество в виде 70%-ного по массе диспергируемого в воде порошка или гранулята и после разведения водой наносят на растения.
Для определения переносимости препарата культурным растением, пшеницей, по истечении срока от одной до восьми недель после обработки оценивают задержку роста растения или осветление поверхности листьев в % повреждения по сравнению с развитием необработанной контрольной группы. Определение гербицидной активности охватывает несколько сроков после обработки, и за основу принимают развитие сорных растений в процентах задержки роста по сравнению с необработанными контрольными растениями.
При этом 0% означает, что пшеница не повреждается, то есть гербицидная активность не проявляется, 100% означает полное уничтожение культуры или соответственно сорняков.
Результаты опыта сведены в таблицу 6.
Проведенные опыты показали, что активное вещество А особенно хорошо подходит для борьбы с многолетным видом Аgrоруrоn repens и с однолетними видами Alopecurus myosuroides, Capsella bursapastoris и Sinapis arvensis, борьба с которыми в посевах зерновых затруднена.
Пример 4.
Послевсходовая обработка в открытом грунте.
Активное вещество А испытано в условиях открытого грунта в основных регионах выращивания озимой пшеницы в США (Северо-Запад тихоокеанского побережья, Северный центральный регион, Центральные равнины) против сорняков, имеющих хозяйственное значение. Организация опытов, их проведение и оценка соответствуют примеру В. Нанесение активного вещества проводили осенью. Добавлением поступающих в продажу поверхностно-активных веществ в рекомендуемых соответствующим производителем концентрациях была улучшена способность к смачиванию растений.
Результаты опытов сведены в таблицу 7.
Опыты показали, что активное вещество А особенно хорошо подходит для борьбы с видами Erysimum cheiranthoides и Thlaspi arvense в посевах зерновых.
Пример 5.
Послевсходовая обработка в открытом грунте.
Активное вещество А испытано в условиях открытого грунта в регионе выращивания озимой пшеницы на орошаемых площадях в США (Калифорния) против сорняков, имеющих хозяйственное значение. Организация опытов, их проведение и оценка соответствуют примеру 4.
Проведенные опыты, результаты которых сведены в таблицу 8, показали, что активное вещество А особенно хорошо подходит для борьбы с видами Phalaris в посевах зерновых.
Формула изобретения 1. Способ избирательной борьбы с сорняками, выбранными из группы, включающей Agropyron, Alopecurus, Amaranthus, Avena, Capsella, Erysimum, Lolium, Phalaris, Poa, Sentaria, Sinapis и Thlaspi в зерновых культурах, отличающийся тем, что на посевы зерновых культур воздействуют соединением 2-(2-метоксикарбонил-фенилсульфониламинокарбонил)-4-метил-5-пропокси-2,4-дигидро-3Н-1,2,4-триазол-3-оном и/или его солями в количестве 5-500 г/га вместе с поверхностно-активными веществами и/или с обычными разбавителями. 2. Способ по п.1, отличающийся тем, что борьбе подвергают Alopecurus. 3. Способ по п.1, отличающийся тем, что борьбе подвергают Agropyron. TZ4A – Поправки к описаниям изобретений
Часть описания, где обнаружена ошибка: Текст опис., Кол. 5, строка 25
Напечатано:
Следует читать:
Номер и год публикации бюллетеня: 18-2004
Извещение опубликовано: 20.09.2004 БИ: 26/2004
|
||||||||||||||||||||||||||

где R1 означает водород, амино или незамещенные или замещенные алкил, алкенил, алкинил, циклоалкил, аралкил, арил, алкиламино, циклоалкиламино или диалкиламино,
R2 означает незамещенные или замещенные алкил, алкенил, алкинил, циклоалкил, циклоалкенил, аралкил или арил,
R3 означает незамещенные или замещенные алкил, аралкил, арил или гетероарил,
и их солями (см. патент США № 5534486, кл. А 01 N 43/653, опубл. 09.07.1996 г.).
Задачей изобретения является разработка способа, позволяющего вести избирательную борьбу с сорняками из группы, включающей Agropyron, Alopecurus, Amaranthus, Avena, Capsella, Erysimum, Lolium, Phalaris, Poa, Sentaria, Sinapis и Thlaspi.
Поставленная задача решается предлагаемым способом избирательной борьбы с сорняками, выбранными из группы, включающей Agropyron, Alopecurus, Amaranthus, Avena, Capsella, Erysimum, Lolium, Phalaris, Poa, Sentaria, Sinapis и Thlaspi в зерновых культурах, заключающимся в том, что на посевы зерновых культур воздействуют соединением 2-(2-метоксикарбонилфенилсульфониламинокарбонил)-4-метил-5-пропокси-2,4-дигидро-3Н-1,2,4-триазол-3-оном и/или его солями в количестве 5-500 г/га вместе с поверхностно-активными веществами и/или с обычными разбавителями.
Предпочтительно предлагаемый способ направлен на борьбу с Alopecurus и Agropyron.
Под солями понимаются, например, соли металлов, в частности соли щелочных и щелочно-земельных металлов, а также аммониевые соли и соли с органическими аминами.
Под разбавителями понимаются жидкие растворители и/или твердые носители.
В случае использования в качестве разбавителя воды можно применять, например, и органические растворители в качестве вспомогательных растворителей. В роли жидких растворителей могут выступать главным образом ароматические углеводороды, такие, как ксилол, толуол или алкилнафталины, хлорированные ароматические соединения, например хлорбензолы, хлорированные алифатические соединения, например хлорэтилены или метиленхлорид, алифатические углеводороды, такие, как циклогексан или парафины, например продукты перегонки нефти, минеральные и растительные масла, спирты, например бутанол или гликоль, а также их простые и сложные эфиры, такие кетоны, как ацетон, метилэтилкетон, метилизобутилкетон или циклогексанон, растворители с высокой полярностью, например диметилформамид и диметилсульфоксид, а также вода.
В качестве твердых носителей могут использоваться, например, соли аммония и такие размолотые горные породы, как каолины, глиноземы, тальк, мел, кварц, аттапульгит, монтмориллонит или инфузорная земля, а также размолотые синтетические минералы, такие, как тонкодисперсная кремниевая кислота, оксид алюминия и силикаты; в качестве твердых веществ носителей для гранулированных препаративных форм могут выступать, например, дробленные и фракционированные природные минералы, такие, как кальцит, мрамор, пемза, сепиолит, доломит, и синтетические грануляты на основе неорганических и органических молотых материалов, а также грануляты из органических материалов, таких, как древесные опилки, скорлупа кокосовых орехов, кукурузные початки и табачные стебли.
В качестве поверхностно-активных веществ можно назвать, эмульгаторы и/или пенообразователи, такие, как, например, неионогенные и анионные эмульгаторы, такие, как полиэтиленоксидные эфиры жирных кислот, полиэтиленоксидные простые эфиры жирных спиртов, например алкиларилполигликолевые эфиры, алкилсульфонаты, алкилсульфаты, арилсульфонаты, и белковые гидролизаты, а также диспергаторы, такие, как, например, лигниновые сульфитные щелока и метилцеллюлоза.
Предлагаемый способ иллюстрируется следующими примерами, в которых используют следующие активные вещества.
2-(2-метоксикарбонилфенилсульфониламинокарбонил)-4-метил-5-бутокси-2,4-дигидро-3Н-1,2,4-триазол-3-он (описан в патенте США №5534486, пример 40).
2-(2-метоксикарбонилфенилсульфониламинокарбонил)-4-метил-5-этокси-2,4-дигидро-3Н-1,2,4-триазол-3-он в виде натриевой соли (описан в патенте США № 5534486, пример 185).
2-(2-метоксикарбонилфенилсульфониламинокарбонил)-4-метил-5-изопропокси-2,4-дигидро-3Н-1,2,4-триазол-3-он в виде натриевой соли (описан в патенте США № 5534486, пример 259).
2-(2-этоксикарбонилфенилсульфониламинокарбонил)-4-метил-5-пропокси-2,4-дигидро-3Н-1,2,4-триазол-3-он (приведен в формуле изобретения по вышеуказанному патенту США № 5534486).
2-(2-метоксикарбонилфенилсульфониламинокарбонил)-5-метил-4-пропокси-2,4-дигидро-3Н-1,2,4-триазол-3-он (приведен в формуле изобретения по европейскому патенту №341489 и №422469, а также по патенту США №5057144).
2-(2-метоксикарбонилфенилсульфониламинокарбонил)-5-пропокси-4-этил-2,4-дигидро-3Н-1,2,4-триазол-3-он (приведен в формуле изобретения по вышеуказанному патенту патенту США №5534486).
При этом соединения формул Б-Ж приведены для сравнения.
Пример 1.
Послевсходовая обработка в теплице.
Растворитель: 5 мас. частей ацетона.
Эмульгатор: 1 мас. часть алкиларилполигликолевого эфира.
Для получения целесообразной готовой к применению формы активного вещества смешивают 1 часть массы активного вещества с указанным количеством растворителя, прибавляют указанное количество эмульгатора и разбавляют концентрат водой до желаемой концентрации.
Готовой к применению формой активного вещества опрыскивают подопытные растения с длиной стеблей от 5 до 15 см таким образом, чтобы в каждом конкретном случае на единицу поверхности были нанесены желаемые количества активного вещества. Концентрацию в используемой для обработки жидкости выбирают таким образом, чтобы во всех случаях желаемое количество активного вещества содержалось в 500 л воды на гектар.
Через три недели оценивают степень повреждения растений в % повреждения по сравнению с развитием необработанной контрольной группы.
При этом 0% означает, что используемое соединение неактивно (нет отличий от контроля), 100% означает полное уничтожение растений.
Результаты опыта сведены в таблицу 1.
В этом опыте активное вещество А при норме расхода 60 г/га очень хорошо переносится культурным растением, пшеницей, и оказывает очень сильное действие (степень эффективности от 80 до 100%) на сорные растения, тогда как сравнительные активные вещества Б – Ж проявляют гораздо более слабое гербицидное действие, а активные вещества В и Ж не очень хорошо переносятся пшеницей.
Пример 2.
Довсходовая обработка в теплице.
Растворитель: 5 мас. частей ацетона.
Эмульгатор: 1 мас. часть алкиларилполигликолевого эфира.
Для получения целесообразной готовой к применению формы активного вещества смешивают 1 часть массы активного вещества с указанным количеством растворителя, прибавляют указанное количество эмульгатора и разбавляют концентрат водой до желаемой концентрации.
Семена подопытных растений высеивают в нормальную почву. Примерно через 24 часа почву опрыскивают готовой к применению формой активного вещества таким образом, чтобы в каждом конкретном случае на единицу поверхности было нанесено желаемое количество активного вещества. Концентрацию в используемой для обработки жидкости выбирают таким образом, чтобы во всех случаях желаемое количество активного вещества содержалось в 500 л воды на гектар.
Через три недели оценивают степень повреждения растений в % повреждения по сравнению с развитием необработанной контрольной группы.
При этом 0% означает, что испытуемое соединение неактивно (нет отличий от контроля), 100% означает полное уничтожение растений.
Результаты опыта сведены в таблицы 2-5.
В этих опытах активное вещество А при нормах расхода от 15 до 60 г/га очень хорошо переносится культурным растением, пшеницей, и оказывает очень сильное действие (степень эффективности от 80 до 95%) на сорные растения, тогда как сравнительные активные вещества Б, В, Г, Д Ж и Е проявляют гораздо более слабое гербицидное действие, а сравнительное активное вещество В не очень хорошо переносится пшеницей.
При номере расхода активного вещества А до 500 г/га степень эффективности можно повысить до 100% без повреждения культурного растения.
Пример 3.
Послевсходовая обработка в открытом грунте.
Активное вещество А испытано в условиях открытого грунта на озимой пшенице в Германии и во Франции против сорняков, имеющих хозяйственное значение. Мелкоделяночные опыты закладывали на посевных площадях, которые использовались в сельскохозяйственном обороте, при этом обустройство делянок и погодные условия во время проведения опытов были такими, что их можно было рассматривать как типичные. При выборе предпочтение отдавалось площадям с особенно высокой степенью засоренности сорняками.
Активное вещество наносят во время подрастания (весной), обработку проводят по площадям опрыскиванием со средним размером капель. Для получения целесообразного состава активного вещества готовят активное вещество в виде 70%-ного по массе диспергируемого в воде порошка или гранулята и после разведения водой наносят на растения.
Для определения переносимости препарата культурным растением, пшеницей, по истечении срока от одной до восьми недель после обработки оценивают задержку роста растения или осветление поверхности листьев в % повреждения по сравнению с развитием необработанной контрольной группы. Определение гербицидной активности охватывает несколько сроков после обработки, и за основу принимают развитие сорных растений в процентах задержки роста по сравнению с необработанными контрольными растениями.
При этом 0% означает, что пшеница не повреждается, то есть гербицидная активность не проявляется, 100% означает полное уничтожение культуры или соответственно сорняков.
Результаты опыта сведены в таблицу 6.
Проведенные опыты показали, что активное вещество А особенно хорошо подходит для борьбы с многолетным видом Аgrоруrоn repens и с однолетними видами Alopecurus myosuroides, Capsella bursapastoris и Sinapis arvensis, борьба с которыми в посевах зерновых затруднена.
Пример 4.
Послевсходовая обработка в открытом грунте.
Активное вещество А испытано в условиях открытого грунта в основных регионах выращивания озимой пшеницы в США (Северо-Запад тихоокеанского побережья, Северный центральный регион, Центральные равнины) против сорняков, имеющих хозяйственное значение. Организация опытов, их проведение и оценка соответствуют примеру В. Нанесение активного вещества проводили осенью. Добавлением поступающих в продажу поверхностно-активных веществ в рекомендуемых соответствующим производителем концентрациях была улучшена способность к смачиванию растений.
Результаты опытов сведены в таблицу 7.
Опыты показали, что активное вещество А особенно хорошо подходит для борьбы с видами Erysimum cheiranthoides и Thlaspi arvense в посевах зерновых.
Пример 5.
Послевсходовая обработка в открытом грунте.
Активное вещество А испытано в условиях открытого грунта в регионе выращивания озимой пшеницы на орошаемых площадях в США (Калифорния) против сорняков, имеющих хозяйственное значение. Организация опытов, их проведение и оценка соответствуют примеру 4.
Проведенные опыты, результаты которых сведены в таблицу 8, показали, что активное вещество А особенно хорошо подходит для борьбы с видами Phalaris в посевах зерновых.

